Fast Format-Aware Fuzzing for Structured Input Applications
Abstract
:1. Introduction
- To address I2S misses, we firstly present I2S recognition based on de Bruijn matching to obtain more I2S dependencies directly and promote more comprehensive identification of the input format. In addition, the de Bruijn-based test case generation algorithm is proposed for scenarios without seeds that meet the input format.
- Tackling indiscriminate dependency recognition, we firstly present the Selective Flip strategy to recognize indirect dependencies faster and more purposefully, while fragments without any dependencies will be omitted. This enables the input format recognition to be more efficient.
- We implemented a fast format-aware fuzzing prototype, FFAFuzz. Our evaluation results showed that FFAFuzz can recognize more dependencies faster than the state-of-the-art and can achieve higher code coverage regardless of whether the input satisfies the target format.
2. Background
2.1. Header and Trailer
- Image File Header (IFH): The first 4 bytes of the IFH are the signature of one TIF file, and the last four indicate the offset of the IFD chunk. For example, “62 D6 00 00” means that the IFD starts with 0xD662. The IFH belongs to header field.
- Bitmap Data: Image data in the .tif file are placed closely after the IFH, and each byte stores the RGB color or just the compressed data. Bitmap Data belong to the trailer field.
- Image File Directory (IFD): The location of the IFD is specified by the last 4 bytes within the IDH, with a length of n bytes, and n is far greater than . Most of the key control information such as the image height, width, compression method, bit rate, photometric interpretation, etc., is concentrated in the IFD. The IFD belongs to the header field.
![]() |
2.2. Current Fuzzing State-Of-the-Art
2.2.1. Coverage-Based Greybox Fuzzing
2.2.2. Format-Aware Fuzzing
2.3. Challenges
- I2S misses: Padding a header field with a random value does not necessarily trigger execution path changes, because the random one may not satisfy the constraint of its relevant cmp instructions. As Figure 4 shows, after colorization, the random value “3A B6 02 7F” overwritten on fragment signature denoted by the yellow box. It still fails to trigger path changes and leads fuzzers such as Redqueen and GRIMOIRE to mistakenly assume that no I2S dependency exists on fragment signature.
- Indiscriminate dependency recognition: Not all bytes deserve to be flipped. As stated in Section 2.1 and shown in Figure 5, the header fields containing the first eight and the last m bytes (indicated by yellow and orange box) are short in length, but efficient in dependence recognition, while little effect is gained on the middle long trailer fields. It is the short, but metadata-intensive header fields that ought to be worth performing byte-by-byte analysis, not the long, but sparse dependency trailer ones (represented by the green box); especially those cannot impact any operand of the cmp instructions. Thus, these methods suffer from inefficient dependency recognition from the trailer fields.
3. Methodology
3.1. Overview
3.2. I2S Recognizer
3.2.1. De Bruijn Sequence
3.2.2. de Bruijn-Based Test Case Generation
- is a finite set of states.
- is an alphabet of input characters. We take the constraints on which the current dBStack and dBMap are satisfied as the input. are the corresponding characters. If one of these is met, the correspond character is input into the FA. The second column of Table 1 lists all the input characters and their constraints.
- is the transition function. Table 1 describes all the shift rules about .
- is the start state.
- is the set of acceptable states.
3.2.3. I2S Recognition Based on de Bruijn Matching
| Algorithm 1: de Bruijn matching algorithm. |
Input: initial input: T, dBMap: , alphabet: A Output: Dependency array: , the offset ranges of I2S fields: ![]() |
3.3. Indirect Dependency Recognizer
- Field Schedule module: Load I2S field records, and collect all the fields that have not yet recognized dependencies initially. Pick out the largest one, and output it to the Suspensive Field Analysis module. Load the field that needs to be analyzed further, split it in half, and push them into the set of suspensive fields.
- Suspensive Field Analysis module: Load the suspensive field from the Field Schedule module. Perform Non-deps exclusion if its length is greater than minSpan; otherwise, perform Deps detection. Once the target field is non-deps, Suspensive Field Analysis will just abandon it to reduce the cost. Otherwise, output it to Field Schedule. After Deps detection, all the recognized dependencies will be recorded. Finally, if no suspensive field exists, Suspensive Field Analysis outputs the dependencies records to assist other fuzzing parts. Additionally, is configured as Equation (A1).
3.3.1. Non-Deps Exclusion
| Algorithm 2: Non-deps field recognition algorithm. |
Input: initial input: T, offset range of suspensive field: , uncontrollable cmp: Output: If the fragment specified by is - ![]() |
3.3.2. Deps Detection
| Algorithm 3: Deps detection algorithm. |
Input: initial input: T, offset range of suspensive field: , dependency array: Output: Dependency array: ![]() |
3.4. Time Complexity Analysis
3.4.1. De Bruijn Matching Algorithm
3.4.2. Non-Deps Exclusion
3.4.3. Deps Detection
3.4.4. Selective Flip Strategy
3.4.5. The Whole Method
4. Implementation and Evaluation
4.1. Implementation
4.2. Research Questions
- RQ 1. How does the dependency obtained by FFAFuzz compare in quantity with existing methods?
- RQ 2. Does FFAFuzz help to speed up the dependency recognition compared with existing solutions?
- RQ 3. Does FFAFuzz help practical vulnerability mining?
4.3. Evaluation Setup
4.4. RQ1: The Effectiveness Evaluation
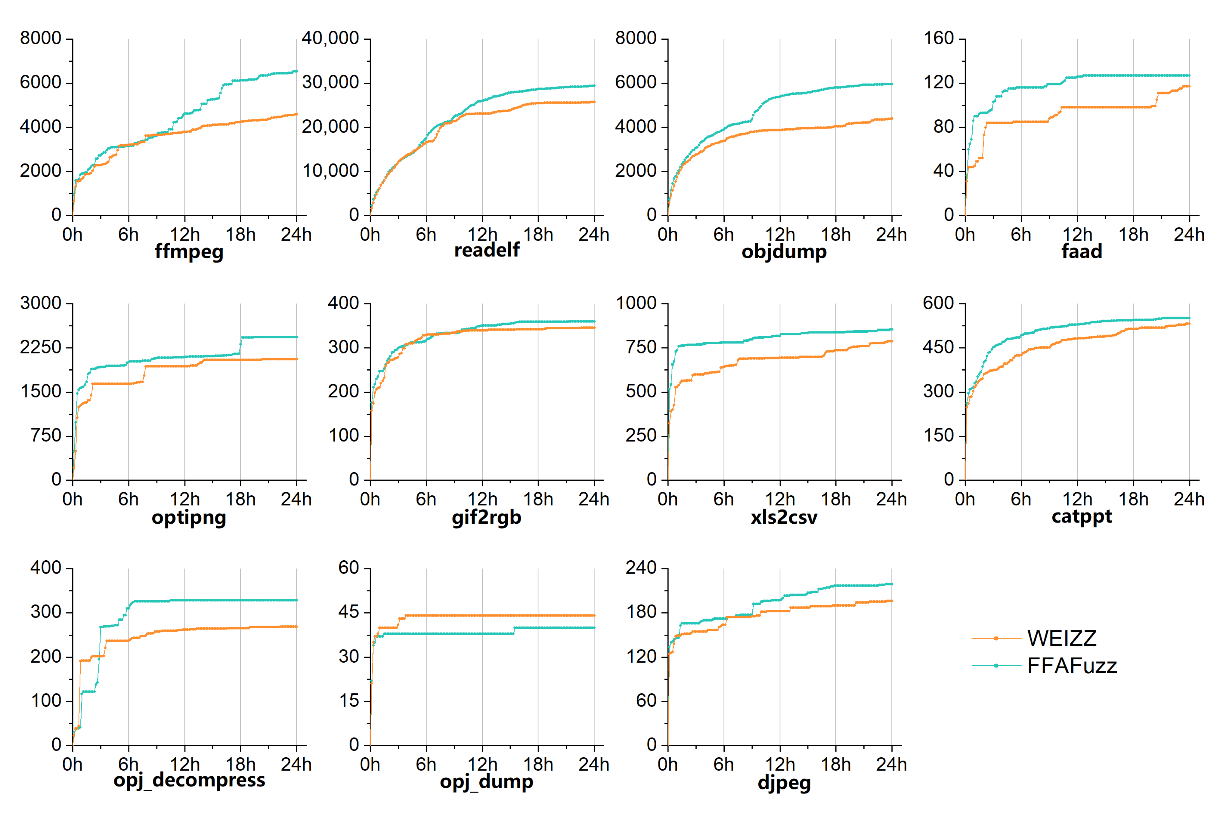
- The recognized dependency amount of both FFAFuzz and WEIZZ is greater than that of Redqueen, especially the average boost of 29k-times when adopting format-well as the initial input.
- All three perform equally well on the targets readelf, faad, optipng, gif2rgb, etc., in the case of an unknown input format.
- Given de Bruijn-based input and not, the mean deviation between FFAFuzz and WEIZZ was 26.67% and 23.19%, respectively. This indicates that the captured dependency quantities of FFAFuzz and WEIZZ are roughly equal in orders of 10.
4.5. RQ2: The Efficiency Evaluation
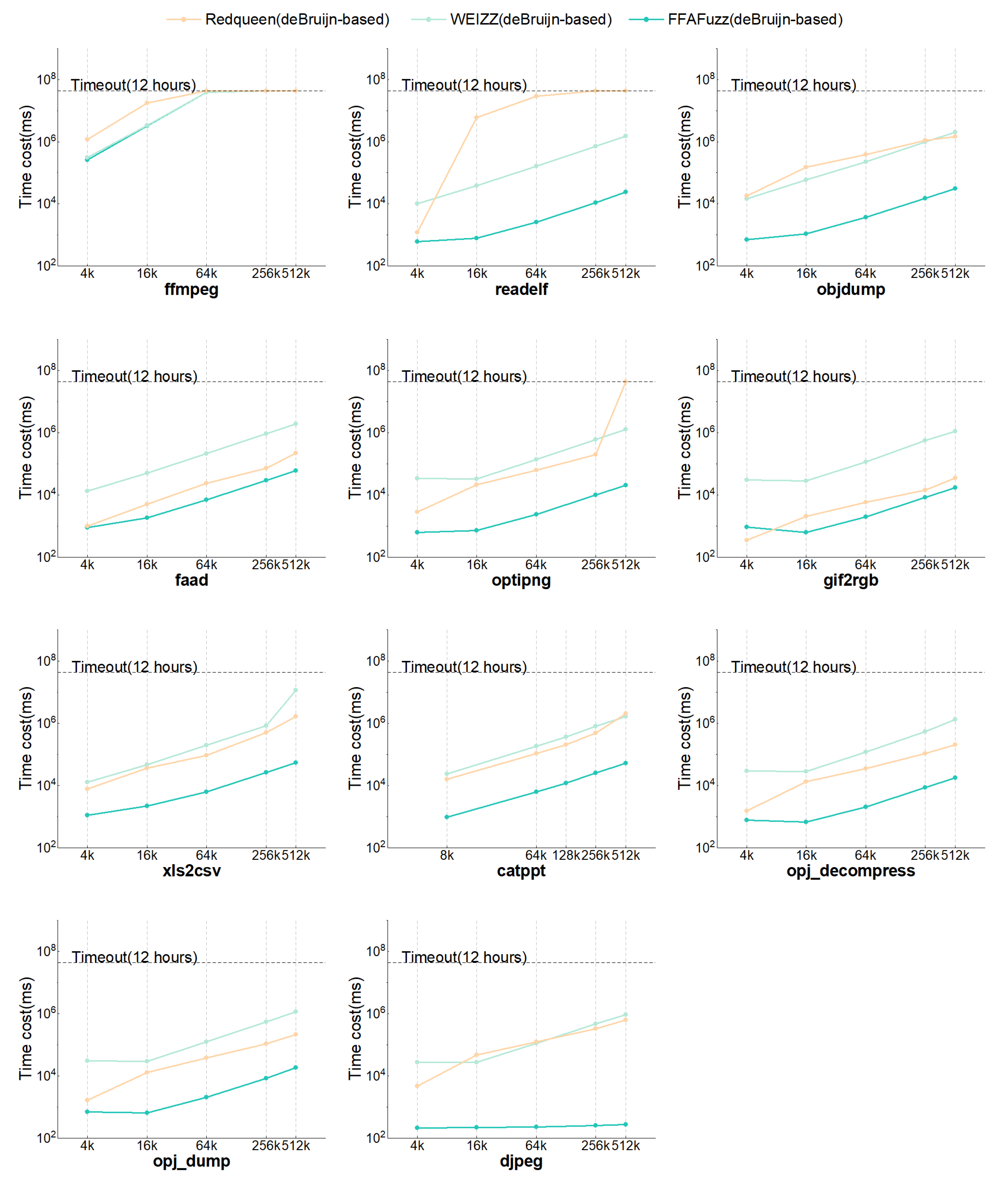
- Regardless of the prior knowledge of the target input format, in most cases, FFAFuzz outperformed Redqueen and WEIZZ in terms of the time overhead of dependency recognition. Figure A1 indicates that, when the inputs were de Bruijn-based test cases, FFAFuzz reduced the time cost by an average of 89.10% compared to WEIZZ and 76.49% compared to Redqueen. When the inputs were format-well as the initial inputs, it reduced the time overhead by an average of 55.25% compared to WEIZZ and 63.33% compared to Redqueen.
- The time cost of FFAFuzz dependency recognition was roughly equal to that of WEIZZ when facing targets such as djpeg, faad, etc., and using format-well as the initial inputs.
4.6. RQ3: The Practicality Evaluation
5. Limitations
- While evaluating the effectiveness of FFAFuzz, comparing the result of the scenes of having prior format knowledge than not, the capability of dependency recognition relies on the execution path triggered by the test case closely. In other words, the effectiveness of dependency recognition is tied to how the test case fits the format requirements of the target. This suggests that FFAFuzz could be further enhanced with information such as key state changes [32]. In the next step, we plan to investigate and summarize the key states worthy of attention in the fuzzing test and design a purposeful instrument scheme to obtain and utilize more information about the key states, to enhance the efficiency in discovering software vulnerabilities.
- While evaluating the time efficiency of FFAFuzz, FFAFuzz is significantly faster than WEIZZ and Redqueen in most cases. Using inputs without any non-deps field, such as the situation where one data field is calculated for validating its checksum or decoded by a complex encoding algorithm such as the DCT and Huffman coding, FFAFuzz does not show much of an improvement. This suggests that FFAFuzz could be further enhanced by recognizing specific types of fields [14]. In the future, we plan to research current public file formats, protocols, and other structured input, select representative fields types, and design the corresponding recognition rules to recognize and classify dependencies more closely.
- The configuration rules of are static and inflexible. It would probably be better if could be adaptively adjusted according to the actual execution of the target. As the next step, we start from the theoretical analysis in Appendix C, capture the information about the code coverage, executed cmp instructions, the execution time, etc., utilizing instruments or simulators (QEMU [33], unicorn [34], FRIDA [35], etc.), to automatically adjust during the fuzzing test process.
6. Conclusions
Author Contributions
Funding
Institutional Review Board Statement
Informed Consent Statement
Data Availability Statement
Acknowledgments
Conflicts of Interest
Appendix A


- B is the benchmarks.
- F is the set of fuzzers.
- I is the set of initial inputs.
- is the number of initial inputs in I.
- is the time cost of fuzzer in performing dependency recognition on the target with initial input .
- is the growth factor, indicating how much the time efficiency can be improved by fuzzer compared to fuzzer , when using initial input and performing dependency recognition on the target . Here, .
- is the average growth factor, indicating how much the average time efficiency can be improved by fuzzer compared to fuzzer , when using initial input and performing dependency recognition on the target . Here, .
- is the global average growth factor, indicating how much the average time efficiency can be improved by fuzzer compared to fuzzer , when using the initial input in I and performing dependency recognition on the targets in B. Here, .
| Target | ||||
|---|---|---|---|---|
| ffmpeg | 4.30% | 34.03% | 76.61% | 98.33% |
| readelf | 97.48% | 89.99% | 63.09% | 80.20% |
| objdump | 97.74% | 98.18% | 86.02% | 98.91% |
| faad | 96.00% | 55.12% | 2.92% | −15.73% |
| optipng | 98.21% | 93.12% | 96.89% | 97.11% |
| gif2rgb | 98.00% | 13.47% | 16.65% | −8.35% |
| xls2csv | 95.97% | 92.82% | 12.22% | 59.14% |
| catppt | 96.60% | 94.93% | 53.84% | 98.89% |
| opj_decompress | 98.09% | 84.51% | 98.63% | 92.47% |
| opj_dump | 98.13% | 86.22% | 98.56% | 95.64% |
| djpeg | 99.63% | 98.96% | 2.32% | 0.01% |
| Global average growth factor | 89.10% | 76.49% | 55.25% | 63.33% |
Appendix B
Appendix C
Appendix C.1. The Time Complexity of Selective Flip
Appendix C.1.1. The Ideal Scenario
Appendix C.1.2. The Majority of Scenarios
Appendix C.1.3. The Worst Scenario
- The value of the root node is n.
- The value of the leaf node is 1.
- If a node with the value p is not a leaf node, then its left child node has the value , and the right one has the value

- , the number of the nodes with depth d,;
- , the number of the nodes with a depth no greater than d,.
- The number of nodes with depth d and value is .
- The number of nodes with depth d and value is .
References
- Zhu, X.; Wen, S.; Camtepe, S.; Xiang, Y. Fuzzing: A Survey for Roadmap. ACM Comput. Surv. 2022, 54. [Google Scholar] [CrossRef]
- American Fuzzy Lop. Available online: https://lcamtuf.coredump.cx/afl/ (accessed on 13 August 2022).
- Böhme, M.; Pham, V.T.; Roychoudhury, A. Coverage-based Greybox Fuzzing as Markov Chain. In Proceedings of the 2016 ACM SIGSAC Conference on Computer and Communications Security, Vienna, Austria, 24–28 October 2016; ACM: Vienna, Austria, 2016; pp. 1032–1043. [Google Scholar] [CrossRef]
- Fioraldi, A.; Maier, D.; Eißfeldt, H.; Heuse, M. AFL++: Combining Incremental Steps of Fuzzing Research. In Proceedings of the 14th USENIX Workshop on Offensive Technologies (WOOT 20), San Francisco, CA, USA, 11 August 2020; p. 12. [Google Scholar]
- libFuzzer—A Library for Coverage-Guided Fuzz Testing—LLVM 15.0.0git Documentation. Available online: https://www.llvm.org/docs/LibFuzzer.html (accessed on 13 August 2022).
- Holler, C.; Herzig, K.; Zeller, A. Fuzzing with Code Fragments (-2). In Proceedings of the 21st USENIX Security Symposium (USENIX Security 12), Bellevue, WA, USA, 8–10 August 2012; p. 14. [Google Scholar]
- Peach Fuzzer. Available online: https://peachtech.gitlab.io/peach-fuzzer-community/ (accessed on 13 August 2022).
- Pham, V.T.; Boehme, M.; Santosa, A.E.; Caciulescu, A.R.; Roychoudhury, A. Smart Greybox Fuzzing. IEEE Trans. Softw. Eng. 2019, 47, 1980–1997. [Google Scholar] [CrossRef]
- Grieco, G.; Ceresa, M.; Buiras, P. QuickFuzz: An Automatic Random Fuzzer for Common File Formats. ACM Sigplan Not. 2016, 51, 13–20. [Google Scholar] [CrossRef]
- Dutra, R.; Gopinath, R.; Zeller, A. FormatFuzzer: Effective Fuzzing of Binary File Formats. arXiv 2021, arXiv:2109.11277. [Google Scholar]
- Wang, Y.; Wu, Z.; Wei, Q.; Wang, Q. Field-aware Evolutionary Fuzzing Based on Input Specifications and Vulnerability Metrics. In Proceedings of the 2019 IEEE 10th International Conference on Software Engineering and Service Science (ICSESS), Beijing, China, 18–20 October 2019; pp. 1–7. [Google Scholar] [CrossRef]
- Aschermann, C.; Schumilo, S.; Blazytko, T.; Gawlik, R.; Holz, T. REDQUEEN: Fuzzing with Input-to-State Correspondence. In Proceedings of the 2019 Network and Distributed System Security Symposium, San Diego, CA, USA, 24–27 February 2019; Internet Society: San Diego, CA, USA, 2019. [Google Scholar] [CrossRef]
- Blazytko, T.; Aschermann, C.; Schlögel, M.; Abbasi, A.; Schumilo, S.; Wörner, S.; Holz, T. GRIMOIRE: Synthesizing Structure while Fuzzing. In Proceedings of the 28th USENIX Security Symposium (USENIX Security 19), Santa Clara, CA, USA, 14–16 August 2019; p. 18. [Google Scholar]
- You, W.; Liu, X.; Ma, S.; Perry, D.; Zhang, X.; Liang, B. SLF: Fuzzing without Valid Seed Inputs. In Proceedings of the 2019 IEEE/ACM 41st International Conference on Software Engineering (ICSE), Montreal, QC, Canada, 25–31 May 2019; p. 12. [Google Scholar]
- Fioraldi, A.; D’Elia, D.C.; Coppa, E. WEIZZ: Automatic grey-box fuzzing for structured binary formats. In Proceedings of the 29th ACM SIGSOFT International Symposium on Software Testing and Analysis, Virtual, 18–22 July 2020; pp. 1–13. [Google Scholar] [CrossRef]
- McDaniel, M.; Heydari, M. Content based file type detection algorithms. In Proceedings of the 36th Annual Hawaii International Conference on System Sciences, Big Island, HI, USA, 6–9 January 2003; p. 10. [Google Scholar] [CrossRef]
- Ali, H.A.; Ne’ma, B.M. Effective Variations on Opened GIF Format Images. IJCSNS 2008, 8, 70. [Google Scholar]
- Cui, W.; Peinado, M.; Chen, K.; Wang, H.J.; Irun-Briz, L. Tupni: Automatic reverse engineering of input formats. In Proceedings of the 15th ACM Conference on Computer and Communications Security—CCS ’08, Alexandria, VA, USA, 27–31 October 2008; ACM Press: Alexandria, VA, USA, 2008; p. 391. [Google Scholar] [CrossRef]
- Iuliani, M.; Shullani, D.; Fontani, M.; Meucci, S.; Piva, A. A Video Forensic Framework for the Unsupervised Analysis of MP4-Like File Container. IEEE Trans. Inf. Forensics Secur. 2019, 14, 635–645. [Google Scholar] [CrossRef]
- TIFF: Summary from the Encyclopedia of Graphics File Formats. Available online: https://www.fileformat.info/format/tiff/egff.htm (accessed on 13 August 2022).
- Bruijn, N.G.d. A combinatorial problem. Proc. Sect. Sci. K. Ned. Akad. Wet. Amst. 1946, 49, 758–764. [Google Scholar]
- Shubin, D.N.; Lobov, E.M. Using CUDA technology to form ensembles of pseudo-random sequences and calculating their correlation functions. In Proceedings of the 2017 Systems of Signal Synchronization, Generating and Processing in Telecommunications (SINKHROINFO), Kazan, Russia, 3–4 July 2017; pp. 1–5. [Google Scholar] [CrossRef]
- Gabric, D.; Sawada, J.; Williams, A.; Wong, D. A Successor Rule Framework for Constructing $k$ -Ary de Bruijn Sequences and Universal Cycles. IEEE Trans. Inf. Theory 2020, 66, 679–687. [Google Scholar] [CrossRef]
- Liang, J.; Wang, M.; Zhou, C.; Wu, Z.; Jiang, Y.; Liu, J.; Liu, Z.; Sun, J. PATA: Fuzzing with Path Aware Taint Analysis. In Proceedings of the 2022 IEEE Symposium on Security and Privacy (SP), Los Angeles, CA, USA, 7–11 November 2022; p. 17. [Google Scholar]
- Fredricksen, H. A Survey of Full Length Nonlinear Shift Register Cycle Algorithms. SIAM Rev. 1982, 24, 195–221. [Google Scholar] [CrossRef]
- Sipser, M. Introduction to the Theory of Computation, 3rd ed.; Cengage Learning: Andover, MA, USA, 2013. [Google Scholar]
- Schumilo, S.; Aschermann, C.; Gawlik, R.; Schinzel, S.; Holz, T. kAFL: Hardware-Assisted Feedback Fuzzing for OS Kernels. In Proceedings of the 26th USENIX Security Symposium (USENIX Security 17), Vancouver, BC, Canada, 16–18 August 2017; p. 17. [Google Scholar]
- Release 3.14c · AFLplusplus/AFLplusplus. Available online: https://github.com/AFLplusplus/AFLplusplus/releases/tag/3.14c (accessed on 13 August 2022).
- [MS-PPT]: PowerPoint (.ppt) Binary File Format|Microsoft Docs. Available online: https://docs.microsoft.com/en-us/openspecs/office_file_formats/ms-ppt/6be79dde-33c1-4c1b-8ccc-4b2301c08662 (accessed on 13 August 2022).
- Update Helps Unmanaged Office 2010 Users Work with Microsoft RMS in Windows. Available online: https://support.microsoft.com/en-gb/topic/update-helps-unmanaged-office-2010-users-work-with-microsoft-rms-in-windows-e4bc163d-e54d-6e39-d2b6-2ef93566f4ff (accessed on 13 August 2022).
- Yuan, S.; Hu, J. Research on image compression technology based on Huffman coding. J. Vis. Commun. Image Represent. 2019, 59, 33–38. [Google Scholar] [CrossRef]
- Aschermann, C.; Schumilo, S.; Abbasi, A.; Holz, T. Ijon: Exploring Deep State Spaces via Fuzzing. In Proceedings of the 2020 IEEE Symposium on Security and Privacy (SP), San Francisco, CA, USA, 21 May 2020; pp. 1597–1612. [Google Scholar] [CrossRef]
- QEMU. Available online: https://www.qemu.org/ (accessed on 13 August 2022).
- Unicorn. Unicorn—The Ultimate CPU Emulator. Available online: https://www.unicorn-engine.org/ (accessed on 13 August 2022).
- Frida • A World-Class Dynamic Instrumentation Framework. Available online: https://frida.re/ (accessed on 13 August 2022).











| Current State | Input (Constraint) | Operations | Next State |
|---|---|---|---|
| forward | : dBStack exists |
if dBStack is full, then Output(string in dBStack, dBMap) else dBStack.push(0) | stay |
| stay | : dBMap[dBStack’s top n-tuple] == NULL_INDEX or the bottom n-tuple in dBStack not yet traversed |
if dBMap[dBStack’s top n-tuple] == NULL_INDEX then dBMap[dBStack’s top n-tuple] = the offset of dBStack’s top n-tuple else dBStack.buffer[dBStack.top]++ | forward |
| stay | : dBMap[dBStack’s top n-tuple] != NULL_INDEX and dBStack.buffer[dBStack.top] < |
if dBStack’s top n-tuple is unique, then dBMap[dBStack’s top n-tuple] == NULL_INDEX dBStack.buffer[dBStack.top]++ | stay |
| stay | : dBStack.buffer[dBStack.top] == | No operation | backward |
| backward | : dBStack’s top n-tuple is unique or the bottom n-tuple in dBStack not yet traversed |
if dBStack’s top n-tuple is unique, then dBMap[dBStack’s top n-tuple] == NULL_INDEX dBStack.pop() | stay |
| backward | : the bottom n-tuple in dBStack has been traversed | finish | backward |
| Fuzzer | Dependency Recognition via Value Matching | Dependency Recognition via Value Alteration Inference |
|---|---|---|
| Redqueen | Value matching based on colorization | ✕ |
| WEIZZ | ✕ | Byte-by-byte analysis |
| FFAFuzz | de Bruijn matching | Selective Flip |
| Target | Version | Description | Binary | Execution Arguments |
|---|---|---|---|---|
| ffmpeg | 5.0.1 “Lorentz” | Audio parsing and processing | ffmpeg | -y -i @@ -c:v mpeg4 -c:a out.mp4 |
| readelf | 2.38 | Executable and Linkable Format (.elf) file parsing | readelf | -a @@ |
| objdump | 2.38 | Executable and Linkable Format (.elf) file parsing | objdump | -x @@ |
| faad | 2.9.2 | Advanced Audio Coding (.aac) file parsing and processing | faad | @@ -o out.wav |
| OptiPNG | 0.7.7 | Portable Network Graphics (.png) file parsing and processing | optipng | @@ -clobber -out out.png |
| gif2rgb | giflib-5.2.1 | Graphics Interchange Format (.gif) file parsing and processing | gif2rgb | @@ |
| xls2csv | Catdoc 0.95 | Microsoft Excel 97-2003 Worksheet (.xls) file parsing | xls2csv | @@ |
| catppt | Catdoc 0.95 | Microsoft PowerPoint Presentation (.ppt) file parsing | catppt | @@ |
| opj_decompress | openjpeg-2.4.0 | JPEG 2000 Core Coding format (.jp2) file parsing and processing | opj_decompress | -i @@ -o out.png |
| opj_dump | openjpeg-2.4.0 | JPEG 2000 Core Coding format (.jp2) file parsing | opj_dump | -i @@ |
| djpeg | libjpeg-turbo-2.1.3 | Joint Photographic Experts Group (.jpeg) file parsing and processing | djpeg | -gif -outfile out.git @@ |
Publisher’s Note: MDPI stays neutral with regard to jurisdictional claims in published maps and institutional affiliations. |
© 2022 by the authors. Licensee MDPI, Basel, Switzerland. This article is an open access article distributed under the terms and conditions of the Creative Commons Attribution (CC BY) license (https://creativecommons.org/licenses/by/4.0/).
Share and Cite
Chen, Z.; Lu, Y.; Zhu, K.; Yu, L.; Zhao, J. Fast Format-Aware Fuzzing for Structured Input Applications. Appl. Sci. 2022, 12, 9350. https://doi.org/10.3390/app12189350
Chen Z, Lu Y, Zhu K, Yu L, Zhao J. Fast Format-Aware Fuzzing for Structured Input Applications. Applied Sciences. 2022; 12(18):9350. https://doi.org/10.3390/app12189350
Chicago/Turabian StyleChen, Zehan, Yuliang Lu, Kailong Zhu, Lu Yu, and Jiazhen Zhao. 2022. "Fast Format-Aware Fuzzing for Structured Input Applications" Applied Sciences 12, no. 18: 9350. https://doi.org/10.3390/app12189350
APA StyleChen, Z., Lu, Y., Zhu, K., Yu, L., & Zhao, J. (2022). Fast Format-Aware Fuzzing for Structured Input Applications. Applied Sciences, 12(18), 9350. https://doi.org/10.3390/app12189350





