Numerical and Analytical Analysis of the Low-Frequency Magnetic Fields Generated by Three-Phase Underground Power Cables with Solid Bonding
Abstract
1. Introduction
2. Physical Model Selected for Analysis
- The three phases are buried in the ground, at a depth of 0.8 m, in trefoil formation (the spacing between the centers of any two cables is 36 mm, as dictated by the cable outer diameter), Figure 4a;
- The three phases are buried in the ground, at a depth of 0.8 m, in flat formation with clearance between cables of 70 mm (the spacing between the centers of the adjacent cables is 106 mm), Figure 4b.
3. Finite Element Model
- , the source current density due to the differences in electric potential;
- , the induced eddy current density due to time-varying magnetic fields;
- , the displacement current density due to time-varying electric fields.
3.1. Global FEM Model, Boundary Conditions and Solver Setup
3.2. Calculation of RMS Magnetic Flux Density
4. Analytical Approach for FEM Model Validation
5. Results and Discussions
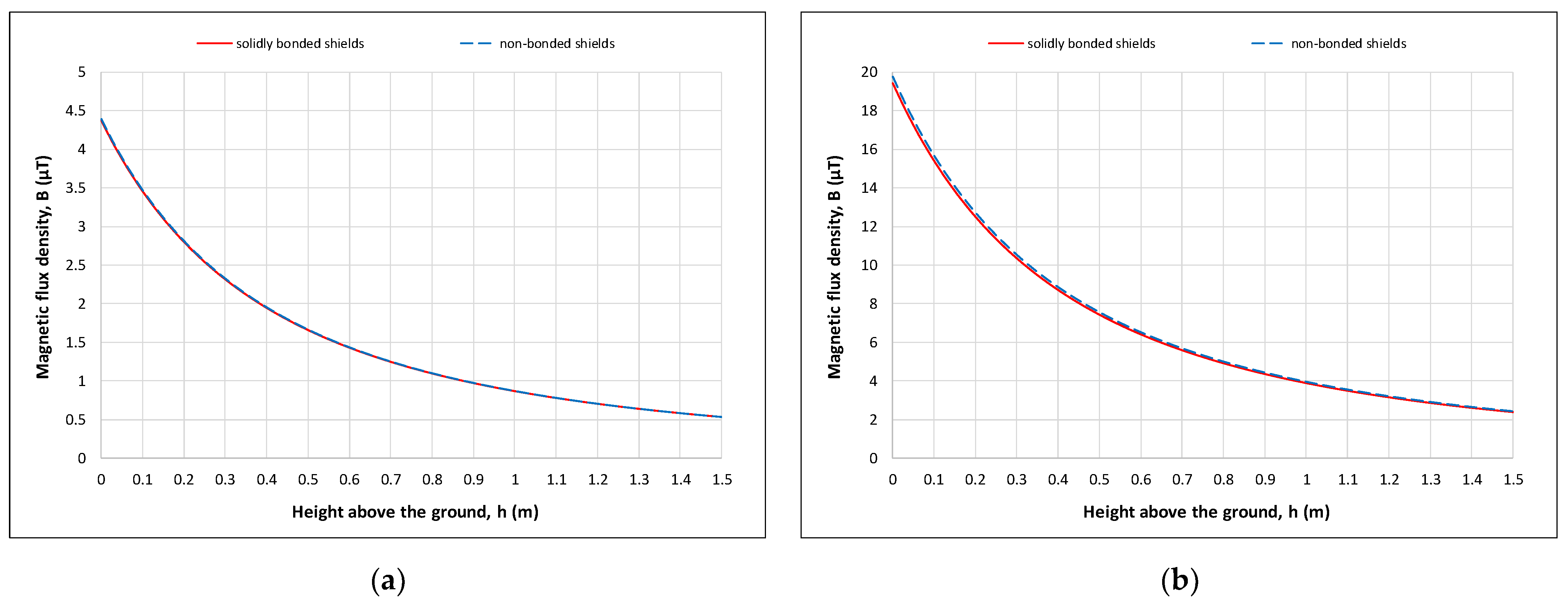
5.1. Magnetic Fields from the Considered Trefoil and Flat Formations
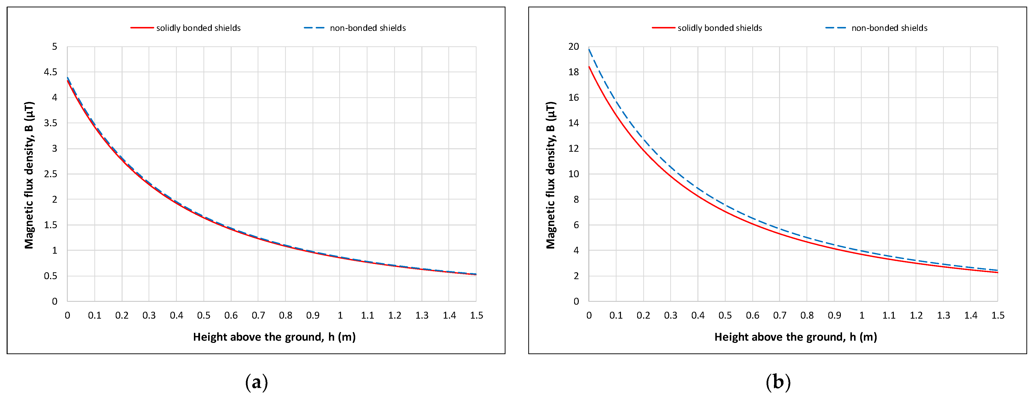
5.2. Magnetic Field from Two Adjacent Three-Phase Power Cables in Flat Formation
6. Conclusions
Author Contributions
Funding
Institutional Review Board Statement
Informed Consent Statement
Data Availability Statement
Conflicts of Interest
References
- Kljajic, D.; Djuric, N.; Bjelica, J.; Milutinov, M.; Kasas-Lazetic, K.; Antic, D. Utilization of the boundary exposure assessment for the broadband low-frequency EMF monitoring. Meas. J. 2017, 100, 110–114. [Google Scholar] [CrossRef]
- Underground Power Cables. Available online: https://www.emfs.info/sources/underground/ (accessed on 20 April 2023).
- Ippolito, M.G.; Puccio, A.; Ala, G.; Ganci, S. Attenuation of low frequency magnetic fields produced by HV underground power cables. In Proceedings of the 50th International Universities Power Engineering Conference (UPEC), Stoke on Trent, UK, 1–4 September 2015. [Google Scholar] [CrossRef]
- Djekidel, R.; Mahi, D.; Hadjaj, C. Assessment of magnetic induction emission generated by an underground HV cable. UPB Sci. Bull. C Electr. Eng. Comput. Sci. 2016, 78, 179–194. [Google Scholar]
- Kumru, C.F.; Arabul, A.Y. Numerical analysis and comparison of magnetic fields caused by constant and time varying currents in medium voltage underground cables. Eur. J. Sci. Technol. 2022, 35, 449–454. [Google Scholar] [CrossRef]
- Ates, K.; Carlak, H.F.; Ozen, S. Magnetic field exposures due to underground power cables: A simulation study. In Proceedings of the 2nd World Congress on Electrical Engineering and Computer Systems and Science (EECSS’16), Budapest, Hungary, 16–17 August 2016. [Google Scholar] [CrossRef]
- Abu Zarim, Z.A.; Anthony, T.M. Magnetic field simulation & measurement of underground cable system inside duct bank. In Proceedings of the 22nd International Conference on Electricity Distribution (CIRED 2013), Stockholm, Sweden, 10–13 June 2013. [Google Scholar]
- Mahariq, I.; Beryozkina, S.; Mohammed, H.; Kurt, H. On the eddy current losses in metallic towers. Int. J. Renew. Energy Dev. 2020, 9, 1–6. [Google Scholar] [CrossRef]
- Fernandez, E.; Patrick, J. Magnetic Fields from High Voltage Power Cables. Available online: http://elek.com.au/wp-content/uploads/2018/09/Magnetic-Fields-from-High-Voltage-Power-Cables.pdf (accessed on 20 April 2023).
- Hernández Jiménez, V.J.; Castronuovo, E.D.; Sánchez Rodríguez-Morcillo, I. Optimal statistical calculation of underground cable bundles positions for time-varying currents. Int. J. Electr. Power Energy Syst. 2018, 95, 26–35. [Google Scholar] [CrossRef]
- Djekidel, R.; Mahi, D.; Bessedik, S.A.; Hadjaj, C. Analysis of magnetic flux density generated by a three-phase underground power cable. In Proceedings of the 10th National Conference on High Voltage (CNHT), Algiers, Algeria, 24–26 May 2016. [Google Scholar] [CrossRef]
- Farag, A.S.; Hossam-Eldin, A.A.; Karawia, H.M. Magnetic fields management for underground cables structures. In Proceedings of the 21st International Conference on Electricity Distribution (CIRED 2011), Frankfurt, Germany, 6–9 June 2011. [Google Scholar]
- Rozov, V.; Grinchenko, V.; Tkachenko, O.; Yerisov, A. Analytical calculation of magnetic field shielding factor for cable line with two-point bonded shields. In Proceedings of the 2018 IEEE 17th International Conference on Mathematical Methods in Electromagnetic Theory (MMET), Kyiv, Ukraine, 2–5 July 2018. [Google Scholar] [CrossRef]
- Riba Ruiz, J.R.; Alabern Morera, X. Effects of the circulating sheath currents in the magnetic field generated by an underground power line. In Proceedings of the International Conference on Renewable Energy and Power Quality (ICREPQ’06), Palma de Mallorca, Spain, 5–7 April 2006. [Google Scholar] [CrossRef]
- Grinchenko, V.; Tkachenko, O.; Chunikhin, K. Magnetic field calculation of cable line with two-point bonded shields. In Proceedings of the 2017 IEEE International Young Scientists Forum on Applied Physics and Engineering (YSF), Lviv, Ukraine, 17–20 October 2017. [Google Scholar] [CrossRef]
- Dubitsky, S.; Greshnyakov, G.; Korovkin, N. Refinement of underground power cable ampacity by multiphysics FEA simulation. Int. J. Energy Res. 2015, 9, 12–19. [Google Scholar]
- Novák, B.; Koller, L.; Berta, I. Loss reduction in cable sheathing. In Proceedings of the International Conference on Renewable Energies and Power Quality (ICREPQ’10), Granada, Spain, 23–25 March 2010. [Google Scholar] [CrossRef]
- Lunca, E.; Vornicu, S.; Salceanu, A. Numerical modelling of the magnetic fields generated by underground power cables with two-point bonded shields. In Proceedings of the 25th IMEKO TC4 International Symposium (IMEKO TC-4 2022), Brescia, Italy, 12–14 September 2022. [Google Scholar]
- Vornicu, S.; Lunca, E.; Salceanu, A. Computation of the low frequency magnetic fields generated by a 12/20 kV underground power line. In Proceedings of the 2018 International Conference and Exposition on Electrical and Power Engineering (EPE), Iasi, Romania, 18–19 October 2018. [Google Scholar] [CrossRef]
- Mahariq, I.; Erciyas, A. A spectral element method for the solution of magnetostatic fields. Turk. J. Elec. Eng. Comp. Sci. 2017, 25, 2922–2932. [Google Scholar] [CrossRef]
- Gouda, O.E. Environmental Impacts on Underground Power Distribution, 1st ed.; IGI Global: Hershey, PA, USA, 2016. [Google Scholar]
- Ocłoń, P.; Cisek, P.; Pilarczyk, M.; Taler, D. Numerical simulation of heat dissipation processes in underground power cable system situated in thermal backfill and buried in a multilayered soil. Energy Conv. Manag. 2015, 95, 352–370. [Google Scholar] [CrossRef]
- NTE 007/08/00; Normative Document Regarding the Design and Execution of the Electrical Cable Networks. ANRE: Bucharest, Romania, 2008. Available online: https://anre.ro/wp-content/uploads/2023/04/ORDIN_38_NTE_007_Normativ.pdf (accessed on 20 April 2023). (In Romanian)
- Fericean, S. Inductive Sensors for Industrial Applications, 1st ed.; Artech House: Norwood, NJ, USA, 2019. [Google Scholar]
- Maxwell Help, Release 2021 R1; ANSYS, Inc.: Canonsburg, PA, USA, 2021.
- IEC 60287-1-1; Electric Cables—Calculation of the Current Rating—Part 1-1: Current Rating Equations (100% Load Factor) and Calculation of Losses—General, Edition 2.1. International Electrotechnical Commission: Geneva, Switzerland, 2014.
- Lunca, E.; Neagu, B.C.; Vornicu, S. Finite Element Analysis of Electromagnetic Fields Emitted by Overhead High-Voltage Power Lines. In Numerical Methods for Energy Applications, 1st ed.; Mahdavi Tabatabaei, N., Bizon, N., Eds.; Springer: Cham, Switzerland, 2021; Volume 1, pp. 795–821. [Google Scholar] [CrossRef]
- International Commission on Non-Ionizing Radiation Protection. ICNIRP Guidelines for Limiting Exposure to Time-Varying Electric, Magnetic, and Electromagnetic Fields (up to 300 GHz). Health Phys. 1998, 74, 494–522. [Google Scholar]

















| Cable Characteristic | Value |
|---|---|
| Core conductor diameter | 14.2 mm |
| Nominal cross-sectional area of core conductor | 150 mm2 |
| Thickness of XLPE insulation | 5.5 mm |
| Diameter over insulation | 26.4 mm |
| Diameter over copper shield | 30.5 mm |
| Nominal cross-sectional area of shield | 25 mm2 |
| Diameter over HDPE sheath (over complete cable) | 36 mm |
| Nominal phase-to-ground/phase-to-phase voltage | 12/20 kV |
| DC resistance of conductor at 20 °C | 0.206 Ω/km |
| Maximum operating conductor temperature | +90 °C |
| Current No. | Conductor Current | Shield Current (FEM) | Shield Current (Analytical) | |||
|---|---|---|---|---|---|---|
| RMS Value (A) | Phase (°) | RMS Value (A) | Phase (°) | RMS Value (A) | Phase (°) | |
| 1 | 319 | –120 | 20.816 | 145.371 | 20.872 | 146.248 |
| 2 | 319 | 0 | 20.814 | –94.625 | 20.872 | –93.752 |
| 3 | 319 | 120 | 20.814 | 25.368 | 20.872 | 26.248 |
| Current No. | Conductor Current | Shield Current (FEM) | Shield Current (Analytical) | |||
|---|---|---|---|---|---|---|
| RMS Value (A) | Phase (°) | RMS Value (A) | Phase (°) | RMS Value (A) | Phase (°) | |
| 1 | 352 | –120 | 64.129 | 148.533 | 64.229 | 148.547 |
| 2 | 352 | 0 | 44.704 | –97.308 | 44.757 | –97.305 |
| 3 | 352 | 120 | 61.347 | 10.178 | 61.454 | 10.196 |
| Sequence No. | Phase Sequence | Magnetic Field Reduction Rate at 1 m above the Ground | |
|---|---|---|---|
| Left Circuit | Right Circuit | ||
| 1 | ABC | A′B′C′ | 1.45% |
| 2 | ABC | A′C′B′ | 1.77% |
| 3 | ABC | B′A′C′ | 2.16% |
| 4 | ABC | B′C′A′ | 1.62% |
| 5 | ABC | C′A′B′ | 1.52% |
| 6 | ABC | C′B′A′ | 0.20% |
Disclaimer/Publisher’s Note: The statements, opinions and data contained in all publications are solely those of the individual author(s) and contributor(s) and not of MDPI and/or the editor(s). MDPI and/or the editor(s) disclaim responsibility for any injury to people or property resulting from any ideas, methods, instructions or products referred to in the content. |
© 2023 by the authors. Licensee MDPI, Basel, Switzerland. This article is an open access article distributed under the terms and conditions of the Creative Commons Attribution (CC BY) license (https://creativecommons.org/licenses/by/4.0/).
Share and Cite
Lunca, E.; Vornicu, S.; Sălceanu, A. Numerical and Analytical Analysis of the Low-Frequency Magnetic Fields Generated by Three-Phase Underground Power Cables with Solid Bonding. Appl. Sci. 2023, 13, 6328. https://doi.org/10.3390/app13106328
Lunca E, Vornicu S, Sălceanu A. Numerical and Analytical Analysis of the Low-Frequency Magnetic Fields Generated by Three-Phase Underground Power Cables with Solid Bonding. Applied Sciences. 2023; 13(10):6328. https://doi.org/10.3390/app13106328
Chicago/Turabian StyleLunca, Eduard, Silviu Vornicu, and Alexandru Sălceanu. 2023. "Numerical and Analytical Analysis of the Low-Frequency Magnetic Fields Generated by Three-Phase Underground Power Cables with Solid Bonding" Applied Sciences 13, no. 10: 6328. https://doi.org/10.3390/app13106328
APA StyleLunca, E., Vornicu, S., & Sălceanu, A. (2023). Numerical and Analytical Analysis of the Low-Frequency Magnetic Fields Generated by Three-Phase Underground Power Cables with Solid Bonding. Applied Sciences, 13(10), 6328. https://doi.org/10.3390/app13106328

