Next Article in Journal
Optimization of Carbon Fiber Reinforced Plastic Curing Parameters for Aerospace Application
Previous Article in Journal
Insights into Della Robbia’s Terracotta Monument to Cardinal Federighi: Raw Materials and Technologies
 
 
Font Type:
Arial Georgia Verdana
Font Size:
Aa Aa Aa
Line Spacing:
Column Width:
Background:
Article

Physiological and Biochemical Variations in Celery by Imidacloprid and Fenpyroximate

1
State Key Laboratory for Managing Biotic and Chemical Threats to the Quality and Safety of Agro-Products, Ministry of Agriculture and Rural Affairs Key Laboratory for Pesticide Residue Detection, Institute of Agro-Products Safety and Nutrition, Zhejiang Academy of Agricultural Sciences, Hangzhou 310021, China
2
College of Food Science and Technology, Hainan University, Haikou 570228, China
*
Authors to whom correspondence should be addressed.
Appl. Sci. 2022, 12(9), 4306; https://doi.org/10.3390/app12094306
Submission received: 16 March 2022 / Revised: 18 April 2022 / Accepted: 19 April 2022 / Published: 24 April 2022
(This article belongs to the Section Agricultural Science and Technology)

Abstract

:
Pesticides are one of the abiotic stresses that have had an impact on the quality of agricultural products, especially in China. This study was the first to explore the soluble protein (SP) accumulation, peroxidase (POD) activity, and superoxide dismutase (SOD) activity variations in the stem and leaf of celery plants in the field after 2 h, 1, 3, 5, 8, 10, 14, 21, 28-day of spraying imidacloprid (IMI) and fenpyroximate (FEN) at various doses. The findings demonstrated that there was no notable difference in ultimate residues between 1 F and 10 F, and even with the 10 F treatment, the residues were not a concern. The SP accumulation alterations were mainly provoked by residues, which dramatically boosted in stem and eventually declined in leaf. The POD activity in celery was a dynamic process with a marked shift (enhanced and declined) when compared with non-pesticide treatment after 28 days. The field trial exhibited that the SOD was principally positioned in leaf whether pesticides were applied or not, which might be due to the distinctive structure of the celery leaf compared with the stem. No obvious linear relation between application dose and SOD activity was observed.

1. Introduction

Pesticides are one of the most prominent stresses that plants face during their growth and evolution, causing a variety of physiological and biochemical reactions [1,2,3]. Pesticides are universally applied in agricultural operations around the world because of the benefits of defending crops and increasing production [4,5]. The use of chemical pesticides in wholesale, undisciplined, and excessive amounts has resulted in widespread pesticide contamination among cropping environments, as reported in several studies [6,7]. The investigation on pesticide use in rice from Berg Håkan revealed 64 different pesticides for pest management in the Mekong rice farming area [8]. The literature found that organochlorine pesticides were universally used in wheat sowing, and some wheat samples with residues even exceeded the maximum residue limit [9]. In a study of pesticide residues found in persimmons and jujubes, a total of 12 pesticides were detected, with the highest residue amount reaching 2.95 mg kg−1 [10]. A report on cucumber and pepper pesticide residues revealed that 170 different pesticides were identified by LC-MS/MS [11]. Moreover, multiple samples of celery pesticide residues were above the maximum residue limit [12]. However, the majority of pesticide studies focus on pesticide residues in plants, and the physiology and biochemistry of plants under pesticide stress have not been explored.
Celery, a member of the apiaceae family, has long been celebrated for its unique aroma and flavor, as well as its high fiber content. Similarly, celery is widely acknowledged as a functional food that aids in the prevention, management, and treatment of chronic diseases by a wide range of consumers [13,14]. According to a study on Labeo chrysophekadion fed celery extract, the treated fish’s ability to no-specific immune response and disease struggle was improved [15]. Besides, the study revealed that celery water extract can kill viruses and prevent them from replicating [16]. Celery, on the other hand, has therapeutic actions that are highly linked to plant antioxidant status [17]. Despite this, the published research on celery physiology and biochemistry under pesticide exposure in the field remains unknown.
Therefore, celery was used as the research plant due to the numerous characteristics of celery’s popularity. Imidacloprid and fenpyroximate, which have been widely used in crop cultivation environments, were chosen as pesticide stresses. Here, the major goals of this current research were to (1) investigate the pesticide residues in celery stem and leaf at experimental periods in a field environment, (2) explore the impact of pesticides on soluble protein accumulation in celery plants, and (3) evaluate the activities of peroxidase and superoxide dismutase in celery under pesticide treatment.

2. Materials and Methods

2.1. Materials

Imidacloprid (IMI: purity exceeding 99%) and fenpyroximate (FEN: purity exceeding 98%) were obtained from Dr Ehrenstorfer GmbH (Augsburg, Germany). The IMI (10%) and FEN (5%) sprayed in field were procured from Hailier Pharmaceutical Group Co. (Qingdao, China) and Huifeng agrochemical Co., Ltd. (Yancheng, China), respectively. WondaPak QuEChERS extract salt packets (NaCl 1 g, Na3C6H5O7·2 H2O 1 g, Na2C6H6O7·1.5 H2O 0.5 g, MgSO4 4 g) and Agela Cleanert MAS-Q purification pipe (C18 50 mg, PSA 50 mg, PC 8 mg and 50 mg, MgSO4 150 mg) were from Daojin Jiyou Trading Co. (Shanghai, China) and Bonaijer Technology Co., Ltd. (Tianjin, China), respectively. Other chemical solvents were of HPLC grade, acetonitrile and formic acid, which were bought from Merck Co., Ltd. (Darmstadt, Germany) and Anaqua Chemicals (Cleveland, OH, USA), respectively. Relevant physiological and biochemical index determination kits (A045-2 protein quantitative test box, A084-3 POD test box and A001-3 SOD test box) were provided by Jiancheng Bioengineering Research Institute (Nanjing, China).

2.2. Experimental Design

The field trial of this study was conducted in completely random plots. The testing celery variety was Huang-Hsin celery. Five treatments were applied: (1) CK (control check), (2) T1 (spraying IMI at 1-fold dose (1 F) in 30 g a.i./hm2 plot), (3) T2 (spraying IMI at 10-fold dose (10 F) in 300 g a.i./hm2 plot), (4)T3 (spraying FEN at 1-fold dose in 37.5 g a.i./hm2 plot), and (5) T4 (spraying FEN at 10-fold dose in 375 g a.i./hm2 plot). The above treatment plots designed in triplicate were all 30 m2. The treatment groups were sprayed with the corresponding dose of IMI and FEN, whilst CK group was sprayed with solvent without pesticide. The field experiment was performed over about one month. The stems and leaves of celery were sprayed during the growth period. Samples (stems and leaves of celery) were periodically collected in 2 h, 1, 3, 5, 8, 10, 14, 21, and 28 d after being treated to quantify the residues of IMI and FEN, the amounts of soluble protein (SP), and the activities of peroxidase (POD) and superoxide dismutase (SOD).

2.3. Analytical Techniques

2.3.1. Regular Index Analysis

The residues of IMI and FEN were measured by LCMS-8050 (Shimadzu Corporation, Kyoto, Japan) as proposed by Liu et al. [18].

2.3.2. Determination of Physiological Parameters

Add PBS (phosphate buffer saline) buffer to celery plant samples, stems or leaves (PBS buffer: sample = 1:4), respectively. The state of the homogenate was ground in the conditions of an ice bath, frozen and centrifuged at 4 °C and 3500 r/min for 10 min to obtain the supernatant (enzyme crude extract). The crude enzyme extracts were placed in centrifuge tubes and stored at 4 °C for following determination. The SP, POD and SOD in processed samples were determined by the A045-2 protein quantitative test box, the A084-3 POD test box and the A001-3 SOD test box, respectively.

2.3.3. Pesticide Half-Lives and Statistical Analyses

The half-lives (T1/2) of IMI and FEN were computed by Equations (1) and (2):
T1/2 = ln2/k
Ct = C0e−kt
where k is the pesticide’s degradation rate constant [19]. C0 and Ct represent the concentrations of residue (mg kg−1) at time 0 and t (day), respectively.
The field experiment data were computed and statistically analyzed using Microsoft Office Excel 2010 and SPSS 17.0 software, respectively, and the treated data were displayed as the mean SD. Drawings were processed with Origin 2016. At a range of p < 0.05, we judged significant differences. The correlations between SP concentration and the activities of POD and SOD were tested by Pearson correlation analysis.

3. Results

3.1. Imidacloprid and Fenpyroximate Residue Concentration

According to the quantitative data from the LCMS-8050 (Figure 1), the residue concentrations of IMI and FEN were analyzed. As shown in Figure 1A, the initial residue amounts (2 h after application) of pesticides IMI in celery after spraying at the concentration of 1 F fluctuated within range of 0.85 ± 0.1 mg kg−1 (in stem) and 3.31 ± 0.28 mg kg−1 (in leaf), respectively. The initial degradation rates of IMI in stem and leaf were 35.83% and 80.60%, with the degradable loading rates of 0.015 mg kg−1 d−1 and 0.133 mg kg−1 d−1, respectively. For another pesticide FEN, the initial residues in celery were 1.16 ± 0.06 mg kg−1 (in stem) and 3.68 ± 0.14 mg kg−1 (in leaf), respectively, its initial degradation rates were 26.72% and 74.46% (highest in stems and leaves), with the degradable loading rates of 0.016 mg kg−1 d−1 and 0.137 mg kg−1 d−1 in stem and leaf. The highest degradation rate of IMI in celery was 91.35% (contrast stem and leaf) with a degradable loading rate of 0.001 mg kg−1 d−1 between 5 days and 8 days. Noteworthy, celery (whether stem or leaf) first had a dramatic reduction in 24 h and then exhibited a slow degradation (Figure 1A). For the degradation of pesticides IMI and FEN spraying at a concentration of 1 F, the stem and leaf of celery showed a significant difference, pesticides IMI and FEN residues in leaves were much higher than those in stems, which might be attributed to the fact that leaves in celery are more exposed to pesticides when spraying pesticides.
In terms of pesticides, IMI and FEN spraying at a concentration of 10 F (Figure 1B), the initial IMI concentration was 5.76 ± 0.22 mg kg−1 (in stem) and 30.86 ± 0.60 mg kg−1 (in leaf). The initial degradation rates of IMI in stem and leaf were 10.92% and 51.73%. Additionally, its highest degradation rates were 73.22% and 78.41% on 8 days and 14 days, with degradable loading rates of 0.005 mg kg−1 d−1 and 0.009 mg kg−1 d−1, respectively. For FEN, its initial concentrations were 6.97 ± 0.21 mg kg−1 (in stem) and 21.47 ± 0.22 mg kg−1 (in leaf). Additionally, its highest degradation rates were 87.69 % (in stem) and 76.97 % (in leaf) on 21 days, with degradable loading rates of 0.003 mg kg−1 d−1 and 0.007 mg kg−1 d−1, respectively. The results in Figure 1B showed that celery (whether stem or leaf) first underwent a rapid absorption process, followed by a rapid degradation of the pesticides in 3 days, and then emerged a slight degradation pattern. The residue amounts of IMI at 10 F (0.01 mg kg−1 in stem and 0.005 mg kg−1 in leaf) were far below the maximum residue limits (MRL: 5 mg kg−1) [20]. The residues of FEN in stem and leaf were 0.41 mg kg−1 and 0.33 mg kg−1, which were far below initial FEN concentrations (the MRL of FEN has not been specified). In the present study, the residual concentration levels of the two pesticides in celery all followed the sequence: leaf > stem. Ultimately, there was no significant difference in pesticide IMI and FEN residues in stems and leaves after 28 days of application at a concentration of 10 F.
The results obtained from the residue trial (stem and leaf) showed that pesticides IMI and FEN sprayed at the concentrations of 1 F and 10 F in celery degraded, complying with first-order kinetics (Table 1). The R values of residual kinetic equations ranged from 0.815 to 0.991, yet having a good fit with first-order kinetics under the condition of complexity and uncertainties in the experimental field. The above results are consistent with plenty of published papers [21,22]. As explained in Table 1, the K values of IMI in leaf and stem at the concentration of 1 F fluctuate between 0.1259 and 0.1898 showing a slower dissipation in leaf compared with stem in celery. A similar conclusion can be gained from FEN applications in this study.

3.2. Soluble Protein Accumulation

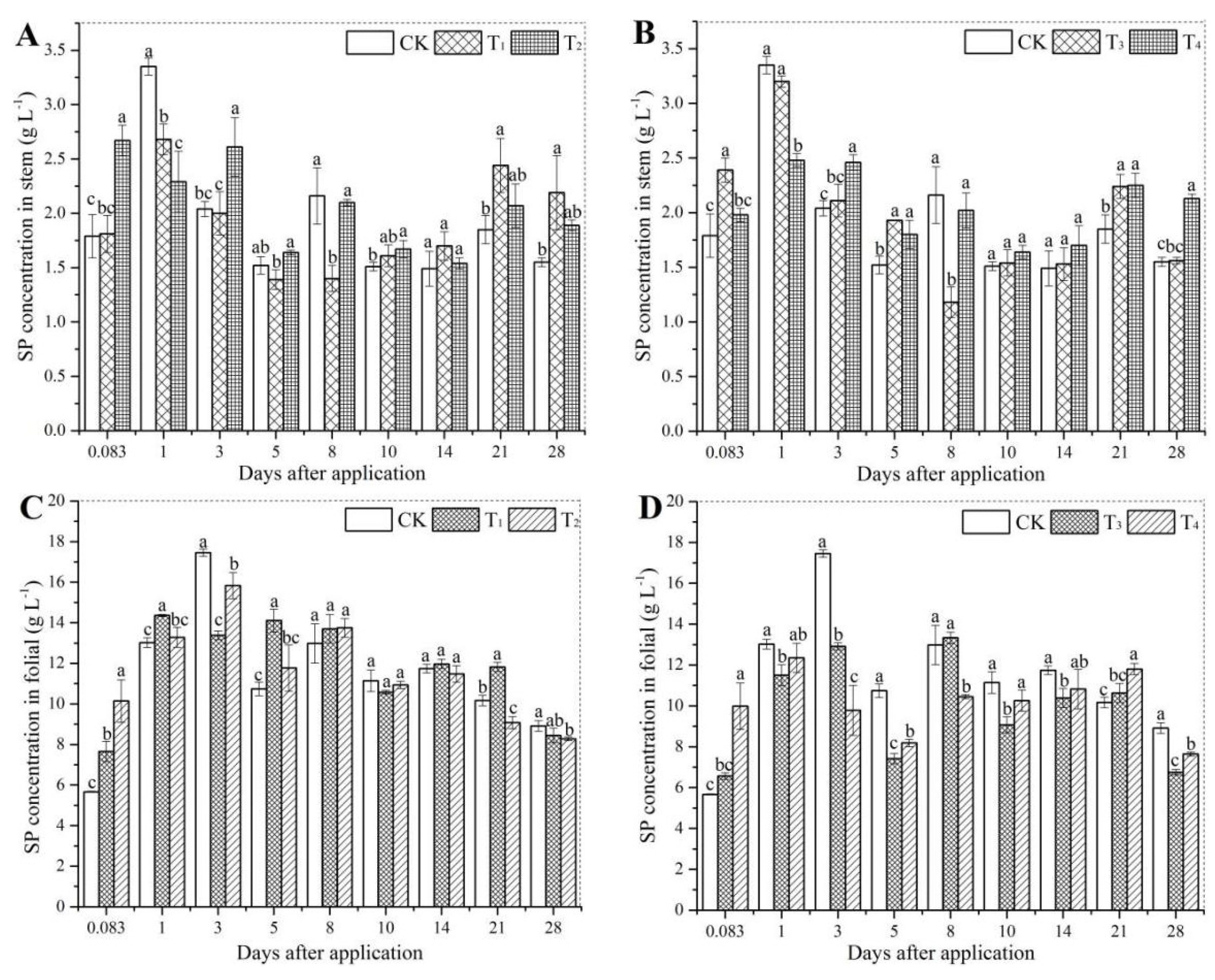
The effect of spraying celery plants grown under two pesticides (IMI and FEN) with three concentrations (0, 1 F, and 10 F) after 2 h, 1, 3, 5, 8, 10, 14, 21, and 28 days on soluble protein (SP) content was examined. The concentration of SP in stem and leaf was measured by a microplate reader at 595 nm (Figure 2). After 2 h of spraying celery with IMI and FEN (for tissue stem), the SP in the T2 (Figure 2A) and T3 (Figure 2B) treatments changed dramatically when compared to the non-pesticided treatment. Furthermore, the SP concentration in stem dropped by 20.05% (T1), 31.63% (T2), 4.61% (T3) and 26.20% (T4) after one day of application, and there were significant differences between CK and treatments (T1, T2 and T4), which indicated that the celery itself has made a stress response due to the residues. Additionally, following a 3-day application of pesticides, SP concentration showed a considerable increase. Additionally, a similar phenomenon was observed after a 5-day application. After an 8-day treatment, the content of SP was found to be significantly lower in T1 and T3. Under treatments with CK, there were no significant differences after 10 and 14 days of application. On the 28th day, a significant increase in T1 and T4 was seen. Positive feedback was seen at an intermediate concentration of 1 F and a ceiling concentration of 10 F, implying that the disparate stress reaction occurred in the tissue stem after spraying celery with varying concentrations of IMI and FEN.
In contrast, the levels of SP in tissue leaf increased significantly after 2 h application in all treatments (T1, T2, T3, and T4) (Figure 2C,D), with the SP amount increasing by 34.88% (T1), 78.94% (T2), 15.85% (T3) and 76.26% (T4) in leaf after 2 h when compared to the non-pesticided condition. The leaf tissue’s reaction to pesticide was speedier than the stem tissue’s, which could be owing to the leaf tissue’s higher residue. A notable difference was seen at the same dose with two pesticides, namely, a significant increase and a decrease in T1 and T3 on one day, respectively, implying that celery is more adaptable to pesticide IMI when compared to FEN, a similar conclusion could be found at the results of 5, 14 and 21-day application. Furthermore, the levels of SP in treatment groups IMI and FEN on 5-day application were considerably increased and decreased, respectively. When spraying celery with IMI (Figure 2C), there was no notable difference between treatments and controls after 8, 10, and 14 days, but there was a considerable depression when spraying with FEN (Figure 2D). After 28 days of application of IMI and FEN to celery, the quantity of SP in leaf decreased by 5.11% (T1), 7.04% (T2), 24.27% (T3) and 14.19% (T4), respectively, which was disagreement with the variation of SP in stem.

3.3. Peroxidase Activity

Figure 3 manifests four histograms of the POD activity in celery (including stem and leaf) with pesticide treatments during the experimental period at 2 h, 1, 3, 5, 8, 10, 14, 21 and 28 d. POD activities in the stem were all significantly altered (increased or decreased) by pesticide treatments with IMI and FEN at a concentration of 10 F (Figure 3A,B). As shown in Figure 3A, the POD activity in one day was promoted, obviously, with a gradual enhancement of IMI concentration. The transition phase was 3 to 5 d, and then POD activity ascended steadily until it returned to the initial state. Apparently, variation (increased or decreased) was observed in 2 h (Figure 3B). Totally speaking, the celery stem was greatly affected by FEN at concentration 1 F from 3 to 15 d, which was contrary to the result of IMI. The lowest and highest POD activities were 16.39 U/mg prot and 124.55 U/mg prot of concentration 1 F at 5 and 28 days, respectively. The value of POD was perpetually steady between 50 U/mg prot and 85 U/mg prot at a concentration of 10 F, while the range of lower concentration was 16.39 U/mg prot to 73.82 U/mg prot, which indicated that FEN in 1 F concentration had a great influence on POD compared to FEN in 10 F concentration.
POD activity in celery leaf was further analyzed at various pesticide exposure concentrations of IMI and FEN (Figure 3C,D). Evident stress response can be seen in Figure 3C and appeared in 3 to 21 d (concentration dropped), and the value of POD was steady between 10 U/mg prot and 18 U/mg prot after IMI treatment until the initial state was restored at 28-d. The highest POD activity was 25.81 U/mg prot and 29.43 U/mg prot with an IMI of concentration of 1 F and 10 F at 1 and 28 d, respectively. As presented in Figure 3D, marked elevation has taken place from the beginning, which suggests that celery leaf could efficiently remove peroxides and free radicals from the body in the initial period under the function of FEN. However, it then declined 43.69% and 26.18% compared to non-pesticide treatment when FEN at 10 F and 1 F concentration in 1 to 3 d. Overall, the value of POD in celery was a dynamic process, with the content in stem being much higher than that in leaf regardless of pesticide presence or absence.

3.4. Superoxide Dismutase Activity

The superoxide dismutase (SOD) activity (Figure 4) was thoroughly analyzed in stem and leaf of celery plants exposed to diverse pesticide treatments at the concentrations of 1 F and 10 F. The variation of SOD activity in celery after spraying IMI at the levels of 0, 1 and 10 F under 2 h, 1, 3, 5, 8, 10, 14, 21 and 28 d application was exhibited in Figure 4A. For SOD activity in tissue stem (histogram), a remarkable shift (reduced) was first observed after one day at 1 F and continued until 3 d. The apparent promotion was found after 5 d and 8 d, then a significant decline occurred at 10 d and 14 d, and finally the increased markedly after 21 and 28 d. In the case of severe stress (10 F), the detected result of activity of SOD was increased by 47.47% (highest) after 10 d compared to control. Broadly speaking, the results indicated that the obvious positive variation was caused by mild stress compared to CK according to the average level of SOD activity. For SOD activity in the leaf stem (line chart), the visible increase in SOD activity occurred only after 14 days of mild and severe treatment, and then returned to the initial level. In general, the SOD activity in leaf was much higher than that in the stem.
As depicted in Figure 4B, in view of the results that were detected by a microplate reader at 450 nm, the SOD activity in stem and leaf of celery under different stresses (0, 1 and 10 F) of FEN was discussed. The histogram and line chart represent the SOD activity in stem and leaf, respectively. For tissue stem, a marked reduction of SOD activity in T3 after 5 d compared to CK, while T4 had no statistically significant change. The SOD activity quantum of boost was highest at 49.01% at 10 F level compared to control as well as T4 increased to 13.79% after 10 d. SOD activity was all boosted, obviously, while T4 increased the most, at 43.03 % after 28 d. The result demonstrated that tissue stem of celery had a higher tolerance to FEN compared to T3. In the tissue leaf of celery, initial stage (2 h) caused significant physiological changes. In other words, the leaf of celery was more sensitive to FEN compared to IMI. The most sharp reduction in SOD activity occurred on 5 d, decreased by 53.76% (T3) and 58.57% (T4), respectively. The regular increase appeared on 14 d, increasing by 19.19% (T3) and 41.55% (T4), respectively. There was an extreme drop at various levels on 28 d compared to the SOD activity in 21 d and had a prominent reduction compared to CK.

3.5. Pearson Correlation Analysis

A Pearson correlation analysis (PCA) was applied to further explore the bond between SP concentration and biochemical results. The result of PCA in Figure 5A exhibited that SP concentration (T4 in stem) was positively correlated to the activity of SOD (r = 0.754 *) in T4 in stem. There were also significant positive correlations: the activity of SOD (T3 in stem) with SP concentration (T3 in leaf, r = 0.678 *) (Figure 5B), and the activity of POD (T4 in stem) with the activity of POD (T4 in leaf, r = 0.811 *) (Figure 5C). Based on these results, the SP concentration could be regarded as an optional marker for reflecting the activity of SOD in the light of the strong relationship between them. On the other hand, the activity of SOD (T4 in stem) maintained a significantly negative relationship with the activity of POD (T4 in stem, r = −0.669 *) (Figure 5D). For the relationship between POD activity and SP concentration (Figure 5E,F), a significant negative correlation (r = −0.902 **) between POD activity (T1 in stem) and SP concentration (T1 in leaf) was observed, as was a significant negative correlation (r = −0.797 *) between POD activity (T3 in leaf) and SP concentration (T3 in leaf), indicating a negative relationship between POD activity and SP concentration, which demonstrated the conclusion of Figure 5D on the basis of the relation between SOD with SP concentration in a roundabout way.

4. Discussion

Quantitative results of a field trial showed that the pesticides IMI and FEN in leaves and stems of celery were far below MRL (IMI: 5 mg kg−1; the MRL value of FEN has not been specified) for day 28 after the pesticides were sprayed with two selected doses. The initial and ultimate residues in celery under field conditions are related to plant species and leaf characteristics [23,24]. Despite the residual amounts in leaves were much higher than those in stems, there was no marked difference in the final residues in various parts of celery. Application method (irrigation versus spray) and dose, pesticide types, sampling time, plant metabolism features, and other factors might influence degradation in different celery plant tissues [25,26,27,28]. Three treatment groups of experimental residues in leaf (1 F: IMI, FEN, 10 F: FEN) had a slight increase for day 5, which might be attributed to a slower metabolism and pesticide transfer from stems [29,30]. Therefore, the results of IMI and FEN residues on day 28 revealed that, regardless of dosage and spraying pattern, the residue levels in different celery tissues eventually converged.
The SP in plants was not only a nutrient substance, but a crucial role in regulating osmosis when faced with abiotic stress [31], and was also an indicator of plant stress resistance concurrently [32]. The results of a field trial about SP concentration in stem showed that applying IMI and FEN caused SP levels to be boosted first and attain its highest value after 1-day application at 1 F, which was a remarkable decrease when compared with control, then promoted significantly as compared with CK after 3-day application, which indicated that the stress response of celery in the middle and late stages was more evident than that in the initial stage due to pesticide stress. It was reported that stress of pesticides on plants not only repressed the antioxidant function, but also caused plant metabolic disorder [33]. On the other hand, SP levels in leaf increased quickly within 3-day application and then reduced gradually over the next 3 to 28 days, which suggested that the ability of celery to respond to pesticides could be reduced under sustained pesticide stress. It was imperative to note that the SP concentration in leaf was constantly much higher than that in stem. This situation might be attributed to spray patterns and tissue structure [34,35]. To conclude, the stress resistance of celery was enhanced after IMI treatments when compared with FEN groups according to the aforementioned data from stem and leaf under field conditions.
POD, a universally occurring enzyme that exists in animals, plants, and microorganisms, has the dual effect of eliminating the toxicity of phenols and amines [36,37]. Furthermore, POD, which is more sensitive to environmental factors, could catalyze the oxidative decomposition of toxic substances [38]. In this experiment, the activity of POD in celery (including stem and leaf) had changed markedly compared with control, mild or severe pesticide stress, which implied that in response to external environmental stress, celery responds to environment conditions. Celery still maintained normal metabolic activities in stem (IMI) and leaf (FEN) at mild and severe pesticide treatments, which demonstrated differences in the self-regulation of different celery tissues (stem > leaf) [39]. Through the statistical analysis by Spss software, a noteworthy correlation (Pearson correlation = 0.852 **) was discovered between the POD activity (leaf) and the POD activity (stem) in T3, which suggested the synchronization of celery stem and leaf in response to low-concentration pesticide stress. According to precedent results, POD activity was affected by types and doses of pesticides when POD activity in pesticide treatments was compared to non-pesticide treatment.
SOD could clear up toxic substances, which cause casualties to cell membrane structure and capacity produced by organisms in the course of metabolism [40,41]. Moreover, SOD can also renovate impaired cells promptly and recover the damage caused by free radicals [42]. The results from the field trial exhibited the dynamic change process of SOD activity of celery in stem and leaf. In the aggregate, the SOD was primarily positioned in leaf under the IMI and FEN treatments, which might be closely related to its initial content and structure in the celery leaf [43,44]. A remarkable promotion of SOD activity in stem was accompanied by a significant decrease in SOD activity in leaf after 10 d. This result is probably due to the pesticide-induced stress, which leads to the transfer of SOD from leaf to stem in the same plant celery. The increased SOD activity was mainly related to the lower residue concentrations in stems compared to leaves, helping plants to maintain regular physiological activity in the face of stress [45,46]. Utilization of FEN weakened sharply the SOD activity in both stem and leaf after 5 d compared to IMI, which was consistent with research findings of a reduction in SOD activity after avermectin treatment [47]. Additionally, the experimental results also explained why celery was more sensitive to FEN. Ultimately, the SOD activity of celery (stem) was significantly enhanced with IMI-treated after 28 d compared to FEN-treated, which demonstrated that the effect of IMI-treated on the increase in SOD activity was greater than FEN-treated. Increased levels of SOD activity were found, implying that celery collects more antioxidants in order to detoxify the different free radicals produced.
In this present study, pesticide residue in celery acting as an abiotic stress is distinguished from drought, salinity, and heavy metals on account of the peculiar degradation characteristics. The result found that residues cause the dynamic change of SP, and the related enzyme activities will also alter accordingly. For, e.g., residues in stem eventually led to a significant boost in the SP content while a marked decline in leaf, which explains that reactive oxygen species have been produced to preserve routine cell metabolism and structure [48], and that response in the celery stem might prevent or scavenge ROS, bringing about protein accumulation. Similarly, celery strengthened resistance by regulating metabolic activity based on the activities of POD and SOD in stem at mild stress (1 F). The effect of pesticide stress on POD activity in stem was greater than that in leaf, while the consequence of SOD activity was merely the opposite, which is largely ascribed to the difference between POD and SOD activity in different tissues. Finally, the SP concentration was strongly correlated with SOD activity and strongly correlated with POD activity.

5. Conclusions

Pesticides IMI and FEN residues in stem and leaf celery after 28 days were sprayed at concentrations of 1 F and 10 F, which were inclined to an identical level and even with 10 F, the residues were safe for human. The soluble protein accumulation caused by IMI and FEN residues was significantly boosted in the stem and declined in the leaf when compared with the control check. The POD activities in pesticide stress treatment have shifted markedly (increased and decreased) compared with non-pesticide conditions after 28 days. The SOD activities in leaves were much higher than those in stems, primarily owing to the structure of the celery leaf, regardless of whether pesticides were used or not. The SOD activity of celery in stem was significantly enhanced with IMI-treated compared with FEN stress, and there was no obvious linear relationship with application dose. This research provides a worthy reference for the influence of pesticides on the physiological and biochemical parameters of celery plants.

Author Contributions

Conceptualization, C.Z. and Q.W.; methodology, Y.L. (Ying Liu) and C.Z.; software, Y.L. (Yanjie Li); validation, X.W. and H.H.; formal analysis, Y.L. (Yanjie Li); investigation, J.J.; resources, Q.W.; data curation, Y.L. (Ying Liu); writing—original draft preparation, Y.L. (Ying Liu); writing—review and editing, Y.L. (Yuqin Luo) and C.Z.; visualization, N.F.; supervision, X.Z.; project administration, C.Z.; funding acquisition, C.Z. All authors have read and agreed to the published version of the manuscript.

Funding

This research was funded by the Basic Public Welfare Project of Zhejiang Province of China (No. LGN21C140006) and the National Key Research and Development Program of China (2016YFD0200204).

Institutional Review Board Statement

Not applicable.

Informed Consent Statement

Not applicable.

Data Availability Statement

Not applicable.

Conflicts of Interest

The authors declare no conflict of interest.

References

  1. Etesami, H.; Fatemi, H.; Rizwan, M. Interactions of nanoparticles and salinity stress at physiological, biochemical and molecular levels in plants: A review. Ecotoxicol. Environ. Saf. 2021, 225, 112769. [Google Scholar] [CrossRef] [PubMed]
  2. Homayoonzadeh, M.; Hosseininaveh, V.; Haghighi, S.R.; Talebi, K.; Roessner, U.; Maali-Amiri, R. Evaluation of physiological and biochemical responses of pistachio plants (Pistacia vera L.) exposed to pesticides. Ecotoxicology 2021, 30, 1084–1097. [Google Scholar] [CrossRef] [PubMed]
  3. Brito, C.; Dinis, L.T.; Ferreira, H.; Rocha, L.; Pavia, I.; Moutinho-Pereira, J.; Correia, C.M. Kaolin particle film modulates morphological, physiological and biochemical olive tree responses to drought and rewatering. Plant Physiol. Biochem. 2018, 133, 29–39. [Google Scholar] [CrossRef] [PubMed]
  4. Food and Agriculture Organization. World Food and Agriculture-Statistical Yearbook 2020. Rome. Available online: https://www.fao.org/documents/card/en/c/cb1329en (accessed on 21 April 2022).
  5. Li, X.; Giles, D.K.; Niederholzer, F.J.; Andaloro, J.T.; Lang, E.B.; Watson, L.J. Evaluation of an unmanned aerial vehicle as a new method of pesticide application for almond crop protection. Pest Manag. Sci. 2021, 77, 527–537. [Google Scholar] [CrossRef]
  6. Amirgaliev, N.A.; Askarova, M.; Opp, C.; Medeu, A.; Kulbekova, R.; Medeu, A.R. Water Quality Problems Analysis and Assessment of the Ecological Security Level of the Transboundary Ural-Caspian Basin of the Republic of Kazakhstan. Appl. Sci. 2022, 12, 2059. [Google Scholar] [CrossRef]
  7. Melendez-Pastor, I.; Hernández, E.I.; Navarro-Pedreño, J.; Almendro-Candel, M.B.; Lucas, I.G.; Vidal, M.M.J. Occurrence of Pesticides Associated with an Agricultural Drainage System in a Mediterranean Environment. Appl. Sci. 2021, 11, 10212. [Google Scholar] [CrossRef]
  8. Berg, H. Pesticide use in rice and rice-fish farms in the Mekong Delta, Vietnam. Crop Prot. 2001, 20, 897–905. [Google Scholar] [CrossRef]
  9. Guler, G.O.; Cakmak, Y.S.; Dagli, Z.; Aktumsek, A.; Ozparlak, H. Organochlorine pesticide residues in wheat from Konya region, Turkey. Food Chem. Toxicol. 2010, 48, 1218–1221. [Google Scholar] [CrossRef]
  10. Liu, Y.; Li, S.; Ni, Z.; Qu, M.; Zhong, D.; Ye, C.; Tang, F. Pesticides in persimmons, jujubes and soil from China: Residue levels, risk assessment and relationship between fruits and soils. Sci. Total Environ. 2016, 542, 620–628. [Google Scholar] [CrossRef]
  11. Golge, O.; Hepsag, F.; Kabak, B. Health risk assessment of selected pesticide residues in green pepper and cucumber. Food Chem. Toxicol. 2018, 121, 51–64. [Google Scholar] [CrossRef]
  12. Fang, L.; Zhang, S.; Chen, Z.; Du, H.; Zhu, Q.; Dong, Z.; Li, H. Risk assessment of pesticide residues in dietary intake of celery in China. Regul. Toxicol. Pharm. 2015, 73, 578–586. [Google Scholar] [CrossRef] [PubMed]
  13. Lau, H.; Koh, H.M.; Dayal, H.; Ren, Y.; Li, S.F.Y. Optimisation of an aglycone-enhanced celery extract with germinated soy supplementation using response surface methodology. Foods 2021, 10, 2505. [Google Scholar] [CrossRef] [PubMed]
  14. Arsenov, D.; Župunski, M.; Pajević, S.; Borišev, M.; Nikolić, N.; Mimica-Dukić, N. Health assessment of medicinal herbs, celery and parsley related to cadmium soil pollution-potentially toxic elements (PTEs) accumulation, tolerance capacity and antioxidative response. Environ. Geochem. Health 2021, 43, 2927–2943. [Google Scholar] [CrossRef]
  15. Sutthi, N.; Panase, A.; Chitmanat, C.; Sookying, S.; Ratworawong, K.; Panase, P. Effects of dietary leaf ethanolic extract of Apium graveolens L. on growth performance, serum biochemical indices, bacterial resistance and lysozyme activity in Labeo chrysophekadion (Bleeker, 1849). Aquac. Rep. 2020, 18, 100551. [Google Scholar] [CrossRef]
  16. GabAllah, M.; Kandeil, A.; Mousa, A.E.B.; Ali, M.A. Antiviral activity of water extracts of some medicinal and nutritive plants from the Apiaceae family. Nov. Res. Microbiol. J. 2020, 4, 725–735. [Google Scholar]
  17. Kharchenko, V.; Moldovan, A.; Golubkina, N.; Koshevarov, A.; Caruso, G. Antioxidant status of celery (Apium graveolens L.). Veg. Crops Russia 2020, 2, 82–86. [Google Scholar] [CrossRef]
  18. Liu, Y.; Zhang, C.; Li, Y.; Chen, L.; Wang, Y.; Xu, Z.; Jiang, J.; Tang, T.; Chen, W.; Wang, Q. Determination of imidacloprid and fenpyroximate in celery by QuEChERS—LC-MS/MS. Acta Agric. Zhejiangensis 2018, 30, 261–267. (In Chinese) [Google Scholar]
  19. Chen, L.; Wu, C.; Xu, M.; Cang, T.; Wang, X.; Zhao, X.; Zhang, C. Assessment of carbendazim residues and safety in celery under different cultivation conditions. Bull. Environ. Contam. Toxicol. 2021, 107, 276–280. [Google Scholar] [CrossRef]
  20. China Food and Drug Administration. Standard GB 2763-2021. 2021. Available online: http://www.jgs.moa.gov.cn/nybz/202103/t20210318_6364007.htm (accessed on 21 April 2022).
  21. Kang, L.; Liu, H.; Zhao, D.; Pan, C.; Wang, C. Pesticide residue behavior and risk assessment in celery after Se nanoparticles application. Foods 2021, 10, 1987. [Google Scholar] [CrossRef]
  22. Jie, M.; Gao, Y.; Kuang, D.; Shi, Y.; Wang, H.; Jing, W. Relationship between imidacloprid residues and control effect on cotton aphids in arid region. Environ. Geochem. Health 2021, 43, 1941–1952. [Google Scholar] [CrossRef]
  23. Grimalt, S.; Thompson, D.; Chartrand, D.; McFarlane, J.; Helson, B.; Lyons, B.; Meating, J.; Scarr, T. Foliar residue dynamics of azadirachtins following direct stem injection into white and green ash trees for control of emerald ash borer. Pest Manag. Sci. 2011, 67, 1277–1284. [Google Scholar] [CrossRef]
  24. Morales, S.I.; Martínez, A.M.; Figueroa, J.I.; Campos-García, J.; Gómez-Tagle, A.; Lobit, P.; Smagghe, G.; Pineda, S. Foliar persistence and residual activity of four insecticides of different mode of action on the predator Engytatus varians (Hemiptera: Miridae). Chemosphere 2019, 235, 76–83. [Google Scholar] [CrossRef]
  25. Pes, M.P.; Melo, A.A.; Stacke, R.S.; Zanella, R.; Perini, C.R.; Silva, F.M.A.; Guedes, J.V.C. Translocation of chlorantraniliprole and cyantraniliprole applied to corn as seed treatment and foliar spraying to control Spodoptera frugiperda (Lepidoptera: Noctuidae). PLoS ONE 2020, 15, e0229151. [Google Scholar] [CrossRef] [Green Version]
  26. Gierer, F.; Vaughan, S.; Slater, M.; Thompson, H.M.; Elmore, J.S.; Girling, R.D. A review of the factors that influence pesticide residues in pollen and nectar: Future research requirements for optimising the estimation of pollinator exposure. Environ. Pollut. 2019, 249, 236–247. [Google Scholar] [CrossRef] [Green Version]
  27. Lentola, A.; David, A.; Abdul-Sada, A.; Tapparo, A.; Goulson, D.; Hill, E.M. Ornamental plants on sale to the public are a significant source of pesticide residues with implications for the health of pollinating insects. Environ. Pollut. 2017, 228, 297–304. [Google Scholar] [CrossRef]
  28. Han, Y.; Mo, R.; Yuan, X.; Zhong, D.; Tang, F.; Ye, C.; Liu, Y. Pesticide residues in nut-planted soils of China and their relationship between nut/soil. Chemosphere 2017, 180, 42–47. [Google Scholar] [CrossRef]
  29. Seifrtova, M.; Halesova, T.; Sulcova, K.; Riddellova, K.; Erban, T. Distributions of imidacloprid, imidacloprid-olefin and imidacloprid-urea in green plant tissues and roots of rapeseed (Brassica napus) from artificially contaminated potting soil. Pest Manag. Sci. 2017, 73, 1010–1016. [Google Scholar] [CrossRef]
  30. Brar, P.K.; Kang, B.K.; Rasool, R.; Chhuneja, P.K. Dissipation kinetics of imidacloprid in cotton flower, nectariferous tissue, pollen and Apis mellifera products using QuEChERS method. Pest Manag. Sci. 2021, 78, 662–670. [Google Scholar] [CrossRef]
  31. Sun, Q.; Wang, S.; Devakumar, B.; Li, B.; Huang, X. Novel far-red-emitting SrGdAlO4: Mn 4+ phosphors with excellent responsiveness to phytochrome P FR for plant growth lighting. RSC Adv. 2018, 8, 39307–39313. [Google Scholar] [CrossRef] [Green Version]
  32. El-Esawi, M.A.; Al-Ghamdi, A.A.; Ali, H.M.; Ahmad, M. Overexpression of AtWRKY30 transcription factor enhances heat and drought stress tolerance in wheat (Triticum aestivum L.). Genes 2019, 10, 163. [Google Scholar] [CrossRef] [Green Version]
  33. Vitória, A.P.; Cunha, M.D.; Azevedo, R.A. Ultrastructural changes of radish leaf exposed to cadmium. Environ. Exp. Bot. 2006, 58, 47–52. [Google Scholar] [CrossRef]
  34. Wang, H.; Zhang, C.; Nie, M.; Cheng, D.; Chen, J.; Wang, S.; Lv, J.; Niu, Y. Effects of Foliar Application of Nano-Se on Photosynthetic Characteristics and Se Accumulation in Paeonia Ostii. 2021. Available online: https://assets.researchsquare.com/files/rs-951366/v1/f435bc11-01ef-47a2-897d-60ef471c5691.pdf?c=1637245799 (accessed on 21 April 2022).
  35. Gao, M.; Zhou, J.; Liu, H.; Zhang, W.; Hu, Y.; Liang, J.; Zhou, J. Foliar spraying with silicon and selenium reduces cadmium uptake and mitigates cadmium toxicity in rice. Sci. Total Environ. 2018, 631, 1100–1108. [Google Scholar] [CrossRef]
  36. Davies, L.C.; Carias, C.C.; Novais, J.M.; Martins-Dias, S. Phytoremediation of textile effluents containing azo dye by using Phragmites australis in a vertical flow intermittent feeding constructed wetland. Ecol. Eng. 2005, 25, 594–605. [Google Scholar] [CrossRef]
  37. Shi, S.; Feng, J.; Liang, Y.; Sun, H.; Yang, X.; Su, Z.; Luo, L.; Wang, J.; Zhang, W. Lycium barbarum polysaccharide-Iron (III) chelate as peroxidase mimics for total antioxidant capacity assay of fruit and vegetable food. Foods 2021, 10, 2800. [Google Scholar] [CrossRef]
  38. Huang, Y.; Lin, J.; Zou, J.; Xu, J.; Wang, M.; Cai, H.; Yuan, B.; Ma, J. ABTS as an electron shuttle to accelerate the degradation of diclofenac with horseradish peroxidase-catalyzed hydrogen peroxide oxidation. Sci. Total Environ. 2021, 798, 149276. [Google Scholar] [CrossRef]
  39. Khan, A.L.; Numan, M.; Bilal, S.; Asaf, S.; Lee, I.J. Mangrove’s rhizospheric engineering with bacterial inoculation improve degradation of diesel contamination. J. Hazard. Mater. 2022, 423, 127046. [Google Scholar] [CrossRef]
  40. Tavanti, T.R.; Melo, A.A.R.; Luan, D.K.M.; Sanchez, D.E.J.; Reis, A.R.D. Micronutrient fertilization enhances ROS scavenging system for alleviation of abiotic stresses in plants. Plant Physiol. Biochem. 2021, 160, 386–396. [Google Scholar] [CrossRef]
  41. Gill, S.S.; Anjum, N.A.; Gill, R.; Yadav, S.; Hasanuzzaman, M.; Fujita, M.; Mishra, P.; Sabat, S.C.; Tuteja, N. Superoxide dismutase—mentor of abiotic stress tolerance in crop plants. Environ. Sci. Pollut. R 2015, 22, 10375–10394. [Google Scholar] [CrossRef]
  42. Khayatnezhad, M.; Gholamin, R. The effect of drought stress on the superoxide dismutase and chlorophyll content in durum wheat genotypes. Adv. Life Sci. 2021, 8, 119–123. [Google Scholar]
  43. Shih, M.C.; Chang, C.M.; Kang, S.M.; Tsai, M.L. Effect of different parts (leaf, stem and stalk) and seasons (summer and winter) on the chemical compositions and antioxidant activity of Moringa oleifera. Int. J. Mol. Sci. 2011, 12, 6077–6088. [Google Scholar] [CrossRef] [Green Version]
  44. Xie, X.L.; He, Z.Q.; Chen, N.F.; Tang, Z.Z.; Wang, Q.; Cai, Y. The roles of environmental factors in regulation of oxidative stress in plant. Biomed Res. Int. 2019, 2019, 1–11. [Google Scholar] [CrossRef]
  45. Farooq, M.A.; Islam, F.; Ayyaz, A.; Chen, W.Q.; Noor, Y.; Hu, W.Z.; Hannan, F.; Zhou, W.J. Mitigation effects of exogenous melatonin-selenium nanoparticles on arsenic-induced stress in Brassica napus. Environ. Pollut. 2022, 292, 118473. [Google Scholar] [CrossRef]
  46. Li, H.B.; Zheng, Y.T.; Sun, D.D.; Wang, J.J.; Du, Y.Z. Combined effects of temperature and avermectins on life history and stress response of the western flower thrips, Frankliniella occidentalis. Pestic. Biochem. Phys. 2014, 108, 42–48. [Google Scholar] [CrossRef]
  47. Ma, J.Z.; Zhang, M.; Liu, Z.G.; Wang, M.; Sun, Y.; Zheng, W.K.; Lu, H. Copper-based-zinc-boron foliar fertilizer improved yield, quality, physiological characteristics, and microelement concentration of celery (Apium graveolens L.). Environ. Pollut. Bioavailab. 2019, 31, 261–271. [Google Scholar] [CrossRef] [Green Version]
  48. Gohari, G.; Alavi, Z.; Esfandiari, E.; Panahirad, S.; Hajihoseinlou, S.; Fotopoulos, V. Interaction between hydrogen peroxide and sodium nitroprusside following chemical priming of Ocimum basilicum L. against salt stress. Physiol. Plant. 2020, 168, 361–373. [Google Scholar]
Figure 1. The residues of Imidacloprid (IMI) and fenpyroximate (FEN) in stem and leaf after spraying IMI and FEN at the 1 F (A) and 10 F (B), respectively.
Figure 1. The residues of Imidacloprid (IMI) and fenpyroximate (FEN) in stem and leaf after spraying IMI and FEN at the 1 F (A) and 10 F (B), respectively.
Applsci 12 04306 g001
Figure 2. The concentrations of soluble protein (SP) in stem (A,B) and leaf (C,D) after spraying IMI and FEN at the 1 F and 10 F, respectively (a, b and c indicates the significance of the difference: p < 0.05).
Figure 2. The concentrations of soluble protein (SP) in stem (A,B) and leaf (C,D) after spraying IMI and FEN at the 1 F and 10 F, respectively (a, b and c indicates the significance of the difference: p < 0.05).
Applsci 12 04306 g002
Figure 3. The activities of peroxidase (POD) in stem (A,B) and folial (C,D) after spraying IMI and FEN at the 1 F and 10 F, respectively (*: p < 0.05).
Figure 3. The activities of peroxidase (POD) in stem (A,B) and folial (C,D) after spraying IMI and FEN at the 1 F and 10 F, respectively (*: p < 0.05).
Applsci 12 04306 g003
Figure 4. The activities of superoxide dismutase (SOD) in stem (histogram) and folial (line chart) after spraying IMI (A) and FEN (B) at the 1 F and 10 F, respectively.
Figure 4. The activities of superoxide dismutase (SOD) in stem (histogram) and folial (line chart) after spraying IMI (A) and FEN (B) at the 1 F and 10 F, respectively.
Applsci 12 04306 g004
Figure 5. Pearson correlation analysis (PCA) between SP concentration ((A): T4 in stem) with the activity of SOD (T4 in stem), the activity of SOD ((B): T3 in stem) with SP concentration (T3 in foliar), the activity of POD ((C): T4 in stem) with the activity of POD (T4 in foliar), the activity of POD ((D): T4 in stem) with the activity of SOD (T4 in stem), POD activity ((E): T1 in stem) and SP concentration (T1 in foliar), and POD activity ((F): T3 in foliar) and SP concentration (T3 in foliar) (*: p < 0.05, **: p < 0.01).
Figure 5. Pearson correlation analysis (PCA) between SP concentration ((A): T4 in stem) with the activity of SOD (T4 in stem), the activity of SOD ((B): T3 in stem) with SP concentration (T3 in foliar), the activity of POD ((C): T4 in stem) with the activity of POD (T4 in foliar), the activity of POD ((D): T4 in stem) with the activity of SOD (T4 in stem), POD activity ((E): T1 in stem) and SP concentration (T1 in foliar), and POD activity ((F): T3 in foliar) and SP concentration (T3 in foliar) (*: p < 0.05, **: p < 0.01).
Applsci 12 04306 g005
Table 1. T1/2 and residual kinetics of IMI and FEN in celery under 1 F and 10 F after application.
Table 1. T1/2 and residual kinetics of IMI and FEN in celery under 1 F and 10 F after application.
PesticidesTissuesDosage
(g a.i.hm−2)
Residual
Kinetics
Correlation Coefficient (R)Half-Life
(T1/2, Days)
IMIstem30Ct = 0.1864 e−0.1898t0.81543.65
300Ct = 2.3015 e−0.2400t0.91822.89
leaf30Ct = 0.7349 e−0.1259t0.84785.51
300Ct = 9.8642 e−0.1707t0.87824.06
FENstem37.5Ct = 0.9038 e−0.1671t0.99144.15
375Ct = 7.0234 e−0.1748t0.97733.97
leaf37.5Ct = 1.4326 e−0.1441t0.94664.81
375Ct = 11.0467 e−0.1411t0.95474.91
Publisher’s Note: MDPI stays neutral with regard to jurisdictional claims in published maps and institutional affiliations.

Share and Cite

MDPI and ACS Style

Zhang, C.; Luo, Y.; Jiang, J.; Li, Y.; Wang, X.; He, H.; Fang, N.; Zhao, X.; Liu, Y.; Wang, Q. Physiological and Biochemical Variations in Celery by Imidacloprid and Fenpyroximate. Appl. Sci. 2022, 12, 4306. https://doi.org/10.3390/app12094306

AMA Style

Zhang C, Luo Y, Jiang J, Li Y, Wang X, He H, Fang N, Zhao X, Liu Y, Wang Q. Physiological and Biochemical Variations in Celery by Imidacloprid and Fenpyroximate. Applied Sciences. 2022; 12(9):4306. https://doi.org/10.3390/app12094306

Chicago/Turabian Style

Zhang, Changpeng, Yuqin Luo, Jinhua Jiang, Yanjie Li, Xiangyun Wang, Hongmei He, Nan Fang, Xueping Zhao, Ying Liu, and Qiang Wang. 2022. "Physiological and Biochemical Variations in Celery by Imidacloprid and Fenpyroximate" Applied Sciences 12, no. 9: 4306. https://doi.org/10.3390/app12094306

APA Style

Zhang, C., Luo, Y., Jiang, J., Li, Y., Wang, X., He, H., Fang, N., Zhao, X., Liu, Y., & Wang, Q. (2022). Physiological and Biochemical Variations in Celery by Imidacloprid and Fenpyroximate. Applied Sciences, 12(9), 4306. https://doi.org/10.3390/app12094306

Note that from the first issue of 2016, this journal uses article numbers instead of page numbers. See further details here.

Article Metrics

Back to TopTop