Abstract
The goal of the present article is to compare neuromuscular activation patterns among medial-lateral, superior-inferior, and rotational positions of palms for 14 selective muscles during the push-up exercise. Muscle activity and kinematics information of fifteen males (68.35 ± 7.18 kg, 175 ± 3.40 cm, 24.50 ± 7.50 years) were recorded by Myon Electromyographic (EMG) system and Vicon motion capture, respectively. EMG activity in the anterior deltoid, middle deltoid, posterior deltoid, infraspinatus, upper pectoralis major, middle pectoralis major, lower pectoralis major, latissimus dorsi, triceps lateral, triceps medial, biceps brachii, upper trapezius, middle trapezius, and lower trapezius was measured. According to the results, the narrow position of palms increased the infraspinatus, upper pectoralis major, triceps brachii (lateral and medial head), middle trapezius, and lower trapezius muscles, while the wide position of palms enhanced the lower pectoralis major muscle. Superior positions of palms enhanced the upper trapezius, while the inferior positions of palms increased the anterior deltoid, posterior deltoid, infraspinatus, biceps brachii, middle trapezius, lower trapezius, and pectoralis major (lower, middle, and upper) muscles. Internal positions of the palms increased all pectoralis major muscles (lower, middle, and upper), while external positions (lower, middle, and upper) enhanced the middle deltoid, latissimus dorsi, biceps brachii, middle trapezius, and lower trapezius muscles. The information about muscle activation during various types of push-ups can potentially help athletes, coaches, personal trainers, and clinicians to apply modified push-up exercises to make new systematic and useful exercise plans.
1. Introduction
A push-up is a common bodyweight exercise executed by lowering and elevating the upper body while keeping the back straight [1]. The application of the push-up exercise may be for athletes or patients [2]. It is a closed kinetic chain exercise that involves many upper limb and core muscles [3,4,5,6,7]. There are many muscles responsible for specific motions during push-up exercises. Although, the activation of each muscle depends on different factors, such as hand position variants [8]. It plays a key role in the co-contraction of multiple muscles, such as the agonist and antagonist muscles. Therefore, it was prescribed to athletes or patients to develop joint stability, injury prevention, and rehabilitation program by sports coaches or physiotherapists [9]. The push-up consists of many variants, such as medial-lateral, superior-inferior, and rotation variations of the palms [10,11]. The push-up and its variants were investigated by techniques that involved surface electromyography (EMG) [12,13]. Previous studies have studied the impacts of various variations of push-ups separately, such as different medial-lateral, superior-inferior, rotational positions, and executing push-ups on various surfaces [13,14]. Despite the many excellent studies, there is no evidence of a relationship between various palm positions. Therefore, the main aim of the current study was to discover relationships of muscle activation among medial-lateral, superior-inferior, and rotational positions of palms during the push-up exercise. Through the outcome of the study, it is possible to reveal the correct understanding of the muscle functions in sports and clinical applications of this movement correctly in various hand positions.
2. Methods and Materials
2.1. Study Selection
Fifteen professional fitness athletes participated in this study. Athletes were free from any mental or physical problems. These subjects have more than 6 hours of regular training per week. The average of each athlete’s experience in professional sports is more than 10 years.
Table 1 presents the anthropometric information of the athletes. All volunteers were excluded if they had any injuries or comorbidity affecting push-ups, such as previous orthopedic surgery, musculoskeletal injuries, or a history of neurological disorders. Further, written informed consent was obtained from all subjects. The current study protocols were in accordance with the Declaration of Helsinki.
Table 1.
Anthropometrics and experience information of the subjects.
2.2. Instruments
Ten Vicon motion-capturing systems (Vicon MX, Oxford, UK, 100 Hz) were used to record kinematics data [15]. Motion analysis of push-up exercises allowed us to detect the angles [15,16]. The EMG activity in the anterior deltoid, middle deltoid, posterior deltoid, infraspinatus, upper pectoralis major, middle pectoralis major, lower pectoralis major, latissimus dorsi, triceps lateral, triceps medial, biceps brachii, upper trapezius, middle trapezius, and lower trapezius muscles was measured by a 14-channel wireless Myon EMG system (made in Switzerland) with a sampling frequency of 1000 Hz, as shown in Figure 1 [17]. The standard surface EMG electrode placements were applied according to the recommendation of Cram and Kasman [18]. Skin shaving and cleaning with alcohol were performed to reduce errors. The surface electrodes included self-adhesive with Ag/AgCl [16,19].
Figure 1.
The surface reflective marker and EMG electrode placement for 14 muscles: anterior deltoid, middle deltoid, posterior deltoid, infraspinatus, upper pectoralis major, middle pectoralis major, lower pectoralis major, latissimus dorsi, triceps lateral, triceps medial, biceps brachii, upper trapezius, middle trapezius, and lower trapezius muscles in the motion analysis lab with ten high-speed motion Vicon cameras (Vicon Industries Ltd., Hampshire, UK).
2.3. Experimental Setup
Participants warmed up and stretched for ten minutes before the experiments. After warming up and stretching, the markers and EMG electrodes were attached. Before starting the experiments, the subjects trained for the experiments for the best performance. Participants executed push-ups in three medial-lateral positions (narrow, normal, and wide), three superior-inferior positions (superior, normal, and inferior), and three rotational positions (internal, normal, and external) of palms. Therefore, each subject executed nine types of push-ups. Each subject performed five trials for each type of push-up. The information about each type of push-up is illustrated in Table 2.
Table 2.
Categorization of the various palm positions.
2.4. Data Analysis
The kinematics and EMG signals were synchronized by Vicon Nexus software (Vicon Industries Ltd., Hampshire, UK). The EMG and kinematics data were incorporated into the Mokka software to set the onset and offset of the push-up exercises by visual inspection. The EMG signal was normalized to the maximal values of the EMG signal (highest values in experiments) to facilitate comparison among muscles, subjects, and different push-up variations. All electromyographic signals, such as different types of push-up trials, were high-pass filtered at 30 Hz to delete artificial and heart rate effects [20]. After the elimination of heart rate and artificial effects, EMG data were linearly enveloped and rectified by a low-pass filter with 4 Hz frequency fourth-order Butterworth [21]. The mean and standard deviation values were calculated from filtered muscle activity data for each muscle and each trial [22].
2.5. Statistical Analysis
All muscle activations are presented as mean values (dependent variables) for each muscle. Independent variables were medial-lateral, inferior-posterior, and rotational positions of palms. In this study, three-way, repeated-measures ANOVA was used to compare the muscle activations in the three palm positions for each variation group: medial-lateral (three levels), superior-inferior (three levels), and rotational (three levels) variations. A Tukey–Kramer posthoc analysis test was used to compare the three palm positions for each variation group (medial-lateral, superior-inferior, and rotational variations). For all analyses, the statistical significance level was set to 0.05. All statistical analysis was performed in MATLAB 2020a software.
3. Results
The experimental results of the muscular activity during push-up exercises are explained in detail below. The push-up postures are depicted below, in Figure 2, Figure 3 and Figure 4, to understand the phases of the push-up. The information on the push-up type and positions of the palms are detailed in Table 2.
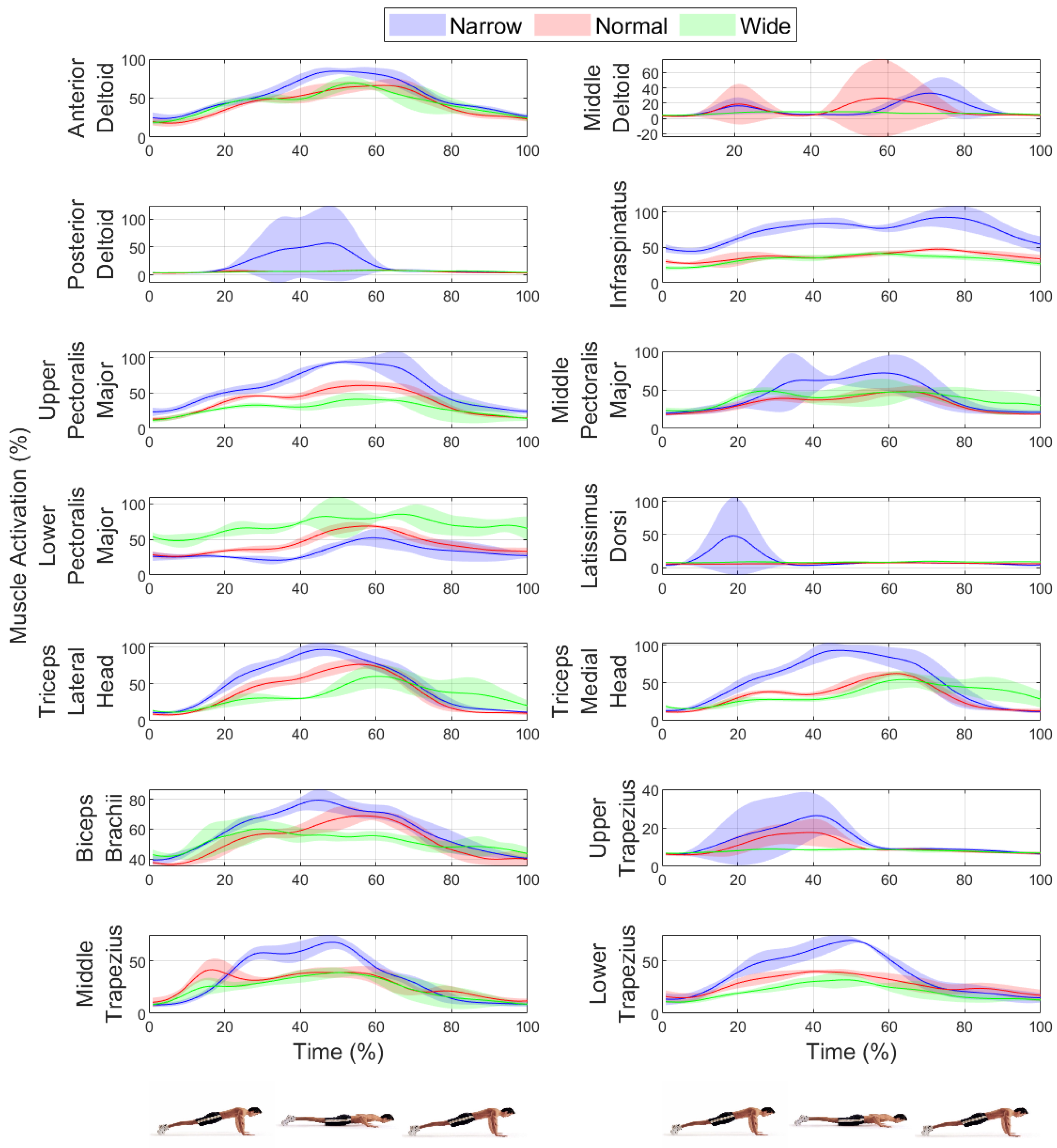
Figure 2.
The mean and standard deviation of muscle activities for 14 muscles: the anterior deltoid, middle deltoid, posterior deltoid, infraspinatus, upper pectoralis major, middle pectoralis major, lower pectoralis major, latissimus dorsi, triceps lateral, triceps medial, biceps brachii, upper trapezius, middle trapezius, and lower trapezius muscles during the push-up exercise in three medial-lateral positions of palms (narrow, normal, and wide).
Figure 3.
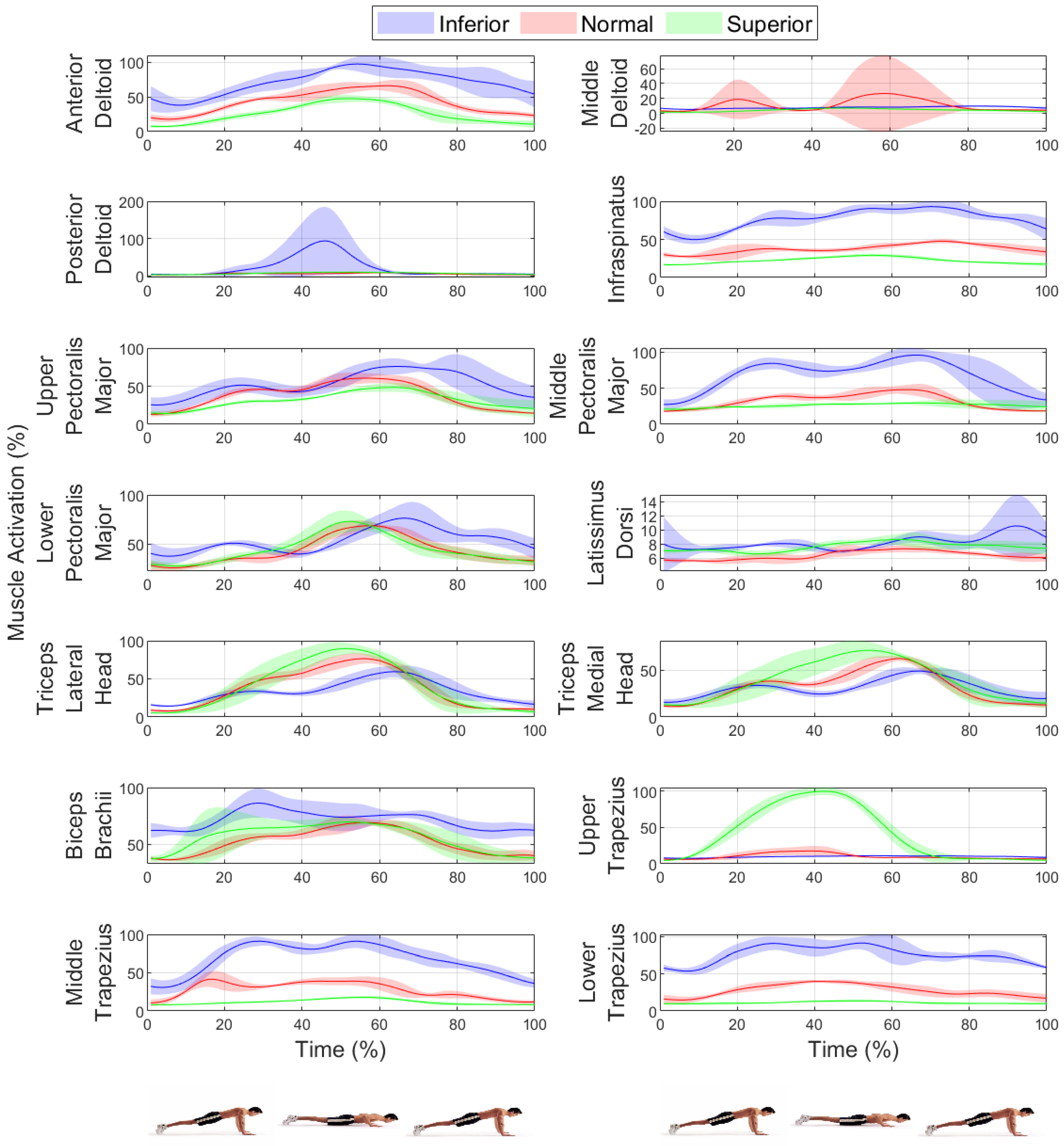
The mean and standard deviation of muscle activities for 14 muscles: the anterior deltoid, middle deltoid, posterior deltoid, infraspinatus, upper pectoralis major, middle pectoralis major, lower pectoralis major, latissimus dorsi, triceps lateral, triceps medial, biceps brachii, upper trapezius, middle trapezius, and lower trapezius muscles during the push-up exercise in three superior-inferior positions of palms (inferior, normal, and superior).
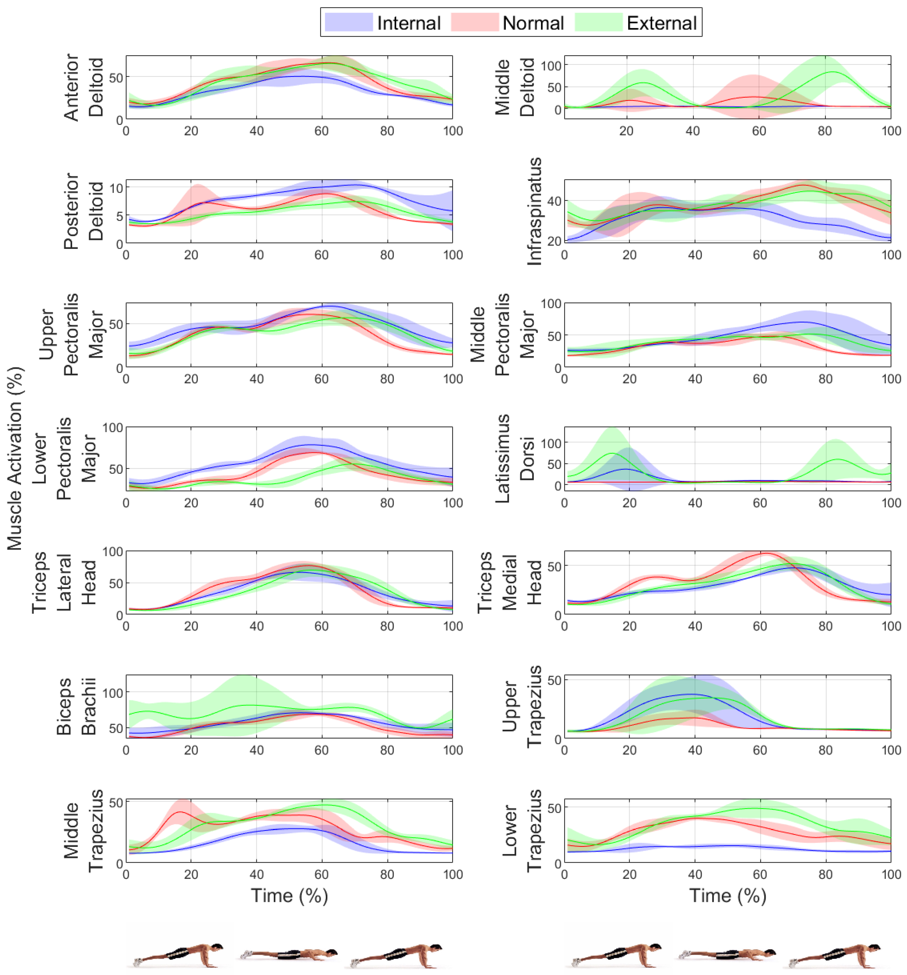
Figure 4.
The mean and standard deviation of muscle activities for 14 muscles: the anterior deltoid, middle deltoid, posterior deltoid, infraspinatus, upper pectoralis major, middle pectoralis major, lower pectoralis major, latissimus dorsi, triceps lateral, triceps medial, biceps brachii, upper trapezius, middle trapezius, and lower trapezius muscles during the push-up exercise in three rotational positions of palms (90 internal rotation, 0 rotation, and 90 external rotation).
The mean and standard deviation of muscle activities for 14 muscles: the anterior deltoid, middle deltoid, posterior deltoid, infraspinatus, upper pectoralis major, middle pectoralis major, lower pectoralis major, latissimus dorsi, triceps lateral, triceps medial, biceps brachii, upper trapezius, middle trapezius, and lower trapezius muscles during the push-up exercise in three medial-lateral positions of palms (narrow, normal, and wide) are shown in Figure 2.
Figure 3 shows the mean and standard deviation of muscle activities for 14 muscles: the anterior deltoid, middle deltoid, posterior deltoid, infraspinatus, upper pectoralis major, middle pectoralis major, lower pectoralis major, latissimus dorsi, triceps lateral, triceps medial, biceps brachii, upper trapezius, middle trapezius, and lower trapezius muscles during the push-up exercise in three superior-inferior positions of palms (inferior, normal, and superior).
Figure 4 represents the mean and standard deviation of muscle activities for 14 muscles: the anterior deltoid, middle deltoid, posterior deltoid, infraspinatus, upper pectoralis major, middle pectoralis major, lower pectoralis major, latissimus dorsi, triceps lateral, triceps medial, biceps brachii, upper trapezius, middle trapezius, and lower trapezius muscles during the push-up exercise in three rotational positions of palms (90 internal rotation, 0 rotation, and 90 external rotation).
Figure 5 presents the mean and standard deviation of normalized muscle activities for 14 muscles: the anterior deltoid, middle deltoid, posterior deltoid, infraspinatus, upper pectoralis major, middle pectoralis major, lower pectoralis major, latissimus dorsi, triceps lateral, triceps medial, biceps brachii, upper trapezius, middle trapezius, and lower trapezius muscles in three medial-lateral positions of palms (narrow, normal, and wide). No significant differences were observed in the medial-lateral positions of palms in the anterior deltoid, middle deltoid, middle pectoralis major, latissimus dorsi, biceps brachii, and upper trapezius muscle activation (p > 0.05). The narrow palm position tended to enhance muscle activation of the anterior deltoid, middle deltoid, posterior deltoid, infraspinatus, upper pectoralis major, middle pectoralis major, latissimus dorsi, triceps lateral, triceps medial, biceps brachii, upper trapezius, middle trapezius, and lower trapezius muscles, while the wide palm position increased the lower pectoralis muscle by 0.69 ± 0.06 of normalized muscle activation. The star sign indicates p-values < 0.05 with respect to Tukey–Kramer post-hoc significant difference criterion. The greatest changes happened in the infraspinatus (0.74 ± 0.03) and lower pectoralis major (0.69 ± 0.06).
Figure 5.
The mean and standard deviation of normalized muscle activities for 14 muscles: the anterior deltoid, middle deltoid, posterior deltoid, infraspinatus, upper pectoralis major, middle pectoralis major, lower pectoralis major, latissimus dorsi, triceps lateral, triceps medial, biceps brachii, upper trapezius, middle trapezius, and lower trapezius muscles in three medial-lateral positions of palms (narrow, normal, and wide). The star sign indicates p-values < 0.05 with respect to Tukey–Kramer post-hoc significant difference criterion.
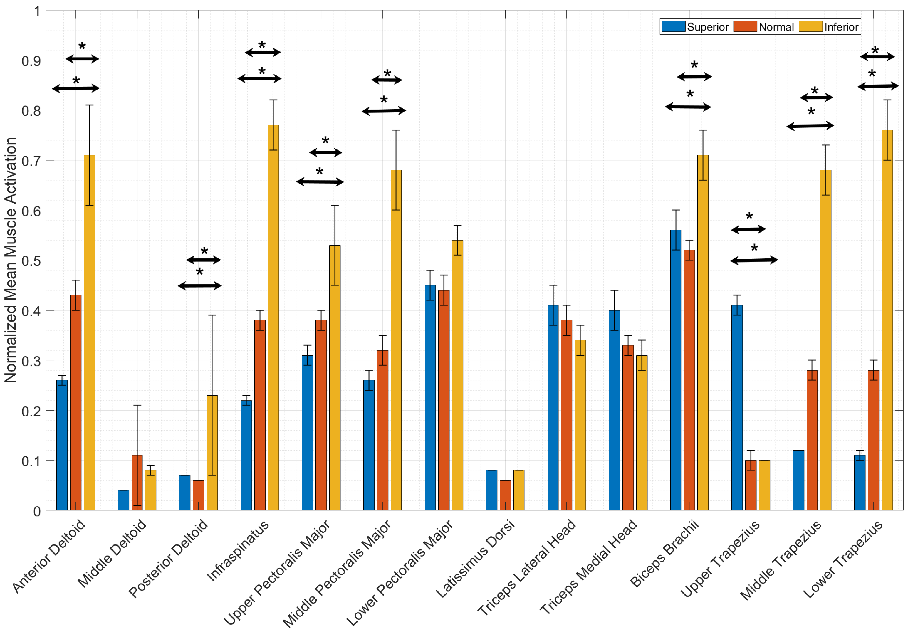
Figure 6 shows the relationship between the superior-inferior positions of palms and muscle activities during the push-up exercise. The main impact of the superior-inferior positions of palms affected all muscles (p < 0.05) except the middle deltoid, lower pectoralis major, latissimus dorsi, triceps lateral, and triceps medial muscles, as shown in Figure 6. The inferior positions of the palm enhanced muscle activity in 8 out of 14 muscles (p < 0.05) from 0.14–0.66 of normalized muscle activity in the middle deltoid, lower pectoralis major, latissimus dorsi, triceps lateral, and triceps medial muscles, while the superior positions of palms tended to enhance muscle activation of the upper trapezius and middle trapezius (p < 0.05) (Figure 6).
Figure 6.
The mean and standard deviation of normalized muscle activities for 14 muscles: the anterior deltoid, middle deltoid, posterior deltoid, infraspinatus, upper pectoralis major, middle pectoralis major, lower pectoralis major, latissimus dorsi, triceps lateral, triceps medial, biceps brachii, upper trapezius, middle trapezius, and lower trapezius muscles in three superior-inferior positions of palms (superior, normal, and inferior). The star sign indicates p-values < 0.05 with respect to Tukey–Kramer post-hoc significant difference criterion.
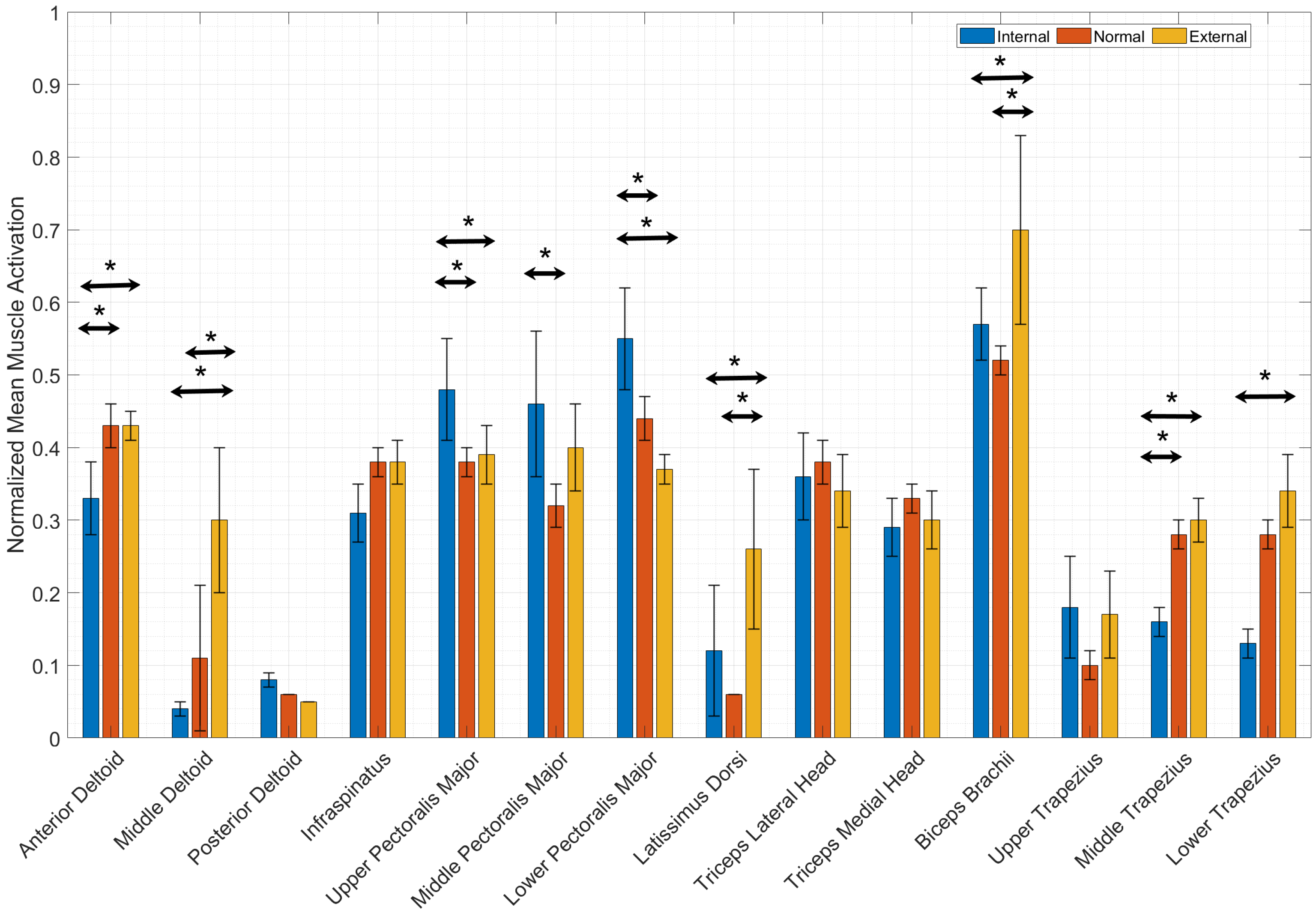
Figure 7 presents the mean and standard deviation of normalized muscle activities for 14 muscles: the anterior deltoid, middle deltoid, posterior deltoid, infraspinatus, upper pectoralis major, middle pectoralis major, lower pectoralis major, latissimus dorsi, triceps lateral, triceps medial, biceps brachii, upper trapezius, middle trapezius, and lower trapezius muscles in three rotational positions of palms (90° internal rotation, 0° rotation, and 90° external rotation). The star sign indicates p-values < 0.05 with respect to Tukey–Kramer post-hoc significant difference criterion. No significant differences were observed in rotational positions of palms in the posterior deltoid, infraspinatus, triceps brachii lateral, triceps brachii medial, and upper trapezius muscle activation.
Figure 7.
The mean and standard deviation of normalized muscle activities for 14 muscles: the anterior deltoid, middle deltoid, posterior deltoid, infraspinatus, upper pectoralis major, middle pectoralis major, lower pectoralis major, latissimus dorsi, triceps lateral, triceps medial, biceps brachii, upper trapezius, middle trapezius, and lower trapezius muscles in three rotational positions of palms (superior, normal, and inferior). The star sign indicates p-values < 0.05 with respect to Tukey–Kramer post-hoc significant difference criterion.
The Internal rotation of palm positions tended to enhance muscle activation of the upper pectoralis major, middle pectoralis major, and lower pectoralis major muscles, while the external rotation of palm positions enhanced the anterior deltoid, middle deltoid, latissimus dorsi, biceps brachii, middle trapezius, and lower trapezius muscle. The rotational positions of palms changed muscle activation in 9 out of 14 muscles, with the highest rotational variations with external palm rotation being a 0.2 enhancement in the latissimus dorsi and 0.07 decrease in the lower pectoralis major. The highest deviation affected by external rotation of palms was in the biceps brachii of 0.18, while the lowest deviation was in the anterior deltoid and infraspinatus muscles (around zero). The highest deviation from the internal rotation of palms was 0.14 in the middle pectoralis major (p < 0.05), while the lowest deviation was in the posterior deltoid and triceps lateral muscles of 0.2 (Figure 7).
4. Discussion
The push-up is a popular exercise for enhancing shoulder stability, strength, and control. We compared muscle activities of the anterior deltoid, middle deltoid, posterior deltoid, infraspinatus, upper pectoralis major, middle pectoralis major, lower pectoralis major, latissimus dorsi, triceps lateral, triceps medial, biceps brachii, upper trapezius, middle trapezius, and lower trapezius muscles in (a) three medial-lateral positions of palms (narrow, normal, and wide), (b) three superior-inferior positions of palms (superior, normal, and inferior), and (c) three rotational positions of palms (90° internal rotation, 0° rotation, and 90° external rotation).
Physicians and trainers can alter the push-up variation for their tailored needs. Based on our results, narrow and inferior push-ups can be prescribed to improve the infraspinatus muscle. Narrow, inferior, and external push-ups can be used to boost the middle and lower trapezius muscles. Superior push-ups can be used to improve the upper trapezius muscles. External and inferior push-ups can be prescribed to improve the biceps brachii muscle. External push-ups can be utilized to boost the latissimus dorsi muscle. Narrow push-ups can be applied to boost the triceps brachii muscle. External push-ups can be used to improve the middle deltoid muscle. Inferior push-ups can be utilized to enhance the anterior and posterior deltoid muscles. Internal and inferior push-ups can be prescribed to improve all pectoralis major muscles. The superior positions of palms decreased muscle activation of all pectoralis major muscles (upper, middle, and lower) because these positions of the palms increased the movement of the pectoralis major, and, consequently, the muscle activation of pectoralis major decreased to produce equal torque [23]. Based on the results, the muscle activity was enhanced in all pectoralis major and decreased in tricep group muscles in the inferior positions of the palms, supporting a previous study [24]. The muscle activation of the infraspinatus increased when the position of the palms shifted from superior to inferior because the movement of the infraspinatus is shorter at inferior positions of the palms and longer at superior positions of the palms [23]. Consequently, muscle activation of the infraspinatus increased to produce equal movement. Cogley et al. (2005) evaluated pectoralis major and triceps brachii muscle activity during three different medial-lateral palm positions. They indicated that the muscle activity of the pectoralis major and triceps brachii was high in narrow palm positions [25]. In addition, Gouvali et al. (2005) found pectoralis major muscle activity was highest when the distance between the two palms was smallest (the narrow palms positions) [24]. Moreover, Ho et al. (2019) indicated the muscle activity of the triceps brachii was highest in the narrow palm position [26]. Kim et al. (2016) compared the muscle activities of the deltoideus p. acromialis, pectoralis minor, pectoralis major, serratus anterior, biceps brachii, triceps brachii, latissimus dorsi, and infraspinatus among three medial-lateral palm positions, showing the muscle activity of pectoralis major, triceps brachii, and infraspinatus was highest in the narrow palm position [7]. Other studies, such as Se-Yeon Park et al., compared two parts of the serratus anterior and the upper and lower trapezius muscles activation during push-up variations on stable and unstable bases of support. They found that the lower serratus anterior plays a key role in stabilizing the shoulder grid during push-ups [27]. Our present study includes some limitations, such as the lack of female subjects in our experiments, the low number of subjects, and the lack of different age-group subjects. It suggests the use of kinematics and muscle activity analysis at the same time to understand muscle functions and motor control behavior of push-ups in different variations.
5. Conclusions
The push-up is a common activity for rehabilitation and workouts. Various types of push-ups are known by varying positions of the upper body, lower limb, trunk, head, and support surfaces. The main aim of the current study was to find the relationships of muscle activation among the medial-lateral, superior-inferior, and rotational positions of palms. According to the results, a narrow position of the palms increased the infraspinatus, upper pectoralis major, triceps brachii (lateral and medial head), middle trapezius, and lower trapezius muscles, while a wide position of the palms enhanced the lower pectoralis major muscle. A superior position of the palms enhanced the upper trapezius, while an inferior position of the palms increased the anterior deltoid, posterior deltoid, infraspinatus, all pectoralis major, biceps brachii, middle trapezius, and lower trapezius muscles. An internal position of the palms increased all pectoralis major muscles, while an external position of the palms enhanced the middle deltoid, latissimus dorsi, biceps brachii, middle trapezius, and lower trapezius muscles. The information about muscle activation during various types of push-ups can potentially help athletes, coaches, personal trainers, and clinicians to apply modified push-up exercises for new and useful exercise plans. For example, coaches can train their players via specific push-up exercises because they will be aware of each muscle role and muscle activation in each push-up type. Further research could evaluate the muscle synergy among various types of push-ups to find how CNS (central nervous system) controls the muscles.
Author Contributions
Conceptualization, H.B.; methodology, H.B.; software, G.R.; formal analysis, G.R.; investigation, H.B.; data curation, G.R.; writing—original draft preparation, H.B., F.A., S.F., A.M., A.F. and A.S.; writing—review and editing, G.R. and H.B.; visualization, H.B.; supervision, Y.K. and H.B.; project administration, G.R. All authors have read and agreed to the published version of the manuscript.
Funding
This research was funded by the Japan Society for the Promotion of Science (JSPS) KAKENHI (Grant Number: 21H03525 and 22K18418).
Institutional Review Board Statement
The study was conducted in accordance with the Declaration of Helsinki, and the protocol was approved by the Ethics Committee of HRB 1367-1372.
Informed Consent Statement
Informed consent was obtained from all subjects involved in the study.
Data Availability Statement
The data that support the findings of this study are available from the corresponding author upon reasonable request.
Acknowledgments
The authors thank Hiroshima University and Washington State University for supporting this study.
Conflicts of Interest
The authors declare no conflict of interest.
References
- Golfeshan, N.; Fatemigarakani, S.; Aflatounian, F.; Fattahzadeh, A.; Maboudmanesh, A.; Vojdani, T.; Shaabani, A.; Naghavi, N.; Safaei, M.; Barnamehei, H. Effect of medial-lateral hand positions on glenohumeral and acromioclavicular joint kinematics during push-up exercise. Gait Posture 2020, 81, 111–112. [Google Scholar] [CrossRef]
- Ebben, W.P.; Wurm, B.; VanderZanden, T.L.; Spadavecchia, M.L.; Durocher, J.J.; Bickham, C.T.; Petushek, E.J. Kinetic analysis of several variations of push-ups. J. Strength Cond. Res. 2011, 25, 2891–2894. [Google Scholar] [CrossRef] [PubMed]
- Kang, D.H.; Jung, S.Y.; Nam, D.H.; Shin, S.J.; Yoo, W.G. The effects of push-ups with the trunk flexed on the shoulder and trunk muscles. J. Phys. Ther. Sci. 2014, 26, 909–910. [Google Scholar] [CrossRef][Green Version]
- Lehman, G.J.; Gilas, D.; Patel, U. An unstable support surface does not increase scapulothoracic stabilizing muscle activity during push up and push up plus exercises. Man. Ther. 2008, 13, 500–506. [Google Scholar] [CrossRef] [PubMed]
- Park, K.M.; Cynn, H.S.; Kwon, O.Y.; Yi, C.H.; Yoon, T.L.; Lee, J.H. Comparison of pectoralis major and serratus anterior muscle activities during different push-up plus exercises in subjects with and without scapular winging. J. Strength Cond. Res. 2014, 28, 2546–2551. [Google Scholar] [CrossRef] [PubMed]
- Yoon, J.G.; Lee, H.Y. Periscapular muscle activities and kinematic analysis of the performed on different supporting surfaces for the lower limbs push-up plus exercise. J. Phys. Ther. Sci. 2013, 25, 259–262. [Google Scholar] [CrossRef][Green Version]
- Kim, Y.S.; Kim, D.Y.; Ha, M.S. Effect of the push-up exercise at different palmar width on muscle activities. J. Phys. Ther. Sci. 2016, 28, 446–449. [Google Scholar] [CrossRef] [PubMed]
- De Bock, S.; Ampe, T.; Rossini, M.; Tassignon, B.; Lefeber, D.; Rodriguez-Guerrero, C.; Roelands, B.; Geeroms, J.; Meeusen, R.; De Pauw, K. Passive shoulder exoskeleton support partially mitigates fatigue-induced effects in overhead work. Appl. Ergon. 2023, 106, 103903. [Google Scholar] [CrossRef] [PubMed]
- Jung, J.; Cho, W. Effects of push-up exercise on shoulder stabilizer muscle activation according to the grip thickness of the push-up bar. J. Phys. Ther. Sci. 2015, 27, 2995–2997. [Google Scholar] [CrossRef]
- Barnamehei, H. Effect of Motor Nerve on Lower Limb Coordination Variability During High-Heel and Barefoot Gait. In International Conference on NeuroRehabilitation; Springer: Berlin/Heidelberg, Germany, 2018; pp. 788–790. [Google Scholar]
- Dhahbi, W.; Chaouachi, A.; Dhahbi, A.B.; Cochrane, J.; Chèze, L.; Burnett, A.; Chamari, K. The effect of variation of plyometric push-ups on force-application kinetics and perception of intensity. Int. J. Sport. Physiol. Perform. 2017, 12, 190–197. [Google Scholar] [CrossRef] [PubMed]
- Choi, W.J.; Yoon, T.L.; Choi, S.A.; Lee, J.H.; Cynn, H.S. Different weight bearing push-up plus exercises with and without isometric horizontal abduction in subjects with scapular winging: A randomized trial. J. Bodyw. Mov. Ther. 2017, 21, 582–588. [Google Scholar] [CrossRef]
- Dhahbi, W.; Chaabene, H.; Chaouachi, A.; Padulo, J.; Behm, D.G.; Cochrane, J.; Burnett, A.; Chamari, K. Kinetic analysis of push-up exercises: A systematic review with practical recommendations. Sport. Biomech. 2018, 21, 1–40. [Google Scholar] [CrossRef] [PubMed]
- Aguilera-Castells, J.; Buscà, B.; Fort-Vanmeerhaeghe, A.; Montalvo, A.M.; Pena, J. Muscle activation in suspension training: A systematic review. Sport. Biomech. 2020, 19, 55–75. [Google Scholar] [CrossRef] [PubMed]
- Renganathan, G.; Barnamehei, H.; Das, S.; Kurita, Y. Effect of Wearing Running Shoes on Lower Limb Kinematics by Using OpenSim Simulation Software. Actuators 2022, 11, 152. [Google Scholar] [CrossRef]
- Barnamehei, H.; Abbasizadeh, S. Medial-lateral position of hand changes shoulder muscle synergy during the push-up exercises. In Proceedings of the 2021 28th National and 6th International Iranian Conference on Biomedical Engineering (ICBME), Tehran, Iran, 25–26 November 2021; pp. 299–304. [Google Scholar]
- Barnamehei, H.; Tabatabai Ghomsheh, F.; Safar Cherati, A.; Pouladian, M. Upper limb neuromuscular activities and synergies comparison between elite and nonelite athletics in badminton overhead forehand smash. Appl. Bionics Biomech. 2018, 2018, 6067807. [Google Scholar] [CrossRef]
- Cram, J.R.; Kasman, G.S.; Holtz, J. Introduction to Surface Electromyography; Aspen Publishers: Gaithersburg, MD, USA, 1998. [Google Scholar]
- Barnamehei, H.; Shamloo, P.; Golfeshan, N.; Naghavi, N.; Barnamehei, M.; Kharazi, M.; Jafarloo, S.A. Effect of design of assisting devices on the lower body muscular activities during gait with crutch executed by amputees. Gait Posture 2020, 81, 34–35. [Google Scholar] [CrossRef]
- Drake, J.D.; Callaghan, J.P. Elimination of electrocardiogram contamination from electromyogram signals: An evaluation of currently used removal techniques. J. Electromyogr. Kinesiol. 2006, 16, 175–187. [Google Scholar] [CrossRef] [PubMed]
- Mathiassen, S.; Winkel, J.; Hägg, G. Normalization of surface EMG amplitude from the upper trapezius muscle in ergonomic studies—A review. J. Electromyogr. Kinesiol. 1995, 5, 197–226. [Google Scholar] [CrossRef]
- Barnamehei, H.; Ghomsheh, F.T.; Cherati, A.S.; Pouladian, M. Muscle and joint force dependence of scaling and skill level of athletes in high-speed overhead task: Musculoskeletal simulation study. Inform. Med. Unlocked 2020, 20, 100415. [Google Scholar] [CrossRef]
- Kuechle, D.K.; Newman, S.R.; Itoi, E.; Morrey, B.F.; An, K.N. Shoulder muscle moment arms during horizontal flexion and elevation. J. Shoulder Elb. Surg. 1997, 6, 429–439. [Google Scholar] [CrossRef]
- Gouvali, M.K.; Boudolos, K. Dynamic and electromyographical analysis in variants of push-up exercise. J. Strength Cond. Res. 2005, 19, 146–151. [Google Scholar] [PubMed]
- Cogley, R.M.; Archambault, T.A.; Fibeger, J.F.; Koverman, M.M. Comparison of muscle activation using various hand positions during the push-up exercise. J. Strength Cond. Res. 2005, 19, 628. [Google Scholar] [PubMed]
- Ho, A.J.; Cudlip, A.C.; Ribeiro, D.C.; Dickerson, C.R. Examining upper extremity muscle demand during selected push-up variants. J. Electromyogr. Kinesiol. 2019, 44, 165–172. [Google Scholar] [CrossRef]
- Park, S.Y.; Yoo, W.G. Differential activation of parts of the serratus anterior muscle during push-up variations on stable and unstable bases of support. J. Electromyogr. Kinesiol. 2011, 21, 861–867. [Google Scholar] [CrossRef]
Publisher’s Note: MDPI stays neutral with regard to jurisdictional claims in published maps and institutional affiliations. |
© 2022 by the authors. Licensee MDPI, Basel, Switzerland. This article is an open access article distributed under the terms and conditions of the Creative Commons Attribution (CC BY) license (https://creativecommons.org/licenses/by/4.0/).






