Abstract
A viaduct is an important structural form in intercity railway networks, and the curved bridge is inevitable in railway line network planning. When the vehicles cross through the curved bridge, the transverse load experienced by the bridge is much larger than that of the straight bridge due to the centrifugal forces. Therefore, in the bridge resonance analysis, in addition to the vertical moving vehicle load, it is also imperative to consider the radial vehicle load. In order to systematically analyze the dynamic impact factor (or dynamic load allowance) and resonance conditions of the curved intercity railway viaduct, a numerical model is developed. The reliability of the proposed model is assessed by comparing it with the existing literature. Taking the curved viaduct of Zhengzhou-Xuchang railway as a case study, the theoretical resonance velocity, dynamic impact factor, and dynamic time-history response under resonance velocity are calculated. The parameters of different spans, curve radius, and speeds are analyzed, and the reasonable ranges of bridge natural vibration frequency are determined.
1. Introduction
With rapid urbanization, economic growth, and construction, the metropolitan area model has become a trend in various countries. Transportation networks play an essential role in connecting various sub-cities. Rail transit has the advantages of large passenger capacity and high speed. Currently, it has become a vital infrastructure element in intercity transportation. In rail transit lines, the viaduct is useful in several ways. It offers good settlement resistance, good smoothness, a small floor area, low cost, and little impact on the existing and future traffic lines [1,2]. Therefore, viaducts are mainly used in the suburbs of intercity rail lines.
Several research findings have been published focusing on the calculation and analysis of vehicle safety performance and dynamic bridge response on railway viaducts. For example, Liu et al. [3,4] established a vehicle track bridge system (VTBS) model considering randomness and analyzed the dynamic response of the system by a random analysis method. Lai et al. [3] calculated the vehicle operational performance passing through the bridge with residual deformation and calculated the corresponding bridge deformation threshold based on the running safety and comfort. Wu and Yang [5,6] established the VTBS and analyzed the running comfort of the vehicle crossing the bridge. Zhu et al. [7] analyzed the dynamic response of a bridge under an earthquake considering heavy-haul train. Dinh et al. [8] analyzed the VTBS using a novel wheel–rail contact model. Li et al. [9] developed the moving load amplitude spectrum, which could quickly and effectively estimate the free vibration response of the bridge under the moving vehicle excitation. Xu et al. [10,11,12,13,14] has conducted much research on the vehicle–track and the vehicle–track–bridge system, such as on the numerical solution for the vehicle–track dynamic, the fatigue damage evolution of the track, and damage to the concrete. In the work of Yazdani and Azimi [15], two kinds of concrete arch bridge models were proposed by using finite element (FE) analysis. In order to evaluate the model’s reliability, the camber displacement of the two arch bridges under different working conditions—comprising static load and locomotive movement—and the first three modes of the bridge were chosen as the numerical results and compared with the experimental results. Montenegro et al. [16] summarized the existing research findings on the running safety performance of vehicles on bridges. Zakeri et al. [17] analyzed the sensitivity of the VTBS to different parameters. Jahangiri and Zakeri [18] calculated the dynamic response of vehicles passing through bridges under the single and double line conditions.
When the vehicles pass through the simply supported bridge at a constant speed, the axle load of the vehicle and external support from rail irregularity impact the bridge, and its load is similar to the moving load with fixed spacing. Therefore, the effect of a vehicle crossing the bridge is similar to the excitation source of a particular frequency. When the vehicle speed and wheelset distribution change, the excitation frequency changes correspondingly [19]. Suppose the incentive frequency draws near to the natural frequency of the bridge vibration. It will cause bridge resonance, which will seriously impact the serviceability and integrity of the bridge and the stability and safety of the vehicle operations. In the design of railway bridges, the natural vibration frequency of the bridges should be adequately considered, which economizes the project cost and improves the service life of the structure.
In bridge analysis and design, the dynamic impact factor is usually used to measure the deformation resistance of the bridge. At present, there are many studies on the conditions of resonance of railway bridges. For example, Zeng et al. [20] analyzed the radial and vertical resonance scenarios of high-speed railway curved bridges. In addition, Zeng et al. [21] also studied the system dynamic response of trains passing through curved bridges during frequent earthquakes. Yang et al. [22] determined the dynamic response of railway bridges under different spans and vehicle lengths and suggested adequate design considerations. The resonance characteristics of the simply supported and continuous bridges with the ballastless track have also been explored [23]. Further, Yang et al. [24] analyzed the vehicle vertical and nodal resonance when the vehicle crosses the bridge. Xia et al. [25] analyzed the resonance and vibration elimination mechanism of railway bridges under moving loads by an analytical method. In the research findings of Xin et al. [26], a VTBS that considers system uncertainty was established, and the bridge resonance and parameter sensitivity were analyzed. Zhang et al. [27] investigated the condition of resonance for a high-speed railway bridge under vehicle load considering longitudinal track slab constraints based on an analytical method. For curved bridges, due to the centripetal force, the transverse load they bear is much larger than that of straight bridges. Therefore, in the analysis of bridge resonance conditions, in addition to the vertical vehicle load, it is also imperative to consider the radial vehicle load [20,28,29]. In terms of the dynamic response of the curved railway bridge, Wang et al. [30] established the maglev vehicle curve bridge model and compared the dynamic system response under the influence of different parameters.
In the studies mentioned earlier, the research focus has been either on the high-speed railway bridges or the maglev railway bridges. Studies on the dynamic response of intercity railway curved sections have remained a neglected research area. An intercity railway is very different from a high-speed railway because of its specifications, span, and vehicle characteristics. The curve radius of a high-speed railway bridge is large; therefore, in some design or analysis, the curve bridge of a high-speed railway can be approximately considered as the straight-line bridge, while the curve radius of an intercity railway bridge is small, and considering it as the straight-line bridge may cause some calculation errors. In this paper, the vertical and radial dynamic impact factors and conditions of resonance of the bridge are analyzed based on the planned curved section of the intercity rail transit viaduct. The optimization range of the natural vibration characteristics of the curved bridge under different design speeds is also determined by parameter analysis.
2. Intercity Vehicle-Curve Bridge System Model
The vehicle crossing the bridge impacted and produced coupled vibrations in the VTBS. For accurately describing the dynamic performance of the vehicle passing through the curved bridge, the VTBS model is established, as shown in Figure 1. The vehicle follows the mass-spring damping system for simulation. The vehicle body, structure, and wheelset are all assumed to be rigid bodies in the simulation, whereas the damping suspension system is considered a linear spring, as shown in Figure 2. The dynamic vehicle response can be shown as Equation (1).
Figure 1.
Vehicle bridge system model: (a) vertical view; (b) side view.
Figure 2.
Vehicle model: (a) side view; (b) front view; (c) vertical view.
Normally, the bridge model can be established by the finite element method (FEM) or the synthetic modal method, and wave and FEM can also be used straightforwardly [31,32]. In this model, the bridge model is developed by the FE method. The bridge adopts a spatial Euler–Bernoulli beam element, and the linear and cubic (Hermitian) shape function is used [33]. Each element node contains six degrees of freedom. Through assembly, the mass matrix MB and stiffness matrix KB of the bridge in the global system can be obtained. The damping CB is assumed to be Rayleigh damping, and it is assumed that the damping ratio of each order is 0.02 [28]. The dynamic equation of the bridge is Equation (2).
The vehicle and bridge are coupled together into a large coupled system by the W–R contact, termed VTBS. The W–R contact adopts the knife-edge model [34,35,36,37], which simplifies the W–R contact into transverse and vertical springs. As shown in Figure 3, the model does not need to search for the contact point and it has high calculation efficiency; moreover, the calculation results can meet the accuracy of bridge dynamic response calculation. The compression amount of Hertz spring can be calculated through the relative vertical displacement of one side wheel rail, so as to calculate the corresponding wheel rail vertical force. The W–R contact lateral force, including creep force and contact force between flange and rail, as well as the creep force, can be calculated by the linear Kalker theory, and the contact force between flange and rail can be calculated by the relative lateral displacement of the wheel rail from one side. The details can be found in [38].
Figure 3.
Wheel–rail contact model.
The W–R contact was treated in the form of “weak coupling”. The method is one of the most commonly used methods. Through the simultaneous W–R contact, Equations (1) and (2), the system equation is given in Equation (3).
Equation (3) can be solved by the direct integration method introduced by Chen et al. [39]. Then the dynamic response of the bridge can be determined. For detailed information on the methodology and procedure, the work of Liu et al. [40] may be consulted. It is pertinent to mention that the vehicle running on the curved bridge portion will produce corresponding centrifugal forces, which would act on the corresponding car body, structure, and wheelset, respectively. This can be expressed in the form of Equation (4).
where R is the curve radius of the curved bridge, mi is the mass of vehicle body, structure, or wheelset, and v is the vehicle running (rotational) speed. The reaction force of the centrifugal force of the vehicle will act on the curved bridge and produce the corresponding transverse load [28].
In order to prevent vehicle derailment, the curved bridge structure is set at a certain degree of track superelevation. As the primary research focus of this study is the resonance and vibration elimination conditions of the bridge structure, the corresponding track superelevation is set according to different working conditions to ensure the smooth passage of the vehicle through the bridge structure. The centrifugal force generated while crossing the curve section is balanced out with the force of the bridge against the vehicle exceeding the steady state.
3. Model Validation
Zeng et al. [20] established the high-speed VTBS model with a curve bridge. They analyzed the vertical and horizontal resonance conditions of a high-speed railway curved bridge under vehicle load. The time-history response of one case in Zeng’s work is taken as a case study to validate the reliability of the proposed model. The model is briefly described as follows: the bridge is a simply supported beam with a span of LB = 32 m and a curve radius R = 5000 m; the elastic modulus of the bridge is 28.25 GPa, while the density per meter is 22.40 ton/m; the transverse and vertical section moment of inertia are 4.11 m4 and 8.75 m4, respectively; the vehicle consisted of 10 high-speed vehicle sets—the length of each vehicle being 25 m. The bridge responses at four typical speeds are extracted in the calculation example: the resonance speeds of 314 km/h and 458 km/h, and the vibration elimination speeds of 268 km/h and 391 km/h.
As shown in Figure 4, it can be seen that the results obtained by the model in this study coincide with the results calculated in the literature, indicating the reliability of the computational values of the proposed VTBS model.
Figure 4.
Validation of bridge dynamic time history response: (a) Vertical displacement: 314 km/h; (b) Radial displacement: 458 km/h; (c) Vertical displacement: 268 km/h; (d) Radial displacement: 391 km/h.
4. Numerical Analysis
The curved viaduct of Zhengzhou airport to Xuchang railway is taken as the case study for further investigation. The bridge is a box section, as shown in Figure 5. The specific properties are shown in Table 1, while the natural vibration characteristics of the bridge are shown in Table 2. The vehicle is a six-car intercity rail vehicle. The specific vehicle parameters are tabulated in Table 3.
Figure 5.
Box girder section (Unit: cm).
Table 1.
Bridge parameters.
Table 2.
Natural vibration characteristics of bridge.
Table 3.
Vehicle parameters.
4.1. Resonance Condition
The effect of vehicle load on the curved bridge is similar to the excitation of a certain frequency. When the excitation frequency of the vehicle is close to the natural vibration frequency of the bridge, it is easy to cause bridge resonance and endanger the service performance. According to Yang et al. [41], when the vehicle speed is close to the speed calculated by Equation (5), the bridge resonance occurs.
where is the ith order resonance velocity of the nth order bridge frequency and is the nth order bridge natural vibration frequency in Hz. The resonant velocities of each order of bridges with spans of 30 m and 25 m are calculated and given in Table 4 and Table 5, respectively, and it should be noted that both vertical and horizontal resonance are investigated, in which the horizontal resonance is generated by the transverse load of the train on the bridge, and the vertical load is generated by the vertical load of the train.
Table 4.
Theoretical resonance velocity of each order of bridge with span of 30 m.
Table 5.
Theoretical resonant velocity of each order of a bridge with a span of 25 m.
4.2. Dynamic Impact Factor Calculation
The dynamic impact factor is a critical parameter in bridge design. The dynamic action of the vehicle on the bridge structure is not only limited to the vibration characteristics of the bridge structure, but also depends on the vehicle type, vibration characteristics of the vehicle and its running speed, and the state of the line on the bridge. The dynamic impact factor (IF) comprehensively reflects the factors mentioned above and can be calculated by Equation (6).
where represents the maximum deflection value of curved bridge mid-span under dynamic load and represents the maximum mid-span displacement of the bridge under static load.
4.2.1. Dynamic Impact Factor of the Bridge with a Span of 30 m
Under the condition that the vehicle passes through the bridge with a 30 m span at the speed of 10 to 600 km/h (with an interval of 1 km/h), the IF of the vertical and radial displacement at mid-span can be determined from the calculation of the VTBS model. The corresponding results are shown in Figure 6. As can be seen from Figure 6a, when the vehicle speed is within the range of 50 km/h–600 km/h, there are three prominent speed peaks in the vertical displacement dynamic coefficient, i.e., at 87 km/h, 132 km/h, and 246 km/h. As compared to the values of the theoretical resonance velocity, as shown in Table 4, it can be seen that 87 km/h and 132 km/h are close to the third-order resonance and second-order resonance of the first-order frequency, respectively, obtained from the theoretical calculations. However, there is still a lag of 20 km/h between 246 km/h and 262 km/h of the third-order resonance of the first-order frequency, indicating that the resonance speed may be different from the theoretically determined values. This is because the theoretical calculation formula considers the whole vehicle as a concentrated moving load, whereas in practice, a vehicle contains four wheelsets, that is, four moving concentrated loads.
Figure 6.
Dynamic impact factor (IF) of bridge spanning 30 m: (a) IF of vertical displacement; (b) IF of radial displacement.
As can be seen from Figure 6b, when the vehicle speed is in the range of 50 km/h–600 km/h, there are two noticeable speed peaks in the vertical displacement dynamic coefficient—226 km/h and 342 km/h, respectively—and these are next to the third and second resonant speeds of the second-order natural vibration frequency obtained from the theoretical calculations (Table 4). This corroborates the proposed model of Yang et al. [41].
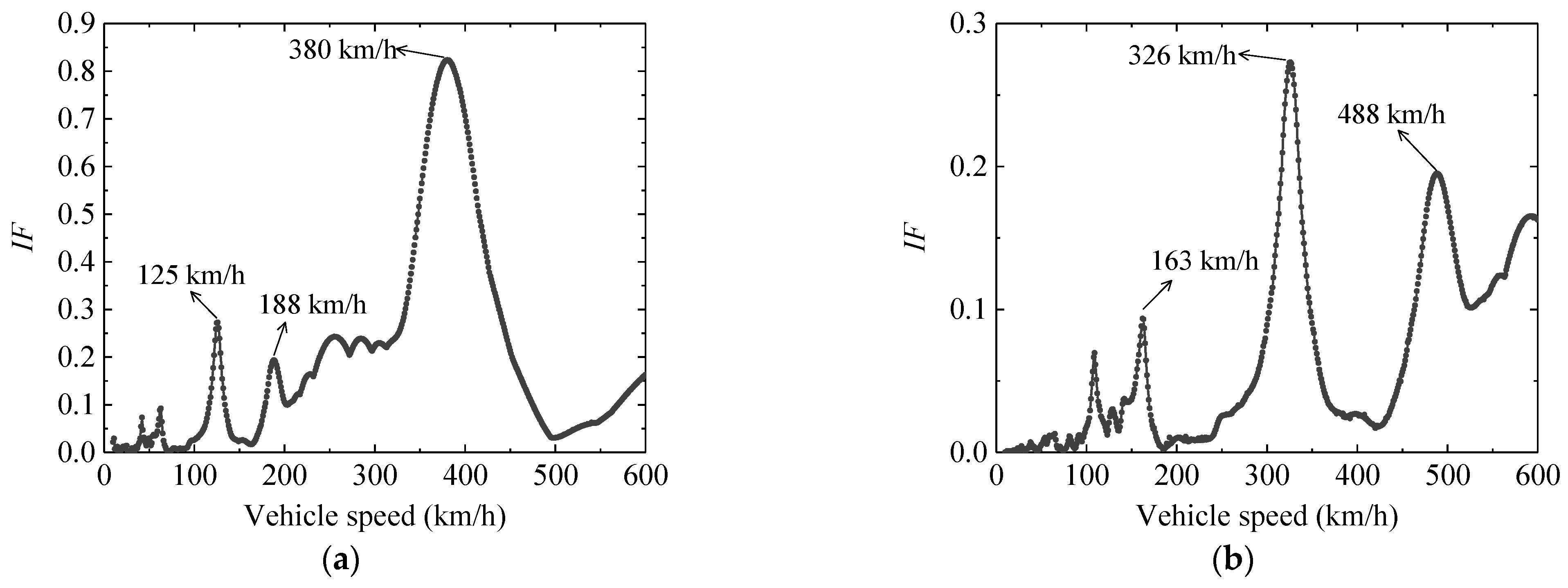
4.2.2. Dynamic Impact Factor (IF) of the Bridge with a Span of 25 m
The IFs of vertical displacement and radial displacement at mid-span when the vehicle crosses the curved bridge spanning 25 m at a speed range of 10 km/h to 600 km/h (with an interval of 1 km/h) are shown in Figure 7. As can be seen from Figure 7a, when the vehicle speed is within the range of 50 km/h–600 km/h, there are three pronounced speed peaks in the vertical displacement IF—125 km/h, 188 km/h, and 380 km/h. It can be found by comparing with Table 5 that these three numerical results are very close to the third-order resonance velocity and the second-order resonance velocity of the first-order frequency. Figure 7b also indicates that when the vehicle speed is in the range of 50 km/h–600 km/h, there are three apparent speed peaks in the radial displacement IF—163 km/h, 326 km/h, and 488 km/h. By comparing these with the results in Table 5, it can be seen that 326 km/h and 488 km/h are very close to the third-order resonance speed and second-order resonance speed of the second-order frequency obtained from the theoretical computed results. The fourth-order resonance velocity of the second-order frequency from the theoretical computations is 245 km/h, and there is no noticeable peak value of the dynamic coefficient.
Figure 7.
Dynamic impact factor (IF) of bridge spanning 25 m: (a) IF of vertical displacement; (b) IF of radial displacement.
4.3. Time-History Response under Resonance
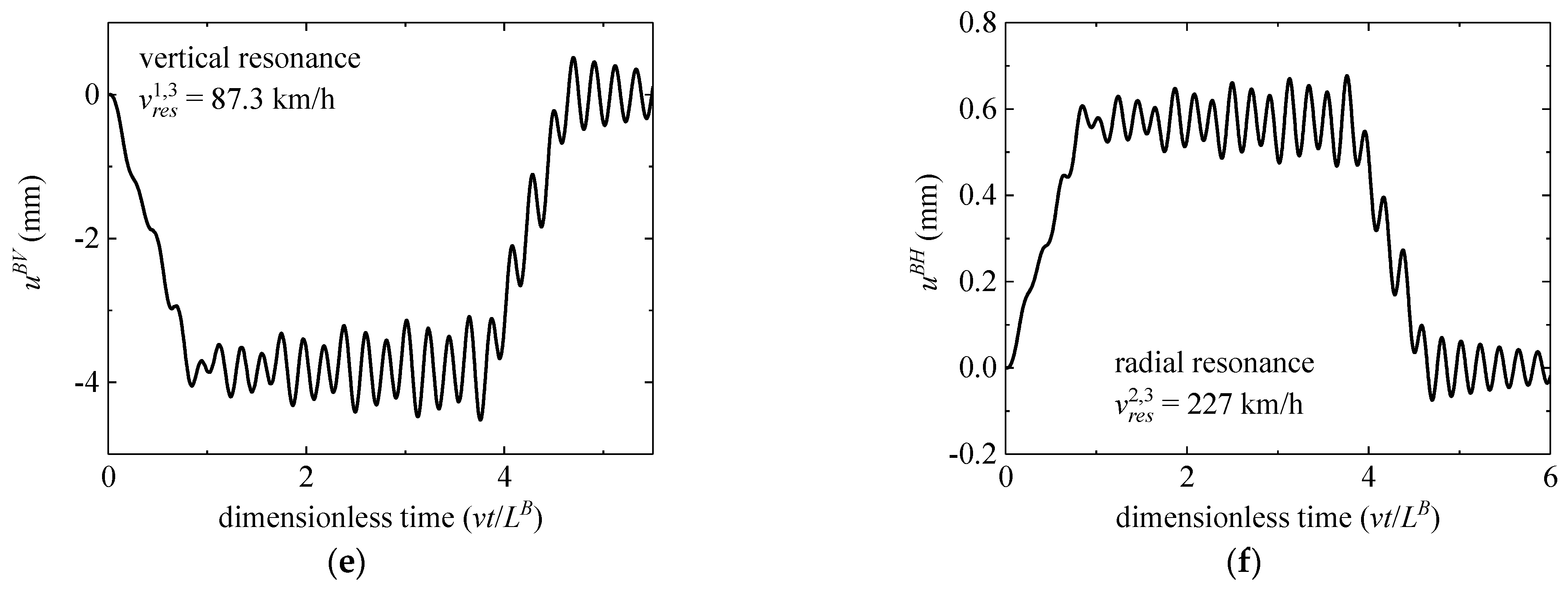
The vertical displacement response of a bridge spanning 30 m at different resonant speeds of 246 km/h (theoretical value 262 km/h), 131 km/h, and 87 km/h were calculated. Likewise, the radial displacement responses of the bridge when the resonant speeds were 680 km/h, 340 km/h, and 227 km/h, respectively, were also determined. The results are shown in Figure 8. It can be seen that in the scenarios of the vehicle crossing and leaving the bridge, the amplitudes of vertical displacements corresponding to the speed of 246 km/h are both greater than those corresponding to the speed of 262 km/h. For the vertical and radial displacements of the bridge, the dynamic response trend of Figure 8a,b is relatively regular at the first resonant speed, with six large peaks. In addition, there are large vibration displacements after the vehicle leaves the bridge.

Figure 8.
Time-history response of the bridge spanning 30 m under resonant velocity: (a) 1st vertical resonance; (b) 1st radial resonance; (c) 2nd vertical resonance; (d) 2nd radial resonance; (e) 3rd vertical resonance; (f) 3rd radial resonance.
It is also observed from Figure 8c–f that there is no apparent relation for the high-order speed dynamic response trend of vertical displacement and radial displacement. For instance, when the speed was 131 km/h and 340 km/h, there were ten prominent peaks in the vertical displacement and radial displacement. This is because there were five carriages of vehicle, including ten steering frames. At this speed, the action of the two wheelsets of the same bogie equals an independent load. However, when the resonance speed is 87.3 km/h and 227 km/h, there are no less prominent large peaks in vertical and radial displacements.
The results of the vertical displacement response of the bridge spanning 25 m at the resonant speeds of 377 km/h, 189 km/h, and 126 km/h are shown in Figure 9. When the vehicle passes through the bridge at the first-order vertical resonant speed of 377 km/h (Figure 9a), the bridge experiences a large vertical displacement, even after the vehicle leaves the bridge. There are five prominent large peaks vertically down the bridge, and the values of the peaks increase gradually with the vehicle passing. If the vehicle is running through the curved bridge at the speed of 189 km/h (Figure 9b), the bridge displacement dynamic response has five pronounced peaks vertically downward, where each “peak range” contains two sub-peaks and one sub-trough. This is because there are five relatively closer bogie combinations in the six cars. When the vehicle passes the curved bridge at the speed of 126 km/h, the vertical displacement trend of the bridge is close to the trend as was seen for 189 km/h speed (Figure 9c). However, the upper and lower vibration range between the wave crest and trough is wider. When the vehicle crosses the bridge at 163 km/h, the dynamic response of radial displacement presents five significant transverse displacement peaks, while the whole process is rough. Once the vehicle leaves the bridge, its free vibration amplitude is small.
Figure 9.
Time-history response of bridge spanning 25 m under resonant velocity: (a) 1st vertical resonance of 1st mode; (b) 2nd vertical resonance of 1st mode; (c) 3rd vertical resonance of 1st mode; (d) Radial resonance.
4.4. Parameter Analysis
In order to systematically analyze the dynamic performance of bridges with varying spans, curve radius, and vehicle speeds, calculations were performed for 10–300 km/h speed (interval 2 km/h), curved radius of 400 m, 500 m, 600 m, 700 m, 800 m, and 900 m, respectively, and the bridge spans of 16–40 m (interval 0.5 m). The vertical and radial natural vibration frequencies of the bridges with different spans were 13.47 Hz to 2.16 Hz and 34.9 Hz to 5.60 Hz, respectively. The contour diagram of the vertical IF of the bridge is shown in Figure 10. It can be seen that the contour diagrams of the vertical IF of the bridge under different curved radii are almost the same, indicating the negligible effect of curved radius on the vertical IF of the bridge within the calculation range. This also shows that within the calculation range, the curve radius has little effect on the vertical deformation of the bridge, which is also confirmed in [28]. Overall, the bridge IF is within 0.6. When the first vertical natural frequency of the bridge is within the range of Equation (7), the IF of the bridge can be effectively reduced (within 0.2).
Figure 10.
Vertical IF of the bridges under varying frequencies and curved radius: (a) R = 400 m; (b) R = 500 m; (c) R = 600 m; (d) R = 700 m; (e) R = 800 m; (f) R = 900 m.
The contour diagram of the radial IF of the bridge calculated is shown in Figure 11. It can be seen that the contour diagrams of the radial IF of the bridge under different curved radii are similar, which shows that the curved radius does not affect the radial IF of the bridge within this calculation range. This is because although the centrifugal force will change with the radius of curvature, resulting in an increase in the dynamic deflection of the bridge, at the same time, the static calculated deflection of the bridge will also increase, and the two increases are of the same magnitude. Overall, the dynamic factor of the bridge is within 0.3. If the vehicle speed is between 135 km/h and 160 km/h, the second-order natural vibration frequency of the bridge avoids the range of 5.74 Hz to 6.90 Hz. If the vehicle speed is between 180 km/h and 250 km/h, the second-order natural frequency of the bridge vibration avoids the range of 5.60 Hz to 7.744 Hz, which can effectively reduce the IF of the bridge (within 0.2).
Figure 11.
Radial IF of bridges under different frequencies and curved radius: (a) R = 400 m; (b) R = 500 m; (c) R = 600 m; (d) R = 700 m; (e) R = 800 m; (f) R = 900 m.
5. Conclusions
In order to evaluate the dynamic response and resonance of a curved viaduct under intercity vehicle load, the VTBS model with the curved bridge was developed, in which the curved part of the bridge adopted the “straight” form instead of curved. The calculation reliability of the model was elucidated by the numerical results from the existing literature. The theoretical resonance conditions of the bridge were calculated, and the bridge responses under various speeds were determined. Moreover, the dynamic time-history responses of vertical and radial displacement of the bridge under resonant speed were analyzed. Finally, to systematically analyze the dynamic response of the curved bridges, the bridge IFs under different spans, curved radius, and vehicle speeds were calculated.
The conclusions drawn from this study are as follows.
- (1)
- It is observed that the results from the numerical calculations are consistent with the theoretically computed results. However, there are certain disparities in some instances. There may be some differences.
- (2)
- Under the different resonant speeds, the response curves of bridge mid-span moving force under vehicle load show varying trends. Under the low order resonant speed, the dynamic response trend of the bridge is regular, and the vehicle still has a large range of free vibrations after leaving the bridge. The dynamic response curve of the bridge is rough under high-order resonant velocity.
- (3)
- Both the vertical and radial IFs of the curved intercity rail bridge are not affected by the curve radius.
- (4)
- From the parameter analysis, it is concluded that the reasonable natural vibration characteristics of the bridge can be selected according to different design speeds for structural optimization, which can effectively reduce the dynamic factor of a curved bridge.
Author Contributions
Conceptualization, J.W. and C.C.; methodology, X.L.; software, X.L.; validation, X.L. and C.C.; formal analysis, J.W.; investigation, J.W. and C.C.; data curation, X.L.; writing—original draft preparation, J.W. and M.W.; writing—review and editing, J.W. and M.W.; visualization, M.W.; supervision, J.W.; project administration, J.W.; funding acquisition, J.W. All authors have read and agreed to the published version of the manuscript.
Funding
This research was funded by [Henan Provincial Department of science and technology] grant number [182107000007] and [Fujian University of Technology] grant number [GY-Z21181], and The APC was funded by [Henan Provincial Department of science and technology] grant number [182107000007].
Institutional Review Board Statement
Not applicable.
Informed Consent Statement
Not applicable.
Data Availability Statement
The data used to support the findings of this study are included within the article.
Conflicts of Interest
The authors declare no conflict of interest.
References
- Feng, Y.; Jiang, L.; Zhou, W.; Lai, Z.; Chai, X. An analytical solution to the mapping relationship between bridge structures vertical deformation and rail deformation of high-speed railway. Steel Compos. Struct. 2019, 33, 209–224. [Google Scholar] [CrossRef]
- Feng, Y.; Jiang, L.; Zhou, W.; Chen, M. Post-earthquake track irregularity spectrum of high-speed railways continuous girder bridge. Steel Compos. Struct. 2021, 40, 323–338. [Google Scholar] [CrossRef]
- Liu, X.; Jiang, L.; Lai, Z.; Xiang, P.; Chen, Y. Sensitivity and dynamic analysis of train-bridge coupled system with multiple random factors. Eng. Struct. 2020, 221, 111083. [Google Scholar] [CrossRef]
- Liu, X.; Xiang, P.; Jiang, L.; Lai, Z.; Zhou, T.; Chen, Y. Stochastic Analysis of Train–Bridge System Using the Karhunen–Loéve Expansion and the Point Estimate Method. Int. J. Str. Stab. Dyn. 2020, 20, 2050025. [Google Scholar] [CrossRef]
- Wu, Y.-S.; Yang, Y.-B.; Yau, J.-D. Three-Dimensional Analysis of Train-Rail-Bridge Interaction Problems. Veh. Syst. Dyn. 2001, 36, 1–35. [Google Scholar] [CrossRef]
- Wu, Y.-S.; Yang, Y.-B. Steady-state response and riding comfort of trains moving over a series of simply supported bridges. Eng. Struct. 2003, 25, 251–265. [Google Scholar] [CrossRef]
- Zhu, Z.; Gong, W.; Wang, K.; Liu, Y.; Davidson, M.T.; Jiang, L. Dynamic effect of heavy-haul train on seismic response of railway cable-stayed bridge. J. Cent. South. Univ. 2020, 27, 1939–1955. [Google Scholar] [CrossRef]
- Dinh, V.N.; Kim, K.D.; Warnitchai, P. Dynamic analysis of three-dimensional bridge–high-speed train interactions using a wheel–rail contact model. Eng. Struct. 2009, 31, 3090–3106. [Google Scholar] [CrossRef]
- Li, J.; Zhang, H.; Chen, S. Investigation of axle-span ratio and moving load speed affecting bridge extreme response using a moving load amplitude spectrum method. Structures 2020, 28, 2633–2645. [Google Scholar] [CrossRef]
- Xu, L.; Liu, H.; Yu, Z. A coupled model for investigating the interfacial and fatigue damage evolution of slab tracks in vehicle-track interaction. Appl. Math. Model. 2022, 101, 772–790. [Google Scholar] [CrossRef]
- Xu, L.; Li, Z.; Zhao, Y.; Yu, Z.; Wang, K. Modelling of vehicle-track related dynamics: A development of multi-finite-element coupling method and multi-time-step solution method. Veh. Syst. Dyn. 2020. [Google Scholar] [CrossRef]
- Xu, L.; Liu, X. Matrix coupled model for the vehicle–track interaction analysis featured to the railway crossing. Mech. Syst. Signal. Process. 2021, 152, 107485. [Google Scholar] [CrossRef]
- Xu, L.; Yu, Z.; Shan, Z. Numerical simulation for train–track–bridge dynamic interaction considering damage constitutive relation of concrete tracks. Arch. Civ. Mech. Eng. 2021, 21, 116. [Google Scholar] [CrossRef]
- Xu, L.; Zhao, Y.; Zhu, Z.; Li, Z.; Liu, H.; Yu, Z. Vehicle-track random vibrations considering spatial frequency coherence of track irregularitives. Veh. Syst. Dyn. 2021. [Google Scholar] [CrossRef]
- Yazdani, M.; Azimi, P. Assessment of railway plain concrete arch bridges subjected to high-speed trains. Structures 2020, 27, 174–193. [Google Scholar] [CrossRef]
- Montenegro, P.A.; Carvalho, H.; Ribeiro, D.; Calçada, R.; Tokunaga, M.; Tanabe, M.; Zhai, W.M. Assessment of train running safety on bridges: A literature review. Eng. Struct. 2021, 241, 112425. [Google Scholar] [CrossRef]
- Zakeri, J.A.; Shadfar, M.; Feizi, M.M. Sensitivity analysis of bridge-track-train system to parameters of railway. Lat. Am. J. Solids Struct. 2014, 11, 598–612. [Google Scholar] [CrossRef] [Green Version]
- Jahangiri, M.; Zakeri, J.-A. Dynamic analysis of train-bridge system under one-way and two-way high-speed train passing. Struct. Eng. Mech. 2017, 64, 33–44. [Google Scholar] [CrossRef]
- Song, L.; Cui, C.; Liu, J.; Yu, Z.; Jiang, L. Corrosion-fatigue life assessment of RC plate girder in heavy-haul railway under combined carbonation and train loads. Int. J. Fatigue 2021, 151, 106368. [Google Scholar] [CrossRef]
- Zeng, Q.; Yang, Y.B.; Dimitrakopoulos, E.G. Dynamic response of high speed vehicles and sustaining curved bridges under conditions of resonance. Eng. Struct. 2016, 114, 61–74. [Google Scholar] [CrossRef]
- Zeng, Q.; Dimitrakopoulos, E.G. Seismic response analysis of an interacting curved bridge-train system under frequent earthquakes: Seismic response analysis of an interacting curved bridge-train system under frequent earthquakes. Earthq. Eng. Struct. Dyn. 2016, 45, 1129–1148. [Google Scholar] [CrossRef]
- Yang, Y.-B.; Yau, J.-D.; Hsu, L.-C. Vibration of simple beams due to trains moving at high speeds. Eng. Struct. 1997, 19, 936–944. [Google Scholar] [CrossRef]
- Yang, Y.B.; Yau, J.D. Resonance of high-speed trains moving over a series of simple or continuous beams with non-ballasted tracks. Eng. Struct. 2017, 143, 295–305. [Google Scholar] [CrossRef]
- Yang, Y.B.; Yau, J.D. Vertical and pitching resonance of train cars moving over a series of simple beams. J. Sound Vib. 2015, 337, 135–149. [Google Scholar] [CrossRef]
- Xia, H.; Li, H.L.; Guo, W.W.; De Roeck, G. Vibration Resonance and Cancellation of Simply Supported Bridges under Moving Train Loads. J. Eng. Mech. 2014, 140, 04014015. [Google Scholar] [CrossRef] [Green Version]
- Xin, L.; Li, X.; Zhang, J.; Zhu, Y.; Xiao, L. Resonance Analysis of Train–Track–Bridge Interaction Systems with Correlated Uncertainties. Int. J. Str. Stab. Dyn. 2020, 20, 2050008. [Google Scholar] [CrossRef]
- Zhang, Y.; Jiang, L.; Zhou, W.; Liu, S.; Liu, X.; Wu, L.; Zhou, T.; Shao, G. Study of resonance condition of railway bridge subjected to train loads with a four-beam system. Mech. Based Des. Struct. Mach. 2021. [Google Scholar] [CrossRef]
- Dimitrakopoulos, E.G.; Zeng, Q. A three-dimensional dynamic analysis scheme for the interaction between trains and curved railway bridges. Comput. Struct. 2015, 149, 43–60. [Google Scholar] [CrossRef]
- Yang, Y.-B.; Wu, C.-M.; Yau, J.-D. Dynamic response of a horizontally curved beam subjected to vertical and horizontal moving loads. J. Sound Vib. 2001, 242, 519–537. [Google Scholar] [CrossRef]
- Wang, Z.L.; Xu, Y.L.; Li, G.Q.; Chen, S.W.; Zhang, X.L. Dynamic analysis of a coupled system of high-speed maglev train and curved viaduct. Int. J. Str. Stab. Dyn. 2018, 18, 1850143. [Google Scholar] [CrossRef]
- Yang, Y.; Mace, B.R.; Kingan, M.J. Vibroacoustic analysis of periodic structures using a wave and finite element method. J. Sound Vib. 2019, 457, 333–353. [Google Scholar] [CrossRef]
- Yang, Y.; Mace, B.R.; Kingan, M.J. Prediction of sound transmission through, and radiation from, panels using a wave and finite element method. J. Acoust. Soc. Am. 2017, 141, 2452–2460. [Google Scholar] [CrossRef] [PubMed]
- Cook, R. Concepts and Applications of Finite Element Analysis; Wiley: New York, NY, USA, 2007. [Google Scholar]
- Liu, X.; Jiang, L.; Xiang, P.; Lai, Z.; Liu, L.; Cao, S.; Zhou, W. Probability analysis of train-bridge coupled system considering track irregularities and parameter uncertainty. Mech. Based Des. Struct. Mach. 2021. [Google Scholar] [CrossRef]
- Cheng, Y.-C.; Chen, C.-H.; Hsu, C.-T. Derailment and Dynamic Analysis of Tilting Railway Vehicles Moving Over Irregular Tracks Under Environment Forces. Int. J. Str. Stab. Dyn. 2017, 17, 1750098. [Google Scholar] [CrossRef]
- Muñoz, S.; Aceituno, J.F.; Urda, P.; Escalona, J.L. Multibody model of railway vehicles with weakly coupled vertical and lateral dynamics. Mech. Syst. Signal. Process. 2019, 115, 570–592. [Google Scholar] [CrossRef]
- Liu, X.; Jiang, L.; Xiang, P.; Lai, Z.; Feng, Y.; Cao, S. Dynamic response limit of high-speed railway bridge under earthquake considering running safety performance of train. J. Cent. South. Univ. 2021, 28, 968–980. [Google Scholar] [CrossRef]
- Lai, Z.; Jiang, L.; Zhou, W.; Yu, J.; Zhang, Y.; Liu, X.; Zhou, W. Lateral girder displacement effect on the safety and comfortability of the high-speed rail train operation. Veh. Syst. Dyn. 2021. [Google Scholar] [CrossRef]
- Chen, Y.; Jiang, L.; Li, C.; Liu, X.; Li, J. An efficent computing strategy based on the unconditionally stable explicit algorithm for the nonlinear train-track-bridge system under an earthquake. Soil Dyn. Earthq. Eng. 2021, 145, 106718. [Google Scholar] [CrossRef]
- Liu, X.; Jiang, L.; Xiang, P.; Jiang, L.; Lai, Z. Safety and comfort assessment of a train passing over an earthquake-damaged bridge based on a probability model. Struct. Infrastruct. Eng. 2021. [Google Scholar] [CrossRef]
- Yang, Y.-B.; Yao, Z.; Wu, Y.S. Vehicle-Bridge Interaction Dynamics: With Applications to High-Speed Railways; World Scientific: River Edge, NJ, USA, 2004; ISBN 978-981-238-847-6. [Google Scholar]
Publisher’s Note: MDPI stays neutral with regard to jurisdictional claims in published maps and institutional affiliations. |
© 2022 by the authors. Licensee MDPI, Basel, Switzerland. This article is an open access article distributed under the terms and conditions of the Creative Commons Attribution (CC BY) license (https://creativecommons.org/licenses/by/4.0/).











