Abstract
Soil acidification has been a serious problem in abandoned mine areas, and could be exacerbated by acid deposition with the release of mine wastes. In this study, three different indigenous bacterial consortia were isolated from abandoned mines in South Korea, from which the potential for acid neutralization of microorganisms was evaluated. They were all able to neutralize acidity within 24 h in the liquid nutrient medium. Moreover, a strong positive correlation (R = +0.922, p < 0.05) was established between the ammonium ion (NH4+) production yield and the resulting pH, indicating that NH4+ served as an important metabolite for biological neutralization. Serratia liquefaciens, Citrobacter youngae, Pseudescherichia vulneris, and Serratia grimesii had higher acid neutralization ability to generate NH4+ by the metabolism of nitrogen compounds such as carboxylation and urea hydrolysis. Therefore, acidic soils can be expected to be ameliorated by indigenous microorganisms through in situ biostimulation with the adequate introduction of nitrogenous substances into the soil environments.
1. Introduction
Soil acidification, defined as a decrease in the soil pH to below 5.5, is a serious problem that damages ecosystems, making it difficult to maintain nutrient balance and biodiversity [1]. Acidified soils reduce soil productivity and plant growth yield through the loss of basic cations (i.e., Ca2+, Mg2+, K+, and Na+) and dissolution of acidic cations (i.e., Al3+ and Mn2+). Moreover, soil acidification causes the leaching of toxic heavy metals, which contributes to the severe pollution of the neighboring environments [2,3,4,5]. In particular, high concentrations of metals associated with fine precipitates, including metals adsorbed to colloidal hydrous ferric oxides [6] and metals [7] in the receiving waters can pose a hazard to some aquatic organisms, even if the acidic precursors (e.g., acid mine drainage) are mitigated [8].
Acid deposition from atmospheric acid rain and fertilizer overuse contributes intensively to soil acidification [9,10,11]. Moreover, most of the abandoned mine areas have been left unattended for a long time without any other action, so the acidification has been aggravated by the discharge of mine wastes, such as acid mine drainage and mine ore [12,13,14]. The problem is worsening in Korea because of the recent acceleration of forest soil acidification. Furthermore, most soils in Korea are derived from granite and granite gneiss as the parent materials, which are more likely to be acidic than calcareous shale or limestone [15]. Therefore, it is essential to develop sustainable acid soil restoration technology.
Conventional technologies using alkaline chemicals, such as calcium carbonate (CaCO3), lime (CaO) [16], and phosphogypsum (CaSO4·2H2O) [17], have been applied to ameliorate acidic soil. However, repeated and excessive use of these chemical ameliorants could cause serious problems, including re-acidification and hardening of the soils, nutrient imbalance caused by the accumulation of salts, and an increase of mineral nutrients [16,17,18,19].
Biological soil remediation is a methodology for promoting economically environmental conservation. Some microorganisms in soil have adapted to be tolerant to acidic conditions through various mechanisms that may play an important role in changing the soil pH [20,21,22]. For example, several bacteria could increase the pH of the surrounding environment by producing ammonia by the deamination and decarboxylation of nitrogenous substrates that are broken down to urea and amino acid to maintain the cellular pH homeostasis [23,24,25]. For instance, acid-tolerant bacteria of Bacillus cereus isolated from the acidic soil of a tea plantation secrete urease to neutralize the pH [26]. Lactobacillus acidophilus has been shown to respond to acid stress through well-organized metabolisms associated with decarboxylation reactions in the biomolecular analysis [27]. In addition, Klebsiella sp. and Raoultella sp. remediated the soil spiked by acid mine drainage derived from pyrite oxidation, increasing the concentration of NH4+ while simultaneously raising the pH [28]. It has been reported that sulfate-reducing bacteria that are tolerant to low pH and high concentrations of arsenic and ferrous can neutralize pH to promote sulfate reduction while producing alkalinity [29].
In biological soil restoration approaches, biostimulation promotes the growth of indigenous microorganisms by supplying rate-limiting nutrients (e.g., nitrogen, phosphorous, oxygen, and other electron donors) in contaminated soil [30]. It is widely used to enhance the decomposition efficiency of various organic contaminants [31,32,33]. Nitrogen fertilizer has been utilized to restore soils from acidification [34] and facilitate the circulation of nitrogen [35]. Furthermore, the addition of organic anions (e.g., oxalate, malate, and citrate) along with urea fertilizer significantly increased soil pH and decreased soil exchangeable acidity through their decarboxylation reactions [36].
Soil acidification generally occurs over a wide area. Therefore, the use of indigenous microorganisms that have survived competition between various physicochemical environmental factors and microorganisms is an efficient method for neutralizing acidic soil [30,37]. To implement biostimulation for the neutralization of acidic soil more appropriately, it is necessary to investigate the distribution and acid neutralization ability of the indigenous microbial consortium in the target-contaminated area. Therefore, this study evaluated the feasibility of acid neutralization using indigenous microorganisms collected from three abandoned mine areas in South Korea. In addition, the main mechanisms of acid neutralization were elucidated through the biochemical analyses of acid-neutralizing bacterial strains.
2. Experimental Procedure
2.1. Soil Sampling and Characterization
Acidic soil (Y1) or heavy metal contaminated soil samples (C1 and C2) were collected near an abandoned mine area located in Yong-in Province, Gyeonggi-do (37°13′39.34″ N, 127°07′48.08″ E, Figure 1a) or Cheonan Province, Chungcheongnam-do, South Korea (36°54′33.5″ N, 127°14′59.7″ E for C1, Figure 1b; 36°54′00.8″ N, 127°15′33.8″ E for C2, Figure 1c), respectively. The soil samples were taken from five locations in a sampling point and mixed into a single plastic bag. Subsequently, they were air-dried at room temperature and filtered through a 2 mm standard sieve.
Figure 1.
Sampling sites of (a) Y1, (b) C1, and (c) C2, respectively.
Soil samples were characterized according to standard analytical protocols. The pH was measured using a pH meter (BP3001, Trans Instrument, Singapore) after mixing 5 g of soil and 25 mL of distilled water followed by leaving it for an hour. The moisture content was determined by weighing the samples before and after drying at 105 °C until a constant weight was reached. Organic content was determined using the Tyurin titrimetric method [38,39]. For that, 0.5 g of soil sample was oxidized with 10 mL of potassium dichromate solution (K2Cr2O7, 0.4 N) by heating on a hot plate. After boiling for 5 min, it was cooled down to room temperature, and 100 mL of distilled water, 5 mL of phosphoric acid (85%), and 5 drops of diphenylamine indicator were added to the digested solution. Excess dichromate was measured by titration with a solution of ammonium ferrous sulfate ((NH4)2Fe(SO4)2∙6H2O, 0.2 N). It was assumed that the dichromate reduced during the oxidation process was equal to the organic carbon (C) present in the sample. The percentage of organic content was calculated by multiplying the organic carbon by the Van Bemmelen factor of 1.724 [40]. Meanwhile, the ammonium nitrogen (NH4+-N) content was measured using the Kjeldahl digestion method [41]. To extract the NH4+-N from the soil, 10 g of soil sample was mixed with 50 mL of potassium chloride solution (KCl, 2 M) for 30 min and filtered using a qualitative filter paper (No. 2, WhatmanTM, Maidstone, UK). The filtrate was heated through the Kjeldahl distillation device with the addition of 0.2 g of magnesium oxide (MgO), and the vaporous product was condensed in 10 mL of boric acid solution (H3BO3, 2% (w/v)). After that, NH4+-N content was determined by titration by H2SO4.
Particle size distribution analysis was carried out according to the Hydrometer method [42,43]. For that, an air-dried soil sample was soaked in 100 mL of a dispersing agent, a sodium hexametaphosphate solution ((Na(PO3)6), 5% (w/v)) for 18 h. Then, it was vigorously mixed for 5 min and transferred to the measuring cylinder. The final volume was adjusted to 1 L by compensating with distilled water, after which it was homogenized by repeatedly inverting it in a cylinder with a cap. Thereafter, the clay fraction was determined by measuring the specific gravity immediately and after 10 h using a hydrometer (DK-713, measurement range 0.995–1.050, Daekwang Inc., Seoul, Korea). The soil suspension was sieved using a standard sieve with a mesh size of 270 mm, and the remainder was weighed to estimate the sand fraction after drying for 24 h. The silt fraction was finally calculated by excluding the fractions of sand and clay.
The concentrations of heavy metals (arsenic (As), cadmium (Cd), copper (Cu), lead (Pb), and zinc (Zn)) in C1 and C2 soil samples were determined using an inductively coupled plasma–optical emission spectroscopy (ICP–OES, Optima 7300DV, Perkin Elmer, Waltham, MA, USA) according to the standard methods [41]. Apart from this, a high-throughput next-generation sequencing (NGS) technique was used to analyze the diversity of the indigenous microbial community in each soil sample.
2.2. Microcosm Acid Neutralization Test
The acid neutralization potential was evaluated using the indigenous bacterial consortiums isolated from each soil sample. They were isolated by adding 5 g of a soil sample to 50 mL of NaCl solution (0.85% (w/v)) and mixed for 15 min at 250 rpm using a funnel shaker (MMV-1000W, EYELA, Tokyo, Japan). Subsequently, 2 mL of the extract was transferred to 100 mL DifcoTM Nutrient Broth (NB, BD, Franklin Lakes, NJ, USA) of pH 7.0, incubated at 30 °C, and shaken at 160 rpm for 2 days. The bacterial consortium was cultivated in NB medium until the optical density at 600 nm (OD600) reached up to 1.10 ± 0.05, and they were then harvested by centrifugation at 14,000× g for 5 min followed by washing twice with a sterile 0.85% (w/v) NaCl solution. The bacterial cells were then transferred to 500 mL Erlenmeyer flasks containing 300 mL of NB medium, which was acidified to pH 4, 4.5, and 5 by adding a 4 M sulfuric acid (H2SO4) and 4 M sodium hydroxide (NaOH) solution. They were incubated for 6 days at 30 °C while being agitated continuously at 160 rpm in a shaking incubator (VS-8480SF, Vision Scientific Co., Ltd., Daejeon, Korea). At the same time, the control was set up in the same manner without adjusting the pH using an acidic or alkaline reagent. The microbial biomass, dehydrogenase activity, pH, and ammonium ion (NH4+) concentration were monitored daily during the acid neutralization process.
The OD600 of the microbial biomass was measured using a UV-Vis spectrometer (UV-3300, Humas, Korea), while the dehydrogenase activity was determined using an INT assay [44]. For the INT assay, 0.5 mL of a bacterial suspension was centrifuged at 10,000× g for 5 min, after which the supernatant was decanted. A 0.5 mL aliquot of 0.2% (w/v) INT (iodonitrotetrazolium chloride, TCI, Tokyo, Japan) solution (in 200 mM phosphate buffer, pH 7.6) and 0.1 mL of 1% (w/v) sucrose (Daejung Chemicals, Korea) solution were added to the bacterial cell pellet. After incubation at 30 °C for 30 min, 50 μL of HCl (35%, Samchun Chemicals, Seoul, Korea) and 1 mL of 1,4-dioxane (Sigma, Saint Louis, MI, USA) were added to block the enzymatic activity and simultaneously extract the INT formazan produced. The dehydrogenase activity was determined by the absorbance at 481 nm.
The aliquot was centrifuged at 1000× g for 10 min, and the resulting supernatant was used to determine the pH and NH4+ concentration. In this study, pH was measured using a pH meter (BP3001, Trans Instrument, Petro Centre, Singapore), while NH4+ concentration was determined using the Nessler reagent colorimetric method (Tyagi et al., 2009). For that, the 50-fold diluted supernatant was reacted with the Nessler reagent (HACH, Ames, IA, USA), from which its absorbance was measured comparably at 425 nm against the reagent blank. The observed absorbance was finally converted to the NH4+ concentration (mM) over a calibration curve drawn by NH4Cl.
2.3. Monitoring Microbial Community during the Test
The microbial community has been monitored because it might be altered from the initial acidic conditions of the medium and the degree of acid neutralization during the period test. The bacterial cultures obtained from the acid neutralization test were spread over DifcoTM Nutrient Agar (NA, BD, Franklin Lakes, NJ, USA) plates. After incubating for 24 h at 30 °C in a static incubator (VS-1203PIN, Vision Scientific Co., Ltd., Daejeon, Korea), the grown colonies were sorted by color, shape, and size, and the total number of colonies was counted as CFU/mL. The colonies were inoculated individually into 1 mL NB medium and stored in a deep freezer (−80 °C) as a glycerol stock for further use.
For microbial identification, the genomic DNA was extracted from the isolated single cell pellet using the HiGeneTM Genomic DNA Prep Kit (BIOFACT, Daejeon, Korea) according to the manufacturer’s instructions. The 16S rRNA fragment was then amplified by a polymerase chain reaction (PCR) with a 16S bacterial universal primer set of 27F (5′-AGA GTT TGA TCM TGG CTC AG-3′) and 1492R (5′-TAC GGY TAC CTT GTT ACG ACT T-3′, synthesized by Bioneer (Daejeon, Korea)) and BioFactTM Taq DNA polymerase kit (BIOFACT, Korea). PCR was performed in a thermal cycler (Professional Basic Thermocycler, Biometra Ltd., USA) with an initial denaturation at 95 °C for 5 min, 35 cycles of denaturation at 95 °C for 1 min, annealing at 54 °C for 1 min, and extension at 72 °C for 1 min, followed by a final extension at 72 °C for 10 min. The PCR product was purified using a HiGeneTM Gel and PCR Purification system (BIOFACT, Daejeon, Korea). Partial 16S rRNA sequences were analyzed using an ABI 3730XL DNA Analyzer (Applied Biosystems, Waltham, MA, USA). Each bacterial strain was identified by comparison with the Gene Bank databases using the Basic Local Alignment Search Tools (BLAST) of the National Center for Biotechnology Information (NCBI).
2.4. Acid Neutralization Potential of Single Bacterial Strain
The acid neutralization potential for each bacterial strain during an acid neutralization test was compared. Before the test, the bacteria were aseptically incubated in fresh NB medium of pH 7.0 at 30 °C, 160 rpm for 24 h. The grown bacterial strains were transferred individually to an acidic NB medium, adjusted to pH 4.5, and incubated at 30 °C for 48 h. After incubation, the OD600, pH, and NH4+ concentrations were measured, as mentioned above.
2.5. Biochemical Characterization
The biochemical properties of each bacterial strain were characterized using API 20E, API 20NE, and API ZYM kits (BioMe’rieux, Marcy-I’Étoile, France) according to the manufacturer’s instructions. In the meantime, their urease activity was determined using Christensen’s Urea Agar (Peptone 1 g/L, Dextrose 1 g/L, NaCl 5 g/L, KH2PO4 2 g/L, Urea 20 g/L, Phenol red 0.012 g/L, Agar 15 g/L) [45]. Single bacterial isolates were spread over Christensen’s Urea Agar plates and incubated for 48 h. The urease expression was examined throughout the color change from yellow (acidic) to purple-pink (alkaline) of phenol red, depending on the condition of the medium.
3. Results and Discussion
3.1. Physicochemical and Biological Characterization of the Soil Samples
Table 1 lists the physicochemical properties including pH, moisture content, organic matter content, NH4+-N concentration, and particle size distribution of soil samples along with the concentration of heavy metals. The Y1 soil sample collected from a hillside located in Yongin was acidic at pH 4.51, while the C1 and C2 soil samples collected from farmland near the abandoned mine area in Cheonan were neutral at pH 7.8 and 7.1, respectively. Conversely, the concentration of ammonium nitrogen (NH4+-N) was higher in the acidic soil Y1 with 2.69 mg/kg than that in the other soils that were in neutral pH. It could be presumed that the microbial metabolism capable of producing NH4+ was further activated by an indigenous bacterial consortium, resulting in the accumulation of NH4+-N in an environment with a continuous supply of acidic precursors.
Table 1.
Physicochemical properties of the soil collected from the abandoned mine areas.
In the meantime, C1 and C2 soil samples were found to be contaminated with a variety of heavy metals. Among them, arsenic was detected at 97.66 mg/kg and 56.08 mg/kg in C1 and C2 soils, respectively, exceeding the national soil pollution standard (i.e., 25 mg/kg or more). In addition, zinc was found at a rather high concentration of 252.6 mg/kg in C2 soil, but the concentration did not exceed the suggested contamination level. Other heavy metals were measured to be below the contamination levels in C1 and C2 soils, and it was confirmed that heavy metal contamination was not severe in Y1 soil.
The microbial communities differed according to the soil samples (Figure 2). In Y1 soil, the dominant genera were found with Rhodanobacter spp. (19.34%), Paraburkholderia spp. (16.26%), and Natranaerobaculum spp. (12.94%), as shown in Figure 2a. Pseudomonas spp. was the predominant genus (C1: 82.91%, C2: 87.37%) in soils contaminated with arsenic (Figure 2b), suggesting that they had a similar microbial community structure at the genus level.
Figure 2.
Microbial community structures at the genus level of bacterial consortia isolated from (a) Y1 soil sample and (b) C1 and C2 soil samples.
3.2. Acid Neutralization by the Isolated Bacterial Consortia
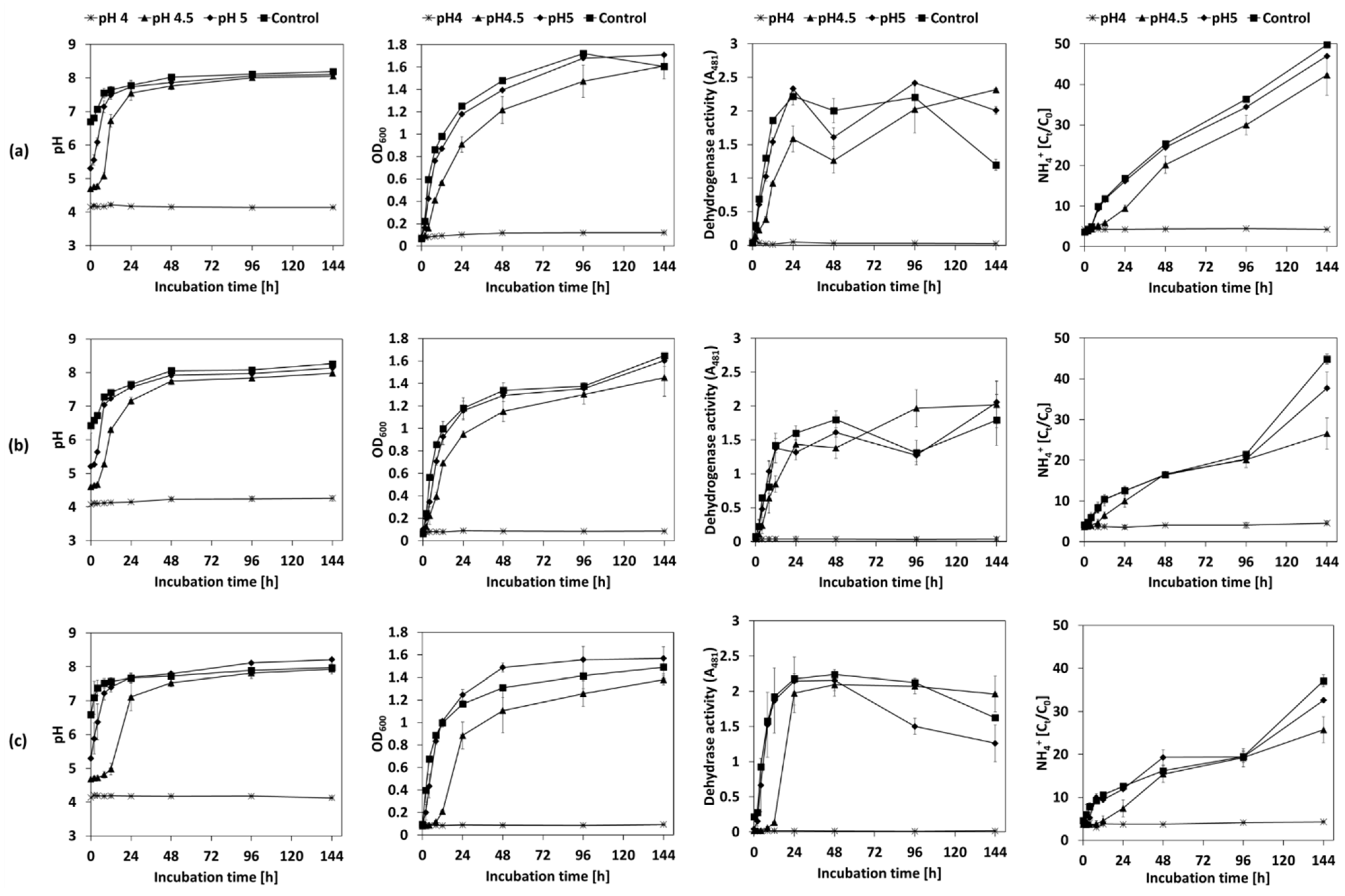
The isolated consortia of indigenous bacteria could survive above pH 4.5 and effectively neutralize the acidity (Figure 3), irrespective of the original soil conditions. At an initial pH of 5, regardless of the type of microbial community, bacterial growth started immediately after inoculation with concomitant acid neutralization. In contrast, the bacterial strains proliferated in the initial pH 4.5 after some acclimation to the environmental stress (i.e., low pH). The growth of microorganisms and the increase in pH were accelerated after 2 h in Y1 and C1, whereas the C2 bacterial consortium reached equivalent levels after 6 h. Hence, the C2 consortium has slower growth because it has a longer acclimation time to acidic conditions than the other consortia. Subsequently, they grew rapidly after adapting to environmental changes, so the acidity was neutralized concomitantly with the proliferation of microorganisms and enzymatic activity (i.e., dehydrogenase activity). Complete neutralization from an initial pH of 4.5 and 5 took 24 h and 8 h for Y1, respectively. In the case of C1, neutralization was completed within 12 h and 6 h at an initial pH of 4.5 and 5, respectively. Similarly, in the case of C2, 12 h and 6 h were also needed to neutralize an initial pH of 4.5 and 5, respectively, although it took a longer acclimation time than C1 soil in the beginning. This suggests that all three indigenous bacterial consortia successfully neutralized the acidic medium to pH 7 or higher within 24 h. In addition, as incubation time was increased, the pH increase rate gradually decreased as the bacterial growth was slowed down, as shown in Figure 3. It did not exceed pH 8.5 while maintaining a neutral pH range. It was also found that pH no longer increased after 14 days of stabilization. This neutralization pattern has been consistently confirmed in our previous studies [28,46].
Figure 3.
Acid-neutralizing ability of bacterial consortium of (a) Y1, (b) C1, and (c) C2 in the acidic NB medium for six days under the different pH conditions (i.e., pH 4, 4.5, 5, and control). Each column exhibits the temporal variation in pH, optical density at 600 nm (OD600), dehydrogenase activity as of absorbance at 481 nm (A481), and NH4+ production yield, respectively. The yield of NH4+ production also increased continuously except for the initial pH 4, suggesting that the microbial metabolism may be due to NH4+ production during acid neutralization. Indeed, a strong positive correlation was established between the hydroxyl ion (OH−) concentration and the amount of NH4+ produced with a correlation coefficient (R) of 0.922 (p < 0.05, Figure 4), regardless of the types of bacterial consortium. That is, the NH4+ concentration increased with increasing pH, indicating that NH4+ generation is closely related to acid neutralization. It could be suggested that NH4+ served as an important metabolite, contributing to acid neutralization. Meanwhile, the NH4+ production yield was the highest by the isolated from Y1, which is consistent with the fact that a large amount of NH4+-N was accumulated in Y1 soil, as mentioned above.
Figure 3.
Acid-neutralizing ability of bacterial consortium of (a) Y1, (b) C1, and (c) C2 in the acidic NB medium for six days under the different pH conditions (i.e., pH 4, 4.5, 5, and control). Each column exhibits the temporal variation in pH, optical density at 600 nm (OD600), dehydrogenase activity as of absorbance at 481 nm (A481), and NH4+ production yield, respectively. The yield of NH4+ production also increased continuously except for the initial pH 4, suggesting that the microbial metabolism may be due to NH4+ production during acid neutralization. Indeed, a strong positive correlation was established between the hydroxyl ion (OH−) concentration and the amount of NH4+ produced with a correlation coefficient (R) of 0.922 (p < 0.05, Figure 4), regardless of the types of bacterial consortium. That is, the NH4+ concentration increased with increasing pH, indicating that NH4+ generation is closely related to acid neutralization. It could be suggested that NH4+ served as an important metabolite, contributing to acid neutralization. Meanwhile, the NH4+ production yield was the highest by the isolated from Y1, which is consistent with the fact that a large amount of NH4+-N was accumulated in Y1 soil, as mentioned above.

Figure 4.
Relationship between the concentrations of hydroxyl ion (OH−) and ammonium ion (NH4+) during acid neutralization using the isolated bacterial consortia.
Figure 4.
Relationship between the concentrations of hydroxyl ion (OH−) and ammonium ion (NH4+) during acid neutralization using the isolated bacterial consortia.

In this regard, in acidic environments, some microorganisms consume excess protons to maintain pH homeostasis for their survival in acidic environments [47]. Specifically, in these acid-resistant systems, microorganisms consume protons from nitrogenous compounds such as urea and amino acids to produce alkaline substances (e.g., NH4+) [48]. In this study, the NB medium is composed mainly of peptones and beef extracts that can supply abundant nitrogenous compounds that contribute to ammonia production [49]. Consequently, the isolated bacterial consortia can neutralize acidity by ammonium-associated metabolism. Therefore, acidified soil could be ameliorated using indigenous microorganisms through the introduction of appropriate nitrogenous substances such as nitrogen fertilizer and biochar [34,35,50] as an alternative nutrient medium.
3.3. Monitoring Microbial Community during Incubation
In this study, the changes in microbial community distribution were evaluated to determine if the consortia were maintained and to identify the major bacterial strains capable of acid neutralization. Each bacterial consortium consisted mainly of four or five bacterial strains (Table 2). The bacterial species were identified as Serratia spp., Pseudomonas spp., Pseudescherichia sp., Atlantibacter sp., Bacillus sp., Salmonella sp., Citrobacter sp., Aeromonas sp., Leclercia sp., and Stenotrophomonas sp. In the Y1 consortium, Bacillus toyonensis (YNA-1), Serratia grimesii (YNA-2), Pseudomonas protegens (YNA-3), and Atlantibacter hermannii (YNA-4) formed as colonies on the NA plates depending on the degree of neutralization (Figure 5a). Serratia grimesii (YNA-2) was the dominant species in the Y1 consortium with a higher growth rate under acidic conditions. In addition, Atlantibacter sp. (YNA-3) was observed in the early stages of neutralization under an initial pH of 4.5, while Bacillus sp. (YNA-1) was found at the initial pH of 5. For the C1 consortium (Figure 5b), Pseudescherichia sp. (CNA-1) and Citrobacter sp. (CNA-3) were the main species that contributed to the acid-neutralization process. Salmonella sp. (CNA-2) survived at pH > 5. Pseudomonas sp. (CNA-4) and Serratia liquefaciens (CNA-5) grew from when neutralization was complete. On the other hand, for the C2 consortium (Figure 5c), Serratia grimesii (CNB-1) and Pseudomonas protegens (CNB-2) predominantly survived under acidic conditions and contributed to the neutralization of acidity. Leclercia sp. (CNB-4) grew under acidic conditions (initial pH 4.5), but they were immediately colonized by the other strains after 24 h of incubation because of their slower growth or lower competitiveness under neutral conditions.
Table 2.
Identification of acid-neutralizing bacterial strains in the Y1, C1, and C2 consortia by 16S rRNA gene sequencing analysis.
Figure 5.
Distribution of the bacterial strains (bar type) and variation of population density (marked line graph) of the (a) Y1, (b) C1, and (c) C2 bacterial consortium with an incubation time of acidic neutralization process at an initial pH of 4, 4.5, and 5, respectively.
3.4. Acid Neutralization Properties of the Single Bacterial Strains
The potential of acid-neutralization of single strains was evaluated by inoculating them individually in an acid medium adjusted to pH 4.5. Of these, 11 bacterial strains increased the pH by an average of 41% within 48 h compared to the initial pH (Figure 6), suggesting that they have acid resistance and neutralization properties. It showed that the YNA-2, CNA-1, CNA-3, and CNB-1 strains had a high neutralizing ability, consistent with the results of previous experiments. On the other hand, CNA-5 and CNB-4, which showed low growth rates in the heterogeneous consortium, had higher growth rates in the single strain culture to accomplish acid neutralization. Conversely, despite both strains being able to neutralize the acidity, they remained vulnerable to nutritional competition for growth over other isolates in the consortium. YNA-3, CNA-2, CNA-4, CNB-2, and CNB-5 strains also have high acid-neutralizing properties under acidic conditions in pH 4.5. In contrast, the growth rates of the three bacterial strains, YNA-1, YNA-4, and CNB-3, were very slow at pH 4.5, which was consistent with the previous results, showing that they are barely found at pH > 5.
Figure 6.
Comparison of the acid neutralization properties of the final pH (bar graph), OD600 (dashed line), and normalized concentration of ammonium ion (NH4+) (solid line) for single bacterial strains after 48 h of the acid-neutralization test. Control was an acidified medium without bacterial inoculation.
Individual bacterial strains of each consortium grew competitively according to the initial conditions and degree of acid neutralization as they had different acclimation times to acidic conditions. In addition, these changes in the microbial community made it possible to identify which types of microorganisms with large contributions to acid neutralization could be taken. Nevertheless, detailed mechanisms of bacterial acid neutralization could not be predicted precisely because of the complex interactions between microorganisms in the consortium. In this study, additional experiments were carried out to determine the neutralization properties of each bacterial strain, which has been discussed in the following sections.
3.5. Acid-Neutralizing Mechanism of Bacterial Strains
The microbial metabolism for acid neutralization could be predicted based on the biochemical properties of each bacterial strain. The primary metabolism is considered as an NH4+ production in utilizing nitrogenous compounds under acidic conditions. This microbial NH4+ production occurs mainly by deamination and decarboxylation through the formation of alkaline products and the consumption of protons [24,48]. It also serves as a major mechanism of bacterial resistance to acidification.
Several metabolic pathways are involved in NH4+ production and H+ consumption, including urease, arginine deaminase, and decarboxylase. First, urea hydrolysis is a mechanism that converts urea to ammonia (NH3) and carbon dioxide (CO2), which can be found in a wide range of microorganisms as one of the most representative ammonia production mechanisms [51,52]. The ammonia produced consumes protons to become ammonium ions (NH4+) that neutralize protons. In this study, five bacterial strains (YNA-3, CNA-3, CNA-4, CNB-2, and CNB-5) showed a change in substrate color when expressing urease in Christensen’s Urea Agar assay, as shown in Table 3.
Table 3.
Biochemical properties of acid-neutralizing bacterial strains using API 20E, API 20NE, and API ZYM and the urease activity.
Second, the arginine deaminase (or arginine dihydrolase) system can produce citrulline and ammonia through the breakdown of arginine. The resulting citrulline is converted to ornithine and carbamoyl phosphate by ornithine carbamoyltransferase (OTC), and finally mineralized to NH3 and CO2 by carbamate kinase (CK) [53,54]. The results of the API 20E/20NE test showed that YNA-3, CNA-1, CNB-2, and CNB-4 strains positively activated arginine dihydrolase (Table 3), which could neutralize acids via the arginine deiminase (ADI) pathway.
Third, the decarboxylase of some amino acids, such as lysine, ornithine, and histidine, functions at low pH under extracellular conditions and contributes to pH maintenance by importing and consuming protons through decarboxylation [27,55,56]. Decarboxylation has been reported to produce ammonia and the formation of biogenic amines [49]. As a result of biochemical analysis, the three bacterial strains of YNA-2, CNA-5, and CNB-1 belonging to Serratia species can generally express lysine decarboxylase and ornithine decarboxylase, whereas CNA-2 (Salmonella sp.) can express only lysine decarboxylase (Table 3). In addition, the glutamate decarboxylase (GAD) system is also important for acid resistance to survive in acidic environments [57]. GAD catalyzes the α-decarboxylation reaction of glutamate to produce γ-aminobutyric acid and carbon dioxide, which ultimately consumes protons [58]. Among the GAD systems, the glutaminase YbaS/GlsA converts glutamine to glutamate and ammonia [59]. It can be expressed in various bacteria [59,60], including Escherichia coli, Pseudomonas spp., and Serratia spp. Therefore, it implied that the selected bacterial strains belonging to the Pseudomonas spp. and Serratia spp. can express glutaminase.
Overall, the bacterial strains isolated from abandoned mine soils can neutralize the acidity of the medium by generating ammonia from nitrogen compounds through several specific metabolisms, such as urea hydrolysis, arginine deaminase system, and amino acid decarboxylation.
4. Conclusions
This study examined the feasibility of the eco-friendly acid neutralization process using various types of indigenous bacterial consortia isolated from acidic soil or heavy metal-contaminated soils in abandoned mine areas. All bacterial consortia could successfully neutralize the acidified medium within 24 h, whose reaction was strongly correlated with NH4+ production. Each bacterial consortium consisted mainly of four to five bacterial strains, which were identified as Pseudomonas spp., Serratia spp., Citrobacter sp., and Leclercia sp., with strong acid resistance and neutralizing properties. These microorganisms can neutralize acidity by producing ammonia through urea hydrolysis, arginine deaminase system, and amino acid decarboxylation. This suggests that the biological neutralization of acidic soil using these microbial metabolisms can effectively remediate soils with appropriated bio-stimulation (e.g., supplementation of nitrogen compounds) under various environmental conditions.
Author Contributions
Conceptualization, M.-J.C. and C.-G.K.; methodology, M.-J.C. and C.-G.K.; validation, M.-J.C., S.-Y.P. and C.-G.K.; writing—original draft preparation, M.-J.C.; writing—review and editing, S.-Y.P. and C.-G.K.; visualization, M.-J.C. and S.-Y.P.; supervision, C.-G.K.; funding acquisition, C.-G.K. All authors have read and agreed to the published version of the manuscript.
Funding
This study was supported by Korean Environment Industry & Technology Institute (KEITI) through the Ecological Imitation-based Environmental Pollution Management Technology Development Project and funded by the Korea Ministry of Environment (MOE) (2019002800004) and partially supported by INHA University Grant.
Institutional Review Board Statement
Not applicable.
Informed Consent Statement
Not applicable.
Conflicts of Interest
The authors declare no conflict of interest.
References
- Zou, X.; Xiao, X.; Zhou, H.; Chen, F.; Zeng, J.; Wang, W.; Feng, G.; Huang, X. Effects of soil acidification on the toxicity of organophosphorus pesticide on Eisenia fetida and its mechanism. J. Hazard. Mater. 2018, 359, 365–372. [Google Scholar] [CrossRef] [PubMed]
- Patrick, v.B.; Fleuren-Kemilä, A.K. Influence of pH on the toxic effects of zinc, cadmium, and pentachlorophenol on pure cultures of soil microorganisms. Environ. Toxicol. Chem. 1997, 16, 146–153. [Google Scholar]
- Haynes, R.J.; Mokolobate, M.S. Amelioration of Al toxicity and P deficiency in acid soils by additions of organic residues: A critical review of the phenomenon and the mechanisms involved. Nutr. Cycl. Agroecosyst. 2001, 59, 47–63. [Google Scholar] [CrossRef]
- Riaz, M.; Yan, L.; Wu, X.; Hussain, S.; Aziz, O.; Jiang, C. Mechanisms of organic acids and boron induced tolerance of aluminum toxicity: A review. Ecotoxicol. Environ. Saf. 2018, 165, 25–35. [Google Scholar] [CrossRef] [PubMed]
- Liu, D.; Zhang, C.; Chen, X.; Yang, Y.; Wang, S.; Li, Y.; Hu, H.; Ge, Y.; Cheng, W. Effects of pH, Fe, and Cd on the uptake of Fe2+ and Cd2+ by rice. Environ. Sci. Pollut. Res. 2013, 20, 8947–8954. [Google Scholar] [CrossRef] [PubMed]
- Cain, D.J.; Croteau, M.N.; Fuller, C.C. Dietary bioavailability of Cu adsorbed to colloidal hydrous ferric oxide. Environ. Sci. Technol. 2013, 47, 2869–2876. [Google Scholar] [CrossRef] [PubMed]
- Campana, O.; Simpson, S.L.; Spadaro, D.A.; Blasco, J. Sub-lethal effects of copper to benthic invertebrates explained by sediment properties and dietary exposure. Environ. Sci. Technol. 2012, 46, 6835–6842. [Google Scholar] [CrossRef]
- Simpson, S.L.; Vardanega, C.R.; Jarolimek, C.; Jolley, D.F.; Angel, B.M.; Mosley, L.M. Metal speciation and potential bioavailability changes during discharge and neutralisation of acidic drainage water. Chemosphere 2014, 103, 172–180. [Google Scholar] [CrossRef]
- Jia, J.; Gao, Y. Acid deposition and assessment of its critical load for the environmental health of waterbodies in a subtropical watershed, China. J. Hydrol. 2017, 555, 155–168. [Google Scholar] [CrossRef]
- Goulding, K.W.T. Soil acidification and the importance of liming agricultural soils with particular reference to the United Kingdom. Soil Use Manag. 2016, 32, 390–399. [Google Scholar] [CrossRef]
- Wen, X.; Duan, C.; Zhang, D. Effect of simulated acid rain on soil acidification and rare earth elements leaching loss in soils of rare earth mining area in southern Jiangxi Province of China. Environ. Earth Sci. 2013, 69, 843–853. [Google Scholar] [CrossRef]
- Zhang, W.; Yin, K.; Chen, L. Bacteria-mediated bisphenol A degradation. Appl. Microbiol. Biotechnol. 2013, 97, 5681–5689. [Google Scholar] [CrossRef] [PubMed]
- Dubiková, M.; Cambier, P.; Šucha, V.; Čaplovičová, M. Experimental soil acidification. Appl. Geochem. 2002, 17, 245–257. [Google Scholar] [CrossRef]
- Ginocchio, R.; De La Fuente, L.M.; Sánchez, P.; Bustamante, E.; Silva, Y.; Urrestarazu, P.; Rodríguez, P.H. Soil acidification as a confounding factor on metal phytotoxicity in soils spiked with copper-rich mine wastes. Environ. Toxicol. Chem. 2009, 28, 2069–2081. [Google Scholar] [CrossRef] [PubMed]
- Moon, D.H.; Chang, Y.Y.; Ok, Y.S.; Cheong, K.H.; Koutsospyros, A.; Park, J.H. Amelioration of acidic soil using various renewable waste resources. Environ. Sci. Pollut. Res. 2014, 21, 774–780. [Google Scholar] [CrossRef]
- Carvalho, M.C.S.; Van Raij, B. Calcium sulphate, phosphogypsum and calcium carbonate in the amelioration of acid subsoils for root growth. Plant Soil 1997, 192, 37–48. [Google Scholar] [CrossRef]
- Saadaoui, E.; Ghazel, N.; Ben Romdhane, C.; Massoudi, N. Phosphogypsum: Potential uses and problems—A review. Int. J. Environ. Stud. 2017, 74, 558–567. [Google Scholar] [CrossRef]
- Ernani, P.R.; Ribeiro, M.F.S.; Bayer, C. Chemical modifications caused by liming below the limed layer in a predominantly variable charge acid soil. Commun. Soil Sci. Plant Anal. 2004, 35, 889–901. [Google Scholar] [CrossRef]
- Huber, C.; Baier, R.; Göttlein, A.; Weis, W. Changes in soil, seepage water and needle chemistry between 1984 and 2004 after liming an N-saturated Norway spruce stand at the Höglwald, Germany. For. Ecol. Manag. 2006, 233, 11–20. [Google Scholar] [CrossRef]
- Nguyen, V.A.T.; Senoo, K.; Mishima, T.; Hisamatsu, M. Multiple tolerance of Rhodotorula glutinis R-1 to acid, aluminum ion and manganese ion, and its unusual ability of neutralizing acidic medium. J. Biosci. Bioeng. 2001, 92, 366–371. [Google Scholar] [CrossRef]
- Shiomi, N.; Yasuda, T.; Inoue, Y.; Kusumoto, N.; Iwasaki, S.; Katsuda, T.; Katoh, S. Characteristics of neutralization of acids by newly isolated fungal cells. J. Biosci. Bioeng. 2004, 97, 54–58. [Google Scholar] [CrossRef]
- Nabeshima, R.; Kusumoto, N.; Katoh, S.; Shiomi, N. Neutralization of acidified water by use of Rhizopus delemar immobilized with a cellulose membrane. Biochem. Eng. J. 2008, 41, 188–192. [Google Scholar] [CrossRef]
- Takahashi, N.; Saito, K.; Schachtele, C.; Yamada, T. Acid tolerance and acid-neutralizing activity of Fusobacterium nucleatum. Oral Microbiol. Immunol. 1997, 12, 323–328. [Google Scholar] [CrossRef] [PubMed]
- Liu, Y.; Tang, H.; Lin, Z.; Xu, P. Mechanisms of acid tolerance in bacteria and prospects in biotechnology and bioremediation. Biotechnol. Adv. 2015, 33, 1484–1492. [Google Scholar] [CrossRef]
- Phang, I.R.K.; Chan, Y.S.; Wong, K.S.; Lau, S.Y. Isolation and characterization of urease-producing bacteria from tropical peat. Biocatal. Agric. Biotechnol. 2018, 13, 168–175. [Google Scholar] [CrossRef]
- Mahdavi, A.; Sajedi, R.H.; Rassa, M. Investigation of acid-neutralizing property of Bacillus cereus GUF8. Biomacromol. J. 2017, 3, 18–25. [Google Scholar]
- Azcarate-Peril, M.A.; Altermann, E.; Hoover-Fitzula, R.L.; Cano, R.J.; Klaenhammer, T.R. Identification and inactivation of genetic loci involved with Lactobacillus acidophilus acid tolerance. Appl. Environ. Microbiol. 2004, 70, 5315–5322. [Google Scholar] [CrossRef] [Green Version]
- Park, S.Y.; Lee, G.W.; Kim, C.G. Microbial amelioration of acid mine drainage impaired soil using the bacterial consortia of Klebsiella sp. and Raoultella sp. J. Soil Groundw. Environ. 2021, 26, 34–44. [Google Scholar]
- Serrano, J.; Leiva, E. Removal of arsenic using acid/metal-tolerant sulfate reducing bacteria: A new approach for bioremediation of high-arsenic acid mine waters. Water 2017, 9, 994. [Google Scholar] [CrossRef] [Green Version]
- Tribedi, P.; Goswami, M.; Chakraborty, P.; Mukherjee, K.; Mitra, G.; Bhattacharyya, P.; Dey, S. Bioaugmentation and biostimulation: A potential strategy for environmental remediation. J. Microbiol. Exp. 2018, 6, 223–231. [Google Scholar] [CrossRef] [Green Version]
- Li, L.; Zhang, Z.; Wang, Y.; Xu, J. Efficient removal of heavily oil-contaminated soil using a combination of fenton pre-oxidation with biostimulated iron and bioremediation. J. Environ. Manag. 2022, 308, 114590. [Google Scholar] [CrossRef] [PubMed]
- Werheni Ammeri, R.; Di Rauso Simeone, G.; Hidri, Y.; Abassi, M.S.; Mehri, I.; Costa, S.; Hassen, A.; Rao, M.A. Combined bioaugmentation and biostimulation techniques in bioremediation of pentachlorophenol contaminated forest soil. Chemosphere 2022, 290, 133359. [Google Scholar] [CrossRef] [PubMed]
- Ramos-García, Á.A.; Walecka-Hutchison, C.; Freedman, D.L. Effect of biostimulation and bioaugmentation on biodegradation of high concentrations of 1,4-dioxane. Biodegradation 2022, 33, 157–168. [Google Scholar] [CrossRef] [PubMed]
- Palma, G.; Jorquera, M.; Demanet, R.; Elgueta, S.; Briceño, G.; de la Luz Mora, M. Urea Fertilizer and pH Influence on sorption process of Flumetsulam and MCPA acidic herbicides in a volcanic soil. J. Environ. Qual. 2016, 45, 323–330. [Google Scholar] [CrossRef]
- Mehmood, K.; Baquy, M.A.A.; Xu, R.K. Influence of nitrogen fertilizer forms and crop straw biochars on soil exchange properties and maize growth on an acidic Ultisol. Arch. Agron. Soil Sci. 2018, 64, 834–849. [Google Scholar] [CrossRef]
- Cai, Z.; Xu, M.; Zhang, L.; Yang, Y.; Wang, B.; Wen, S.; Misselbrook, T.H.; Carswell, A.M.; Duan, Y.; Gao, S. Decarboxylation of organic anions to alleviate acidification of red soils from urea application. J. Soils Sediments 2020, 20, 3124–3135. [Google Scholar] [CrossRef]
- Chen, X.; Achal, V. Effect of simulated acid rain on the stability of calcium carbonate immobilized by microbial carbonate precipitation. J. Environ. Manag. 2020, 264, 110419. [Google Scholar] [CrossRef]
- Tyurin, I.V. A new modification of the volumetric method of determining soil organic matter by means of chromic acid. Pochvovedenie 1931, 26, 36–47. [Google Scholar]
- Jankauskas, B.; Jankauskiene, G.; Slepetiene, A.; Fullen, M.A.; Booth, C.A. International comparison of analytical methods of determining the soil organic matter content of Lithuanian Eutric Albeluvisols. Commun. Soil Sci. Plant Anal. 2006, 37, 707–720. [Google Scholar] [CrossRef]
- Spartks, D.L.; Page, A.L.; Helmke, P.A.; Loepert, R.H.; Soltanpour, P.N.; Tabatabai, M.A.; Johnston, C.T.; Sumner, M.E. Soil Science Society of America. In Methods of Soil Analysis Part 3 Chemical Methods; John Wiley & Sons: New York, NY, USA, 1996. [Google Scholar]
- APHA-AWWA-WEF. American Water Works Association Water Environment Federation. In Standard Methods for Examinations of Water and Wastewater; American Public Health Association: Washington, DC, USA, 2018. [Google Scholar]
- Bouyoucos, G. Hydrometer method improved for making particle size analysis of soils. Agron. J. 1962, 54, 464–465. [Google Scholar] [CrossRef]
- Ashworth, J.; Keyes, D.; Kirk, R.; Lessard, R. Standard procedure in the hydrometer method for particle size analysis. Commun. Soil Sci. Plant Anal. 2001, 32, 633–642. [Google Scholar] [CrossRef]
- von Mersi, W.; Schinner, F. An improved and accurate method for determining the dehydrogenase activity of soils with iodonitrotetrazolium chloride. Biol. Fertil. Soils 1991, 11, 216–220. [Google Scholar] [CrossRef]
- Christensen, W.B. Urea decomposition as a means of differentiating proteus and paracolon cultures from each other and from Salmonella and Shigella types. J. Bacteriol. 1946, 52, 461–466. [Google Scholar] [CrossRef] [PubMed] [Green Version]
- Cho, M.J.; Park, S.Y.; You, E.Y.; Kim, C.G. Neutralization of acidic soil using Myxococcus xanthus: Important parameters and their implications. Geosyst. Eng. 2021, 24, 180–187. [Google Scholar] [CrossRef]
- Guan, N.; Liu, L. Microbial response to acid stress: Mechanisms and applications. Appl. Microbiol. Biotechnol. 2020, 104, 51–65. [Google Scholar] [CrossRef] [Green Version]
- Senouci-Rezkallah, K.; Schmitt, P.; Jobin, M.P. Amino acids improve acid tolerance and internal pH maintenance in Bacillus cereus ATCC14579 strain. Food Microbiol. 2011, 28, 364–372. [Google Scholar] [CrossRef]
- Özogul, F.; Özogul, Y. The ability of biogenic amines and ammonia production by single bacterial cultulres. Eur. Food Res. Technol. 2007, 225, 385–394. [Google Scholar] [CrossRef]
- Hamidi, N.H.; Ahmed, O.H.; Omar, L.; Chng, H.Y. Combined use of charcoal, sago bark ash, and urea mitigate soil acidity and aluminium toxicity. Agronomy 2021, 11, 1799. [Google Scholar] [CrossRef]
- Burbank, M.B.; Weaver, T.J.; Williams, B.C.; Crawford, R.L. Urease activity of ureolytic bacteria isolated from six soils in which calcite was precipitated by indigenous bacteria. Geomicrobiol. J. 2012, 29, 389–395. [Google Scholar] [CrossRef]
- Maroncle, N.; Rich, C.; Forestier, C. The role of Klebsiella pneumoniae urease in intestinal colonization and resistance to gastrointestinal stress. Res. Microbiol. 2006, 157, 184–193. [Google Scholar] [CrossRef]
- Lu, D.C. Pathways and regulation of bacterial arginine metabolism and perspectives for obtaining arginine overproducing strains. Appl. Microbiol. Biotechnol. 2006, 70, 261–275. [Google Scholar] [CrossRef] [PubMed]
- Zúñiga, M.; Pérez, G.; González-Candelas, F. Evolution of arginine deiminase (ADI) pathway genes. Mol. Phylogenet. Evol. 2002, 25, 429–444. [Google Scholar] [CrossRef]
- Moreau, P.L. The lysine decarboxylase CadA protects Escherichia coli starved of phosphate against fermentation acids. J. Bacteriol. 2007, 189, 2249–2261. [Google Scholar] [CrossRef] [PubMed] [Green Version]
- Reeve, B.W.P.; Reid, S.J. Glutamate and histidine improve both solvent yields and the acid tolerance response of Clostridium beijerinckii NCP 260. J. Appl. Microbiol. 2016, 120, 1271–1281. [Google Scholar] [CrossRef]
- Teixeira, J.S.; Seeras, A.; Sanchez-Maldonado, A.F.; Zhang, C.; Su, M.S.W.; Gänzle, M.G. Glutamine, glutamate, and arginine-based acid resistance in Lactobacillus reuteri. Food Microbiol. 2014, 42, 172–180. [Google Scholar] [CrossRef]
- De Biase, D.; Tramonti, A.; Bossa, F.; Visca, P. The response to stationary-phase stress conditions in Escherichia coli: Role and regulation of the glutamic acid decarboxylase system. Mol. Microbiol. 1999, 32, 1198–1211. [Google Scholar] [CrossRef] [Green Version]
- Pennacchietti, E.; D’alonzo, C.; Freddi, L.; Occhialini, A.; De Biase, D. The glutaminase-dependent acid resistance system: Qualitative and quantitative assays and analysis of its distribution in enteric bacteria. Front. Microbiol. 2018, 9, 2869. [Google Scholar] [CrossRef] [Green Version]
- Lu, P.; Ma, D.; Chen, Y.; Guo, Y.; Chen, G.Q.; Deng, H.; Shi, Y. L-glutamine provides acid resistance for Escherichia coli through enzymatic release of ammonia. Cell Res. 2013, 23, 635–644. [Google Scholar] [CrossRef] [Green Version]
Publisher’s Note: MDPI stays neutral with regard to jurisdictional claims in published maps and institutional affiliations. |
© 2022 by the authors. Licensee MDPI, Basel, Switzerland. This article is an open access article distributed under the terms and conditions of the Creative Commons Attribution (CC BY) license (https://creativecommons.org/licenses/by/4.0/).



