Featured Application
The quantitative material properties tested at various temperatures and strain-rates can be used as material information for the finite element (FE) analysis and material parameters for the development of advanced constitutive models.
Abstract
The present study investigates the strain-rate-dependent mechanical performances of three different kinds of polymers in low-temperature applications, including plastic piping systems. Recently, lightweight constructions have been increasingly used in ship and offshore structures because using low-density materials reduces the structural weight of products. However, most of the existing research outcomes have not focused on low-temperature applications. In the present study, the mechanical and failure characteristics of acrylonitrile butadiene styrene (ABS), polyethylene (PE), and polyvinylidene fluoride (PVDF), which are the most widely used in ship and offshore industries, were tested under low-temperature conditions. The quasistatic tensile stress–strain responses of the polymers were observed at rates of 10−2, 10−3, and 10−4 s−1. As the temperature decreased, the tensile strength and Young’s modulus of tested polymers increased. The fracture strain and modulus of toughness of ABS were considerably lower than those of PE and PVDF at room and low temperatures. When compared with mechanical properties, PVDF displayed superior capability, and each polymer showed different fracture surface characteristics, such as ductility and brittleness. The quantitative material properties tested at various temperatures and strain-rates can be used as material information for the finite element (FE) analysis and material parameters for the development of advanced constitutive models.
1. Introduction
Lightweight constructions have been increasingly used in automotive, shipbuilding, construction, and aerospace industries because using low-density materials reduces the structural weight of products. Adopting low-density materials leads to fuel savings, low carbon footprint, and conservation of natural resources because less material is required for manufacturing consumer goods. Polymers, which are representative lightweight materials, are suitable for replacing conventional metallic steel and alloys because they offer several advantages such as ease of processing, the possibility of obtaining complex shapes, good mechanical strength, durability, and a relatively low price [1].
Figure 1 shows the plastic piping systems employed in an icebreaking tanker. In the shipping and offshore industries, lightweight is one of the main issues in reducing payload, reaching high speed, and reducing fuel consumption. Therefore, new materials and related technologies have been adopted; in particular, the use of polymer and composite materials has steadily increased in recent years [2,3,4]. In the transport field, various polymer materials have been extensively adopted in plastic piping systems, such as refrigeration, ballast system, and seawater drain, depending on material characteristics such as chemical resistance, temperature resistance, and flexibility for assembly. Moreover, from the lightweight aspect, researchers have attempted to extensively investigate polymer and composite pipes under low-temperature environments to replace conventional low-temperature metallic steel pipes. A representative application field of polymer and composite materials in low-temperature environments is in pipes for liquefied natural gas, which is stored and transported at −163 °C [5,6]. The growth of natural gas consumption is expected to exceed that of fossil fuels because natural gas has more favorable environmental and practical attributes. In addition, another issue is the Arctic shipping routes. They connect the world’s largest economies in the Atlantic and Pacific Oceans via more profitable, shorter, faster, and thus more environmentally friendly trade routes than conventional shipping lanes. Icebreakers—special-purpose ships designed to move and navigate through ice-covered waters in the Arctic Ocean—have been exposed to risks such as freezing and bursting of pipes in extremely cold regions. Accordingly, setting clear criteria for the application of plastic materials to a pipe system is necessary. In addition, the investigation of material characteristics of polymer materials depending on application environments is required. For these reasons, investigating the mechanical and failure characteristics and confirming them at the design stages is important to adapt to low-temperature environments and ensure the ability of polymer materials to withstand low-temperature conditions from the lightweight aspect.
Figure 1.
Plastic piping systems employed in an icebreaking tanker.
The mechanical behavior of polymers is significantly influenced by the strain rate, according to several research findings from the previous decades. Ebert et al. reported polypropylene’s strain-rate-dependent deformation behavior. The tensile tests were conducted at six different strain rates: (1.15 × 10−3, 1.15 × 10−2, 1.15 × 10−1, 1.15, 1.15 × 102, and 1.15 × 103 s−1). The tensile strength exhibited an increasing trend with the increasing strain rate under the conditions adopted for the strain rate [7]. Fang et al. studied the rate-dependent large deformation behavior of polycarbonate and acrylonitrile–butadiene–styrene (PC/ABS) at crosshead speeds ranging from 1 to 3000 mm/min. The results demonstrated that the strain rate substantially affects the stress–strain relationship of PC/ABS. At lower strain-rate ranges, the necking deformation can be ignored, but not at higher strain rates [8]. Reis et al. examined the impact of temperature and strain rate on the tensile behavior of high-density polyethylene (PE). Experiments were carried out at four distinct constant isothermal temperatures (25 °C, 50 °C, 75 °C, and 100 °C) and five distinct strain rates (7.25 × 10−5, 1.45 × 10−4, 7.25 × 10−4, 1.45 × 10−3, and 7.25 × 10−3 s−1). Their research revealed that temperature and strain-rate dependence significantly impacted rigidity, tensile strength, and ductility. The ultimate tensile strength exhibited a decreasing trend as the temperature and strain rate increased [9]. Vidakis et al. studied the effect of strain rates on thermoplastic polymers processed by fused filament fabrication (FFF), including polylactic acid (PLA), acrylonitrile butadiene styrene (ABS), polyethylene terephthalate glycol (PETG), polyamide6 (PA6), and polypropylene (PP). The mechanical properties of PA6, ABS, and PP 3D-printed samples, including stiffness, yield strength, tensile strength, and toughness, exhibited a low dependence on strain-rate sensitivity. However, PLA appears to be extremely strain-rate sensitive [10]. At room temperature, Nakai and Yokoyama tested the uniaxial compressive response of six commercially available extruded polymers, including ABS, high-density polyethylene (HDPE), polycarbonate (PC), polyoxymethylene (POM), PP, and polyvinylchloride (PVC), at three different strain rates (10−3 s−1, 10−1 s−1, and 1.0 s−1). Except for HDPE and POM, the elastic modulus and strength of the polymers increased significantly with strain rate [11]. Varghese and Murugan investigated the effect of extrusion orientation and strain rate on the mechanical behavior of thermoplastic sheets such as HDPE, ABS, and isotactic polypropylene (i-PP). Specimens cut in three different orientations were subjected to uniaxial tension tests with strain rates ranging from 0.01 to 0.3 s−1. Regardless of their orientations, an increase in strain rate led to an increase in yield strength for all three polymers [12]. Farrokh and Khan investigated the strain-rate sensitivity of yield behavior in a semicrystalline polymer, nylon 101. Different specimens with different designs and geometries were prepared to conduct experiments under different loading conditions such as tension, compression, torsion, and biaxial loading condition. All experiments were conducted at four different strain rates (10−5, 10−4, 10−2, and 1 s−1) at room temperature. The results showed that the mechanical strength increased in proportion to the strain rate [13]. Mulliken and Boyce investigated the strain-rate-dependent elastic–plastic deformation of poly (methyl methacrylate) (PMMA) and PC at strain rates in the range 10−4–104 s−1. The results showed that both the PC and PMMA materials exhibited enhanced rate sensitivity when deformed under high rates of loading compared to their behavior under quasistatic rates of loading. The enhanced rate sensitivity was directly attributed to the restriction of secondary molecular motions [14].
Previous research evaluated various polymer materials, including PE, ABS, PLA, PETG, PA6, HDPE, and POM, for their mechanical performance at quasistatic and dynamic strain rates. According to most research findings, the stiffness and strength of polymer materials showed an upward trend with an increasing strain rate. Although the essential mechanical characteristics have been identified accurately, the available information is limited to the mechanical characteristics at ambient and above-ambient temperatures. Amjadi and Fatemi studied the tensile behavior of HDPE, including its temperature and strain-rate effects. To investigate the temperature effect, temperatures of −40, 23, 53, and 82 °C were selected. By increasing the temperatures from −40 °C to 82 °C, the elastic modulus, yield strength, and tensile strength decreased significantly, whereas the elastic modulus and ultimate tensile strength increased linearly [15]. The influence of stress triaxiality, strain rate, and temperature on the mechanical response and morphology of polyvinylidene fluoride (PVDF) was reported by Hund et al. Between −20 °C and 100 °C, the thermoviscoelastic response of the material was investigated at a quasistatic strain rate of 0.005 s−1. In addition, the influence of strain rates (0.005, 0.1, and 1.0 s−1) at room temperature was investigated. The material exhibited a temperature- and strain-rate-dependent behavior in which the stress level increased with the increasing strain rate and decreasing temperature [16]. Richenton et al. examined the uniaxial compressive test on three distinct amorphous commercial polymers: PC, PMMA, and polyamide–imide (PAI). Experiments were conducted at temperatures ranging from −40 °C to 180 °C and strain rates of 0.0001 s−1 up to 5000 s−1. The yield strength was not significantly affected by the quasistatic strain rate condition, but it was significantly affected by the high-strain-rate condition [17]. Rae and Brown investigated the tensile material properties of poly(tetrafluoroethylene) (PTFE) at strain rates in the range 2 × 10−4–0.1 s−1 and temperatures in the range −50–150 °C. Test results at −50 °C showed a significant decrease—approximately threefold—in the failure strain compared to the results in ambient temperature (25 °C) [18].
In the aforementioned studies, the mechanical performance and properties of polymer materials in a variety of low-temperature environments were reported. However, most previous research was limited to temperatures up to −50 °C. Even though the mechanical behavior of polymers is sensitive to varying loads and temperatures, studies on the material properties of polymers under low-temperature conditions are insufficient for industrial applications. Rae and Dattelbaum investigated the compressive material properties of PTFE. In this paper, the compression test was conducted at strain rates in the range 10−4–1 s−1 and temperatures in the range −198 °C to 200 °C. The tests were performed by immersing the samples in liquid nitrogen throughout the test. The samples tested at −198 °C all shattered at approximately 35% strain [19]. Although the PTFE polymer material was impregnated with liquid nitrogen (−198 °C) and the compressive test result was reported, it is difficult to obtain a quantitative database of the polymer materials for ABS, PE, and PVDF in low-temperature environments.
In this study, strain-rate-dependent mechanical tests were conducted at low temperatures to determine the effect of temperature on the strength, elastic modulus, fracture strain, and toughness of three different polymer materials used in the ship and offshore industries. Based on their industrial viability, the following polymer candidates were chosen: PE, ABS, and PVDF. Finally, we quantitatively summarized the temperature (25 °C, 0 °C, −50 °C, and −100 °C) and strain-rate (10−4, 10−3, and 10−2 s−1)-dependent properties.
2. Materials and Methods
2.1. Materials
In the present study, three different polymer materials, namely, polyethylene (PE), acrylonitrile butadiene styrene (ABS), and polyvinylidene fluoride (PVDF), were selected among a variety of polymer materials adopted in piping systems in shipping and offshore industries. PE—a type of polyolefin—comprises hydrocarbons as the main constituent and is a nonpolar material because it does not dissolve in common solvents, showing negligible swelling. Therefore, PE is widely adopted as a plastic piping material in water and natural gas distribution systems because it has a very high impact strength at low temperatures, low erosion, and low decay, even under seawater conditions [20,21]. High-molecular-weight PE grades of medium-to-high density have become state of the art for industrial piping systems. The grades are classified according to their internal pressure resistance in PE80 (MRS 80 MPa) and PE100 (MRS 100 MPa). In the present study, PE100 was selected for tests because the material is employed in plastic piping systems in the maritime industry and has superior performances, including durability and resistance to external shocks, compared with PE80. ABS can be adopted in the application by varying the composition of its components: acrylonitrile, polybutadiene, and styrene. ABS is thermoplastic and composed of terpolymer-containing acrylonitrile, polybutadiene, and styrene. Acrylonitrile provides strength to the material and gives ABS an improved chemical resistance relative to polystyrene, while the styrenic component provides both improved processability and moldability. In addition, as polybutadiene is a synthetic rubber, its properties include flexibility and impact resistance. Further, the chemically bonded polybutadiene rubber particles give the material its toughness and impact strength, even at low temperatures [22]. Owing to these properties, ABS has been adopted in applications in various industries such as electronics and automobile industries [23,24]. In the present study, ABS was selected for the test because this material is being employed in the piping systems in shipping industries, e.g., cooling water, vacuum, water treatment, and black/gray water, which denotes one of the most superior capabilities and applications at low temperatures. PVDF is a semicrystalline thermoplastic and belongs to the class of fluorinated polymers. It is one of the best chemically resistant polymers [25]. Moreover, among fluorinated polymers, PVDF has outstanding properties such as high mechanical strength, chemical resistance, and machinability because of its high crystallinity [26]. Thus, PVDF has been extensively applied in almost every industrial field, including electronics, chemical, and biotechnology fields [27,28,29]. In this study, we performed tensile tests on PVDF to confirm its versatility in the low-temperature range.
2.2. Experimental Apparatus
A uniaxial tensile test was conducted on the three types of polymer specimens to experimentally investigate general behavior and mechanical properties according to temperature and strain rate. Figure 2a shows the photograph of the custom-built cryogenic-chamber-equipped universal testing machine. The specially built cryogenic chamber, with temperature automatically programmed by controlling the amount of liquid nitrogen, was used to maintain the cryogenic condition throughout the test. The temperature was measured by the three different thermocouples present in the chamber. When liquid nitrogen was injected to lower the temperature to the cryogenic temperature, the automatic temperature control system prevented the further injection of liquid nitrogen once the temperature reached the desired value. In addition, when the temperature started to increase, the control system lowered the temperature through reinjection such that it was maintained at the desired value. Special care was taken to maintain the thermal equilibrium condition by performing precooling for 30 min prior to the tensile test. In addition, a specially designed assistant jig was adopted to fasten the testing specimen. To acquire reliable experimental data, a cryogenic extensometer (3542-05M-100-LT, Epsilon Tech. Corp) was embedded on the polymer specimen. Figure 2b shows the shape and dimensions of the polymer testing specimen fabricated in accordance with ASTM D638-1.
Figure 2.
(a) Photographs of the tensile test in a cryogenic environment and (b) shape and dimensions of the specimen.
2.3. Experimental Scenario
Table 1 shows the low-temperature considered test scenarios of the three kinds of polymer samples. To investigate the effect of low temperatures and strain rate on the polymer materials, three strain rates (10−2, 10−3, and 10−4 s−1) and four testing temperatures (25 °C, 0 °C, −50 °C, and −100 °C) were considered. According to the ISO standard for tensile testing, a crosshead travel speed as low as 1 mm/min is indicated and translated to a strain rate of approximately 0.00015 s−1. Material tensile testing for each scenario was conducted five times to ensure the repeatability of the test results, and 120 tensile tests were conducted. The shape and dimensions of the polymer test specimen were fabricated in accordance with ASTM D638-1.
Table 1.
Low-temperature considered test scenarios of the three kinds of polymer samples.
3. Results and Discussion
3.1. Effect of Temperature on Tensile Properties
This section describes the experimental results of mechanical tensile tests at different temperatures and strain rates performed on PVDF, PE, and ABS specimens. In engineering applications, deformation and reduction in cross-sectional area of a specimen are very small and can be neglected. Thus, the cross-sectional area was assumed to be constant during deformation, and the nominal stress was the load divided by the initial cross-section of the specimen. The strain means nominal strain defined as the variation amount of the measured displacement by the extensometer divided by the initial gauge length. Figure 3 shows the nominal stress–strain curves obtained with PVDF, PE, and ABS at a constant strain rate of 10−3 s−1 at different temperatures. All the tested polymers exhibited an increase in the tensile strength and Young’s modulus with a decrease in temperature from 25 °C to −100 °C. Further, reduction of the elongation and toughness was observed below 0 °C as the tensile properties deteriorated. These results are similar to those of an early study of the tensile mechanical properties of PVDF [25]. These observations indicate that the properties of thermoplastic polymers demonstrate a significant variation with in-service conditions such as dependence on temperature and strain rate [30]. The low-temperature tensile testing revealed that, compared with PE, PVDF had better capacity, such as strength. Furthermore, the variation of toughness was much less likely to occur when reducing the temperature. As prior tensile tests demonstrated, tensile stress–strain curves for ABS exhibited a temperature dependency, and the results of the tensile test also revealed that the tensile strength and elastic modulus increased with the decrease in temperature, but the elongation and modulus of toughness showed little change. Figure 4 presents the shape of the fractured specimens of PVDF at different temperatures. The failure characteristic was different for each specimen at the end of tests at different temperatures. Further, as the temperature decreased, a narrow shape and whitened area became less common. The arrows in Figure 4 indicate the height of the whitened area during the tensile test, and limited necking occurs in the fracture plane. However, the fracture at low temperatures occurs before the necking. Accordingly, the brittleness of the specimens is considered to increase as the temperature decreases. Further, Figure 5 also presents the failure types of the PE specimens according to temperature. The tensile test specimen at room temperature appeared with fairly agglomerated fibers and a torn form compared to that in the testing at low temperatures. However, as the temperature dipped below 0°, the properties were weakened, and the polymer fibers were stiffened. In addition, the height of the necked area was confirmed to have a short length, and the fracture surfaces flattened out at low temperatures. Figure 6 presents the failure type of the ABS specimens and the whitened area due to necking. A narrow shape appears in the specimen at 25 °C, but such shapes do not occur below 0 °C.

Figure 3.
Temperature-dependent stress-strain curves of the polymers: (a) PVDF, (b) PE, and (c) ABS.
Figure 4.
Failure types of the PVDF specimens depending on temperatures: (a) −100 °C, (b) −50 °C, (c) 0 °C, and (d) 25 °C.
Figure 5.
Failure types of the PE specimens depending on temperatures: (a) −100 °C, (b) −50 °C, (c) 0 °C, and (d) 25 °C.
Figure 6.
Failure types of the ABS specimens depending on temperatures: (a) −100 °C, (b) −50 °C, (c) 0 °C, and (d) 25 °C.
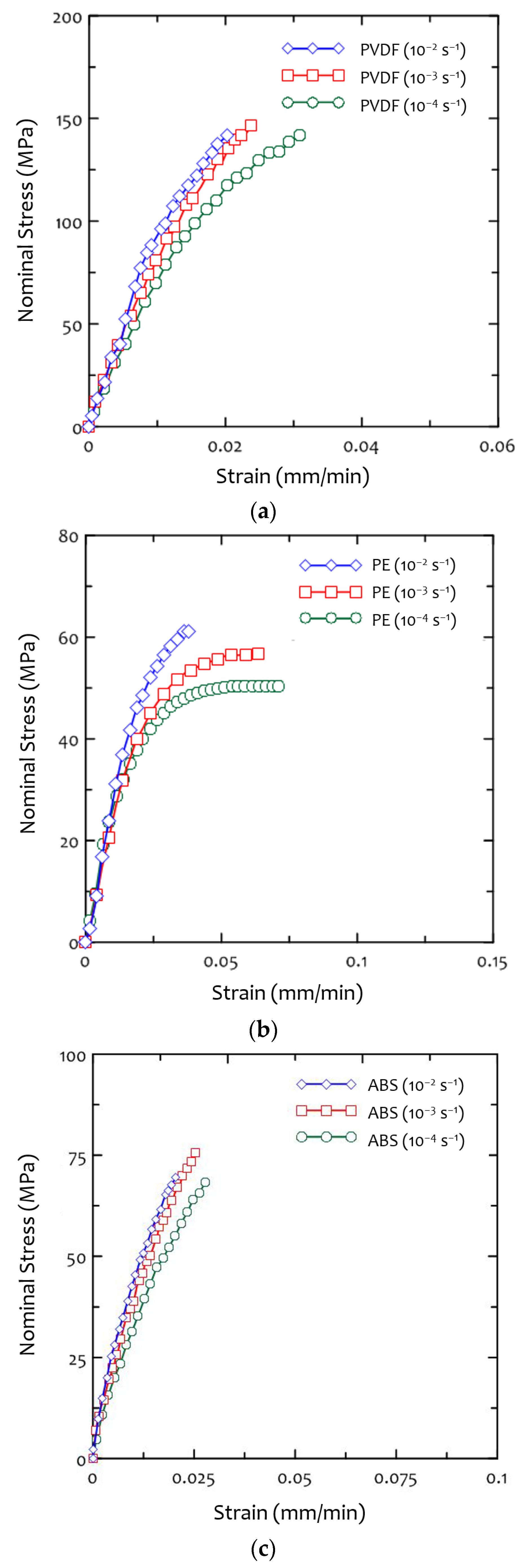
3.2. Effect of Strain Rate on Tensile Properties
Three crosshead travel speeds were selected to investigate the effect of strain rate at low temperatures: 0.3, 3, and 30 mm/min. These translated to a strain rate of approximately 10−4, 10−3, and 10−2 s−1. Figure 7 and Figure 8 show a comparison of the strain-rate dependence at −50 °C and −100 °C, respectively, for PVDF, PE, and ABS. At −50 °C, the stress–strain behavior showed an expected increase in the initial yield stress with an increase in the strain rate. Moreover, the fracture strain was longer at a slow strain rate (10−4 s−1) than at a fast strain rate (10−2 s−1). This effect should be considered in the development of models for predicting the mechanical properties and applying them to structures under various loading conditions. However, the results in Figure 8 do not show a clear strain-rate dependence of the peak tensile strength and failure strain of the materials. The specimens fractured at −100 °C were consistent with the smaller failure strains and underwent brittle failure without a necking process. In other words, the tensile properties of the polymers at low temperatures indicate that the increase in tensile strength and decrease in elongation by fracture are definitely observed at −50 °C due to the acceleration of the strain rate, but failure characteristics at −100 °C are not significantly different from the strain rates of 10−2 and 10−3 s−1. Accordingly, the mechanical property of the polymers at −100 °C is considered to be influenced by low-temperature brittleness.
Figure 7.
Strain-rate-dependent stress-strain curves of the polymers at −50 °C: (a) PVDF, (b) PE, and (c) ABS.
Figure 8.
Strain-rate-dependent stress-strain curves of the polymers at −100 °C: (a) PVDF, (b) PE, and (c) ABS.
3.3. Application under Low-Temperature Conditions in Ships and Offshore Structures
Polymer materials are widely used in pipeline systems in marine structures for chemicals, ballast and bunker lines, black and gray water, seawater and freshwater cooling, and hot and cold water. In terms of structural design, various considerations are involved in terms of chemical resistance, impact strength, rigidity, and flexibility for assembly and operating temperature in all building service applications. Among these considerations, in the present study, the mechanical properties of the three polymer materials were evaluated and compared to determine the material specifications for low-temperature conditions. Table 2 presents the comparative results of materials and the tensile strength and Young’s modulus from cryogenic- to room-temperature conditions. The tests were performed at a constant strain rate of 1.0 × 10−3/s. Serban et al. [30] reported that yield stress could be considered for the tensile strength values owing to the characteristics of ductile polymers, and no single point in the material starts to yield. In the present study, as the tests were performed at a low crosshead speed, attention was focused on Young’s modulus in accordance with the initial slope of the stress–strain curves. In the test of PVDF, a decrease in temperature from 25 °C to −50 and −100 °C resulted in a 121% and 252% increase in tensile strength and a 113% and 381% increase, respectively, in Young’s modulus. For PE, the decrease in temperature resulted in a 181% and 193% increase in tensile strength and 483% and 750% increase in Young’s modulus. With the same method, temperature was found to affect tensile properties in the test of ABS, resulting in a 39% and 92% increase in tensile strength and 20% and 89% increase in Young’s modulus with decreasing temperature, at −50 °C and −100 °C, respectively. Therefore, the mechanical properties of the polymers, i.e., tensile strength and Young’s modulus, improved at low temperatures and showed similar tendencies. In addition, PVDF exhibited the best mechanical properties, and PE exhibited the highest increase rate in terms of tensile strength and Young’s modulus. Table 3 reveals that the fracture strain and modulus of toughness markedly decrease as the temperature decreases to cryogenic levels. Thus, durability and stability under temperature variation should be considered for application at industrial sites. The fracture strain and modulus of toughness of ABS were considerably lower than those of PVDF and PE both at room and low temperatures. By contrast, in terms of the fracture strain and modulus of toughness, except for the fracture strain of PVDF at 0 °C, PVDF exhibited the highest value above 0 °C, followed by PE and ABS. However, the fracture strain of PE was higher than those of PVDF and ABS below 0 °C, whereas its modulus of toughness was lower than that of PVDF at −50 °C. This result implies that these polymers should be considered for application at suitable temperature ranges. In addition, for a clearer understanding of the test results for various polymers, the mechanical properties were plotted in Figure 9. Therefore, it should be considered that these polymers apply to offshore suitable temperature ranges.
Table 2.
Tensile strength and Young’s modulus from temperature-dependency tests.
Table 3.
Fracture strain and modulus of toughness from temperature-dependency tests.
Figure 9.
Temperature-dependent mechanical properties of the polymers: (a) tensile strength, (b) elastic modulus, (c) fracture strain, and (d) modulus of toughness.
4. Conclusions
In the present study, the strain rates and temperature dependencies of PVDF, PE, and ABS were analyzed, and the mechanical responses of these materials were compared to provide a quantitative index for selecting industrial pipe materials at low temperatures. The significant findings of this study are as follows:
- As temperature decreased, the tensile strength and Young’s modulus of the tested polymers increased. However, the fracture strain and toughness markedly decreased in the cryogenic conditions. Hence, the effects of temperature variation on the durability of polymer materials should be investigated for industrial applications.
- The phase change from the ductile type to the brittleness type was observed by decreasing temperature. The fracture characteristics of PVDF and PE show the agglomerative and grainy forms and were considered to influence advanced tensile strength and elastic modulus.
- However, for ABS, the shape was featured by a flat plane surface in the fracture surface and took place with little or no preceding plastic deformation, except at room temperature. This means that fracture characteristics such as the ductility and malleability could be predicted by evaluating the plane macroscopic observation.
- At −50 °C, the tensile properties of the polymers indicate that the increase in tensile strength and decrease in elongation by fracture were due to an increased strain rate.
- At −100 °C, failure characteristics were not appreciably different from strain rates of 10–2 s–1 and 10–3 s–1. It is considered that the mechanical property of the polymers at −100 °C is influenced by low-temperature brittleness.
- When compared with mechanical properties, it was indicated that PVDF has superior capability, and each polymer shows different fracture surface in terms of ductility and brittleness. Hence, this type of polymer can be considered for application at a suitable temperature range.
- The tested polymers showed strain-rate- and temperature-dependent mechanical characteristics. The quantitative material properties tested at various temperatures and strain-rates can be used as material information for the finite element (FE) analysis and material parameters for the development of advanced constitutive models.
Author Contributions
Conceptualization, M.-S.K. and Y.K.; methodology, Y.K.; investigation, K.W.C.; writing—original draft preparation, M.-S.K. and K.W.C.; writing—review and editing, H.-J.J. and J.-H.K. All authors have read and agreed to the published version of the manuscript.
Funding
This work was supported by the Korea Institute of Energy Technology Evaluation and Planning (KETEP) and the Ministry of Trade, Industry and Energy (MOTIE) of the Republic of Korea (20224000000090). This research was supported by Korea Institute of Marine Science and Technology Promotion (KIMST) funded by the Ministry of Oceans and Fisheries (20220603). This work was supported by the R&D Platform Establishment of Eco-Friendly Hydrogen Propulsion Ship Program (No. 20006632) funded by the Ministry of Trade, Industry and Energy (MOTIE, Korea).
Institutional Review Board Statement
Not applicable.
Informed Consent Statement
Not applicable.
Data Availability Statement
The data presented in this study are available on request from the corresponding author.
Conflicts of Interest
The authors declare no conflict of interest.
References
- Nie, W.Z.; Li, J.; Zhang, Y.F. Tensile properties of surface treated carbon fibre reinforced ABS/PA6 composites. Plast. Rubber Compos. 2010, 39, 16–20. [Google Scholar] [CrossRef]
- Karsli, N.G.; Aytac, A. Tensile and thermomechanical properties of short carbon fiber reinforced polyamide 6 composites. Compos. Pt. B-Eng. 2013, 51, 270–275. [Google Scholar] [CrossRef]
- Molnár, S.; Rosenberger, S.; Gulyás, J.; Pukánszky, B. Structure and impact resistance of short carbon fiber reinforced polyamide 6 composites. J. Macromol. Sci. Part B-Phys. 1999, 38, 721–735. [Google Scholar] [CrossRef]
- Kim, W.; Argento, A.; Lee, E.; Flanigan, C.; Houston, D.; Harris, A.; Mielewski, D.F. High strain-rate behavior of natural fiber-reinforced polymer composites. J. Compos. Mater. 2011, 46, 1051–1065. [Google Scholar] [CrossRef]
- Laney, P. Use of Composite Pipe Materials in the Transportation of Natural Gas. Paper INEEL/EXT-0200992. 2002. [Google Scholar]
- Bai, J. Advanced Fibre-Reinforced Polymer Composites for Structural Applications; Woodhead Publishing: Oxford, UK, 2003. [Google Scholar]
- Ebert, C.; Hufenbach, W.; Langkamp, A.; Gude, M. Modelling of strain rate dependent deformation behavior of polypro-pylene. Polym. Test. 2011, 30, 183–187. [Google Scholar]
- Fang, Q.Z.; Wang, T.J.; Beom, H.G.; Zhao, H.P. Rate-dependent large deformation behavior of PC/ABS. Polymer 2009, 50, 296–304. [Google Scholar] [CrossRef]
- Reis, J.M.L.; Pacheco, L.J.; da Mattos, H.S. Influence of the temperature and strain rate on the tensile behavior of post-consumer recycled high-density polyethylene. Polym. Test. 2013, 32, 1576–1581. [Google Scholar] [CrossRef]
- Vidakis, N.; Petousis, M.; Velidakis, E.; Liebscher, M.; Mechtcherine, V.; Tzounis, L. On the strain rate sensitivity of fused filament fabrication (FFF) processed PLA, ABS, PETG, PA6, and PP thermoplastic polymers. Polymers 2020, 12, 2924. [Google Scholar] [CrossRef]
- Nakai, K.; Yokoyama, T. Uniaxial compressive response and constitutive modeling of selected polymers over a wide range of strain rates. J. Dyn. Behav. Mater. 2015, 1, 15–27. [Google Scholar] [CrossRef]
- Varghese, J.; Murugan, R. Influence of orientation of extrusion direction and strain rate on the mechanical behaviour of extruded thermoplastic sheets. Mater. Today: Proc. 2018, 5, 24043–24049. [Google Scholar] [CrossRef]
- Farrokh, B.; Khan, A.S. A strain rate dependent yield criterion for isotropic polymers: Low to high rates of loading. Eur. J. Mech. A/Solids 2010, 29, 274–282. [Google Scholar] [CrossRef]
- Mulliken, A.D.; Boyce, M.C. Mechanics of the rate-dependent elastic-plastic deformation of glassy polymers from low to high strain rates. Int. J. Solids Struct. 2006, 43, 1331–1356. [Google Scholar] [CrossRef]
- Amjadi, M.; Fatemi, A. Tensile behavior of high-density polyethylene including the effects of processing technique, thickness, temperature, and strain rate. Polymers 2020, 12, 1857. [Google Scholar] [CrossRef] [PubMed]
- Hund, J.; Granum, H.M.; Olufsen, S.N.; Holmstrom, P.H.; Johnsen, J.; Clausen, A.H. Impact of stress triaxiality, strain rate, and temperature on the mechanical response and morphology of PVDF. Polym. Test. 2022, 114, 107717. [Google Scholar] [CrossRef]
- Richeton, J.; Ahzi, S.; Vecchio, K.S.; Jiang, F.C.; Adharapurapu, R.R. Influence of temperature and strain rate on the mechanical behavior of three amorphous polymers: Characterization and modeling of the compressive yield stress. Int. J. Solids Struct. 2006, 43, 2318–2335. [Google Scholar] [CrossRef]
- Rae, P.J.; Brown, E.N. The properties of poly(tetrafluoroethylene) (PTFE) in tension. Polymer 2005, 46, 8128–8140. [Google Scholar] [CrossRef]
- Rae, P.J.; Dattelbaum, D.M. The properties of poly(tetrafluoroethylene) (PTFE) in compression. Polymer 2004, 45, 7615–7625. [Google Scholar] [CrossRef]
- Greig, J.M. Fracture Propagation in 250 mm and 315 mm Polyethylene Gas Pipes. 1985; British Gas Engineering Research Station Report No. E472. [Google Scholar]
- Zhuang, Z.; Guo, Y. Analysis of dynamic fracture mechanisms in gas pipelines. Eng. Fract. Mech. 1999, 64, 271–289. [Google Scholar] [CrossRef]
- Santos, R.M.; Pimenta, A.; Botelho, G.; Machado, A.V. Influence of the testing conditions on the efficiency and durability of stabilizers against ABS photo-oxidation. Polym. Test. 2013, 32, 78–85. [Google Scholar]
- Mun, H.; Kim, D. The optimum solution for the best performance of ABS. Polymer 2007, 31, 105–110. [Google Scholar]
- Tiganis, B.E.; Burn, L.S.; Davis, P.; Hill, A.J. Thermal degradation of acrylonitrile-butadiene-stryene (ABS) blends. Polym. Degrad. Stabil. 2002, 76, 425–434. [Google Scholar] [CrossRef]
- Laiarinandrasana, L.; Besson, J.; Lafarge, M.; Hochstetter, G. Temperature dependent mechanical behaviour of PVDF: Ex-periments and numerical modeling. Int. J. Plast. 2009, 25, 1301–1324. [Google Scholar] [CrossRef]
- Girard, D.; Castagnet, S.; Gacougnolle, J.L.; Hoschstetter, G. On the relevance of a notch creep test for the comprehension and prediction of slow crack growth in PVDF. Polym. Test. 2007, 26, 937–948. [Google Scholar] [CrossRef]
- Liu, F.; Hashim, L.A.; Liu, Y.; Abed, M.R.M.; Li, K. Progress in production and modification of PVDF membranes. J. Membr. Sci. 2011, 375, 1–27. [Google Scholar] [CrossRef]
- Chen, J.; Li, J.D.; Chen, C.X. Surface modification of polyvinylidene fluoride (PVDF) membranes by low-temperature plasma with grafting styrene. Plasma Sci. Technol. 2009, 11, 42–47. [Google Scholar]
- Gacougnolle, J.L.; Castagnet, S.; Werth, M. Post-mortem analysis of failure in polyvinylidene fluoride pipes tested under constant pressure in the slow crack growth regime. Eng. Fail. Anal. 2006, 13, 96–109. [Google Scholar] [CrossRef]
- Serban, D.A.; Weber, G.; Marsavina, L.; Vadim; Silberschmidt, V.; Hufenbach, W. Tensile properties of semi-crystalline thermoplastic polymers: Effects of temperature and strain rate. Polym. Test. 2013, 32, 413–425. [Google Scholar] [CrossRef]
Publisher’s Note: MDPI stays neutral with regard to jurisdictional claims in published maps and institutional affiliations. |
© 2022 by the authors. Licensee MDPI, Basel, Switzerland. This article is an open access article distributed under the terms and conditions of the Creative Commons Attribution (CC BY) license (https://creativecommons.org/licenses/by/4.0/).









