You are currently viewing a new version of our website. To view the old version click .
Applied Sciences
  • Article
  • Open Access

21 May 2023

Optimal Driving Model for Connected and Automated Electric Freight Vehicles in a Wireless Charging Scenario at Signalised Intersections

,
,
,
and
1
School of Information Engineering, Chang’an University, Xi’an 710064, China
2
Shandong Key Laboratory of Smart Transportation (Preparation), Jinan 250014, China
3
School of Electronics and Control Engineering, Chang’an University, Xi’an 710064, China
*
Author to whom correspondence should be addressed.
This article belongs to the Special Issue Connected, Autonomous Driving and Smart Transportation: Theory, Methodology, Simulation and Optimization

Abstract

Electric freight vehicles have become an important means of transportation in connected and automated environments owing to their numerous advantages. However, the generally short driving range of connected and automated electric freight vehicles (CAEFVs) does not satisfy the growing transport demand. In this study, wireless charging technology is employed to construct a complex driving scenario including urban roads and dynamic wireless charging facilities. A combination of variable-scale elements consisting of vehicles, roads, and the environment is analysed hierarchically to develop a wireless charging scheme for urban transport systems. Using passage efficiency, energy consumption, and passenger comfort as the joint optimisation objectives, an optimal driving model for CAEFVs in wireless charging scenarios at signalised intersections combining scenario boundaries and vehicle dynamic constraints is proposed. Considering the differentiated charging needs of vehicles, this model is divided into a time priority strategy (TPS), balance priority strategy (BPS), and charging priority strategy (CPS). The obtained results reveal that the CPS is superior to the TPS in terms of the charging benefits but requires a longer travel time. Meanwhile, the BPS increases the charging benefits and passing efficiency. This study provides guidance for the deployment of wireless charging lanes with a high application value.

1. Introduction

With rapid urbanisation, the transportation industry has created multiple benefits for human beings while causing congestions in urban surface transportation systems and serious energy and environmental crises [,]. Improving the energy efficiency of freight vehicles and reducing pollutant emissions are challenging tasks for countries and the automotive industry [,]. Therefore, the electrification of freight vehicles has attracted considerable attention and political support from various countries as a possible way of increasing energy efficiency, controlling carbon emissions, and achieving sustainable development [,,,]. However, the limited driving range and long charging waiting time are important factors affecting the popularity of electric freight vehicles (EFVs). To address these issues, many studies have been conducted on charging innovations and energy storage technologies including battery storage upgrades [,], energy management optimisation [,], high-power fast charging [,], and driving strategies [,]. To sustainably meet the charging requirements of devices, a significant amount of charging infrastructure, including charging stations, battery swap stations, and wireless charging devices, has been constructed [,,]. Although charging stations have the advantage of low construction costs, they often have long charging wait times, and fast-charging technology can significantly reduce battery lifespan []. By contrast, battery swap stations offer the benefit of shorter charging times, but they face the challenge of replacing batteries with different designs and models [].
The adoption of energy supplement methods [,] can effectively address the limitations of devices due to power and environmental issues. Currently, static and dynamic wireless charging systems have been widely applied. Reatti et al. [] improved the sustainability of garbage collection services by using wireless power-transfer technology. The results showed that the proposed system can help reduce the downtime and cost of garbage truck charging and mitigate the environmental impact of traditional collection methods. Meintz et al. [] demonstrated the feasibility of using wireless power transfer technology to charge shuttle buses in enclosed areas. The study showed that wireless power-transfer technology has significant advantages in improving the sustainability and efficiency of transportation services. Yang et al. [] proposed an efficient charging algorithm for wireless sensor networks aided by unmanned aerial vehicles for wireless power transfer. The proposed algorithm aims to optimise the charging efficiency of the wireless sensor nodes while reducing the energy consumption of the unmanned aerial vehicles. Hence, the rational use of wireless charging technology and connected and automated technologies combined with a wireless charging lane (WCL) [,] can effectively increase the driving range of connected and automated EFVs from the sustainable vehicle operation perspective. Moreover, unlike the static parking charging method, charging during walking can reduce driving anxiety, shorten the waiting time for parking and charging, and increase the popularity of CAEFVs.
As important hubs of the urban surface transportation system, signalised intersections play an irreplaceable and comprehensive role in regulating the speed of traffic flow, influencing the efficiency of safe passages, and relieving urban congestions. With the continuous improvement of intelligent driving systems consisting of vehicle-to-vehicle and vehicle-to-infrastructure technologies by installing devices such as the advanced driver-assistance system, advanced emergency braking system, light detection and ranging, and global positioning system, vehicles can acquire more accurate and connected real-time data related to the driver–vehicle environment, thereby enabling alerting, assistance, and intelligent decision-making functions for driving operations []. Therefore, to accomplish the dual objectives of the optimal charging and passing benefits, a combination of signalised intersections located upstream and downstream of wireless charging facilities allows vehicles to pass through intersections at reduced speeds without stopping and with power replenishment, increasing the traffic efficiency and mileage. Subsequently, various energy-consumption models for electric vehicles (EVs) and EFVs, wireless charging, and eco-driving control have been explored to satisfy the requirements of vehicles travelling in complex environments.
To improve the existing energy-consumption models for EVs and EFVs, Wu et al. [] integrated the energy-consumption functions of individual EVs for different phases into an aggregate energy-consumption model by simplifying the driving action of EVs at signalised intersections. Li et al. [] used the minimum principle theory to derive new car-following models of EVs with zero and non-zero initial states from the optimal energy-consumption model. Numerical experiments demonstrated the effectiveness of this model in terms of the vehicle position, velocity, and acceleration distributions. Fiori et al. [] studied the efficiency of regenerative braking energy and impact of auxiliary systems on the vehicle energy consumption and developed an electric vehicle energy model that utilised different deceleration levels to determine the instantaneous regenerative braking energy and estimate the electric vehicle energy consumption using the vehicle speed, acceleration, and roadway grade updated every second as input variables. On this basis, Fiori and Marzano [] proposed and validated a microscopic backward highly resolved power-based EFV energy-consumption model (EFV–ECM) using the vehicle speed, actual weight, roadway grade, and vehicle characteristics updated every second as input features combined with the actual EFV driving data. Later, Fiori et al. [] extended and validated the EFV–ECM using global and regionalised sensitivity analysis techniques to identify model inputs that most strongly influenced the variability of simulated energy consumption, which led to average or extreme model scenarios. The obtained results revealed that the EFV–ECM effectively reproduced the inherent uncertainty of energy-consumption measurements during real-world EFV driving. Therefore, this study employs the EFV–ECM as the energy-consumption model to calculate the instantaneous power consumption.
To increase the wireless charging efficiency, Deflorio and Castello [] proposed a method for evaluating the performance of a dynamic charging power system for EFVs that integrated traffic and energy dynamics using a freight delivery service operating with medium-sized EFVs in an urban area as a reference scenario. This method evaluated the impact of wireless charging delays and vehicle speed on charging while driving as well as the effect of the EFV charging demand on energy consumption. He et al. [] used a car-following model and lane-change rules to investigate the movement of EVs in a WCL, driving behaviour of each EV in a two-lane system with a WCL, and effect of WCL on the movement of EVs. He et al. [] proposed a new method for comparing different energy-consumption models and calibrations to explore the effect of WCL on the travel time and energy consumption of EVs in a two-lane system. Li et al. [] evaluated the longitudinal safety of EVs equipped with a partial WCL on freeways using time-exposed time-to-collision and time-integrated time-to-collision as the safety evaluation indicators. The obtained results revealed that a low state of charge (SOC) produced a significant negative impact on longitudinal safety when an EV was driven in the partial WCL. Li et al. [] proposed a cooperative control method for mixed fleets including electric and fuel vehicles based on the following four objectives: driving safety, traffic efficiency, passenger comfort, and energy management. They explored the effect of the WCL length on the energy consumption and traffic efficiency. However, the described model does not integrate wireless charging for CAEFVs with the upstream and downstream urban signal intersections. Therefore, this study proposes a wireless charging scenario for CAEFVs through signalised intersections and different passing strategies to satisfy the charging requirements of vehicles travelling under different circumstances.
To improve the eco-driving control, Zhao et al. [] used a model-predictive control approach to control the trajectory of automated vehicles and proposed a real-time cooperative eco-driving control model for hybrid automated vehicles and human-driven vehicles approaching signalised intersections. Xin et al. [] developed an eco-driving model with a deceleration strategy that considered the signal phase, timing, and vehicle status at signalised intersections. This model could guide vehicles through an intersection without stopping by analysing the red- and green-light conditions at the signalised intersection and slowing them down in advance. Liao et al. [] considered the internal functionalities of a powertrain and introduced a battery thermal effect into a powertrain-based longitudinal dynamic model of EVs using a holistic approach to design optimal driving strategies. By combining eco-driving and traditional cooperative adaptive cruise-control technology, Ma et al. [] proposed an ecological cooperative adaptive cruise-control model to enable energy optimisation and multi-vehicle speed trajectory planning. Sun et al. [] used motion wave and car-following models to design an eco-driving algorithm based on connected and automated technology. The utilised algorithm accurately estimated the time point at which each vehicle entered a signalised intersection from signal timing and the vehicle speed. It then developed a corresponding advisory speed limit approach for each automated vehicle to allow the speed-controlled vehicles enter the intersection at the allocated time, thus achieving the objective of easing traffic fluctuations and improving traffic congestions. However, wireless charging scenarios were not considered in the described eco-driving model. Table 1 summarises the aforementioned eco-driving related works available in the literature; the last row refers to the contribution provided by this study.
Table 1. Overview of eco-driving related works.
In this study, wireless charging technology was used to enable the slow movement of CAEFVs at traffic lights for energy replenishment by placing WCLs upstream and downstream of signalised intersections. On this basis, various passing strategies were designed to ensure that CAEFVs could pass through signalised intersections without stopping and satisfy the charging requirements of different vehicles. The traffic benefits of each mode were analysed at different initial speeds, charging efficiencies, and WCL lengths to conduct charging during walking and speed planning of CAEFVs. The remainder of this paper is organised as follows: Section 2 describes a wireless charging scenario at a signalised intersection. Section 3 outlines the optimal driving model and passing strategies applicable to the above-mentioned scenario. Experiments and comparative analyses are conducted in Section 4 to verify the validity of the proposed model. Finally, concluding remarks are presented in Section 5.

2. Scenario Description and Schematic

Using intelligent urban transportation systems as well as vehicle-to-vehicle and vehicle-to-infrastructure technologies, the CAEFVs located in the upstream area of signalised intersections can receive important state information in advance, including their positions, traffic signal phase status, and surrounding vehicle information. Moreover, the wireless charging scenario at signalised intersections (WCSSI) consists of multiple scenario elements including vehicles, static environments, and dynamic environments. To hierarchically analyse a combination of vehicles, roads, and environmental elements in a coupled scenario, an adapted hierarchical model was used for a scenario representation based on the study conducted by Menzel et al. []. In this model, scenarios are divided into basic components, and only the interactions between all five layers represent a complete scene. The five-layer model is used to construct the scene depicted in Figure 1a with the three lower layers describing its static parts. The fourth layer focuses on moving objects, while the fifth layer describes the environmental conditions and vehicle-to-everything communication.
Figure 1. Wireless charging scenario at a signalised intersection [].
Figure 1b shows that the WCL at the signalised intersection includes a control area (CA) with a start point o and termination point s , containing the upstream and downstream regions of the signalised intersection. The wireless charging area (WCA) with length D 2 starts at point s 1 and ends at point s 2 , and the stop line of the signal crossing is positioned at s 3 . When CAEFVs pass through a conventional signal crossing, the red signal status causes the vehicles to remain idle and wait before the stop line, resulting in the waste of the user time and vehicle energy. When CAEFVs pass through a signal crossing paved with the wireless charging facilities, they travel at a lower speed in the WCA while avoiding the energy waste caused by the vehicle stopping at the signal crossings and improving the vehicle’s remaining power status, turning the time-wasting drawback into a power-gain advantage. Therefore, based on the results of a hierarchical analysis of the described scenario, the initial vehicle speed, wireless charging efficiency, and WCL length are considered the key parameters of CAEFVs passing through the signalised intersections in this study to verify the effectiveness of the optimal driving model in different strategies.

3. Methodology

3.1. Energy Consumption and Wireless Charging Model for CAEFVs

Because the vehicle speed and acceleration data can be easily obtained from the intelligent transportation system, this study uses a physical model proposed by Fiori et al. [], which is a backward-structured EFV–ECM, to calculate the energy consumption of EVs. It utilises the instantaneous speed, acceleration, and road gradient as the input parameters and the instantaneous power or energy consumption as the output and calculates the instantaneous energy consumption and power state of the vehicle by inputting the speed and acceleration data obtained every second.
P W t = m t o t a l · a t + m g c o s θ · c r 1000 c 1 v t + c 2 + 1 2 ρ a i r · A f · c d · v 2 t + m g s i n θ v t ,
where m t o t a l = m v + m p is the actual mass of the vehicle, with m v being the vehicle tare and m p the payload; v t is the vehicle speed at moment t ; a t is the vehicle acceleration at moment t ; g is the acceleration of gravity; θ is the road grade; c r , c 1 , and c 2 are the rolling resistance parameters; ρ a i r is the air mass density; c d is the aerodynamic drag coefficient; and A f is the front area of the vehicle.
After determining the instantaneous power P W t at the wheels, the traction power P T t and regenerative braking power P R t of CAEFVs are obtained based on the positive and negative P W t values.
P T t = P W t + ρ A u x / η m · η d · η b i f   P W t 0 P R t = P W t + ρ A u x η m · η d · η b · η R B t i f   P W t < 0 ,
where ρ A u x is the power of the auxiliary system, η E M is the motor efficiency factor, η D L is the transmission efficiency factor, η B A T is the battery efficiency factor, and η R B t is the regenerative braking energy efficiency factor determined for the studied vehicles at time step t . The η R B t function is related to the instantaneous acceleration of the vehicles, in accordance with [].
η R B t = e α a t i f   a t < 0 0 i f   a t 0 ,
where α is the specific parameter of [0, 1].
Integrating P T t and P R t over time enables the calculation of the traction energy-consumption E C o n and regenerative braking response energy E R e for the entire period as follows:
E C o n = t 0 t f P T t d t E R e = t 0 t f P R t d t ,
where t 0 is the initial moment when the vehicle enters the CA, and t f is the terminal moment when the vehicle leaves the CA.
In addition to the energy-consumption model of CAEFVs, it is necessary to define the SOC during wireless charging in the WSCCI and calculate the WCL supplementary energy. Without considering the effect of the vehicle speed on the charging power and charging power variations due to grid voltage fluctuations, this study assumes that the wireless charging power P C is a constant [,]. In this case, the wireless charging model of CAEFVs can be expressed as follows:
E C = μ P C T C ,
where E C is the wireless charging power, μ is the charging efficiency, and T C is the wireless charging time.
The charge state of CAEFVs in the CA can be calculated via the following formula:
S O C C A = S O C t 0 E C o n E R e E C C b ,
where S O C t 0 is the SOC of the vehicles at the start of the CA, and C b is the cell capacity.

3.2. Optimal Driving Model

3.2.1. Multi-Objective Optimisation

To establish a global optimisation model for the passage of CAEFVs in the WCSSI, a multi-objective optimisation function representing energy consumption, passenger comfort, and passage efficiency is constructed in this study. Moreover, all objectives are normalised to reduce the influence of dimensional discrepancy on optimisation results. Here, the energy-consumption optimisation refers to the fact that CAEFVs are subject not only to power losses such as motors and auxiliary systems but also to the power replenishment from the WCL and regenerative braking systems during the journey. The formulas utilised in this model are provided below:
F e = E C o n E R e E C E μ E σ ,
E μ = i = 1 n E C o n i E R e i E C i / n ,
E σ = 1 n i = 1 n E C o n i E R e i E C i E μ 2 ,
where E μ and E σ are the mean and standard deviation of the total electricity consumption during driving, respectively.
Driving comfort is closely related to changes in the vehicle acceleration, which can be reduced by minimising speed fluctuations during the vehicle control phase []. To avoid the influence of the offset of the positive and negative acceleration values on vehicle fluctuations, the vehicle stability during driving can be assessed by integrating the squared acceleration in the CA over time. Therefore, the comfort optimisation objective is expressed as follows:
F c = t 0 t f a 2 t d t C μ C σ ,
C μ = i = 1 n t 0 i t f i a 2 t d t / n ,
C σ = 1 n i = 1 n t 0 i t f i a 2 t d t C μ 2 ,
where C μ and C σ are the mean and standard deviation of speed fluctuations during the vehicle movement, respectively.
Traffic efficiency optimisation is performed to increase the efficiency of traffic movement by reducing the lead time of CAEFVs in the CA. If a vehicle is unable to cross a signalised intersection at its current speed, it is necessary to adjust the vehicle speed collaboratively to avoid the Stop–Go behaviour at the signalised intersection. The following expressions are used for this purpose:
F t = t f t 0 T μ T σ ,
T μ = i = 1 n t f i t 0 i / n ,
T σ = 1 n i = 1 n t f i t 0 i T μ 2 ,
where T μ and T σ are the mean and standard deviation of the pass time during travel, respectively.
Combining Equations (7)–(15), the multi-objective optimisation function considering the communication delay in the connected environment is obtained.
min a t + t d F = ω 1 F e + ω 2 F c + ω 3 F t
ω 1 + ω 2 + ω 3 = 1
0 < ω i < 1 , i = 1,2 , 3
Here, F is the target optimisation value; ω 1 , ω 2 , and ω 3 are the weighting coefficients indicating differentiated charging needs; and t d is the communication delay.

3.2.2. Dynamic Constraints

The following constraints must be considered during the optimisation of the objective function for CAEFVs driving upstream and downstream of the CA: vehicle kinematic state declarations; initial state constraints, including logical relationships between acceleration, velocity, and displacement; and the time, velocity, and displacement of the vehicle in the CA.
X t v t , a t T = f x t , u t , t 0 < t < t f
s t 0 = 0 , v t 0 = v 0
Here, X t is the state vector of the vehicles at time t , and s t is the distance travelled by the vehicle as a function of time. s t 0 is the displacement, and v 0 is the velocity at moment t 0 . The coordinates of the initial position of the vehicle are set to zero, with moment t 0 representing the origin of time and moment when the vehicle reaches the termination position as the end of time.
The vehicle distance constraint is a distance criterium that must be satisfied when the vehicle is travelling within the CA. It is expressed by the following formulas:
s t s 1 = s 1 , s t s 2 = s 2 ,
s t s 2 = s 2 , s t f = s ,
where t s 1 is the moment when the vehicle enters the WCA, t s 2 is the moment when the vehicle leaves the WCA, and t s 3 is the moment when the vehicle reaches the signal intersection stop line. s 1 is the dynamic WCA start position, s 2 is the dynamic WCA end position, s 3 is the signal intersection stop line position, and s is the CA end position.
The safety distance constraint states that the relative distance of the following vehicle cannot exceed the relative distance of the front vehicle at the same moment.
s i t < s i 1 t ,
where s i t is the distance of the ith vehicle at moment t , and s i 1 t is the distance of the (i − 1)th vehicle at moment t .
The vehicle kinematic constraints require maintaining the vehicle motion parameters within its physical limits. Equations (24) and (25) represent the velocity and acceleration boundary constraints of the vehicle, respectively, stating that the vehicle velocity and acceleration cannot exceed specified ranges.
v m i n < v t < v m a x ,
a m i n < a t < a m a x ,
where v t is the vehicle speed at moment t ; v m i n and v m a x are the minimum and maximum vehicle speeds during travel, respectively; and a m i n and a m a x are the minimum and maximum vehicle accelerations during travel, respectively.
The signal constraint ensures that the vehicle crosses the signalised intersection within the green timeframe. When a vehicle enters the CA, the signal may have two green or red windows. If the vehicle crosses the signal before the end of the first green window, its passing time is equal to t f = 0 , t g r e e n . If the vehicle travels from the start of the CA at the maximum acceleration to the maximum speed limit, it still fails to cross the stop line before the end of the first green window, and t f = t g r e e n + T r , t g r e e n + T r + T g . If the vehicle enters the CA in time for the first red window, it will be able to stop at the next green light if it can slow down without stopping. If the vehicle enters the CA in time for the first red-light window, it will cross the signalised intersection at the next green light; in this case, t f = t r e d , t r e d + T g . The expression used for the signal constraint is as follows:
t m i n < t f < t m a x ,
where t m i n and t m a x are the minimum and maximum vehicle passing times, respectively; t r e d and t g r e e n are the remaining times between the red and green lights when the vehicle enters the CA, respectively; and T r and T g are the red- and green-light cycles, respectively.
The fleet of CAEFVs satisfying the time constraint indicates that the last vehicle in the convoy crosses the signalised intersection within the signal window cycle and terminal time.
t m i n t i 1 < t i t f ,
where t i is the time when the ith vehicle crosses the signalised intersection, and t i 1 is the time when the (i − 1)th vehicle crosses the signalised intersection.

3.3. Differentiated Passing Strategies

The weighting coefficients in the optimal driving model represent the different passing and charging requirements of vehicles. The existing driving strategies are divided into a time priority strategy (TPS), balance priority strategy (BPS), and charging priority strategy (CPS) by adjusting the three weighting coefficients ω 1 , ω 2 , and ω 3 , respectively. In Table 2, the weighting coefficients are specified as ranges rather than fixed values to ensure that the different modes have sufficient room for dynamic adjustment.
Table 2. Weighting coefficients of different passing strategies.
The CPS requires recharging the vehicle as much as possible during a journey. When the vehicle enters the CA with a residual state of less than 30%, the passing strategy focuses on the efficient power replenishment to extend the driving range. The power weighting factor ω 1 is set as the primary weighting factor that can assume values from 0.6 to 0.8. The comfort weighting factor ω 2 and efficiency weighting factor ω 3 are set as the secondary weight factors that can assume values from 0.1 to 0.2. The BPS prioritises the passenger comfort and travel time of CAEFVs. When the vehicle enters the CA with a remaining charge greater than 30% and less than 70%, the passing strategy charges the vehicles in a manner that satisfies the driving comfort. The power weighting factor ω 1 and comfort weighting factor ω 2 are set as the primary weighting factors assuming values from 0.4 to 0.6. The time weighting factor ω 3 is the secondary weighting factor assuming values from 0.1 to 0.2.
The TPS of CAEFVs primarily satisfies the requirement to cross the signalised intersection in a short time. When the vehicle enters the CA with a remaining charge above 70%, the overall passage time is not affected owing to charge replenishment. Therefore, the weighting factor ω 3 is set as the main weighting factor assuming values from 0.6 to 0.8. The power weighting factor ω 1 and comfort weighting factor ω 2 are set as the secondary weighting factors that assume values from 0.1 to 0.2.

4. Numerical Studies

The effectiveness of the optimal driving model based on customised requirements was evaluated to assess the impacts of various key factors on the traffic benefits of CAEFVs in the WCSSI. The ability of vehicles to pass the CA in mixed traffic with different market penetration rates (MPRs) was examined to verify the adaptability of the proposed model. The main simulation parameters, including the basic vehicle parameters [], are shown in Table 3.
Table 3. Parameters of the simulation procedure.

4.1. Single-Vehicle Simulation with a Communication Delay

To verify the effectiveness of the proposed model, a particle swarm optimisation algorithm [] and regularisation method [,] were employed to compare the optimal driving model considering a communication delay with an unguided model (IDM) using the same initial state parameters. Based on the simulation parameters listed in Table 3, comparison experiments were conducted for the same initial state, including an initial speed of 20 m/s and charging area of 200 m.
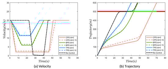
In Figure 2a, the minimum speed of the vehicle without a control strategy is 0 m/s, and the vehicle remains stationary at the stop line of the signalised intersection. For the CAEFVs controlled by the optimal driving control model, no STOP–GO behaviour is observed in the CPS, BPS, and TPS, and the vehicles pass through the signalised intersection without stopping in different modes. After introducing a communication delay, the speed curves of the three modes become different. The time required for the CAEFVs driving in the CPS mode to cross the entire signalised intersection is approximately 70 s, and the largest difference between their lowest speeds is 0.24 m/s. However, the times required for the CAEFVs driving in the BPS and TPS modes to cross the entire signalised intersection are equal to 48 and 40 s, and the corresponding minimum speed differences are 0.33 and 0.18 m/s, respectively. Figure 2b illustrates the vehicle passing process through a signalised intersection. In the scenario without a control strategy, the vehicle is affected by the red light and remains idle before the stop line at the signalised intersection. The CAEFVs that consider a communication delay can receive road and signal-light status information in advance, enabling effective decision-making optimisation control and avoiding the idling of vehicles at the signalised intersections.
Figure 2. Simulation results obtained with and without a model control strategy and communication delay: (a) velocity and (b) trajectory.
The numerical simulation results obtained for the four scenarios are listed in Table 4. The time required for CAEFVs to cross the signalised intersection in the TPS mode is the lowest one. The power consumption of the vehicles operating in this mode is also relatively low, the energy recovered by the regenerative braking system without a control strategy is relatively high, and the charging efficiency of EVs driving in the CPS mode is the highest. Compared with the vehicles without a control strategy, the vehicle driving in the CPS mode saves 0.2014 kWh of electricity; the vehicle operating in the BPS mode saves slightly more than 0.0896 kWh of electricity, and the vehicle driving in the TPS mode saves slightly more than 0.0457 kWh of electricity. However, it takes longer times for the vehicles driving in the CPS mode to pass through the signalised intersection. In contrast, the vehicles driving in the TPS mode save less electricity than those operated using the other two strategies, which significantly reduces the passing time and increases the passing efficiency.
Table 4. Numerical results obtained with and without a model control strategy.

4.2. Effects of Different Key Factors on Single-Vehicle Simulation

To analyse the effects of the initial vehicle speed, WCL length, and charging efficiency on the model performance and differences between the three passing strategies, nine scenarios are considered in this study to determine the SOC. According to Table 5, scenarios A, B, and C are constructed for different initial speeds with a fixed WCA and charging efficiency. Scenarios D, E, and F and G, H, and I are constructed for different charging area lengths and charging efficiencies, respectively.
Table 5. Parameters of nine different scenarios.
Figure 3 shows the trajectory, speed, and SOC values of CAEFVs obtained for different scenarios. Figure 3a indicates that for the CPS, the time required for CAEFVs to arrive at the intersection is approximately 65 s and that the total time required to cross the control section is approximately 70 s, while for the TPS, the vehicles arrive at the intersection in 35 s and pass through the CA in 42 s or less. For the BPS, the vehicles arrive at the intersection through the CA in 50, 53, and 56 s, which indicates that the CAEFVs driving in the TPS mode can cross the intersection faster than the vehicles using the other strategies and thus reduce the total travel time. Figure 3b, c show that the trajectory curves obtained for the BPS are more dispersed than those constructed for the TPS and that the time at which the vehicles arrive at the intersection is uncertain. The temporal trajectory curves obtained for the TPS are more concentrated, and the vehicles arrive at the intersection stop line when the traffic light changes from red to green. Meanwhile, the CPS ensures that a vehicle passes through the intersection and CA before the traffic light turns red. For BPS, the increase in the charging efficiency effectively extends the charging time of CAEFVs. Similarly, the vehicles following the TPS require less time to cross the CA.
Figure 3. Results obtained for nine different scenarios.
Figure 3d–f indicate that the speed of the vehicle driving in the TPS mode is generally higher than those of the vehicles driving in the other two modes and that its speed fluctuations are small. Overall, the average speed in the CPS mode is lower than those in the other two modes, especially the minimum speed. The minimum speed in the CPS mode is approximately equal to the minimum speed of the vehicle, while the minimum speeds achieved in the BPS and TPS modes amount to 4–9 and 10–15 m/s, respectively. For the CPS, a vehicle requires more charging power, which necessitates travelling at a lower speed in the charging zone. For the TPS, the charging weighting coefficient is not a major factor; therefore, driving at a lower speed is not required when passing through the wireless charging zone.
The SOC curves of the vehicles driving in different modes are shown in Figure 3g–i. The maximum capacity of the battery is assumed to be 60 kWh with an initial SOC of 0.5. When a vehicle drives in the WCA or decelerates, its remaining power increases significantly. When the vehicle accelerates, the remaining power decreases considerably. For the BPS, the remaining powers of the vehicles at the terminal moment in scenarios A, B, and C are equal to 0.5017, 0.5014, and 0.5010 kWh, respectively. Therefore, it can be concluded that the higher the initial speed of the vehicle, the greater the power consumption in the CA. Simultaneously, the remaining power at the terminal time decreases with an increase in the initial speed. The WCL length and charging efficiency exert a stronger impact on the SOC, and the charging distance and charging efficiency have a significant effect on the power replenishment of CAEFVs.
The numerical results obtained for the different scenarios are listed in Table 6. Here, t f is the terminal moment, T c h a is the charging time, E c h a is the charge replenished by the vehicle in the CA, E c o n is the pure energy consumption, E r e c is the charge recovered by the regenerative braking system, and SOC is the remaining battery capacity.
Table 6. Numerical results obtained for different scenarios.

4.3. Multi-Vehicle Simulations in Different Modes

4.3.1. Simulation Using a Fleet of CAEFVs

To adapt the optimal driving mode to a fleet of CAEFVs at the intersection, scenario A in Table 5 is selected as the base scenario, where eight CAEFVs sequentially enter the upstream start of the intersection at an initial speed of 20 m/s and CA length of 200 m. The model parameters in this scenario are listed in Table 3, and the delay time is equal to 0.15 s.
Figure 4 depicts the spatiotemporal trajectory and speed distribution curves of the fleet driving in different modes (the dashed lines indicate the coordinate points for entering and exiting the WCA). Figure 4a shows that for the TPS, the first vehicle in the fleet arrives at the intersection in 35 s and that the entire queue passes through the CA in approximately 47 s. According to Figure 4b,c, the vehicle queues with the BPS and CPS pass through the signalised intersection within the green-light cycle. Generally, in a CAEFV queue, the leading vehicle operating characteristics are part of the optimised or better trajectory, and the other vehicles are more likely to travel along suboptimal trajectories and use the wireless charging road with low latency. However, the fleet of CAEFVs using the CPS crosses the intersection after a longer time. As shown in Figure 4f, the speed fluctuations of the fleet of CAEFVs following the CPS are significantly larger than those depicted in Figure 4d,e, and the perturbations created by this situation are more likely to cause traffic congestions.
Figure 4. Vehicle trajectory and speed distribution curves obtained for different modes.
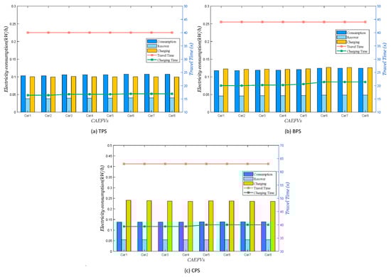
Figure 5 shows the power consumption values and travel times of the vehicles travelling in different modes. For the CPS, the vehicle consumes, recovers, and charges approximately 0.137, 0.054, and 0.241 kW/h, respectively, and its travel time and charging time are equal to approximately 63 and 39.5 s, respectively. These values are larger than those obtained for the BPS (0.02 kW/h, 0.008 kW/h, 0.199 kW/h, 19.1 s, and 18.8 s, respectively). The vehicle driving in the TPS mode crosses the signal crossing with less power consumption; however, in this case, it also receives the lowest amount of recovered energy and charging power. This means that CAEFVs driving in different modes can reasonably use the WCA and that the vehicles must consume more power at larger driving speed variations. The regenerative braking recovery energy does not significantly fluctuate with speed; however, it gradually increases with decreasing speed. Furthermore, the travel time in the TPS mode is shorter than that in the CPS mode by approximately 23 s, which is advantageous in terms of traffic efficiency.
Figure 5. Power consumption (consumption, recovery, and charging) values and travel times of the vehicles driving in different modes.

4.3.2. Mixed-Traffic Simulations Using Different MPRs

In the mixed-traffic simulations, the adaptability and robustness of the proposed model were analysed in different modes by varying the MPRs of CAEFVs to determine their traffic benefits. Based on scenario E in Table 5, the dynamic initial speeds of the IDM and CAEFVs were set to 16–22 and 18–20 m/s, respectively, with an initial time distance of 30–60 m.
Figure 6 shows the spatiotemporal trajectories of 30 vehicles obtained at different MPRs (0–100%). The vehicle trajectories determined for the TPS, BPS, CPS, and IDM (control) are represented by the dark blue, red, light blue, and black lines, respectively. Overall, as the MPR value increases, the number of vehicles stopping and waiting at the intersection stop line gradually decreases, and more vehicles travel through the signalised intersection along the optimised or suboptimal trajectories. However, a low penetration rate increases the fluctuations of vehicle trajectories, and even the IDM-controlled vehicles may not be able to cross the CA within the required timeframe. As shown in Figure 6c,d, when the preceding vehicle is a CAEFV, it can effectively shape the trajectory of the following vehicle. However, when the preceding vehicle is an IDM-controlled vehicle, it cannot effectively guide the following vehicle driving in the CPS mode. Therefore, increasing the market share of CAEFVs may significantly improve the passing efficiency of vehicles in the CA.
Figure 6. Spatial–temporal trajectories obtained at different market penetration rates (0–100%).
Figure 7 shows the average travel times and power consumption values obtained in different modes at MPRs varying from 0 and 100%. According to Figure 7a, the power consumption, regenerative braking recovery energy, charging power, and average travel time determined for the mixed traffic with the TPS at an MPR of 0% are equal to 1.388 kW, 0.56 kW, 0.943 kW, and 39.7 s, respectively. When the MPR value is increased from 20% to 100%, the regenerative braking recovery energy decreases by approximately 4.6–37.2%, and the average travel time saving amounts to 2.1 s. This indicates that as the MPR increases, the TPS has an advantage in terms of the traffic efficiency. When the MPR reaches 100%, the rise in the power consumption as compared with the values obtained at other MPRs is approximately 3.3–37.1%. For the BPS and CPS modes described in Figure 5b,c, the power consumption increases with increasing MPR from 1.388 kW by approximately 11.7–39.4% and 6.8–37.3%, respectively. Meanwhile, the charging power increases from 0.943 kW to 2.073 and 2.276 kW, respectively, while the regenerative braking recovery energy also exhibits a slow upward trend, which indicates that the vehicle has a significant charging advantage when driving through signalised intersections in the CPS mode. For the BPS, the average vehicle travel time increases slightly. In contrast, the average travel time in the CPS mode increases significantly, which also indicates that the vehicle inevitably sacrifices travel time to gain more power while driving. Thus, each mode succeeds in achieving its own objectives.
Figure 7. Power consumption (consumption, recovery, and charging) values and average travel times obtained in different driving modes.

5. Conclusions

To increase the driving range and market share of CAEFVs as well as to solve the problem of their power and time wastage at signal intersections owing to the frequent speed fluctuations, an optimal driving model of CAEFVs at signal intersections with different passing strategies is proposed. Based on the WCSSI, a joint multi-objective optimisation model that considers the passing efficiency, vehicle energy consumption, driving comfort, and charging efficiency was developed. Based on the actual needs of CAEFVs, the passing modes were divided into the CPS, BPS, and TPS with various weighting coefficients. The obtained results revealed that a single vehicle could pass faster through a signalised intersection in the TPS mode, while more charging power could be obtained with the CPS. The effectiveness of the proposed model was verified by estimating the power consumption in different passing modes using the initial speed, WCL length, and charging efficiency as the key parameters. It was found that the CPS significantly increased the charging power at the expense of a small amount of passing time, while the BPS increased both the passing efficiency and charging power, and the model exhibited high robustness in different initial states. Moreover, the WCL length and charging efficiency produced a significant impact on the SOC and power replenishment of CAEFVs.
For the fleet of CAEFVs, the adaptability of the optimal driving model was verified by evaluating and analysing the trajectories, speeds, and SOCs of the vehicles under the influence of different policies. The obtained results indicated that the model utilising a proper passing strategy could identify the optimal vehicle driving path through multi-objective speed planning. Moreover, speed-guidance recommendations for fleets that could help pass through signalised intersections without stopping were provided to satisfy the differentiated demand while taking the WCL into account. For the mixed traffic, the TPS significantly outperformed the unguided model in terms of the power consumption and average travel time. The BPS and CPS outperformed the unguided model in terms of the charging benefits, while the CPS negatively influenced the average travel time. It is noteworthy that a lower MPR generates trajectory fluctuations strongly affecting the vehicle efficiency and that traffic benefits are closely related to the type of the leading vehicle. However, owing to the complexity of the existing traffic systems, it is necessary to extend the list of the key factors affecting the model validity and calibrate the model parameters more accurately. In addition, the influence of background vehicles on lane changes must be considered to satisfy the real-world requirements established by the current developments in autonomous driving and other technologies. Future research should focus on (1) studying the game effects between conflicting control strategies in mixed traffic where the three strategies coexist with human driving and (2) improving and optimising the proposed control method.

Author Contributions

Conceptualization, W.W., S.F., Z.W., X.Y., and K.M.; methodology, W.W., S.F., Z.W., X.Y., and K.M.; software, W.W., S.F., and Z.W.; validation, W.W., X.Y., and K.M.; investigation, W.W., S.F., Z.W., X.Y., and K.M.; resources, S.F., Z.W., X.Y., and K.M.; writing—original draft preparation, W.W., S.F., and Z.W.; writing—review and editing, W.W., X.Y., and K.M.; supervision, W.W., S.F., Z.W., X.Y., and K.M. All authors have read and agreed to the published version of the manuscript.

Funding

This research was funded by Open Project of Shandong Key Laboratory of Smart Transportation (Preparation), grant number 2021SDKLST003; and National Natural Science Foundation of China, grant number 52202489.

Institutional Review Board Statement

Not applicable.

Data Availability Statement

The data are not publicly available due to privacy.

Acknowledgments

This research was supported by Open Project of Shandong Key Laboratory of Smart Transportation (Preparation).

Conflicts of Interest

The authors declare no conflict of interest.

References

  1. Quak, H.; Nesterova, N.; van Rooijen, T.; Dong, Y. Zero emission city logistics: Current practices in freight electromobility and feasibility in the near future. Transp. Res. Procedia 2016, 14, 1506–1515. [Google Scholar] [CrossRef]
  2. Muñoz-Villamizar, A.; Quintero-Araújo, C.L.; Montoya-Torres, J.R.; Faulin, J. Short-and mid-term evaluation of the use of electric vehicles in urban freight transport collaborative networks: A case study. Int. J. Logist. Res. Appl. 2019, 22, 229–252. [Google Scholar] [CrossRef]
  3. Nowakowska-Grunt, J.; Strzelzcyk, M. Problem of air pollution and road freight in European Union. Transp. Res Procedia 2016, 16, 418–424. [Google Scholar] [CrossRef]
  4. Kin, B.; Verlinde, S.; Macharis, C. Sustainable urban freight transport in megacities in emerging markets. Sustain. Cities Soc. 2017, 32, 31–41. [Google Scholar] [CrossRef]
  5. Taefi, T.T.; Kreutzfeldt, J.; Held, T.; Fink, A. Supporting the adoption of electric vehicles in urban road freight transport–A multi-criteria analysis of policy measures in Germany. Transp. Res. Part A Policy Pract. 2016, 91, 61–79. [Google Scholar] [CrossRef]
  6. Rizet, C.; Cruz, C.; Vromant, M. The constraints of vehicle range and congestion for the use of electric vehicles for urban freight in France. Transp. Res. Procedia 2016, 12, 500–507. [Google Scholar] [CrossRef]
  7. İmre, Ş.; Celebi, D.; Koca, F. Understanding barriers and enablers of electric vehicles in urban freight transport: Addressing stakeholder needs in Turkey. Sustain. Cities Soc. 2021, 68, 102794. [Google Scholar] [CrossRef]
  8. Melander, L.; Nyquist-Magnusson, C.; Wallström, H. Drivers for and barriers to electric freight vehicle adoption in Stockholm. Transp. Res Part DTransp. Environ. 2022, 108, 103317. [Google Scholar] [CrossRef]
  9. Yang, X.G.; Liu, T.; Wang, C.Y. Thermally modulated lithium iron phosphate batteries for mass-market electric vehicles. Nat. Energy 2021, 6, 176–185. [Google Scholar] [CrossRef]
  10. Chate, A.; Dutta, P.; Murthy, S.S. Performance analysis of a thermochemical energy storage system for battery preheating in electric vehicles. Appl. Therm. Eng. 2023, 219, 119439. [Google Scholar] [CrossRef]
  11. Sandoval, C.; Alvarado, V.M.; Carmona, J.C.; Lopez, G.L.; Gomez-Aguilar, J.F. Energy management control strategy to improve the FC/SC dynamic behavior on hybrid electric vehicles: A frequency based distribution. Renew. Energy 2017, 105, 407–418. [Google Scholar] [CrossRef]
  12. Zhang, F.; Hu, X.; Langari, R.; Cao, D. Energy management strategies of connected HEVs and PHEVs: Recent progress and outlook. Prog. Energy Combust. Sci. 2019, 73, 235–256. [Google Scholar] [CrossRef]
  13. Du, J.; Mo, X.; Li, Y.; Zhang, Q.; Li, J.; Wu, X.; Ouyang, M. Boundaries of high-power charging for long-range battery electric car from the heat generation perspective. Energy 2019, 182, 211–223. [Google Scholar] [CrossRef]
  14. Tahir, Y.; Khan, I.; Rahman, S.; Nadeem, M.F.; Iqbal, A.; Xu, Y.; Rafi, M. A state-of-the-art review on topologies and control techniques of solid-state transformers for electric vehicle extreme fast charging. IET Power Electron. 2021, 14, 1560–1576. [Google Scholar] [CrossRef]
  15. Cheng, S.; Li, L.; Chen, X.; Fang, S.N.; Wang, X.Y.; Wu, X.H.; Li, W.B. Longitudinal autonomous driving based on game theory for intelligent hybrid electric vehicles with connectivity. Appl. Energy. 2020, 268, 115030. [Google Scholar] [CrossRef]
  16. Li, L.; Coskun, S.; Langari, R.; Xi, J. Incorporated vehicle lateral control strategy for stability and enhanced energy saving in distributed drive hybrid bus. Appl. Soft Comput. 2021, 111, 107617. [Google Scholar] [CrossRef]
  17. Lukic, S.; Pantic, Z. Cutting the cord: Static and dynamic inductive wireless charging of electric vehicles. IEEE Electrif. Mag. 2013, 1, 57–64. [Google Scholar] [CrossRef]
  18. Tavakoli, R.; Pantic, Z. Analysis, design, and demonstration of a 25-kW dynamic wireless charging system for roadway electric vehicles. IEEE J. Emerg. Select. Top. Power Electron. 2017, 6, 1378–1393. [Google Scholar] [CrossRef]
  19. Zhang, H.; Hu, Z.; Xu, Z.; Song, Y. An integrated planning framework for different types of PEV charging facilities in urban area. IEEE Trans. Smart Grid 2015, 7, 2273–2284. [Google Scholar] [CrossRef]
  20. Lam, A.Y.; Leung, Y.W.; Chu, X. Electric vehicle charging station placement: Formulation, complexity, and solutions. IEEE Trans. Smart Grid 2014, 5, 2846–2856. [Google Scholar] [CrossRef]
  21. Ahmad, F.; Saad Alam, M.; Saad Alsaidan, I.; Shariff, S.M. Battery swapping station for electric vehicles: Opportunities and challenges. IET Smart Grid 2020, 3, 280–286. [Google Scholar] [CrossRef]
  22. Jang, Y.J. Survey of the operation and system study on wireless charging electric vehicle systems. Transp. Res. Part C Emerg. Technol. 2018, 95, 844–866. [Google Scholar] [CrossRef]
  23. Sun, L.; Ma, D.; Tang, H. A review of recent trends in wireless power transfer technology and its applications in electric vehicle wireless charging. Renew. Sustain. Energy Rev. 2018, 91, 490–503. [Google Scholar] [CrossRef]
  24. Reatti, A.; Corti, F.; Pugi, L.; Berzi, L.; Barbieri, R.; Delogu, M.; Pierini, M. Application of induction power recharge to garbage collection service. In Proceedings of the 2017 IEEE 3rd International Forum on Research and Technologies for Society and Industry (RTSI), Modena, Italy, 11–13 September 2017; pp. 1–5. [Google Scholar] [CrossRef]
  25. Meintz, A.; Prohaska, R.; Konan, A.; Ragatz, A.; Markel, T.; Kelly, K. Analysis of in-route wireless charging for the shuttle system at Zion National Park. In Proceedings of the 2016 IEEE PELS Workshop on Emerging Technologies: Wireless Power Transfer (WoW), Knoxville, TN, USA, 4–6 October 2016; pp. 191–195. [Google Scholar] [CrossRef]
  26. Yang, L.; Su, Z.; Yang, H.; Na, Z.; Yan, F. An efficient charging algorithm for UAV-aided wireless sensor networks. In Proceedings of the 2020 IEEE 6th International Conference on Computer and Communications (ICCC), Chengdu, China, 11–14 December 2020; pp. 834–838. [Google Scholar] [CrossRef]
  27. He, J.; Yang, H.; Tang, T.Q.; Huang, H.J. Optimal deployment of wireless charging lanes considering their adverse effect on road capacity. Transp. Res. Part C Emerg. Technol. 2020, 111, 171–184. [Google Scholar] [CrossRef]
  28. Tran, C.Q.; Keyvan-Ekbatani, M.; Ngoduy, D.; Watling, D. Dynamic wireless charging lanes location model in urban networks considering route choices. Transp. Res. Part C Emerg. Technol. 2022, 139, 103652. [Google Scholar] [CrossRef]
  29. Talal, M.; Ramli, K.N.; Zaidan, A.A.; Zaidan, B.B.; Jumaa, F. Review on car-following sensor based and data-generation mapping for safety and traffic management and road map toward ITS. Veh. Commun. 2020, 25, 100280. [Google Scholar] [CrossRef]
  30. Wu, X.; Valera, P.; Morton, J.E. Aggregate energy consumption model for electrical vehicles at signalized intersections. Transp. Res. Rec. 2016, 2572, 103–111. [Google Scholar] [CrossRef]
  31. Li, Y.; Zhong, Z.; Zhang, K.; Zheng, T. A car-following model for electric vehicle traffic flow based on optimal energy consumption. Phys. A Stat. Mech. Appl. 2019, 533, 122022. [Google Scholar] [CrossRef]
  32. Fiori, C.; Ahn, K.; Rakha, H.A. Power-based electric vehicle energy consumption model: Model development and validation. Appl. Energy 2016, 168, 257–268. [Google Scholar] [CrossRef]
  33. Fiori, C.; Marzano, V. Modelling energy consumption of electric freight vehicles in urban pickup/delivery operations: Analysis and estimation on a real-world dataset. Transp. Res. Part D Transp. Environ. 2018, 65, 658–673. [Google Scholar] [CrossRef]
  34. Fiori, C.; Marzano, V.; Punzo, V.; Montanino, M. Energy consumption modeling in presence of uncertainty. IEEE Trans. Intell. Transp. Syst. 2020, 22, 6330–6341. [Google Scholar] [CrossRef]
  35. Deflorio, F.; Castello, L. Dynamic charging-while-driving systems for freight delivery services with electric vehicles: Traffic and energy modelling. Transp. Res. Part C Emerg. Technol. 2017, 81, 342–362. [Google Scholar] [CrossRef]
  36. He, J.; Huang, H.J.; Yang, H.; Tang, T.Q. An electric vehicle driving behavior model in the traffic system with a wireless charging lane. Phys. A Stat. Mech. Appl. 2017, 481, 119–126. [Google Scholar] [CrossRef]
  37. He, J.; Yang, H.; Huang, H.J.; Tang, T.Q. Impacts of wireless charging lanes on travel time and energy consumption in a two-lane road system. Phys A Stat. Mech. Appl. 2018, 500, 1–10. [Google Scholar] [CrossRef]
  38. Li, Y.; Wang, W.; Xing, L.; Fan, Q.; Wang, H. Longitudinal safety evaluation of electric vehicles with the partial wireless charging lane on freeways. Accid. Anal. Prev. 2018, 111, 133–141. [Google Scholar] [CrossRef]
  39. Li, B.; Dong, X.; Wen, J. Cooperative-driving control for mixed fleets at wireless charging sections for lane changing behaviour. Energy 2022, 243, 122976. [Google Scholar] [CrossRef]
  40. Zhao, W.; Ngoduy, D.; Shepherd, S.; Liu, R.; Papageorgiou, M. A platoon based cooperative eco-driving model for mixed automated and human-driven vehicles at a signalised intersection. Transp. Res. Part C Emerg. Technol. 2018, 95, 802–821. [Google Scholar] [CrossRef]
  41. Xin, Q.; Fu, R.; Yuan, W.; Liu, Q.; Yu, S. Predictive intelligent driver model for eco-driving using upcoming traffic signal information. Phys. A Stat. Mech. Appl. 2018, 508, 806–823. [Google Scholar] [CrossRef]
  42. Liao, P.; Tang, T.Q.; Liu, R.; Huang, H.J. An eco-driving strategy for electric vehicle based on the powertrain. Appl. Energy 2018, 302, 117583. [Google Scholar] [CrossRef]
  43. Ma, F.; Yang, Y.; Wang, J.; Li, X.; Wu, G.; Zhao, Y.; Wu, L.; Aksun-Guvenc, B.; Guvenc, L. Eco-driving-based cooperative adaptive cruise control of connected vehicles platoon at signalized intersections. Transp. Res. Part D Transp. Environ. 2021, 92, 102746. [Google Scholar] [CrossRef]
  44. Sun, P.; Nam, D.; Jayakrishnan, R.; Jin, W. An eco-driving algorithm based on vehicle to infrastructure (V2I) communications for signalized intersections. Transp. Res. Part C Emerg. Technol. 2020, 144, 103876. [Google Scholar] [CrossRef]
  45. Menzel, T.; Bagschik, G.; Isensee, L.; Schomburg, A.; Maurer, M. From functional to logical scenarios: Detailing a keyword-based scenario description for execution in a simulation environment. In Proceedings of the 2019 IEEE Intelligent Vehicles Symposium (IV), Paris, France, 9–12 June 2019; pp. 2383–2390. [Google Scholar] [CrossRef]
  46. Hasan, N.; Wang, H.; Saha, T.; Pantic, Z. A novel position sensorless power transfer control of lumped coil-based in-motion wireless power transfer systems. In Proceedings of the 2015 IEEE Energy Conversion Congress and Exposition (ECCE), Montreal, QC, Canada, 20–24 September 2015; pp. 586–593. [Google Scholar] [CrossRef]
  47. Li, S.; Wang, L.; Guo, Y.; Liu, Z. Flexible energy-transfer control of dynamic wireless power transfer system based on estimation of load and mutual inductance. IEEE Trans. Ind. Appl. 2021, 58, 1157–1167. [Google Scholar] [CrossRef]
  48. Ntousakis, I.A.; Nikolos, I.K.; Papageorgiou, M. Optimal vehicle trajectory planning in the context of cooperative merging on highways. Transp. Res. Part C Emerg. Technol. 2016, 71, 464–488. [Google Scholar] [CrossRef]
  49. Zhao, H.; Han, G.; Niu, X. The signal control optimization of road intersections with slow traffic based on improved PSO. Mob. Netw. Appl. 2020, 25, 623–631. [Google Scholar] [CrossRef]
  50. He, X.; Liu, H.X.; Liu, X. Optimal vehicle speed trajectory on a signalized arterial with consideration of queue. Transp. Res. Part C Emerg. Technol. 2015, 61, 106–120. [Google Scholar] [CrossRef]
  51. Wu, X.; He, X.; Yu, G.; Harmandayan, A.; Wang, Y. Energy-optimal speed control for electric vehicles on signalized arterials. IEEE Trans. Intell. Transp. Syst. 2015, 16, 2786–2796. [Google Scholar] [CrossRef]
Disclaimer/Publisher’s Note: The statements, opinions and data contained in all publications are solely those of the individual author(s) and contributor(s) and not of MDPI and/or the editor(s). MDPI and/or the editor(s) disclaim responsibility for any injury to people or property resulting from any ideas, methods, instructions or products referred to in the content.

Article Metrics

Citations

Article Access Statistics

Multiple requests from the same IP address are counted as one view.