Effects of Cement Treatment on Mechanical Properties and Microstructure of a Granite Residual Soil
Abstract
1. Introduction
2. Experimental Procedures
2.1. Materials
2.2. Sample Preparation
2.3. Uniaxial Compression Tests
2.4. Oedometric Compression Tests
2.5. Microscopic Tests
3. Results and Analysis
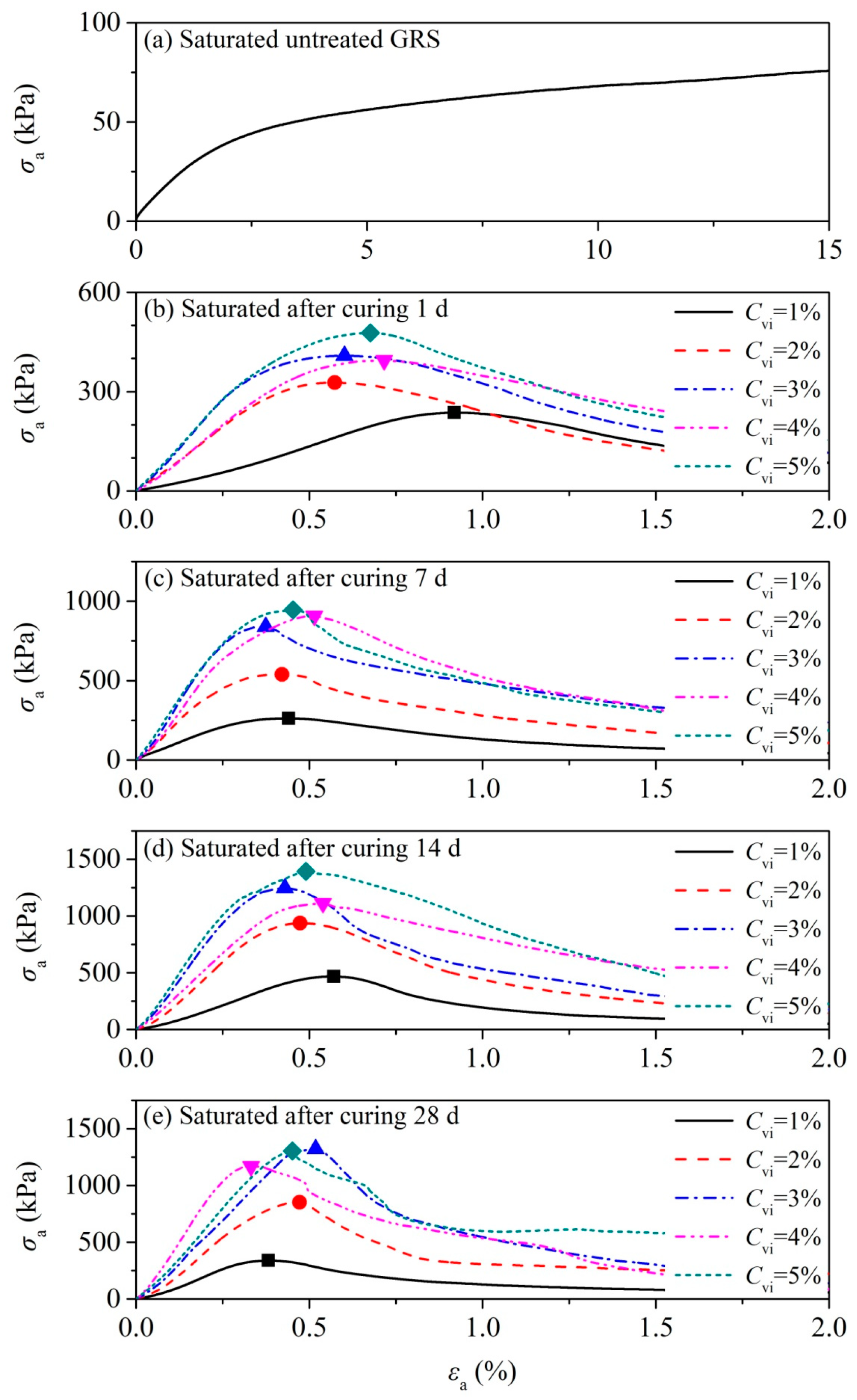
3.1. UCS and Secant Modulus
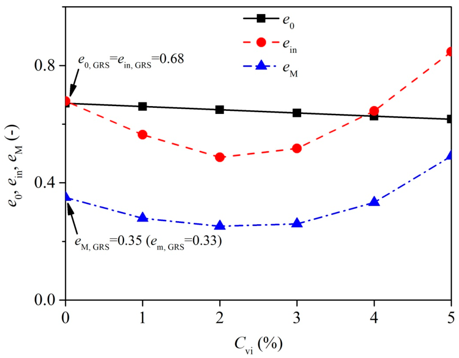
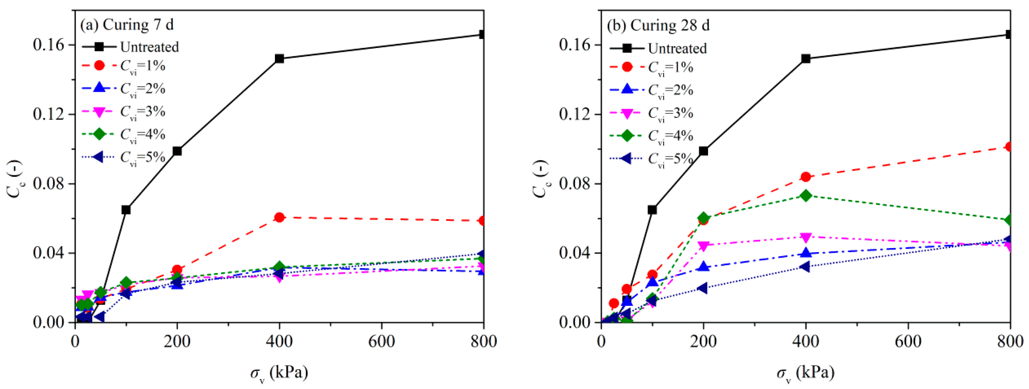
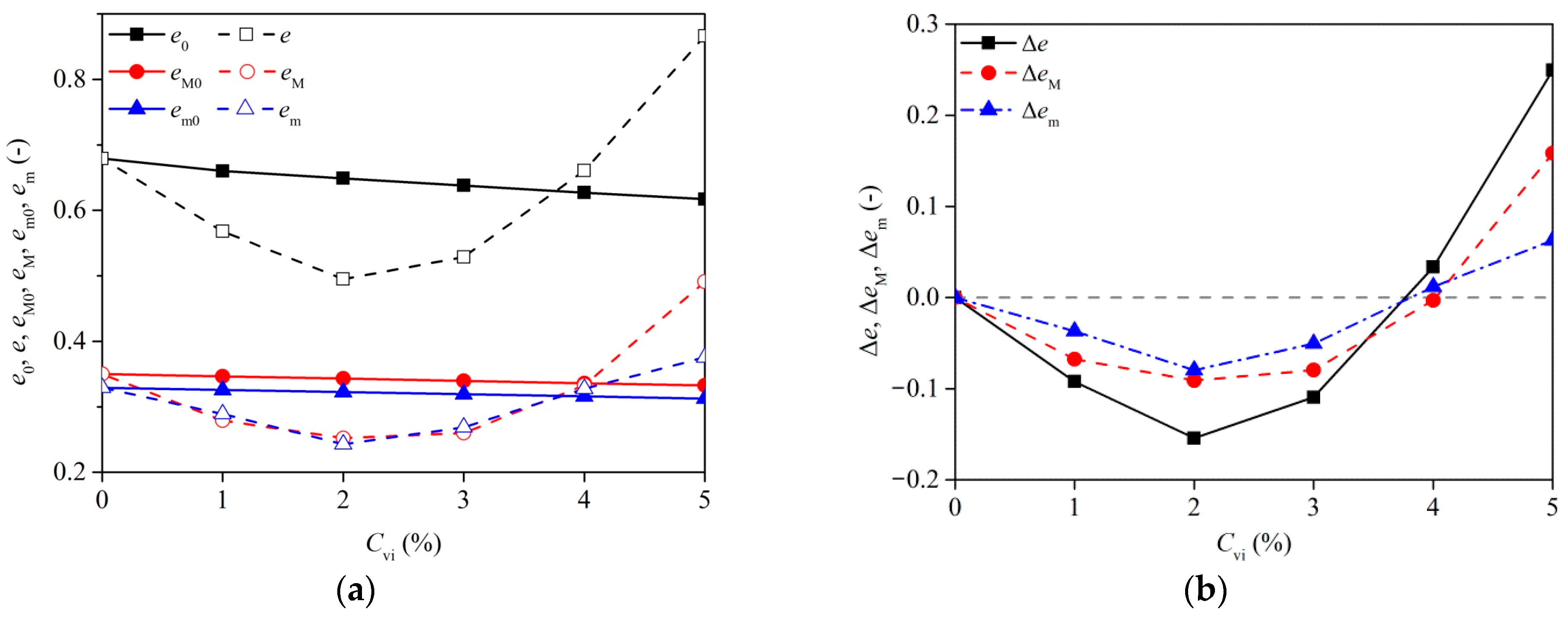
3.2. Compressibility and Vertical Yielding Pressure
3.3. Mineralogy and Microstructure
4. Discussion
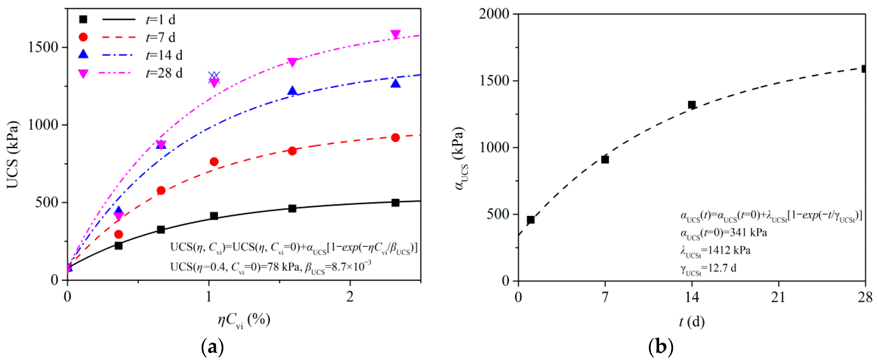
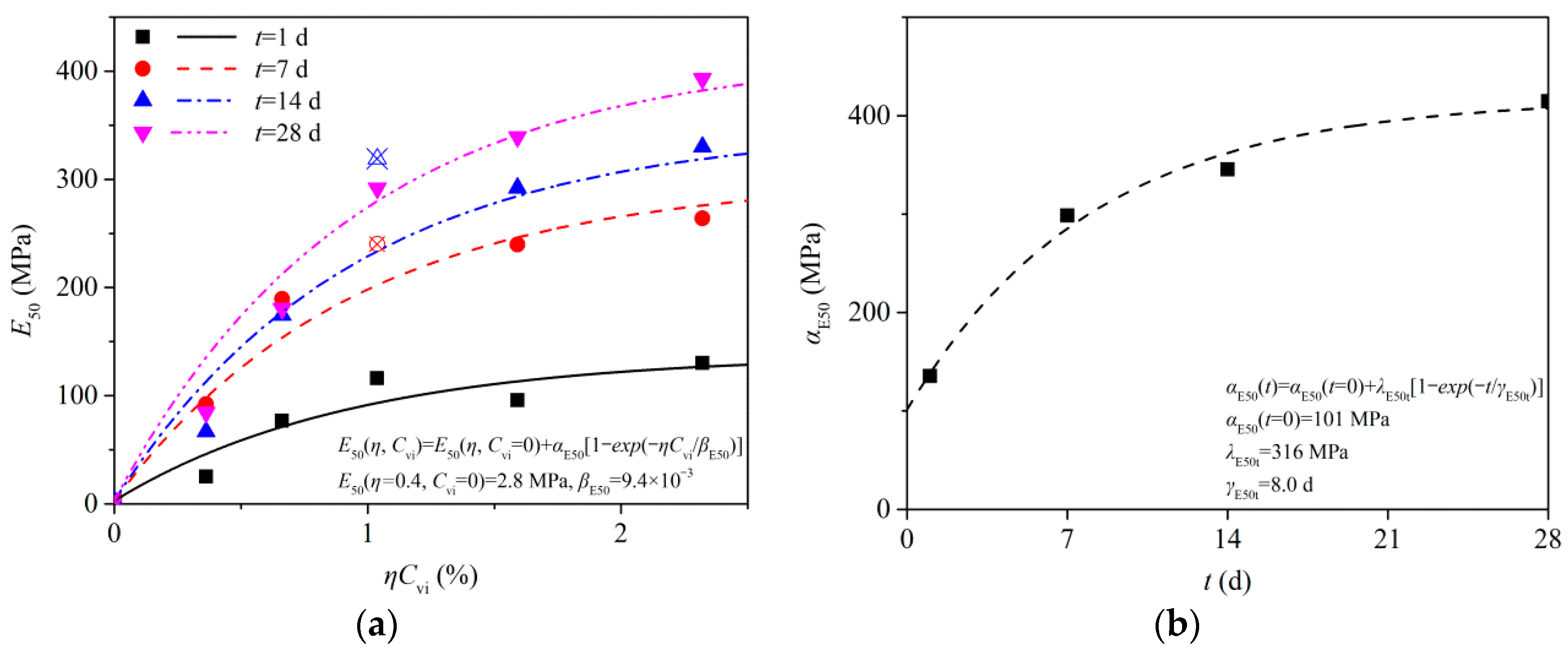
4.1. Prediction of UCS and Secant Modulus
4.2. Effect of Cement Treatment on Oedometric Compression Behaviour
4.3. Effect of Cement Treatment on Pore Structure
5. Conclusions
Author Contributions
Funding
Institutional Review Board Statement
Informed Consent Statement
Data Availability Statement
Conflicts of Interest
References
- Zhao, Y.; Sun, X.; Wen, T.; Chen, R.; Huang, L. Micro-structural evolution of granite residual soil under external loading based on X-ray micro-computed tomography. KSCE J. Civ. Eng. 2021, 25, 2836–2846. [Google Scholar] [CrossRef]
- Firoozi, A.A.; Olgun, C.G.; Firoozi, A.A.; Baghini, M.S. Fundamentals of soil stabilization. INT J. Geomech. 2017, 8, 26. [Google Scholar] [CrossRef]
- Smaida, A.; Mekerta, B.; Gueddouda, M.K. Physico-mechanical stabilization of a high swelling clay. Constr. Build. Mater. 2021, 289, 123197. [Google Scholar] [CrossRef]
- Feng, R.; Wu, L.; Liu, D.; Wang, Y.; Peng, B. Lime- and cement-treated sandy lean clay for highway subgrade in China. J. Mater. Civil Eng. 2020, 32, 4019335. [Google Scholar] [CrossRef]
- Khalid, U.; Liao, C.C.; Ye, G.; Yadav, S.K. Sustainable improvement of soft marine clay using low cement content: A multi-scale experimental investigation. Constr. Build. Mater. 2018, 191, 469–480. [Google Scholar] [CrossRef]
- Wu, J.; Liu, L.; Deng, Y.; Zhang, G.; Zhou, A.; Wang, Q. Distinguishing the effects of cementation versus density on the mechanical behavior of cement-based stabilized clays. Constr. Build. Mater. 2021, 271, 121571. [Google Scholar] [CrossRef]
- Croft, J.B. The influence of soil mineralogical composition on cement stabilization. Geotechnique 1967, 17, 119–135. [Google Scholar] [CrossRef]
- Williamson, S.; Cortes, D.D. Dimensional analysis of soil–cement mixture performance. Geotech. Lett. 2014, 4, 33–38. [Google Scholar] [CrossRef]
- Sasanian, S.; Newson, T.A. Basic parameters governing the behaviour of cement-treated clays. Soils Found. 2014, 54, 209–224. [Google Scholar] [CrossRef]
- Ho, T.; Chen, W.; Yin, J.; Wu, P.; Tsang, D.C.W. Stress-strain behaviour of cement-stabilized Hong Kong marine deposits. Constr. Build. Mater. 2021, 274, 122103. [Google Scholar] [CrossRef]
- Yao, K.; Xiao, H.; Chen, D.; Liu, Y. A direct assessment for the stiffness development of artificially cemented clay. Geotechnique 2019, 69, 741–747. [Google Scholar] [CrossRef]
- Nazari, Z.; Tabarsa, A.; Latifi, N. Effect of compaction delay on the strength and consolidation properties of cement-stabilized subgrade soil. Transp. Geotech. 2021, 27, 100495. [Google Scholar] [CrossRef]
- Wei, X.; Ku, T. New design chart for geotechnical ground improvement: Characterizing cement-stabilized sand. Acta Geotech. 2020, 15, 999–1011. [Google Scholar] [CrossRef]
- Choo, H.; Nam, H.; Lee, W. A practical method for estimating maximum shear modulus of cemented sands using unconfined compressive strength. J. Appl. Geophys. 2017, 147, 102–108. [Google Scholar] [CrossRef]
- Ling, J.; Lin, S.; Qian, J.; Zhang, J.; Han, B.; Liu, M. Continuous compaction control technology for granite residual subgrade compaction. J. Mater. Civil Eng. 2018, 30, 04018316. [Google Scholar] [CrossRef]
- Zhou, Y.H.; Wang, Y.H.; Qing, Q.X.; He, Q. Experimental study of long-term stability of improved granitic residual soil subgrade for high-speed railway. Rock Soil Mech. 2011, 32, 596–602. (In Chinese) [Google Scholar]
- Yi, W.; Wang, Y. An experimental study on engineering characteristics of improved weathered granite soil for a high-speed railway subgrade in south China. J. Test. Eval. 2017, 45, 20140358. [Google Scholar] [CrossRef]
- Zhou, Y.H.; Wang, Y.H.; Qing, Q.X.; He, Q. Experimental study of appropriateness of improved granitic residual soil for high-speed railway subgrade. Chin. J. Rock Mech. Eng. 2011, 30, 625–634. (In Chinese) [Google Scholar]
- Chamling, P.K.; Biswal, D.R.; Sahoo, U.C. Effect of moulding water content on strength characteristics of a cement-stabilized granular lateritic soil. Innov. Infrastruct. Solut. 2021, 6, 82. [Google Scholar] [CrossRef]
- MolaAbasi, H.; Naderi Semsani, S.; Saberian, M.; Khajeh, A.; Li, J.; Harandi, M. Evaluation of the long-term performance of stabilized sandy soil using binary mixtures: A micro- and macro-level approach. J. Clean. Prod. 2020, 267, 122209. [Google Scholar] [CrossRef]
- He, X.; Chen, Y.; Tan, X.; Wang, S.; Liu, L. Determining the water content and void ratio of cement-treated dredged soil from the hydration degree of cement. Eng. Geol. 2020, 279, 105892. [Google Scholar] [CrossRef]
- Pu, S.; Zhu, Z.; Song, W.; Wan, Y.; Wang, H.; Song, S.; Zhang, J. Mechanical and microscopic properties of cement stabilized silt. KSCE J. Civ. Eng. 2020, 24, 2333–2344. [Google Scholar] [CrossRef]
- Horpibulsuk, S.; Rachan, R.; Chinkulkijniwat, A.; Raksachon, Y.; Suddeepong, A. Analysis of strength development in cement-stabilized silty clay from microstructural considerations. Constr. Build. Mater. 2010, 24, 2011–2021. [Google Scholar] [CrossRef]
- Cardoso, R.; Ribeiro, D.; Néri, R. Bonding effect on the evolution with curing time of compressive and tensile strength of sand-cement mixtures. Soils Found. 2017, 57, 655–668. [Google Scholar] [CrossRef]
- Cardoso, R. Porosity and tortuosity influence on geophysical properties of an artificially cemented sand. Eng. Geol. 2016, 211, 198–207. [Google Scholar] [CrossRef]
- Ural, N. Effects of additives on the microstructure of clay. Road Mater. Pavement. 2015, 17, 104–119. [Google Scholar] [CrossRef]
- ASTM D422-63(2007)e2; Standard Test Method for Particle-Size Analysis of Soils. ASTM International: West Conchhocken, PA, USA, 2007.
- ASTM D854-14; Standard Test Methods for Specific Gravity of Soil Solids by Water Pycnometer. ASTM International: West Conchhocken, PA, USA, 2014.
- GB/T 50123-2019Standard for Geotechnical Testing Method; Ministry of Housing and Urban-Rural Development of the People’s Republic of China: Beijing, China, 2019.
- ASTM D698-12(2021); Standard Test Methods for Laboratory Compaction Characteristics of Soil Using Standard Effort. ASTM International: West Conchhocken, PA, USA, 2021.
- ASTM D2487-17e1; Standard Practice for Classification of Soils for Engineering Purposes (Unified Soil Classification System). ASTM International: West Conchhocken, PA, USA, 2017.
- Alonso, E.E.; Pinyol, N.M.; Gens, A. Compacted soil behaviour: Initial state, structure and constitutive modelling. Geotechnique 2013, 63, 463–478. [Google Scholar] [CrossRef]
- Romero, E. A microstructural insight into compacted clayey soils and their hydraulic properties. Eng. Geol. 2013, 165, 3–19. [Google Scholar] [CrossRef]
- GB 175-2007Common Portland Cement; China National Standardization Management Committee: Beijing, China, 2007.
- Ulusay, R.; Hudson, J.A. (Eds.) The Complete ISRM Suggested Methods for Rock Characterization, Testing and Monitoring: 1974–2006; International Society for Rock Mechanics: Ankara, Turkey, 2007. [Google Scholar]
- Casagrande, A. The determination of pre-consolidation load and its practical significance. In Proceedings of the 1st International Conference on Soil Mechanics and Foundation Engineering, Cambridge, MA, USA, 22–26 June 1936. [Google Scholar]
- Cui, Y.J.; Delage, P. Yielding and plastic behaviour of an unsaturated compacted silt. Geotechnique 1996, 46, 291–311. [Google Scholar] [CrossRef]
- Mutaz, E.; Dafalla, M.A. Chemical analysis and X-ray diffraction assessment of stabilized expansive soils. Bull. Eng. Geol. Environ. 2014, 73, 1063–1072. [Google Scholar] [CrossRef]
- Lemaire, K.; Deneele, D.; Bonnet, S.; Legret, M. Effects of lime and cement treatment on the physicochemical, microstructural and mechanical characteristics of a plastic silt. Eng. Geol. 2013, 166, 255–261. [Google Scholar] [CrossRef]
- Gates, W.P.; Bouazza, A. Bentonite transformations in strongly alkaline solutions. Geotext. Geomembr. 2010, 28, 219–225. [Google Scholar] [CrossRef]
- Diamond, S. Hydraulic Cement Pastes: Their Structure and Properties; Cement and Concrete Association: Slough, UK, 1976. [Google Scholar]
- Consoli, N.C.; Cruz, R.C.; Floss, M.F.; Festugato, L. Parameters controlling tensile and compressive strength of artificially cemented sand. J. Geotech. Geoenviron. 2010, 136, 759–763. [Google Scholar] [CrossRef]
- Consoli, N.C.; Dalla Rosa, A.; Corte, M.B.; Lopes, L.D.S.; Consoli, B.S. Porosity-cement ratio controlling strength of artificially cemented clays. J. Mater. Civil Eng. 2011, 23, 1249–1254. [Google Scholar] [CrossRef]
- Consoli, N.C.; Foppa, D. Porosity/cement ratio controlling initial bulk modulus and incremental yield stress of an artificially cemented soil cured under stress. Geotech Lett. 2014, 4, 22–26. [Google Scholar] [CrossRef]
- Horpibulsuk, S.; Rachan, R.; Suddeepong, A.; Liu, M.D.; Du, Y.J. Compressibility of lightweight cemented clays. Eng. Geol. 2013, 159, 59–66. [Google Scholar] [CrossRef]
- Rios, S.; Viana Da Fonseca, A.; Baudet, B.A. Effect of the porosity/cement ratio on the compression of cemented soil. J. Geotech. Geoenviron. 2012, 138, 1422–1426. [Google Scholar] [CrossRef]
- Kasama, K.; Zen, K.; Iwataki, K. Undrained shear strength of cement-treated soils. Soils Found. 2006, 46, 221–232. [Google Scholar] [CrossRef]
- Powers, T.C. Physical properties of cement paste. In Proceedings of the Fourth International Symposium on the Chemistry of Cement, Washington, DC, USA, 2–7 October 1960; pp. 577–609. [Google Scholar]























| Gs (-) | ωL (%) | ωP (%) | IP (-) | ωopt (%) | ρdmax (Mg/m3) |
|---|---|---|---|---|---|
| 2.64 | 53.5 | 30.7 | 22.8 | 18.8 | 1.58 |
| Cvi (%) | Cmi (%) | ω0 (%) | ρd0 (Mg/m3) | e0 (-) | η0 (-) | ρs (-) | Sr0 (%) |
|---|---|---|---|---|---|---|---|
| 0 | 0 | 18.8 | 1.580 | 0.671 | 0.402 | 2.640 | 74.0 |
| 1 | 1.94 | 18.4 | 1.595 | 0.660 | 0.398 | 2.648 | 74.0 |
| 2 | 3.85 | 18.1 | 1.610 | 0.649 | 0.393 | 2.655 | 74.0 |
| 3 | 5.72 | 17.7 | 1.626 | 0.638 | 0.389 | 2.663 | 74.0 |
| 4 | 7.56 | 17.4 | 1.641 | 0.627 | 0.385 | 2.670 | 74.0 |
| 5 | 9.36 | 17.0 | 1.656 | 0.617 | 0.381 | 2.677 | 74.0 |
| Test Types | Cvi (%) | t (d) |
|---|---|---|
| UCT | 0, 1, 2, 3, 4, 5 | 1, 7, 14, 28 |
| OCT | 0, 1, 2, 3, 4, 5 | 7, 28 |
| XRD, SEM, MIP | 0, 1, 2, 3, 4, 5 | 28 |
Publisher’s Note: MDPI stays neutral with regard to jurisdictional claims in published maps and institutional affiliations. |
© 2022 by the authors. Licensee MDPI, Basel, Switzerland. This article is an open access article distributed under the terms and conditions of the Creative Commons Attribution (CC BY) license (https://creativecommons.org/licenses/by/4.0/).
Share and Cite
Dong, X.; Bao, X.; Cui, H.; Xu, C.; Chen, X. Effects of Cement Treatment on Mechanical Properties and Microstructure of a Granite Residual Soil. Appl. Sci. 2022, 12, 12549. https://doi.org/10.3390/app122412549
Dong X, Bao X, Cui H, Xu C, Chen X. Effects of Cement Treatment on Mechanical Properties and Microstructure of a Granite Residual Soil. Applied Sciences. 2022; 12(24):12549. https://doi.org/10.3390/app122412549
Chicago/Turabian StyleDong, Xinxin, Xiaohua Bao, Hongzhi Cui, Changjie Xu, and Xiangsheng Chen. 2022. "Effects of Cement Treatment on Mechanical Properties and Microstructure of a Granite Residual Soil" Applied Sciences 12, no. 24: 12549. https://doi.org/10.3390/app122412549
APA StyleDong, X., Bao, X., Cui, H., Xu, C., & Chen, X. (2022). Effects of Cement Treatment on Mechanical Properties and Microstructure of a Granite Residual Soil. Applied Sciences, 12(24), 12549. https://doi.org/10.3390/app122412549

