Changes of Air Pollution between Countries Because of Lockdowns to Face COVID-19 Pandemic
Abstract
:1. Introduction
| Parameter | Region, Country | Variation in Air Pollutants |
|---|---|---|
| CO | Bogota, Colombia | 23–34% reduction [57] |
| Quito, Ecuador | 48.75% reduction [58] | |
| Beijing-Tianjin-Hebei, China | 20.40% reduction [59] | |
| Dhaka, Bangladesh | 8.8% reduction [60] | |
| Delhi, India | 30.35% reduction [61] | |
| Nagpur, India | 63% reduction [62] | |
| USA and China | 19.28–25.53% reduction in USA and China [63] | |
| Santiago, Chile | 13% reduction [64] | |
| NO2 | Bogota, Colombia | 13–22% reduction [57] |
| Delhi and Mumbai, India | 60–78% reduction for Delhi and Mumbai [65] | |
| Barcelona, Spain | 66% reduction [66] | |
| Quito, Ecuador | 63.98% reduction [58] | |
| China | 19.1 ± 9.4% reduction [67] | |
| Vietnam | 24–32% reduction [68] | |
| Nagpur, India | 69.2% reduction [69] | |
| Makkah, Saudi Arabia | 58.66% reduction [70] | |
| Beijing-Tianjin-Hebei, China | 37.80% reduction [59] | |
| Dhaka, Bangladesh | 20.4% reduction [60] | |
| Bangladesh | 40% reduction [25] | |
| United Kingdom | 38.3% reduction [71] | |
| Leeds, Sheffield, and Manchester, England | 37.13–55.54% reduction [27] | |
| Ankleshwar, Vapi and Gujarat, India | 80.18% reduction [72] | |
| Delhi, India | 52.68% reduction [61] | |
| Bengaluru (Bangalore), India | 87% reduction [62] | |
| USA and China | 36.7–38.98% reduction in USA and China [63] | |
| Rio de Janeiro and São Paulo, Brazil | 10–40% reduction [73] | |
| SO2 | Bogota, Colombia | 11–20% reduction [57] |
| Delhi and Mumbai, India | 19–39% reduction for Delhi and Mumbai [65] | |
| Quito, Ecuador | 45.76% reduction [58] | |
| Nagpur, India | 64.3% reduction [69] | |
| Dhaka, Bangladesh | 17.5% reduction [60] | |
| Bangladesh | 43% reduction [25] | |
| USA and China | 3.81% increase in the USA–18.36% reduction in China [63] | |
| O3 | Bogota, Colombia | 31.3–14.1% increase [57] |
| Barcelona, Spain | 27% increase [66] | |
| Quito, Ecuador | 26.54% increase [58] | |
| Makkah, Saudi Arabia | 68.67% increase [70] | |
| Morocco | 22–28% increase [74] | |
| Dhaka, Bangladesh | 9.7% reduction [60] | |
| Bangladesh | 7% increase [25] | |
| United Kingdom | 7.6% increase [71] | |
| Santiago, Chile | 63% increase [64] | |
| PM2.5 | Bogota, Colombia | 7–15% reduction [57] |
| Quito, Ecuador | 42.17% reduction [57] | |
| Jiangsu, China | 18% reduction from pre-COVID; 2% decrease post-COVID [75] | |
| Valencia, Spain | 3.1% increase [76] | |
| Toronto, Canada | 4% reduction [52] | |
| Beijing-Tianjin-Hebei, China | 21.50% reduction [59] | |
| Leeds, Sheffield, and Manchester, England | 29.93–40.26% reduction [27] | |
| New Delhi, Chennai, Kolkata, Mumbai, and Hyderabad, India | 62% reduction, followed by Mumbai (49%), Chennai (34%), and New Delhi 26% [77] | |
| Ahmedabad, India | 68% reduction [62] | |
| Santiago, Chile | 11% reduction [64] | |
| PM10 | Bogota, Colombia | 25–16% reduction [57] |
| Delhi and Mumbai, India | 55–44% reduction for Delhi and Mumbai [65] | |
| Jiangsu, China | 19% reduction from pre-COVID; 23% increase post-COVID [75] | |
| Barcelona, Spain | 37% reduction [66] | |
| Valencia, Spain | 16.5% reduction [76] | |
| Makkah, Saudi Arabia | 12% reduction [70] | |
| Beijing-Tianjin-Hebei, China | 33.60% reduction [59] | |
| Leeds, Sheffield, and Manchester, England | 2.36–19.02% reduction [27] | |
| Delhi, India | 71% reduction [62] |
2. Materials and Methods
2.1. Research Setting and Sample
- -
- China, India, Israel, Japan, and South Korea from the Asian geoeconomic region;
- -
- Croatia, Denmark, France, Germany, Macedonia, the Netherlands, Poland, Serbia, Spain, Turkey, and the United Kingdom from the European geoeconomic region;
- -
- Canada and the United States from the North American geoeconomic region;
- -
- Australia from the Oceanian geoeconomic region;
- -
- Brazil, Chile and Colombia from the South American geoeconomic region.
2.2. Measures and Sources of Data
2.3. Data Analysis Procedure
- ROCm = the monthly relative rate of change of pollutant concentration in month m
- x2019m = the pollutant concentration in the month m over 2019 year
- x(2015–2018)m = the baseline pollutant concentration in the month m from 2015 to 2018 period [79].
3. Results and Discussion
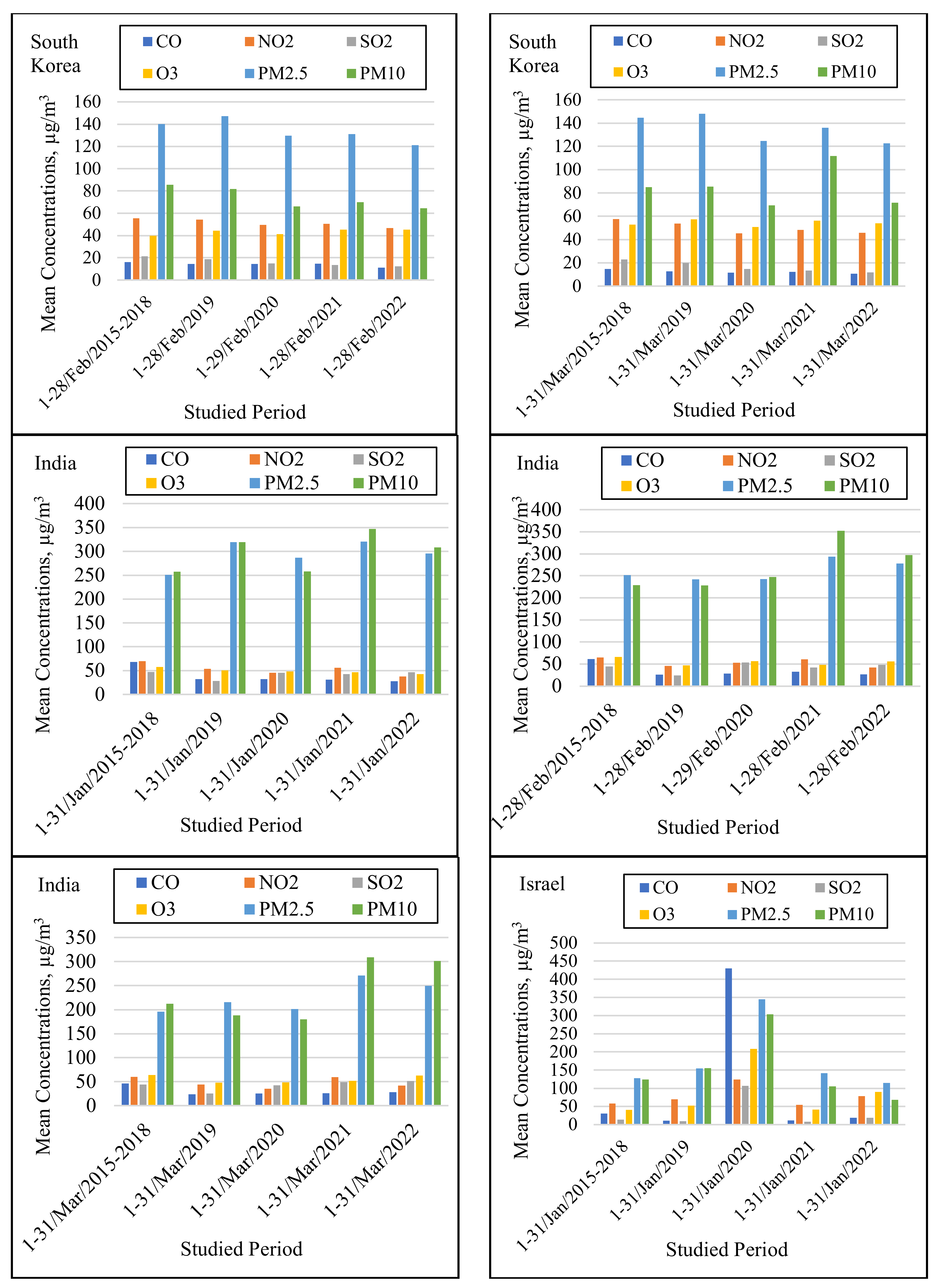
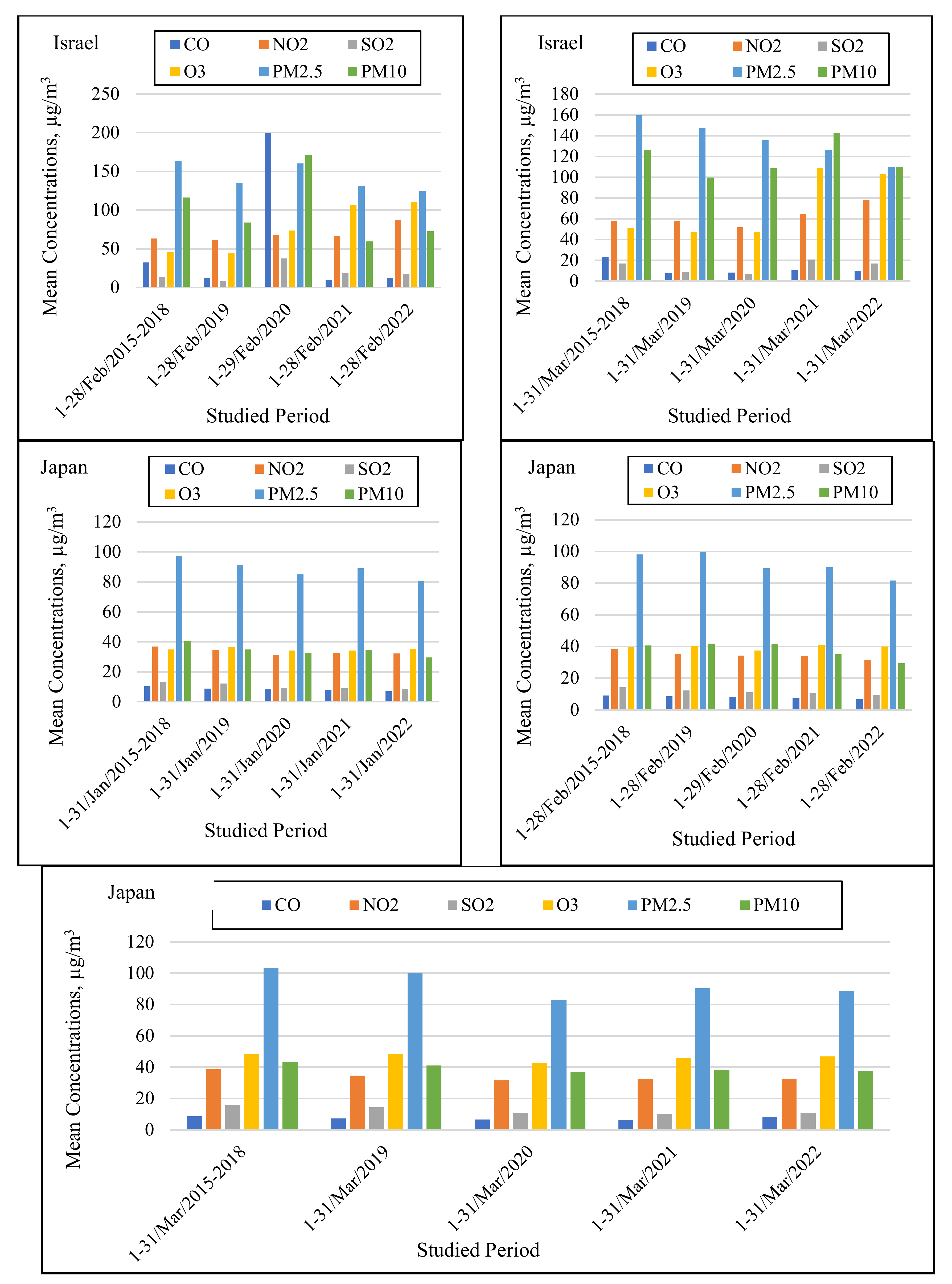
3.1. Asia Geoeconomic Region



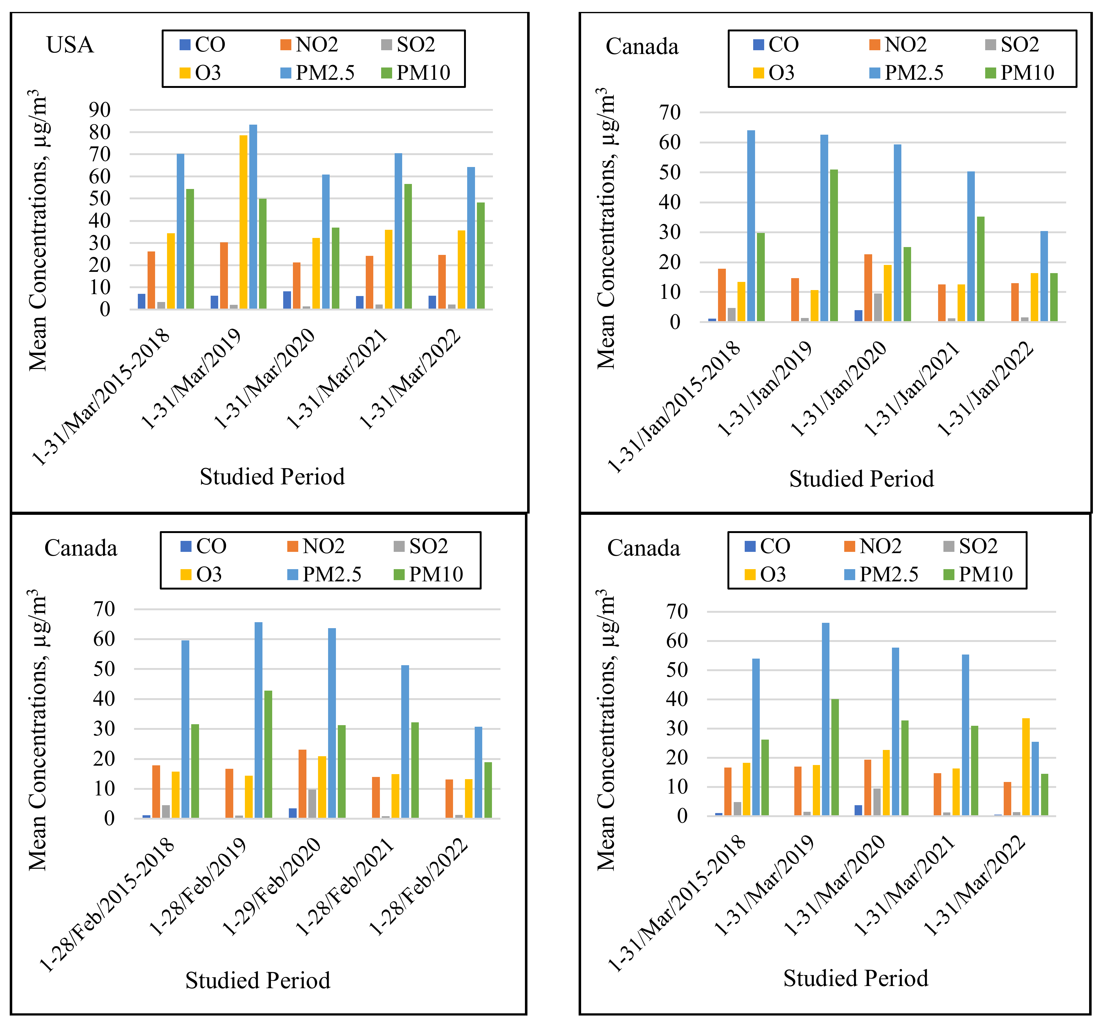
3.2. North America Region


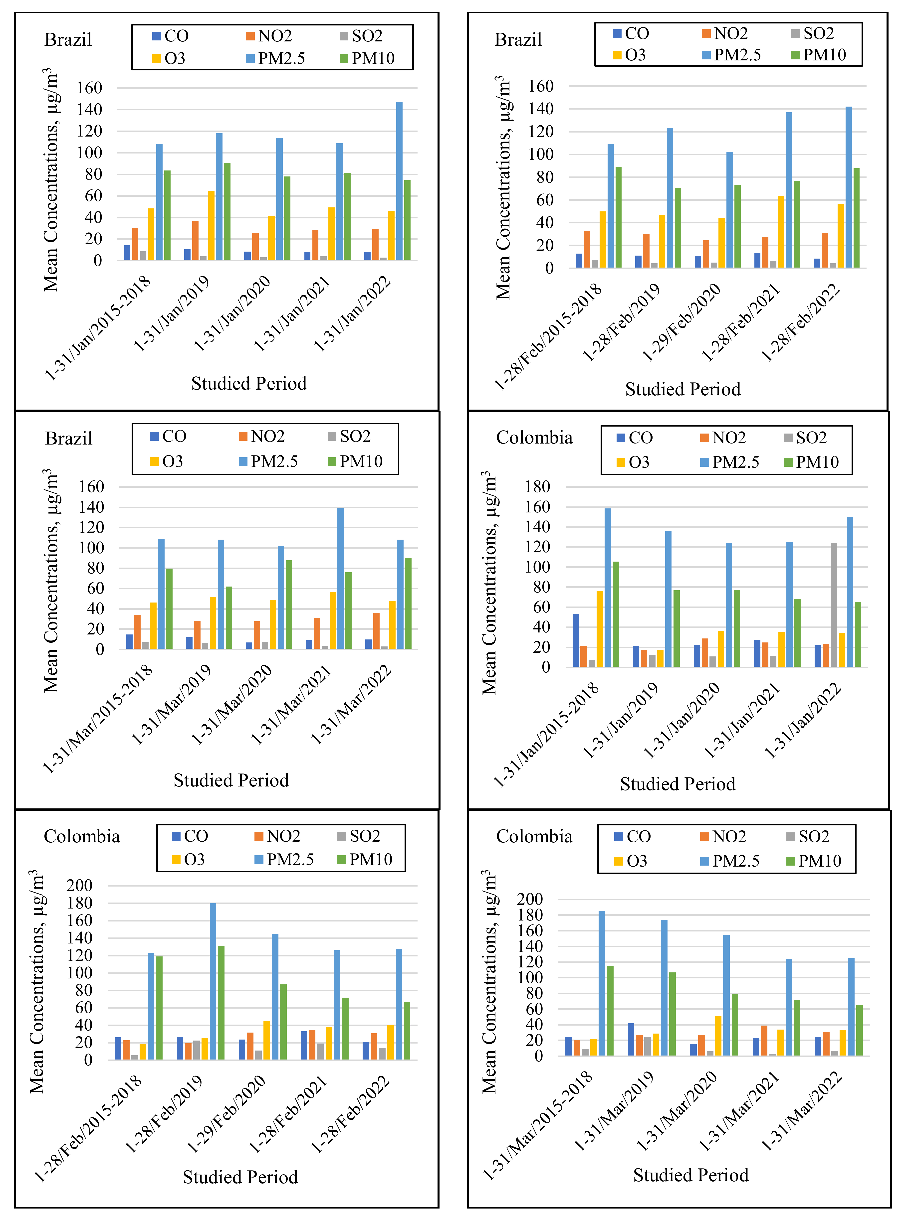
3.3. South America Region


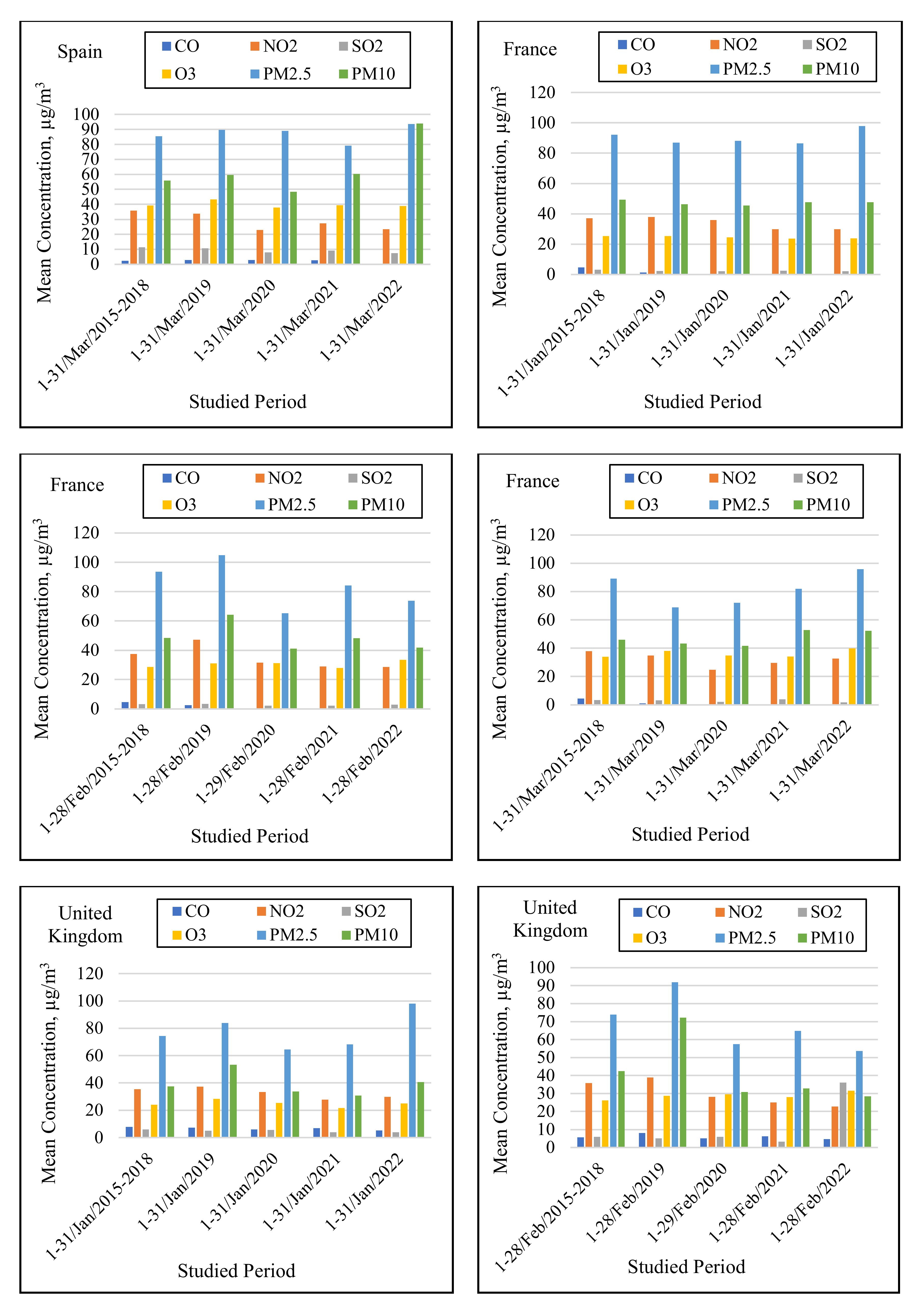
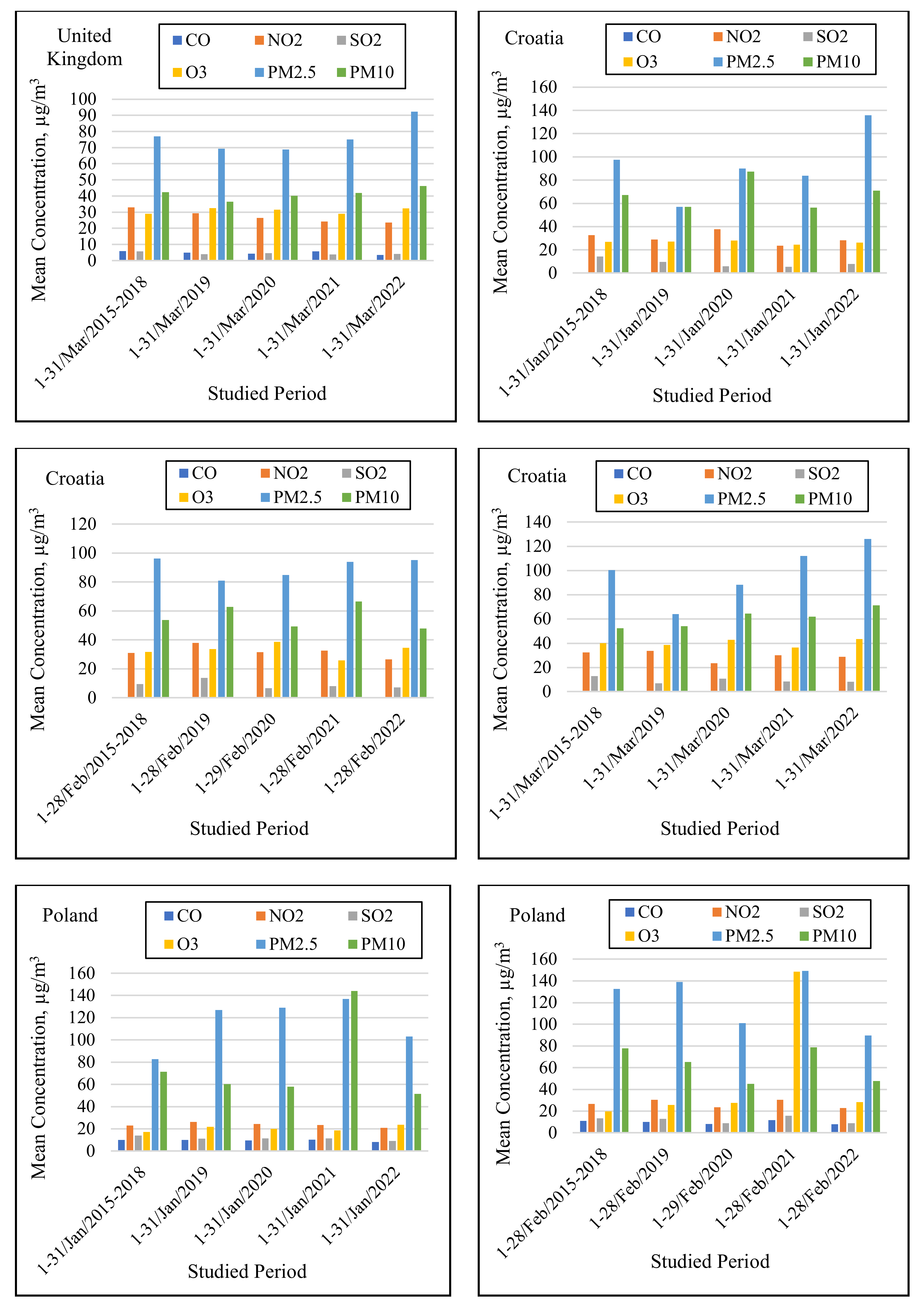
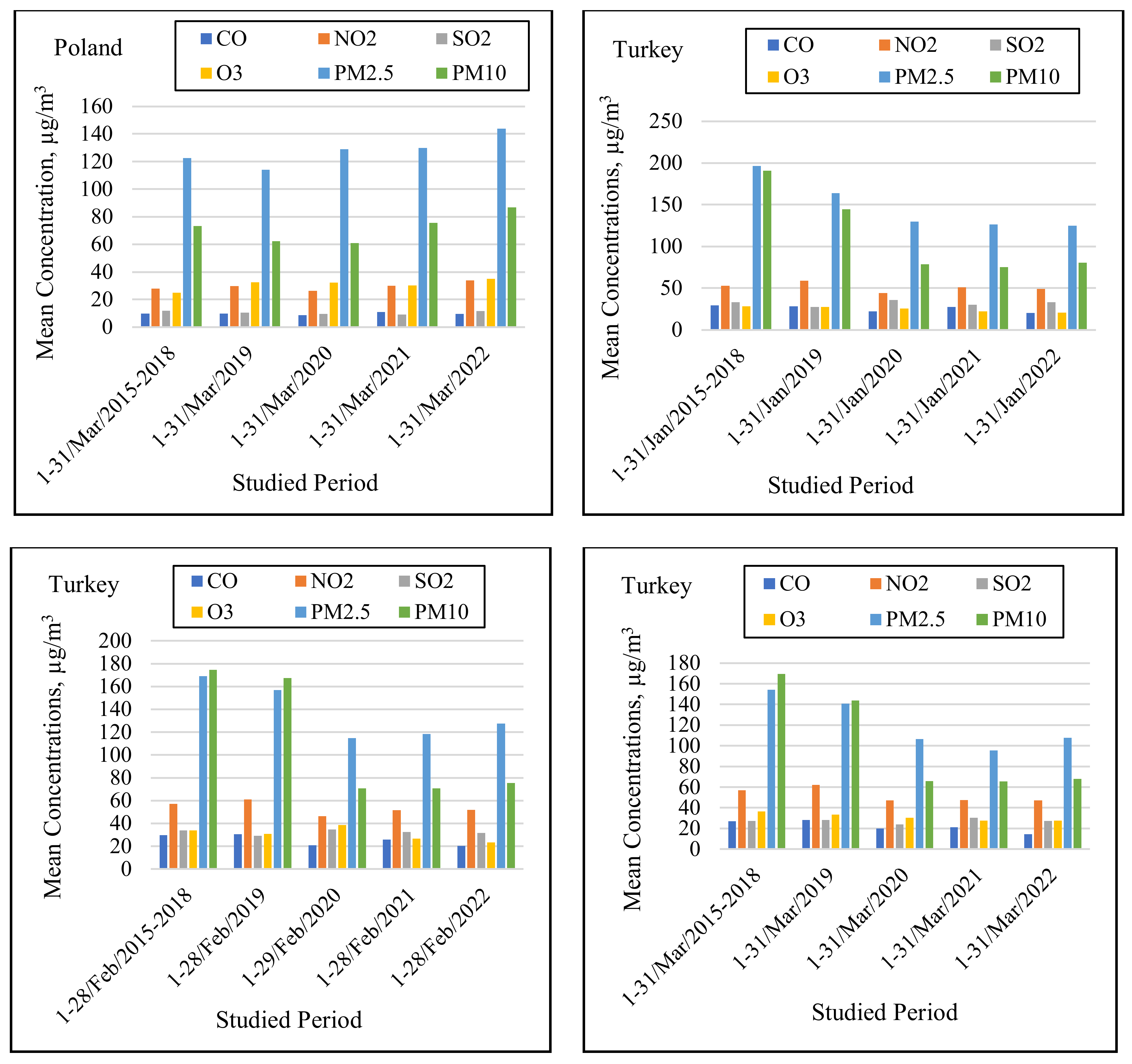
3.4. Europe





3.5. Oceania

3.6. General Observations
4. Concluding Remarks
Supplementary Materials
Author Contributions
Funding
Institutional Review Board Statement
Informed Consent Statement
Data Availability Statement
Conflicts of Interest
References
- Coccia, M. Factors determining the diffusion of COVID-19 and suggested strategy to prevent future accelerated viral infectivity similar to COVID. Sci. Total Environ. 2020, 1, 138474. [Google Scholar] [CrossRef] [PubMed]
- Coccia, M. Meta-analysis to explain unknown causes of the origins of SARS-CoV-2. Environ. Res. 2022, 111, 113062. [Google Scholar] [CrossRef] [PubMed]
- Skirienė, A.F.; Stasiškienė, Ž. COVID-19 and air pollution: Measuring pandemic impact to air quality in five European countries. Atmosphere 2021, 12, 290. [Google Scholar] [CrossRef]
- Akhtar, R. Coronavirus (COVID-19) Outbreaks, Vaccination, Politics and Society: The Continuing Challenge, 1st ed.; Springer International Publishing: Cham, Switzerland, 2022; pp. 1–14. [Google Scholar] [CrossRef]
- Benati, I.; Coccia, M. Global analysis of timely COVID-19 vaccinations: Improving governance to reinforce response policies for pandemic crises. Int. J. Health Gov. 2022, 27, 240–253. [Google Scholar] [CrossRef]
- Coccia, M. COVID-19 Vaccination is not a Sufficient Public Policy to face Crisis Management of next Pandemic Threats. Public Organ. Rev. 2022, 6, 661. [Google Scholar] [CrossRef]
- Coccia, M. Improving preparedness for next pandemics: Max level of COVID-19 vaccinations without social impositions to design effective health policy and avoid flawed democracies. Environ. Res. 2022, 213, 113566. [Google Scholar] [CrossRef]
- Coccia, M. Optimal levels of vaccination to reduce COVID-19 infected individuals and deaths: A global analysis. Environ. Res. 2022, 204 Pt C, 112314. [Google Scholar] [CrossRef]
- Magazzino, C.; Mele, M.; Coccia, M. A machine learning algorithm to analyze the effects of vaccination on COVID-19 mortality. Epidemiol. Infect. 2022, 150, e168. [Google Scholar] [CrossRef]
- Bontempi, E.; Coccia, M.; Vergalli, S.; Zanoletti, A. Can commercial trade represent the main indicator of the COVID-19 diffusion due to human-to-human interactions? A comparative analysis between Italy, France, and Spain. Environ. Res. 2021, 201, 111529. [Google Scholar] [CrossRef]
- Bontempi, E.; Coccia, M. International trade as critical parameter of COVID-19 spread that outclasses demographic, economic, environmental, and pollution factors. Environ. Res. 2021, 201, 111514. [Google Scholar] [CrossRef]
- Chowdhury, T.; Chowdhury, H.; Bontempi, E.; Coccia, M.; Masrur, H.; Sait, S.M.; Senjyu, T. Are mega-events super spreaders of infectious diseases similar to COVID-19? A look into Tokyo 2020 Olympics and Paralympics to improve preparedness of next international events. Environ. Sci. Pollut. Res. 2022, 2, 660. [Google Scholar] [CrossRef] [PubMed]
- Coccia, M. How (Un)sustainable Environments are Related to the Diffusion of COVID-19: The Relation between Coronavirus Disease 2019, Air Pollution, Wind Resource and Energy. Sustainability 2020, 12, 9709. [Google Scholar] [CrossRef]
- Coccia, M. High health expenditures and low exposure of population to air pollution as critical factors that can reduce fatality rate in COVID-19 pandemic crisis: A global analysis. Environ. Res. 2021, 199, 111339. [Google Scholar] [CrossRef] [PubMed]
- Coccia, M. The impact of first and second wave of the COVID-19 pandemic: Comparative analysis to support control measures to cope with negative effects of future infectious diseases in society. Environ. Res. 2021, 197, 111099. [Google Scholar] [CrossRef] [PubMed]
- Coccia, M. How do low wind speeds and high levels of air pollution support the spread of COVID-19? Atmos. Pollut. Res. 2021, 12, 437–445. [Google Scholar] [CrossRef]
- Núñez-Delgado, A.; Bontempi, E.; Coccia, M.; Kumar, M.; Farkas, K.; Domingo, J.L. SARS-CoV-2 and other pathogenic microorganisms in the environment. Environ. Res. 2021, 201, 111606. [Google Scholar] [CrossRef]
- Balamurugan, V.; Chen, J.; Qu, Z.; Bi, X.; Gensheimer, J.; Shekhar, A.; Shrutilipi, K.; Keutsch, F.N. Tropospheric NO2 and O3 response to COVID-19 lockdown restrictions at the national and urban scales in Germany. J. Geophys. Res. Atmos. 2021, 126, 862. [Google Scholar] [CrossRef]
- Coccia, M. The relation between length of lockdown, numbers of infected people and deaths of COVID-19, and economic growth of countries: Lessons learned to cope with future pandemics similar to COVID-19. Sci. Total Environ. 2021, 775, 145801. [Google Scholar] [CrossRef]
- Coccia, M. Comparative Critical Decisions in Management. In Global Encyclopedia of Public Administration, Public Policy, and Governance; Farazmand, A., Ed.; Springer International Publishing: Cham, Switzerland, 2021. [Google Scholar] [CrossRef]
- Coccia, M. Pandemic Prevention: Lessons from COVID-19. Encyclopedia 2021, 1, 433–444. [Google Scholar] [CrossRef]
- Coccia, M. COVID-19 pandemic over 2020 (with lockdowns) and 2021 (with vaccinations): Similar effects for seasonality and environmental factors. Environ. Res. 2022, 208, 112711. [Google Scholar] [CrossRef]
- Coccia, M. Effects of strict containment policies on COVID-19 pandemic crisis: Lessons to cope with next pandemic impacts. Environ. Sci. Pollut. Res. 2022, 2, 24. [Google Scholar] [CrossRef] [PubMed]
- Anil, I.; Alagha, O. The impact of COVID-19 lockdown on the air quality of Eastern Province, Saudi Arabia. Air Qual. Atmos. Health 2021, 14, 117–128. [Google Scholar] [CrossRef] [PubMed]
- Islam, M.S.; Tusher, T.R.; Roy, S.; Rahman, M. Impacts of nationwide lockdown due to COVID-19 outbreak on air quality in Bangladesh: A spatiotemporal analysis. Air Qual. Atmos. Health 2021, 14, 351–363. [Google Scholar] [CrossRef] [PubMed]
- Le, V.V.; Huynh, T.T.; Ölçer, A.; Hoang, A.T.; Le, A.T.; Nayak, S.K.; Pham, V.V. A remarkable review of the effect of lockdowns during COVID-19 pandemic on global PM emissions. Energy Sources A Recovery Util. Environ. Eff. 2020, 2, 1–16. [Google Scholar] [CrossRef]
- Munir, S.; Coskuner, G.; Jassim, M.S.; Aina, Y.A.; Ali, A.; Mayfield, M. Changes in air quality associated with mobility trends and meteorological conditions during COVID-19 lockdown in Northern England, UK. Atmosphere 2021, 12, 504. [Google Scholar] [CrossRef]
- Mor, S.; Kumar, S.; Singh, T.; Dogra, S.; Pandey, V.; Ravindra, K. Impact of COVID-19 lockdown on air quality in Chandigarh, India: Understanding the emission sources during controlled anthropogenic activities. Chemosphere 2021, 263, 127978. [Google Scholar] [CrossRef]
- Srivastava, A. COVID-19 and air pollution and meteorology-an intricate relationship: A review. Chemosphere 2021, 263, 128297. [Google Scholar] [CrossRef]
- Li, L.; Li, Q.; Huang, L.; Wang, Q.; Zhu, A.; Xu, J.; Liu, Z.; Li, H.; Shi, L.; Li, R.; et al. Air quality changes during the COVID-19 lockdown over the Yangtze River Delta Region: An insight into the impact of human activity pattern changes on air pollution variation. Sci. Total Environ. 2020, 732, 139282. [Google Scholar] [CrossRef]
- Sannino, A.; D’Emilio, M.; Castellano, P.; Amoruso, S.; Boselli, A. Analysis of air quality during the COVID-19 pandemic lockdown in Naples (Italy). Aerosol Air Qual. Res. 2021, 21, 200381. [Google Scholar] [CrossRef]
- Benchrif, A.; Wheida, A.; Tahri, M.; Shubbar, R.M.; Biswas, B. Air quality during three COVID-19 lockdown phases: AQI, PM2.5 and NO2 assessment in cities with more than 1 million inhabitants. Sustain. Cities Soc. 2021, 74, 103170. [Google Scholar] [CrossRef]
- Bray, C.D.; Nahas, A.; Battye, W.H.; Aneja, V.P. Impact of lockdown during the COVID-19 outbreak on multi-scale air quality. Atmos. Environ. 2021, 254, 118386. [Google Scholar] [CrossRef] [PubMed]
- Donzelli, G.; Cioni, L.; Cancellieri, M.; Llopis-Morales, A.; Morales-Suárez-Varela, M. Relations between air quality and COVID-19 lockdown measures in Valencia, Spain. Int. J. Environ. Res. Public Health 2021, 18, 2296. [Google Scholar] [CrossRef] [PubMed]
- Filonchyk, M.; Hurynovich, V.; Yan, H. Impact of COVID-19 lockdown on air quality in the Poland, Eastern Europe. Environ. Res. 2021, 198, 110454. [Google Scholar] [CrossRef] [PubMed]
- Lonati, G.; Riva, F. Regional Scale Impact of the COVID-19 lockdown on air quality: Gaseous pollutants in the Po Valley, Northern Italy. Atmosphere 2021, 12, 264. [Google Scholar] [CrossRef]
- Clemente, Á.; Yubero, E.; Nicolás, J.F.; Caballero, S.; Crespo, J.; Galindo, N. Changes in the concentration and composition of urban aerosols during the COVID-19 lockdown. Environ. Res. 2022, 203, 111788. [Google Scholar] [CrossRef]
- Cucciniello, R.; Raia, L.; Vasca, E. Air quality evaluation during COVID-19 in Southern Italy: The case study of Avellino city. Environ. Res. 2022, 203, 111803. [Google Scholar] [CrossRef]
- Himat, A. COVID-19 Lock-down and Air Quality Enhancement in Kabul. Int. J. Environ. Pollut. Environ. Model. 2021, 4, 95–106. Available online: https://dergipark.org.tr/en/download/article-file/1996318 (accessed on 20 August 2022).
- Kutralam-Muniasamy, G.; Pérez-Guevara, F.; Roy, P.D.; Elizalde-Martínez, I.; Shruti, V.C. Impacts of the COVID-19 lockdown on air quality and its association with human mortality trends in megapolis Mexico City. Air Qual. Atmos. Health 2021, 14, 553–562. [Google Scholar] [CrossRef]
- Chowdhuri, I.; Pal, S.C.; Arabameri, A.; Ngo, P.T.T.; Roy, P.; Saha, A.; Ghosh, M.; Chakrabortty, R. Have any effect of COVID-19 lockdown on environmental sustainability? A study from most polluted metropolitan area of India. Stoch. Environ. Res. Risk Assess. 2022, 36, 283–295. [Google Scholar] [CrossRef]
- Das, P.; Mandal, I.; Pal, S.; Mahato, S.; Talukdar, S.; Debanshi, S. Comparing air quality during nationwide and regional lockdown in Mumbai Metropolitan City of India. Geocarto Int. 2022, 4, 1–24. [Google Scholar] [CrossRef]
- Pal, S.C.; Chowdhuri, I.; Saha, A.; Ghosh, M.; Roy, P.; Das, B.; Chakrabortty, R.; Shit, M. COVID-19 strict lockdown impact on urban air quality and atmospheric temperature in four megacities of India. Geosci. Front. 2022, 1, 101368. [Google Scholar] [CrossRef]
- Sathe, Y.; Gupta, P.; Bawase, M.; Lamsal, L.; Patadia, F.; Thipse, S. Surface and satellite observations of air pollution in India during COVID-19 lockdown: Implication to air quality. Sustain. Cities Soc. 2021, 66, 102688. [Google Scholar] [CrossRef] [PubMed]
- Wetchayont, P.; Hayasaka, T.; Khatri, P. Air quality improvement during COVID-19 lockdown in Bangkok metropolitan, Thailand: Effect of the long-range transport of air pollutants. Aerosol Air Qual. Res. 2021, 21, 200662. [Google Scholar] [CrossRef]
- Jakob, A.; Hasibuan, S.; Fiantis, D. Empirical evidence shows that air quality changes during COVID-19 pandemic lockdown in Jakarta, Indonesia are due to seasonal variation, not restricted movements. Environ. Res. 2022, 208, 112391. [Google Scholar] [CrossRef] [PubMed]
- Upadhyay, A.; Mahapatra, P.S.; Singh, P.K.; Dahal, S.; Pokhrel, S.; Bhujel, A.; Joshi, I.B.; Paudel, S.P.; Puppala, S.P.; Adhikary, B. Learnings from COVID-19 Forced Lockdown on Regional Air Quality and Mitigation Potential for South Asia. Aerosol Air Qual. Res. 2022, 22, 210376. [Google Scholar] [CrossRef]
- Gao, M.; Yang, H.; Xiao, Q.; Goh, M. COVID-19 lockdowns and air quality: Evidence from grey spatiotemporal forecasts. Soc. Econ. Plan. Sci. 2022, 1, 101228. [Google Scholar] [CrossRef]
- Celik, E.; Gul, M. How COVID-19 pandemic and partial lockdown decisions affect air quality of a city? The case of Istanbul, Turkey. Environ. Dev. Sustain. 2022, 24, 1616–1654. [Google Scholar] [CrossRef]
- Alharbi, B.H.; Alhazmi, H.A.; Aldhafeeri, Z.M. Air Quality of Work, Residential, and Traffic Areas during the COVID-19 Lockdown with Insights to Improve Air Quality. Int. J. Environ. Res. Public Health 2022, 19, 727. [Google Scholar] [CrossRef]
- Sbai, S.E.; Mejjad, N.; Norelyaqine, A.; Bentayeb, F. Air quality change during the COVID-19 pandemic lockdown over the Auvergne-Rhône-Alpes region, France. Air Qual. Atmos. Health 2021, 14, 617–628. [Google Scholar] [CrossRef]
- Jeong, C.H.; Yousif, M.; Evans, G.J. Impact of the COVID-19 lockdown on the chemical composition and sources of urban PM2.5. Environ. Pollut. 2022, 292, 118417. [Google Scholar] [CrossRef]
- Gorrochategui, E.; Hernandez, I.; Pérez-Gabucio, E.; Lacorte, S.; Tauler, R. Temporal air quality (NO2, O3, and PM10) changes in urban and rural stations in Catalonia during COVID-19 lockdown: An association with human mobility and satellite data. Environ. Sci. Pollut. Res. 2022, 29, 18905–18922. [Google Scholar] [CrossRef] [PubMed]
- Gillingham, K.T.; Knittel, C.R.; Li, J.; Ovaere, M.; Reguant, M. The Short-run and Long-run Effects of COVID-19 on Energy and the Environment. Joule 2020, 4, 1337–1341. [Google Scholar] [CrossRef] [PubMed]
- Liu, Z.; Ciais, P.; Deng, Z.; Lei, R.; Davis, S.J.; Feng, S.; Zheng, B.; Cui, D.; Dou, X.; Zhu, B.; et al. Near-real-time monitoring of global CO2 emissions reveals the effects of the COVID-19 pandemic. Nat. Commun. 2020, 11, 5172. [Google Scholar] [CrossRef] [PubMed]
- Kumar, A.; Singh, P.; Raizada, P.; Hussain, C.M. Impact of COVID-19 on greenhouse gases emissions: A critical review. Sci. Total Environ. 2022, 806, 150349. [Google Scholar] [CrossRef]
- Amaya, D.P.; Samuel, S. Assessment of the Impact of Vehicle Emissions on Air Quality Changes during COVID-19 Lockdown in Bogota, Colombia, 2022; No. 2022-01-0583 SAE Technical Paper; SAE International: Warrendale, PA, USA, 2022. [Google Scholar]
- Phuong Ngoc, C.; Zalakeviciute, R.; Thomas, I.; Rybarczyk, Y. Deep Learning Approach for Assessing Air Quality During COVID-19 Lockdown in Quito. Front. Big Data 2022, 5, 2455. [Google Scholar] [CrossRef]
- Wang, J.; Xu, X.; Wang, S.; He, S.; He, P. Heterogeneous effects of COVID-19 lockdown measures on air quality in Northern China. Appl. Energy 2021, 282, 116179. [Google Scholar] [CrossRef]
- Rahman, M.S.; Azad, M.A.K.; Hasanuzzaman, M.; Salam, R.; Islam, A.R.M.T.; Rahman, M.M.; Hoque, M.M.M. How air quality and COVID-19 transmission change under different lockdown scenarios? A case from Dhaka city, Bangladesh. Sci. Total Environ. 2021, 762, 143161. [Google Scholar] [CrossRef]
- Mahato, S.; Pal, S.; Ghosh, K.G. Effect of lockdown amid COVID-19 pandemic on air quality of the megacity Delhi, India. Sci. Total Environ. 2020, 730, 139086. [Google Scholar] [CrossRef]
- Navinya, C.; Patidar, G.; Phuleria, H.C. Examining effects of the COVID-19 national lockdown on ambient air quality across urban India. Aerosol Air Qual. Res. 2020, 20, 1759–1771. [Google Scholar] [CrossRef]
- Shakoor, A.; Chen, X.; Farooq, T.H.; Shahzad, U.; Ashraf, F.; Rehman, A.; Yan, W. Fluctuations in environmental pollutants and air quality during the lockdown in the USA and China: Two sides of COVID-19 pandemic. Air Qual. Atmos. Health 2020, 13, 1335–1342. [Google Scholar] [CrossRef]
- Toro, R.; Catalán, F.; Urdanivia, F.R.; Rojas, J.P.; Manzano, C.A.; Seguel, R.; Gallardo, L.; Osses, M.; Pantoja, N.; Leiva-Guzman, M.A. Air pollution and COVID-19 lockdown in a large South American city: Santiago Metropolitan Area, Chile. Urban Climate 2021, 36, 100803. [Google Scholar] [CrossRef]
- Kumari, P.; Toshniwal, D. Impact of lockdown measures during COVID-19 on air quality–A case study of India. Int. J. Environ. Health Res. 2022, 32, 503–510. [Google Scholar] [CrossRef] [PubMed]
- García-Dalmau, M.; Udina, M.; Bech, J.; Sola, Y.; Montolio, J.; Jaén, C. Pollutant concentration changes during the COVID-19 lockdown in Barcelona and surrounding regions: Modification of diurnal cycles and limited role of meteorological conditions. Bound. Layer Meteorol. 2022, 183, 273–294. [Google Scholar] [CrossRef] [PubMed]
- Wu, Q.; Li, T.; Zhang, S.; Fu, J.; Seyler, B.C.; Zhou, Z.; Deng, X.; Wang, B.; Zhan, Y. Evaluation of Nox emissions before, during, and after the COVID-19 lockdowns in China: A comparison of meteorological normalization methods. Atmos. Environ. 2022, 1, 119083. [Google Scholar] [CrossRef]
- Dang, H.A.; Trinh, T.A. The beneficial impacts of COVID-19 lockdowns on air pollution: Evidence from Vietnam. J. Dev. Stud. 2022, 1, 1319. [Google Scholar] [CrossRef]
- Saini, D.; Darla, U.R.; Lataye, D.H.; Motghare, V.M.; Ravendiran, E. Impact of Lockdown on Ambient Air Quality in Nagpur Due to COVID-19 Pandemic. In Recent Advancements in Civil Engineering; Springer: Singapore, 2022; pp. 505–516. [Google Scholar]
- Habeebullah, T.M.; Munir, S.; Zeb, J.; Morsy, E.A. Modelling the Effect of COVID-19 Lockdown on Air Pollution in Makkah Saudi Arabia with a Supervised Machine Learning Approach. Toxics 2022, 10, 225. [Google Scholar] [CrossRef]
- Jephcote, C.; Hansell, A.L.; Adams, K.; Gulliver, J. Changes in air quality during COVID-19′ lockdown’in the United Kingdom. Environ. Pollut. 2021, 272, 116011. [Google Scholar] [CrossRef]
- Nigam, R.; Pandya, K.; Luis, A.J.; Sengupta, R.; Kotha, M. Positive effects of COVID-19 lockdown on air quality of industrial cities (Ankleshwar and Vapi) of Western India. Sci. Rep. 2021, 11, 4285. [Google Scholar] [CrossRef]
- Siciliano, B.; Carvalho, G.; da Silva, C.M.; Arbilla, G. The impact of COVID-19 partial lockdown on primary pollutant concentrations in the atmosphere of Rio de Janeiro and São Paulo Megacities (Brazil). Bull. Environ. Contam. Toxicol. 2020, 105, 2–8. [Google Scholar] [CrossRef]
- Sbai, S.E.; Bentayeb, F.; Yin, H. Atmospheric pollutants response to the emission reduction and meteorology during the COVID-19 lockdown in the north of Africa (Morocco). Stoch. Environ. Res. Risk Assess. 2022, 36, 3769–3784. [Google Scholar] [CrossRef]
- Bhatti, U.A.; Zeeshan, Z.; Nizamani, M.M.; Bazai, S.; Yu, Z.; Yuan, L. Assessing the change of ambient air quality patterns in Jiangsu Province of China pre- to post-COVID-19. Chemosphere 2022, 288, 132569. [Google Scholar] [CrossRef] [PubMed]
- Ródenas, M.; Soler, R.; Borrás, E.; Vera, T.; Diéguez, J.J.; Muñoz, A. Assessment of COVID-19 Lockdown Impact on the Air Quality in Eastern Spain: PM and BTX in Urban, Suburban and Rural Sites Exposed to Different Emissions. Atmosphere 2022, 13, 97. [Google Scholar] [CrossRef]
- Ravindra, K.; Singh, T.; Biswal, A.; Singh, V.; Mor, S. Impact of COVID-19 lockdown on ambient air quality in megacities of India and implication for air pollution control strategies. Environ. Sci. Pollut. Res. 2021, 28, 21621–21632. [Google Scholar] [CrossRef] [PubMed]
- WAQI. World’s Air Pollution Real-Time Air Quality Index. 2022. Available online: https://aqicn.org/data-platform/covid19 (accessed on 20 July 2022).
- He, C.; Hong, S.; Zhang, L.; Mu, H.; Xin, A.; Zhou, Y.; Liu, J.; Liu, N.; Su, Y.; Tian, Y.; et al. Global, continental, and national variation in PM2.5, O3, and NO2 concentrations during the early 2020 COVID-19 lockdown. Atmos. Pollut. Res. 2021, 12, 136–145. [Google Scholar] [CrossRef] [PubMed]
- Wu, C.L.; Wang, H.W.; Cai, W.J.; Ni, A.N.; Peng, Z.R. Impact of the COVID-19 lockdown on roadside traffic-related air pollution in Shanghai, China. Build. Environ. 2021, 194, 107718. [Google Scholar] [CrossRef]
- Vuong, Q.T.; Thang, P.Q.; Park, M.K.; Choi, S.D. Effects of the COVID-19 lockdown on criteria air pollutants in the city of Daegu, the epicenter of South Korea’s outbreak. Environ. Sci. Pollut. Res. 2020, 27, 45983–45991. [Google Scholar] [CrossRef]
- Singh, R.P.; Chauhan, A. Impact of lockdown on air quality in India during COVID-19 pandemic. Air Qual. Atmos. Health 2020, 13, 921–928. [Google Scholar] [CrossRef]
- Agami, S.; Dayan, U. Impact of the first induced COVID-19 lockdown on air quality in Israel. Atmos. Environ. 2021, 262, 118627. [Google Scholar] [CrossRef]
- Yamamoto, T.; Uchiumi, C.; Suzuki, N.; Sugaya, N.; Murillo-Rodriguez, E.; Machado, S.; Imperatori, C.; Budde, H. Mental health and social isolation under repeated mild lockdowns in Japan. Sci. Rep. 2022, 12, 8452. [Google Scholar] [CrossRef]
- Hu, M.; Chen, Z.; Cui, H.; Wang, T.; Zhang, C.; Yun, K. Air pollution and critical air pollutant assessment during and after COVID-19 lockdowns: Evidence from pandemic hotspots in China, the Republic of Korea, Japan, and India. Atmos. Pollut. Res. 2021, 12, 316–329. [Google Scholar] [CrossRef]
- Khubchandani, J.; Sharma, S.; Webb, F.J.; Wiblishauser, M.J.; Bowman, S.L. Post-lockdown depression and anxiety in the USA during the COVID-19 pandemic. J. Public Health 2021, 43, 246–253. [Google Scholar] [CrossRef] [PubMed]
- Mashayekhi, R.; Pavlovic, R.; Racine, J.; Moran, M.D.; Manseau, P.M.; Duhamel, A.; Katal, A.; Miville, J.; Niemi, D.; Peng, S.J.; et al. Isolating the impact of COVID-19 lockdown measures on urban air quality in Canada. Air Qual. Atmos. Health 2021, 14, 1549–1570. [Google Scholar] [CrossRef] [PubMed]
- Beringui, K.; Justo, E.P.; De Falco, A.; Santa-Helena, E.; Rocha, W.F.; Deroubaix, A.; Gioda, A. Assessment of air quality changes during COVID-19 partial lockdown in a Brazilian metropolis: From lockdown to economic opening of Rio de Janeiro, Brazil. Air Qual. Atmos. Health 2022, 15, 1205–1220. [Google Scholar] [CrossRef] [PubMed]
- Velders, G.J.; Willers, S.M.; Wesseling, J.; van den Elshout, S.; van der Swaluw, E.; Mooibroek, D.; van Ratingen, S. Improvements in air quality in the Netherlands during the corona lockdown based on observations and model simulations. Atmos. Environ. 2021, 247, 118158. [Google Scholar] [CrossRef]
- Ikhlasse, H.; Benjamin, D.; Vincent, C.; Hicham, M. Environmental impacts of pre/during and post-lockdown periods on prominent air pollutants in France. Environ. Dev. Sustain. 2021, 23, 14140–14161. [Google Scholar] [CrossRef] [PubMed]
- Vidić, I.; Melnjak, M.; Bošnjak, D. How COVID-19 lockdown has impacted demand curves of Croatia and the surrounding countries. J. Energy Energ. 2021, 70, 1–7. [Google Scholar] [CrossRef]
- Jakovljević, I.; Štrukil, Z.S.; Godec, R.; Davila, S.; Pehnec, G. Influence of lockdown caused by the COVID-19 pandemic on air pollution and carcinogenic content of particulate matter observed in Croatia. Air Qual. Atmos. Health 2021, 14, 467–472. [Google Scholar] [CrossRef]
- Orak, N.H.; Ozdemir, O. The impacts of COVID-19 lockdown on PM10 and SO2 concentrations and association with human mobility across Turkey. Environ. Res. 2021, 197, 111018. [Google Scholar] [CrossRef]
- Duc, H.; Salter, D.; Azzi, M.; Jiang, N.; Warren, L.; Watt, S.; Riley, M.; White, S.; Trieu, T.; Tzu-Chi Chang, L.; et al. The effect of lockdown period during the COVID-19 pandemic on air quality in Sydney region, Australia. Int. J. Environ. Res. Public Health 2021, 18, 3528. [Google Scholar] [CrossRef]
- Popescu, F.; Ionel, I. Anthropogenic air pollution sources. In Air Quality; IntechOpen: London, UK, 2010; pp. 1–22. [Google Scholar]
- Fioletov, V.E.; McLinden, C.; Krotkov, N.; Li, C. Lifetimes and emissions of SO2 from point sources estimated from OMI. Geophys. Res. Lett. 2015, 42, 1969–1976. [Google Scholar] [CrossRef]
- Chossière, G.P.; Xu, H.; Dixit, Y.; Isaacs, S.; Eastham, S.D.; Allroggen, F.; Speth, R.L.; Barrett, S.R. Air pollution impacts of COVID-19–related containment measures. Sci. Adv. 2021, 7, eabe1178. [Google Scholar] [CrossRef] [PubMed]
- Dang, H.A.H.; Trinh, T.A. Does the COVID-19 lockdown improve global air quality? New cross-national evidence on its unintended consequences. J. Environ. Econ. Manag. 2021, 105, 102401. [Google Scholar] [CrossRef] [PubMed]
- Hammer, M.S.; van Donkelaar, A.; Martin, R.V.; McDuffie, E.E.; Lyapustin, A.; Sayer, A.M.; Hsu, N.C.; Levy, R.C.; Garay, M.J.; Kalashnikova, Q.V.; et al. Effects of COVID-19 lockdowns on fine particulate matter concentrations. Sci. Adv. 2021, 7, eabg7670. [Google Scholar] [CrossRef] [PubMed]
- Torkmahalleh, M.A.; Akhmetvaliyeva, Z.; Omran, A.D.; Omran, F.F.D.; Kazemitabar, M.; Naseri, M.; Naseri, M.; Sharifi, H.; Malekipirbazari, M.; Adotey, E.K.; et al. Air pollution and COVID-19 lockdown in a large South American city: Santiago Metropolitan Area, Chile. Urban Clim. 2021, 36, 100803. [Google Scholar]
- Holman, C. Sources of Air Pollution. In Air Pollution and Health; Holgate, S.T., Koren, H.S., Samet, J.M., Maynard, R.L., Eds.; Academic Press: Cambridge, MA, USA, 1999; pp. 115–148. [Google Scholar]
- Ciencewicki, J.; Jaspers, I. Air pollution and respiratory viral infection. Inhal. Toxicol. 2007, 19, 1135–1146. [Google Scholar] [CrossRef]
- Maguire, A.; Kent, L.; O’Neill, S.; O’Hagan, D.; O’Reilly, D. Impact of the COVID-19 pandemic on psychotropic medication uptake: Time-series analysis of a population-wide cohort. Br. J. Psychiatry J. Ment. Sci. 2022, 221, 748–757. [Google Scholar] [CrossRef]
- Benati, I.; Coccia, M. Effective Contact Tracing System Minimizes COVID-19 Related Infections and Deaths: Policy Lessons to Reduce the Impact of Future Pandemic Diseases. J. Public Adm. Gov. 2022, 12, 19–33. [Google Scholar] [CrossRef]
- Coccia, M.; Benati, I. Rewards in public administration: A proposed classification. J. Adm. Soc. Sci. 2018, 5, 68–80. [Google Scholar] [CrossRef]
- Coccia, M. An introduction to the theories of national and regional economic development. Turk. Econ. Rev. 2018, 5, 350–358. [Google Scholar] [CrossRef]
- Roshani, S.; Coccia, M.; Mosleh, M. Sensor Technology for Opening New Pathways in Diagnosis and Therapeutics of Breast, Lung, Colorectal and Prostate Cancer. HighTech Innov. J. 2022, 3, 356–375. [Google Scholar] [CrossRef]
- Coccia, M.; Effects of air pollution on COVID-19 and public health. Research Square. 2020. Available online: https://europepmc.org/article/ppr/ppr196309 (accessed on 20 August 2022). [CrossRef]
- Coccia, M. Recurring waves of COVID-19 pandemic with different effects in public health. J. Econ. Bib. 2021, 8, 28–45. [Google Scholar] [CrossRef]

| Average Variation % of Air Pollutant Values from January 2019 to March 2022 Compared with Baseline Period (2015–2018) | |||||||
|---|---|---|---|---|---|---|---|
| Geoeconomic Region | Country | CO | NO2 | SO2 | O3 | PM2.5 | PM10 |
| Asia | China | −49.68 | −153.77 | −98.25 | −87.26 | 17.10 | 20.89 |
| India | −105.90 | −39.30 | −17.20 | −24.50 | 12.40 | 13.10 | |
| Israel | −122.10 | 12.30 | −13.80 | 33.30 | −8.20 | −18.80 | |
| Japan | −24.50 | −15.00 | −37.50 | −1.80 | −12.30 | −16.10 | |
| South Korea | −26.70 | −20.40 | −64.70 | 5.90 | −1.30 | −12.90 | |
| North America | Canada | −655.50 | −13.80 | −193.70 | 4.50 | −27.30 | −8.10 |
| USA | −17.10 | −7.60 | −107.30 | 12.10 | −4.30 | −2.30 | |
| South America | Brazil | −48.50 | −10.90 | −89.00 | 4.70 | 8.60 | −7.70 |
| Chile | 4.30 | −15.80 | −24.40 | 6.70 | 8.60 | 16.70 | |
| Colombia | −46.10 | 19.00 | 18.50 | −29.30 | −12.40 | −46.30 | |
| Europe | Croatia | 0.00 | −8.10 | −60.10 | −0.02 | −11.90 | 5.70 |
| France | −3471.80 | −17.90 | −33.50 | 3.60 | −11.40 | −1.80 | |
| Germany | −135.00 | −11.50 | −92.20 | 9.80 | −29.60 | −1.60 | |
| Netherlands | 10.50 | −16.00 | −16.30 | 8.20 | −4.50 | −7.70 | |
| Poland | −9.60 | 2.90 | −24.30 | 27.30 | 7.00 | −16.80 | |
| Spain | −73.80 | −22.20 | −18.50 | 4.20 | 3.90 | 5.50 | |
| Turkey | −27.60 | −9.40 | −4.40 | −20.40 | −39.50 | −115.00 | |
| United Kingdom | −19.40 | −23.40 | −26.20 | 7.20 | −4.90 | −7.00 | |
| Oceania | Australia | −59.80 | −153.70 | −98.30 | −87.30 | 17.10 | 20.90 |
Publisher’s Note: MDPI stays neutral with regard to jurisdictional claims in published maps and institutional affiliations. |
© 2022 by the authors. Licensee MDPI, Basel, Switzerland. This article is an open access article distributed under the terms and conditions of the Creative Commons Attribution (CC BY) license (https://creativecommons.org/licenses/by/4.0/).
Share and Cite
Akan, A.P.; Coccia, M. Changes of Air Pollution between Countries Because of Lockdowns to Face COVID-19 Pandemic. Appl. Sci. 2022, 12, 12806. https://doi.org/10.3390/app122412806
Akan AP, Coccia M. Changes of Air Pollution between Countries Because of Lockdowns to Face COVID-19 Pandemic. Applied Sciences. 2022; 12(24):12806. https://doi.org/10.3390/app122412806
Chicago/Turabian StyleAkan, Aytac Perihan, and Mario Coccia. 2022. "Changes of Air Pollution between Countries Because of Lockdowns to Face COVID-19 Pandemic" Applied Sciences 12, no. 24: 12806. https://doi.org/10.3390/app122412806
APA StyleAkan, A. P., & Coccia, M. (2022). Changes of Air Pollution between Countries Because of Lockdowns to Face COVID-19 Pandemic. Applied Sciences, 12(24), 12806. https://doi.org/10.3390/app122412806

