Resistance Coefficient Estimation for a Submarine’s Bare Hull Moving in Forward and Transverse Directions
Abstract
1. Introduction
- To develop accurate and efficient numerical hydrodynamic model for the resistance coefficient of the submarine moving in forward and transverse directions.
- To develop prediction tool for the resistance coefficients of the submarine in the initial design phase, without need to perform complex hydrodynamic analysis.
Literature Review
2. Governing Equations and Boundary Conditions
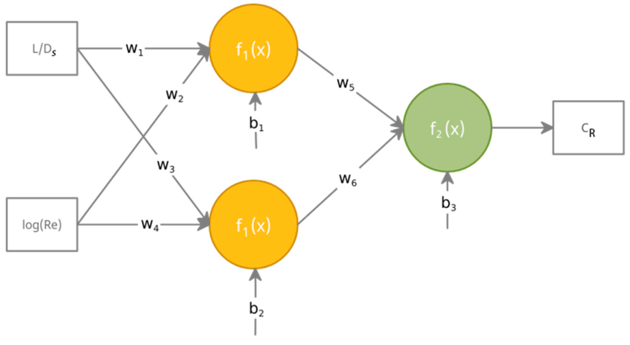
2.1. Artificial Neural Network (ANN)
2.2. Nonlinear Least Squares Levenberg-Marquardt Algorithm (NLLS)
3. Mesh Size Calibration
4. Results
4.1. Forward Motion
4.2. Transverse Motion
5. Discussion
- ➢
- For the velocities lower than the range used for training, ANN with NON = 6 shows much better ability to estimate the resistance coefficient for the forward direction compared to the equations. Surprisingly, for transverse movement the NLSS performs better than the ANN.
- ➢
- For forward velocities higher than those used for the training, ANN with optimal NON has the lowest error. However, for transverse directions, differences between equations and ANN are small.
- ➢
- For transverse velocities within training range, ANN with NON = 7 is more accurate than the equations. For forward motion, however error of Equation (19) is close to the error of ANN with NON = 6.
6. Conclusions
Author Contributions
Funding
Acknowledgments
Conflicts of Interest
Nomenclature
| Symbols | |
| Resistance coefficient for the forward speed | |
| Resistance coefficient for the transverse speed | |
| Diameter of the submarine | |
| L | Length of the parallel middle body of submarine | 
| Loa | Total length of submarine | 
| Reynolds number for the forward speed | |
| Reynolds number for the transverse speed | |
| V | Velocity vector | 
| Vf | Forward speed of the submarine | 
| Vt | Transverse speed of the submarine | 
| Body force | |
| dx | Mesh size in x direction | 
| dy | Mesh size in y direction | 
| dz | Mesh size in z direction | 
| p | Dynamic pressure | 
| t | Time | 
| Shear stress tensor | |
| Fluid density | |
| Shear stress in the plane xy | |
| Shear stress in the plane xz | |
| Gradient operator | |
| Abbreviations | |
| ANN | Artificial Neural Network | 
| BP | Back Propogation | 
| CFD | Computational Fluid Dynamics | 
| LM | Levenberg-Marquardt | 
| NLLS | Nonlinear Least Squares Marquardt-Levenberg algorithm | 
| NON | Number of neurons in the hidden layer of ANN | 
| PIMPLE | Pressure Implicit Method with Pressure Linked Equations | 
| RANSE | Reynolds Average Navier Stokes equations | 
Appendix A
| Case | L (m) | Loa (m) | DS (m) | L/DS | Vf (m/s) | Log(Ref) | 
|---|---|---|---|---|---|---|
| 1 | 25 | 27.44 | 2.44 | 10.2 | 0.25 | 5.79 | 
| 2 | 24 | 26.49 | 2.49 | 9.6 | 0.25 | 5.79 | 
| 3 | 23 | 25.54 | 2.54 | 9.1 | 0.25 | 5.80 | 
| 4 | 22 | 24.59 | 2.59 | 8.5 | 0.25 | 5.81 | 
| 5 | 21.06 | 23.7 | 2.64 | 8.0 | 0.25 | 5.82 | 
| 6 | 20 | 22.7 | 2.7 | 7.4 | 0.25 | 5.83 | 
| 7 | 19 | 21.76 | 2.76 | 6.9 | 0.25 | 5.84 | 
| 8 | 18 | 20.83 | 2.83 | 6.4 | 0.25 | 5.85 | 
| 9 | 17 | 19.9 | 2.9 | 5.9 | 0.25 | 5.86 | 
| 10 | 25 | 27.44 | 2.44 | 10.2 | 0.35 | 5.93 | 
| 11 | 24 | 26.49 | 2.49 | 9.6 | 0.35 | 5.94 | 
| 12 | 23 | 25.54 | 2.54 | 9.1 | 0.35 | 5.95 | 
| 13 | 22 | 24.59 | 2.59 | 8.5 | 0.35 | 5.96 | 
| 14 | 21.06 | 23.7 | 2.64 | 8.0 | 0.35 | 5.97 | 
| 15 | 20 | 22.7 | 2.7 | 7.4 | 0.35 | 5.98 | 
| 16 | 19 | 21.76 | 2.76 | 6.9 | 0.35 | 5.98 | 
| 17 | 18 | 20.83 | 2.83 | 6.4 | 0.35 | 6.00 | 
| 18 | 17 | 19.9 | 2.9 | 5.9 | 0.35 | 6.01 | 
| 19 | 25 | 27.44 | 2.44 | 10.2 | 0.5 | 6.09 | 
| 20 | 24 | 26.49 | 2.49 | 9.6 | 0.5 | 6.10 | 
| 21 | 23 | 25.54 | 2.54 | 9.1 | 0.5 | 6.10 | 
| 22 | 22 | 24.59 | 2.59 | 8.5 | 0.5 | 6.11 | 
| 23 | 21.06 | 23.7 | 2.64 | 8.0 | 0.5 | 6.12 | 
| 24 | 20 | 22.7 | 2.7 | 7.4 | 0.5 | 6.13 | 
| 25 | 19 | 21.76 | 2.76 | 6.9 | 0.5 | 6.14 | 
| 26 | 18 | 20.83 | 2.83 | 6.4 | 0.5 | 6.15 | 
| 27 | 17 | 19.9 | 2.9 | 5.9 | 0.5 | 6.16 | 
| 28 | 25 | 27.44 | 2.44 | 10.2 | 0.6 | 6.17 | 
| 29 | 24 | 26.49 | 2.49 | 9.6 | 0.6 | 6.17 | 
| 30 | 23 | 25.54 | 2.54 | 9.1 | 0.6 | 6.18 | 
| 31 | 22 | 24.59 | 2.59 | 8.5 | 0.6 | 6.19 | 
| 32 | 21.06 | 23.7 | 2.64 | 8.0 | 0.6 | 6.20 | 
| 33 | 20 | 22.7 | 2.7 | 7.4 | 0.6 | 6.21 | 
| 34 | 19 | 21.76 | 2.76 | 6.9 | 0.6 | 6.22 | 
| 35 | 18 | 20.83 | 2.83 | 6.4 | 0.6 | 6.23 | 
| 36 | 17 | 19.9 | 2.9 | 5.9 | 0.6 | 6.24 | 
| 37 | 25 | 27.44 | 2.44 | 10.2 | 0.7 | 6.23 | 
| 38 | 24 | 26.49 | 2.49 | 9.6 | 0.7 | 6.24 | 
| 39 | 23 | 25.54 | 2.54 | 9.1 | 0.7 | 6.25 | 
| 40 | 22 | 24.59 | 2.59 | 8.5 | 0.7 | 6.26 | 
| 41 | 21.06 | 23.7 | 2.64 | 8.0 | 0.7 | 6.27 | 
| 42 | 20 | 22.7 | 2.7 | 7.4 | 0.7 | 6.28 | 
| 43 | 19 | 21.76 | 2.76 | 6.9 | 0.7 | 6.29 | 
| 44 | 18 | 20.83 | 2.83 | 6.4 | 0.7 | 6.30 | 
| 45 | 17 | 19.9 | 2.9 | 5.9 | 0.7 | 6.31 | 
| 46 | 25 | 27.44 | 2.44 | 10.2 | 0.8 | 6.29 | 
| 47 | 24 | 26.49 | 2.49 | 9.6 | 0.8 | 6.30 | 
| 48 | 23 | 25.54 | 2.54 | 9.1 | 0.8 | 6.31 | 
| 49 | 22 | 24.59 | 2.59 | 8.5 | 0.8 | 6.32 | 
| 50 | 21.06 | 23.7 | 2.64 | 8.0 | 0.8 | 6.32 | 
| 51 | 20 | 22.7 | 2.7 | 7.4 | 0.8 | 6.33 | 
| 52 | 19 | 21.76 | 2.76 | 6.9 | 0.8 | 6.34 | 
| 53 | 18 | 20.83 | 2.83 | 6.4 | 0.8 | 6.35 | 
| 54 | 17 | 19.9 | 2.9 | 5.9 | 0.8 | 6.37 | 
| 55 | 25 | 27.44 | 2.44 | 10.2 | 0.9 | 6.34 | 
| 56 | 24 | 26.49 | 2.49 | 9.6 | 0.9 | 6.35 | 
| 57 | 23 | 25.54 | 2.54 | 9.1 | 0.9 | 6.36 | 
| 58 | 22 | 24.59 | 2.59 | 8.5 | 0.9 | 6.37 | 
| 59 | 21.06 | 23.7 | 2.64 | 8.0 | 0.9 | 6.38 | 
| 60 | 20 | 22.7 | 2.7 | 7.4 | 0.9 | 6.39 | 
| 61 | 19 | 21.76 | 2.76 | 6.9 | 0.9 | 6.40 | 
| 62 | 18 | 20.83 | 2.83 | 6.4 | 0.9 | 6.41 | 
| 63 | 17 | 19.9 | 2.9 | 5.9 | 0.9 | 6.42 | 
| 64 | 25 | 27.44 | 2.44 | 10.2 | 1.0 | 6.39 | 
| 65 | 24 | 26.49 | 2.49 | 9.6 | 1.0 | 6.40 | 
| 66 | 23 | 25.54 | 2.54 | 9.1 | 1.0 | 6.40 | 
| 67 | 22 | 24.59 | 2.59 | 8.5 | 1.0 | 6.41 | 
| 68 | 21.06 | 23.7 | 2.64 | 8.0 | 1.0 | 6.42 | 
| 69 | 20 | 22.7 | 2.7 | 7.4 | 1.0 | 6.43 | 
| 70 | 19 | 21.76 | 2.76 | 6.9 | 1.0 | 6.44 | 
| 71 | 18 | 20.83 | 2.83 | 6.4 | 1.0 | 6.45 | 
| 72 | 17 | 19.9 | 2.9 | 5.9 | 1.0 | 6.46 | 
| 73 | 25 | 27.44 | 2.44 | 10.2 | 1.1 | 6.43 | 
| 74 | 24 | 26.49 | 2.49 | 9.6 | 1.1 | 6.44 | 
| 75 | 23 | 25.54 | 2.54 | 9.1 | 1.1 | 6.45 | 
| 76 | 22 | 24.59 | 2.59 | 8.5 | 1.1 | 6.45 | 
| 77 | 21.06 | 23.7 | 2.64 | 8.0 | 1.1 | 6.46 | 
| 78 | 20 | 22.7 | 2.7 | 7.4 | 1.1 | 6.47 | 
| 79 | 19 | 21.76 | 2.76 | 6.9 | 1.1 | 6.48 | 
| 80 | 18 | 20.83 | 2.83 | 6.4 | 1.1 | 6.49 | 
| 81 | 17 | 19.9 | 2.9 | 5.9 | 1.1 | 6.50 | 
| 82 | 25 | 27.44 | 2.44 | 10.2 | 1.2 | 6.47 | 
| 83 | 24 | 26.49 | 2.49 | 9.6 | 1.2 | 6.48 | 
| 84 | 23 | 25.54 | 2.54 | 9.1 | 1.2 | 6.48 | 
| 85 | 22 | 24.59 | 2.59 | 8.5 | 1.2 | 6.49 | 
| 86 | 21.06 | 23.7 | 2.64 | 8.0 | 1.2 | 6.50 | 
| 87 | 20 | 22.7 | 2.7 | 7.4 | 1.2 | 6.51 | 
| 88 | 19 | 21.76 | 2.76 | 6.9 | 1.2 | 6.52 | 
| 89 | 18 | 20.83 | 2.83 | 6.4 | 1.2 | 6.53 | 
| 90 | 17 | 19.9 | 2.9 | 5.9 | 1.2 | 6.54 | 
| 91 | 25 | 27.44 | 2.44 | 10.2 | 1.3 | 6.50 | 
| 92 | 24 | 26.49 | 2.49 | 9.6 | 1.3 | 6.51 | 
| 93 | 23 | 25.54 | 2.54 | 9.1 | 1.3 | 6.52 | 
| 94 | 22 | 24.59 | 2.59 | 8.5 | 1.3 | 6.53 | 
| 95 | 21.06 | 23.7 | 2.64 | 8.0 | 1.3 | 6.54 | 
| 96 | 20 | 22.7 | 2.7 | 7.4 | 1.3 | 6.55 | 
| 97 | 19 | 21.76 | 2.76 | 6.9 | 1.3 | 6.55 | 
| 98 | 18 | 20.83 | 2.83 | 6.4 | 1.3 | 6.57 | 
| 99 | 17 | 19.9 | 2.9 | 5.9 | 1.3 | 6.58 | 
| 100 | 25 | 27.44 | 2.44 | 10.2 | 1.4 | 6.53 | 
| 101 | 24 | 26.49 | 2.49 | 9.6 | 1.4 | 6.54 | 
| 102 | 23 | 25.54 | 2.54 | 9.1 | 1.4 | 6.55 | 
| 103 | 22 | 24.59 | 2.59 | 8.5 | 1.4 | 6.56 | 
| 104 | 21.06 | 23.7 | 2.64 | 8.0 | 1.4 | 6.57 | 
| 105 | 20 | 22.7 | 2.7 | 7.4 | 1.4 | 6.58 | 
| 106 | 19 | 21.76 | 2.76 | 6.9 | 1.4 | 6.59 | 
| 107 | 18 | 20.83 | 2.83 | 6.4 | 1.4 | 6.60 | 
| 108 | 17 | 19.9 | 2.9 | 5.9 | 1.4 | 6.61 | 
| 109 | 25 | 27.44 | 2.44 | 10.2 | 1.5 | 6.56 | 
| 110 | 24 | 26.49 | 2.49 | 9.6 | 1.5 | 6.57 | 
| 111 | 23 | 25.54 | 2.54 | 9.1 | 1.5 | 6.58 | 
| 112 | 22 | 24.59 | 2.59 | 8.5 | 1.5 | 6.59 | 
| 113 | 21.06 | 23.7 | 2.64 | 8.0 | 1.5 | 6.60 | 
| 114 | 20 | 22.7 | 2.7 | 7.4 | 1.5 | 6.61 | 
| 115 | 19 | 21.76 | 2.76 | 6.9 | 1.5 | 6.62 | 
| 116 | 18 | 20.83 | 2.83 | 6.4 | 1.5 | 6.63 | 
| 117 | 17 | 19.9 | 2.9 | 5.9 | 1.5 | 6.64 | 
Appendix B
| Case | L (m) | Loa (m) | DS (m) | L/DS | Vt (m/s) | Log(Ret) | 
|---|---|---|---|---|---|---|
| 1 | 25 | 27.44 | 2.44 | 10.2 | 0.05 | 4.69 | 
| 2 | 24 | 26.49 | 2.49 | 9.6 | 0.05 | 4.70 | 
| 3 | 23 | 25.54 | 2.54 | 9.1 | 0.05 | 4.71 | 
| 4 | 22 | 24.59 | 2.59 | 8.5 | 0.05 | 4.71 | 
| 5 | 21.06 | 23.7 | 2.64 | 8.0 | 0.05 | 4.72 | 
| 6 | 20 | 22.7 | 2.7 | 7.4 | 0.05 | 4.73 | 
| 7 | 19 | 21.76 | 2.76 | 6.9 | 0.05 | 4.74 | 
| 8 | 18 | 20.83 | 2.83 | 6.4 | 0.05 | 4.75 | 
| 9 | 17 | 19.9 | 2.9 | 5.9 | 0.05 | 4.76 | 
| 10 | 25 | 27.44 | 2.44 | 10.2 | 0.1 | 5.09 | 
| 11 | 24 | 26.49 | 2.49 | 9.6 | 0.1 | 5.10 | 
| 12 | 23 | 25.54 | 2.54 | 9.1 | 0.1 | 5.10 | 
| 13 | 22 | 24.59 | 2.59 | 8.5 | 0.1 | 5.11 | 
| 14 | 21.06 | 23.7 | 2.64 | 8.0 | 0.1 | 5.12 | 
| 15 | 20 | 22.7 | 2.7 | 7.4 | 0.1 | 5.13 | 
| 16 | 19 | 21.76 | 2.76 | 6.9 | 0.1 | 5.14 | 
| 17 | 18 | 20.83 | 2.83 | 6.4 | 0.1 | 5.15 | 
| 18 | 17 | 19.9 | 2.9 | 5.9 | 0.1 | 5.16 | 
| 19 | 25 | 27.44 | 2.44 | 10.2 | 0.15 | 5.39 | 
| 20 | 24 | 26.49 | 2.49 | 9.6 | 0.15 | 5.40 | 
| 21 | 23 | 25.54 | 2.54 | 9.1 | 0.15 | 5.40 | 
| 22 | 22 | 24.59 | 2.59 | 8.5 | 0.15 | 5.41 | 
| 23 | 21.06 | 23.7 | 2.64 | 8.0 | 0.15 | 5.42 | 
| 24 | 20 | 22.7 | 2.7 | 7.4 | 0.15 | 5.43 | 
| 25 | 19 | 21.76 | 2.76 | 6.9 | 0.15 | 5.44 | 
| 26 | 18 | 20.83 | 2.83 | 6.4 | 0.15 | 5.45 | 
| 27 | 17 | 19.9 | 2.9 | 5.9 | 0.15 | 5.46 | 
| 28 | 25 | 27.44 | 2.44 | 10.2 | 0.2 | 5.48 | 
| 29 | 24 | 26.49 | 2.49 | 9.6 | 0.2 | 5.49 | 
| 30 | 23 | 25.54 | 2.54 | 9.1 | 0.2 | 5.50 | 
| 31 | 22 | 24.59 | 2.59 | 8.5 | 0.2 | 5.51 | 
| 32 | 21.06 | 23.7 | 2.64 | 8.0 | 0.2 | 5.52 | 
| 33 | 20 | 22.7 | 2.7 | 7.4 | 0.2 | 5.53 | 
| 34 | 19 | 21.76 | 2.76 | 6.9 | 0.2 | 5.54 | 
| 35 | 18 | 20.83 | 2.83 | 6.4 | 0.2 | 5.55 | 
| 36 | 17 | 19.9 | 2.9 | 5.9 | 0.2 | 5.56 | 
| 37 | 25 | 27.44 | 2.44 | 10.2 | 0.25 | 5.56 | 
| 38 | 24 | 26.49 | 2.49 | 9.6 | 0.25 | 5.57 | 
| 39 | 23 | 25.54 | 2.54 | 9.1 | 0.25 | 5.58 | 
| 40 | 22 | 24.59 | 2.59 | 8.5 | 0.25 | 5.59 | 
| 41 | 21.06 | 23.7 | 2.64 | 8.0 | 0.25 | 5.60 | 
| 42 | 20 | 22.7 | 2.7 | 7.4 | 0.25 | 5.83 | 
| 43 | 19 | 21.76 | 2.76 | 6.9 | 0.25 | 5.84 | 
| 44 | 18 | 20.83 | 2.83 | 6.4 | 0.25 | 5.85 | 
| 45 | 17 | 19.9 | 2.9 | 5.9 | 0.25 | 5.86 | 
| 46 | 25 | 27.44 | 2.44 | 10.2 | 0.3 | 5.86 | 
| 47 | 24 | 26.49 | 2.49 | 9.6 | 0.3 | 5.87 | 
| 48 | 23 | 25.54 | 2.54 | 9.1 | 0.3 | 5.88 | 
| 49 | 22 | 24.59 | 2.59 | 8.5 | 0.3 | 5.89 | 
| 50 | 21.06 | 23.7 | 2.64 | 8.0 | 0.3 | 5.90 | 
| 51 | 20 | 22.7 | 2.7 | 7.4 | 0.3 | 5.91 | 
| 52 | 19 | 21.76 | 2.76 | 6.9 | 0.3 | 5.92 | 
| 53 | 18 | 20.83 | 2.83 | 6.4 | 0.3 | 5.93 | 
| 54 | 17 | 19.9 | 2.9 | 5.9 | 0.3 | 5.94 | 
| 55 | 25 | 27.44 | 2.44 | 10.2 | 0.35 | 5.93 | 
| 56 | 24 | 26.49 | 2.49 | 9.6 | 0.35 | 5.94 | 
| 57 | 23 | 25.54 | 2.54 | 9.1 | 0.35 | 5.95 | 
| 58 | 22 | 24.59 | 2.59 | 8.5 | 0.35 | 5.96 | 
| 59 | 21.06 | 23.7 | 2.64 | 8.0 | 0.35 | 5.97 | 
| 60 | 20 | 22.7 | 2.7 | 7.4 | 0.35 | 5.98 | 
| 61 | 19 | 21.76 | 2.76 | 6.9 | 0.35 | 5.98 | 
| 62 | 18 | 20.83 | 2.83 | 6.4 | 0.35 | 6.00 | 
| 63 | 17 | 19.9 | 2.9 | 5.9 | 0.35 | 6.01 | 
| 64 | 25 | 27.44 | 2.44 | 10.2 | 0.4 | 5.96 | 
| 65 | 24 | 26.49 | 2.49 | 9.6 | 0.4 | 5.97 | 
| 66 | 23 | 25.54 | 2.54 | 9.1 | 0.4 | 5.98 | 
| 67 | 22 | 24.59 | 2.59 | 8.5 | 0.4 | 5.99 | 
| 68 | 21.06 | 23.7 | 2.64 | 8.0 | 0.4 | 6.00 | 
| 69 | 20 | 22.7 | 2.7 | 7.4 | 0.4 | 6.01 | 
| 70 | 19 | 21.76 | 2.76 | 6.9 | 0.4 | 6.01 | 
| 71 | 18 | 20.83 | 2.83 | 6.4 | 0.4 | 6.03 | 
| 72 | 17 | 19.9 | 2.9 | 5.9 | 0.4 | 6.04 | 
| 73 | 25 | 27.44 | 2.44 | 10.2 | 0.45 | 5.99 | 
| 74 | 24 | 26.49 | 2.49 | 9.6 | 0.45 | 6.00 | 
| 75 | 23 | 25.54 | 2.54 | 9.1 | 0.45 | 6.01 | 
| 76 | 22 | 24.59 | 2.59 | 8.5 | 0.45 | 6.02 | 
| 77 | 21.06 | 23.7 | 2.64 | 8.0 | 0.45 | 6.02 | 
| 78 | 20 | 22.7 | 2.7 | 7.4 | 0.45 | 6.03 | 
| 79 | 19 | 21.76 | 2.76 | 6.9 | 0.45 | 6.09 | 
| 80 | 18 | 20.83 | 2.83 | 6.4 | 0.45 | 6.10 | 
| 81 | 17 | 19.9 | 2.9 | 5.9 | 0.45 | 6.12 | 
| 82 | 25 | 27.44 | 2.44 | 10.2 | 0.5 | 6.09 | 
| 83 | 24 | 26.49 | 2.49 | 9.6 | 0.5 | 6.10 | 
| 84 | 23 | 25.54 | 2.54 | 9.1 | 0.5 | 6.10 | 
| 85 | 22 | 24.59 | 2.59 | 8.5 | 0.5 | 6.11 | 
| 86 | 21.06 | 23.7 | 2.64 | 8.0 | 0.5 | 6.12 | 
| 87 | 20 | 22.7 | 2.7 | 7.4 | 0.5 | 6.13 | 
| 88 | 19 | 21.76 | 2.76 | 6.9 | 0.5 | 6.14 | 
| 89 | 18 | 20.83 | 2.83 | 6.4 | 0.5 | 6.15 | 
| 90 | 17 | 19.9 | 2.9 | 5.9 | 0.5 | 6.16 | 
References
- Ćorak, M.; Šperanda, Z.; Čokić, J.; Parunov, J. Structural analysis of tourist submarine with acrylic hull. In Sustainable Development and Innovations in Marine Technologies, 1st ed.; Ergin, S., Guedes Soares, C., Eds.; CRC Press: London, UK, 2022. [Google Scholar] [CrossRef]
- Gatin, I.; Čokić, J.; Romić, D.; Parunov, J. CFD Study on the Influence of Exostructure Elements on the Resistance of a Submarine. J. Mar. Sci. Eng. 2022, 10, 1542. [Google Scholar] [CrossRef]
- Larsson, L.; Raven, H.C. Ship Resistance and Flow, Principles of Naval Architecture Series; SNAME: Alexandria, VA, USA, 2010. [Google Scholar]
- Wang, S.; Cui, L.; Wang, C.; Huang, S. Resistance performance of submarine under different traveling stations. In Proceedings of the World Automation Congress 2012, Puerto Vallarta, Mexico, 24–28 June 2012. [Google Scholar]
- Moonesun, M.; Javadi, M.; Charmdooz, P.; Mikhailovich, K.U. Evaluation of submarine model test in towing tank and comparison with CFD and experimental formulas for fully submerged resistance. Indian J. Geo-Mar. Sci. 2013, 42, 1049–1056. [Google Scholar]
- Sukas, O.F.; Kinaki, O.K.; Bal, S. Computation of total resistance of ships and a submarine by a RANSE based CFD. In Proceedings of the 2nd International Symposium on Naval Architecture and Maritime (INT-NAM 2014), Istanbul, Turkey, 23–24 October 2014. [Google Scholar]
- Moonesun, M.; Mikhailovich, Y.; Dalayeli, H. CFD Analysis on the Bare Hull Form of Submarines for Minimizing the Resistance. Int. J. Marit. Technol. 2015, 3, 1–16. [Google Scholar]
- Ahmed, Y.M. Viscous Resistance Prediction of a Tourist Submarine at Various Speeds. Int. Rev. Mech. Eng. 2016, 10, 247. [Google Scholar] [CrossRef]
- Shen, Y.T.; Hughes, M.J. A New Method for Scaling Submarine Resistance Model Data. In Proceedings of the SNAME 30th American Towing Tank Conference, West Bethesda, MD, USA, 4 October 2017. [Google Scholar]
- Utina, M.R.; Murwatono, T.T.; Sadiah, S. The Study on the Resistance Test Performance of BPPT Mini Submarine. In Proceedings of the SENTA 2018—The 3rd International Conference on Marine Technology, Surabaya, Indonesia, 5–6 December 2018. [Google Scholar]
- Anh, T.P.; Vu Thanh, Q.; Ngo Van, H.; Le, Q.; Thi Thanh, H.P. Estimation Resistance of an Explorer Submarine. J. Mech. Eng. Res. Dev. 2020, 43, 264–271. [Google Scholar]
- Liu, S.; He, G.; Wang, Z.; Luan, Z.; Zhang, Z.; Wang, W.; Gao, Y. Resistance and flow field of a submarine in a density stratified fluid. Ocean. Eng. 2020, 217, 107934. [Google Scholar] [CrossRef]
- Chen, J.; Lv, B.; Peng, L.; Huang, B. Study on resistance characteristics of submarine near water surface. In Proceedings of the International Conference on Physics, Computing and Mathematical (ICPCM2021), Xiamen, China, 29–30 December 2022. [Google Scholar]
- Takaaki, M.; Kai, F.; Koji, F. Nonlinear Mode Decomposition with Convolutional Neural Networks for Fluid Dynamics; Cambridge University Press: Cambridge, UK, 2019. [Google Scholar] [CrossRef]
- Raissi, M.; Perdikaris, P.; Karniadakis, G.E. Physics-informed neural networks: A deep learning framework for solving forward and inverse problems involving nonlinear partial differential equations. J. Comput. Phys. 2019, 378, 686–707. [Google Scholar] [CrossRef]
- Raissi, M.; Wang, Z.; Triantafyllou, M.S.; Em Karniadakis, G. Deep learning of vortex-induced vibrations. J. Fluid Mech. 2019, 861, 119–137. [Google Scholar] [CrossRef]
- Brenner, M.P.; Eldredge, J.D.; Freund, J.B. Perspective on machine learning for advancing fluid mechanics. Phys. Rev. Fluids 2019, 4, 100501. [Google Scholar] [CrossRef]
- Brunton, S.L.; Noack, B.R.; Koumoutsakos, P. Machine Learning for Fluid Mechanics. Annu. Rev. Fluid Mech. 2020, 52, 477–508. [Google Scholar] [CrossRef]
- Saghi, H.; Mikkola, T.; Hirdaris, S. The influence of obliquely perforated dual baffles on sway induced tank sloshing dynamics. Proc. Inst. Mech. Eng. Part M J. Eng. Marit. Environ. 2020, 235, 905–920. [Google Scholar] [CrossRef]
- OpenFoam. The Openfoam Foundation, User Guide. 10th July 2019. Available online: http://openfoam.org (accessed on 24 October 2022).
- Allmendinger, E.E. Submersible Vehicle System Design; SNAME: Alexandria, VA, USA, 1990. [Google Scholar]
- Dean, R.G.; Dalrymple, R.A. Water Wave Mechanics for Engineers and Scientists; World Scientific Publishing Company: Singapore, 1991. [Google Scholar]
- Rahman, M.; Brebbia, C.A. Advances in Fluid Mechanics IX; WIT Press: Southampton, UK, 2012. [Google Scholar]
- Jiang, Y. Computation of monthly mean daily global solar radiation in China using artificial neural networks and comparison with other empirical models. Energy 2009, 34, 1276–1283. [Google Scholar] [CrossRef]
- Wang, Z.; Wang, F.; Su, S. Solar Irradiance Short-Term Prediction Model Based on BP Neural Network. Energy Procedia 2011, 12, 488–494. [Google Scholar] [CrossRef]
- Zhang, Y.; Cui, N.; Feng, Y.; Gong, D.; Hu, X. Comparison of BP, PSO-BP and statistical models for predicting daily global solar radiation in arid Northwest China. Comput. Electron. Agric. 2019, 164, 104905. [Google Scholar] [CrossRef]
- Du, B.; Lund, P.D.; Wang, J. Improving the accuracy of predicting the performance of solar collectors through clustering analysis with artificial neural network models. Energy Rep. 2022, 8, 3970–3981. [Google Scholar] [CrossRef]
- Gu, J.; Wang, Z.; Kuen, J.; Ma, L.; Shahroudy, A.; Shuai, B.; Liu, T.; Wang, X.; Wang, G.; Cai, J.; et al. Recent advances in convolutional neural networks. Pattern Recognit. 2018, 77, 354–377. [Google Scholar] [CrossRef]
- Zhang, Q.; Zhang, M.; Chen, T.; Sun, Z.; Ma, Y.; Yu, B. Recent advances in convolutional neural network acceleration. Neurocomputing 2019, 323, 37–51. [Google Scholar] [CrossRef]
- Ma, C.; Jiang, L. Some research on Levenberg–Marquardt method for the nonlinear equations. Appl. Math. Comput. 2007, 2, 1032–1040. [Google Scholar] [CrossRef]
- Moré, J.J. The Levenberg–Marquardt algorithm: Implementation and theory. In Numerical Analysis; Springer: Berlin/Heidelberg, Germany, 1978; pp. 105–116. [Google Scholar]
- Pujol, J.J.G. The solution of nonlinear inverse problems and the Levenberg–Marquardt method. Geophysics 2007, 72, W1–W16. [Google Scholar] [CrossRef]
- Transtrum, M.K.; Sethna, J.P. Improvements to the Levenberg—Marquardt algorithm for nonlinear least-squares minimization. arXiv 2012, arXiv:1201.5885. [Google Scholar]
- Haider, A.; Levenspiel, O. Drag coefficient and terminal velocity of spherical and non-spherical particles. Powder Technol. 1989, 58, 63–70. [Google Scholar] [CrossRef]
- Hassan Khan, M.; Sooraj, P.; Sharma, A.; Agrawal, A. Flow around a Cube for Reynolds numbers between 500 and 55000. Exp. Therm. Fluid Sci. 2018, 93, 257–271. [Google Scholar] [CrossRef]
- Kock, F.; Herwig, H. Local entropy production in turbulent shear flows: A high-Reynolds number model with wall functions. Int. J. Heat Mass Transf. 2004, 47, 2205–2215. [Google Scholar] [CrossRef]
- Mikhailov, M.D.; Silva Freire, A.P. The drag coefficient of a sphere: An approximation using Shanks transform. Powder Technol. 2013, 237, 432–435. [Google Scholar] [CrossRef]
- ISABELLA CLUSTER. Available online: https://www.srce.unizg.hr/en/isabella-cluster (accessed on 1 June 2022).
- Streeter, V.L. Flid Mechanics, 3rd ed.; McGraw-Hill: New York, NY, USA, 1962. [Google Scholar]
- McElroy, P.D.; Bibang, H.; Emadi, H.; Kogolu, Y.; Hussain, A.; Watson, M.C. Artificial neural network (ANN) approach to predict unconfined compressive strength (UCS) of oil and gas well cement reinforced with nanoparticles. J. Nat. Gas Sci. Eng. 2021, 88, 103816. [Google Scholar] [CrossRef]
- Stathakis, D. How many hidden layes and nodes? Int. J. Remote Sens. 2009, 30, 2133–2147. [Google Scholar] [CrossRef]















| Boundary | Velocity | Pressure | Kinetic Energy (k) | Dissipation Rate (ε) | 
|---|---|---|---|---|
| Inlet | Fixed Value | Zero Gradient | Fixed Value | Fixed value | 
| Outlet | Inlet Outlet | Fixed Value | Inlet Outlet | Inlet Outlet | 
| Body | Moving wall velocity | Zero Gradient | Wall Function | Wall function | 
| around | Symmetry | Symmetry | Symmetry | Symmetry | 
| Case | L (m) | DS (m) | L/DS | 
|---|---|---|---|
| 1 | 25 | 2.44 | 10.2 | 
| 2 | 24 | 2.49 | 9.6 | 
| 3 | 23 | 2.54 | 9.1 | 
| 4 | 22 | 2.59 | 8.5 | 
| 5 | 21.06 | 2.64 | 8.0 | 
| 6 | 20 | 2.7 | 7.4 | 
| 7 | 19 | 2.76 | 6.9 | 
| 8 | 18 | 2.83 | 6.4 | 
| 9 | 17 | 2.9 | 5.9 | 
| Parameter | Equation | Below the Range | Within the Range | Above the Range | |||
|---|---|---|---|---|---|---|---|
| L/DS > 7.5 | L/DS < 7.5 | L/DS > 7.5 | L/DS < 7.5 | L/DS > 7.5 | L/DS < 7.5 | ||
| CR-f | Equation (17) (NLLS) | 10–15 | 11–13 | 7–9 | 6–7 | 6–10 | 1–11 | 
| Equation (18) (ANN) | 15–30 | 16–17 | 1–13 | 6–18 | 5–23 | 24–26 | |
| Equation (19) (ANN) | 15–21 | 24–30 | 0.2–5 | 1–4 | 0.2–7 | 1–6 | |
| ANN (NON = 6) | 1–3 | 7–10 | 2–4 | 1–4 | 0.1–2 | 0.8–3 | |
| CR-t | Equation (20) (NLLS) | 11–12 | 13–16 | 4–6 | 2–4 | 3–7 | 3–12 | 
| Equation (21) (ANN) | 28–30 | 31–30 | 1–9 | 2–8 | 1–10 | 7–9 | |
| Equation (22) (ANN) | 25–30 | 21–27 | 2–3 | 0.4–3 | 5–11 | 12–15 | |
| ANN (NON = 7) | 13–15 | 16–20 | 0.6–1 | 0.1–0.2 | 2–4 | 3–10 | |
| Publisher’s Note: MDPI stays neutral with regard to jurisdictional claims in published maps and institutional affiliations. | 
© 2022 by the authors. Licensee MDPI, Basel, Switzerland. This article is an open access article distributed under the terms and conditions of the Creative Commons Attribution (CC BY) license (https://creativecommons.org/licenses/by/4.0/).
Share and Cite
Saghi, H.; Parunov, J.; Mikulić, A. Resistance Coefficient Estimation for a Submarine’s Bare Hull Moving in Forward and Transverse Directions. Appl. Sci. 2022, 12, 10953. https://doi.org/10.3390/app122110953
Saghi H, Parunov J, Mikulić A. Resistance Coefficient Estimation for a Submarine’s Bare Hull Moving in Forward and Transverse Directions. Applied Sciences. 2022; 12(21):10953. https://doi.org/10.3390/app122110953
Chicago/Turabian StyleSaghi, Hassan, Joško Parunov, and Antonio Mikulić. 2022. "Resistance Coefficient Estimation for a Submarine’s Bare Hull Moving in Forward and Transverse Directions" Applied Sciences 12, no. 21: 10953. https://doi.org/10.3390/app122110953
APA StyleSaghi, H., Parunov, J., & Mikulić, A. (2022). Resistance Coefficient Estimation for a Submarine’s Bare Hull Moving in Forward and Transverse Directions. Applied Sciences, 12(21), 10953. https://doi.org/10.3390/app122110953
 
        




 
       