An Efficient Method for Detecting Asphalt Pavement Cracks and Sealed Cracks Based on a Deep Data-Driven Model
Abstract
1. Introduction
- Data are the basis of deep learning algorithms, but there are not enough publicly available pavement datasets, and even models trained on publicly available datasets with only a few hundred images are not guaranteed to be effective.
- Building datasets is a time- and resource-consuming task.
- There is no efficient and practical detection method for pavement cracks and sealed cracks.
- A publicly available dataset of pavement cracks and sealed cracks, collected by an automated road condition monitoring vehicle, is created and labeled;
- For the features of highway asphalt pavement images, a dense and redundant crack annotation method is proposed, which provides more object instances and more accurate object positioning than traditional big-block annotation;
- In order to quickly implement the inspection system and reduce labor costs, a semi-automatic crack annotation method is proposed, which reduces the creation time of the dataset by 80% compared with fully manual annotation;
- In our dataset, 13 currently popular object detection models are compared, and the YOLOv5 family of models are considered to be efficient and accurate. The results prove that our proposed annotation method is effective.
2. Related Work
2.1. Image Dataset of Pavement Distress
2.2. Image Annotation
2.3. Detection Model
3. Proposed Dataset
3.1. Image Acquisition
3.2. Image Annotation
- Dense annotations, although still blocky, can show more accurate crack localization and structures relative to patch-level annotations;
- Redundant annotations increase the number of instances in the dataset.
3.2.1. Manual Annotation
- Road maintenance workers usually use sealant to repair cracks, but since the asphalt road structure has been damaged, cracks will soon reappear around the sealed cracks.
- According to the Chinese highway performance assessment standards [54] and pavement distress identification manual issued by the U.S. Federal Highway Administration [55], for asphalt pavements, sealed cracks are also a type of pavement distress and are used to evaluate the highway maintenance quality.
- According to our observations, sealed cracks, similar to cracks, are the dominant damage class for asphalt highways.
3.2.2. Semi-Automatic Annotation
- Step 1: We need to manually label some data to train the initial model. One question is how much data we need at a minimum to train a model to provide largely satisfactory results. For image classification tasks, Arya et al. [12] argued that at least 5000 labeled images per category are needed. For object detection, Maeda et al. [17] suggested that at least 1000 images per category are needed, while according to Shahinfar et al. [58], the rate of improvement in model performance starts to level off when the number of images is greater than 150–500. In this study, we manually labeled 800 images as the training data for training the initial model, considering that the annotation method used here generates more instances of each image.
- Step 2: An initial model is trained on the manually labeled dataset in Step 1. The performance of this model will not be particularly good because of the problem of insufficient data, but it is still necessary to make the model relatively optimal by adjusting the hyperparameters. The model we used was YOLOv5s [59].
- Step 3: The trained model is used to detect the unlabeled data and save the results.
- Step 4: The results are reviewed, and manual corrections are made in the case of inaccurate results, including missed instances, mislabeling, and labeling that is not accurate enough.
- Step 5: The corrected data and the initial data are merged into a new training set, and a new model is trained on this dataset.
- Step 6: Steps 3–5 are repeated to continuously update the model until the performance of the model no longer improves significantly.
3.3. Data Statistics
4. Experimental Setup
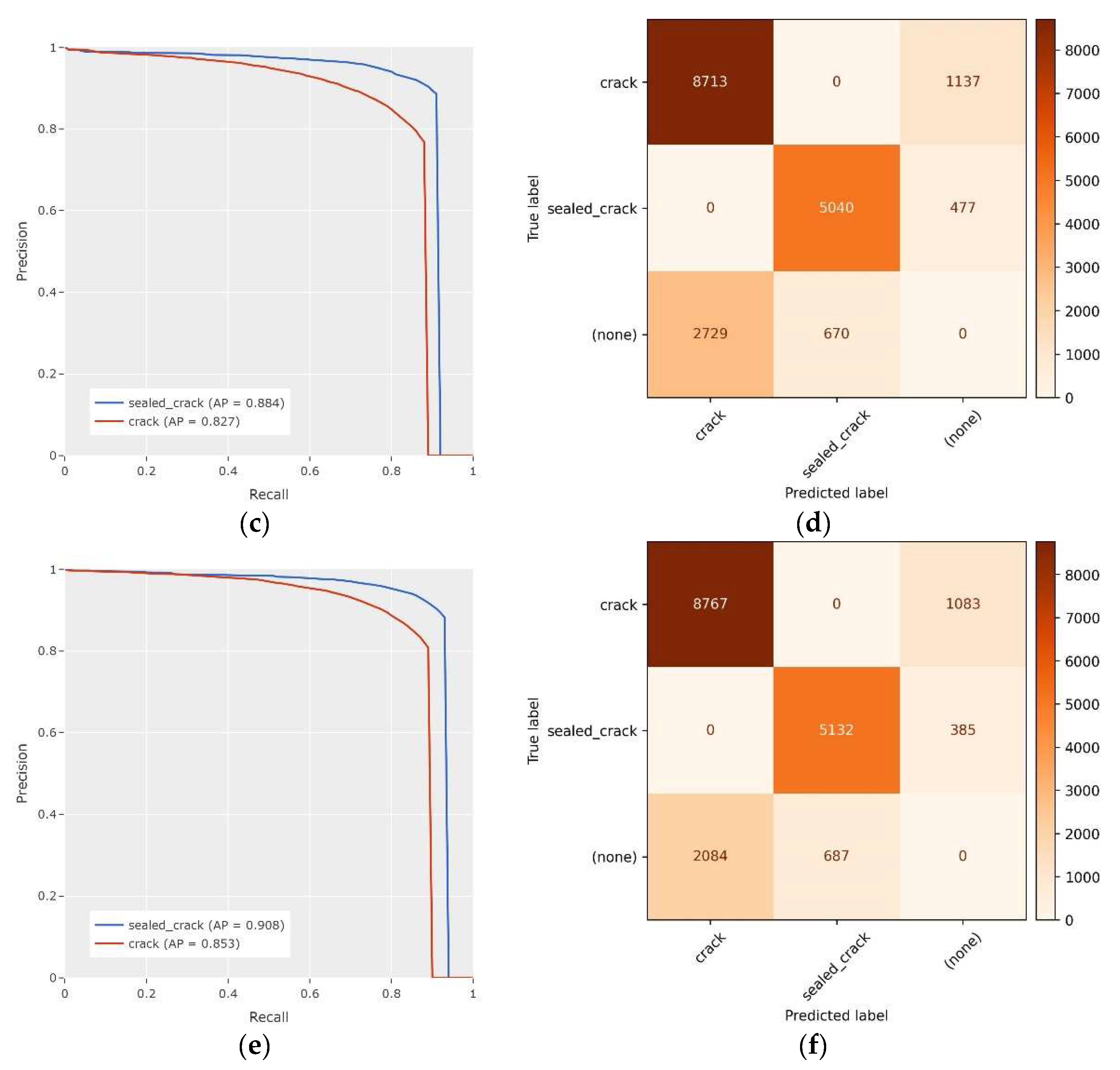
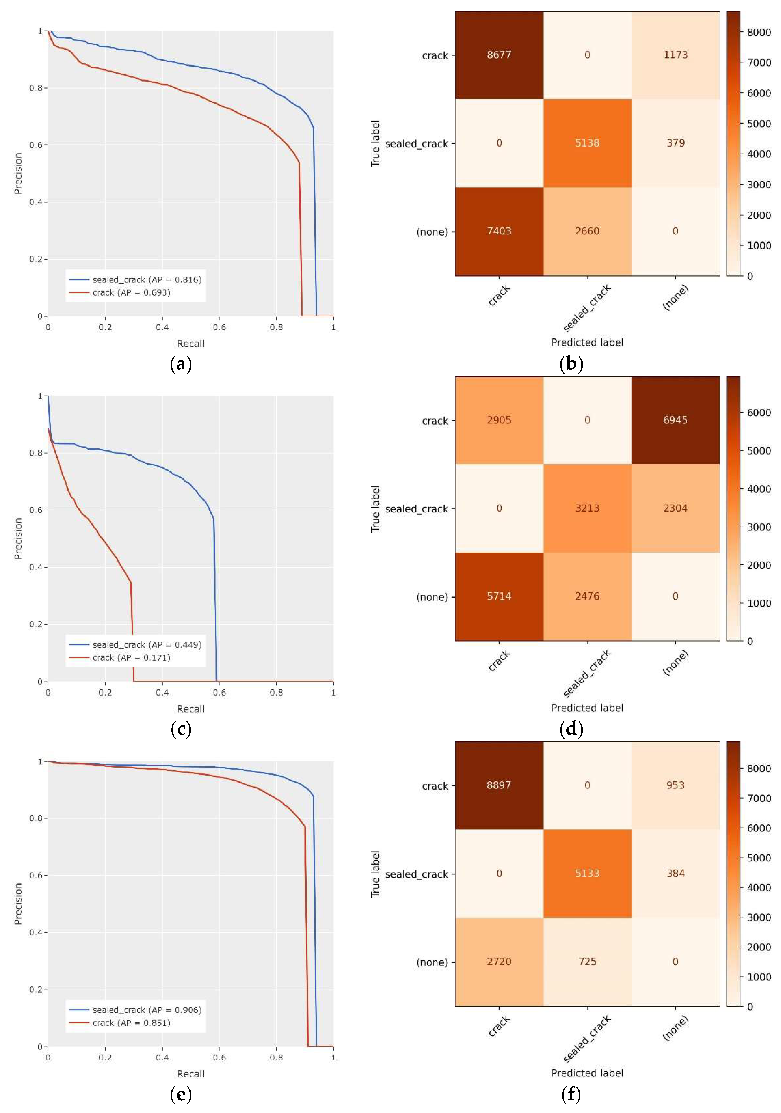
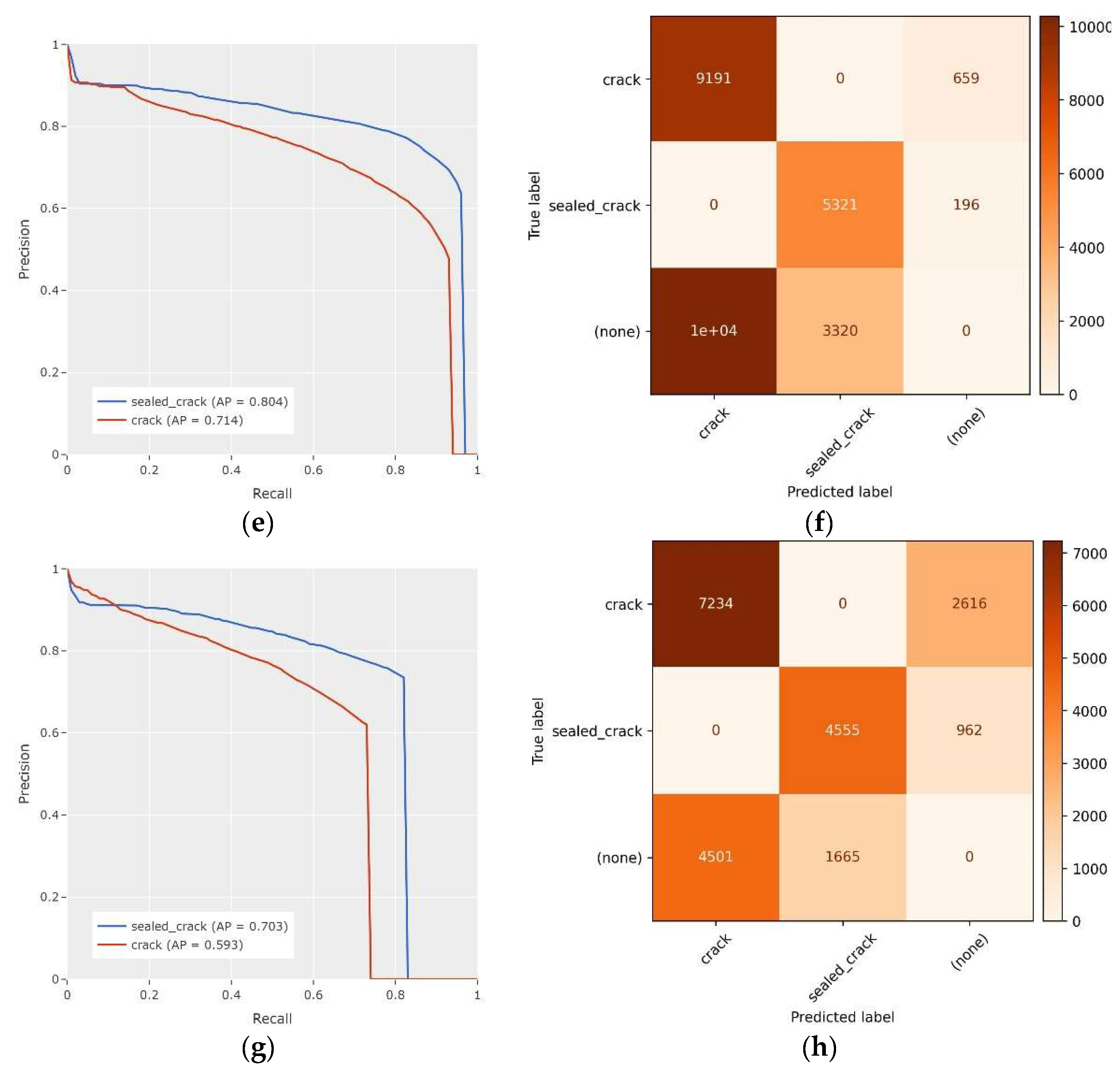
5. Results and Discussion
6. Conclusions
Author Contributions
Funding
Institutional Review Board Statement
Informed Consent Statement
Data Availability Statement
Acknowledgments
Conflicts of Interest
References
- Munawar, H.S.; Hammad, A.W.; Haddad, A.; Soares, C.A.P.; Waller, S.T. Image-Based Crack Detection Methods: A Review. Infrastructures 2021, 6, 115. [Google Scholar] [CrossRef]
- Tran, T.S.; Tran, V.P.; Lee, H.J.; Flores, J.M.; Le, V.P. A Two-Step Sequential Automated Crack Detection and Severity Classification Process for Asphalt Pavements. Int. J. Pavement Eng. 2022, 23, 2019–2033. [Google Scholar] [CrossRef]
- Zakeri, H.; Nejad, F.M.; Fahimifar, A. Image Based Techniques for Crack Detection, Classification and Quantification in Asphalt Pavement: A Review. Arch. Comput. Methods Eng. 2017, 24, 935–977. [Google Scholar] [CrossRef]
- Liu, F.; Liu, J.; Wang, L. Asphalt Pavement Crack Detection Based on Convolutional Neural Network and Infrared Thermography. IEEE Trans. Intell. Transp. Syst. 2022, 1–11. [Google Scholar] [CrossRef]
- Torbaghan, M.E.; Li, W.; Metje, N.; Burrow, M.; Chapman, D.N.; Rogers, C.D. Automated Detection of Cracks in Roads Using Ground Penetrating Radar. J. Appl. Geophy. 2020, 179, 104118. [Google Scholar] [CrossRef]
- Chapeleau, X.; Blanc, J.; Hornych, P.; Gautier, J.-L.; Carroget, J. Use of Distributed Fiber Optic Sensors to Detect Damage in a Pavement. In Proceedings of the 7th European Workshop on Structural Health Monitoring (EWSHM 2014), Nantes, France, 8–14 July 2014; pp. 449–457. [Google Scholar]
- Özgenel, Ç.F.; Sorguç, A.G. Performance Comparison of Pretrained Convolutional Neural Networks on Crack Detection in Buildings. In Proceedings of the ISARC International Symposium on Automation and Robotics in Construction, Berlin, Germany, 20–25 July 2018; Volume 35, pp. 1–8. [Google Scholar]
- Shi, Y.; Cui, L.; Qi, Z.; Meng, F.; Chen, Z. Automatic Road Crack Detection Using Random Structured Forests. IEEE Trans. Intell. Transp. Syst. 2016, 17, 3434–3445. [Google Scholar] [CrossRef]
- Kyal, C.; Reza, M.; Varu, B.; Shreya, S. Image-Based Concrete Crack Detection Using Random Forest and Convolution Neural Network. In Computational Intelligence in Pattern Recognition; Springer: Singapore, 2022; pp. 471–481. [Google Scholar]
- Wang, S.; Yang, F.; Cheng, Y.; Yang, Y.; Wang, Y. Adaboost-Based Crack Detection Method for Pavement. In IOP Conference Series: Earth and Environmental Science, Proceeding of the 2018 International Conference on Civil and Hydraulic Engineering (IConCHE 2018), Qingdao, China, 23–25 November 2018; IOP Publishing: Bristol, UK, 2018; Volume 189, p. 022005. [Google Scholar]
- Rezazadeh Eidgahee, D.; Jahangir, H.; Solatifar, N.; Fakharian, P.; Rezaeemanesh, M. Data-Driven Estimation Models of Asphalt Mixtures Dynamic Modulus Using ANN, GP and Combinatorial GMDH Approaches. Neural. Comput. Appl. 2022, 34, 17289–17314. [Google Scholar] [CrossRef]
- Arya, D.; Maeda, H.; Ghosh, S.K.; Toshniwal, D.; Mraz, A.; Kashiyama, T.; Sekimoto, Y. Deep Learning-Based Road Damage Detection and Classification for Multiple Countries. Autom. Constr. 2021, 132, 103935. [Google Scholar] [CrossRef]
- LeCun, Y.; Bottou, L.; Bengio, Y.; Haffner, P. Gradient-Based Learning Applied to Document Recognition. Proc. IEEE Inst. Electr. Electron. Eng. 1998, 86, 2278–2324. [Google Scholar] [CrossRef]
- Eisenbach, M.; Stricker, R.; Seichter, D.; Amende, K.; Debes, K.; Sesselmann, M.; Ebersbach, D.; Stoeckert, U.; Gross, H.-M. How to Get Pavement Distress Detection Ready for Deep Learning? A Systematic Approach. In Proceedings of the 2017 International Joint Conference on Neural Networks (IJCNN), Anchorage, AK, USA, 14–19 May 2017; pp. 2039–2047. [Google Scholar]
- Maniat, M.; Camp, C.V.; Kashani, A.R. Deep Learning-Based Visual Crack Detection Using Google Street View Images. Neural. Comput. Appl. 2021, 33, 14565–14582. [Google Scholar] [CrossRef]
- Wang, Z.; Yang, J.; Jiang, H.; Fan, X. CNN Training with Twenty Samples for Crack Detection via Data Augmentation. Sensors 2020, 20, 4849. [Google Scholar] [CrossRef] [PubMed]
- Maeda, H.; Sekimoto, Y.; Seto, T.; Kashiyama, T.; Omata, H. Road Damage Detection and Classification Using Deep Neural Networks with Smartphone Images. Comput. Aided Civ. Infrastruct. Eng. 2018, 33, 1127–1141. [Google Scholar] [CrossRef]
- Deng, J.; Lu, Y.; Lee, V.C.-S. Imaging-Based Crack Detection on Concrete Surfaces Using You Only Look Once Network. Struct. Health Monit. 2021, 20, 484–499. [Google Scholar] [CrossRef]
- Han, Z.; Chen, H.; Liu, Y.; Li, Y.; Du, Y.; Zhang, H. Vision-Based Crack Detection of Asphalt Pavement Using Deep Convolutional Neural Network. Iran. J. Sci. Technol. Trans. Civ. Eng. 2021, 45, 2047–2055. [Google Scholar] [CrossRef]
- Maeda, H.; Kashiyama, T.; Sekimoto, Y.; Seto, T.; Omata, H. Generative Adversarial Network for Road Damage Detection. Comput. Aided Civ. Infrastruct. Eng. 2021, 36, 47–60. [Google Scholar] [CrossRef]
- Wu, Y.; Yang, W.; Pan, J.; Chen, P. Asphalt Pavement Crack Detection Based on Multi-Scale Full Convolutional Network. J. Intell. Fuzzy Syst. 2021, 40, 1495–1508. [Google Scholar] [CrossRef]
- Li, H.; Xiong, P.; Fan, H.; Sun, J. Dfanet: Deep Feature Aggregation for Real-Time Semantic Segmentation. In Proceedings of the IEEE/CVF Conference on Computer Vision and Pattern Recognition, Long Beach, CA, USA, 15–20 June 2019; pp. 9522–9531. [Google Scholar]
- Qiao, W.; Liu, Q.; Wu, X.; Ma, B.; Li, G. Automatic Pixel-Level Pavement Crack Recognition Using a Deep Feature Aggregation Segmentation Network with a ScSE Attention Mechanism Module. Sensors 2021, 21, 2902. [Google Scholar] [CrossRef]
- Nguyen, N.H.T.; Perry, S.; Bone, D.; Le, H.T.; Nguyen, T.T. Two-Stage Convolutional Neural Network for Road Crack Detection and Segmentation. Expert. Syst. Appl. 2021, 186, 115718. [Google Scholar] [CrossRef]
- Xiang, X.; Zhang, Y.; El Saddik, A. Pavement Crack Detection Network Based on Pyramid Structure and Attention Mechanism. IET Image Process. 2020, 14, 1580–1586. [Google Scholar] [CrossRef]
- Amhaz, R.; Chambon, S.; Idier, J.; Baltazart, V. Automatic Crack Detection on Two-Dimensional Pavement Images: An Algorithm Based on Minimal Path Selection. IEEE Trans. Intell. Transp. Syst. 2016, 17, 2718–2729. [Google Scholar] [CrossRef]
- Oliveira, H.; Correia, P.L. CrackIT—An Image Processing Toolbox for Crack Detection and Characterization. In Proceedings of the 2014 IEEE International Conference on Image Processing, Paris, France, 27–30 October 2014; pp. 798–802. [Google Scholar]
- Russakovsky, O.; Deng, J.; Su, H.; Krause, J.; Satheesh, S.; Ma, S.; Huang, Z.; Karpathy, A.; Khosla, A.; Bernstein, M.; et al. Imagenet Large Scale Visual Recognition Challenge. Int. J. Comput. Vis. 2015, 115, 211–252. [Google Scholar] [CrossRef]
- Geiger, A.; Lenz, P.; Stiller, C.; Urtasun, R. Vision Meets Robotics: The Kitti Dataset. Ind. Robot. 2013, 32, 1231–1237. [Google Scholar] [CrossRef]
- Everingham, M.; Eslami, S.; Van Gool, L.; Williams, C.K.; Winn, J.; Zisserman, A. The Pascal Visual Object Classes Challenge: A Retrospective. Int. J. Comput. Vis. 2015, 111, 98–136. [Google Scholar] [CrossRef]
- Lin, T.-Y.; Maire, M.; Belongie, S.; Hays, J.; Perona, P.; Ramanan, D.; Dollár, P.; Zitnick, C.L. Microsoft Coco: Common Objects in Context. In Proceedings of the European Conference on Computer Vision, Zurich, Switzerland, 6–12 September 2014; pp. 740–755. [Google Scholar]
- Kim, J.J.; Kim, A.-R.; Lee, S.-W. Artificial Neural Network-Based Automated Crack Detection and Analysis for the Inspection of Concrete Structures. Appl. Sci. 2020, 10, 8105. [Google Scholar] [CrossRef]
- Hsieh, Y.-A.; Tsai, Y.J. Machine Learning for Crack Detection: Review and Model Performance Comparison. J Comput. Civ. Eng. 2020, 34, 04020038. [Google Scholar] [CrossRef]
- Krizhevsky, A.; Sutskever, I.; Hinton, G.E. Imagenet Classification with Deep Convolutional Neural Networks. Commun. ACM 2012, 60, 84–90. [Google Scholar] [CrossRef]
- Szegedy, C.; Vanhoucke, V.; Ioffe, S.; Shlens, J.; Wojna, Z. Rethinking the Inception Architecture for Computer Vision. In Proceedings of the IEEE Conference on Computer Vision and Pattern Recognition, Las Vegas, NV, USA, 27–30 June 2016; pp. 2818–2826. [Google Scholar]
- He, K.; Zhang, X.; Ren, S.; Sun, J. Deep Residual Learning for Image Recognition. In Proceedings of the IEEE conference on Computer Vision and Pattern Recognition, Las Vegas, NV, USA, 27–30 June 2016; pp. 770–778. [Google Scholar]
- Howard, A.G.; Zhu, M.; Chen, B.; Kalenichenko, D.; Wang, W.; Weyand, T.; Andreetto, M.; Adam, H. Mobilenets: Efficient Convolutional Neural Networks for Mobile Vision Applications. arXiv 2017, arXiv:1704.04861. [Google Scholar]
- Girshick, R.; Donahue, J.; Darrell, T.; Malik, J. Rich Feature Hierarchies for Accurate Object Detection and Semantic Segmentation. In Proceedings of the IEEE Conference on Computer Vision and Pattern Recognition, Columbus, OH, USA, 23–28 June 2014; pp. 580–587. [Google Scholar]
- Girshick, R. Fast R-Cnn. In Proceedings of the IEEE international Conference on Computer Vision, Santiago, Chile, 7–13 December 2015; pp. 1440–1448. [Google Scholar]
- Ren, S.; He, K.; Girshick, R.; Sun, J. Faster R-Cnn: Towards Real-Time Object Detection with Region Proposal Networks. In Advances in Neural Information Processing Systems; MIT Press: Cambridge, MA, USA, 2015; Volume 28. [Google Scholar]
- Redmon, J.; Divvala, S.; Girshick, R.; Farhadi, A. You Only Look Once: Unified, Real-Time Object Detection. In Proceedings of the IEEE Conference on Computer Vision and Pattern Recognition, Las Vegas, NV, USA, 27–30 June 2016; pp. 779–788. [Google Scholar]
- Liu, W.; Anguelov, D.; Erhan, D.; Szegedy, C.; Reed, S.; Fu, C.-Y.; Berg, A.C. Ssd: Single Shot Multibox Detector. In Proceedings of the European Conference on Computer Vision, Amsterdam, The Netherlands, 11–14 October 2016; pp. 21–37. [Google Scholar]
- Lin, T.-Y.; Goyal, P.; Girshick, R.; He, K.; Dollár, P. Focal Loss for Dense Object Detection. In Proceedings of the IEEE International Conference on Computer Vision, Venice, Italy, 22–29 October 2017; pp. 2980–2988. [Google Scholar]
- Tian, Z.; Shen, C.; Chen, H.; He, T. Fcos: Fully Convolutional One-Stage Object Detection. In Proceedings of the IEEE/CVF International Conference on Computer Vision, Seoul, Korea, 27 October–2 November 2019; pp. 9627–9636. [Google Scholar]
- Long, J.; Shelhamer, E.; Darrell, T. Fully Convolutional Networks for Semantic Segmentation. In Proceedings of the IEEE Conference on Computer Vision and Pattern Recognition, Santiago, Chile, 7–13 December 2015; pp. 3431–3440. [Google Scholar]
- Chen, L.-C.; Papandreou, G.; Kokkinos, I.; Murphy, K.; Yuille, A.L. Deeplab: Semantic Image Segmentation with Deep Convolutional Nets, Atrous Convolution, and Fully Connected Crfs. IEEE Trans. Pattern Anal. Mach. Intell. 2017, 40, 834–848. [Google Scholar] [CrossRef]
- Ronneberger, O.; Fischer, P.; Brox, T. U-Net: Convolutional Networks for Biomedical Image Segmentation. In Proceedings of the International Conference on Medical Image Computing and Computer-Assisted Intervention, Munich, Germany, 5–9 October 2015; pp. 234–241. [Google Scholar]
- Liu, J.; Yang, X.; Lau, S.; Wang, X.; Luo, S.; Lee, V.C.-S.; Ding, L. Automated Pavement Crack Detection and Segmentation Based on Two-Step Convolutional Neural Network. Comput. Aided Civ. Infrastruct. Eng. 2020, 35, 1291–1305. [Google Scholar] [CrossRef]
- Lei, B.; Ren, Y.; Wang, N.; Huo, L.; Song, G. Design of a New Low-Cost Unmanned Aerial Vehicle and Vision-Based Concrete Crack Inspection Method. Struct. Control Health Monit. 2020, 19, 1871–1883. [Google Scholar] [CrossRef]
- Ji, A.; Xue, X.; Wang, Y.; Luo, X.; Wang, L. Image-Based Road Crack Risk-Informed Assessment Using a Convolutional Neural Network and an Unmanned Aerial Vehicle. Struct. Control Health Monit. 2021, 28, e2749. [Google Scholar] [CrossRef]
- Tran, V.P.; Tran, T.S.; Lee, H.J.; Kim, K.D.; Baek, J.; Nguyen, T.T. One Stage Detector (RetinaNet)-Based Crack Detection for Asphalt Pavements Considering Pavement Distresses and Surface Objects. J. Civ. Struct. Health Monit. 2021, 11, 205–222. [Google Scholar] [CrossRef]
- Xia, B.; Cao, J.; Zhang, X.; Peng, Y. Automatic Concrete Sleeper Crack Detection Using a One-Stage Detector. Int. J. Intell. Robot. Appl. 2020, 4, 319–327. [Google Scholar] [CrossRef]
- Sekachev, B.; Manovich, N.; Zhiltsov, M.; Zhavoronkov, A.; Kalinin, D.; Hoff, B.; TOsmanov; Kruchinin, D.; Zankevich, A.; DmitriySidnev; et al. Opencv/Cvat; V1.1.0 2020; Zenodo: Meyrin, Switzerland, 2020. [Google Scholar] [CrossRef]
- Ministry of Transport of the People’s Republic of China. Highway Performance Assessment Standards; JTG H20-2007; China Communications Press: Beijing, China, 2007. [Google Scholar]
- Pavement Distress Identification Manual for the NPS Road Inventory Program. Available online: https://www.carbonyte.com/Documents/PCR%20Distress-ID-Manual.pdf (accessed on 19 August 2022).
- Zhang, K.; Cheng, H.; Zhang, B. Unified Approach to Pavement Crack and Sealed Crack Detection Using Preclassification Based on Transfer Learning. J. Comput. Civ. Eng. 2018, 32, 04018001. [Google Scholar] [CrossRef]
- Hoang, N.-D.; Huynh, T.-C.; Tran, X.-L.; Tran, V.-D. A Novel Approach for Detection of Pavement Crack and Sealed Crack Using Image Processing and Salp Swarm Algorithm Optimized Machine Learning. Adv. Civ. Eng. 2022, 2022, 1–21. [Google Scholar] [CrossRef]
- Shahinfar, S.; Meek, P.; Falzon, G. “How Many Images Do I Need?” Understanding How Sample Size per Class Affects Deep Learning Model Performance Metrics for Balanced Designs in Autonomous Wildlife Monitoring. Ecol. Inform. 2020, 57, 101085. [Google Scholar] [CrossRef]
- Jocher, G.; Chaurasia, A.; Stoken, A.; Borovec, J.; NanoCode012; Kwon, Y.; Xie, T.; Fang, J.; imyhxy; Michael, K.; et al. Ultralytics/Yolov5; V6.1-TensorRT; TensorFlow Edge TPU and OpenVINO Export and Inference; Zenodo: Meyrin, Switzerland, 2022. [Google Scholar] [CrossRef]
- Magalhães, S.A.; Castro, L.; Moreira, G.; Dos Santos, F.N.; Cunha, M.; Dias, J.; Moreira, A.P. Evaluating the Single-Shot Multibox Detector and YOLO Deep Learning Models for the Detection of Tomatoes in a Greenhouse. Sensors 2021, 21, 3569. [Google Scholar] [CrossRef]
















| Image Dataset | Image Annotation Type | Detection Model | Researchers/Year |
|---|---|---|---|
| 2468 grayscale images with 6 distress types, collected by a measurement vehicle | Patch-level | LeNet-based model for crack classification | Eisenbach et al. [14] 2017 |
| 48,000 crack or non-crack images, collected from Google Street View | Patch-level | VGG-based model for crack classification | Maniat et al. [15] 2021 |
| 400 crack images from routine civil construction | Object-level | Faster R-CNN model for crack detection | Wang et al. [16] 2020 |
| 9053 images with 8 different distress types, captured by a smartphone | Object-level | SSD-based model for crack detection | Maeda et al. [17] 2018 |
| 3100 real-world images captured by digital camera | Object-level | YOLOv2-based model for crack detection | Deng et al. [18] 2021 |
| 280 highway pavement and urban road images | Object-level | SSD-based model for crack detection | Han et al. [19] 2021 |
| 2000 pothole images captured by a smartphone | N/A | GAN-based model for data augmentation | Maeda et al. [20] 2021 |
| 95,000 road crack images | Pixel-level | FCN-based model for crack segmentation | Wu et al. [21] 2021 |
| Combination of publicly available crack dataset | Pixel-level | DFANet-based [22] model for crack segmentation | Qiao et al. [23] 2021 |
| Combination of publicly available crack dataset | Pixel-level | Encoder-decoder-based model for crack segmentation | Nguyen et al. [24] 2021 |
| Combination of publicly available crack dataset | Pixel-level | Encoder-decoder-based model for crack segmentation | Xiang et al. [25] 2020 |
| Group | Model | Parameters |
|---|---|---|
| Group 1 | SSDlite320 MobileNetV3-Large | 3.4 M |
| YOLOv5n | 1.9 M | |
| YOLOv5s | 7.2 M | |
| Group 2 | Faster R-CNN MobileNetV3-Large-FPN | 19.4 M |
| Faster R-CNN MobileNetV3-Large-320-FPN | 19.4 M | |
| YOLOv5m | 21.2 M | |
| Group 3 | FCOS ResNet50-FPN | 32.3 M |
| RetinaNet ResNet50-FPN | 34.0 M | |
| RetinaNet ResNet50-FPN v2 | 38.2 M | |
| SSD300 VGG16 | 35.6 M | |
| Group 4 | Faster R-CNN ResNet50-FPN | 41.8 M |
| Faster R-CNN ResNet50-FPN v2 | 43.7 M | |
| YOLOv5l | 46.5 M |
| Model | Training Time | Inference Time | Precision | Recall | F1 | mAP (COCO) | mAP (Pascal VOC) | MACs |
|---|---|---|---|---|---|---|---|---|
| SSDlite320 MobileNetV3-Large | 230 s | 40.2 ms | 65.81% | 56.07% | 60.55% | 14.62% | 45.57% | 528.96 M |
| YOLOv5n | 51 s | 14.8 ms | 80.18% | 89.50% | 84.58% | 50.50% | 85.52% | 2.235 G |
| YOLOv5s | 52 s | 14.8 ms | 83.38% | 90.45% | 86.79% | 55.80% | 88.04% | 8.218 G |
| Model | Training Time | Inference Time | Precision | Recall | F1 | mAP (COCO) | mAP (Pascal VOC) | MACs |
|---|---|---|---|---|---|---|---|---|
| Faster R-CNN MobileNetV3-Large-FPN | 324 s | 77.4 ms | 57.86% | 89.90% | 60.35% | 34.14% | 75.46% | 18.410 G |
| Faster R-CNN MobileNetV3-Large-320-FPN | 214 s | 60.1 ms | 42.76% | 39.81% | 41.23% | 8.27% | 30.97% | 2.807 G |
| YOLOv5m | 90 s | 19.0 ms | 80.29% | 91.30% | 85.44% | 54.03% | 87.87% | 24.438 G |
| Model | Training Time | Inference Time | Precision | Recall | F1 | mAP (COCO) | mAP (Pascal VOC) | MACs |
|---|---|---|---|---|---|---|---|---|
| FCOS ResNet50-FPN | 403 s | 97.8 ms | 26.45% | 97.07% | 41.58% | 33.19% | 75.50% | 125.502 G |
| RetinaNet ResNet50-FPN | 621 s | 95.4 ms | 50.09% | 93.48% | 65.23% | 31.71% | 72.74% | 127.193 G |
| RetinaNet ResNet50-FPN v2 | 665 s | 94.7 ms | 51.61% | 94.44% | 66.75% | 33.33% | 75.90% | 128.457 G |
| SSD300 VGG16 | 196 s | 76.0 ms | 65.66% | 76.72% | 70.76% | 26.36% | 64.83% | 30.477 G |
| Model | Training Time | Inference Time | Precision | Recall | F1 | mAP (COCO) | mAP (Pascal VOC) | MACs |
|---|---|---|---|---|---|---|---|---|
| Faster R-CNN ResNet50-FPN | 657 s | 97.3 ms | 57.54% | 95.52% | 71.82% | 42.29% | 84.61% | 133.929 G |
| Faster R-CNN ResNet50-FPN v2 | 848 s | 95.3 ms | 59.57% | 94.88% | 73.19% | 42.95% | 84.91% | 280.797 G |
| YOLOv5l | 146 s | 25.3 ms | 80.87% | 91.23% | 85.74% | 53.57% | 87.65% | 32.700 G |
Publisher’s Note: MDPI stays neutral with regard to jurisdictional claims in published maps and institutional affiliations. |
© 2022 by the authors. Licensee MDPI, Basel, Switzerland. This article is an open access article distributed under the terms and conditions of the Creative Commons Attribution (CC BY) license (https://creativecommons.org/licenses/by/4.0/).
Share and Cite
Yang, N.; Li, Y.; Ma, R. An Efficient Method for Detecting Asphalt Pavement Cracks and Sealed Cracks Based on a Deep Data-Driven Model. Appl. Sci. 2022, 12, 10089. https://doi.org/10.3390/app121910089
Yang N, Li Y, Ma R. An Efficient Method for Detecting Asphalt Pavement Cracks and Sealed Cracks Based on a Deep Data-Driven Model. Applied Sciences. 2022; 12(19):10089. https://doi.org/10.3390/app121910089
Chicago/Turabian StyleYang, Nan, Yongshang Li, and Ronggui Ma. 2022. "An Efficient Method for Detecting Asphalt Pavement Cracks and Sealed Cracks Based on a Deep Data-Driven Model" Applied Sciences 12, no. 19: 10089. https://doi.org/10.3390/app121910089
APA StyleYang, N., Li, Y., & Ma, R. (2022). An Efficient Method for Detecting Asphalt Pavement Cracks and Sealed Cracks Based on a Deep Data-Driven Model. Applied Sciences, 12(19), 10089. https://doi.org/10.3390/app121910089

