Abstract
It is important to develop research on sealing materials in order to find effective solutions to ensure the energy efficiency of buildings. The aim of this study is to investigate the peel adhesion of single-sided self-adhesive tapes to different construction surfaces and to determine the change in this characteristic due to climatic effects. Different construction tapes, mostly used externally in buildings, are glued to different substrates. The artificial aging of test samples was carried out, simulating the effects of moisture, heat, and cold; the intensity, duration, and sequence of the cyclic effects were determined, taking into account the statistical climatological data of the middle-latitude climate zone. The peel adhesion of the tapes was determined before and after different numbers of artificial aging cycles. The results show that the peel adhesion range is very wide, from 11 to 61 N/24 mm. In most cases, a lower-rated peeling adhesion was obtained by peeling the tape from plastered cement–sawdust board. The change in peel adhesion depends more on the surface to which the tape is glued than it does on the number of climatic exposure cycles selected for the test.
1. Introduction
Improving the building’s energy performance, ensuring the indoor microclimate parameters, and the efficient use of energy are directly related to the tightness of the building. Sealing plasters, grouts, mastics, various types of film, airtight grommets, and other special pre-formed parts, as well as a wide range of sealing tapes, are used for the installation of a tight building envelope. Technical solutions (Figure 1) for the installation of the roof, the insulation and finishing layer of the external walls, the installation of other building structures subject to airtightness requirements, the installation of internal engineering systems in the building, and the mounting of windows and exterior doors necessitate the use of various sealing tapes [1,2,3,4]. Despite suitable design and technical solutions, the use of high-quality sealed work and sealing materials that meet specifications and changes in the properties of adhesive tapes and their adhesion to the surfaces of the building materials due to changing environments and operating conditions of the building can significantly affect the tightness of the building or cause of the loss of tightness.
Figure 1.
Application of self-adhesive tapes to wall and vents (a); window and foundation (b); wall and window/wall and roof (c).
Several studies have been carried out to investigate the maintenance/loss of sealing using adhesive tapes. It has been established that the hygrothermal behaviour of steel-faced insulated sandwich panels can be controlled using adhesive tapes [5,6]. The tape is seen as a viable solution when it is required to ensure the level of tightness of a wooden frame [7]; however, it is understood that the durability of adhesion is not sufficient to ensure the good tightness of the joint for a long period [8]. It is recommended that people use adhesive tape to increase the tightness of cross-laminated timber (CLT) joints [9], but Kukk et al. [10] argue that the airtightness of the CLT building envelope cannot be reliably ensured by using adhesive tape, as cracks appear on the surface of the timber over time. Studies carried out by Kölsch et al. [11] show that even the connections on which a high-quality adhesive tape is attached are not completely tight. Standard rigid sealing tape was found to not be suitable for spatial sealing [12]. In cold climates and under a high internal humidity (60% RH at 23 °C), the use of sealing tape alone does not guarantee that the timber joist pockets will retain a relative humidity within the target limit of 85% [13]. A comparison of the various sealing methods has shown that air permeability can be further improved when sealing tape is used, but it is recommended to conduct durability studies and those on the use of tapes to seal all the joints to ensure low-level air permeability [14]. The simulation of wind pressure and rain loads has resulted in water leaks in tape-sealed joints even under low pressure, and water leaked at the intersections of the horizontal–vertical joint without any pressure effect [15]. Using a vapour-open wind barrier tape is recommended to ensure proper drying and reduce the risk of moisture penetration and damage to the structure of the building [16]. These studies discussed clearly show that the appropriate use of self-adhesive tapes to ensure joint tightness remains an unsolved problem.
The durability of the adhesive tape should be maintained during the lifetime of the building, but this is influenced by various factors, such as the penetration of water vapour from the inside, the presence of moisture that penetrates the structure of the building due to the wet climate during the construction stage, and the effects of climatic factors. Compared to other building materials, there are only a few studies on the durability of self-adhesive tapes. After research aimed to determine the influence of climatic conditions on the air permeability of joints sealed using adhesive tapes was conducted, it was emphasised that future studies are needed, and parameters to be investigated in the future were proposed, one of which is the use of various combinations of boards and tapes [17,18]. UV radiation in humidity was found to have had the greatest influence on the change in the remaining compression deformation of the tapes on pre-compressed flexible polyurethane foam [19].
Temperature changes and moisture have worsened the properties of silicone pressure-sensitive tapes and significantly affected the tape connection with steel substrates [20]. The natural aging of the tapes showed signs of degradation (a colour change, bubbling, etc.). After 8 months, several tapes completely or largely peeled off the glued surface [21]. Seal tapes clearly deteriorate after aging under laboratory conditions, but they can withstand standardised tensile strength and shear tests [22]. The positive effects of aging factors were found via testing the mechanical properties of adhesive joints formed using a double-sided pressure-sensitive adhesive tape [23].
To develop of methods for investigating the artificial aging of adhesive tapes, it is necessary to take into account that several parameters influence the performance of the adhesive joint and decide which of them should be included in the artificial accelerated aging model [24,25,26,27].
During the formation of the adhesive joint, adhesion and cohesion forces are affected, and the mechanical properties of the self-adhesive products are characterised by the shear resistance, peeling resistance, and tackiness [28,29,30,31]. The strength of the adhesive bond between the adhesive tape and the substrate is characterised by the peel adhesion. Adhesion is not a natural characteristic of tape, rather it depends on many factors such as temperature, peeling speed, adhesive thickness, pressure force, dwell time, and the surface on which the tape is glued to. The influence of the latter factor, i.e., the surface, on the performance of the adhesive connection between the construction tape and the surface is discussed only in a few works. According to the authors, the results of the research [26] encourage discussions about the possibility of using a standard surface in studies to assess the real bond between the base and the tape. Sletnes et al. [27] found that the adhesion and shear of the same tapes glued on different surfaces have the same range of values; therefore, the influence of the surface may be difficult to unambiguously define. However, it is clear that the tightness of the sealing joints depends mainly on the type of substrate used [32,33]. The worst self-adhesive tape tack was found when tape was glued onto a plastered surface; however, better tack results were obtained when the tape was glued onto chipboard, OSB, and a cement sawdust board [34]. Jacobs et al. investigated the effect of OSB and plywood surface treatments on the adhesion of acrylic PSA tape; depending on the surface, differences in the load capacity were found [35].
When analysing research publications on the use of adhesive tapes for construction purposes, it was noted that many authors emphasise the lack of knowledge about the optimal application of tapes for sealing joints, so conducting such research remains very relevant. The analysis of the literature revealed that detailed research related to changes in the adhesive properties of tapes due to environmental factors should be conducted. It is clear that there is no clarity as to how those properties depend on the substrate of the building materials on which they are glued and how they evolve over time. The aim of this research is to investigate the peel adhesion of commercial single-sided self-adhesive tapes with different compositions to different construction surfaces and to determine the variation in this characteristic due to climatic effects. Systematised and analysed data would be useful for improving the sealing tape materials and building sealing technical solutions and would allow the better understanding of the significance and impact of different parameters during the development of an artificial aging model that would allow the reliable prediction of the service life of the tapes.
2. Materials and Methods
For the investigation, one-sided commercial self-adhesive tapes with different compositions, mainly used outdoors for construction purposes, were selected. During the course of the research, they were divided into separate groups according to the backing material (Table 1). The presence of other functional elements, such as reinforcement threads, was also taken into account in the study. The adhesives for all self-adhesive tapes are acrylic, the thickness was determined according to the EN 1942 standard (https://www.en-standard.eu/csn-en-1942-self-adhesive-tapes-measurement-of-thickness/, accessed on 27 June 2023), and the breaking strength was determined according to the EN ISO 29864 (https://www.iso.org/standard/70313.html, accessed on 27 June 2023).
Table 1.
Summary of characteristics of self-adhesive tapes selected for investigation.
The research focuses on the adhesion of adhesive tapes to various building surfaces to seal the buildings and determines how it changes over time depending on the environmental conditions. The essential steps in the course of the research are given in Figure 2. The research included the determination of peel adhesion of tapes glued to different building surfaces, the climatic aging of the test samples by periodically determining the changes in resistance to delamination during the tests, and analysis of the results.
Figure 2.
Essential steps of the research process.
For the research, the most commonly used surfaces in construction were used, such as glued plywood, OSB, plasterboard, cement–sawdust mixtures, plastered cement–sawdust mixtures, and plastic boards. There were no changes in the surface of the panel without splits, scratches, stains, and other visually visible defects. The test samples were prepared in this way (Figure 3). A test piece of a 24 mm wide tape was applied to the test surface at a length of 150 mm (surface contact area 3600 mm2); a 2 kg roller was used to ensure uniform conditions of the self-adhesive and prevent the entrapment of air between the adhesive and the panel. Before gluing it, the surface of the panel was cleaned with acetone; gluing was performed not earlier than 10 min after cleaning, and the time taken to cut and press the test sample onto the surface did not exceed 30 s. Ambient conditions for the storage, preparation, and adhesion of the test samples were controlled by maintaining a temperature of (23 ± 2) °C, and the relative humidity of the air of (50 ± 5)%.
Figure 3.
Preparation of the test samples.
Artificial aging is intended to simulate the effects of moisture, heat, and cold. The intensity, duration, and sequence of the cyclical effects of climatic factors were determined considering studies on the durability of the exterior layers of building walls [36]. This study was carried out after evaluating the statistical climatological data of the mid-latitude climate zone (air humidity, average duration of rain, number of sunny days, and changes in temperature in the warm and cold seasons). During an accelerated aging cycle, the test samples were heated for 7 h at +5 °C at a relative humidity of RH 96–100%, frozen for 5 h at −10 °C; 0.5 h of time was devoted to switching off the refrigeration. Realignment was followed by heating at different temperatures and humidity levels, i.e., they were heated for 18 h at +31 °C (RH = 45–50%), 10 h at +39 °C (RH = 25–30, %), and 7.5 h at +49 °C (RH = 15–20, %); the duration of the entire cycle was 48 h (Table 2).
Table 2.
Summary of artificial aging test conditions.
The artificial aging test was carried out in the Feutron 3423/16 climate chamber, with adjustable ambient conditions for temperature and humidity. The peel adhesion tests were performed after 1, 5, 10, 15, and 20 artificial aging cycles.
The peel adhesion test was carried out using a Zwick/Roell Z010 device (Zwick/Roell, Ulm, Germany) according to the EN ISO 29862 standard (https://www.en-standard.eu/bs-en-iso-29862-2019-self-adhesive-tapes-determination-of-peel-adhesion-properties/?gclid=EAIaIQobChMI-9On-LjAgAMVW51oCR3rxAmvEAAYASAAEgJfw_D_BwE, accessed on 27 June 2023), in which the tape specimen was removed from the test board at an angle of 180° from the surface. The peel was placed over the entire glued length of the tape of 150 mm, excluding 25 mm from the beginning and end points of the peel-off area, which is a longer section than that indicated in the standard. This made it possible to see the different natures of the peel on different surfaces, which were thoroughly analysed during the course of the research. The criteria for the analysis of the peel-off force–displacement curve of the test samples, which involved determining the evenness of the curve (keeping the same features throughout the measurement section or the appearance of sharp changes (sudden force reduction, inconsistent force variation, etc.), are the ratio of the maximum and minimum force in the measurement area, the size of the upper and lower points of the curve interval, and the number of curve maxima. The peel adhesion value of one test sample, that is, the force required to peel the tape from a specified substrate Fk, was calculated as the mean force over the analysed section, and the data set constituting Fk (values of the force Fki recorded at the moment of the separation of the strip from the test board) depended on the nature of the force–displacement curve (Figure 4). When the curve was even, the result of the peel adhesion of one test sample Fk was the mean Fki of the forces measured in the section. If a sudden decrease in the force occurred on an even curve, Fk was calculated separately for the zone of the highest and lowest forces based on the Fki values recorded in that zone (Figure 4a). When the interval size of upper and lower points Rup (Rup = Fupmax − Fupmin) and Rlo (Rlo = Flomax − Flomin) > 20, respectively, this force–displacement curve was described as very uneven (Figure 4b). In this case, the peel adhesion result was calculated using
where Fkiup is the highest force and Fkilo is the lowest force over the analysed interval of the force–displacement curve, and n is the amount of force in the analysed interval.
Figure 4.
Determination of the peel adhesion of the one test sample: (a) even curve and even curve with break and (b) uneven curve.
According to the research method, the final result of the peel adhesion Fav of one tape was considered to be the arithmetic mean of five test samples Fk (k = 1, ..., 5). The data obtained were statistically studied using the standard deviation and the coefficient of variation for the test samples in each group (test samples prepared from the same tape and test board, which were aged and tested under identical conditions). During the research, the peel adhesion data of the unaged and artificially aged tapes were also compared, and the difference was considered to be statistically significant when it was greater than 15%. All tests were performed in the Building Physics Laboratory (KTU, Kaunas, Lithuania).
3. Results
3.1. Test Results on the Peel Adhesion of Self-Adhesive Tapes Peeled off Different Surfaces
One of the benefits of self-adhesive tapes for construction applications is to ensure the correct airtightness of the building. In order for this condition to be fulfilled, a permanent and high-strength adhesive bond must be formed with the construction surface on which the tape is glued to. The adhesive strength is evaluated via monitoring the peel adhesion, i.e., the force required to peel the adhesive tape off a certain surface.
By analysing the results of the peel adhesion, it was found that the adhesion data of the selected tapes stuck to various construction surfaces were very diverse. This diversity is perfectly revealed via different force–displacement curves; illustrated typical examples are presented in Figure 5. In the preliminary analysis, the curve was found to be even for some tapes (Figure 5a, tape N1), i.e., there were no high force extremes; for other tapes, on the contrary, the average force differs significantly from the lowest and maximum force recorded in the analysed section (Figure 5a, tape N6S). Some tapes are characterised by a sharp decrease in force due to their composition (stepped curve, Figure 5b, tape P3S), while others show a discontinuous variation in force, where the curve contains several zones of an average force with larger or more minor differences between the minimum and maximum force values (bouncing curve). It has been observed that the features characterising the curve do not remain constant throughout the analysed section, e.g., 1–2 extremely pronounced decreases in the force occur in an even curve. The results of the force–displacement analysis of the curves reveal that the peeling behaviour of the tape, which is reflected by the change in the curve, depends on the surface on which the tape is glued to. Figure 5c shows that when tape N5 was peeled off the OSB, there was a large dispersion of force values. In places, there was a significant decrease in the force, the variation between the forces was small, the curve decreased evenly when it was being peeled off the plastic, and the evenness of the curve remained, but the differences between the maximum and minimum peel-off forces were greater than that of the plywood. The emergence of the options discussed can significantly influence the resistance to peeling, making it necessary to differentiate their determination according to certain characteristics.
Figure 5.
Different forces: displacement curves of the tapes. (a) N1, N6S; (b) P3S; (c) N5.
The essential criteria describing the force–displacement curves are the interval size of the upper and lower points of the curves and the maximum and minimum forces in the measuring zone. Figure 6 summarises the following data: the mean value of the force ratio, which was calculated as the mean of Fmax/Fmin by peeling off the tape from each surface, as well as the interval of the upper points of the Rup and lower Rlo curve points from all the surfaces. After dividing the entire data test sample into quarters, the beginning of the rectangle shows the first quartile of the values, the end of it shows the third quartile, and the minimum and maximum values of the test sample are also indicated.
Figure 6.
Results of Fmax/Fmin and average values of the range of upper (R1) and lower (R2) peaks in the measurement travel.
The prevailing ratio of the highest to lowest forces is around 1.8; the N1 and P4S tapes are exceptions, with lower ratios (1.2 and 1.3, respectively), and Pa2 and MPa1 have a higher ratio of about 3.3. The N6S forces ratio differed significantly from the other tapes, and for comparison, Figure 4 shows how the curves of the highest and lowest Fmax/Fmin ratios look. The analysis of the tape interval data showed typical peel-off cases. Measured as the mean value of the range, it did not exceed 5 N/24 mm for one-third of the tapes, it did not exceed 10 N/24 mm for two-thirds of them, and the mean value of the band M24 differed from the majority by at least 2.5 times. For the P1S tape, Fkup = Fklo; this is also the case for the N1 tape, when it was glued to plywood, OSB, plasterboard, cement–sawdust surfaces, the P3S tape, when it was glued to plywood, plasterboard, and plasterboard surfaces. A wide range of intervals are shown in the graph when the tape was peeled off the OSB and plastered cement–sawdust surfaces. The width of the N3 tape interval was determined by its peeling it off the plastered cement–sawdust surface, which differed from other surfaces. Peeling the N4 tape off the plywood surface was different to when it was peeled off the other surfaces, thus affecting the interval width limits. In summary, it can be said that there is, in fact, no single tape that, if it was peeled off from a different surface, the nature of the curve would remain the same. Despite the wide variety, non-woven (N) tapes are characterised by even curves; the peel adhesion of one specimen was calculated as the average of the forces measured in the analysed section. Paper-based tapes (Pa) are characterised by even curves (Pa2, Pa3) and very uneven curves (MPa1). The most common case in the group of (P) base tapes is a stepped curve, so the mean peel-off force is differentiated according to the highest and lowest force values.
To investigate the effects of tape aging on their adhesion properties, the works of other authors [26,27] also include attempts to group the available test results according to the type of surface and the characteristics of the adhesive tape composition. It was concluded that the effects of aging and the surface must be analysed individually for each tape, as the data set cannot be clearly presented for all tapes. The analysis carried out in this research shows that, on the one hand, the variety of results obtained confirms the statements made by other authors about the complexity of grouping. On the other hand, the choice of force–displacement curve analysis criteria allowed one to reveal the characteristic moments of adhesion of the ‘tape surface’ system and, at the same time, to deepen our knowledge in this field.
The results of the non-aged adhesive sealing tapes peeled off of different surfaces are shown in Figure 7, with low dispersion results and standard deviations between 0.8 and 3.6 N/24 mm. The analysis of the results shows that the tapes N1 and N4 with the highest peel adhesion values are in the group of non-woven base tapes, with maximum values of 52 N/24 mm and 61 N/24 mm, respectively.
Figure 7.
Peel adhesion results of unaged self-adhesive tapes from different surfaces, where MPa1.1 = Fup, MPa1.2 = Flo, and min = Fmin force value.
glued plywood,
OSB,
plasterboard,
cement–sawdust board,
plastered cement–sawdust board, and
plastic.
glued plywood,
OSB,
plasterboard,
cement–sawdust board,
plastered cement–sawdust board, and
plastic.
This group includes the N6S tape, which has the lowest peel adhesion value of all the tapes studied. According to the manufacturers, all three tapes were designed to seal the window–door joints from the outside, as can be seen; thus, they have the same purpose. However, their average peel adhesion values differ by 3.6 times. When comparing the results of group N with those of the Pa and P tapes, the latter one shows that there is no clear difference between the prevailing forces of peel adhesion. The results show that the surface affects this characteristic, i.e., N1 tapes glued to the plastered cement–sawdust board have a 27% lower peel adhesion value than ones glued onto the plasterboard. The difference between the tape N4 peel adhesion values when glued to the plastered cement–sawdust board and plastic is 33%; a similar difference in peel adhesion also exists between the N6S tape glued onto the OSB and the plastic. There is a small difference (20%) between the maximum and minimum peel adhesion values of the N3 and N5 tapes.
Compared to the group of non-woven base tapes, the paper-based tapes have a lower peel adhesion value, which is, on average, 30 N/24 mm. In addition, there is no such great difference between the Pa tapes and the group of N tapes in terms of the average peel adhesion values. However, the influence of the surface is pronounced; for example, the adhesion of Pa2 to the OSB surface is 65% weaker than it is on the cement–sawdust board. This information may be relevant in the context of the manufacturer’s declared value; it is possible that, despite this value being higher, the use of a tape in a particular situation is not appropriate precisely due to its poor adhesive properties on the base to which it will be glued. With regard to the results of the MPa1 tape, it should be noted that according to the analysis of the nature of the force–displacement curves, the average forces in the Rup interval of the curve segment and the difference between the upper interval Fup and the lower interval Flo, respectively, are not significantly different from the average.
The group of film-based tapes showed different behaviours. The P1S and P3S tapes are characterised by the fact that, in almost all cases, with the exception of the plastered cement–sawdust board, a part of the tape tore when it was being peeled off, leading to the formation of a staircase curve. The tape P2S behaved in the opposite way: the rupture of the tape was captured precisely when it was peeled off of the plastered cement–sawdust board, and there was no need to differentiate between the forces when it was peeled off of other surfaces. Meanwhile, a stepped curve was not obtained at all when we were peeling the P4S tape off, the force–distance curve was even, and the differences between Fmin and Fmax were small. When comparing the mean peel adhesion, these tapes are similar in terms of the peel-off characteristics, i.e., the paper-based tapes have the highest force values. Depending on the surface, the difference between the highest and lowest peel adhesion values is between 24% and 33%, and only the maximum resistance values of the P1S tape were actually not different.
Comparing the results of all the tested tape peel tapes on the plywood, OSB, plasterboard, cement–sawdust mixtures, plastered cement–sawdust mixtures, and plastic boards show that there are no clear trends in terms of the dominance of one surface with which the tape has the best/worst adhesion properties. It is possible to distinguish the plastered cement–sawdust board, which compared to the other surfaces studied and the tapes, usually formed a weaker adhesive bond. The results of the N6S, Pa2, MPa1, and P2S tapes indicate that the next surface on which the tape is easier to peel off is the OSB, but the N3 and N5 tapes adhered most firmly to this surface. So, in the group of non-woven tapes on the same surface, the results are the opposite. The other surfaces on which the tapes of this group were glued to have the highest peel adhesion values, such as plastic and plasterboard.
To sum up the results of the peel adhesion of construction sealing tapes to different surfaces, it can be said that the range of values of peel adhesion is very wide, and this characteristic depends on the surface on which the tape is glued to, but research related to the identification of prevailing trends should be developed.
3.2. Results of Peel Adhesion of Self-Adhesive Tapes from Different Surfaces after Artificial Aging
The airtightness of the building, which is usually ensured via the use of self-adhesive tapes, which must remain stable over time. So, these tapes must withstand a variety of changing environmental conditions without significant deterioration in their adhesion quality. From an operational point of view, it is important that the adhesive tapes are resistant to climatic effects. During this research, the effects of humidity and temperature changes were simulated in the climate chamber, and we consider them to be the main disruptive climatic factors in the mid-latitude climate zone which the tapes experience during the actual construction and use of buildings.
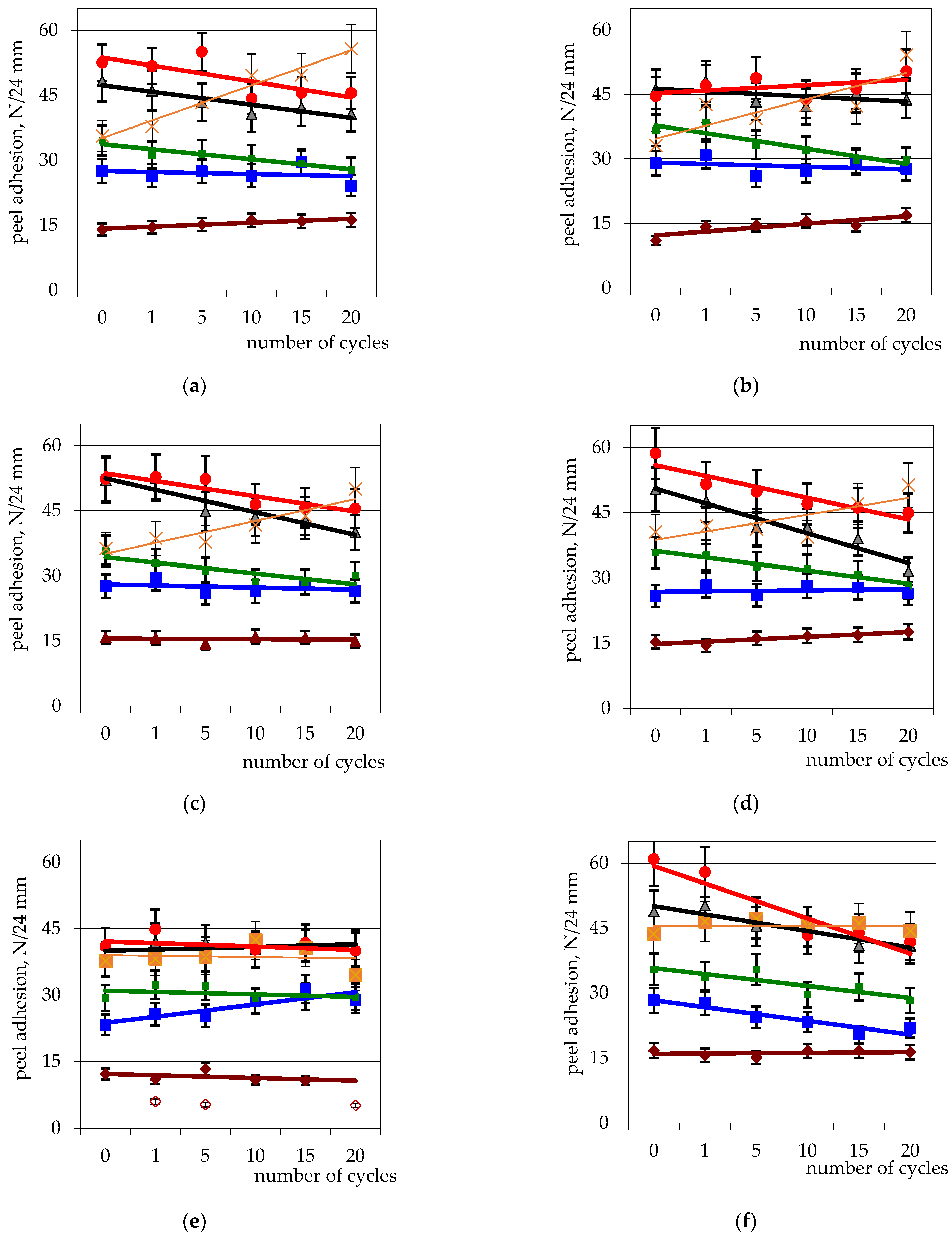
The results of artificial aging show that the conditions under which the tapes were aged affected their peel adhesion very differently. The analysis of the peel adhesion of aged tapes from group N of the non-woven base shows (Figure 8) that the adhesive properties of non-woven-based tapes can deteriorate or improve with an increasing aging time or remain substantially unchanged (the result after aging does not differ from the baseline ≥ 10%). In group N, the most pronounced is the change in the peel adhesion of the N2 tape, depending on the aging time: after 20 cycles, the peel adhesion values increased by 57% and 64% when the tape was glued to the surfaces of plywood, OSB. However, they increased slightly less (on average about 32%) when it was glued to the plasterboard and cement–sawdust board and did not actually change when it was glued to the plastered cement–sawdust and plastic panels.
Figure 8.
Relationship between peel adhesion of N group tapes and climatic exposure cycles when the tapes were glued to: (a) plywood, (b) OSB, (c) plasterboard, (d) cement–sawdust board, (e) plastered cement–sawdust board, and (f) plastic, where
: N1;
: N2;
: N3;
: N4;
: N5;
: N6S;
: N6S Fmin.
: N1;
: N2;
: N3;
: N4;
: N5;
: N6S;
: N6S Fmin.
It could be noted that the improvement in the adhesion properties of N2 tape is opposite to the general trend of the group of N tapes, as the peel adhesion of the non-woven-based tapes either does not change by a statistically significant amount or tends to decrease. However, the fact that, after aging, the glue bonds better to the base is also mentioned in the works of other authors [32]. The behaviour of N6S tape glued to the plastered cement–sawdust board was different to that of the N-group tapes. The effect of aging changed the nature of the peeling of the tape off the surface; zones of minimal force appeared, the values of which were almost twice as large as the average force. The maximum number of aging cycles resulted in the dominance of the minimum peeling force. Generally, in reference to the decreasing tendency of the peeling adhesion of tapes in group N, this characteristic decreased by 16–23%. After artificial aging, the highest (37%) reduction in the peel adhesion of N1 tape was observed when it was glued to the cement–sawdust board, and it remained completely unchanged when it was glued to the OSB and plastered surfaces.
This surface dominance factor was also observed when we were analysing the results of the other tapes. For example, the peel adhesion of N3 tapes glued to the OSB, plasterboard, and cement–sawdust board did not change, while when they were glued onto a plastered surface, it increased by 35%. Accordingly, the N4 tapes results on the plastered surface did not change and decreased by 23% on the cement–sawdust board. On the plastic, this change was even larger (31%); a downward trend (13–15%) was also observed when this tape was glued to the plywood and plasterboard surfaces. Obviously, the surface on which the tape is glued to affects the change in the adhesive properties of the tape due to aging.
The results of the peel adhesion of aged paper-based tapes (group Pa) are shown in Figure 9. The analysis of the results shows that there are cases where the peel adhesion of paper-based tapes, depending on the effect of aging, changed to a greater extent than those of the non-woven-based tapes. After the maximum number of aging cycles, this characteristic increased by almost three time in the P21 tapes glued onto the OSB. Such a significant change could be due to the fact that the unaged P21 tape adheres weakly to the OSB (it is the weakest compared to other Po group tapes); it can be assumed that due to climatic factors, the acrylic glue of the tape becomes more plastic and fills the gaps of the structured OSB surface more, resulting in an adhesive force increase. The peel adhesion of P21 when it was glued to the plywood plasterboard, plastic, and the cement–sawdust and plastered cement–sawdust boards increased by about 30%, 19%, 28%, and 39%, respectively.

Figure 9.
Relationship between peel adhesion of Pa group tapes and climatic exposure cycles when the tapes were glued to: (a) plywood, (b) OSB, (c) plasterboard, (d) cement–sawdust board, (e) plastered cement–sawdust board, and (f) plastic, where
: Pa2;
: Pa3;
: Fup;
: Flo MPa1.
: Pa2;
: Pa3;
: Fup;
: Flo MPa1.
Due to artificial aging, the adhesive properties of P22 also evolved inconsistently. When it was glued to the plywood, plasterboard, and cement–sawdust boards, it decreased on average by about 24%, it decreased by a small amount when it was stuck on the OSB (12%), but it did not change when it was glued to the plastic, and increased by about 1.5 times when it was glued to the plastered surface. Obviously, as in the N group of the tapes, during the aging process, the surface has an effect on the change in the peel adhesion. MPa1 differed from Po group tapes in that it is made of metallised paper. MPa1 has shown a tendency to increase the peel adhesion value as the number of cycles increases by 12% (plastic surface) to 36% (OSB surface). The peel adhesion value decreased when it was glued to the plywood (18%) and plastered cement–sawdust (39%) surfaces.
The composition of the tapes belonging to group P differs from that of the other test objects selected for the research in that there is a reinforcing component, filament yarns, and their arrangement is very diverse. For example, there are P2S gaps 2 and 3 mm (every other) between the yarns in the longitudinal direction and 5 mm in the transverse direction; the P1S gaps in both longitudinal and transverse directions are the same (4 mm); P3S yarns are arranged parallel to the edge of the tape in the longitudinal direction and in a zig-zag manner in the transverse direction. When these tapes are torn off from the surface, the peel-off force is often greater than the strength of the backing of the tape, the base part or the entire backing ruptures, and the process of peeling it off is due to the filament yarns that are stronger than the base. Therefore, the tapes belonging to group P were characterised by the fact that the peeling forces in the force–displacement curves have a sudden change in the value of the force, so the differentiation of force values was performed. In the graphs (Figure 10), the values of the lowest force Fmin are presented separately, and the characteristic trends are discussed in light of the results of the average Fmax force, as it is no longer present when the backing of the tape is torn.

Figure 10.
Relationship between peel adhesion of the P group tapes and climatic exposure cycles when the tapes were glued to: (a) plywood, (b) OSB, (c) plasterboard, (d) cement–sawdust board, (e) plastered cement–sawdust board, (f) plastic, where
: P1S;
: P2S;
: P3S;
: P4S;
indicates Fmin of the corresponding tapes.
: P1S;
: P2S;
: P3S;
: P4S;
indicates Fmin of the corresponding tapes.
In the analysis of the results of the impact of artificial aging on the peel adhesion of P group tapes, we identified general trends specific to the group: The resistance improved or did not change, and no cases of deterioration were identified. The number of cycles determined the peel adhesion of the P2S tape the most, depending on the surface on which the tape was glued; the peel adhesion increased on average by about 26%, and only in the case of the OSB surface, it increased 1.8 times. The peel adhesion of the P1S tape has remained stable due to climatic effects. The results of P3S tape change are similar to those of P1S, and peel adhesion only increased in two cases: when this tape was glued to the OSB and plastic surfaces. The peel adhesion of P4S tape depended on the surface the most; it increased by approximately 16% when the tape was glued to the plywood, plasterboard, and cement–sawdust surfaces, and it increased by approximately 36% when it was adhered to the OSB and plastered cement–sawdust surfaces, and did not change when it was glued to the plastic.
In general terms, with regard to the dependence of the peeling resistance of all tapes on the number of aging cycles, there is no obvious tendency for the adhesive properties of the tapes to deteriorate as the aging time increases (or to improve if there is a change in the properties); for some test samples, a significant change was observed from the fifth cycle, and for the others, this occurred from cycles 15 to 20. Regarding the resistance to peel adhesion, it can be argued that the surface on which the tape is glued to is a more dominant factor than the number of artificial aging cycles. Thus, the research conducted has shown that the complex assessment of the adhesion of adhesive tapes on different construction surfaces under different climate effects can provide appropriate knowledge and guidance in the context of the long-term use of commercial adhesive tapes.
4. Conclusions
The peel adhesion data of single-sided self-adhesive tapes vary over a wide range from 11 to 61 N/24 mm depending on the surface they are glued to. In the same group of tapes with a backing, the peel adhesion may change several times; this case is especially pronounced for non-woven tapes. The results of the peeling of tape from the plywood, OSB, plasterboard, cement–sawdust mixtures, plastered cement–sawdust mixtures, and plastic boards revealed a diverse situation. On the one hand, in some cases, a 65% difference between the largest and the smallest values of the same tape when it was glued to a different surface suggests that the properties of the surface influence the strength of the adhesive bond. However, the cases where the variation in the peel-off forces of the same tape off the abovementioned surfaces is not significant are also not rare, so an unequivocal statement about the significance of the influence of surfaces could be used to grade the diversity of the peel adhesion results. It has been learned that when the same tape is glued to different surfaces, the minimum and maximum peel adhesion values of the tapes generally differ by about 30%, so the results of the tapes examined suggest that the values of peel adhesion are likely to vary within these limits, depending solely on the characteristics of the surface. In most cases, the lowest peel adhesion value was related to the plastered cement–sawdust board.
The results of artificial aging show that, in most cases, the peel adhesion of the tapes changed. The change included both the strengthening of the adhesion of the tape to the surface (as a 64% increase in the adhesion of the N2 tape peel) and a weakening trend (on average 23% in the N group tapes). After aging, the resistance of non-woven-based tapes reduced more than that of the paper-based tapes, and the film-based tapes are characterised by the fact that the peel adhesion remained the same or improved before aging. The change in the peel adhesion of tapes depends more on the surface on which the tape is glued to than it does on the number of artificial aging cycles selected for the research.
To the knowledge of the authors, there is no objective methodology used for testing the durability of construction self-adhesive tapes. The results obtained are expected to be useful in developing a methodology for assessing the durability of tapes and valuable from a practical point of view in selecting adhesive tapes for different construction surfaces.
Author Contributions
Conceptualization, V.D. and M.J.; methodology, K.B. and V.P.; validation, V.D., M.J. and K.B.; formal analysis, J.K. and K.M.; investigation, V.D., M.J., J.K., V.P. and A.S.; resources, K.B.; data curation, J.K., V.P. and A.S.; writing—original draft preparation, V.D. and M.J.; writing—review and editing, K.B., M.J., V.P. and K.M.; visualization, A.S.; supervision, K.B.; project administration, V.D. All authors have read and agreed to the published version of the manuscript.
Funding
This research received no external funding.
Institutional Review Board Statement
Not applicable.
Informed Consent Statement
Not applicable.
Data Availability Statement
The data presented in this study are available on request from the corresponding author.
Conflicts of Interest
The authors declare no conflict of interest.
References
- Price, S.; Baines, A.; Jennings, P. Good Practice Guide to Airtightness. Available online: https://www.passivhaustrust.org.uk/guidance_detail.php?gId=48 (accessed on 8 May 2023).
- Carrié, F.R.; Jobert, R.; Leprince, V. Contributed Report 14. Methods and Techniques for Airtight Buildings; International energy agency: Sint-Stevens-Woluwe, Belgium, 2012; pp. 1–36. [Google Scholar]
- Finch, G.; Wang, J.; Ricketts, D. Guide for Designing Energy-Efficient Building Enclosures for Wood-Frame Multi-Unit Residential Buildings in Marine to Cold Climates Zones in North America; FPInnovations: Pointe-Claire, QC, Canada, 2013; p. 244. [Google Scholar]
- Building Technical Regulation STR 2.04.01:2018; Building Enclosures. Walls, Roofs, Windows and Exterior Entrance Doors. Adopted on 29 March 2019 by order No. D1-186. Minister of Environment of the Republic of Lithuania: Vilnius, Lithuania, 2018. (In Lithuanian)
- Kalbe, K.; Piikov, H.; Kesti, J.; Honkakoski, E.; Kurnitski, J.; Kalamees, T. Moisture dry-out from steel faced insulated sandwich panels. In Proceedings of the E3S Web Conferences, 12th Nordic Symposium on Building Physics (NSB 2020), Tallinn, Estonia, 6–9 September 2020; Volume 172. [Google Scholar] [CrossRef]
- Kalbe, K.; Piikov, H.; Kalamees, T. Moisture dry-out capability of steel-faced mineral wool insulated sandwich panels. Sustainability 2020, 12, 9020. [Google Scholar] [CrossRef]
- Kalamees, T.; Alev, Ü.; Pärnalaas, M. Air leakage levels in timber frame building envelope joints. Build. Environ. 2017, 116, 121–129. [Google Scholar] [CrossRef]
- Wahlgren, P.; Domhagen, F. Moisture impact on dimensional changes and air leakage in wooden buildings. In Proceedings of the Energy Crisis to Sustainable Indoor Climate–40 Years of AIVC, Ghent, Belgium, 15–16 October 2019; pp. 801–810. [Google Scholar]
- Herms, J. Achieving airtightness and weather protection of CLT buildings. In Proceedings of the E3S Web Conferences, 12th Nordic Symposium on Building Physics (NSB 2020), Tallinn, Estonia, 6–9 September 2020; Volume 172, p. 10011. [Google Scholar] [CrossRef]
- Kukk, V.; Bella, A.; Kers, J.; Kalamees, T. Airtightness of cross-laminated timber envelopes: Influence of moisture content, indoor humidity, orientation, and assembly. J. Build. Eng. 2021, 44, 102610. [Google Scholar] [CrossRef]
- Kölsch, P.; Zirkelbach, D.; Nusser, B.; Wagner, R.; Zegowitz, A.; Hünzel, H. Airflow through lightweight wall assemblies-influence of size and location of leakages. In Proceedings of the XIII International Conference Thermal Performance of the Exterior Envelopes of Whole Buildings, Clearwater Beach, FL, USA, 4–8 December 2016; pp. 459–484. [Google Scholar]
- Bracke, W.; Van Den Bossche, N.; Janssens, A. Airtightness of building penetrations: Air sealing solutions, durability effects and measurement uncertainty. In Proceedings of the 35th AIVC Conference “Ventilation and Airtightness in Transforming the Building Stock to High Performance”, Poznań, Poland, 24–25 September 2014; pp. 85–97. [Google Scholar]
- Kopecky, P.; Stanek, K.; Tywoniak, J. Hygro-thermal performance of wooden beam ends: Experimental investigations of uninsulated and internally insulated brick wall. In Proceedings of the E3S Web Conferences, 12th Nordic Symposium on Building Physics (NSB 2020), Tallinn, Estonia, 6–9 September 2020; Volume 172, p. 01009. [Google Scholar] [CrossRef]
- Gullbrekken, L.; Schjøth Bunkholt, N.; Geving, S.; Rüther, P. Air leakage paths in buildings: Typical locations and implications for the air change rate. In Proceedings of the E3S Web Conferences, 12th Nordic Symposium on Building Physics (NSB 2020), Tallinn, Estonia, 6–9 September 2020; Volume 172, p. 05010. [Google Scholar] [CrossRef]
- Van Linden, S.; Van Den Bossche, N. Comparative study on the feasibility of watertight face-sealed building joints under simulated wind-driven rain conditions. Build. Res. Informat. 2021, 49, 748–762. [Google Scholar] [CrossRef]
- Johnsen, I.; Andenæs, E.; Gullbrekken, L.; Kvande, T. Vapour resistance of wind barrier tape: Laboratory measurements and hygrothermal performance implications. J. Build Phys. 2022, 46, 923–940. [Google Scholar] [CrossRef]
- Langmans, J.; Desta, T.Z.; Alderweireldt, L.; Roels, S. Durability of self-adhesive tapes for exterior air barrier applications: A laboratory investigation. Int. J. Vent. 2017, 16, 30–41. [Google Scholar] [CrossRef]
- Langmans, J.; Desta, T.Z.; Alderweireldt, L.; Roels, S. Laboratory investigation on the durability of taped joints in exterior air barrier applications. In Proceedings of the 36th AIVC Conference “Effective Ventilation in High Performance Buildings”, Madrid, Spain, 23–24 September 2015; pp. 615–623. [Google Scholar]
- Francke, B.; Sudol, E. Durability of joint sealing tapes on the basis of a pre-compressed polyurethane foam. IOP Conf. Ser. Mater. Sci. Eng. 2019, 473, 012022. [Google Scholar] [CrossRef]
- Antosik, A.K.; Weisbrodt, M.; Mozelewska, K.; Czech, Z.; Piątek-Hnat, M. Impact of environmental conditions on silicone pressure-sensitive adhesives. Polym. Bull. 2020, 77, 6625–6639. [Google Scholar] [CrossRef]
- Kreiger, M.; Alvey, J.; Pagan-Vazquez, A.; Chu, D. Environmental degradation effect on airtightness of pressure-sensitive adhesive exterior housing tapes on plywood. ASHRAE Trans. 2015, 121, 130–140. [Google Scholar]
- Ylmén, P.; Hansén, M.; Romild, J. Durability of air tightness solutions for buildings. In Proceedings of the 35th AIVC Conference “Ventilation and Airtightness in Transforming the Building Stock to High Performance”, Poznań, Poland, 24–25 September 2014; pp. 268–278. [Google Scholar]
- Rudawska, A.; Wahab, M.A. Mechanical properties of adhesive joints made with pressure-sensitive adhesives. Stroj. Vestn.-J. Mech. Eng. 2021, 67, 380–388. [Google Scholar] [CrossRef]
- Ackermann, T. Alternating loads–A method for testing the durability of adhesives in airtightness layers. In Proceedings of the International Workshop: Achieving Relevant and Durable Airtightness Levels: Status, Options and Progress Needed, Brussels, Belgium, 28–29 March 2012; pp. 61–66. [Google Scholar]
- Budhe, S.; Banea, M.D.; de Barros, S.; da Silva, L.F.M. An updated review of adhesively bonded joints in composite materials. Int. J. Adhes. Adhes. 2017, 72, 30–42. [Google Scholar] [CrossRef]
- Fufa, S.M.; Labonnote, N.; Frank, S.; Bjørn, P.R.; Jelle, P. Durability evaluation of adhesive tapes for building applications. Constr. Build. Mater. 2018, 161, 528–538. [Google Scholar] [CrossRef]
- Sletnes, M.; Frank, S. Performance and durability of adhesive tapes for building applications. From product documentation to scientific knowledge (and Back Again). In Proceedings of the XV International Conference on Durability of Building Materials and Components DBMC 2020, Barcelona, Catalonia, 20–23 October 2020; pp. 269–276. [Google Scholar] [CrossRef]
- Sun, S.; Li, M.; Liu, A. A review on mechanical properties of pressure sensitive adhesives. Int. J. Adhes. Adhes. 2013, 41, 98–106. [Google Scholar] [CrossRef]
- Mapari, S.; Mestry, S.; Mhaske, S.T. Developments in pressure-sensitive adhesives: A review. Polym. Bull. 2021, 78, 4075–4108. [Google Scholar] [CrossRef]
- Czech, Z.; Milker, R. Development trends in pressure-sensitive adhesive systems. Mater. Sci.-Pol. 2005, 23, 1015–1022. [Google Scholar]
- Duncan, B.; Abbott, S.; Roberts, R. Measurement Good Practice Guide No. 26: Adhesive Tack; National Physical Laboratory: Teddington, UK, 1999. [Google Scholar]
- Linden, S.; Maroy, K.; Steeman, M.; Bossche, N.V. Tape as a means to ensure air- and watertightness of building joints: Experimental assessment. In Proceedings of the 14th International Conference on Durability of Building Materials and Components, Ghent University, Ghent, Belgium, 29–31 May 2017. [Google Scholar]
- Linden, S.; Bossche, N.V. Airtightness of sealed building joints: Comparison of performance before and after artificial ageing. Build. Environ. 2020, 180, 107010. [Google Scholar] [CrossRef]
- Jucienė, M.; Dobilaitė, V. Impact of climatic effects and various surfaces on the tack of adhesive tapes for building & construction. J. Build. Eng. 2021, 42, 102825. [Google Scholar] [CrossRef]
- William, P.; Jacobs, V.; Dolan, J.D.; Dillard, D.A.; Ohanehi, D.C. An evaluation of acrylic pressure sensitive adhesive tapes for bonding wood in building construction applications. J. Adhes. Sci. Technol. 2012, 26, 1349–1381. [Google Scholar] [CrossRef]
- Norvaišienė, R.; Burlingis, A.; Stankevičius, V. Impact of Acidic Precipitation to Ageing of Painted Facades’ Rendering: Monograph; Technologija: Kaunas, Lithuania, 2006. (In Lithuanian) [Google Scholar]
Disclaimer/Publisher’s Note: The statements, opinions and data contained in all publications are solely those of the individual author(s) and contributor(s) and not of MDPI and/or the editor(s). MDPI and/or the editor(s) disclaim responsibility for any injury to people or property resulting from any ideas, methods, instructions or products referred to in the content. |
© 2023 by the authors. Licensee MDPI, Basel, Switzerland. This article is an open access article distributed under the terms and conditions of the Creative Commons Attribution (CC BY) license (https://creativecommons.org/licenses/by/4.0/).











