Study of the Tensile and Bonding Properties between Cement-Based Grout Materials and High-Strength Bolts
Abstract
1. Introduction
2. Theoretical Analysis
2.1. Bonding Mechanism
2.2. Failure Mode and Force Analysis
- (1)
- Bolt pull-out failure. This failure mode occurs when the tensile stress of the bolt is higher than the bond strength between the bolt and the CBGM, resulting in the bolt pulling out of the CBGM before reaching tensile stress. The mode of destruction is shown in Figure 1a.
- (2)
- Bolt fracture failure. The bond strength between the bolt and the CBGM is higher than the tensile stress of the bolt when the bolt stress grade is lower or the stress grade of the CBGM is higher. Therefore, the bolt stress reaches tensile strength before pulling out, which results in the bolt fracturing and being destroyed. The mode of destruction is shown in Figure 1b.
- (3)
- Specimen splitting failure or shear failure. The protruding transverse ribs on the bolt surface produce an oblique extrusion force on the CBGM, which can be divided into the axial component force along the bolt surface and the radial component force. The axial component force makes the CBGM subject to circumferential tensile force, and the radial component force causes longitudinal cracks in the CBGM with the increase in load. The CBGM will be split and broken if the CBGM is not restrained by concrete and circumferential hoops. Conversely, the protruding transverse ribs on the bolt surface will crush and shear the CBGM. The mode of destruction is shown in Figure 1c.
3. Experimental Process
3.1. Material Parameter and Mechanical Properties
- (1)
- Material properties of CBGM
- (2)
- Concrete properties
- (3)
- Bolt properties
3.2. Preparation and Curing of Specimens
- (1)
- Design of specimens
- (2)
- Preparation of specimens
- (3)
- Experimental loading device
4. Results and Discussion
4.1. Experimental Phenomena and Failure Characteristics
4.2. Results of Bolts Pull-Out Testing
- (1)
- Load–displacement relationship
- (2)
- Comparative analysis of the maximum load values
5. Calculation of Bond Strength
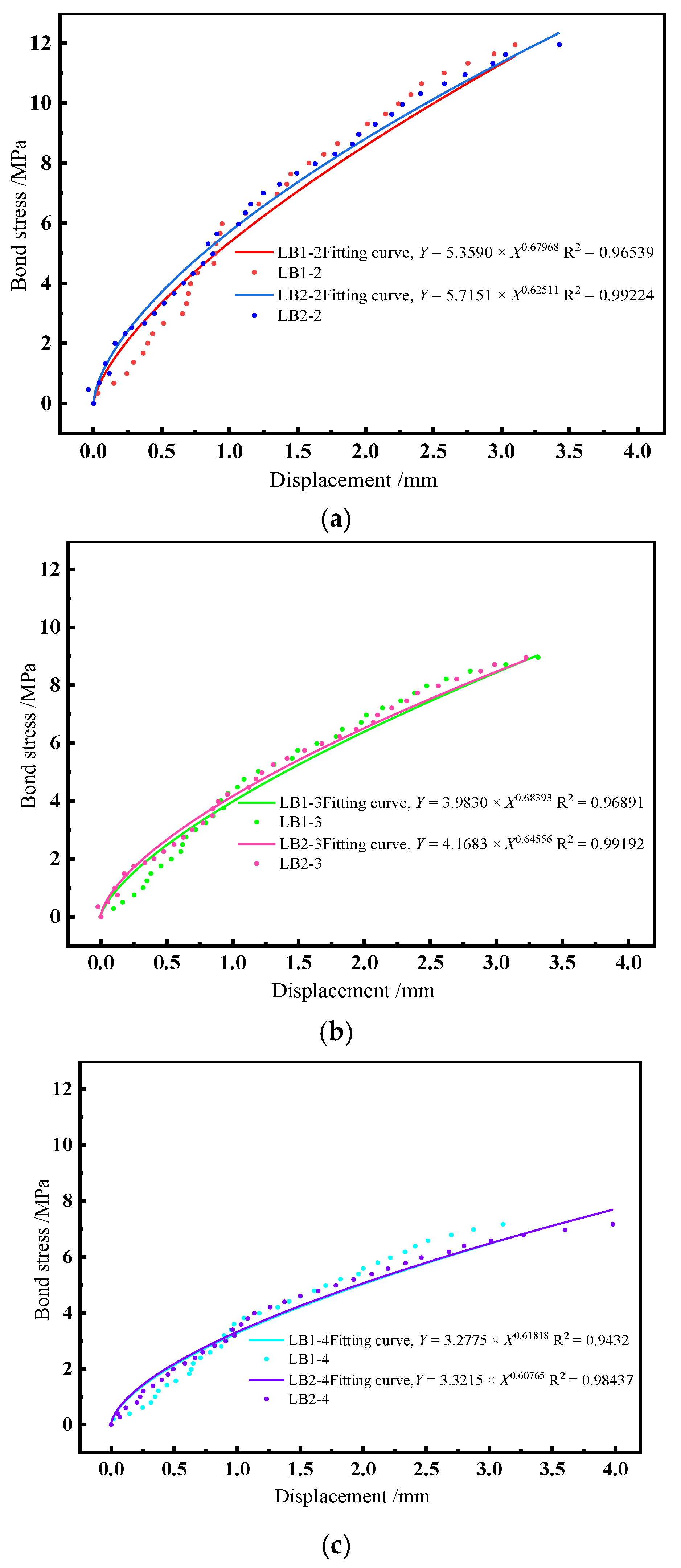
6. Bond–Slip Constitutive Model
7. Conclusions
- (1)
- The high-strength bolt and the CBGM experienced bond–slip failure without square steel tube constraining when the specimens were composed of pre-cast concrete and high-strength bolt connected to the CBGM in a reserve hole or square steel tube with an anchorage length of less than 15 d. The specimens experienced splitting failure when the square steel tube was used as a constraint. The failure loads of specimens in LB-A were slightly greater than that of LB-B, which implies that the square steel tube had a constraining effect on the CBGM and improved the bonding property between high-strength bolt and the CBGM. When the anchorage lengths were more than 18 d, the high-strength bolts in both LB-A and LB-B fractured at the same load level, which reached the ultimate load of the high-strength bolts. Before the bolt fractured, the tensile force increased with the increase in anchorage lengths, whereas the bond strength decreased.
- (2)
- The bond strength–anchorage length relationships between high-strength bolts and the CBGM were analyzed, as were the bond strength–anchorage length relationships for bolts with different anchorage lengths and the special connection mode. A formula for determining bond strength–anchorage length relationships was proposed.
- (3)
- The bond–slip curves between the fractured bolt and the CBGM were investigated, and the curves were divided into ascending and intensifying stages. The bond–slip constitutive relationship was also determined by fitting the experimental curves.
Author Contributions
Funding
Institutional Review Board Statement
Informed Consent Statement
Data Availability Statement
Acknowledgments
Conflicts of Interest
References
- Dhandapani, B.P.; Mullapudi, R.S. Design and performance characteristics of cement grouted bituminous mixtures—A review. Constr. Build. Mater. 2023, 369, 130586. [Google Scholar]
- Perret, S.; Khayat, K.H.; Gagnon, E.; Rhazi, J. Repair of 130-year old masonry bridge using high-performance cement grout. J. Bridge Eng. 2002, 7, 31–38. [Google Scholar] [CrossRef]
- Hayashi, Y.; Nakatsuka, T.; Miwake, I.; Suzuki, K. Mechanical performance of grout-filled coupling steel sleeves under cyclic loads. J. Struct. Constr. Eng. 1997, 62, 91–98. [Google Scholar] [CrossRef] [PubMed]
- Darwin, D.; Zavaregh, S.S. Bond Strength of Grouted Reinforcing Bars. ACI Struct. J. 1993, 93, 486–495. [Google Scholar]
- Raynor, D.J.; Lehman, D.E.; Stanton, J.F. Bond-Slip Response of Reinforcing Bars Grouted in Ducts. ACI Struct. J. 2002, 99, 568–576. [Google Scholar]
- Moosavi, M.; Jafari, A.; Khosravi, A. Bond of cement grouted reinforcing bars under constant radial pressure. Cem. Concr. Compos. 2005, 27, 103–109. [Google Scholar] [CrossRef]
- Alias, A.; Sapawi, F.; Kusbiantoro, A.; Zubir, M.A.; Rahman, A.B.A. Performance of Grouted Splice Sleeve Connector Under Tensile Load. J. Mech. Eng. Sci. 2014, 7, 1094–1102. [Google Scholar]
- Hosseini, S.J.A.; Rahman, A.B.A.; Osman, M.H.; Saim, A.; Adnan, A. Bond behavior of spirally confined splice of deformed bars in grout. Constr. Build. Mater. 2015, 80, 180–194. [Google Scholar] [CrossRef]
- Hosseini, S.J.A.; Rahman, A.B.A. Effects of spiral confinement to the bond behavior of deformed reinforcement bars subjected to axial tension. Eng. Struct. 2016, 112, 1–13. [Google Scholar] [CrossRef]
- Ling, J.H.; Rahman, A.B.A.; Ibrahim, I.S.; Hamid, Z.A. Tensile capacity of grouted splice sleeves. Eng. Struct. 2016, 111, 285–296. [Google Scholar] [CrossRef]
- Zhou, Y.H.; Ou, Y.C.; Lee, G.C. Bond-slip responses of stainless reinforcing bars in grouted ducts. Eng. Struct. 2017, 141, 651–665. [Google Scholar] [CrossRef]
- Li, X.D.; Lu, C.D.; Cui, Y.F.; Zhou, L.C. Study on the bond properties between steel bar and fiber reinforced concrete after high temperatures. Structures 2023, 49, 889–902. [Google Scholar]
- Wu, F.Y. Experimental Study on Mechanical Properties of Grout and Bond Behavior between Steel Bar and Grout; Hunan University: Changsha, China, 2019. [Google Scholar]
- Yuan, J.J.; Shen, D.J.; Xu, Z.L.; Li, M.; Wen, C.Y.; Zong, D. Effect of bond length on bond behavior between basalt fiber-reinforced polymer sheet and concrete. Constr. Build. Mater. 2023, 392, 131586. [Google Scholar]
- Hu, X.P.; Peng, G.; Niu, D.T.; Wang, J. Bond properties of deformed steel bars in concrete during construction under reversed cyclic loading. Constr. Build. Mater. 2019, 223, 817–829. [Google Scholar]
- Liu, P.; Xie, S.S.; Liu, L.; Zheng, Z.H.; Zhang, N.; He, S.S.; Wu, Y.Y.; Xu, W.; Chen, Y.; Kuang, Y.C.; et al. Experimental study on bonding strength between high-strength bolt and cement-based grouting material. J. Mater. Res. Technol. 2022, 19, 2191–2203. [Google Scholar] [CrossRef]
- Stanish, K.D.; Hooton, R.D.; Pantazopoulou, S.J. Corrosion effects on bond strength in reinforced concrete. ACI Struct. J. 1999, 96, 915–921. [Google Scholar]
- Vidal, T.; Castel, A.; François, R. Corrosion process and structural performance of a 17 year old reinforced concrete beam stored in chloride environment. Cem. Concr. Res. 2007, 37, 1551–1561. [Google Scholar] [CrossRef]
- Chung, L.; Cho, S.H.; Jay, K.J.; Yi, S. Correction factor suggestion for ACI development length provisions based on flexural testing of RC slabs with various levels of corroded reinforcing bars. Eng. Struct. 2004, 26, 1013–1026. [Google Scholar] [CrossRef]
- GB/T 50152-2012; Standard Methods for Testing of Concrete Structures. China Architecture and Building Press: Beijing, China, 2012.
- Sulaiman, M.F.; Ma, C.K.; Apandi, N.M.; Chin, S. A Review on Bond and Anchorage of Confined High-strength Concrete. Structures 2017, 11, 97–109. [Google Scholar]
- GB/T 17671-2021; Method of Testing Cements-Determination of Strength. Standards Press of China: Beijing, China, 2021.
- GB 50010-2010; Code for Design of Concrete Structures. China Architecture and Building Press: Beijing, China, 2015.
- BS EN 1992-1-1; Eurocode 2: Design of Concrete Structures. British Standards Institution: London, UK, 2004.
- GB/T 50081-2019; Standard for Test Methods of Concrete Physical and Mechanical Properties. China Architecture and Building Press: Beijing, China, 2019.
- GB/T 228.1-2021; Metallic Materials-Tensile Testing-Part 1: Method of Test at Room Temperature. Standards Press of China: Beijing, China, 2021.
- Zhang, D.X.; Yang, W.J. Experimental Research on Bond Behaviors between Shale Ceramsite Lightweight Aggregate Concrete and Bars through Pullout Tests. J. Mater. Civ. Eng. 2015, 27, 06014030. [Google Scholar] [CrossRef]
- Zhu, G.M.; Ma, Y.X.; Tan, K.H. Experimental and analytical investigation on precast concrete-encased concrete-filled steel tube column-to-column dry connections under axial tension. Structures 2022, 45, 523–541. [Google Scholar] [CrossRef]
- Yu, Q.; Yuan, Y.H.; You, G.S. Experiment and Finite Element Analysis on Bonding Properties Between Deformed Bars and Grouting Material. Struct. Eng. 2016, 32, 113–122. [Google Scholar]
- Lu, Z.F.; Mao, L.; Liu, M.Y. Performance simulation and parameter analysis of bolted anchor head connection mode for reserved grouting hole. J. Wuhan Univ. Technol. Transp. Sci. Eng. 2021, 45, 297–302. [Google Scholar]
- Gao, X.L. Experimental Study and Numerical Simulation of Bonding Performance of High Performance Concrete to Steel Reinforcement; Tongji University: Shanghai, China, 2003. [Google Scholar]
- fib Model Code for Concrete Structures 2010; Ernst and Sohn: Berlin, Germany, 2013.

















| Material | Average Compressive Strength at 28 d/MPa | Average Flexural Strength at 28 d/MPa |
|---|---|---|
| CBGM | 71.5 | 11.32 |
| C40 Concrete | Compressive Strength at 28 d/MPa |
|---|---|
| Specimen 1 | 40.7 |
| Specimen 2 | 41.2 |
| Specimen 3 | 40 |
| Specimen 4 | 40.3 |
| Specimen 5 | 41.5 |
| Specimen 6 | 41.7 |
| Average | 40.9 |
| Diameter of the Bolt/mm | Average Tensile Yield Strength/MPa | Average Ultimate Tensile Strength/MPa |
|---|---|---|
| 16 | 907.30 | 1045.98 |
| Experimental Design | Grouping Number | Diameter of Bolt (d/mm) | Anchorage Length (la/mm) | la/d | Anchorage Mode of Bolts |
|---|---|---|---|---|---|
| LB-A | LB 1-1 | 16 | 240 | 15 | Bolts are directly embedded into square steel tubes with a reserved section of 60 mm × 60 mm |
| LB 1-2 | 16 | 300 | 18.75 | ||
| LB 1-3 | 16 | 400 | 25 | ||
| LB 1-4 | 16 | 500 | 31.25 | ||
| LB-B | LB 2-1 | 16 | 240 | 15 | Bolts are directly embedded into holes with a reserved section of 60 mm × 60 mm |
| LB 2-2 | 16 | 300 | 18.75 | ||
| LB 2-3 | 16 | 400 | 25 | ||
| LB 2-4 | 16 | 500 | 31.25 |
| Experimental Design | Grouping Number | Diameter of Bolt (d/mm) | Anchorage Length (la/mm) | Failure Mode |
|---|---|---|---|---|
| LB-A | LB 1-1 | 16 | 240 | Bolt pulled out of CBGM |
| LB 1-2 | 16 | 300 | Bolt fracture failure | |
| LB 1-3 | 16 | 400 | Bolt fracture failure | |
| LB 1-4 | 16 | 500 | Bolt fracture failure | |
| LB-B | LB 2-1 | 16 | 240 | Bolt pulled out of CBGM and cracks occurred in concrete |
| LB 2-2 | 16 | 300 | Bolt fracture failure | |
| LB 2-3 | 16 | 400 | Bolt fracture failure | |
| LB 2-4 | 16 | 500 | Bolt fracture failure |
Disclaimer/Publisher’s Note: The statements, opinions and data contained in all publications are solely those of the individual author(s) and contributor(s) and not of MDPI and/or the editor(s). MDPI and/or the editor(s) disclaim responsibility for any injury to people or property resulting from any ideas, methods, instructions or products referred to in the content. |
© 2023 by the authors. Licensee MDPI, Basel, Switzerland. This article is an open access article distributed under the terms and conditions of the Creative Commons Attribution (CC BY) license (https://creativecommons.org/licenses/by/4.0/).
Share and Cite
Liu, P.; Zhi, W.; Mao, J.; Liu, L.; Chen, Y.; Yu, Z. Study of the Tensile and Bonding Properties between Cement-Based Grout Materials and High-Strength Bolts. Appl. Sci. 2023, 13, 8269. https://doi.org/10.3390/app13148269
Liu P, Zhi W, Mao J, Liu L, Chen Y, Yu Z. Study of the Tensile and Bonding Properties between Cement-Based Grout Materials and High-Strength Bolts. Applied Sciences. 2023; 13(14):8269. https://doi.org/10.3390/app13148269
Chicago/Turabian StyleLiu, Peng, Weiting Zhi, Jianfeng Mao, Lei Liu, Ying Chen, and Zhiwu Yu. 2023. "Study of the Tensile and Bonding Properties between Cement-Based Grout Materials and High-Strength Bolts" Applied Sciences 13, no. 14: 8269. https://doi.org/10.3390/app13148269
APA StyleLiu, P., Zhi, W., Mao, J., Liu, L., Chen, Y., & Yu, Z. (2023). Study of the Tensile and Bonding Properties between Cement-Based Grout Materials and High-Strength Bolts. Applied Sciences, 13(14), 8269. https://doi.org/10.3390/app13148269

