Abstract
Pregnancy induces numerous modifications in the musculoskeletal system of the female body. Since one of the essential roles of the lumbopelvic structure is to support mechanical loads in the upright position, this study was designed to simulate the response of this complex to the growing foetus in pregnant women. The authors hypothesized that posture (i.e., lordosis and muscle involvement) under pregnancy conditions might be adjusted to minimize the demands of the obstetrical load. The analysis of the load on the musculoskeletal system during gestation was made based on numerical simulations carried out in the AnyBody Modeling System. The pregnancy-related adjustments such as increased pelvic anteversion and increased lumbar lordosis enhance the reduction of muscle activation (e.g., erector spinae, transversus abdominis or iliopsoas), muscle fatigue and spinal load (reaction force). The results may help develop antenatal exercise programs targeting core strength and pelvic stability.
1. Introduction
Pregnancy induces numerous modifications in the musculoskeletal system of the female body to ensure a favourable environment for the developing foetus and its placenta. Some of these changes, including a considerable increase in abdominal volume, breast volume, and ligamentous laxity due to hormonal actions [1], lead to increased mobility of the pelvic segment and peripheral joints [2,3] and contribute to postural adaptations to maintain sagittal balance and better joint load distributions [4]. The lumbopelvic complex plays an essential role in maintaining vertical posture [5]. Its stability is aimed at bearing physical loading without uncontrolled displacements to damaged structures and preventing pain due to structural changes [6]. However, during pregnancy, the growth of the anterior body mass and hormonal changes increase the overload of joints and muscles, reducing the stability of the lower lumbar region and the pelvis [7,8]. These potential factors make pregnant women more prone to experiencing low back pain [9,10,11]. Additionally, the abdominal muscles weaken due to the growing uterus [12]. Abdominal muscles lengthen and change their muscle insertions [13] while preserving force development [14]. However, some results following gravid state are equivocal (e.g., centre of body mass (COM) displacements [15,16,17,18]) or different postural strategies [19,20], so it is argued that two positional adjustments in lumbar lordosis and anterior pelvic tilt provide the upper body with stability by ensuring a proper position of the maternal COM [18,21]. Whitcome [18] revealed that gravidas self-positioned in the natural stance maintained an almost constant center of mass position (0.3 cm). Lumbar lordosis is the curve where the lumbar spine forms an anterior convexity [22]. One of the most important significant skeletal adaptations following bipedalism relates to maternal health and the accommodation of fetal load [23]. However, a change in lumbar lordosis does not always occur during pregnancy [6,24]. While still an option, taller women may merely not employ the unnecessary angulation due to greater vertical abdominal space [25].
Over the last years, pregnancy-related alterations in female postural stability [26,27,28] and the pattern of walking [29,30,31,32,33,34] have gained growing attention. Knowledge regarding the loading conditions during pregnancy is scarce. The only non-invasive method enabling the determination of the loads mentioned earlier is mathematical modeling involving optimization methods [35,36,37,38]. There are only a few works concerning this issue [39,40,41]. In addition, the aforesaid models do not take into account changes in the pelvic inclination in the sagittal plane. Moreover, the models lack information concerning changes in the lumbar spine in the sagittal plane. To our knowledge, this is the first study where both postural adaptations are considered. We focused on the simulation of the response of the lumbopelvic complex to the growing fetus as the pregnancy progressed.
The authors hypothesized that the posture (i.e., lordosis and muscle involvement) under pregnancy conditions might be adjusted to minimize the demands of the obstetrical load.
In this study, models of a woman’s musculoskeletal system during successive trimesters of pregnancy were developed. The models were created based on experimental studies of pregnant women available in the literature [18,30,31,42]. The simulations made it possible to determine the effect of the growing fetus on the changes in loads affecting the lumbopelvic region.
2. Materials and Methods
2.1. Musculoskeletal Model of a Pregnant Woman and Simulation
The musculoskeletal system during pregnancy was developed using the AnyBody Modeling System environment (AnyBody Technology Inc., Aalborg, Denmark), containing the entire body model (Standing Model). The model comprises 69 rigid bodies representing the skeletal system, connected using kinematic pairs having the number of degrees of freedom corresponding to the mobility of individual joints. The muscular system is represented by 1000 linear elements reflecting muscular actions. The multisegment model of the lumbar spine is composed of the model of intra-abdominal pressure and 7 rigid bodies, i.e., 5 lumbar vertebrae L1–L5, pelvis and a part of the thorax; the model has 18 degrees of freedom [43]. In the AnyBody Modeling System software, the identification of loads in the musculoskeletal system consists of solving the inverse dynamic problem and, next, using static optimisation, estimating individual muscular forces [36,43].
The applied model of the musculoskeletal system (Standing Model) has been validated many times by the authors of other works [44,45,46].
The pregnant female model (Figure 1) was developed by providing the Standing Model with changes in mass distribution and the position of the pelvis due to pregnancy found in the literature [18,30,31,42].
Figure 1.
Musculoskeletal model of a pregnant woman in AnyBody Modeling System. Blue dots on the pelvis indicate: ASIS points—anterior superior iliac spine, SACR point—sacrum, which defines the angle of the pelvis tilt. The arrow marks the vector of force, representing the mass of the extra kilograms appearing in the abdominal-pelvic cavity during pregnancy.
The model in subsequent trimesters of pregnancy took into account: anthropometric data (body height, body mass, BMI, pelvic width), the distribution of masses of individual body segments, the additional mass appearing within the abdomen during pregnancy, change in the circumference of the abdomen, and the arrangement of individual body segments, especially the position of the pelvis in the sagittal plane. Considering the above-mentioned data, a model was developed for a woman before pregnancy and during subsequent trimesters of pregnancy, i.e., for the following weeks of pregnancy: 12, 25, 36.
As pregnancy entails a non-uniform increase in body mass, the developed model included a method enabling the scaling of masses of body segments based on works by Catena et al. [42]. The functions which scale masses of individual segments during successive weeks of pregnancy were defined.
Based on data by Whitcome [18], modeling the additional mass appearing within the abdomen during pregnancy, i.e., fetus mass (25% of additional mass), placenta mass (5.5% of additional mass), the mass of amniotic fluids (6.5% of additional mass) and the uterus mass (8% of additional mass) (Figure 1), a force vector corresponding to additional kilograms “generated” in given trimesters of pregnancy was applied to the centre of the rigid buckle segment [47]. The study takes into account that the center of mass of the extra pounds is approximately in the center of the abdominopelvic cavity. Therefore, the magnitude of the applied force is reduced proportionally to the increasing arm of the acting force (the distance from the center of the abdominal-pelvic cavity to the position of the buckle segment) with an increased abdominal circumference in subsequent trimesters of pregnancy.
An increase in the midabdominal circumference during pregnancy was modeled by extending the length of the transverse abdominal muscle. The midabdominal circumference in the 2nd trimester of pregnancy was increased by 8% and in the 3rd trimester by 20% in relation to the initial data (after Whitcome [18]).
Only a few studies were found that analyzed the changes in the body’s posture in the standing position during pregnancy [18,48,49]. Still, their results do not indicate a clear change in the position of the body segments. More often, scientists analyzed the change in gait of pregnant women in subsequent trimesters of pregnancy [18,30,31]. The results of their research are similar. Due to the lack of studies showing unequivocal changes in the position of body segments in a standing position during pregnancy, it was decided to use the data from the gait tests of women in subsequent trimesters of pregnancy. According to Otayek et al. [50], the pelvic tilt while standing corresponds to average pelvic inclination during walking. Anthropometric data (body height, body mass, BMI, pelvic width) and information on the alignment of body segments, mainly pelvic tilt in the sagittal plane, were taken from the study by Forczek et al. [30,31] and presented in Table 1. We used the averaged anthropometric data and averaged maximal pelvic tilt in the sagittal plane from the experimental gait study to develop our model. During gait trial registration, three markers were placed on the pelvis at the right and left anterior superior iliac spine (ASIS) and sacrum (SACR) to determine its spatial position [30,31].
Table 1.
Anthropometric data of women: P0—before pregnancy, P1—in the first trimester, P2—in the second trimester, P3—in the third trimester [30,31].
The simulations were performed in relation to two female body models:
- VARIANT I—taking into account a change in the body mass in the following trimesters of pregnancy;
- VARIANT II—taking into account a change in the body mass and alignment of individual body segments as a consequence of changing the angle of pelvic inclination in the sagittal plane in the following trimesters of pregnancy.
The use of computational modelling and static optimisation made it possible to determine the loads on the musculoskeletal system in the lumbopelvic area. The adopted optimization criterion was the criterion of movement control, assuming the minimisation of the cubic sum of the proportion of the muscular force to the maximum force. As a limiting condition, it was assumed that the resultant moments of external forces were counterbalanced by the sum of moments of muscle forces having an impact on a given joint. An assumption was made that muscular forces may range from zero to the maximum value possible for a certain muscle [35].
2.2. Data Analysis
The simulations provided information concerning:
- Lordosis in the lumbar spine—defined as the angle of the bending of the lumbar lordosis between the line located parallel to the upper vertebral body L1, and the line of extension of the lower edge of vertebral body L5;
- Muscular forces generated in the locomotor system during the adoption of a standing position by the female (i.e., erector spinae, transverse abdominal muscle, as well as the group of the flexors and extensors of the hip joint);
- Muscular fatigue expressed by the value of the optimisation task objective function; the higher the function value, the higher the muscular fatigue [51];
- Resultant reaction forces generated in the intervertebral joints of the lumbar spine, resultant force, compression and shear force in segment L5-S1 and the resultant force in the hip joint.
3. Results
The simulation performed in the AnyBody Modeling System environment enabled the analysis of the female musculoskeletal system in pregnant and non-pregnant conditions. The obtained values of the lordosis angle in successive trimesters of pregnancy are presented in Table 2.
Table 2.
The values of the lumbar lordosis angle in measurement sessions: P0—before pregnancy, P1—in the first trimester, P2—in the second trimester, and P3—in the third trimester of pregnancy.
3.1. Muscle Forces
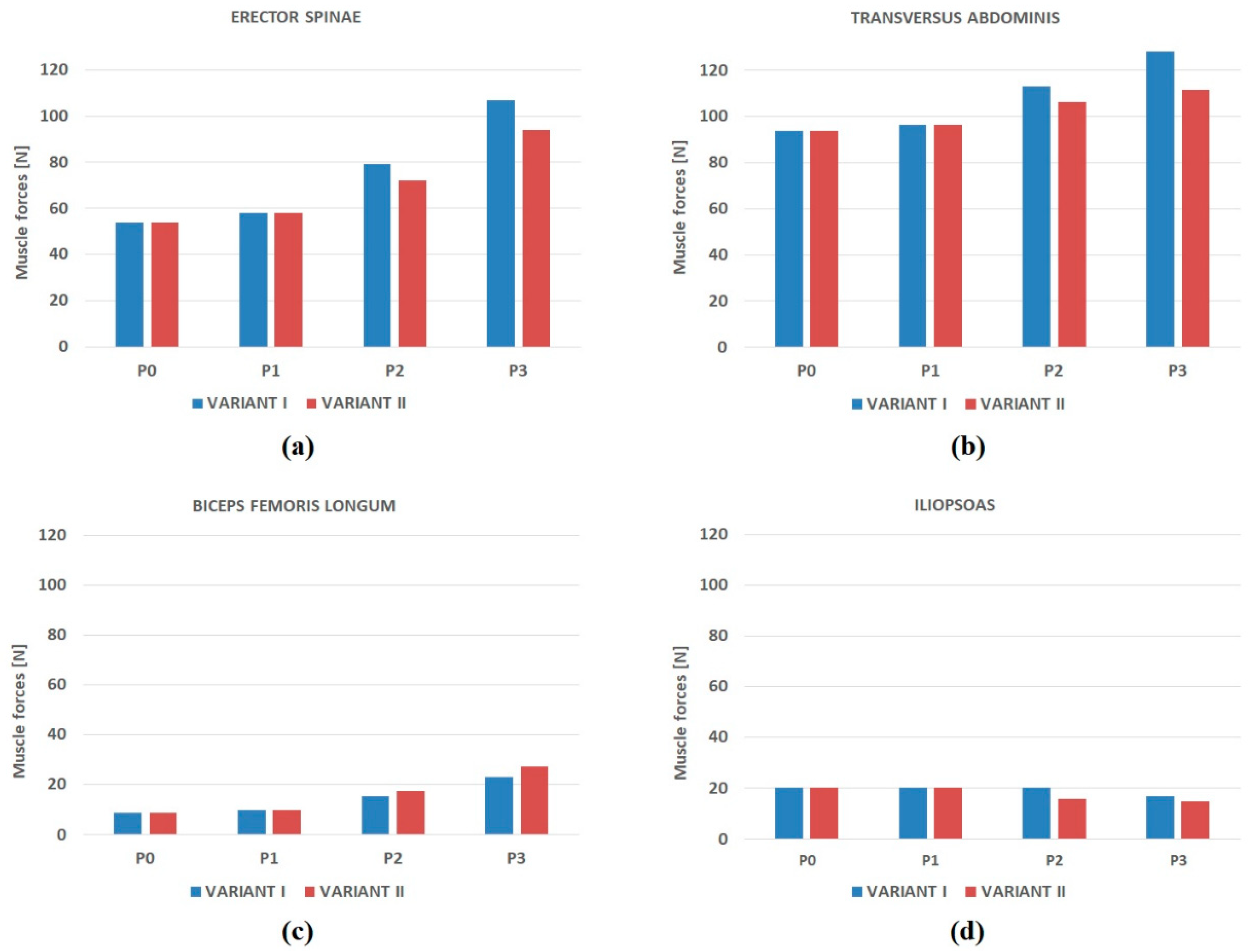
Figure 2 presents the values of the analysed muscular forces generated within the lumbopelvic complex.
Figure 2.
Muscle forces generated within the lumbopelvic complex. (a) Erector spinae, (b) transversus abdominis, (c) biceps femoris longum, (d) iliopsoas.
3.2. Muscle Fatigue
The values of the objective functions reflecting muscular fatigue in variants subjected to analysis are presented in Table 3.
Table 3.
Changes in the muscle fatigue function during measurement sessions: P0—before pregnancy, P1—in the first trimester, P2—in the second trimester, P3—in the third trimester of pregnancy.
3.3. Joint Reaction Forces
The analysis of the resultant, compression, and shear forces in segment L5-S1 and the hip joint are presented in Figure 3.
Figure 3.
Values of loads in the musculoskeletal system generated within the lumbopelvic complex: (a) resultant forces in lumbar segments, (b) resultant, compression and shear force in segment L5-S1, (c) resultant force in the hip joint.
The detailed analysis of the results is presented in the “Discussion” chapter.
4. Discussion
Under pregnancy conditions, the anteriorly growing fetus puts higher demands on the musculoskeletal system. Therefore, we compared two variants of simulations to obtain more insight into how the body copes with pregnancy. Since one of the essential roles of the lumbopelvic structure is to support mechanical loads in the upright position, this study was designed to simulate the response of this complex to the growing fetus in pregnant women. The authors hypothesized that posture under pregnancy conditions may be adjusted to minimize the demand following obstetrical load.
Due to an increase in anterior pelvic tilt in the course of gestation, we noted some reductions in muscle activation (e.g., erector spinae, transversus abdominis or iliopsoas), muscle fatigue, or spinal loads (reaction forces). Thus, an increased anterior pelvic tilt may be recognized as a specific defence mechanism optimising the ergonomics of the musculoskeletal system in the gravid females. Our investigations also revealed an increased pelvic anteversion accompanied by an increased lumbar curve. The study by Forczek et al. [30,31] revealed an increase in the body mass as pregnancy progresses, reaching ~11.5 kg in late gestation (Table 1). The increasing weight of the anteriorly growing fetus produces the anterior tilt of the pelvis, which, in turn, enhances increased lordosis adaptation [21].
According to the simulations, in the first variant, there was a ~2° decrease in lordosis in late pregnancy (P3) as compared to the pre-pregnancy state (P0). However, considering both mass gain and an increased anterior pelvic tilt (Variant II), the authors observed a ~4° increase in the lumbar curve. Our observations confirmed the findings of Franklin and Conner-Kerr [21], who reported an angular increase of 7° in lumbar lordosis from early to late pregnancy. However, there is also a documented reduction of lumbar lordosis during pregnancy [18,52] and the lack of its changes [28,53]. Such inconsistency in the direction of lordotic change could result from the selection of women at different stages of pregnancy or from different measurement methods [28].
An increase in lumbar lordosis would generally be considered a biomechanically preferable accommodation of the spine to assist in absorbing greater vertical shock loading [54]. According to Bailey et al. [55], increased lordosis during advanced pregnancy stems from a compensatory backward lean to improve balance thanks to increased abdominal mass. As a possible explanation, others identified the muscular imbalance caused by overstretched weak abdominal muscles and strong back muscles [8,56]. In addition to these physical changes, the hormonal effects of relaxin, progesterone and oestrogen lead to increased ligamentous laxity, compromising joint stability [1].
Therefore our simulation focused on analyzing the forces of the chosen muscles stabilizing the lumbopelvic complex. First, the force of the erector spinae, the major extensor of the spine, was analyzed. The results revealed muscle force increased in the course of pregnancy in both variants of the simulation. Comparing the values in late gestation to the pre-pregnancy condition, the changes in body mass required almost double its pre-pregnancy force (Variant I), while the increased pelvic tilt (Variant II) reduced its demands by ~12%. An analysis of the erector spinae components revealed that a deeper anterior pelvic tilt was accompanied by a larger muscular activation of the iliocostalislumborum pars lumborum. Finally, a ~5-fold increase in the force of the aforesaid muscle (from 3 N in P0 to ~15 N in P3) was registered. The explanation by Bogduk et al. [57] provides a rationale for the observation that half or more than half of the extension moment in the upright position affecting any lumbar segment stems from the thoracic fibres of the (musculus) longissimus thoracis and the iliac-costal muscle of the loins. The remaining part of the moment stems in almost equal proportions from the lumbar fibres of these muscles and the multifidus muscle.
The transversus abdominis, with its more horizontal orientation, is thought to contribute to spinal stability and increase the stiffness of the lumbar spine [58]. The activation of the transversus abdominis increased as the pregnancy progressed. Its highest involvement was registered in P3 for the first and second variant (Figure 2b), respectively: 128 N (0.18 BW) and 112 N (0.16 BW); pelvic tilt reduced its activation.
The pelvis endeavours to couple lumbar lordosis with hip extension in the upright position with a minimal expense of energy [59]. Generally, we observed the decreasing activation of the hip flexors (Figure 2c) and the increased activation of hip extensors (Figure 2d) in the course of pregnancy. The highest activity of the biceps femoris longum, registered in late pregnancy, was almost 3 times higher compared to its pre-pregnancy activation. An 18% increase in its muscular force was observed in Variant II compared to Variant I. Simultaneously, the activation of the iliopsoas was reduced in the advanced gravid state by 17% (Variant I) and 26% (Variant II) when compared to a non-pregnant condition. Due to a more anteriorly tilted pelvis, the activity of this hip flexor was reduced by 12% (P2) and 22% (P3).
Knowledge of the myoelectric activity of the muscles helped Biviá-Roig et al. [28] in the estimation of the loading of the lumbopelvic complex during gestation. Their results showed a significant increase in the bioelectrical activity of the lumbar and pelvic extensor muscles (erector spinae and biceps femoris) in the erect position in the third trimester of pregnancy.
Our simulations of loads affecting the musculoskeletal system aimed to find solutions enabling the minimisation of muscular fatigue. Generally, in both variants, the results revealed increased muscular fatigue throughout pregnancy. However, the simulations related to Variant II showed lower values of the objective function (P2 = 0.14, P3 = 0.23) than those related to Variant I (P2 = 0.17, P3 = 0.30). The preceding may imply that an increase in pelvic anteversion reduces muscular fatigue.
The human pelvis with the spine creates mechanisms to modulate posture [59]. In the erect position, an increase in the anterior pelvic tilt leads to an increase in lumbar lordosis angle [22]. The enlarged lordosis bends the sacrum forward, thus putting a strain on the joints, intervertebral discs, and ligaments of the lumbosacral spine. The movements compensate for the lack of the hyperextension described above in L5-S1 in the sagittal plane of the pelvis. This leads to the strain of the L5/S1 and L4/L5 segments of the lumbar spine [52]. The results of our simulations led to the understanding of the pregnancy-related loading conditions in the lumbar spine. Since the spine’s last lumbar segment (L5) contributes nearly 40% to overall lordosis [60], a detailed analysis was concerned with the changes in reaction forces in segment L5-S1. Thus, the advancement of pregnancy is accompanied by an increase in loads in segment L5-S1. A change in the body mass distribution makes a load higher by 36%, whereas deeper pelvic anteversion increases the resultant of the reaction force up to 25%. The highest loads were observed in P3 (Variant I: 525 N (0.76 BW) and Variant II: 484 N (0.70 BW)). An increase in body mass triggers an increase in loads. In turn, the increased pelvic anteversion during pregnancy reduces loads affecting the lumbar spine by approximately 8%. At the same time, in relation to a compressive force, a pelvic anteversion reduced loads by nearly 8%. Regarding shear force, the difference amounted to as much as a 20% reduction for the third trimester of pregnancy. Farfan [61] noted that lumbar extensor musculature could support some of the ‘load’ shear force on the intervertebral joint. Erect postures with increased lordosis reduce loads affecting the spine; they reduce pressure in the intervertebral disc by transmitting load onto the rear part of the annulus fibrosus and intervertebral joints.
Branco et al. [29] emphasized an increased demand placed on the hip in gravidas. Our data revealed that the advancement of gestation is accompanied by a 49% (Variant I) and a 59% (Variant II) increase in loads affecting the hip joint. The highest values of reaction forces observed in the third trimester of pregnancy amounted to 345 N (0.495 BW) and 365 N (0.52 BW) in relation to variant I and variant II, respectively. The deeper pelvic anteversion led to an approximate 6% increase in the reaction forces in the hip joint if compared to variant I. The results of reactions in the hip joint obtained in our model studies are inconsistent with the considerations of Whitcome [18]. However, Whitcome did not consider the muscular system, and the action of the muscles will undoubtedly impact the values of loads on the hip joint.
5. Conclusions
The musculoskeletal system of gravid women is subjected to high demands due to the anteriorly growing fetus. Therefore, we compared two variants of simulations to get more insight into how the body copes with pregnancy.
Our investigations revealed that along with an increase in pelvic anteversion in the course of gestation, some reductions in muscle activation (e.g., erector spinae, transversus abdominis or iliopsoas) and muscle fatigue or spinal loads (reaction forces) were observed. Thus, an increased anterior pelvic tilt may be recognized as a specific defence mechanism optimising the ergonomics of the musculoskeletal system in pregnant females.
Our results also revealed that an increased anterior pelvic tilt is accompanied by an increased lumbar curve. The association between the rigid pelvis and the mobile vertebral column is a critical process of functional integration [62]. Generally, lumbar lordosis helps the pelvis stabilize and distribute the body weight over the lower limbs. Therefore, strengthening certain groups of muscles might help control the lumbopelvic complex to minimize the risk of pregnancy-related pain. It seems reasonable to design antenatal exercise programs targeting core strength and pelvic stability. A long list of exercises that meet all the (American College of Obstetricians and Gynecologists (ACOG) and American College of Sports Medicine (ACSM)) guidelines for training during pregnancy is provided, e.g., by Piper et al. [63] and Pujol et al. [64].
If the pelvic alignment is not controlled (greater lumbar curvature), it may cause negative effects on the soft tissues within the spine, especially the intervertebral discs, which are unevenly loaded. This, in turn, may lead to faster degeneration of the discs. Greater lumbar curvature should result in more shear force in the thoracolumbar spine [65]. Shear thoracolumbar force is suggested to place more load on the facets and the annulus fibrosis [66]. This requires further research to assess the stress in the structures of the spine and intervertebral discs. The results of these future studies should provide an unambiguous conclusion to what extent the increase in pelvic anteversion is optimal.
Limitation of the Study and Directions for Further Analysis
The current research has some limitations. The input data for the model came from several literature sources. Unfortunately, there are no experimental studies in the available literature that would consider the changes in all input parameters to the model in subsequent trimesters of pregnancy. The model did not consider changes in thoracic kyphosis because of the limitations of the standing model adopted in the AnyBody environment. Another limitation results from not considering the ligaments and passive properties of intervertebral discs. We believe that the above-named factors do not significantly affect the analyses of the erect position [35]. In future studies, the authors intend to simulate the model of a pregnant female considering the ligamentous apparatus of the spine, both in relation to the erect position and trunk bending. The authors also plan to conduct experimental studies on a group of pregnant women, including measuring all the necessary input parameters for model studies. The direction of further analysis can also be performing stress and strain analyses of the anatomical elements of the spine of a pregnant woman using the finite element method (as in Sulima et al. [67]). Such analyses would undoubtedly broaden the knowledge of the loads carried by a woman’s spine during successive trimesters of pregnancy.
Author Contributions
Conceptualization, W.F.-K. and R.M.; methodology, R.M., H.Z., K.N.-L. and W.F.-K.; software, H.Z. and K.N.-L.; validation, R.M., H.Z., K.N.-L. and W.F-K.; formal analysis, W.F.-K. and R.M.; resources, R.M., H.Z., K.N.-L. and W.F.-K.; data curation, R.M., H.Z., K.N.-L. and W.F.-K.; writing—original draft preparation, R.M., H.Z., K.N.-L. and W.F.-K.; writing—review and editing, W.F.-K. and R.M.; visualization, H.Z. and K.N.-L.; supervision, W.F.-K. and R.M.; project administration, W.F.-K.; funding acquisition, W.F.-K. and R.M. All authors have read and agreed to the published version of the manuscript.
Funding
This research was funded by the Polish Ministry of Science and Higher Education conducted within the project “Biomechanical studies of biological systems and processes” (project no.07/030/BK_22/2062) and “Alterations in the female’s gait pattern during pregnancy from a biomechanical perspective” (project no 99/BS/INB/2016 realized within statutory activities).
Institutional Review Board Statement
Not applicable.
Informed Consent Statement
Not applicable.
Data Availability Statement
The datasets used and/or analyzed during the current study are available from the corresponding author on reasonable request.
Conflicts of Interest
The authors declare no conflict of interest.
References
- De Conti, M.; Calderon, I.; Rudge, M. Musculoskeletal Discomforts during Pregnancy—An Obstetric and Physiotherapy View. Femina 2003, 31, 531–535. [Google Scholar]
- Calguneri, M.; Bird, H.A.; Wright, V. Changes in Joint Laxity Occurring during Pregnancy. Ann. Rheum. Dis. 1982, 41, 126–128. [Google Scholar] [CrossRef] [PubMed]
- Aldabe, D.; Ribeiro, D.C.; Milosavljevic, S.; Bussey, M.D. Pregnancy-Related Pelvic Girdle Pain and Its Relationship with Relaxin Levels during Pregnancy: A Systematic Review. Eur. Spine J. 2012, 21, 1769–1776. [Google Scholar] [CrossRef]
- Ribeiro, A.P.; João, S.M.A.; Sacco, I.C.N. Static and Dynamic Biomechanical Adaptations of the Lower Limbs and Gait Pattern Changes during Pregnancy. Womens Health (Lond. Engl.) 2013, 9, 99–108. [Google Scholar] [CrossRef]
- Been, E.; Kalichman, L. Lumbar Lordosis. Spine J. 2014, 14, 87–97. [Google Scholar] [CrossRef] [PubMed]
- Pool-Goudzwaard, A.L.; Slieker ten Hove, M.C.P.H.; Vierhout, M.E.; Mulder, P.H.; Pool, J.J.M.; Snijders, C.J.; Stoeckart, R. Relation between Low Back and Pelvic Pain, Pelvic Floor Activity and Pelvic Floor Disorders. In Biomechanics of the Sacroiliac Joints and the Pelvic Floor; Springer: Berlin/Heidelberg, Germany, 2003; pp. 89–104. [Google Scholar]
- Gilleard, W.L. Trunk Motion and Gait Characteristics of Pregnant Women When Walking: Report of a Longitudinal Study with a Control Group. BMC Pregnancy Childbirth 2013, 13, 71. [Google Scholar] [CrossRef] [PubMed]
- Segal, N.A.; Chu, S.R. Musculoskeletal Anatomic, Gait, and Balance Changes in Pregnancy and Risk for Falls. In Musculoskeletal Health in Pregnancy and Postpartum; Springer International Publishing: Berlin/Heidelberg, Germany, 2015; pp. 1–18. [Google Scholar]
- Sabino, J.; Grauer, J.N. Pregnancy and Low Back Pain. Curr. Rev. Musculoskelet. Med. 2008, 1, 137–141. [Google Scholar] [CrossRef] [PubMed]
- Mogren, I.M.; Pohjanen, A.I. Low Back Pain and Pelvic Pain during Pregnancy: Prevalence and Risk Factors. Spine (Phila. PA. 1976) 2005, 30, 983–991. [Google Scholar] [CrossRef] [PubMed]
- Mogren, I.M. Previous Physical Activity Decreases the Risk of Low Back Pain and Pelvic Pain during Pregnancy. Scand. J. Public Health 2005, 33, 300–306. [Google Scholar] [CrossRef] [PubMed]
- Mens, J.M.A.; Vleeming, A.; Stoeckart, R.; Stam, H.J.; Snijders, C.J. Understanding Peripartum Pelvic Pain: Implications of a Patient Survey. Spine (Phila. PA. 1976) 1996, 21, 1363–1370. [Google Scholar] [CrossRef]
- Gilleard, W.L. The Structure and Function of the Abdominal Muscles during Pregnancy and the Immediate Post-Birth Period. Master’s Thesis, Department of Human Movement Science, University of Wollongong, Wollongong, Australia, 1992. Available online: https://ro.uow.edu.au/theses/2843 (accessed on 3 January 2022).
- Gilleard, W.L.; Brown, J.M.M. Structure and Function of the Abdominal Muscles in Primigravid Subjects during Pregnancy and the Immediate Postbirth Period. Phys. Ther. 1996, 76, 750–762. [Google Scholar] [CrossRef] [PubMed]
- Golomer, E.; Ducher, D.; Arfi, G.S.; Sud, R. Simple Locomotion and during Load Carrying in Pregnant Women. J. Gynecol. Obstet. Biol. Reprod. 1991, 20, 406–412. [Google Scholar]
- Hainline, B. Low-Back Pain in Pregnancy. Adv. Neurol. 1994, 64, 65–76. [Google Scholar] [PubMed]
- Dumas, G.A.; Reid, J.G.; Wolfe, L.A.; Griffin, M.P.; McGrath, M.J. Exercise, Posture, and Back Pain during Pregnancy. Part 1. Exercise and Posture. Clin. Biomech. 1995, 10, 98–103. [Google Scholar] [CrossRef]
- Whitcome, K.K. Obstetric Load and the Evolution of Human Lumbopelvic Sexual Dimorphism. Ph.D. Thesis, The University of Texas at Austin, Austin, TX, USA, 2006. [Google Scholar]
- Martinez-Marti, F.; Martinez-Garcia, M.S.; Carvajal, M.A.; Palma, A.J.; Anguiano, M.; Lallena, A.M. Fractal Behavior of the Trajectories of the Foot Centers of Pressure during Pregnancy. Biomed. Phys. Eng. Express 2019, 5, 025007. [Google Scholar] [CrossRef]
- Ramachandra, P.; Kumar, P.; Kamath, A.; Maiya, A.G. Do Structural Changes of the Foot Influence Plantar Pressure Patterns During Various Stages of Pregnancy and Postpartum? Foot Ankle Spec. 2017, 10, 513–519. [Google Scholar] [CrossRef] [PubMed]
- Franklin, M.E.; Conner-Kerr, T. An Analysis of Posture and Back Pain in the First and Third Trimesters of Pregnancy. J. Orthop. Sports Phys. Ther. 1998, 28, 133–138. [Google Scholar] [CrossRef] [PubMed]
- Levine, D.; Whittle, M.W. The Effects of Pelvic Movement on Lumbar Lordosis in the Standing Position. J. Orthop. Sports Phys. Ther. 1996, 24, 130–135. [Google Scholar] [CrossRef]
- Buck, S. The Evolutionary History of the Modern Birth Mechanism: Looking at Skeletal and Cultural Adaptations. Totem Univ. West. Ont. J. Anthropol. 2011, 19, 81–92. [Google Scholar]
- Östgaard, H.C.; Andersson, G.B.; Schultz, A.B.; Miller, J.A. Influence of Some Biomechanical Factors on Low-Back Pain in Pregnancy. Spine (Phila. PA. 1976) 1993, 18, 61–65. [Google Scholar] [CrossRef]
- Catena, R.D.; Wolcott, W.C. Self-Selection of Gestational Lumbopelvic Posture and Bipedal Evolution. Gait Posture 2021, 89, 7–13. [Google Scholar] [CrossRef]
- Butler, E.E.; Colón, I.; Druzin, M.L.; Rose, J. Postural Equilibrium during Pregnancy: Decreased Stability with an Increased Reliance on Visual Cues. Am. J. Obstet. Gynecol. 2006, 195, 1104–1108. [Google Scholar] [CrossRef] [PubMed]
- Opala-Berdzik, A.; Błaszczyk, J.W.; Bacik, B.; Cieślińska-Świder, J.; Świder, D.; Sobota, G.; Markiewicz, A. Static Postural Stability in Women during and after Pregnancy: A Prospective Longitudinal Study. PLoS ONE 2015, 10, e0124207. [Google Scholar] [CrossRef] [PubMed]
- Biviá-Roig, G.; Lisón, J.F.; Sánchez-Zuriaga, D. Changes in Trunk Posture and Muscle Responses in Standing during Pregnancy and Postpartum. PLoS ONE 2018, 13, e0194853. [Google Scholar] [CrossRef] [PubMed]
- Branco, M.A.C.; Santos-Rocha, R.; Vieira, F.; Aguiar, L.; Veloso, A.P. Three-Dimensional Kinetic Adaptation of Gait throughout Pregnancy and Postpartum. Scientifica 2015, 2015, 580374. [Google Scholar] [CrossRef] [PubMed]
- Forczek, W.; Ivanenko, Y.; Curyło, M.; Frączek, B.; Masłoń, A.; Salamaga, M.; Suder, A. Progressive Changes in Walking Kinematics throughout Pregnancy—A Follow up Study. Gait Posture 2019, 68, 518–524. [Google Scholar] [CrossRef]
- Forczek, W.; Ivanenko, Y.; Salamaga, M.; Sylos-Labini, F.; Frączek, B.; Masłoń, A.; Curyło, M.; Suder, A. Pelvic Movements during Walking throughout Gestation—The Relationship between Morphology and Kinematic Parameters. Clin. Biomech. 2020, 71, 146–151. [Google Scholar] [CrossRef] [PubMed]
- Song, Y.; Liang, M.; Lian, W. A Comparison of Foot Kinematics between Pregnant and Non-Pregnant Women Using the Oxford Foot Model during Walking. Int. J. Biomed. Eng. Technol. 2020, 34, 20–30. [Google Scholar] [CrossRef]
- Mei, Q.; Gu, Y.; Fernandez, J. Alterations of Pregnant Gait during Pregnancy and Post-Partum. Sci. Rep. 2018, 8, 2217. [Google Scholar] [CrossRef] [PubMed]
- Bertuit, J.; Leyh, C.; Rooze, M.; Feipel, V. Pregnancy-Related Changes in Centre of Pressure during Gait. Acta Bioeng. Biomech. 2017, 19, 95–102. [Google Scholar] [CrossRef]
- Nowakowska-Lipiec, K.; Michnik, R.; Linek, P.; Myśliwiec, A.; Jochymczyk-Woźniak, K.; Gzik, M. A Numerical Study to Determine the Effect of Strengthening and Weakening of the Transversus Abdominis Muscle on Lumbar Spine Loads. Comput. Methods Biomech. Biomed. Engin. 2020, 23, 1287–1296. [Google Scholar] [CrossRef]
- Michnik, R.; Zadoń, H.; Nowakowska-Lipiec, K.; Jochmyczyk-Woźniak, K.; Myśliwiec, A.; Mitas, A.W. The Effect of the Pelvis Position in the Sagittal Plane on Loads in the Human Musculoskeletal System. Acta Bioeng. Biomech. 2020, 22, 33–42. [Google Scholar] [CrossRef]
- Jurkojć, J.; Michnik, R.; Pauk, J. Identification of Muscle Forces Acting in Lower Limbs with the Use of Planar and Spatial Mathematical Model. J. Vibroeng. 2009, 11, 566–570. [Google Scholar]
- Zadoń, H.; Nowakowska-Lipiec, K.; Michnik, R. A Sitting or Standing Position—Which One Exerts More Loads on the Musculoskeletal System of the Lumbar Spine? Comparative Tests Based on the Methods of Mathematical Modelling. Acta Bioeng. Biomech. 2021, 23, 113–120. [Google Scholar] [CrossRef]
- Nakashima, M.; Mori, Y. Effect of Mechanical Unbalance Induced by Pregnancy on the Muscle Load of the Erector Spinae during a Sit-to-Stand Motion. J. Biomech. Sci. Eng. 2014, 9, 1–11. [Google Scholar] [CrossRef][Green Version]
- Haddox, A.G.; Hausselle, J.; Azoug, A. Changes in Segmental Mass and Inertia during Pregnancy: A Musculoskeletal Model of the Pregnant Woman. Gait Posture 2020, 76, 389–395. [Google Scholar] [CrossRef]
- Morino, S.; Takahashi, M. Musculoskeletal Model of a Pregnant Woman Considering Stretched Rectus Abdominis and Co-Contraction Muscle Activation. In Proceedings of the IEEE International Conference on Multisensor Fusion and Integration for Intelligent Systems, Daegu, Korea, 16–18 November 2017; pp. 452–457. [Google Scholar]
- Catena, R.D.; Connolly, C.P.; McGeorge, K.M.; Campbell, N. A Comparison of Methods to Determine Center of Mass during Pregnancy. J. Biomech. 2018, 71, 217–224. [Google Scholar] [CrossRef]
- De Zee, M.; Hansen, L.; Wong, C.; Rasmussen, J.; Simonsen, E.B. A Generic Detailed Rigid-Body Lumbar Spine Model. J. Biomech. 2007, 40, 1219–1227. [Google Scholar] [CrossRef]
- Hansen, L.; De Zee, M.; Rasmussen, J.; Andersen, T.B.; Wong, C.; Simonsen, E.B. Anatomy and Biomechanics of the Back Muscles in the Lumbar Spine with Reference to Biomechanical Modeling. Spine (Phila. PA. 1976) 2006, 31, 1888–1899. [Google Scholar] [CrossRef]
- Rajaee, M.A.; Arjmand, N.; Shirazi-Adl, A.; Plamondon, A.; Schmidt, H. Comparative Evaluation of Six Quantitative Lifting Tools to Estimate Spine Loads during Static Activities. Appl. Ergon. 2015, 48, 22–32. [Google Scholar] [CrossRef]
- Koblauch, H. Low Back Load in Airport Baggage Handlers. Ph.D. Thesis, Univeristy of Copenhagen, Copenhagen, Denmark, 2015. [Google Scholar]
- Liu, T.; Khalaf, K.; Adeeb, S.; El-Rich, M. Numerical Investigation of Intra-Abdominal Pressure Effects on Spinal Loads and Load-Sharing in Forward Flexion. Front. Bioeng. Biotechnol. 2019, 7, 428. [Google Scholar] [CrossRef] [PubMed]
- Gilleard, W.L.; Crosbie, J.; Smith, R. Static Trunk Posture in Sitting and Standing during Pregnancy and Early Postpartum. Arch. Phys. Med. Rehabil. 2002, 83, 1739–1744. [Google Scholar] [CrossRef] [PubMed]
- Krkeljas, Z. Changes in Gait and Posture as Factors of Dynamic Stability during Walking in Pregnancy. Hum. Mov. Sci. 2018, 58, 315–320. [Google Scholar] [CrossRef] [PubMed]
- Otayek, J.; Bizdikian, A.J.; Yared, F.; Saad, E.; Bakouny, Z.; Massaad, A.; Ghanimeh, J.; Labaki, C.; Skalli, W.; Ghanem, I.; et al. Influence of Spino-Pelvic and Postural Alignment Parameters on Gait Kinematics. Gait Posture 2020, 76, 318–326. [Google Scholar] [CrossRef]
- Prilutsky, B.I.; Zatsiorsky, V.M. Optimization-Based Models of Muscle Coordination. Exerc. Sport Sci. Rev. 2002, 30, 32–38. [Google Scholar] [CrossRef] [PubMed]
- Borg-Stein, J.; Dugan, S.A.; Gruber, J. Musculoskeletal Aspects of Pregnancy. Am. J. Phys. Med. Rehabil. 2005, 84, 180–192. [Google Scholar] [CrossRef] [PubMed]
- Betsch, M.; Wehrle, R.; Dor, L.; Rapp, W.; Jungbluth, P.; Hakimi, M.; Wild, M. Spinal Posture and Pelvic Position during Pregnancy: A Prospective Rasterstereographic Pilot Study. Eur. Spine J. 2015, 24, 1282–1288. [Google Scholar] [CrossRef] [PubMed]
- Farfan, H.F. Form and Function of the Musculoskeletal System as Revealed by Mathematical Analysis of the Lumbar Spine: An Essay. Spine (Phila. PA. 1976) 1995, 20, 1462–1474. [Google Scholar] [CrossRef]
- Bailey, J.F.; Sparrey, C.J.; Been, E.; Kramer, P.A. Morphological and Postural Sexual Dimorphism of the Lumbar Spine Facilitates Greater Lordosis in Females. J. Anat. 2016, 229, 82–91. [Google Scholar] [CrossRef] [PubMed]
- Moreira, L.S.; Elias, L.A.; Gomide, A.B.; Vieira, M.F.; Do Amaral, W.N. A Longitudinal Assessment of Myoelectric Activity, Postural Sway, and Low-Back Pain during Pregnancy. Acta Bioeng. Biomech. 2017, 19, 77–83. [Google Scholar] [CrossRef]
- Bogduk, N.; Macintosh, J.E.; Pearcy, M.J. A Universal Model of the Lumbar Back Muscles in the Upright Position. Spine (Phila. PA. 1976) 1992, 17, 897–913. [Google Scholar] [CrossRef] [PubMed]
- Hodges, P.W.; Richardson, C.A. Inefficient Muscular Stabilization of the Lumbar Spine Associated with Low Back Pain: A Motor Control Evaluation of Transversus Abdominis. Spine (Phila. PA. 1976) 1996, 21, 2640–2650. [Google Scholar] [CrossRef] [PubMed]
- Roussouly, P.; Pinheiro-Franco, J.L. Biomechanical Analysis of the Spino-Pelvic Organization and Adaptation in Pathology. Eur. Spine J. 2011, 20 (Suppl. S5), 609–618. [Google Scholar] [CrossRef] [PubMed]
- Been, E.; Barash, A.; Marom, A.; Kramer, P.A. Vertebral Bodies or Discs: Which Contributes More to Human-like Lumbar Lordosis? Clin. Orthop. Relat. Res. 2010, 468, 1822–1829. [Google Scholar] [CrossRef] [PubMed]
- Farfan, H.F. Biomechanics of the Lumbar Spine. In Managing Low Back Pain; Kirkaldy-Willis, W.H., Ed.; Churchill Livingstone: New York, NY, USA, 1983; pp. 9–21. [Google Scholar]
- Tardieu, C.; Haeusler, M. The Acquisition of Human Verticality with an Emphasis on Sagittal Balance. In Sagittal Balance of the Spine; Roussouly, P., Pinheiro-Franco, J., Labelle, H., Gehrechen, M., Eds.; Thieme Medical Publishers: Leipzig, Germany, 2019; pp. 13–22. [Google Scholar]
- Piper, T.J.; Jacobs, E.; Haiduke, M.; Waller, M.; McMillan, C. Core Training Exercise Selection during Pregnancy. Strength Cond. J. 2012, 34, 55–62. [Google Scholar] [CrossRef]
- Pujol, T.J.; Barnes, J.T.; Elder, C.L.; LaFontaine, T. Resistance Training During Pregnancy. Strength Cond. J. 2007, 29, 44–46. [Google Scholar] [CrossRef]
- Whitcome, K.K.; Shapiro, L.J.; Lieberman, D.E. Fetal Load and the Evolution of Lumbar Lordosis in Bipedal Hominins. Nature 2007, 450, 1075–1078. [Google Scholar] [CrossRef]
- Moore, K.; Dumas, G.A.; Reid, J.G. Postural Changes Associated with Pregnancy and Their Relationship with Low-Back Pain. Clin. Biomech. 1990, 5, 169–174. [Google Scholar] [CrossRef]
- Sulima, G.; Bryekhov, O.; Kosobokova, E.; Poliakov, M.; Kalinin, M.; Kovalenko, O.; Volkov, V. Biomechanical Aspects Of Lumbar Hyperlordosis And Low Back Pain During Pregnancy. Internet J. Minim. Invasive Spinal Technol. 2010, 4. [Google Scholar]
Publisher’s Note: MDPI stays neutral with regard to jurisdictional claims in published maps and institutional affiliations. |
© 2022 by the authors. Licensee MDPI, Basel, Switzerland. This article is an open access article distributed under the terms and conditions of the Creative Commons Attribution (CC BY) license (https://creativecommons.org/licenses/by/4.0/).


