Abstract
Vehicle stability control strategies can improve driving safety effectively; however, there is still a lack of unified evaluation criteria for different control strategies. This paper proposes a vehicle control strategy evaluation method based on the driving stability region and is analyzed by using direct yaw moment control (DYC) and four-wheel steering (4WS) as examples. Firstly, the five-degree-of-freedom (5DOF) vehicle system models including DYC and 4WS are established, and the effectiveness of the control strategies is verified by nonlinear analysis methods; the dynamic characteristics of the system are also analyzed. Following this, a hybrid algorithm combining the Genetic Algorithm (GA) and Sequential Quadratic Programming (SQP) methods is used to solve the system equilibrium points, and the driving stability regions under different control strategies are obtained. Finally, the driving stability regions are tested based on the CarSim and Simulink simulations, and the control performance is evaluated. The results indicate that DYC and 4WS can improve vehicle stability and expand the range of driving stability regions. When the initial longitudinal velocity is below 30 m/s, the driving stability regions under DYC and 4WS expand to different extents compared to the original driving stability region. The expanded driving stability regions show that the stability region of the vehicle with DYC is larger than that of 4WS; thus, the control effect of DYC is better than that of 4WS. The proposed method can be used to evaluate the effective range of different control strategies.
1. Introduction
When driving at high speeds or on low-adhesion road surfaces, due to the influences of steering or external interference, the lateral adhesion of the vehicle is prone to reaching its adhesion limit. The lateral velocity, yaw rate, and other state variables will increase sharply, causing the vehicle to lose dynamic stability and leading to traffic accidents. With the development of the vehicle industry [1] and increasing numbers of driver assistance systems, the complexity of the vehicle system increases, and the changeable weather, complex road conditions [2], diverse driving tasks, and dynamic driving conditions also present higher requirements for vehicle handling stability [3]. The vehicle dynamics control can control each state variable within the stable range and can further improve the safety of vehicles. Vehicle dynamics control plays an important role in the vehicle handling stability. Many scholars have carried out extensive research on the control strategies and methods to improve the handling stability of vehicles [4,5] and confirmed the effectiveness of the control methods. However, due to the different control mechanisms and vehicle dynamics’ models, there is no unified standard method for the evaluation and analysis of different control strategies.
At present, in the research on stability regions of vehicles, different vehicle stability regions are defined according to the different research needs [6]. One typical vehicle stability region is based on state parameters, which are mainly obtained through two-dimensional phase plane analysis methods. Inagaki et al. [7] and Koibuchi [8] proposed a method to evaluate the vehicle stability under steering motion and extreme steering conditions using the phase plane of the sideslip angle of the center of mass-sideslip angle derivative of the center of mass (), and suggested the “double-line method” stability criterion. However, this stability region is an open style. There are many unstable trajectories far from the focus point, and the boundary of the phase plane stability region is determined by many factors (for example, differences of models, vehicle parameters, and the uncertainty of the road friction coefficient). Lu Xiong et al. [9] introduced the yaw rate threshold into the double-line method, coordinated the control of the sideslip angle of the center of mass and yaw rate, and designed the vehicle stability region combined with the double-line method and yaw rate method. Fei Liu et al. [10] proposed an improved five-eigenvalue diamond-shaped stability region division method based on the deficiency of the existing method for dividing the stable region of the phase diagram. According to the changing law of the phase diagram, the diamond-shaped stability region moving with the equilibrium point was selected as the stable region. This method mainly provided an accurate fundamental for the stability control strategy to intervene in the control. Shinichiro Horiuchi et al. [11] proposed a method to calculate the control domain based on the three-degree-of-freedom model, that is, in the state space of the control domain, the vehicle can finally transition to the initial state set of the system’s stable equilibrium point through effective control strategies. The method verified the effectiveness of different vehicle safety-assisted driving systems, but it did not consider the influence of driving on handling stability. On the other hand, the stability region of the vehicle is usually analyzed from the perspective of control parameters. Yu-guang Yan et al. [12] established a three-degree-of-freedom vehicle dynamics model with a nonlinear tire model, and estimated the stability region of the vehicle based on an energy method. This calculation method only provided a reference for determining the boundary of the stability region, but the specific stability region of the vehicle was not calculated in this paper. Fanyu Meng et al. [13] proposed a method to solve the vehicle stability region based on the dynamic bifurcation characteristics of dissipative energy, which provided a dynamic fundamental for the global dynamic analysis of the vehicle plane motion system. However, the influence of control strategy on the vehicle system dynamics was not studied. Aiming at the shortage of the plane stability domain in evaluating vehicle stability, an estimation method of the bus spatial stability domain was proposed by Hong-guo Xu et al. [14]. Based on the quadratic energy function of the vehicle system, the bus spatial stability domain was determined by the Lyapunov method and the vehicle system stability characteristics. The research results show that the vehicle stability region determined by the above methods can effectively characterize the stability of the vehicle system.
The above research has played a positive role in the control strategy evaluation of vehicle handling stability. However, research on the driving stability region of a vehicle is mostly focused on the stability region composed of vehicle state variables and steering control parameters. Research on the driving stability region is still in its early stages. Moreover, unified evaluation indexes are not incorporated when the aforementioned research evaluates the control effect of the vehicle handling stability. Different researchers choose different evaluation indexes according to their own research needs. There is a significant limitation to evaluating the effectiveness of vehicle stability control strategies by a single evaluation index. It is also difficult to determine the specific impact of control strategies on the overall stability of vehicle systems using different evaluation indexes together. Although the boundary of the stability region is clearly deduced by some research [15], intuitive and simple descriptions are still lacking in the practical engineering application process, for example, the combination of the physical meaning of the dynamic equilibrium point of the vehicle system, the driving stability region of pure control parameters composed of driving torque, and the front wheel steering angle is proposed in this paper. This is different from the bifurcation characteristics composed of state variables and control parameters. The accurate solution of the equilibrium points of high-dimensional nonlinear vehicle systems is achieved through a hybrid algorithm of GA + SQP, ensuring the accuracy of the equilibrium point solution. The neighborhood optimization in the algorithm ensures wider applicability for solving the equilibrium points of different high-dimensional systems, resulting in a more accurate driving stability region. The typical control strategies (the four-wheel steering system (4WS) and direct yaw moment control (DYC)) were evaluated using the driving stability regions obtained under different control strategies. The results show that the control effect of DYC is better than that of 4WS. The driving stability region has more intuitive engineering significance, providing a unified standard for accurately evaluating the control effect of vehicle handling stability under different control strategies. This provides the dynamic fundamental for integrated control and a safe driving assistance system design.
2. The Vehicle Dynamics Model with the Control Strategy
In order to analyze the influence of typical control strategies on the driving stability region, a five-degree-of-freedom (5DOF) vehicle system model including typical control strategies (the direct yaw moment control [16] and four-wheel steering system [17]) is established.
2.1. The Vehicle Model with DYC
In this section, a mature linear feedback control method [18] is selected, and the direct yaw moment calculation expression is:
where is the actual body yaw rate, is the expected body yaw rate, is a negative real constant, and is taken for better control effect.
The expected yaw rate [19] model selected in the model is:
where is the sum of the front and rear wheelbases and is the vehicle stability factor [20]:
where and [21] are the cornering stiffness of the front and rear wheels, respectively, so that . are the stiffness factors of the front and rear wheels, are the shape factors of the front and rear wheels, are the peak factors of front and rear wheels.
The 5DOF vehicle system model with an all-wheel drive mode is selected as the analysis object [22], and the direct yaw moment control is introduced into the wheel rotation equation, including driving torque. The 5DOF vehicle system model with DYC is obtained and is shown as follows:
where is lateral velocity, is yaw rate, is longitudinal velocity, is the angular velocity of front wheels, is the angular velocity of rear wheels, is the braking torque of front wheels, is the braking torque of rear wheels, is the longitudinal tire force of front wheels, is the longitudinal tire force of rear wheels, is the lateral tire force of front wheels, is the lateral tire force of rear wheels, is the distance from the front wheels to the center of mass, is the distance from the rear wheels to the center of mass, is the wheel rolling radius, is the moment of inertia of the wheel, is the moment of inertia of the vehicle around the Z axis, m is the vehicle mass, is the rear wheel steering angle, is the front wheel steering angle, is the longitudinal air drag coefficient, is the lateral windward area of the vehicle, is the lateral air resistance coefficient, is the longitudinal windward area of the vehicle, is air density, is the driving torque of the front wheels, is the driving torque of the rear wheels.
The calculation method of tire force adopts Pacejka’s classic Magic Formula [23]:
where are tire parameters ( is the stiffness factor, is the shape factor, is thepeak factor, and is the curvature factor), is the steady longitudinal force or lateral force of the tire, and is the longitudinal slip rate or sideslip angle.
In Equation (5), when the independent variable is the slip ratio or sideslip angle, the Magic Formula can only solve the longitudinal force or lateral force with pure slip characteristics, but in the actual driving process of the vehicle, there is an interactive transverse and longitudinal coupling relationship between the longitudinal force and lateral force characteristics of the tire, that is, the combined slip characteristics of the tire, and its calculation relationship is [24]:
where is the tire sideslip angle, is the longitudinal slip, and are tire force combined slip correction parameters, and , , are the longitudinal force and lateral force of front and rear tires in steady state, which can be calculated by Equation (5). , , are tire combined slip correction coefficients, and the values are shown in Table 1 [22].
Table 1.
The tire combined slip correction coefficient.
Without loss of generality, the condition of low adhesion is applied as a simulation condition. The calculation parameters of tire force for the Magic Formula are shown in Table 2 [25].
Table 2.
Tire force parameters under the condition of low adhesion.
The longitudinal tire slip adopts the unified formula of tire slip under all working conditions [22]:
where k is the longitudinal tire slip rate, is the wheel rotation angular velocity, and is the longitudinal velocity at the wheel center in the tire coordinate system.
The unified formula for calculating the tire sideslip angle by introducing a symbolic function is adopted [26]:
where is the front wheel sideslip angle, is the rear wheel sideslip angle, is the longitudinal velocity of the front wheel in the tire coordinate system, is the longitudinal velocity of the rear wheel in the tire coordinate system, is the lateral velocity of the front wheel in the tire coordinate system, and is the lateral velocity of the rear wheel in the tire coordinate system.
2.2. The Vehicle Model with 4WS
In this section, the classical feedback control four-wheel steering system control method [27] is selected. The model expression of the rear wheel angle of the vehicle system is:
where is a system parameter, which is determined by the vehicle mass, wheelbase, and cornering stiffness of the rear wheel:
Similarly, for the single-track vehicle model, under the control of 4WS, the rear wheel steering angle is applied to the 5DOF vehicle system model. The new 5DOF vehicle system model, after introducing 4WS, is as follows:
The tire model still uses the Magic Formula tire model with the same parameters as described in Section 2.1.
2.3. Verification of the Model
2.3.1. The Dynamic Characteristics Analysis of the Vehicle Model with DYC
In order to analyze the dynamic characteristics of the 5DOF vehicle system model with DYC, specific driving conditions are selected for the simulation. The initial conditions of the simulation are longitudinal velocity = 25 m/s, lateral velocity = 10 m/s, and yaw rate = 1 rad/s. The simulations with and without DYC control are carried out, respectively.
Figure 1 shows the comparison diagrams of the phase space trajectory, state variable time series, and body attitude of the vehicle system with or without DYC control under the above simulation conditions, respectively. It can be seen that without DYC control, the longitudinal velocity, lateral velocity, and yaw rate of the vehicle have larger fluctuations, and the vehicle body rotates, resulting in vehicle instability. On the contrary, in a vehicle with DYC control, the range of phase trajectory changes is small, and the lateral velocity and yaw rate are infinitely close to a non-zero constant, allowing the vehicle to drive stably. Figure 1d shows the driving status of the vehicle. It should be noted that due to the control effect of DYC, the longitudinal velocity is reduced by braking. However, there is no significant decrease in the longitudinal velocity. This is because a large portion of lateral kinetic energy and yaw kinetic energy converted into longitudinal kinetic energy in a short period of time. Therefore, even with braking interference, changes in the longitudinal velocity are insiginficant.

Figure 1.
The dynamic characteristics diagrams with and without DYC (direct yaw moment control) control: (a) Phase space trajectory comparison; (b) comparison of projection of phase space trajectory on the plane; (c) comparison of system state variables; and (d) comparison of vehicle attitude.
2.3.2. The Dynamic Characteristics Analysis of the Vehicle Model with 4WS
In order to analyze the changes in the dynamic characteristics of the nonlinear vehicle system model under 4WS control, the specific simulation conditions are selected. The initial conditions are the longitudinal velocity = 25 m/s, lateral velocity = 10 m/s, and yaw rate = 1 rad/s. The simulations with and without 4WS control are carried out, respectively.
Figure 2 shows the phase space trajectory, system state variable time series, and body attitude of the vehicle system with and without 4WS control. It can be seen that without 4WS control, the phase trajectory changes greatly in the phase space. The longitudinal velocity, lateral velocity, and yaw rate of the vehicle have larger fluctuations, and the vehicle presents a rotating instability state. On the contrary, when 4WS intervenes, the phase trajectory changes relatively smoothly in the phase space, and the vehicle body attitude diagram indicates that the vehicle is able to drive stably. The system state variables (longitudinal velocity, lateral velocity, and yaw rate) ultimately converge to a constant value with the control of 4WS. The results indicate that in-time intervention by 4WS can make the vehicle return to a stable driving state when the vehicle becomes unstable.
Figure 2.
The dynamic characteristic diagrams with or without 4WS (four−wheel steering) control: (a) Phase space trajectory; (b) projection of phase space trajectory on plane; (c) system state variables; and (d) vehicle operation attitudes.
3. The Driving Stability Region for Control Strategy Evaluation
DYC provides additional yaw moments to the vehicle body through the differential distribution of braking and driving forces on the left and right sides of the vehicle, ensuring stable driving under complex working conditions. DYC is applied to the 5DOF vehicle system model [22] to solve the driving stability region, and the control strategy evaluation will provide an evaluation method for control strategy.
Unlike DYC, the control objective of the 4WS is to ensure that the body sideslip angle is close to zero during the vehicle steering process. The 4WS can improve the vehicle driving stability under steering conditions. Similarly, by solving the driving stability region of vehicle with 4WS, an evaluation method for the effectiveness of control strategies is proposed.
3.1. The Solution of the Driving Stability Region
For any nonlinear system:
Let the initial condition of its state variable be:
In the phase plane (or phase space):
when the numerator and denominator on the right in Equation (14) are both zero; such a point is called the singular point. The physical meaning of a singular point represents a state of equilibrium in a system; therefore, it is also known as an equilibrium point.
The stability of nonlinear system can be judged according to the dynamic characteristics of the system equilibrium points, especially the bifurcation law of the system equilibrium points with the variation of parameters.
For a vehicle dynamics system, the equilibrium point is the point where the rate of change of the state variable is simultaneously zero. If a vehicle is regarded as a nonlinear system composed of a body and tires, the driving torque and front wheel steering angle are regarded as the control parameters of the nonlinear system. The dynamic process of losing the stability of the vehicle is a dynamic bifurcation phenomenon of the nonlinear system that changes with the control parameters. The dynamic process of vehicle handling stability meets the definition of nonlinear dynamics as follows.
Generally, the nonlinear dynamic control system composed of vehicle body and tires can be expressed in the form of the following differential algebraic equation [28]:
In the equation, is the state variable of the system, such as the longitudinal velocity of the vehicle body, lateral velocity , and yaw rate etc. is the control variable of the system, such as the driving torque and front wheel angle , etc. is the observed variable of the system, such as the acceleration of each state variable and corresponding changing rate. is the output variable of the system after control, such as various state variables. We assume that f, g, and h are smoothly differentiable within the defined domain and that n, m, q, and p are positive integers.
When point satisfies:
then this point is the equilibrium point of the vehicle dynamics system.
In the vehicle nonlinear dynamic system, driving and steering are considered as bifurcation parameters.
The set of bifurcation parameters is defined as the set of two-dimensional bifurcation vectors corresponding to the sudden change of phase trajectory, change in the number of equilibrium points, or change in the properties of equilibrium points in the dynamic characteristics of the vehicle system under the coupled effect of driving and steering.
The region enclosed by the bifurcation boundary and coordinate axis is called the driving stability region of the vehicle [29]. The bifurcation boundary is determined by the set of bifurcation parameters in the driving torque and steering angle amplitude space.
Based on the above definition, the solution method for the driving stability region proposed in this paper is shown in Figure 3 [29].
Figure 3.
A flow chart for solving the driving stability region of the vehicle.
First, the initial longitudinal velocity and front wheel steering angle are selected and input into the 5DOF vehicle system dynamics model, and the system equilibrium point is solved by using the hybrid algorithm based on the Genetic Algorithm (GA) and Sequential Quadratic Programming (SQP) methods.
Second, after obtaining the equilibrium point, it is determined whether it is a bifurcation. If it is a bifurcation, the initial longitudinal velocity is changed and the system equilibrium point is re-solved. If it is not bifurcation, the front wheel steering angle is changed and input it into the 5DOF vehicle system model to resolve the equilibrium point.
Third, the bifurcation boundary is determined from the two-dimensional parameter bifurcation set, and a driving stability region surrounded by the bifurcation boundary and coordinate axis is obtained.
The aforementioned process is compared with the method of Shinichiro Horiuchi et al. for calculating the optimized controllable region based on the three-degree-of-freedom dynamics mode [11]. In this paper, the GA + SQP hybrid algorithm is used to achieve the accurate solution of the balance point of the high-dimensional nonlinear vehicle system. The solution accuracy of the objective function (the fitness value of the equilibrium point) of the hybrid algorithm is improved to 10−5, which ensures the accuracy of the equilibrium point solution. The neighborhood optimization in the algorithm ensures a wider applicability for solving the equilibrium points of different high-dimensional systems, resulting in a more accurate driving stability region. The 5DOF vehicle system model has a higher degree of freedom than the 3DOF dynamic model, and the simulation results are closer to the actual operation. Compared with the two−dimensional closed stable region composed of lateral velocity and yaw rate proposed in [11], the driving stability region proposed in this paper can more intuitively observe the changes of the driving stability region with state parameters.
3.2. Solving the Driving Stability Region of the Vehicle with DYC
Using the solution process shown in Section 3.1, the driving stability region of the 5DOF vehicle system was solved with DYC. The vehicle system model (Formula (11)) with an all-wheel drive mode was used for the simulation. The initial simulation conditions were as follows. The value range of the longitudinal velocity was from 10 m/s to 60 m/s and the value interval was 5 m/s; the value range of the front wheel angle, , was from −0.08 rad/s to 0.08 rad/s and the value interval was 0.01 rad/s. To ensure that the system maintains the dynamic equilibrium state, the magnitude of the driving torque was calculated according to the Formula (17), with a value range of driving torque, , from 7.0018 N·m to 252.0637 N·m:
where is the initial longitudinal velocity of the vehicle, is the initial lateral velocity of the vehicle, is the longitudinal air resistance coefficient, is the lateral air resistance coefficient, is the longitudinal windward area of the vehicle, and is the lateral windward area of the vehicle.
The bifurcation points of the 5DOF vehicle system model (an all-wheel drive mode system) with DYC are shown in Table 3.
Table 3.
The bifurcation points of the 5DOF (five-degree-of-freedom) vehicle system model (an all-wheel drive mode) with DYC.
Figure 4 shows the driving stability region of the 5DOF vehicle system model (an all-wheel drive mode) after the introduction of DYC. The region surrounded by the two-dimensional parameter bifurcation set composed of the initial longitudinal velocity and the driving torque, and the coordinate axis, is the driving stability region (the equilibrium points are drawn in Table 3).
Figure 4.
The two−dimensional projection of the driving stability region of the five−degree−of−freedom (5DOF) vehicle system model (an all−wheel drive mode) with DYC: (a) Driving stability region (); (b) driving stability region ().
Figure 5 compares the differences between the driving stability regions with and without DYC. When the initial longitudinal velocity is the same, and the longitudinal velocity is 10 m/s, the range of the front wheel steering angle with DYC control is from −0.0737 rad to 0.0737 rad, which is larger than the range without DYC control (from −0.0603 rad to 0.0603 rad). When the initial longitudinal speed is 15 m/s, the difference between the extreme values of the front wheel steering angle is the largest, and the DYC control effect is the best. When the initial longitudinal velocity is between 10 m/s and 30 m/s, the expansion of the driving stability region is particularly significant. At this time, the vehicle has a larger steering range, which means it is more stable. When the initial longitudinal velocity is larger than 30 m/s, the driving stability region of the vehicle with DYC still shows an expanding trend, which also means that DYC control still has an effect on improving vehicle stability when driving at high speeds.
Figure 5.
Driving stability regions with and without DYC.
3.3. Solving the Driving Stability Region of the Vehicle with 4WS
Using the same simulation conditions and solution process, the driving stability region of the 5DOF vehicle system model (an all-wheel drive mode) with 4WS was solved. The initial simulation conditions were as follows. The value range of the longitudinal velocity, , was from 10 m/s to 60 m/s and the value interval was 5 m/s; the value range of the front wheel angle, , was from −0.08 rad/s to 0.08 rad/s and the value interval was 0.01 rad/s. The bifurcation points in the driving stability region obtained are shown in Table 4.
Table 4.
The bifurcation points of the 5DOF vehicle system after introducing 4WS.
The region surrounded by the two-dimensional parameter bifurcation set, composed of the initial longitudinal velocity and driving torque, and the coordinate axis, is the driving stability region.
Figure 6 shows the two-dimensional projection of the driving stability region of the 5DOF vehicle system model in an all-wheel drive mode after the introduction of 4WS (the equilibrium points are drawn in Table 4).
Figure 6.
The two−dimensional projection of the driving stability region of the 5DOF vehicle system model (an all−wheel drive mode) with 4WS: (a) Driving stability region (); (b) driving stability region ().
Figure 7 shows the differences between the driving stability region of the vehicle system with and without 4WS. Figure 7b is a partially enlarged view. From the results of the driving stability region with or without 4WS, it can be seen that although the driving stability region with 4WS is not as effective as DYC, the driving stability region is still larger than before. It is evident that by comparing the bifurcation point data in Table 4, when the initial longitudinal velocity is between 10 m/s and 30 m/s, the expansion of the driving stability region is the greatest. When the initial longitudinal velocity is greater than 30 m/s, the expansion of the driving stability velocity slows down. The simulation results show that the effect of 4WS is still effective.
Figure 7.
The driving stability region of the 5DOF vehicle system model (an all−wheel drive mode) with 4WS: (a) Global view; (b) partial enlarged view.
The above analysis results indicate that the DYC and 4WS control strategies can expand the range of driving stability regions of vehicle systems, and the control effects of different control strategies can be evaluated through the analysis of driving stability regions.
4. The Evaluation Based on the Driving Stability Region
The DYC and 4WS are able to expand the range of the driving stability region of vehicle model without a control strategy. The effectiveness of the extended driving stability regions will be verified in this section. A vehicle model is established in the CarSim, and the controller is built in the MATLAB/Simulink. The dynamic stability of vehicles under different driving control inputs is analyzed using the co-simulation method. The control effect is analyzed using the driving stability range.
4.1. The Evaluation of the Driving Stability Region of the Vehicle with 4WS
A simulation model including a 4WS controller is established in the MATLAB/Simulink (R2022b) simulation platform. The model includes an input module, a CarSim vehicle module, a 4WS controller module, and a unit conversion module. The classic Runge–Kutta fourth-order single-step algorithm solver is used in the model. The input variables of the input module include the initial values of the front wheel steering angle and longitudinal velocity (driving torque). The fixed step size in the simulation is 0.005 s.
Figure 8 shows the simulation results of the driving stability region of the vehicle with 4WS. The input module transmits the initial values of the front wheel steering angle and longitudinal velocity to the CarSim vehicle model, and the vehicle model transmits the state variables (longitudinal velocity and yaw rate) to the 4WS controller. The controller outputs the rear wheel angle to the vehicle model, achieving the goals of coordination and stability. This process forms a closed-loop feedback structure. Based on the time series changes of the longitudinal velocity, lateral velocity, and yaw rate, the stability of the vehicle with 4WS is analyzed.
Figure 8.
The co-simulation structure scheme of the driving stability region of the vehicle with 4WS.
To verify the correctness of the driving stability region with the 4WS control strategy, driving input combinations with different front wheel steering angles and initial longitudinal velocity values (corresponding to different driving torques) are selected from the obtained driving stability region (as shown in Figure 9). The correctness of the obtained driving stability region is verified through single-point simulations.
Figure 9.
The simulation test points of the 4WS: (a) Global view; and (b) enlarged view of test point 3.
Based on the physical significance and location of the selected test point, the specific values of the test points and the expected system stability properties at that point are shown in Table 5.
Table 5.
Test point values and system stability properties.
Figure 10 shows the simulation results within 15 s under the conditions of test point 1. During the moving process of the vehicle, the lateral velocity and yaw rate with 4WS control are smaller than those without 4WS control; the longitudinal velocity does not change significantly. The vehicle is in a stable state; this is consistent with the results discussed earlier. The 4WS controller has a certain effect, which is in line with expectations. Test point 1 shows no significant fluctuations in lateral velocity or yaw rate of the model with or without 4WS control, indicating a relatively stable state of the vehicle system.

Figure 10.
The simulation results under the conditions of test point 1: (a) Lateral velocity; (b) yaw rate; (c) longitudinal velocity; (d) partial enlargement of the longitudinal velocity; and (e) rear wheel steering angle.
Figure 11 shows the simulation results within 15 s under the conditions of test point 2. At this time, the vehicle is both in an unstable state with and without 4WS control. However, with 4WS control, the fluctuation amplitude of the vehicle’s yaw rate is smaller than that without 4WS control, and the values of lateral velocity and yaw rate are much lower. The yaw rate of the system can be controlled within a small range, resulting in a lower degree of vehicle instability. Although the 4WS controlled vehicle system is judged to be in an unstable state at this time, it cannot be denied that the 4WS controller has a certain effect.

Figure 11.
The simulation results under the conditions of test point 2: (a) Lateral velocity; (b) yaw rate; (c) longitudinal velocity; and (d) rear wheel steering angle.
Figure 12 shows the simulation results within 15 s under the conditions of test point 3. It is evident that the variation trends of lateral velocity, yaw rate, and longitudinal velocity are virtually the same for the vehicle system, with or without 4WS control. This is due to the similarity of the two driving stability regions. However, the state variables of the vehicle model under 4WS control are slightly smaller than those of the vehicle system without 4WS control. The results also demonstrate the effectiveness of the control effect of 4WS and the correctness of the driving stability region.

Figure 12.
The simulation results under the conditions of test point 3: (a) Lateral velocity; (b) yaw rate; (c) longitudinal velocity; (d) partial enlargement of the longitudinal velocity; and (e) rear wheel steering angle.
The simulation shows that under different test conditions, the control effect of 4WS was different compared to that without a controller. Under certain conditions, the control effect of 4WS is not significant. This may be due to the limitations of the controller itself and the control parameters.
4.2. The Evaluation of the Driving Stability Region of the Vehicle with DYC
Similarly, a simulation model containing a DYC controller was established using the MATLAB/Simulink (R2022b). The model included an input module, a CarSim vehicle module, a DYC controller module, and a unit conversion module. The model adopted the classic Runge–Kutta fourth-order single-step algorithm solver. The simulation solution step was 0.005 s. Figure 13 shows the simulation program diagram of the driving stability region of the vehicle with DYC.
Figure 13.
The co-simulation structure scheme of the driving stability region of the vehicle with DYC.
The simulation test points composed of different front wheel steering angles and initial longitudinal velocities are shown in Figure 14. The test points include steering angles in different directions (left and right turns) and different vehicle velocities.
Figure 14.
The simulation test points of DYC.
The specific values of the test points and the expected system stability properties of the points are shown in Table 6.
Table 6.
The test point values and system stability properties.
Figure 15 shows the simulation results of test point 1 within 15 s. Although each state variable fluctuates more within 0–10 s, at 10–15 s they gradually converge to a constant. The state variables of lateral velocity and yaw rate under DYC control are smaller than those without DYC control, and the longitudinal velocity decreases more significantly. The DYC controller has a certain effect, which is in line with expectations. Although the lateral velocity of test point 1 fluctuated significantly in the early stage of simulation, the vehicle’s dynamic states were ultimately stable.
Figure 15.
The dynamic characteristics of the vehicle with and without DYC control under test point 1 conditions: (a) Lateral velocity; (b) yaw rate; (c) longitudinal velocity; and (d) system additional yawing moment.
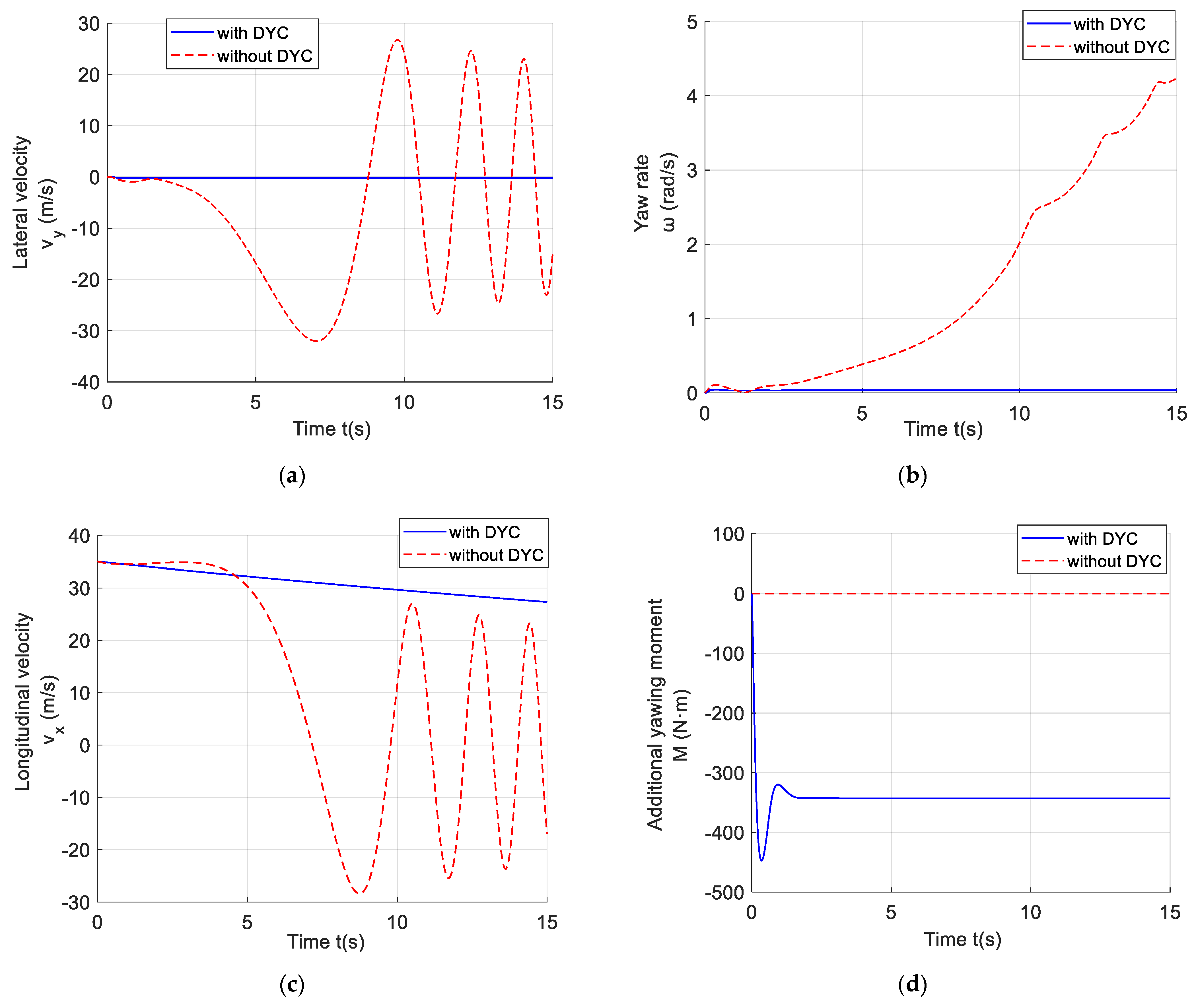
Using the same control condition parameters, Figure 16 shows the simulation results of test point 2. In the vehicle system without DYC control, the longitudinal velocity and lateral velocity oscillate between positive and negative ranges, and the yaw rate increases sharply. The vehicle experiences a series of unstable behaviors, such as rapid acceleration, deceleration, jerking, and even reverse. When the DYC control works, the lateral velocity and yaw rate can be approximately maintained at a stable value in a short period of time. The results also demonstrate the effectiveness of DYC’s controller and the correctness of the driving stability region.
Figure 16.
The dynamic characteristics of the vehicle with and without DYC control under test point 2 conditions: (a) Lateral velocity; (b) yaw rate; (c) longitudinal velocity; and (d) system additional yawing moment.
Figure 17 shows the simulation results of the conditions of test point 3. The severe fluctuations in lateral velocity, longitudinal velocity, and yaw rate indicate that the vehicle system without DYC control is in an unstable state. When DYC control works, the yaw rate varies within a small range. However, it makes the driver or passenger uncomfortable during driving, and the lateral velocity also gradually increases. Therefore, the vehicle system with DYC control can still be judged as unstable. The DYC controller cannot completely correct the unstable state of the vehicle under all operating conditions.
Figure 17.
The dynamic characteristics of the vehicle with and without DYC control under test point 3 conditions: (a) Lateral velocity; (b) yaw rate; (c) longitudinal velocity; and (d) system additional yawing moment.
Under different simulation conditions, the control effect of DYC is better. Compared with the simulation results without controllers, DYC greatly improves the stability of the system, and it is more effective in expanding the stable driving area.
4.3. The Analysis of the Control Effect Based on the Driving Stability Region
Figure 18a shows the driving stability regions with different control strategies and the regions without control strategies. Figure 18b shows driving stability regions under two different control strategies. Both control strategies have an effect on expanding the driving stability regions. When the initial longitudinal velocity is below 30 m/s, the driving stability regions under DYC expands significantly compared to the original driving stability region. Compared with 4WS, the effect of DYC is obvious. Moreover, when the initial longitudinal velocity is above 40 m/s, the expansion of the driving stability region is clearly smaller than that of 30 m/s. This indicates that the control effect of DYC and 4WS on vehicle instability is far less significant in high-speed conditions than in low-speed conditions.
Figure 18.
The driving stability region of the 5DOF vehicle system model with different control strategies: (a) Driving stability region with and without controller; and (b) driving stability region with DYC and 4WS.
5. Conclusions
A hybrid algorithm based on GA + SQP was used to solve the driving stability region of a 5DOF vehicle dynamics model with DYC and 4WS control strategies. The control effectiveness of DYC and 4WS is evaluated by driving stability regions. The main procedures and conclusions are as follows:
- (1)
- Taking DYC and 4WS as examples, the 5DOF vehicle system models with different control strategies were established. The influence of different control strategies on the system dynamics’ characteristics was analyzed by simulation. The correctness of the dynamic model and the effectiveness of the control strategies were verified.
- (2)
- The hybrid algorithm of the Genetic Algorithm and Sequential Quadratic Programming methods was applied to solve the system equilibrium points under different control strategies. Subsequently, the bifurcation characteristics of the equilibrium points are used to determine the driving stability region of the vehicle. The simulation results indicate that both control strategies can expand the original driving stability region of the vehicle system. The expansion of stable driving areas under low-speed conditions is larger than that under high-speed conditions. The driving stability region with the introduction of DYC is bigger than the driving stability region with 4WS, indirectly indicating that the control effect of DYC is better than that of 4WS.
- (3)
- A simulation model was established using Simulink (R2022b)and CarSim (2019.1). The driving stability regions of the vehicle with DYC and 4WS control strategies were analyzed by simulation. The test point was selected for verification. The simulation results showed that the driving stability region under different control strategies was correct. The boundary of stable driving under different control strategies can be described by the solved driving stability region; therefore, the driving stability regions are able to be used for evaluating vehicle handling and stability control strategies.
The number of simulated control strategies was limited in this study. In the process of solving the equilibrium point, there was a strong dependence on the model and a large amount of computation. The dynamic models used in this paper ignored the influence of pitch and roll, which deviates to a certain extent from the actual driving situation. Considering the danger of vehicle instability and the inadequacy of current experimental conditions, the actual vehicle verification was not carried out. In future research, we will improve the accuracy of the model to make it more consistent with the actual vehicle. The plan is to first use model vehicles to validate the research results, then conduct actual vehicle experiments based on the model experiments, and finally, analyze the control effects of more control strategies.
Author Contributions
Conceptualization, X.W. and Z.L.; methodology, X.W.; software and data analysis, Z.L. and F.Z.; validation, F.Z., W.L. and W.B.; writing—original draft preparation, Z.L.; writing—review and editing, X.W., Z.L., W.L., F.Z. and W.B. All authors have read and agreed to the published version of the manuscript.
Funding
This research was funded by the Key R&D Plan of Heilongjiang Province, grant number JD22A014, National Natural Science Foundation of China, grant number 52175497.
Institutional Review Board Statement
Not applicable.
Informed Consent Statement
Not applicable.
Data Availability Statement
Not applicable.
Conflicts of Interest
The authors declare no conflict of interest.
Nomenclature
| DYC | Direct yaw moment control |
| 4WS | Four-wheel steering |
| 5DOF | Five-degree-of-freedom |
| GA | Genetic algorithm |
| SQP | Sequential quadratic programming |
| direct yaw moment | |
| actual body yaw rate | |
| expected body yaw rate | |
| vehicle mass | |
| , | distance from the front and rear wheels to the center of mass |
| sum of the front and rear wheelbases | |
| vehicle stability factor | |
| , | cornering stiffness of the front and rear wheels |
| , | stiffness factor of the front and rear wheels |
| , | shape factor of the front and rear wheels |
| , | peak factor of the front and rear wheels |
| , | lateral and longitudinal velocity of the vehicle |
| , | angular velocity of the front and rear wheels |
| , | braking torque of the front and rear wheels |
| , | longitudinal tire force of the front and rear wheels |
| , | lateral tire force of the front and rear wheels |
| wheel rolling radius | |
| moment of inertia of the wheel | |
| moment of inertia of the vehicle around the Z axis | |
| , | steering angle of the front and rear wheels |
| , | longitudinal and lateral air drag coefficient |
| , | longitudinal and lateral windward area of the vehicle |
| air density | |
| , | driving torque of the front and rear wheels |
| steady longitudinal force or lateral force of the tire | |
| longitudinal slip rate or sideslip angle | |
| stiffness factor, shape factor, peak factor, curvature factor | |
| tire sideslip angle | |
| longitudinal slip | |
| , | tire force combined slip correction parameters |
| , , | longitudinal force and lateral force of the front and rear tires in steady state |
| , , , | tire combined slip correction coefficients |
| wheel rotation angular velocity | |
| longitudinal velocity at the wheel center in the tire coordinate system | |
| , | sideslip angle of the front and rear wheels |
| , | longitudinal velocity of the front and rear wheels in the tire coordinate system |
| , | lateral velocity of the front and rear wheels in the tire coordinate system |
| system parameter | |
| , | initial longitudinal and lateral velocity of the vehicle |
References
- Zong, C.; Dai, C.; Zhang, D. Human-machine Interaction Technology of Intelligent Vehicles:Current Development Trends and Future Directions. China J. Highw. Transp. 2021, 34, 214–237. [Google Scholar]
- Kesi, Y.; Jiaheng, W.; Lu, S. Influence of Road Geometry Parameters on Vehicle Handling Stability. J. Highw. Transp. Res. Dev. 2011, 28, 109–117. [Google Scholar]
- Li, L.; Jia, G.; Song, J.; Ran, X. Progress on Vehicle Dynamics Stability Control System. J. Mech. Eng. 2013, 49, 95–107. [Google Scholar]
- Liu, X.; Liu, Y. Analysis on Vehicle Handling and Stability Considering Steering Velocity. Chin. J. Mech. Eng. 2011, 47, 95–100. [Google Scholar]
- Li, Z.; Gao, W.; Goh, C.; Yuan, M.; Teoh, E.K.; Ren, Q. Asymptotic Stabilization of Nonholonomic Robots Leveraging Singularity. IEEE Robot. Autom. Lett. 2019, 4, 41–48. [Google Scholar] [CrossRef]
- Sadri, S.; Wu, C. Stability analysis of a nonlinear vehicle model in plane motion using the concept of Lyapunov exponents. Veh. Syst. Dyn. 2013, 51, 906–924. [Google Scholar] [CrossRef]
- Inagaki, S.; Kushiro, I.; Yamamoto, M. Analysis on Vehicle Stability in Critical Cornering Using Phase-Plane Method. JSAE Rev. 1994, 16, 216. [Google Scholar]
- Koibuchi, K.; Yamamoto, M.; Fukada, Y.; Inagaki, S. Vehicle Stability Control in Limit Cornering by Active Brake. SAE Trans. 1995, 105, 555–565. [Google Scholar]
- Yu, Z.; Leng, B.; Xiong, L.; Feng, Y. Vehicle Sideslip Angle and Yaw Rate Joint Criterion for Vehicle Stability Control. J. Tongji Univ. Nat. Sci. 2015, 43, 1841–1849. [Google Scholar]
- Liu, F.; Xiong, L.; Deng, L.; Feng, Y.; Wu, X. Vehicle Stability Criterion Based on Phase Plane Method. J. South China Univ. Technol. Nat. Sci. 2014, 42, 63–70. [Google Scholar]
- Horiuchi, S. Evaluation of chassis control method through optimisation-based controllability region computation. Veh. Syst. Dyn. 2012, 50, 19–31. [Google Scholar] [CrossRef]
- Yan, Y.-G.; Xu, H.-G.; Liu, H.-F. Estimating Vehicle Stability Region Based on Energy Function. Discret. Dyn. Nat. Soc. 2015, 2015, 805063. [Google Scholar] [CrossRef]
- Meng, F.; Shi, S.; Bai, M.; Zhang, B.; Li, Y.; Lin, N. Dissipation of energy analysis approach for vehicle plane motion stability. Veh. Syst. Dyn. 2022, 60, 4035–4058. [Google Scholar] [CrossRef]
- Yan, Y.; Xu, H.; Liu, H. Estimation of the Stability Region of Bus Based on Lyapunov. J. Hunan Univ. Nat. Sci. 2016, 43, 15–21. [Google Scholar]
- Huang, Y.; Liang, W.; Chen, Y. Stability Regions of Vehicle Lateral Dynamics: Estimation and Analysis. J. Dyn. Syst. Meas. Control-Trans. ASME 2021, 143, 51002. [Google Scholar] [CrossRef]
- Zong, C.F.; Zheng, H.Y.; Tian, C.W.; Pan, Z.; Dong, Y.L.; Yuan, D.M. Vehicle stability control strategy based on direct yaw moment control. J. Jilin Univ. Eng. Technol. Ed. 2008, 38, 1010–1014. [Google Scholar]
- Wang, C.; Heng, B.; Zhao, W. Yaw and lateral stability control for four-wheel-independent steering and four-wheel-independent driving electric vehicle. Proc. Inst. Mech. Eng. Part D–J. Automob. Eng. 2020, 234, 409–422. [Google Scholar] [CrossRef]
- Doniselli, C.; Mastinu, G.; Cal, R. Traction Control for Front-Wheel-Drive Vehicles. Veh. Syst. Dyn. 1994, 23, 87–104. [Google Scholar]
- Zhao, L.; Gao, X.; Xie, Y.; Cong, G. Coordination Control of Active Steering and Direct Yaw Moment Control for Steer-by-Wire Vehicles. Int. J. Automot. Eng. 2019, 9, 61–67. [Google Scholar]
- Yu, Z. Automobile Theory; China Machine Press: Beijing, China, 2009. [Google Scholar]
- Bakker, E.; Nyborg, L.; Pacejka, H.B. Tyre modelling for use in vehicle dynamics studies. SAE Trans. 1987, 96, 190–204. [Google Scholar]
- Wang, X.; Shi, S.; Liu, L.; Jin, L. Analysis of driving mode effect on vehicle stability. Int. J. Automot. Technol. 2013, 14, 363–373. [Google Scholar] [CrossRef]
- Pacejka, H.B.; Bakker, E. The magic formula tyre model. Veh. Syst. Dyn. 1992, 21, 1–18. [Google Scholar]
- Pacejka, H.B. Tire and Vehicle Dynamics; Elsevier: Amsterdam, The Netherlands, 2006. [Google Scholar]
- Ono, E.; Hosoe, S.; Tuan, H.D.; Doi, S.i. Bifurcation in vehicle dynamics and robust front wheel steering control. IEEE Trans. Control Syst. Technol. 1998, 6, 412–420. [Google Scholar]
- Mu, Y.; Li, L.; Shi, S. Modified tire-slip-angle model for chaotic vehicle steering motion. Automot. Innov. 2018, 1, 177–186. [Google Scholar]
- Ackermann, J.; Bünte, T. Yaw disturbance attenuation by robust decoupling of car steering. Control Eng. Pract. 1997, 5, 1131–1136. [Google Scholar]
- Chen, G.; Hill, D.J.; Yu, X. Bifurcation Control: Theory and Applications; Springer Science & Business Media: Berlin/Heidelberg, Germany, 2003; Volume 293. [Google Scholar]
- Wang, X.; Shi, S.; Liu, L.; Jin, L. Vehicle Dynamics Equilibriums Solution Search Based on Hybridization of Genetic Algorithm and Quasi-Newton Method. J. Mech. Eng. 2014, 50, 120–127. [Google Scholar]
Disclaimer/Publisher’s Note: The statements, opinions and data contained in all publications are solely those of the individual author(s) and contributor(s) and not of MDPI and/or the editor(s). MDPI and/or the editor(s) disclaim responsibility for any injury to people or property resulting from any ideas, methods, instructions or products referred to in the content. |
© 2023 by the authors. Licensee MDPI, Basel, Switzerland. This article is an open access article distributed under the terms and conditions of the Creative Commons Attribution (CC BY) license (https://creativecommons.org/licenses/by/4.0/).





















