Numerical and Field Investigations of Tremors Induced by Thick-Hard Strata Fracture
Abstract
1. Introduction
2. Numerical Simulation
2.1. Modelling
2.2. Simulation
2.3. Results and Analysis
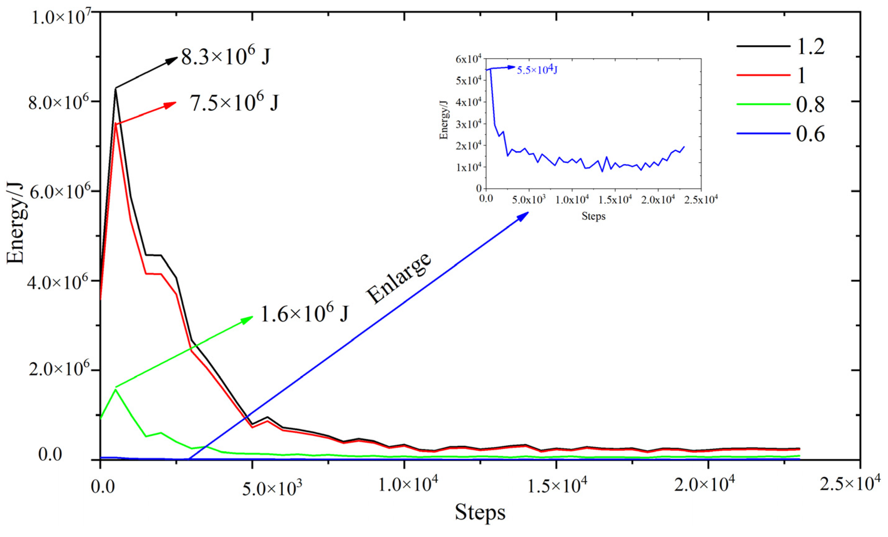
2.3.1. Static Stress Evolution
Thick-Hard Roof Fracture
Influence of Tremors on Roadway
2.3.2. Evolution of Stress, Displacement and Fracture
2.3.3. Analysis of Main Influencing Factors
Rupture Form
Rock Properties
3. Field Observations and Verification
4. Conclusions
- (1)
- After the formation of the goaf, the tensile stress in the middle of the thick-hard stratum was concentrated, and the compressive stress on both sides of the goaf was concentrated. Therefore, the central and end parts easily produced tensile and shear failure, respectively.
- (2)
- The whole process of roadway failure induced by the superposition of dynamic and static loads was simulated in detail. First, the state of the roadway surface changed from compressive to tensile stress once the goaf was formed. After the arrival of the stress wave generated by a tremor, the tensile stress on the roadway surface further increased until it exceeded the tensile strength, and the surrounding coal and rock gradually broke and led to a rockburst occurring.
- (3)
- The influencing laws of the source rupture form of the thick-hard strata and corresponding shear strength on the tremors were analyzed in detail. It was found that the released energy of the shear failure was greater than that of the tensile failure. In addition, with the increase in the shear strength of the thick-hard rock, the released energy from the source also increased.
- (4)
- Using field observations, the strong tremors in the 73uppper07 working face in the Baodian coal mine were analyzed. Spectrum analysis showed that the dominant frequency of the tremor was lower, the duration was longer, and the energy attenuation was slower, indicating a large-scale rupture of the red bed. When the high static load near the roadway was superimposed with dynamic disturbance by tremors, it was very likely to induce a rockburst.
Author Contributions
Funding
Institutional Review Board Statement
Informed Consent Statement
Data Availability Statement
Acknowledgments
Conflicts of Interest
References
- Zhang, X.; Feng, X.P.; Li, D.H.; Yin, F.L.; Yi, L. Diverse rupture processes of the 2014 Kangding, China, earthquake doublet (MW 6.0 and 5.7) and driving mechanisms of aftershocks. Tectonophysics 2021, 820, 229118. [Google Scholar] [CrossRef]
- Hosseinzadehsabeti, E.; Ferr’e, E.C.; Persaud, P.; Fabbri, O.J.; Geissman, W. The rupture mechanisms of intraslab earthquakes: A multiscale review and re-evaluation. Earth-Sci. Rev. 2021, 221, 103782. [Google Scholar] [CrossRef]
- Wasilewski, S. Gas-dynamic phenomena caused by rock mass tremors and rock bursts. J. Min. Sci. Technol. 2020, 30, 8. [Google Scholar] [CrossRef]
- Lu, C.P.; Liu, Y.; Liu, G.J.; Zhao, T.B. Stress evolution caused by hard roof fracturing and associated multi-parameter precursors. Tunn. Undergr. Space Technol. 2019, 84, 295–305. [Google Scholar] [CrossRef]
- Lu, C.P.; Liu, G.J.; Liu, Y.; Zhang, N.; Xue, J.H.; Zhang, L. Microseismic multi-parameter characteristics of rockburst hazard. Int. J. Rock Mech. Min. Sci. 2015, 76, 18–32. [Google Scholar] [CrossRef]
- Szurgacz, D. Electrohydraulic control systems for powered roof supports in hazardous conditions of mining tremors. J. Sustain. Min. 2015, 14, 157–163. [Google Scholar] [CrossRef][Green Version]
- Kuzniar, K.; Zajac, M. Numerical evaluation of natural vibration frequencies of thermo-modernized apartment buildings subjected to mining tremors. Procedia Eng. 2017, 199, 296–301. [Google Scholar] [CrossRef]
- Cielik, J.; Burtan, Z.; Chlebowski, D. Geomechanical analysis of location and conditions for mining-induced tremors in LGOM copper mines. J. Sustain. Min. 2017, 16, 94–103. [Google Scholar] [CrossRef]
- Kamila, P.; Andrzej, B. Mining-induced tremors in the light of deformations estimated by satellite SAR interferometry in the Upper Silesian Coal Basin, Poland. Procedia Comput. Sci. 2021, 181, 685–692. [Google Scholar]
- Wojtecki, L.; Kurzeja, J.; Knopik, M. The influence of mining factors on seismic activity during longwall mining of a coal seam. Int. J. Rock Mech. Min. Sci. 2021, 31, 429–437. [Google Scholar] [CrossRef]
- Zhang, C.; Jin, G.H.; Liu, C.; Li, S.G.; Xue, J.H.; Cheng, R.H.; Wang, X.L.; Zeng, X.Z. Prediction of rockbursts in a typical island working face of a coal mine through microseismic monitoring technology. Tunn. Undergr. Space Technol. 2021, 113, 103972. [Google Scholar] [CrossRef]
- Ma, J.; Dong, L.J.; Zhao, G.Y.; Li, X.B. Ground motions induced by mining seismic events with different focal mechanisms. Int. J. Rock Mech. Min. Sci. 2021, 116, 99–110. [Google Scholar] [CrossRef]
- Orlecka-Sikora, B.; Lasocki, S.; Lizurek, G.; Rudzin´, L. Response of seismic activity in mines to the stress changes due to mining induced strong seismic events. Int. J. Rock Mech. Min. Sci. 2012, 53, 151–158. [Google Scholar] [CrossRef]
- Ma, X.; Westmana, E.; Slakera, B.; Thibodeaub, D.; Counter, D. The b-value evolution of mining-induced seismicity and mainshock occurrences at hard-rock mines. Int. J. Rock Mech. Min. Sci. 2018, 104, 64–70. [Google Scholar] [CrossRef]
- Zhao, Y.; Yang, T.H.; Liu, H.L.; Wang, S.H.; Zhang, P.H.; Jia, P.; Wang, X.R. A path for evaluating the mechanical response of rock masses based on deep mining-induced microseismic data: A case study. Tunn. Undergr. Space Technol. 2021, 15, 104025. [Google Scholar] [CrossRef]
- Islam, M.R.; Shinjo, R. Mining-induced fault reactivation associated with the main conveyor belt roadway and safety of the Barapukuria Coal Mine in Bangladesh: Constraints from BEM simulations. Int. J. Coal Geol. 2009, 79, 115–130. [Google Scholar] [CrossRef]
- Potvin, Y.; Troncoso, J.J.; Wesseloo, J. Interpretation of seismic data and numerical modelling of fault reactivation at El Teniente, Reservas Norte sector. Min. Technol. 2010, 119, 175–181. [Google Scholar] [CrossRef]
- Li, X.B.; Weng, L. Numerical investigation on fracturing behaviors of deep-buried opening under dynamic disturbance. Tunn. Undergr. Space Technol. 2016, 54, 61–72. [Google Scholar] [CrossRef]
- Meng, N.K.; Bai, J.B.; Chen, Y.; Wang, X.Y.; Wu, W.D.; Wu, B.W. Stability analysis of roadside backfill body at gob-side entry retaining under combined static and dynamic loading. Eng. Fail. Anal. 2021, 127, 105531. [Google Scholar] [CrossRef]
- Zhu, W.C.; Li, Z.H.; Zhu, L.; Tang, C.A. Numerical simulation on rockburst of underground opening triggered by dynamic disturbance. Tunn. Undergr. Space Technol. 2010, 25, 587–599. [Google Scholar] [CrossRef]














| Stratum | Lithology | Density/(kg/m3) | Bulk Modulus/GPa | Shear Modulus/GPa | Thickness/m |
|---|---|---|---|---|---|
| Floor | Siltstone #1 | 2600 | 5.47 | 2.82 | 19 |
| Coal | 1400 | 2.87 | 1.48 | 8 | |
| Immediate roof | Siltstone #2 | 2500 | 5.47 | 2.82 | 10 |
| Primary roof #1 | Medium sandstone | 2600 | 6.42 | 2.56 | 25 |
| Primary roof #2 | Mudstone | 2600 | 4.58 | 2.06 | 35 |
| Thick-hard rock | Fine sandstone | 2600 | 8.51 | 2.36 | 100 |
| Overburden | Clay | 2600 | 3.65 | 1.6 | 240 |
| Lithology | Normal Stiffness/(GPa/m) | Tangential Stiffness/(GPa/m) | Cohesion/MPa | Friction Angle/° | Tensile Strength/MPa |
|---|---|---|---|---|---|
| Siltstone 1 | 30 | 12 | 1.2 | 36 | 1.54 |
| Coal | 28 | 11.2 | 1.6 | 20 | 1.2 |
| Siltstone 2 | 25 | 12 | 1.6 | 10 | 1 |
| Medium sandstone | 40 | 21 | 1.6 | 10 | 1.2 |
| Mudstone | 36 | 18 | 1.6 | 10 | 1.2 |
| Fine sandstone | 76 | 30 | 8 | 60 | 5 |
| Clay | 20 | 8 | 1.3 | 25 | 1 |
Publisher’s Note: MDPI stays neutral with regard to jurisdictional claims in published maps and institutional affiliations. |
© 2022 by the authors. Licensee MDPI, Basel, Switzerland. This article is an open access article distributed under the terms and conditions of the Creative Commons Attribution (CC BY) license (https://creativecommons.org/licenses/by/4.0/).
Share and Cite
Guo, Y.; Lu, C.; He, Z.; Song, J. Numerical and Field Investigations of Tremors Induced by Thick-Hard Strata Fracture. Appl. Sci. 2022, 12, 11151. https://doi.org/10.3390/app122111151
Guo Y, Lu C, He Z, Song J. Numerical and Field Investigations of Tremors Induced by Thick-Hard Strata Fracture. Applied Sciences. 2022; 12(21):11151. https://doi.org/10.3390/app122111151
Chicago/Turabian StyleGuo, Ying, Caiping Lu, Zhilong He, and Jiefang Song. 2022. "Numerical and Field Investigations of Tremors Induced by Thick-Hard Strata Fracture" Applied Sciences 12, no. 21: 11151. https://doi.org/10.3390/app122111151
APA StyleGuo, Y., Lu, C., He, Z., & Song, J. (2022). Numerical and Field Investigations of Tremors Induced by Thick-Hard Strata Fracture. Applied Sciences, 12(21), 11151. https://doi.org/10.3390/app122111151

