Highlights
- The toxic effects of bisphenol A (BPA) reduced the settleability, water purification ability, and microbial activity of activated sludge.
- BPA altered the microbial community structure, and decreased the abundance of functional genera involved in organic matter degradation and nitrogen and phosphorus removal.
- The bio-enhanced strain Rhodococcus Req-001 rapidly improved the BPA removal rate, and has good bioremediation application prospects.
Abstract
This study assessed the toxic effects of bisphenol A (BPA) on the microbial community and the function of activated sludge in sequencing batch reactors (SBRs). The toxicity of BPA was mitigated through dosing sludge with Rhodococcus Req-001. BPA reduced the biomass of sludge, and the proportion of viable bacteria decreased with the aggravation of BPA pollution. BPA affected the secretion of extracellular polymeric substances (EPSs), increased the ratio of polysaccharide to protein, and deteriorated the sedimentation performance of sludge. BPA decreased the abundances of functional bacteria involved in the degradation of organic matter and water purification, including Polaromonas, Dechloromonas, and Nitrospira, and the water purification capacity of the reactor decreased. Req-001 enhanced the BPA removal efficiency by 15%, and increased ammonia nitrogen and phosphorus removal by 8.8% and 22.7%, respectively. The functional recovery ability of the sludge system and the high removal ability of Req-001 make it a promising specie for use in BPA bioremediation. This study combined the effect of BPA on activated sludge and reactor performance with the microbial community, clarified the toxic mechanism of BPA on activated sludge, and therefore provides a theoretical basis and potential solutions to help WWTPs cope with the toxic effects of BPA.
1. Introduction
Bisphenol A (BPA) is one of the most widely produced chemical products in the world, and is mainly used in epoxy resins, plasticizers, flame retardants, and other chemicals [1,2,3,4], as well as in the production of thermal paper [5] and dental filling materials [6]. About a quarter of the BPA produced is released into the environment during production, transportation, and processing [7], mainly through industrial production and urban sewage discharge [8,9,10]. BPA is the most important bisphenol compound detected in wastewater treatment plants (WWTPs) [11]. However, due to the limitations of currently available treatment processes, WWTPs have become the main source of BPA and bisphenol analogs in surface water [12]. In addition, beverage bottles, food packaging bags, and plastic landfill leachate have also become major routes through which BPA enters the environment [13]. Since January 2020, in response to the novel coronavirus epidemic, a large amount of plastic has been utilized in the manufacture and use of virus protective equipment, and the plastic waste generated has increased the environmental risk of BPA emissions [14,15]. Currently, BPA has been detected in air, water, soil, sediment, indoor dust, and human tissue [16]. In Lake Tai, China, bisphenol concentrations in the lake surface water increased from 4.2–14 ng/L to 27–565 ng/L from 2013 to 2017 [17]. Among bisphenols, BPA accounts for about 27% of the total bisphenols [18]. In the Peba River basin in Palau, Brazil, the BPA concentrations in surface water in the dry and rainy seasons were as high as 1587.7 ng/L and 1057.7 ng/L, respectively [19].
Studies have shown that the average daily intake of BPA in the global population is 38.78 ng/kg bw/day for adults and 51.74 ng/kg bw/day for children [20]. However, BPA exhibits significant endocrine-disrupting toxicity, carcinogenic and mutagenic properties, neurotoxicity, and immunotoxicity. Firstly, BPA exhibits estrogenic activity [21] that can compete with endogenous estradiol to block the estrogen response [22], interfere with the normal metabolic processes of the body [23], and affect reproductive function, mammary gland development, cognitive function, and metabolism [24]. Secondly, BPA can lead to the formation and metastasis of vascular tumors [25], and the development of prostate and ovarian cancers [26]. Thirdly, BPA exposure may negatively affect neurobehavioral functioning in children, including attention-deficit/hyperactivity disorder, and may even trigger symptoms such as aggressive behavior, depression, and anxiety [27]. Finally, BPA can even induce human immune diseases, such as type 1 diabetes. Although there is no uniform standard for the minimum harmful concentration of BPA, the known negative effects of BPA exposure strongly suggest that long-term exposure to BPA will have negative effects on human health [28].
A study by Guerra et al. found that the BPA removal efficiency of 25 WWTPs in Canada was 1–77%, and the BPA removal efficiency of WWTPs using secondary treatment processes (including conventional activated sludge, biological aerated filter processes, and membrane bioreactors) was 71% [29]. A previous study also found that the average total removal efficiency of BPA from WWTPs using the secondary biological treatment process in Hong Kong was only about 25.5% [30]. BPA also has an inhibitory effect on the activity of activated sludge [31]. Previous research showed that a high concentration of BPA (53 mg/L) had toxic effects on activated sludge [32], while 100 mg/g BPA in soil significantly inhibited microbial activity and growth [33].
The activated sludge process is widely used in WWTPs. Although it is currently believed that high concentrations of BPA will have toxic effects on activated sludge, the specific toxicity mechanism and the impact on the microbial population structure and ecological niche of activated sludge are still unclear. Existing studies have paid more attention to the removal efficiency and mechanism of BPA by functional strains [34,35,36]. A few studies have analyzed the toxic effects of BPA [12] but have not thoroughly explained the toxicity mechanism of BPA in activated sludge. There are few studies on biofortified strains to alleviate BPA toxicity and improve the water purification function of activated sludge. Therefore, this study investigated the toxic effects of BPA on activated sludge by analyzing the effluent quality of sequencing batch reactors (SBRs), the physicochemical properties of activated sludge, microbial activity, and the structure of the activated sludge microbial community. Through three generations of 16S rRNA sequencing technology, the species diversity and abundance changes of activated sludge microorganisms after exposure to BPA were analyzed. Finally, this study analyzed the detoxification effect of Rhodococcus equine DSSKP-R-001(Req-001) on BPA by adding BPA-degrading functional bacteria. In this study, the toxic effects and mechanisms of BPA on activated sludge microorganisms in SBR were analyzed in detail, and corresponding detoxification strategies were proposed. While focusing on the removal of BPA by Req-001, the ability of Req-001 to restore the water quality of the reactor was also explored, and the sewage treatment capacity of the entire sludge system was restored by using the enhanced strain. To a certain extent, this study fills some gaps in the existing research, and at the same time providing a theoretical basis and potential solutions to help WWTPs cope with the toxic effects of BPA.
2. Materials and Methods
2.1. Experimental Apparatus, Sewage Configuration, and Domestication of Sludge
Simulated sewage was prepared according to the method described by Guo et al. [37], which provided nutrients for the growth of microorganisms and maintained a stable pH. The wastewater quality indicators were 400 mg/L chemical oxygen demand (COD), 37 mg/L NH4+-N, and 8 mg/L total phosphorus (TP). After the sewage was prepared, 1 mL of trace elements was added to a 1 L working volume. The specific compositions are shown in Table S1, and the compositions of trace elements are shown in Table S2.
In this experiment, a laboratory-scale SBR was used to domesticate and perform experiments on activated sludge. The reactor device consisted of a water inlet tank, aerator, aeration head, agitator, peristaltic pump, gas flow meter, and time relay (Figure S1A). The working volume of the four independent reactors was 2 L each. The operating mode of the SBR system is intermittent aeration mode, that is, aeration for 2 h and standing for 0.5 h. The reactor operates in four steps, namely water inflow, aeration, standing, and sludge discharge (Figure S1C). The process of water inflow includes the preparation of sewage and the addition of medicines. The pH of the new simulated sewage is adjusted to 7.0 with NaOH/HCl, and the corresponding BPA solution is added. After the water inflow is completed, the agitator is turned on to fully mix the sewage, sludge, and BPA solution, and the time relay is then adjusted for intermittent aeration with a hydraulic retention time of 10 h. After the aeration is completed, it needs to stand for 30 min until the activated sludge is completely precipitated. The temperature of the reaction system was kept at 25 °C, and the gas sparging rate is 1.5 L/min. The sludge retention time for each reactor is 24 d. The transition from one stage to the next is based on the original stage of the reactor; only the concentration of BPA solution in the influent water is increased, and other conditions and parameters remain unchanged. This is a continuous operation. The sludge is reused from stage I to III, and no new activated sludge is added in this process. This can be seen in the flow chart in Figure S1C.
The activated sludge used in this study was collected from the aerobic aeration tank of an anaerobic-anoxic-aerobic (A-A-O) sewage treatment plant in northern China. The inoculated sludge was acclimated with synthetic simulated sewage. After 30 days of acclimation, the effluent water quality was stable, and the activated sludge inoculated in the reactor changed from black to yellow-brown and flocculent. Both the control reactor and the BPA reactor added domesticated sludge, the only difference being that different concentrations of BPA were added to the BPA reactor.
The BPA toxicity test was conducted using two groups. The first group was the acclimated sludge control group, and BPA (product number: 239658, Sigma-Aldrich, St. Louis, MO, USA) was added to the second group of reactors. The influent water of the BPA group reactor was composed of simulated sewage and BPA solution. In the experiment, each stage was seven days long, and it took 21 days to run three stages. Days 1 through 7 were stage I (BPA: 10 mg/L), days 8 through 14 were stage II (BPA: 20 mg/L), and days 15–21 were stage III (BPA: 50 mg/L). The reason for the selected BPA concentration is that BPA concentrations in municipal WWTPs can be higher due to discharges coming from industry and hospitals, or especially when landfill leachates are transported to the WWTPs, since BPA in these effluents may reach concentrations higher than 5 mg·L−1. High concentrations of BPA can amplify the mechanism of toxicity in activated sludge, and can more clearly demonstrate the toxicity of BPA in activated sludge. At the end of each stage, samples of activated sludge were collected using sterile centrifuge tubes, centrifuged at 4000× g for 5 min to retain biomass precipitation, and checked to ensure that each sample weighed about 10 g. Samples were flash-frozen in liquid nitrogen for 5 min and stored in a −80 °C refrigerator.
2.2. Reactor Effluent and Sludge Physical and Chemical Indicators
The mixed liquid suspended solids (MLSSs) were measured by the gravimetric method. The sludge volume (SV) was measured by the static sedimentation method using a 100-mL graduated cylinder to allow the sediment to settle for 30 min; SVI was the ratio of SV (mL) to sludge dry weight (g) after the mixture was left to settle for 30 min. The concentrations of ammonia nitrogen, TP, and COD were measured in duplicate according to their respective standard methods [38]. The content of extracellular polymeric substances (EPSs) in sludge was extracted according to the method described by Ge et al. [39]; the protein (PN) and polysaccharide (PS) contents of the extracted EPS samples were determined using the Folin-Phenol Protein Assay kit (Beijing Dingguochangsheng Biology, Beijing, China) [40]; and anthrone–sulfuric acid colorimetry with glucose [41] was used for quantification following standard procedures.
The dehydrogenase activity of activated sludge was quantified using 2,3,5-triphenyltetrazolium chloride (TTC, ≥95%, Sigma, St. Louis, MO, USA). The LIVE/DEAD fluorescent staining method [42] was used for the determination of microbial viability. The fluorescent stain used for microscopy and quantitative assays was the LIVE/DEAD™ BacLight™ Bacterial Viability Kit, including two nucleic acid stains, SYTO-9, which can penetrate all bacterial cells, and propidium iodide PI, which penetrates the damaged membranes of cells. When the two dyes are combined, live cells fluoresce green, while dead or damaged cells fluoresce red. Thirty images were taken for each sample using a fluorescence microscope (NE620FL, The United States Nexcope, Ningbo, China), and viable microbial levels were analyzed using the Image J software (National Institutes of Health, Bethesda, MD, USA).
2.3. Activated Sludge DNA Extraction and 16S rRNA Sequencing
Sludge samples for microbial analysis were collected at the end of each experimental stage. Nucleic acid extraction was completed using the TGuide S96 magnetic bead method soil genomic DNA extraction kit (Model DP812, Tiangen Biochemical Technology, Beijing, China). The bar-coded primers used for the amplification of the bacterial and archaeal 16s rRNA genes were 27F: 5’-AGRGTTTGATYNTGGCTCAG-3’ and 1492R: 5’-TASGGHTACCTTGTTASGACTT-3’, respectively. DNA samples were placed on a Sequel II (Pacbio, Menlo Park, CA, USA) sequencer for on-board sequencing.
2.4. Rhodococcus Bioaugmentation of Activated Sludge
2.4.1. Experimental Strains and Culture
The BPA-degrading strain was selected from a steroid-degrading strain, Req-001, which was preserved in the −80 °C refrigerator in the laboratory. This strain was collected from the soil around a pharmaceutical factory in Beijing and is now preserved in the China Microbial Culture Collection Center (CGMCC No. 12392).
After being cultured in Luria–Bertani medium for 48 h, the strains were in the logarithmic growth phase. Two hundred microliters of the bacterial solution was added to a 96-well plate and placed in a microplate reader, and the OD value of the solution was measured at 600 nm. An appropriate amount of bacterial liquid was collected in a sterile centrifuge tube, then centrifuged at 3200× g for 2 min. The supernatant was discarded, 240 mL of phosphate buffer was added for resuspension, and the centrifugation and resuspension steps were repeated three times to prepare a bacterial suspension with an OD600 value of 1.0.
2.4.2. Bioaugmentation Experiments
The reaction device and operation of the bioaugmentation experiment were the same as above (Figure S1B). During the first three days of the bioaugmentation experiment, 20 mg/L of BPA solution and municipal sewage were re-added to the influent every day. The bioaugmentation experiment was divided into three groups: a blank control group, a BPA group, and a BPA + Req-001 group. The COD concentration of municipal sewage was 359.6 mg/L. The ammonia nitrogen concentration of municipal sewage was 22.7 mg/L, and the TP concentration was 6.9 mg/L. Activated sludge and municipal sewage were added to the simulated SBR, and the Req-001 bacterial suspension was added once with a volume ratio of 10% inoculum. Twenty mL of the evenly stirred sludge-water mixture was taken, and the water quality was tested at 6 h, 12 h, 18 h, and 24 h, respectively. The experiment was replicated for three days. Sampling was continued after 24 h on the third day, and the mud-water mixtures were taken after 30, 36, 42, and 48 h. Residual concentrations of BPA in water and sludge samples were detected after sample treatment.
High-performance liquid chromatography (HPLC) was used to quantify BPA in effluent samples and sludge samples from the experimental reactors. The HPLC instrument was obtained from Shimadzu Corporation, Japan (LC-10AVP). The type of LC column is Zorbax Eclipse Plus C18 column (150 × 4.6 mm, 3.5 mm). The mobile phase of BPA was composed of ultra–pure water and acetonitrile (50:50, v/v), and a flow rate of 1 mL/min was used as the mobile phase in the isocratic elution mode. The detector wavelength was 278 nm, the column temperature was 30 °C, the injection volume was 10 µL, and the BPA retention time was 7.685 min.
3. Results
3.1. Toxicity of BPA in Activated Sludge
3.1.1. BPA Reduces the Settling Performance and Biomass of Activated Sludge
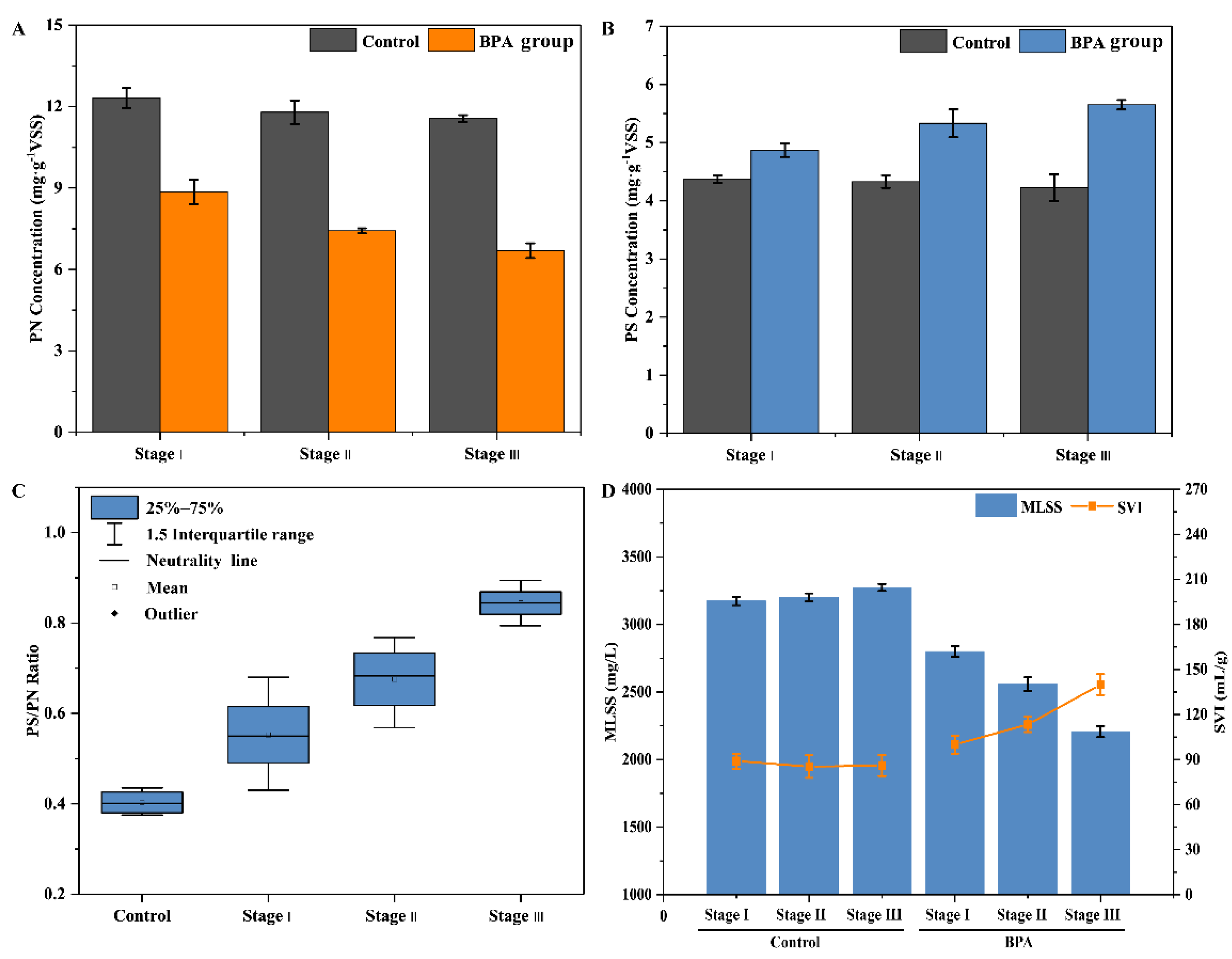
EPSs are complex polymers that are mainly composed of protein and polysaccharide. The content and composition of EPSs have a significant impact on the physical and chemical properties of activated sludge, including the sludge structure, surface charge, flocculation, settling performance, dehydration performance, and adsorption capacity [43]. This study found that the concentrations of polysaccharide and protein in the control group reactor remained basically stable at about 11.8 ± 0.4 mg·g−1 volatile suspended solids (VSS), and 4.2 ± 0.1 mg·g−1 VSS, respectively. In different stages of the BPA group reactor, the EPS content decreased, and the total secretion of proteins and polysaccharides was lowest in Stage III. The polysaccharide concentration increased slightly, and the protein concentration decreased significantly. The results showed that BPA negatively affected the secretion and accumulation of EPSs in sludge with reduced protein content (Figure 1A,B).
Figure 1.
Effects of bisphenol A (BPA) on extracellular polymeric substances (EPSs) and the settling properties of activated sludge. (A). Change in protein content in EPS; (B). Change in polysaccharide content in EPS; (C). Ratio of polysaccharide to protein in EPS; (D). Sequencing batch reactor (SBR) sludge concentration and the ratio of SV (mL) to sludge dry weight (g) (SVI). MLSS: mixed liquid suspended solids.
When the ratio of polysaccharide to protein in EPS increases, the flocculation and settling properties of activated sludge will deteriorate [44]. The ratio of polysaccharide to protein in the EPSs of the control group was between 0.37–0.43 (Figure 1C), and the ratio during each stage of the reactor in the BPA group was between 0.44–0.89. In stage III, the detection value of polysaccharide content was 5.65 mg·g−1 VSS, and the detection value of protein content was 6.7 mg·g−1 VSS. The ratio of polysaccharide to protein in EPSs changed the most, resulting in poor flocculation and sedimentation performance of the activated sludge, which was consistent with the detected SVI value. It has been reported that the binding interaction between BPA and EPS is spontaneous, and BPA mainly binds to the protein of EPSs through hydrophobic association [45], which may be one of the reasons for the decreased protein content in the BPA reactor. The electronegativity and hydrophobicity of the protein surface are conducive to particle flocculation and sedimentation, and the sedimentation effect of sludge decreases with the decrease of protein content [46]. PSs have high hydrophilicity, which is not conducive to the coagulation of microbial flocs. In the present study, BPA significantly reduced the protein content of activated sludge and increased the ratio of polysaccharide to protein, resulting in a decrease in the sedimentation performance of the sludge, and a decrease in the coagulation ability of microbial flocs.
The mixed liquid suspended solid value of the domesticated sludge was largely stable, and ranged from 3000–3200 mg/L. Under the influence of BPA, the concentration of activated sludge in the reactor gradually decreased, ranging from 2700 to 2300 mg/L (Figure 1D). The results showed that BPA reduced the biomass of activated sludge, and this effect was exacerbated with increasing BPA concentrations. Studies have shown that biomass concentration is positively correlated with the biodegradation rate of pollutants, and toxic pollutants can inhibit the growth of microorganisms, and ultimately lead to a decrease in the concentration of activated sludge [47]. The activated sludge process relies on the biodegradation or biological metabolism of pollutants by the sludge active biomass, and the decrease of mixed liquid suspended solid will lead to a decrease in the biological removal rate of BPA by activated sludge. The average SVI value of activated sludge in urban sewage treatment plants is generally between 50 and 150. The higher the SVI value, the worse the sludge settling performance. Compared with the control group reactor, the SVI in the BPA group reactor showed an increasing trend. The SVI values in the control group reactors were between 85–89 mL/g, and the SVI values in the BPA group reactors for the first, second, and third stages were 100 mL/g, 113 mL/g, and 140 mL/g, respectively. These results indicate that BPA can decrease the settling performance of activated sludge.
In general, when higher concentrations of BPA are included in the biological treatment process, they have a toxic effect on activated sludge. BPA can cause great damage to microbial activity, and the secretion of EPSs in activated sludge may be inhibited to a certain extent, which will affect the performance of activated sludge.
3.1.2. BPA Reduces the Water Purification Capacity of Activated Sludge
Due to the long-term acclimation of the inoculated sludge, the control reactor had stable removal efficiency of COD, ammonia nitrogen, and TP. The concentration of COD in the effluent was kept between 20–31 mg/L, the ammonia nitrogen in the effluent was between 2.3–2.9 mg/L, the TP in the effluent was 0.75 mg/L; the removal rates were all above 92%.
In the effluent of the BPA group reactor, the COD concentration was 62.6–138.3 mg/L, and the removal rate was also 65.4–84.3% (Figure 2A). The results indicated that BPA had a negative effect on the digestion of COD in the effluent of the reactor. This is because of the addition of BPA. The microorganisms are not adapted to the increased external carbon, resulting in an increase in the COD content of the system. Moreover, as BPA is an organic compound, its addition increased the COD in the system. In stages II and III of the BPA group reactor, the COD digestion capacity gradually recovered to a moderate level. The activated sludge used in the SBR process has a strong resistance to shock load, and the microorganisms can self-regulate and adapt, maintaining the stability of the reactor, and resisting the adverse environment by increasing biodiversity or secreting EPSs. However, when BPA damage reaches a certain level, the self-healing ability of microorganisms will be limited. Under BPA stress, the COD digestion capacity in the effluent of the reactor did not return to the original level at the end of the experiment. Similar results were obtained by Ferrer et al., who found that aerobic activated sludge in an SBR also resulted in an increase in effluent COD when 1 mg/L BPA was treated [12]. This result can be explained by the addition of BPA leading to the destruction of the microbial community, the decrease of microbial abundance associated with organic matter degradation, and finally to a higher effluent COD concentration.
Figure 2.
Effect of bisphenol A (BPA) on sequencing batch reactor (SBR) water quality. (A) COD; (B) Ammonia nitrogen; (C) Total phosphorus.
The response of BPA to the water purification of the SBR was reflected in the effluent quality. At the beginning of stage I in the BPA group reactor, the ammonia nitrogen concentration in the effluent fluctuated greatly, and the concentration reached 30.9 mg/L on the first day (Figure 2B). This phenomenon may have occurred because the domesticated sludge had already adapted to the environmental conditions of artificially simulated sewage, and the microbial community was unable to adapt to the addition of an excess carbon source, which inhibited the growth and reproduction of ammonia oxidation-related bacteria. When the microbial flora adapted to the long-term existence of BPA, the ammonia nitrogen content in the effluent was significantly reduced, but there was still a gap in comparison with the sludge from the control group due to the toxic effect of BPA itself on the sludge. In stages II and III of the BPA group reactor, with the increase of the BPA concentration, the ammonia nitrogen effluent content of the reactor remained very high, even reaching 122.8 mg/L. Although the ammonia nitrogen content decreased with the continuous operation of the reactor, it remained at a relatively high level, and it was difficult to restore the ammonia nitrogen content to its initial state. The results showed that the toxic effect of BPA resulted in a low ammonia nitrogen removal efficiency in the effluent of the reactor. This was because BPA affected the population structure of domesticated sludge, inhibited the growth of ammonia-oxidizing and nitrifying microorganisms, reduced or eliminated ammonia-oxidizing bacteria and denitrification-related bacteria, and greatly weakened the ammonia nitrogen removal function of sludge. In order to obtain more complete data on the water purification capacity of activated sludge, risk assessments of BPA leakage should be conducted over a longer time frame.
The phosphorus removal curve in the SBR by BPA is shown in Figure 2C. At the beginning of stage I in the BPA group reactor, the TP concentration in the effluent dropped sharply. With the increasing concentration of BPA, the trend of TP in the reactor effluent also fluctuated. The TP content of the stage III effluent in the BPA reactor remained high. This may have been due to the continuous destruction of the microbial community structure caused by BPA and the competition for substrates by P-accumulating bacteria and other bacteria, resulting in a decrease in P-accumulating bacterial abundance, and a subsequent increase in the concentration of TP in the effluent. It could be inferred that the damage caused by BPA to the phosphorus removal function of activated sludge was aggravated by the increasing severity of BPA pollution. Lei et al. established that 20 μg/L of endocrine-disrupting chemicals (EDCs) caused the water purification to fluctuate at the initial stage of the filler, and would return to the original capacity in a short period of time [48]. Lei et al. also established that 20 μg/L of EDCs would affect the water quality index of the reactor at the initial stage of packing and cause fluctuations, but the water purification capacity of the reactor would return to original level after a short period [48]. This suggests that when the concentration of BPA exceeds the capacity of activated sludge, the ammonia nitrogen removal capacity and the phosphorus accumulation capacity of sludge will be continuously diminished.
3.1.3. BPA Reduces the Microbial Activity of Activated Sludge
The use of fluorescent dyes can determine the activity of microorganisms based on the integrity of the microbial cell membrane. Under the selective stress of BPA, the viable bacteria level of the activated sludge microorganisms in the SBR system was evaluated, and the viability of the overall microbial population was assessed. Compared with the sludge in the control group (62.32 ± 1.13%), the proportions of viable bacteria in stages I, II, and III of the reactor in the BPA group were 57.75%, 49.32%, and 40.25%, respectively (Figure 3B). The results showed that BPA had a significant effect on bacterial death and cell membrane damage. In addition, with the increase of BPA concentration, an increasing number of damaged cell membranes were observed in activated sludge microorganisms, the degree of damage to cell membranes increased, and the proportion of viable bacteria was significantly reduced.
Figure 3.
The effect of bisphenol A (BPA) on the microbial activity of sequencing batch reactor (SBR) activated sludge. (A) Fluorescence staining of activated sludge microorganisms in different reaction stages; (B) The ratio of viable microorganisms in activated sludge in different reaction. Note: The three images are parallel samples of the same stage.
In all analyzed samples, the viable bacteria of the control activated sludge were mainly arranged around flocs. The areas that fluoresced red to indicate cell death or damage in the activated sludge in the BPA group increased significantly. Greater differences were observed with increasing BPA concentrations (Figure 3A). The results showed that BPA led to the death or damage of a large number of bacteria, and the microbial structure of activated sludge was destroyed. Studies have shown that looser microflocs and bacteria attached to the outer surface of these flocs are more susceptible to external factors [49]. In addition, the increased aggregation of dead bacteria can be observed, which may be a consequence of protection against environmental stresses, of cellular lysis attributed to increased released deoxyribonucleic acid under stress conditions, or the loss of viability [50]. Under the stress of a low concentration of BPA, activated sludge exhibited strong shock load resistance, and BPA exerted less toxicity toward microorganisms in activated sludge. This was due to the self-protection mechanism of activated sludge, which reduced the impact of environmental pressure. Once the BPA concentration exceeded the capacity of the activated sludge, BPA caused permanent damage to the microbial community structure of the activated sludge. It is worth noting that although the methods used in this study are advanced, they cannot be used to monitor the community structure of activated sludge and the proportion of viable bacteria in real time, and complete data cannot be obtained using these methods in a short period of time.
3.1.4. BPA Inhibits the Dehydrogenase Activity of Activated Sludge
Dehydrogenase activity (DHA) is an important indicator of the oxidative ability of microorganisms to degrade organic pollutants, which reflects the ability of microorganisms to metabolize organic matter in activated sludge. The DHA of the domesticated sludge was 1.44–1.50 mg TTC·g−1·min−1 (Figure 4). The results showed that different concentrations of BPA reduced the DHA of activated sludge microorganisms, and the ability to degrade organic pollutants decreased, resulting in a lower COD digestion rate. The reason that the DHA values in the BPA group reactors were all lower was that BPA led to a decrease in the biomass of activated sludge (Figure 1A). There was a significant decrease in DHA in all BPA group reactors, the microorganisms in the sludge system were affected, and the bacteria died or entered dormancy. Studies have shown that the DHA in SBR with added BPA decreased significantly in the first 40 days, and did not return to the initial value until 80–100 days later. This phenomenon is mainly caused by experimental conditions, such as low room temperature and the sludge domestication process [12]. It was reported that the effect of BPA on DHA showed a significant inhibitory effect, and the maximum relative effect rate of BPA on dehydrogenase reached −89.9% [51]. The relevant research results are consistent with the results of this study, indicating that BPA can significantly inhibit the degradation of DHA and organic matter in activated sludge, and the degree of inhibition is proportional to the concentration of BPA.
Figure 4.
Effect of bisphenol A (BPA) on the dehydrogenase activity (DHA) of sequencing batch reactor (SBR) activated sludge.
3.1.5. BPA Interferes with the Microbial Population Structure of Activated Sludge
There were 24 common microorganisms in the sludge of the control group and the BPA group, six unique microorganisms in the activated sludge of stage III of the reactor under BPA stress, and one unique microorganism in the sludge of both stage I and stage II (Figure S2). The results showed that different concentrations of BPA could lead to changes in the indigenous microbial community structure of activated sludge. Although the species composition in domesticated sludge and BPA-stressed sludge was similar, some species differed. Alpha diversity reflects the species abundance and species diversity of a single sample. Chao1 and Ace indices measure species abundance. Shannon and Simpson indices are used to measure species diversity, and are influenced by species abundance and species evenness in the sample community. In the case of the same species abundance, the greater the evenness of each species in the community, the greater the diversity of the community and the Shannon index value, and the smaller the Simpson index value, indicating that the species diversity of the sample is higher. Compared with the domesticated sludge, the Chao1, Ace, and Shannon indices of BPA-stressed activated sludge continued to decrease, while the Simpson index increased (Table 1). The results showed that BPA significantly reduced the species richness and diversity in activated sludge. BPA had an inhibitory effect on some microorganisms that was not conducive to their growth and eventually led to a decrease in microbial diversity, which was consistent with the results obtained from the viable bacteria ratio.
Table 1.
Alpha diversity of each sludge sample.
The results revealed differences in the microbial community structure of activated sludge before and after BPA addition. Activated sludge is one of the most important components of sewage treatment plants, and is the key to the biodegradation of pollutants. The community composition of activated sludge directly affects the treatment efficiency of sewage treatment plants. Therefore, this study first analyzed the domestication sludge community composition at the bacterial phylum level. As shown in Figure 5A, the phyla with higher abundances in domestic sludge were Proteobacteria (50.17%), Bacteroidota (39.41%), Patescibacteria (7.19%), and Nitrospirota (0.23%). This finding was similar to the results of Tian et al., who sequenced activated sludge in WWTPs worldwide [52]. Compared with domesticated sludge, the dominant microbial phyla of activated sludge under BPA stress were Proteobacteria (stage I: 71.79%; stage II: 95.06%; and stage III: 99.7%), Bacteroidota (stage I: 24.7%; stage II: 4.84%; and stage III: 0.25%), and Patescibacteria (stage I: 3.16%; stage II: 0.08%; and stage III: 0%). The results showed that different concentrations of BPA had a significant impact on the activated sludge microorganisms. Some indigenous microorganisms competed, but could not adapt well to BPA, and were eliminated, or decreased in abundance due to the toxicity of BPA.
Figure 5.
The effect of bisphenol A (BPA) on the microbial populations of sequencing batch reactor (SBR) activated sludge. (A) Phylum-level abundance; (B) Species-level abundance; (C) Genus-level heat map. (The color gradient from blue to red indicates a relative abundance from low to high).
At the bacterial species level, the domesticated sludge had high biodiversity, and the dominant bacterial species were Flavobacterium succinicans (10.87%) and Ferribacterium limneticum (10.58%). The dominant bacteria in the first stage in the BPA group reactor were Methylotenera mobilis (36.41%) and Flavobacterium succinicans (11.02%). The dominant bacteria in stages II and III of the BPA group reactor were Comamonas koreensis (19.14–53.78%), Acinetobacter bohemicus (26.78–21.80%), and Brevundimonas bullata (21.46–0.7%) (Figure 5B). Wang et al. used bisphenols to domesticate activated sludge, and the results of 16S rRNA sequencing also indicated that Methylotenera was the dominant genus [53]. The abundance of M. mobilis increased in stage I in the BPA group reactor, but showed a downward trend in stages II and III, indicating that the strain had strong BPA tolerance and could survive under a low concentration of BPA. However, medium and high concentrations of BPA were not conducive to the survival of this species, and eventually led to the decline of bacterial abundance until this species was eliminated. Different concentrations of BPA led to different dominant bacterial species aggregates. With the gradual increase of BPA concentration, the dominant bacterial species showed resistance to stress, and certain bacterial species adapted to BPA and increased in abundance. In the future, the EDC degradation ability of these dominant strains and the role of related genes can be explored.
A species heat map at the genus level (Figure 5C) was constructed to analyze the abundance of functional bacterial genera and their correlations with water purification. This study analyzed the top 40 most abundant genera, of which 24 genera were relatively abundant in the control sludge. However, under BPA stress, the abundances of these dominant genera decreased significantly, while different concentrations of BPA showed different population niches. Consistent with the research results of Ai et al., the dominant bacterial genera in artificial sewage domesticated sludge were Labilithrix and Ferribacterium [54]. Portibacter can grow and attach to the surface of biofilms [55] and can decompose various organic macromolecules [56]. As an indigenous genus in activated sludge, Ferruginibacter is the main strain involved in the degradation of organic matter [57]. Polaromonas has an excellent ability to metabolize a variety of organic compounds and can efficiently degrade organic pollutants [58]. Dechloromonas has a strong ability to accumulate polyphosphoric acid, as well as the ability to remove phosphorus during wastewater treatment [59]. Zoogloea is involved in the biosynthesis of extracellular polysaccharide and protein, is a genus necessary for floc formation, and plays a central role in the activated sludge process [60]. Ren et al. reported that Thauera was related to the denitrification process, and that its role in the removal of nitrogen and phosphorus from wastewater under the condition of low-carbon sources was critical [61]. Nitrospira, a genus of nitrite-oxidizing bacteria, is mainly responsible for the second step of aerobic nitrification, and plays an important role in the nitrogen cycle in WWTPs. The nitrification reaction is an important denitrification step in biological sewage treatment, and Nitrospira is an important bacterium that can ensure nitrification activity. This genus is only found in abundance in domesticated sludge.
Among the activated sludge microorganisms in the BPA group reactor, the dominant bacterial genus Aeromonas has the function of denitrification and phosphorus removal [62]. In a study on autotrophic denitrification sludge, Curvibacter was found to be beneficial to improving the nitrate removal rate of sludge [63]. Acinetobacter and Comamonas play key roles in the removal of ammonia nitrogen and phosphorus under aniline stress [54]. Sphingobium is the dominant bacterial genus for the treatment of pharmaceutical wastewater in membrane bioreactors [64]. Sphingopyxis can secrete EPSs, which play an important role in enriching phosphorus and stabilizing the granular structure of activated sludge [65]. In a study by Wang et al., it was confirmed that Methylotenera used nitrate and nitrogen as nitrogen sources to take up carbon through the ribulose monophosphate pathway [66]. Methylobacillus is a species of methylotrophic aerobic bacteria that can utilize organic compounds such as formaldehyde, methanol, and methylamine as carbon sources, thereby contributing to the digestion of COD in sludge systems [67].
The results of this study showed that the bacterial phyla and genera in domesticated sludge were rich in diversity, and the sludge contained a large number of functional bacteria genera, including genera involved in the high-efficiency degradation of organic matter, flocculation, and nitrogen and phosphorus removal. However, under the stress of different concentrations of BPA, the abundances of these functional bacterial genera decreased, indicating that the related functions of activated sludge were inhibited, and that the organic matter degradation ability, and the ability to remove nitrogen and phosphorus, decreased. Although the addition of BPA altered the bacterial niches of activated sludge functional microorganisms, thereby leading to a decrease in the sludge water purification ability, the dominant bacteria under BPA stress still had functions including organic matter removal, EPS secretion, and nitrogen and phosphorus removal. This may have been the reason why the activated sludge reactor could still maintain operation. The nitrogen and phosphorus removal performance of the reactor activated sludge was closely related to the functional bacteria genera mentioned in the literature, and the microbial community under BPA stress changed significantly. This was also the main reason why the removal efficiency of nitrogen and phosphorus from activated sludge after exposure to BPA decreased and did not recover significantly.
3.2. Bio-Augmented Activated Sludge
3.2.1. Survival of Rhodococcus
The relative abundance of Rhodococcus in the original domesticated sludge was extremely low, and the relative content was below 0.001%. At the beginning of the bioaugmentation experiment, Req-001 was dosed one time. The abundance of Rhodococcus remained high 1–5 d after dosing, and the survival of Rhodococcus was detected even when the experimental time was extended to 20 d (Figure 6). Studies have shown that continuous bioaugmentation, rather than single-dose bioaugmentation, is a potential method to improve pollutant removal efficiency in WWTPs [68]. Req-001 can survive in activated sludge for a certain period of time, but the strain could not permanently colonize the activated sludge with only one dose. Therefore, the first four days, in which relatively high relative abundances of Rhodococcus were observed, were selected for bioaugmentation experiments.
Figure 6.
Abundance of biofortified Req-001.
3.2.2. Enhancement of Req-001 to Improve Effluent Quality
The COD effluent concentration of the control group was 25.3–50.25 mg/L, and the removal rate was 86–92.9% (Figure 7A,D). The COD effluent of the non-biofortified group was 81–172.9 mg/L, and the removal rate was 51.9–77.4%; the COD effluent of the Req-001 group was 50.9–151.2 mg/L, and the removal rate was 57.9–85.8%. The COD removal rate of the Req-001 reactor was 15.3% higher than that of the BPA reactor. In 3–24 h, the activated sludge adapted to the presence of BPA, the removal ability of organic matter recovered, and the COD concentration of the effluent of the BPA group reactor decreased. The COD removal rate of the Req-001 reactor was 6.6% higher than that of the BPA reactor. The results showed that Req-001 had good bio-enhancement ability at the beginning of the experiment, which could effectively improve the organic matter degradation ability of the reactor.
Figure 7.
Req-001 bioaugmentation reactor effluent indicators. (A) Chemical oxygen demand; (B) Ammonia nitrogen; (C) Total phosphorus (TP); (D) Chemical oxygen demand removal rate; (E) Ammonia nitrogen removal rate; (F) Total phosphorus removal rate. Control: Activated sludge; Not Biofortified: Addition of bisphenol A (BPA) sludge; Biofortified: Addition of BPA + Req-001 sludge.
The control group showed good ammonia nitrogen removal performance, with an effluent concentration between 0.63 mg/L and 1.59 mg/L, and a removal rate above 92.9%. At 1–24 h, the ammonia nitrogen removal efficiency of the effluent from the biofortified reactor was 85.9%, which was 40% higher than that of the non-biofortified reactor (45.9%) (Figure 7B,E). On the second day, the Req-001 group of reactors exhibited better ammonia nitrogen removal capacities, with removal efficiencies of 18.3–40.4%. On the third day, the removal rate of ammonia nitrogen in the Req-001 group of reactors increased by 8.8% compared with the BPA reactor. The results showed that the addition of bio-enhanced strain Req-001 reduced the ammonia nitrogen content in the effluent of the bio-enhanced reactor, and the toxic effect of BPA on activated sludge was weakened. Req-001 could improve the ammonia nitrogen removal ability of activated sludge under BPA stress, and could achieve good ammonia nitrogen strengthening ability in a short time (24 h). The TP concentration in the effluent of the control group was between 0.63–1.58 mg/L. In the non-biofortified group reactor, the TP removal rate on the first day was 41.2% (Figure 7C), while the biofortified group reactor in the same period showed good phosphorus removal performance at the beginning (61.9%), and reached 70.5% after 24 h. Phosphorus removal from the biofortified reactor remained stable on the second day, ranging from 65.1–74%. At 24 h on the third day, the phosphorus removal rate of the biofortified reactor was 84.7%, which was lower than the phosphorus removal ability of the activated sludge of 92%. Compared with the non-biofortified group of reactors, Req-001 weakened the functional effect of BPA on activated sludge and improved the phosphorus removal capacity of the activated sludge system by 22.6%. The results showed that Req-001 could restore the removal of ammonia nitrogen and phosphorus from sludge under BPA stress.
This effect was due to the multi-pathway metabolism of Rhodococcus and the existence of gene homologues. Req-001 has a strong metabolic capacity and can effectively degrade BPA [69]. Req-001 has a good bio-enhancement ability in that the bio-enhanced bacteria improve the toxicity tolerance of activated sludge to BPA. In addition, because of the removal of BPA in a short time, it contributes to the bioremediation of BPA activated sludge damage. Req-001 improved the removal capacity of the reactor organic substrate, weakened the influence of BPA on the activated sludge, and thus restored the denitrification and phosphorus removal function of the activated sludge in the reactor.
3.2.3. Enhanced Degradation Efficiency
Before bioaugmentation, the BPA removal rate of activated sludge was low (Figure 8). It was reported that the removal of BPA by a small sewage treatment plant in the city of Rome was 59% [70]. In another previous study, the average removal rate of BPA and its analogs in municipal WWTPs was found to be 69.3%, and the removal efficiencies of BPA were very similar using conventional activated sludge units or membrane bioreactors [71]. The accumulated research results suggest that several factors may lead to different BPA degradation efficiencies, including temperature, BPA concentration, mixed liquid suspended solids, hydraulic retention time, and pH [72].
Figure 8.
Bisphenol A (BPA) residues in biofortified sequencing batch reactors (SBR).
Bioaugmentation is a feasible and environmentally friendly solution to increase the efficiency of biological sludge treatment. Within 96 h, the residual concentration of BPA in the biofortified reactor was much lower than that in the control reactor. During the entire reaction time, the BPA removal efficiency of the control group was 51.1–80.2%, and the BPA removal efficiency of the biofortified group of reactors was 71–96.3%. The removal rate of the biofortified group reached 83.1% in 72 h, showing a high BPA removal efficiency. In addition, 96.3% of the BPA in the wastewater was removed in 96 h, and the BPA removal efficiency of the biofortified group was increased by 15% compared with the control group. The results showed that Req-001 had a good ability to remove BPA, and the addition of Req-001 quickly removed BPA in municipal wastewater. Due to the adsorption of microorganisms, a small amount of BPA was removed, and biodegradation was the main reason for the reduction of BPA. Studies have shown that biofortified bacteria can improve the biodegradation and wastewater treatment performance of biofortified systems [73]. Req-001 showed good BPA detoxification ability, ensured the water purification performance of the reactor and the removal of toxic substances, and had a good application potential for bio-augmentation.
Our previous experimental results showed that the addition of Rhodococcus would have an effect on the microbial community of activated sludge, causing changes in the abundance of some other microorganisms. Especially when the abundance of Rhodococcus is relatively high, some substrates used by Rhodococcus are the same or similar, and growth and reproduction will produce a competitive relationship. The abundance of these competitive bacteria decreased to a certain extent. When the abundance of Rhodococcus decreases, it means that Rhodococcus cannot compete with indigenous bacteria, but it still has an influence on the microbial population structure. With a mutually beneficial symbiotic relationship with Rhodococcus, the abundance will increase in a short period of time. After the addition of Rhodococcus, the abundance of Zoogloea and Methylobacillus, which have functions such as COD digestion and extracellular polymer secretion, increased, indicating that Rhodococcus changed the microbial population structure and bio-enhanced the sludge system. The increased abundance of bacteria and Rhodococcus together resulted in improved water quality and reduced organic matter concentrations. The addition of BPA affects the water treatment capacity of the reactor because of the effect of BPA on certain microbial communities. When the bio-enhanced Rhodococcus was added, the concentration of BPA was significantly reduced, because the toxic effect of BPA on activated sludge was alleviated and recovered, and the affected functional flora began to restore the original population niche.
4. Conclusions
This study analyzed the toxic effects of BPA on the structure and function of activated sludge microbial flora, and the mechanism and reasons for the toxicity of BPA in activated sludge. These effects and mechanisms were analyzed from the perspective of changes in microbial populations, and a recovery strategy was proposed using Req-001 to improve activated sludge functions under BPA stress. The main research conclusions were as follows:
(1) BPA reduced the concentration and biomass of activated sludge, and the biomass of activated sludge decreased significantly with the increase of BPA concentration. BPA led to an increase in SVI, a decrease in the secretion and accumulation of EPSs, an increase in the ratio of polysaccharide to protein, and a deterioration in the flocculation and settling properties of activated sludge.
(2) The toxic effects of BPA will reduce the species diversity and richness of microorganisms. In this study, 50 mg/L of BPA increased the abundance of Proteobacteria in activated sludge to 99.7%. Bacteria including C. koreensis, A. bohemicus, and B. bullata could maintain high abundances under the stress of high concentration of BPA, and were potential BPA-resistant strains. DHA, COD digestion, and the water purification function were all reduced, and the activated sludge functions of the degradation of organic matter, flocculation, and nitrogen and phosphorus removal were all inhibited.
(3) After bioaugmentation by Req-001, the BPA removal rate of activated sludge was increased by 15%, the COD digestion rate was 6.6% higher, and the removal rates of ammonia nitrogen and phosphorus were increased by 8.8% and 22.7%, respectively. In the actual sewage treatment process using bio-augmentation technology, the results indicate that it is necessary to add enhanced strains many times to ensure the long-term persistence of beneficial bacteria in the treatment system.
The results indicated that the functional recovery ability of the sludge system and the high removal ability of Req-001 make the latter a promising specie for use in BPA bioremediation. These results provide a theoretical basis for a comprehensive understanding of the impact of BPA on sewage systems and activated sludge community structure. Furthermore, the study provides potential biotechnological strategies for the application prospects of strain Req-001 for bioremediation, and has important implications for the bio-augmentation of damaged sludge during wastewater treatment.
Supplementary Materials
The following supporting information can be downloaded at: www.mdpi.com/article/10.3390/app12168026/s1. Figure S1: SBR reactor design diagram and flow chart. A: BPA Toxicity Test Reactor; B: Bio-augmented Experimental Reactor; C: SBR Reactor Flow Chart. Figure S2: Each sample OTU-Venn drawn by different stages. The number of overlapping parts between multiple color graphs is the total number of OTUs among multiple samples, and the non-overlapping part is the number of unique OTUs of each sample. Table S1: Simulated sewage reagent content. Table S2: Trace element composition content.
Author Contributions
Conceptualization, K.T.; Data curation, F.M.; Formal analysis, S.L.; Funding acquisition, H.L.; Investigation, Y.Y.; Methodology, Q.Q.; Project administration, M.C.; Writing—original draft, J.S.; Writing—review & editing, H.H. All authors have read and agreed to the published version of the manuscript.
Funding
This research was funded by National Natural Science Foundation of China (No. 51978132).
Institutional Review Board Statement
Not applicable.
Informed Consent Statement
Informed consent was obtained from all subjects involved in the study.
Conflicts of Interest
The authors declare no conflict of interest.
References
- Qu, L.; Bai, J.; Peng, Y.; Han, D.; Ning, B.; Zhou, H.; Li, S.; Gao, Z. Detection of Three Different Estrogens in Milk Employing SPR Sensors Based on Double Signal Amplification Using Graphene. Food Anal. Methods 2021, 14, 54–65. [Google Scholar] [CrossRef]
- Ramu, A.G.; Telmenbayar, L.; Theerthagiri, J.; Yang, D.; Song, M.; Choi, D. Synthesis of a hierarchically structured Fe3O4-PEI nanocomposite for the highly sensitive electrochemical determination of bisphenol A in real samples. New J. Chem. 2020, 44, 18633–18645. [Google Scholar] [CrossRef]
- Sá, A.C.; Barbosa, S.C.; Raymundo-Pereira, P.A.; Wilson, D.; Shimizu, F.M.; Raposo, M.; Oliveira, O.N., Jr. Flexible Carbon Electrodes for Electrochemical Detection of Bisphenol-A, Hydroquinone and Catechol in Water Samples. Chemosensors 2020, 8, 103. [Google Scholar] [CrossRef]
- Xiong, H.; Guo, L.; Mao, X.; Tan, T.; Wan, H.; Wan, Y. A magnetic hydrophilic molecularly imprinted material with multiple stimuli-response properties for efficient recognition of bisphenol A in beverages. Food Chem. 2020, 331, 127311. [Google Scholar] [CrossRef]
- Hoekstra, E.J.; Simoneau, C. Release of Bisphenol A from Polycarbonate—A Review. Crit. Rev. Food Sci. Nutr. 2013, 53, 386–402. [Google Scholar] [CrossRef]
- Berge, T.L.L.; Lygre, G.B.; Jönsson, B.A.G.; Lindh, C.H.; Bjorkman, L. Bisphenol A concentration in human saliva related to dental polymer-based fillings. Clin. Oral Investig. 2017, 21, 2561–2568. [Google Scholar] [CrossRef]
- Santos, J.M.; Putt, D.A.; Jurban, M.; Joiakim, A.; Friedrich, K.; Kim, H. Differential BPA levels in sewage wastewater effluents from metro Detroit communities. Environ. Monit. Assess. 2016, 188, 585. [Google Scholar] [CrossRef]
- Kabir, E.R.; Rahman, M.S.; Rahman, I. A review on endocrine disruptors and their possible impacts on human health. Environ. Toxicol. Pharmacol. 2015, 40, 241–258. [Google Scholar] [CrossRef]
- Jurado, A.; Vàzquez-Suñé, E.; Carrera, J.; López de Alda, M.; Pujades, E.; Barceló, D. Emerging organic contaminants in groundwater in Spain: A review of sources, recent occurrence and fate in a European context. Sci. Total Environ. 2012, 440, 82–94. [Google Scholar] [CrossRef]
- Im, J.; Löffler, F.E. Fate of Bisphenol A in Terrestrial and Aquatic Environments. Environ. Sci. Technol. 2016, 50, 8403–8416. [Google Scholar] [CrossRef]
- Hu, Y.; Zhu, Q.; Yan, X.; Liao, C.; Jiang, G. Occurrence, fate and risk assessment of BPA and its substituents in wastewater treatment plant: A review. Environ. Res. 2019, 178, 108732. [Google Scholar] [CrossRef] [PubMed]
- Ferrer-Polonio, E.; Alvim, C.B.; Fernández-Navarro, J.; Mompó-Curell, R.; Mendoza-Roca, J.A.; Bes-Piá, A.; Alonso-Molina, J.L.; Amorós-Muñoz, I. Influence of bisphenol A occurrence in wastewaters on biomass characteristics and activated sludge process performance. Sci. Total Environ. 2021, 778, 146355. [Google Scholar] [CrossRef] [PubMed]
- Staples, C.A.; Dome, P.B.; Klecka, G.M.; Oblock, S.T.; Harris, L.R. A review of the environmental fate, effects, and exposures of bisphenol A. Chemosphere 1998, 36, 2149–2173. [Google Scholar] [CrossRef]
- Klemeš, J.J.; Van Fan, Y.; Tan, R.R.; Jiang, P. Minimising the present and future plastic waste, energy and environmental footprints related to COVID-19. Renew. Sustain. Energy Rev. 2020, 127, 109883. [Google Scholar] [CrossRef] [PubMed]
- Kalina, M.; Tilley, E. “This is our next problem”: Cleaning up from the COVID-19 response. Waste Manag. 2020, 108, 202–205. [Google Scholar] [CrossRef] [PubMed]
- Vasiljevic, T.; Harner, T. Bisphenol A and its analogues in outdoor and indoor air: Properties, sources and global levels. Sci. Total Environ. 2021, 789, 148013. [Google Scholar] [CrossRef] [PubMed]
- Jin, H.; Zhu, L. Occurrence and partitioning of bisphenol analogues in water and sediment from Liaohe River Basin and Taihu Lake, China. Water Res. 2016, 103, 343–351. [Google Scholar] [CrossRef]
- Wang, Q.; Chen, M.; Shan, G.Q.; Chen, P.Y.; Cui, S.; Yi, S.J.; Zhu, L.Y. Bioaccumulation and biomagnification of emerging bisphenol analogues in aquatic organisms from Taihu Lake, China. Sci. Total Environ. 2017, 598, 814–820. [Google Scholar] [CrossRef]
- Correa, J.M.M.; Sanson, A.L.; Machado, C.F.; Aquino, S.F.; Afonso, R.J.C.F. Occurrence of contaminants of emerging concern in surface waters from Paraopeba River Basin in Brazil: Seasonal changes and risk assessment. Environ. Sci. Pollut. Res. 2021, 28, 30242–30254. [Google Scholar] [CrossRef]
- Huang, R.P.; Liu, Z.H.; Yin, H.; Dang, Z.; Wu, P.X.; Zhu, N.W.; Lin, Z. Bisphenol A concentrations in human urine, human intakes across six continents, and annual trends of average intakes in adult and child populations worldwide: A thorough literature review. Sci. Total Environ. 2018, 626, 971–981. [Google Scholar] [CrossRef]
- Vinas, R.; Jeng, Y.-J.; Watson, C.S. Non-Genomic Effects of Xenoestrogen Mixtures. Int. J. Environ. Res. Public Health 2012, 9, 2694–2714. [Google Scholar] [CrossRef] [PubMed]
- Richter, C.A.; Birnbaum, L.S.; Farabollini, F.; Newbold, R.R.; Rubin, B.S.; Talsness, C.E.; Vandenbergh, J.G.; Walser-Kuntz, D.R.; vom Saal, F.S. In vivo effects of bisphenol A in laboratory rodent studies. Reprod. Toxicol. 2007, 24, 199–224. [Google Scholar] [CrossRef] [PubMed] [Green Version]
- Beausoleil, C.; Emond, C.; Cravedi, J.-P.; Antignac, J.-P.; Applanat, M.; Appenzeller, B.R.; Beaudouin, R.; Belzunces, L.P.; Canivenc-Lavier, M.-C.; Chevalier, N.; et al. Regulatory identification of BPA as an endocrine disruptor: Context and methodology. Mol. Cell. Endocrinol. 2018, 475, 4–9. [Google Scholar] [CrossRef] [PubMed] [Green Version]
- Mustieles, V.; D’Cruz, S.C.; Couderq, S.; Rodríguez-Carrillo, A.; Fini, J.-B.; Hofer, T.; Steffensen, I.-L.; Dirven, H.; Barouki, R.; Olea, N.; et al. Bisphenol A and its analogues: A comprehensive review to identify and prioritize effect biomarkers for human biomonitoring. Environ. Int. 2020, 144, 105811. [Google Scholar] [CrossRef] [PubMed]
- Kenda, M.; Pečar Fonović, U.; Kos, J.; Sollner Dolenc, M. The effect of endocrine disrupting chemicals on the vitronectin-receptor (integrin αvβ3)-mediated cell adhesion of human umbilical vein endothelial cells. Toxicol. In Vitro 2022, 79, 105275. [Google Scholar] [CrossRef]
- Tarapore, P.; Ying, J.; Ouyang, B.; Burke, B.; Bracken, B.; Ho, S.-M. Exposure to Bisphenol a Correlates with Early-Onset Prostate Cancer and Promotes Centrosome Amplification and Anchorage Independent Growth In Vitro. Endocr. Rev. 2014, 9, e90332. [Google Scholar] [CrossRef] [PubMed] [Green Version]
- Mustieles, V.; Perez-Lobato, R.; Olea, N.; Fernandez, M.F. Bisphenol A: Human exposure and neurobehavior. Neurotoxicology 2015, 49, 174–184. [Google Scholar] [CrossRef]
- Huang, Y.Q.; Wong, C.K.C.; Zheng, J.S.; Bouwman, H.; Barra, R.; Wahlstrom, B.; Neretin, L.; Wong, M.H. Bisphenol A (BPA) in China: A review of sources, environmental levels, and potential human health impacts. Environ. Int. 2012, 42, 91–99. [Google Scholar] [CrossRef]
- Guerra, P.; Kim, M.; Teslic, S.; Alaee, M.; Smyth, S.A. Bisphenol-A removal in various wastewater treatment processes: Operational conditions, mass balance, and optimization. J. Environ. Manag. 2015, 152, 192–200. [Google Scholar] [CrossRef]
- Man, Y.B.; Chow, K.L.; Tsang, Y.F.; Lau, F.T.K.; Fung, W.C.; Wong, M.H. Fate of bisphenol A, perfluorooctanoic acid and perfluorooctanesulfonate in two different types of sewage treatment works in Hong Kong. Chemosphere 2018, 190, 358–367. [Google Scholar] [CrossRef]
- Chen, X.; Zhao, J.; Bao, L.; Wang, L.; Zhang, Y. The investigation of different pollutants and operation processes on sludge toxicity in sequencing batch bioreactors. Environ. Technol. 2016, 37, 2048–2057. [Google Scholar] [CrossRef] [PubMed]
- Keskinkan, O.; Balci, B. Biotic and abiotic bisphenol-A removal from wastewater by activated sludge: Effects of temperature, biomass, and bisphenol-A concentrations. Water Sci. Technol. 2015, 73, 317–328. [Google Scholar] [CrossRef] [PubMed]
- Matsumura, Y.; Akahira-Moriya, A.; Sasaki-Mori, M. Bioremediation of Bisphenol-A Polluted Soil by Sphingomonas bisphenolicum AO1 and the Microbial Community Existing in the Soil. Biocontrol. Sci. 2015, 20, 35–42. [Google Scholar] [CrossRef] [PubMed] [Green Version]
- Kyrila, G.; Katsoulas, A.; Schoretsaniti, V.; Rigopoulos, A.; Rizou, E.; Doulgeridou, S.; Sarli, V.; Samanidou, V.; Touraki, M. Bisphenol A removal and degradation pathways in microorganisms with probiotic properties. J. Hazard. Mater. 2021, 413, 125363. [Google Scholar] [CrossRef]
- Jia, Y.; Eltoukhy, A.; Wang, J.H.; Li, X.J.; Hlaing, T.S.; Aung, M.M.; Nwe, M.T.; Lamraoui, I.; Yan, Y.C. Biodegradation of Bisphenol A by Sphingobium sp. YC-JY1 and the Essential Role of Cytochrome P450 Monooxygenase. Int. J. Mol. Sci. 2020, 21, 3588. [Google Scholar] [CrossRef] [PubMed]
- Cydzik-Kwiatkowska, A.; Zielinska, M.; Bernat, K.; Bulkowska, K.; Wojnowska-Baryla, I. Insights into mechanisms of bisphenol A biodegradation in aerobic granular sludge. Bioresour. Technol. 2020, 315, 123806. [Google Scholar] [CrossRef]
- Guo, Y.; Shi, W.X.; Zhang, B.; Li, W.G.; Lens, P.N.L. Effect of voltage intensity on the nutrient removal performance and microbial community in the iron electrolysis-integrated aerobic granular sludge system. Environ. Pollut. 2021, 274, 116604. [Google Scholar] [CrossRef]
- American Public Health Association; American Water Works Association; Water Environmental Federation. Standard Methods for the Examination of Water and Wastewater, 21st ed.; American Public Health Association (APHA): Washington, DC, USA, 2005. [Google Scholar]
- Ge, L.Y.; Deng, H.H.; Wang, H.W.; Ma, L.M.; Liu, Y. Comparison of extraction methods for quantifying extracellular polymers in activated sludges. Fresenius Environ. Bull. 2007, 16, 299–303. [Google Scholar]
- Maehre, H.K.; Dalheim, L.; Edvinsen, G.K.; Elvevoll, E.O.; Jensen, I.J. Protein Determination Method Matters. Foods 2018, 7, 5. [Google Scholar] [CrossRef] [Green Version]
- Zhang, W.H.; Wu, J.; Weng, L.Y.; Zhang, H.J.; Zhang, J.; Wu, A.B. An improved phenol-sulfuric acid method for the determination of carbohydrates in the presence of persulfate. Carbohydr. Polym. 2020, 227, 115332. [Google Scholar] [CrossRef]
- Stiefel, P.; Schmidt-Emrich, S.; Maniura-Weber, K.; Ren, Q. Critical aspects of using bacterial cell viability assays with the fluorophores SYTO9 and propidium iodide. BMC Microbiol. 2015, 15, 36. [Google Scholar] [CrossRef] [Green Version]
- Iorhemen, O.T.; Hamza, R.A.; Zaghloul, M.S.; Tay, J.H. Aerobic granular sludge membrane bioreactor (AGMBR): Extracellular polymeric substances (EPS) analysis. Water Res. 2019, 156, 305–314. [Google Scholar] [CrossRef]
- Yuan, D.Q.; Wang, Y.L. Effects of solution conditions on the physicochemical properties of stratification components of extracellular polymeric substances in anaerobic digested sludge. J. Environ. Sci. 2013, 25, 155–162. [Google Scholar] [CrossRef]
- Yan, Z.R.; Zhu, Y.Y.; Meng, H.S.; Wang, S.Y.; Gan, L.H.; Li, X.Y.; Xu, J.; Zhang, W. Insights into thermodynamic mechanisms driving bisphenol A (BPA) binding to extracellular polymeric substances (EPS) of activated sludge. Sci. Total Environ. 2019, 677, 502–510. [Google Scholar] [CrossRef]
- Oberoi, A.S.; Philip, L. Variation in cell surface characteristics and extracellular polymeric substances during the biodegradation of monocyclic and heterocyclic aromatic hydrocarbons in single and multi-substrate systems. Environ. Technol. 2018, 39, 3115–3126. [Google Scholar] [CrossRef]
- Rout, P.R.; Zhang, T.C.; Bhunia, P.; Surampalli, R.Y. Treatment technologies for emerging contaminants in wastewater treatment plants: A review. Sci. Total Environ. 2021, 753, 141990. [Google Scholar] [CrossRef]
- Castellanos, R.M.; Dezotti, M.; Bassin, J.P. COD, nitrogen and phosphorus removal from simulated sewage in an aerobic granular sludge in the absence and presence of natural and synthetic estrogens: Performance and biomass physical properties assessment. Biochem. Eng. J. 2021, 176, 108221. [Google Scholar] [CrossRef]
- Domanska, M.; Kusnierz, M.; Stanczyk, J. What is hidden behind activated sludge supernatant? Fluorescent staining and laser granulometry investigation supported by machine learning. Environ. Eng. Manag. J. 2021, 20, 1099–1109. [Google Scholar] [CrossRef]
- Park, S.Y.; Kim, C.G. A comparative study of three different viability tests for chemically or thermally inactivated Escherichia coli. Environ. Eng. Res. 2018, 23, 282–287. [Google Scholar] [CrossRef] [Green Version]
- Dong, Y.Y.; Zhao, J.J.; Wang, L.W.; Wang, H.Q.; Zou, X.J.; Zhang, J.G. Effect of bisphenol A and pentachlorophenol on different enzymes of activated sludge. Sci. Total Environ. 2019, 671, 1170–1178. [Google Scholar] [CrossRef]
- Tian, L.; Wang, L. A meta-analysis of microbial community structures and associated metabolic potential of municipal wastewater treatment plants in global scope. Environ. Pollut. 2020, 263, 114598. [Google Scholar] [CrossRef]
- Wang, X.W.; Chen, J.Q.; Ji, R.; Liu, Y.H.; Su, Y.; Guo, R.X. Degradation of Bisphenol S by a Bacterial Consortium Enriched from River Sediments. Bull. Environ. Contam. Toxicol. 2019, 103, 630–635. [Google Scholar] [CrossRef] [PubMed]
- Ai, C.B.; Yan, Z.; Zhou, H.; Hou, S.S.; Chai, L.Y.; Qiu, G.Z.; Zeng, W.M. Metagenomic Insights into the Effects of Seasonal Temperature Variation on the Activities of Activated Sludge. Microorganisms 2019, 7, 713. [Google Scholar] [CrossRef] [PubMed] [Green Version]
- Papadatou, M.; Robson, S.C.; Dobretsov, S.; Watts, J.E.M.; Longyear, J.; Salta, M. Marine biofilms on different fouling control coating types reveal differences in microbial community composition and abundance. MicrobiologyOpen 2021, 10, e1231. [Google Scholar] [CrossRef]
- Fernández-Gomez, B.; Richter, M.; Schüler, M.; Pinhassi, J.; Acinas, S.G.; Gonzalez, J.M.; Pedros-Alio, C. Ecology of marine Bacteroidetes: A comparative genomics approach. ISME J. 2013, 7, 1026–1037. [Google Scholar] [CrossRef] [PubMed] [Green Version]
- Yang, M.; Ma, F.; Xie, Y.J.; Li, L.; Xue, Y.W. The SBR start-up performing simultaneous removal of organics, nitrogen and phosphorus from aniline wastewater: Pollutant removal efficiency and microbial community succession. Environ. Pollut. Bioavailab. 2021, 33, 104–112. [Google Scholar] [CrossRef]
- Jung, E.-Y.; Byungryul, A.; Son, H. Effect of Phosphate and Hydrogen Peroxide on Bacterial Community and Removal Efficiency of Biological Activated Carbon (BAC) Process for Enhanced Biofiltration. J. Hazard. Mater. 2021, 43, 20–31. [Google Scholar] [CrossRef]
- Terashima, M.; Yama, A.; Sato, M.; Yumoto, I.; Kamagata, Y.; Kato, S. Culture-Dependent and -Independent Identification of Polyphosphate-Accumulating Dechloromonas spp. Predominating in a Full-Scale Oxidation Ditch Wastewater Treatment Plant. Microbes Environ. 2016, 31, 449–455. [Google Scholar] [CrossRef] [Green Version]
- An, W.X.; Guo, F.; Song, Y.L.; Gao, N.; Bai, S.J.; Dai, J.C.; Wei, H.H.; Zhang, L.P.; Yu, D.Z.; Xia, M.; et al. Comparative genomics analyses on EPS biosynthesis genes required for floc formation of Zoogloea resiniphila and other activated sludge bacteria. Water Res. 2016, 102, 494–504. [Google Scholar] [CrossRef]
- Ren, T.; Chi, Y.L.; Wang, Y.; Shi, X.; Jin, X.; Jin, P.K. Diversified metabolism makes novel Thauera strain highly competitive in low carbon wastewater treatment. Water Res. 2021, 206, 117742. [Google Scholar] [CrossRef]
- Merzouki, M.; Bernet, N.; Delgenes, J.P.; Moletta, R.; Benlemlih, M. Kinetic behavior of some polyphosphate-accumulating bacteria isolates in the presence of nitrate and oxygen. Curr. Microbiol. 1999, 38, 300–308. [Google Scholar] [CrossRef] [PubMed]
- Zielinska, M.; Rusanowska, P.; Jarzabek, J.; Nielsen, J.L. Community dynamics of denitrifying bacteria in full-scale wastewater treatment plants. Environ. Technol. 2016, 37, 2358–2367. [Google Scholar] [CrossRef] [PubMed]
- Wen, D.H.; Zhang, J.; Xiong, R.L.; Liu, R.; Chen, L.J. Bioaugmentation with a pyridine-degrading bacterium in a membrane bioreactor treating pharmaceutical wastewater. J. Environ. Sci. 2013, 25, 2265–2271. [Google Scholar] [CrossRef]
- Wang, H.Y.; Song, Q.; Wang, J.; Zhang, H.; He, Q.L.; Zhang, W.; Song, J.Y.; Zhou, J.P.; Li, H. Simultaneous nitrification, denitrification and phosphorus removal in an aerobic granular sludge sequencing batch reactor with high dissolved oxygen: Effects of carbon to nitrogen ratios. Sci. Total Environ. 2018, 642, 1145–1152. [Google Scholar] [CrossRef] [PubMed]
- Kalyuhznaya, M.G.; Martens-Habbena, W.; Wang, T.S.; Hackett, M.; Stolyar, S.M.; Stahl, D.A.; Lidstrom, M.E.; Chistoserdova, L. Methylophilaceae link methanol oxidation to denitrification in freshwater lake sediment as suggested by stable isotope probing and pure culture analysis. Environ. Microbiol. Rep. 2009, 1, 385–392. [Google Scholar] [CrossRef]
- Tang, V.T.; Rene, E.R.; Fu, D.F.; Singh, R.P.; Behera, S.K.; Pugazhendhi, A. Effect of mixed microbial culture addition on enhanced river water quality: Pollutant removal and microbial community characteristics. Environ. Technol. Innov. 2020, 18, 100707. [Google Scholar] [CrossRef]
- Zhou, N.A.; Gough, H.L. Enhanced Biological Trace Organic Contaminant Removal: A Lab-Scale Demonstration with Bisphenol A-Degrading Bacteria Sphingobium sp BiD32. Environ. Sci. Technol. 2016, 50, 8057–8066. [Google Scholar] [CrossRef]
- Zampolli, J.; Zeaiter, Z.; Di Canito, A.; Di Gennaro, P. Genome analysis and -omics approaches provide new insights into the biodegradation potential of Rhodococcus. Appl. Microbiol. Biotechnol. 2019, 103, 1069–1080. [Google Scholar] [CrossRef]
- Spataro, F.; Ademollo, N.; Pescatore, T.; Rauseo, J.; Patrolecco, L. Antibiotic residues and endocrine disrupting compounds in municipal wastewater treatment plants in Rome, Italy. Microchem. J. 2019, 148, 634–642. [Google Scholar] [CrossRef]
- Cases, V.; Alonso, V.; Argandona, V.; Rodriguez, M.; Prats, D. Endocrine disrupting compounds: A comparison of removal between conventional activated sludge and membrane bioreactors. Desalination 2011, 272, 240–245. [Google Scholar] [CrossRef]
- Wang, H.; Liu, Z.H.; Zhang, J.; Huang, R.P.; Yin, H.; Dang, Z.; Wu, P.X.; Liu, Y. Insights into removal mechanisms of bisphenol A and its analogues in municipal wastewater treatment plants. Sci. Total Environ. 2019, 692, 107–116. [Google Scholar] [CrossRef] [PubMed]
- Boonnorat, J.; Techkarnjanaruk, S.; Honda, R.; Angthong, S.; Boonapatcharoen, N.; Muenmee, S.; Prachanurak, P. Use of aged sludge bioaugmentation in two-stage activated sludge system to enhance the biodegradation of toxic organic compounds in high strength wastewater. Chemosphere 2018, 202, 208–217. [Google Scholar] [CrossRef] [PubMed]
Publisher’s Note: MDPI stays neutral with regard to jurisdictional claims in published maps and institutional affiliations. |
© 2022 by the authors. Licensee MDPI, Basel, Switzerland. This article is an open access article distributed under the terms and conditions of the Creative Commons Attribution (CC BY) license (https://creativecommons.org/licenses/by/4.0/).







