Load Transfer Behavior and Failure Mechanism of Bird’s Nest Anchor Cable Anchoring Structure
Abstract
1. Introduction
2. Pull-out Test of Bird’s Nest Anchor Cables
2.1. Production of Anchorage Structure
- (1)
- Material selection
- (2)
- Preparation of anchor structure
2.2. Test Device
2.3. Analysis of Pull-Out Test Results
- (1)
- Shear stress and displacement curve
- (2)
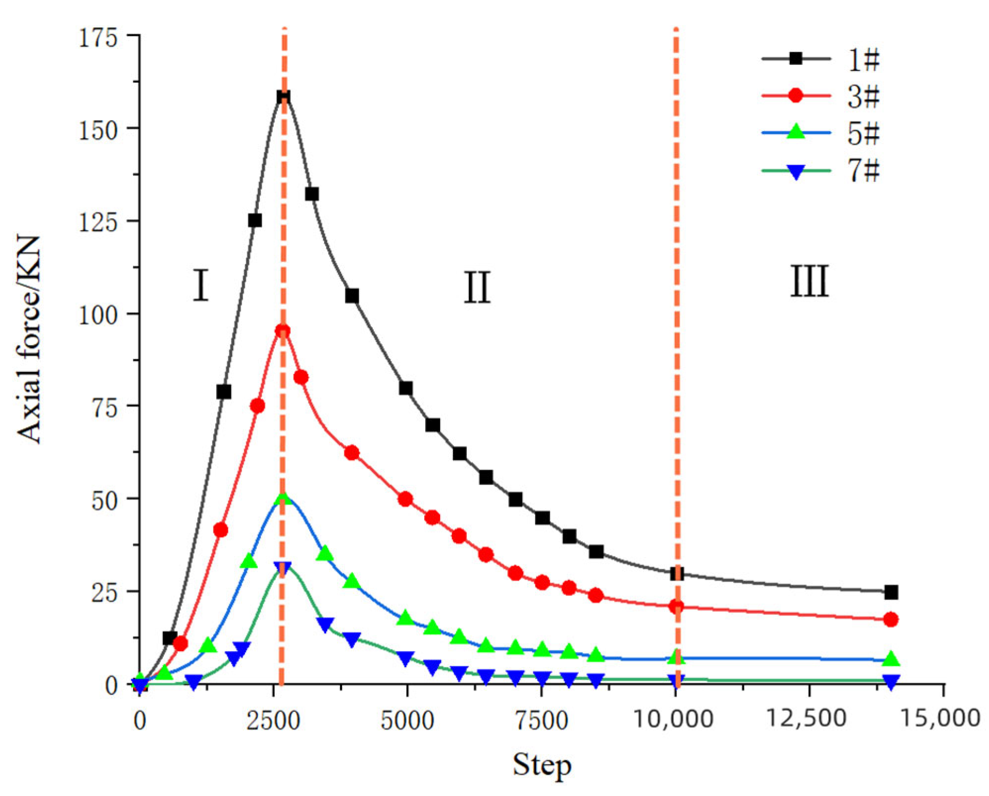
- Distribution law of anchor cable axial force
- (3)
- Distribution law of shear stress at the anchoring–rock interface
- (4)
- Distribution law of shear stress at the rock mass
- (5)
- Fracture mode
3. PFC Numerical Simulation Test
3.1. PFC Model
3.2. Failure Process and Failure Mod
4. Conclusions
- (1)
- A bond-slip model of bird’s nest anchor cable is established on the basis of a statistical damage constitutive model. The shear stress and slip curve of the anchorage structure are divided into a nonlinear elastic deformation stage, a debonding slip stage, and a residual stage. With an increase in the pull-out load, the shear stress of the anchorage agent interface increases exponentially to the peak value from the load end, then decreases, and finally stabilizes to the residual strength. The process transmits every point with the anchorage depth. The model parameters are acquired by fitting data, and the theory curve and test curves are similar, thereby verifying the reasonability of the proposed mode.
- (2)
- The axial force of the anchor cable declines negatively along the load direction; the maximum value (148 kN) is near the load end, and the minimum value (28 kN) is at the other end. The shear stress of the rock mass decreases negatively along the load direction and is transferred from the load end to the other end, but the shear stress value near anchorage cable value is higher than that far away from the anchorage structure.
- (3)
- The failure of the anchorage structure is divided into three stages stage according to PFC simulation: an elastic deformation stage, a debonding slip stage, and a splitting rock failure. The anchorage structure of the load end first exhibits a small number of cracks (crack number: 4000), then extends along the interface of the anchorage agent (crack number: 62000), and then penetrates into the anchorage agent–rock mass interface (crack number: 87000). The failure mode of the anchoring structure is mixed failure, namely debonding slip of the interface and shear failure of rock mass. PFC can simulate the crack evolution process of the bird’s nest anchor cable well.
Author Contributions
Funding
Institutional Review Board Statement
Informed Consent Statement
Conflicts of Interest
References
- Chen, G.; Chen, T.; Chen, Y.; Huang, R.; Liu, M. A new method of predicting the prestress variations in anchored cables with excavation unloading destruction. Eng. Geol. 2018, 241, 109–120. [Google Scholar] [CrossRef]
- Cui, J.; Wang, W.; Yuan, C.; Cao, L.; Guo, Y.; Fan, L. Study on Deformation Mechanism and Supporting Countermeasures of Compound Roofs in Loose and Weak Coal Roadways. Adv. Civ. Eng. 2020, 2020, 5610058. [Google Scholar] [CrossRef]
- Tao, Z.; Xu, H.; Zhu, C.; Lv, Q.; Wang, Y. The Study of the Supernormal Mechanical Properties of Giant NPR Anchor Cables. Shock Vib. 2020, 2020, 262190. [Google Scholar] [CrossRef]
- Wang, X.; Wang, G.; Wu, B.; Liu, S. Study on the Lagging Support Mechanism of Anchor Cable in Coal Roadway Based on FLAC3D Modified Model. Adv. Civ. Eng. 2021, 2021, 9919454. [Google Scholar] [CrossRef]
- Xiang, Y.; Chen, Z.; Yang, Y.; Lin, H.; Zhu, S. Dynamic response analysis for submerged floating tunnel with anchor-cables subjected to sudden cable breakage. Mar. Struct. 2018, 59, 179–191. [Google Scholar] [CrossRef]
- Jiang, Q.; Feng, X.-T.; Cui, J.; Li, S.-J. Failure Mechanism of Unbonded Prestressed Thru-Anchor Cables: In Situ Investigation in Large Underground Caverns. Rock Mech. Rock Eng. 2014, 48, 873–878. [Google Scholar] [CrossRef]
- Wu, J.; Xian, G.; Li, H. A novel anchorage system for CFRP cable: Experimental and numerical investigation. Compos. Struct. 2018, 194, 555–563. [Google Scholar] [CrossRef]
- Liu, X.; Yao, Z.; Xue, W.; Wang, X.; Huang, X. Experimental Study of the Failure Mechanism of the Anchorage Interface under Different Surrounding Rock Strengths and Ambient Temperatures. Adv. Civ. Eng. 2021, 2021, 6622418. [Google Scholar] [CrossRef]
- Kim, J.R.; Kwak, H.-G.; Kim, B.-S.; Kwon, Y.; Bouhjiti, E.M. Finite element analyses and design of post-tensioned anchorage zone in ultra-high-performance concrete beams. Adv. Struct. Eng. 2018, 22, 323–336. [Google Scholar] [CrossRef]
- Wang, J.; Ning, J.-G.; Tan, Y.-L.; Hu, S.-C.; Guo, W.-Y. Deformation and failure laws of roadway surrounding rock and support optimization during shallow-buried multi-seam mining. Geomat. Nat. Hazards Risk 2020, 11, 191–211. [Google Scholar] [CrossRef]
- Tai, Y.; Xia, H.; Meng, X.; Kuang, T. Failure mechanism of the large-section roadway under mined zones in the ultra-thick coal seam and its control technology. Energy Sci. Eng. 2019, 8, 999–1014. [Google Scholar] [CrossRef]
- Shan, R.; Bao, Y.; Huang, P.; Liu, W.; Li, G. Study on Double-Shear Test of Anchor Cable and C-Shaped Tube. Shock Vib. 2021, 2021, 9948424. [Google Scholar] [CrossRef]
- Wang, S.R.; Wang, Z.L.; Chen, Y.B.; Wang, Y.H.; Huang, Q.X. Mechanical Performances Analysis of Tension-Torsion Coupling Anchor Cable. Int. J. Simul. Model. 2020, 19, 231–242. [Google Scholar] [CrossRef]
- Zeng, Y.F.; Wu, Y.P.; Lai, X.P.; Wei, C. Analysis of Roof Caving Instability Mechanism of Large-Section Roadway Under Complex Conditions. J. Min. Saf. Eng. 2009, 26, 423–427. [Google Scholar] [CrossRef]
- Li, S.; Wang, Q.; Wang, H.; Jiang, B.; Wang, D.; Zhang, B.; Li, Y.; Ruan, G. Model test study on surrounding rock deformation and failure mechanisms of deep roadways with thick top coal. Tunn. Undergr. Space Technol. 2015, 47, 52–63. [Google Scholar] [CrossRef]
- Pan, S.; Liu, S.; Cao, L.; Guo, J.; Yuan, C. Deformation Failure and Support Test of Surrounding Rock in Deep Arched Roadway with Straight Wall. Adv. Civ. Eng. 2021, 2021, 3208974. [Google Scholar] [CrossRef]
- Cao, C.; Jan, N.; Ren, T.; Naj, A. A study of rock bolting failure modes. Int. J. Min. Sci. Technol. 2013, 23, 79–88. [Google Scholar] [CrossRef]
- Kang, H.; Wu, Y.; Gao, F.; Lin, J.; Jiang, P. Fracture characteristics in rock bolts in underground coal mine roadways. Int. J. Rock Mech. Min. Sci. 2013, 62, 105–112. [Google Scholar] [CrossRef]
- Li, S.-C.; Wang, H.-T.; Wang, Q.; Jiang, B.; Wang, F.-Q.; Guo, N.-B.; Liu, W.-J.; Ren, Y.-X. Failure mechanism of bolting support and high-strength bolt-grouting technology for deep and soft surrounding rock with high stress. J. Central South Univ. 2016, 23, 440–448. [Google Scholar] [CrossRef]
- Feng, J.; Xu, X.; Liu, P.; Ma, F.; Ma, C.; Tao, Z. Slope Sliding Force Prediction via Belief Rule-Based Inferential Methodology. Int. J. Comput. Intell. Syst. 2021, 14, 965–977. [Google Scholar] [CrossRef]
- Zhang, K.; Yang, X.; Cui, X.; Wang, Y.; Tao, Z. Numerical Simulation Analysis of NPR Anchorage Monitoring of Bedding Rock Landslide in Open-Pit Mine. Adv. Civ. Eng. 2020, 2020, 8241509. [Google Scholar] [CrossRef]
- Tao, Z.; Zhu, C.; He, M.; Karakus, M. A physical modeling-based study on the control mechanisms of Negative Poisson’s ratio anchor cable on the stratified toppling deformation of anti-inclined slopes. Int. J. Rock Mech. Min. Sci. 2021, 138, 104632. [Google Scholar] [CrossRef]
- Wang, F.; Guo, Z.; Qiao, X.; Fan, J.; Li, W.; Mi, M.; Tao, Z.; He, M. Large deformation mechanism of thin-layered carbonaceous slate and energy coupling support technology of NPR anchor cable in Minxian Tunnel: A case study. Tunn. Undergr. Space Technol. 2021, 117, 104151. [Google Scholar] [CrossRef]
- Sun, X.; Zhang, B.; Gan, L.; Tao, Z.; Zhao, C. Application of Constant Resistance and Large Deformation Anchor Cable in Soft Rock Highway Tunnel. Adv. Civ. Eng. 2019, 2019, 4347302. [Google Scholar] [CrossRef]
- Li, C.; Zhang, W.; Huo, T.; Yu, R.; Zhao, X.; Luo, M. Failure Analysis of Deep Composite Roof Roadway and Support Optimization of Anchor Cable Parameters. Geofluids 2021, 2021, 5610058. [Google Scholar] [CrossRef]
- Guo, X.; Zhao, Z.; Gao, X.; Ma, Z.; Ma, N. The Criteria of Underground Rock Structure Failure and Its Implication on Rockburst in Roadway: A Numerical Method. Shock Vib. 2019, 2019, 7509690. [Google Scholar] [CrossRef]
- Jing, H.W.; Yin, Q.; Zhu, D.; Sun, Y.J.; Wang, B. Experimental study on the whole process of instability and failure of anchorage structure in surrounding rock of deep-buried roadway. J. China Coal Soc. 2020, 3, 889–901. [Google Scholar] [CrossRef]
- Xuegui, S.; Yanbin, L.; Yongkang, Y. A Research into Extra-thick compound mudstone roof roadway failure mechanism and security control. Procedia Eng. 2011, 26, 516–523. [Google Scholar] [CrossRef][Green Version]
- Cai, Y.; Esaki, T.; Jiang, Y. An analytical model to predict axial load in grouted rock bolt for soft rock tunnelling. Tunn. Undergr. Space Technol. 2004, 19, 607–618. [Google Scholar] [CrossRef]
- Ren, F.; Yang, Z.; Chen, J.; Chen, W. An analytical analysis of the full-range behaviour of grouted rockbolts based on a tri-linear bond-slip model. Constr. Build. Mater. 2010, 24, 361–370. [Google Scholar] [CrossRef]
- Ma, S.; Nemcik, J.; Aziz, N. An analytical model of fully grouted rock bolts subjected to tensile load. Constr. Build. Mater. 2013, 49, 519–526. [Google Scholar] [CrossRef]
- Song, Y.; Li, Y. Study on the constitutive model of the whole process of macroscale and mesoscale shear damage of prestressed anchored jointed rock. Bull. Eng. Geol. Environ. 2021, 80, 6093–6106. [Google Scholar] [CrossRef]
- Chen, J.; Yang, S.; Zhao, H.; Zhang, J.; He, F.; Yin, S. The Analytical Approach to Evaluate the Load-Displacement Relationship of Rock Bolts. Adv. Civ. Eng. 2019, 2019, 2678905. [Google Scholar] [CrossRef]















| Diameter /mm | Strength Level /MPa | Cross-Section Area /mm2 | Perimeter /mm | Fracture Force /kN | Quality /kg·m−1 | 1% Elongation Load /kN |
|---|---|---|---|---|---|---|
| 17.8 | 1720 | 191 | 63 | 240.2 | 1.5 | 294 |
| Amount/mm3 | Density | Mean Fraction of Loss Intensity | ||
|---|---|---|---|---|
| Portland cement/kg | River sand/kg | Water/kg | 2000 kg/m3 | 18 MPa |
| 330 | 1550 | 330 | ||
| Particle Parameter | Numerical Value | Parallel Bond Model Parameters | Numerical Value |
|---|---|---|---|
| Particle radius (mm) | 0.5–0.85 | Parallel bond modulus | 1.4 × 109 |
| Density (kg/m3) | 1.4–1.9 × 103 | Normal and tangential stiffness ratio | 2.0 |
| Contact modulus between particles | 1.2 × 109 | Normal critical damping ratio | 0.5 |
| Normal and tangential stiffness ratios | 1.0 | Normal tensile strength | 5.1 × 106 |
| Coefficient of friction | 0.58 | Cohesive force | 3.1 × 106 |
Publisher’s Note: MDPI stays neutral with regard to jurisdictional claims in published maps and institutional affiliations. |
© 2022 by the authors. Licensee MDPI, Basel, Switzerland. This article is an open access article distributed under the terms and conditions of the Creative Commons Attribution (CC BY) license (https://creativecommons.org/licenses/by/4.0/).
Share and Cite
Zhu, C.; Zhao, W.; Liu, X. Load Transfer Behavior and Failure Mechanism of Bird’s Nest Anchor Cable Anchoring Structure. Appl. Sci. 2022, 12, 6992. https://doi.org/10.3390/app12146992
Zhu C, Zhao W, Liu X. Load Transfer Behavior and Failure Mechanism of Bird’s Nest Anchor Cable Anchoring Structure. Applied Sciences. 2022; 12(14):6992. https://doi.org/10.3390/app12146992
Chicago/Turabian StyleZhu, Changxing, Weihao Zhao, and Xu Liu. 2022. "Load Transfer Behavior and Failure Mechanism of Bird’s Nest Anchor Cable Anchoring Structure" Applied Sciences 12, no. 14: 6992. https://doi.org/10.3390/app12146992
APA StyleZhu, C., Zhao, W., & Liu, X. (2022). Load Transfer Behavior and Failure Mechanism of Bird’s Nest Anchor Cable Anchoring Structure. Applied Sciences, 12(14), 6992. https://doi.org/10.3390/app12146992
