Effect Evaluation of Train Speed and Embankment Stiffness on Ground Vibrations Using Numerical Simulation
Abstract
1. Introduction
2. 3-D Numerical Simulations
2.1. Model Size and Parameters
2.2. Constitutive Model of Soil and Boundary Conditions
2.3. Simulation of a Train Moving Load
2.4. Verification of the TDM Results
3. Analysis of Numerical Results
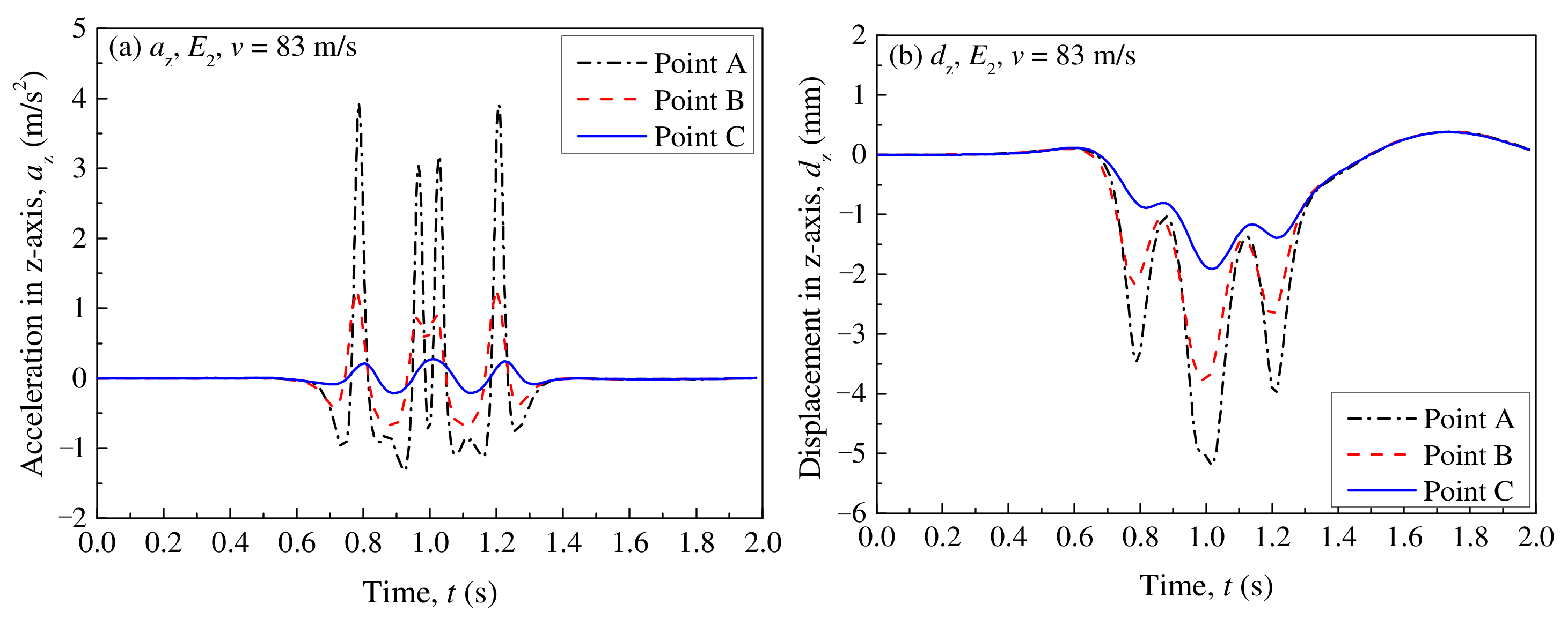
3.1. Dynamic Response of the Railway Structure
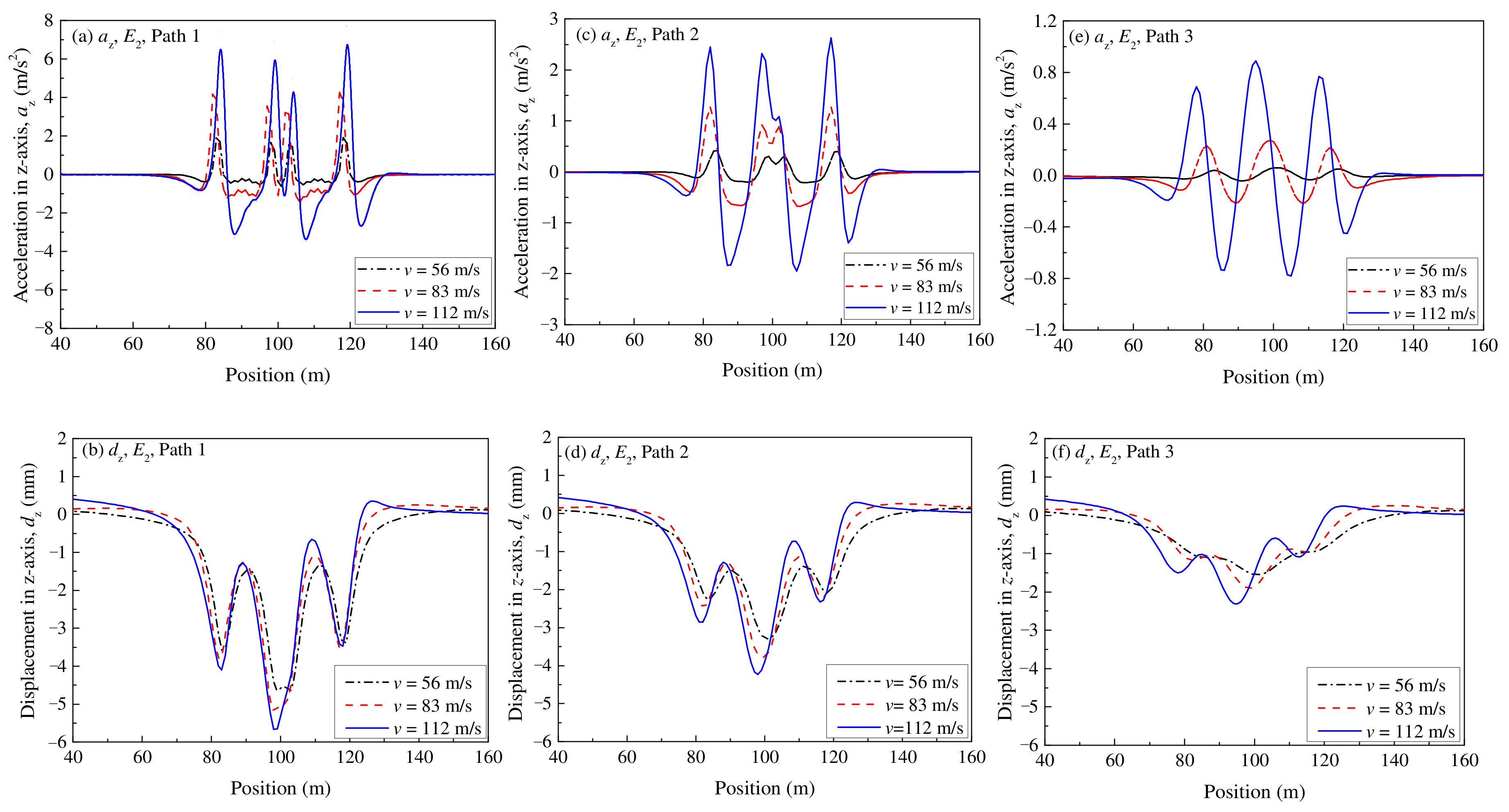
3.2. Effect of Train Speed
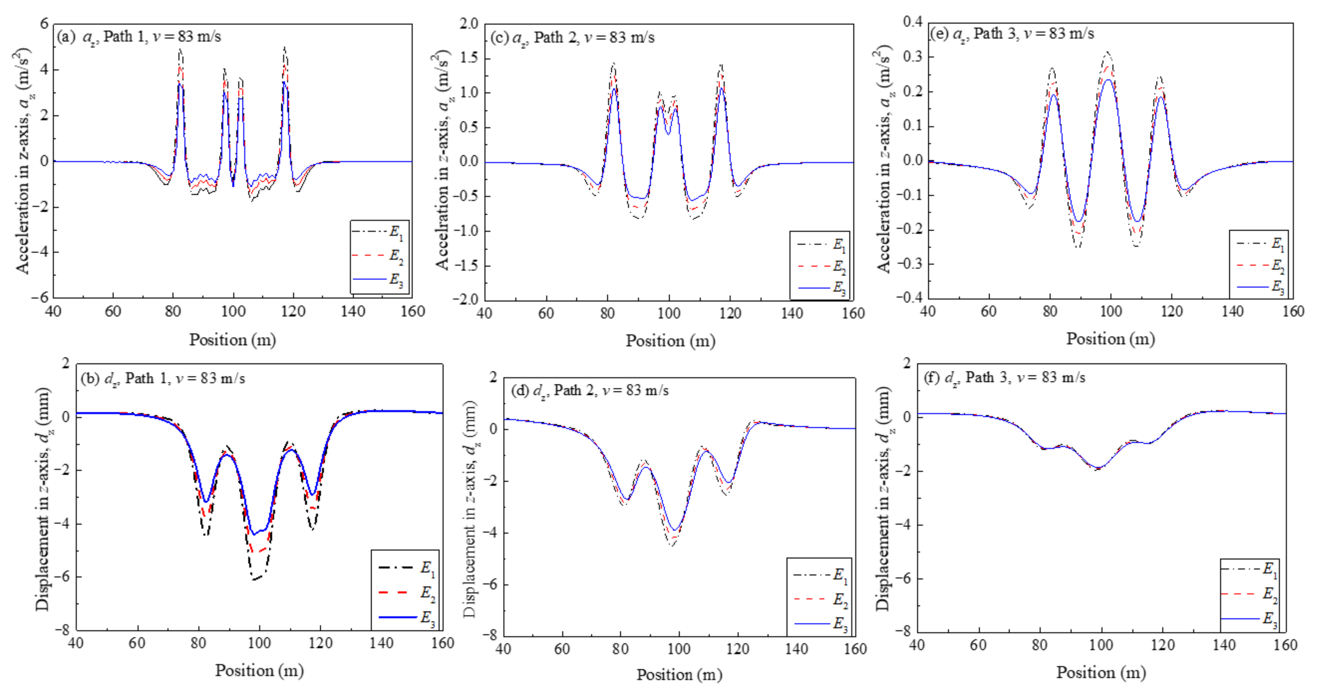
3.3. Effect of Embankment Stiffness
3.4. Comparison of Vertical Stress with Different Methods
4. Conclusions
- The dynamic acceleration and displacement in the vertical direction in railway structures are mainly generated under a moving train load, which should be considered in the railway structural design. Moreover, with increasing train speeds, the soil vibration along the direction of train movement appears to experience a significant fluctuation effect, which is manifested in the peak value of the vertical displacement of the track lagging behind the position of the wheel load, while the vertical displacement of the track at the rear of the wheel load is not equal to that at the front of the wheel load. The maximum vertical displacement occurs near the middle of the front and rear wheels of the two carriages, which indicates that the numerical model can consider the superimposition effect of the dynamic load from different wheels of the train.
- The vertical displacement and vertical stress in a high-speed railway structure increase as the train speed increases. However, with the increased depth of ground, the attenuation trends of the vertical displacement and vertical stress under a high-speed train load condition become faster. Thus, the influenced area becomes smaller.
- Since the embankment stiffness of a ballastless track structure is much greater than the subsoil stiffness, the increase of embankment stiffness has little effect on the vertical stress transferred from the track to the ground soil, which indicates that for a ballastless track structure, the enhancement of the stiffness of the sub-structure cannot effectively reduce the propagation of dynamic stress with soil depth. In code design, it is essential to increase the stiffness of the upper and lower soil layers in the same proportion. In particular, when the railway foundation contains a soft soil with low stiffness, the improvement of the stiffness of the soft soil should be emphasized.
- When the train speed is low, the vertical stress in the ground soil obtained from TDM is less than that calculated using SSM. When the train speed is high, the vertical stress of the soil calculated by TDM within 5 m below the ground surface is greater than that calculated by SSM, although the former is smaller than the latter when the ground depth exceeds 5 m. This indicates that this design code may underestimate dynamic stresses on the railway formation in high-speed situations (i.e., v = 112 m/s). However, for lower velocities and greater soil depths, the vertical stress obtained by SSM is significantly greater than that obtained by TDM, and the proposed model may be limited in application under these conditions.
Author Contributions
Funding
Institutional Review Board Statement
Informed Consent Statement
Data Availability Statement
Conflicts of Interest
References
- Kaynia, A.M.; Madshus, C.; Zackrisson, P. Ground vibration from high-speed trains: Prediction and countermeasure. J. Geotech. Geoenviron. Eng. 2000, 126, 531–537. [Google Scholar] [CrossRef]
- Takemiya, H. Field vibration mitigation by honeycomb WIB for pile foundations of a high-speed train viaduct. Soil Dyn. Earthq. Eng. 2004, 24, 69–87. [Google Scholar] [CrossRef]
- Zhan, Y.X.; Yao, H.L.; Lu, Z.; Yu, D.M. Dynamic analysis of slab track on multi-layered transversely isotropic saturated soils subjected to train loads. Earthq. Eng. Eng. Vib. 2004, 13, 731–740. [Google Scholar] [CrossRef]
- Ai, Z.Y.; Xu, C.J.; Ren, G.P. Vibration of a pre-stressed plate on a transversely isotropic multilayered half-plane due to a moving load. Appl. Math. Model. 2018, 59, 728–738. [Google Scholar] [CrossRef]
- Bian, X.C.; Jiang, H.G.; Chang, C.; Hu, J.; Chen, Y.M. Track and ground vibrations generated by high-speed train running on ballastless railway with excitation of vertical track irregularities. Soil Dyn. Earthq. Eng. 2015, 76, 29–43. [Google Scholar] [CrossRef]
- Edmond, V.M.; Niki, D.B. Dynamic response of an isotropic elastic half-plane with shear modulus varying with depth to a load moving on its surface. Transp. Geotech. 2019, 20, 100248. [Google Scholar] [CrossRef]
- Huang, H.H.; Yang, Y.B.; Chang, D.W. Wave barriers for reduction of train-induced vibrations in soils. J. Geotech. Geoenviron. Eng. 2004, 130, 1283–1291. [Google Scholar] [CrossRef]
- Yang, Y.B.; Hung, H.H.; Chang, D.W. Train-induced wave propagation in layered soils using finite/infinite element simulation. Soil Dyn. Earthq. Eng. 2003, 23, 263–278. [Google Scholar] [CrossRef]
- Yuan, Z.H.; Boström, A.; Cai, Y.Q.; Pan, X.D.; Cao, Z.G.; Shi, L. The wave function method for calculation of vibrations from a twin tunnel in a multi-layered half-space. Soil Dyn. Earthq. Eng. 2019, 125, 105716. [Google Scholar] [CrossRef]
- Fu, Q.; Gu, M.X.; Yuan, J.; Lin, Y.F. Experimental study on vibration velocity of piled raft supported embankment and foundation for ballastless high speed railway. Buildings 2022, 12, 1982. [Google Scholar] [CrossRef]
- Sheng, X.; Jones, C.J.C.; Petyt, M. Ground vibration generated by a harmonic load acting on a railway track. J. Sound Vib. 1999, 225, 3–28. [Google Scholar] [CrossRef]
- Bian, X.C.; Chen, Y.M. An explicit time domain solution for ground stratum response to harmonic moving load. Acta Mech. Sin. 2006, 22, 469–478. [Google Scholar] [CrossRef]
- Bian, X.C.; Chen, Y.M.; Hu, T. Numerical simulation of high-speed train induced ground vibrations using 2.5 D finite element approach. Sci. China Ser. G Phys. Mech. Astron. 2018, 51, 632–650. [Google Scholar] [CrossRef]
- Galvín, P.; Romero, A.; Domínguez, J. Fully three-dimensional analysis of high-speed train-track-soil-structure dynamic interaction. J. Sound Vib. 2010, 329, 5147–5163. [Google Scholar] [CrossRef]
- Huang, H.H.; Chen, G.H.; Yang, Y.B. Effect of railway roughness on soil vibrations due to moving trains by 2.5 D finite/infinite element approach. Eng. Struct. 2013, 57, 254–266. [Google Scholar] [CrossRef]
- He, C.; Zhou, S.; Guo, P.; Di, H.; Zhang, X. Modelling of ground vibration from tunnels in a poroelastic half-space using a 2.5-D FE-BE formulation. Tunn. Undergr. Space Technol. 2018, 82, 211–221. [Google Scholar] [CrossRef]
- Ju, S.H. Three-dimensional analyses of wave barriers for reduction of train-induced vibrations. J. Geotech. Geoenviron. Eng. 2004, 130, 740–748. [Google Scholar] [CrossRef]
- Lombaert, G.; Degrande, G. Ground-borne vibration due to static and dynamic axle loads of InterCity and high-speed trains. J. Sound Vib. 2009, 319, 1036–1066. [Google Scholar] [CrossRef]
- Yang, Y.B.; Hung, H.H. Soil vibrations caused by underground moving trains. J. Geotech. Geoenviron. Eng. 2008, 134, 1633–1644. [Google Scholar] [CrossRef]
- Cai, Y.Q.; Cao, Z.G.; Sun, H.L.; Xu, C.J. Dynamic response of pavements on poroelastic half-space soil medium to a moving traffic load. Comput. Geotech. 2008, 36, 52–60. [Google Scholar] [CrossRef]
- Cai, Y.Q.; Cao, Z.G.; Sun, H.L.; Xu, C.J. Effects of the dynamic wheel-rail interaction on the ground vibration generated by a moving train. Int. J. Solids Struct. 2010, 47, 2246–2259. [Google Scholar] [CrossRef]
- Takemiya, H.; Bian, X. Substructure simulation of inhomogeneous track and layered ground dynamic interaction under train passage. J. Eng. Mech. 2005, 131, 699–711. [Google Scholar] [CrossRef]
- Auersch, L. Dynamic stiffness of foundations on inhomogeneous soils for a realistic prediction of vertical building resonance. J. Geotech. Geoenviron. Eng. 2008, 134, 328–340. [Google Scholar] [CrossRef]
- Bian, X.; Jiang, H.; Chen, Y.; Chang, C. Dynamic responses generated by high-speed train running on ballastless slab track with excitation of vertical track irregularity. Soil Dyn. Earthq. Eng. 2015, 76, 29–43. [Google Scholar] [CrossRef]
- Zhang, H.; Li, L.; Ma, W.; Luo, Y.; Li, Z.; Kuai, H. Effects of welding residual stresses on fatigue reliability assessment of a PC beam bridge with corrugated steel webs under dynamic vehicle loading. Structures 2022, 45, 1561–1572. [Google Scholar] [CrossRef]
- TB 10621; Code for Design of High-Speed Railway. State Railway Administration of China: Beijing, China, 2014. (In Chinese)
- Zeng, E.X. Long-Term Settlement of Soft Soil Ground Induced by Traffic Loadings; Zhejiang University: Hangzhou, China, 2008. (In Chinese) [Google Scholar]


















| Layer | Elastic Modulus (MPa) | Density (kg/m3) | Damping Coefficient | Shear Wave Velocity (m/s) | Poisson’s Ratio |
|---|---|---|---|---|---|
| Rail | 206,000 | 7900 | - | - | 0.25 |
| Concrete track slab | 20,000 | 2350 | 0.05 | 1650 | 0.25 |
| Roadbed | 150 | 1950 | 0.05 | 240 | 0.33 |
| Subgrade | 50 | 1900 | 0.05 | 175 | 0.37 |
| Silty clay | 25 | 1730 | 0.05 | 118 | 0.45 |
| Track Forms | Track Weight and Train Load | q0 (kN/m2) | |||
|---|---|---|---|---|---|
| b (m) | q1 (kN/m2) | q2 (kN/m2) | q (kN/m2) | ||
| CRTS I | 3.0 | 12.6 | 41.7 | 54.3 | 13.2 |
| CRTS II | 3.25 | 11.6 | 38.5 | 50.1 | 14.1 |
| CRTS III | 3.1 | 13.7 | 40.4 | 54.1 | 2.3 |
Publisher’s Note: MDPI stays neutral with regard to jurisdictional claims in published maps and institutional affiliations. |
© 2022 by the authors. Licensee MDPI, Basel, Switzerland. This article is an open access article distributed under the terms and conditions of the Creative Commons Attribution (CC BY) license (https://creativecommons.org/licenses/by/4.0/).
Share and Cite
Yang, J.; Zhu, Y.; Miao, P. Effect Evaluation of Train Speed and Embankment Stiffness on Ground Vibrations Using Numerical Simulation. Appl. Sci. 2022, 12, 12536. https://doi.org/10.3390/app122412536
Yang J, Zhu Y, Miao P. Effect Evaluation of Train Speed and Embankment Stiffness on Ground Vibrations Using Numerical Simulation. Applied Sciences. 2022; 12(24):12536. https://doi.org/10.3390/app122412536
Chicago/Turabian StyleYang, Jiaqiang, Yulong Zhu, and Pengyong Miao. 2022. "Effect Evaluation of Train Speed and Embankment Stiffness on Ground Vibrations Using Numerical Simulation" Applied Sciences 12, no. 24: 12536. https://doi.org/10.3390/app122412536
APA StyleYang, J., Zhu, Y., & Miao, P. (2022). Effect Evaluation of Train Speed and Embankment Stiffness on Ground Vibrations Using Numerical Simulation. Applied Sciences, 12(24), 12536. https://doi.org/10.3390/app122412536

