Abstract
Expanded soils are widely distributed in Xinjiang, China, so roadbeds will inevitably pass through the areas of the expansive soil during road construction. While Xinjiang belongs to the seasonal frozen region, subjected to a freeze–thaw cycle, mud pumping is likely to occur in the subgrade under dynamical load. To study the dynamic properties of expansive soil for a range of freezing–thawing cycles and weathered sand contents, a series of dynamic triaxial tests were performed using a medium-scale true triaxial apparatus equipped with the cyclic loading device. And the maximum dynamic elastic modulus (Edmax) and ultimate dynamic stress amplitude (σdmax) were quantitatively analyzed by the modified Hardin–Drnevich three-parameter model, on which the expression of the damage degree under the joint action of both was established. The results indicate that the dynamic performance of expansive soil is greatly affected by freezing–thawing. Under the same weathered sand content, the maximum dynamic elastic modulus and the maximum dynamic stress amplitude of soil are inversely related to the number of freezing–thawing cycles. And, those two parameters tend to be stable after the sixth freeze–thaw cycle. Under the same number of freeze–thaw cycles, the maximum dynamic elastic modulus and the maximum dynamic stress amplitude firstly decrease and then increase with the increase in the weathered sand content. The critical dosage of weathered sand is 10%, and the strength of the improved soil reached the minimum value under this context. The damage degree model that integrates the effects of freeze–thaw cycles and the weathered sand can better predict the damage degree of soil.
1. Introduction
As a kind of high-plastic clay, expansive soil has a high bearing capacity. Due to its high content of hydrophilic clay particles (e.g., illite, montmorillonite) and strong hydrophilic and physical characteristics of water absorption expansion and water loss contraction, mud pumping and uneven settlement is caused in roads, resulting in fracture formation. Therefore, when expansive soil is used as the subgrade filler, it often needs to be improved in practical engineering. As the modified expansive soil, many scholars have conducted a lot of research showing that it is better to use lime, fly ash, cement, EPS, MICP, SLGP, etc., to improve expansive soil [1,2,3,4,5,6,7].
As a kind of difficult construction area, seasonal frozen soil areas cause great harm in actual engineering. With the increasing number of freezing–thawing cycles, the pore water inside the soil constantly undergoes phase transformation, which causes the change of the pore structure of the soil, and the macroscopic performance of the soil is degraded and the performance of the mechanical properties are reduced [8,9]. Expansive soil is a kind of porous clay with strong expansion and fast strength decay, and the deterioration effect of freeze–thaw cycles is particularly significant, so it is important to study the mechanical properties of expanded soil after freeze–thaw. Xu Lei [10] took Nanyang expansive soil as the research object and found that the influence of the freeze–thaw cycle on the mechanical properties of expansive soil increased along with the water content, especially the influence of the first cycle, and found the change rule of internal pores of soil with the increase of freezing–thawing times. Zhao Guitao’s research [11] shows that under the condition of the freeze–thaw cycle, expansive soil is under the combined influence of the drying–wetting cycle and the freezing–thawing cycle, resulting in macroscopic and microscopic cracks in the soil, and the bearing capacity is reduced. Tang [12] found that the shear modulus and the volumetric strain tend to be stable after more than seven freezing–thawing cycles during the triaxial tests under consolidation and drainage conditions. Based on the experimental results, he establishes a microscopic damage-prediction model considering the freeze–thaw action. Therefore, if expansive soil is used in seasonal frozen regions, it is necessary not only to improve the expansive soil to reduce its expansibility, but also to pay attention to the effect of the improved freezing–thawing cycle on its mechanical properties.
For the improvement of the expansive soil’s expansibility, studies have shown that the weathered sand has a better effect on the improvement of expansive soil. Weathered sand is sand and soil formed from rocks that have undergone prolonged weathering. In geotechnical engineering, the content of weathered sand in the soil body plays an important role in the engineering properties and stability. Zhuang Xinshan [13] added different amounts of weathered sand into expansive soil, and found through the no-load expansion test that weathered sand could effectively reduce the soil expansion rate. The improvement effect was proportional to the amount of weathered sand. Through the static triaxial test, it was determined that the shear strength reached its maximum value when the amount of weathered sand was at 16%. Yang Jun [14,15,16] studied the mechanical properties of weathered-sand-modified expansive soils under freeze–thaw cycles and found that the compressive properties and the frost resistance of the modified soils were significantly improved. The above research shows that weathered sand can improve the swelling and frost resistance of swelling soil at the same time, but the current research on weathered sand’s improvement of swelling soil is still focused on the aspect of static mechanics. A large number of expansive soils are distributed in Xinjiang, Harbin, and other places in China, where the temperature is widely different between day and night, and the soil is easily affected by the freeze–thaw cycle. With the continued expansion of China’s transportation network, roads will certainly pass through these areas. So, the effect of dynamic load on seasonal frozen soil needs to be taken into account to a certain extent.
Based on the freezing–thawing cycle test, dynamic triaxial tests were carried out to explore the effect of the number of freezing–thawing cycles and the content of weathered sand on the soil backbone curve and Ed-εd curve. And the change law is quantitatively analyzed by the parameters of the Hardin–Drnevich correction model. Finally, the damage model of the soil under the action of these two factors was concluded to provide a reference for practical engineering and scientific research.
2. Test Overview
2.1. Test Instrument
The dynamic static true three-axis test system used for the present study is shown in Figure 1. The dynamic triaxial test and the true triaxial test could be conducted, respectively, through the disassembly of accessories. The dynamic three-axis module of the instrument is used in the test. After the placement of the specimen into the pressure chamber, the GDSLAB V2 software can control the test parameters of the chamber, such as the surrounding pressure (0~2 MPa), counter pressure (0~1 MPa), axial force (0~20 kN), and load frequency (1~10 Hz). Through the data acquisition module of GDSLAB, the system is capable of recording the axial strain, pore pressure, volume strain, and other related physical quantities of soil specimens in real time with an accuracy of 0.0001 mm.
Figure 1.
GDS dynamic triaxial test device.
2.2. Test Materials
The test expansive soil was taken from a weakly expansive soil in a road project construction in Altay region, northern Xinjiang, China, with a sampling depth of about 2 m, and the soil sample was yellow. According to the compaction test, the optimum water content is 17% and the maximum dry density is 1.73 g/cm3. The basic physical parameter properties are shown in Table 1.
Table 1.
Basic physical parameters of expansive soil.
The weathered sand was taken from a section in Yichang, Hubei province. The coefficient of unevenness Cu was >5, the coefficient of curvature Cc > 3, and the soil was poorly graded. The relevant data is shown in Table 2.
Table 2.
Basic physical indicators of weathered sand.
2.3. Test Scheme
Remolded soil samples were used in this test. The screened expansive soil and weathered sand were put into the oven, dried at 105 °C for 24 h to remove moisture, and then put into the drying oven for cooling and reserving. Taking the quality as the index, according to the dosages of 0%, 10%, 20%, and 30%, respectively, the weathered sand was mixed into the expansive soil and adjusted to the best moisture content. Till the size distribution of clay particles was uniform, the mixture was put in a constant temperature and humidity curing box for 24 h, so that the moisture between clay particles could be fully transferred.
The soil sample was compacted into 5 layers using the layered compaction method. At the same time, to avoid the damage caused by the weak surface due to the layering of the specimen, the contact surface of each layer was required to be shaved by a scraper in the compaction process. The final cylindrical specimen with a diameter of 50 mm and a height of 100 mm was made, and the dry density of the expanded soil was 1.73 g/cm3 at this time. Because of the small permeability coefficient of the expansive soil, the vacuum saturation method was used in the test. After 7 h of air pumping, the specimens were placed in water for 12 h. The specimens were then covered with impermeable plates to prevent water evaporation.
As shown in Figure 2, the high- and low-temperature-alternating test chamber was used in the freeze–thaw test to simulate the climate environment of Xinjiang. Taking into account the average local temperature, −20 °C was set as the freezing temperature, 20 °C was the melting temperature, the freeze–thaw times of 12 h each, and 24 h was a freeze–thaw cycle. Considering that the lateral deformation of foundation soil is much smaller than the longitudinal deformation when it bears the load in actual engineering, it was approximately considered that there was no lateral deformation the of soil. In the process of freezing and thawing, the soil sample is subjected to lateral constraints through the saturator [17]. Also, to keep the moisture content of the specimens stable during freeze–thaw, it was necessary to wrap the polyethylene film around the specimen to prevent the evaporation of water. According to the relevant studies, the mechanical properties of the soil stabilized after five freeze–thaw cycles [18], so the numbers of freeze–thaws selected for the test were 0, 1, 3, 6, and 9, where the 0 freeze–thaw specimen was unfrozen soil.
Figure 2.
High- and low-temperature-alternating test chamber.
This dynamic triaxial test was carried out under consolidation without drainage conditions with the consolidation ratio Kc = 1. Considering the average depth of the frozen soil was 1.6 m, the calculated consolidation envelope pressure was selected to be 50 kPa, and the consolidation was considered to meet the specification requirements when the drainage volume was less than 0.1 cm3 within 1 h. Subsequently, cyclic loading was carried out, and the cyclic load was divided into 8 levels (0.3σ3~1.0σ3) with 10 cycles per level, and the loading method is shown in Figure 3.
Figure 3.
Diagram of step-by-step loading.
After the completion of each stage, the pore water pressure valve was briefly opened to prevent the influence of the pore water pressure generated by the upper load on the lower level loading. Considering the traffic load, the vibration frequency was set for 1 Hz to explore the dynamic characteristics of soil under small deformation. The detailed test scheme is shown in Table 3.
Table 3.
Test plans of dynamic triaxial.
3. Test Results and Analysis
The stress–strain relationship curve with centrosymmetric characteristics formed in the same load cycle is the hysteresis curve. The typical hysteresis curve form and the related dynamic characteristic parameters are shown in Figure 4.
Figure 4.
Schematic diagram of kinetic parameters.
As can be seen from Figure 4, the backbone curve of dynamic stress–dynamic strain can be obtained by connecting the vertices of hysteresis loops at various levels, which reflects the nonlinear characteristics of soil deformation under the action of dynamic load.
Currently, the nonlinear characteristics of the backbone curve can often be described by the Hardin–Drnevich hyperbolic model as follows:
where a > 0, b > 0, and both are material constants, and the ultimate dynamic stress amplitude σdmax and the maximum dynamic modulus of elasticity Edmax have the following mathematical relationship:
where σdmax is the limit value of dynamic stress amplitude σd when the dynamic strain εd tends to be infinity. Edmax is the maximum dynamic modulus of elasticity, that is, the initial dynamic modulus of elasticity obtained when the dynamic strain εd tends to be 0.
According to X.Z. Ling’s related research on the dynamic properties of freeze–thaw sandy soils [19], when the traditional Hardin–Drnevich hyperbolic model is used to describe the mechanical properties of sandy soils after freeze–thaw, the fitted curve fits better with the actual test data in the strain range of 0.001–0.003, but outside this range, the Hardin model cannot reflect the experimental data relationship between stress and strain of the frozen compacted sand well. Therefore, this paper adopts the three-parameter modified Hardin–Drnevich hyperbolic model proposed by X.Z. Ling to describe the nonlinear characteristics of the soil dynamic properties. The Hardin hyperbolic model was modified as follows:
where a =1/Edamx, b =1/σdamx, c is the correction factor to improve the fit accuracy of the model.
Table 4 shows the fitted parameters, and the correlation coefficients R2 are all greater than 0.99, which is a good fit.
Table 4.
Backbone curve fitting parameters.
3.1. Freeze–Thaw Cycle Effects
3.1.1. Backbone Curve
The average value of the hysteresis circle vertices of the 4th, 5th, 6th, and 7th turns of each loading level is selected, and the average value of the stress–strain vertices under eight levels of loading is connected to obtain the backbone curve under the working condition. The backbone curves of the soil under the influence of freeze–thaw cycles at the four sand blending rates are shown in Figure 5. After the freeze–thaw cycles, the backbone curves of the soil still met the nonlinear characteristics. With the increase of freeze–thaw cycles, the dynamic strain gradually increases under the same dynamic stress amplitude, and the backbone curve shows a downward trend in position, and the soil strength decreases. The first freeze–thaw cycle had the most obvious effect on the backbone curve with the largest decrease; after the third freeze–thaw cycle, the decreasing trend slowed down; after the sixth freeze–thaw cycle, the stress–strain curve stabilized, which was very close to the backbone curve of the soil sample after the ninth freeze–thaw cycle.
Figure 5.
Variation curve of dynamic stress amplitude of weathered-sand-modified expansive soil under different freeze–thaw cycles.
The ultimate dynamic stress amplitude σdmax in the modified Hardin–Drnevich hyperbolic model can reflect the dynamic strength of the soil to some extent. So, in order to quantitatively analyze the effect law of soil dynamic properties under freeze–thaw cycles, the relationship curve between the fitted parameter σdmax and the number of freeze–thaws is made, as shown in Figure 6a. As can be seen from the figure, after one freeze–thaw cycle, the ultimate dynamic stress magnitude of the four weathered sand content soil samples decreased by 11.62%, 16.36%, 9.30%, and 17.75%, respectively, with an average decrease of 13.76%; when the number of freeze–thaw cycles was three, six, and nine, the average decrease of the ultimate dynamic stress magnitude was 12.68%, 3.33%, and 1.77%, respectively, compared with the last time; the ultimate dynamic stress magnitude of the soil samples that experienced nine freeze–thaw cycles decreased by 20.37% compared with that of the unfrozen soil samples.
Figure 6.
Fitting parameters vs. number of freeze–thaw cycles.
3.1.2. Dynamic Elastic Modulus
The dynamic elastic modulus under the current dynamic load can be calculated by selecting the average value of dynamic stress and strain at both ends of the fourth to seventh hysteretic loop of each load stage from the following equation:
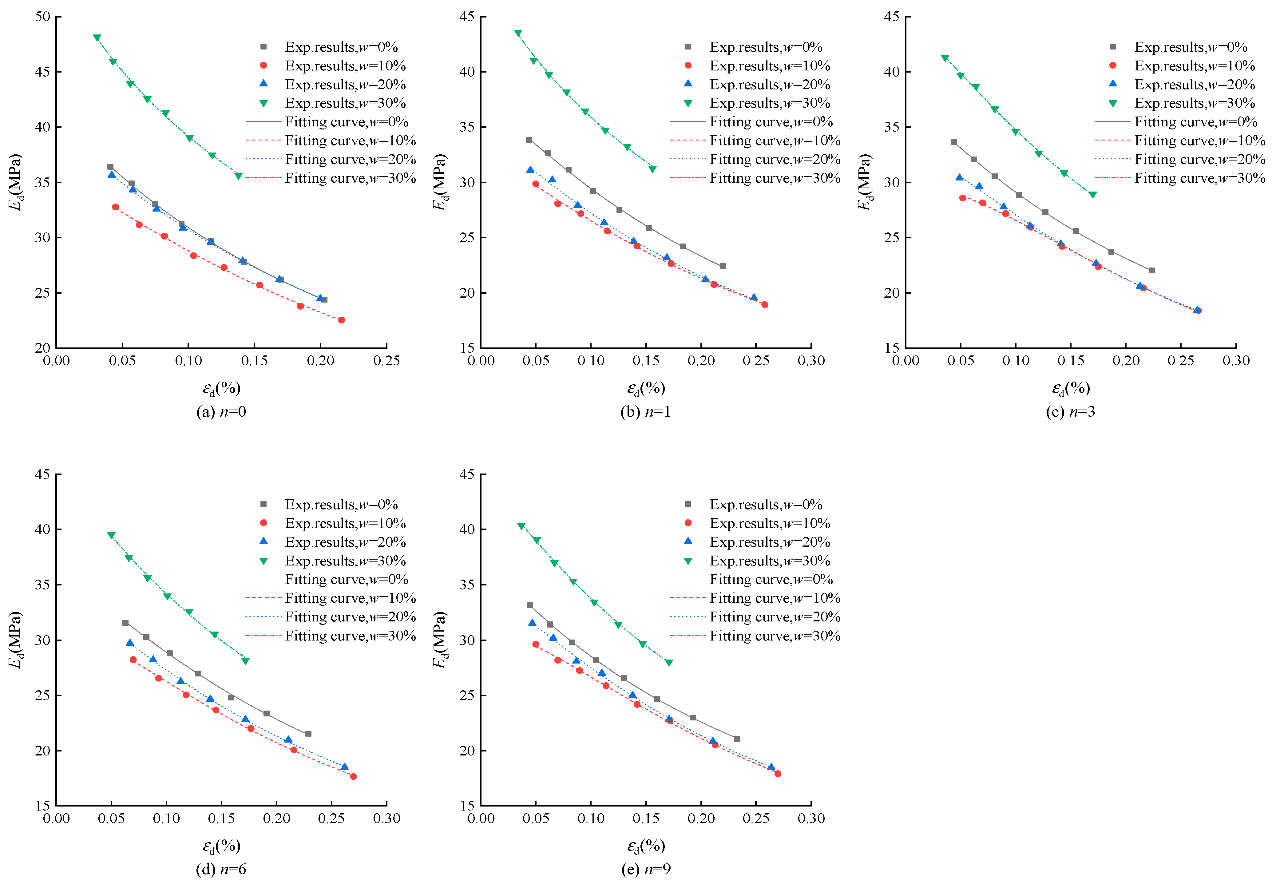
where, σmax and σmin are the maximum and minimum dynamic stresses on the hysteresis loop, εmax and εmin are the maximum and minimum dynamic strains on the hysteresis loop. The Ed-εd curve is shown in Figure 7.
Figure 7.
Variation curve of dynamic elastic modulus of weathered sand modified expansive soil under different freeze–thaw cycles.
From Figure 7, it can be seen that the dynamic elastic modulus of a single specimen decreases rapidly with the increase of dynamic strain under the condition that the dynamic load is loaded step by step, and the slope of the curve gradually tends to be flat. The dynamic elastic modulus of the specimens is also affected by the times of freezing and thawing. The accumulation of the times of freezing and thawing makes the Ed-εd curve gradually shift downward. Under the same dynamic strain amplitude, the dynamic elastic modulus of the soil sample that has experienced multiple freezing and thawing is smaller. These are, reflected in the actual project, the decreases of the strength and the bearing capacity. The Ed-εd curve of the soils with 10% and 20% weathered sand is more closely distributed after freezing and thawing. In Figure 6b, the variation curves of maximum dynamic elastic modulus with the number of freeze–thaw cycles for specimens with different weathered sand content is shown. After one, three, six, and nine freeze–thaw cycles, the average change in modulus was −9.35%, −3.96%, 0.01%, and −0.74%, respectively, for the four weathered sand contents. The trend of the maximum dynamic elastic modulus is highly similar to that of the ultimate dynamic stress amplitude: after one freeze–thaw, the modulus change is the largest, and then the modulus decrease slows down, and the initial dynamic elastic modulus fluctuates around the stable value after six freeze–thaws.
In summary, the mechanical properties of expansive soils are highly correlated with freeze–thaw cycles. The freeze–thaw cycles cause changes in the pore structure inside the soil at the microscopic level, which leads to the changes in the soil structure at the macroscopic level, and ultimately leads to the decrease in the dynamic properties of the expansive soil. The specimens without freeze–thaws cycles are stronger because of less pore space and reduced regular arrangement of soil particles. The soil is extruded and compacted under load, and the load is borne by the soil skeleton and pore water together. For freeze–thaw soil samples, during the low-temperature freezing process, the pore water in the saturated specimen is frozen into ice by the low-temperature influence, and the volume expansion generates the freeze expansion force to squeeze the surrounding soil particles, which causes dislocation and damage; during the high-temperature thawing process, the ice crystals in the pore space melt and the volume becomes smaller, and this phenomenon is called “freeze expansion and thawing” in macroscopic terms [20]. During a freeze–thaw cycle, the volume difference resulting from the phase change of pore water loosens the soil structure and reduces the strength of the soil. The first freezing–thawing caused the increase of macropores, so it had the most significant effect on strength. With the accumulation of freezing–thawing cycles, soil damage leads to an increase in the number of small particles. After the sixth freezing–thawing, due to the agglomeration, small particles formed aggregates, the contact between soils increased and the strength gradually stabilized [21].
3.2. Impact of Weathered Sand
3.2.1. Backbone Curve
Figure 8 shows the improved backbone curve of weathered sand under the same number of freeze–thaw cycles. In the five freeze–thaw conditions, the backbone curves of soil samples with 10% sand admixture are the lowest, while the backbone curves gradually rise when the weathered sand content exceeds 10%. When the sand content is 30%, the backbone curve is above the initial position, analysis shows that the pore space in the soil body decreases gradually with the increase of sand doping, and the pore space of the soil body has been filled with weathered sand when the sand content is 30%, forming a complete supporting skeleton, which makes the particles embedded more tightly, and, therefore, can withstand greater loads. As can be from the figure, compared with the plain expansive soil, the mean amplitude changes of ultimate dynamic stress of soil samples with three kinds of weathered sand contents are −26.86%, −15.50%, and 10.76%, respectively.
Figure 8.
Relationship between the dynamic stress amplitude and dynamic strain at different freeze–thaw cycles.
3.2.2. Dynamic Modulus of Elasticity
Figure 9 shows the Ed-εd curves of soil samples with different weathered sand admixtures under a certain number of freeze–thaws. Under the same strain, the initial dynamic elastic modulus reaches the minimum value when the weathered sand admixture is 10%, and then increases gradually with the increase of the sand admixture rate. It can be seen that the change trend is similar to the σd-εd curve.
Figure 9.
Relationship between the dynamic elastic modulus and dynamic strain at different freeze–thaw cycles.
As can be seen from Figure 10b, compared with the plain soil sample, the strength of modified soil with 10% weathered sand content decreases by 16.89%, the strength of modified soil with 20% weathered sand content decreases by 7.02%, and the strength of modified soil with 30% weathered sand content increases by 22.24%. It can be seen that 10% is the critical content of the modified expansive soil: the content of the modified expansive soil is inversely correlated to the dynamic modulus of the modified expansive soil when the sand content is in the range of 0~10%, the content of the modified expansive soil is positively correlated to the dynamic modulus of the modified expansive soil when the sand content is in the range of 10~30%.
Figure 10.
Fitting parameter vs. weathered sand content.
When the sand admixture rate is less than 10%, due to the admixture of weathered sand, the cohesive force of the soil is reduced, and the content of clay particles is much higher than the content of the weathered sand particles. At this time, the weathered sand is suspending in the soil and fails to form a mutually embedded skeleton structure, and this poor structure to a certain extent makes the mechanical properties of the soil deteriorate after bearing the load; when the proportion of the weathered sand is greater than the critical mixture, 10%, the continued increase of the sand mixture rate causes the pores in the soil to be gradually filled with weathered sand [22]. At the same time, the weathered sand particles are embedded with each other to form a dense spatial skeleton. After bearing the load, the weathered-sand-amended expansive soil shows better dynamic properties than the unamended soil after exceeding a certain critical sand incorporation rate because the progressive filling of the skeletal structure inhibits the sliding dislocation between particles and takes up part of the load.
4. Damage Degree Analysis
The strength of expansive soils is significantly influenced by the action of two factors: freeze–thaw cycles and weathered sand content. In order to investigate the change pattern of the strength of expansive soils under the combined effect of both conditions, a model is developed here to predict the degree of soil damage with the initial dynamic elastic modulus as the reference index.
Taking the maximum dynamic elastic modulus of soil samples that have not undergone freeze–thaw cycles as a nondestructive criterion, the degree of the damage caused by freeze–thaw cycles to Edmax is defined as according to the strain equivalence assumption proposed by J. Lemaitre [23,24,25], which represents the ratio of the strength lost to the original strength after n freeze–thaw cycles times for soils mixed with w content of weathered sand, as the following equation shows:
where Edmax(n,w) denotes the maximum dynamic elastic modulus of a modified expansive soil with weathered sand content of w after n times of freezing–thawing.
According to the calculation results, making the damage degree versus the freeze–thaw cycle curve as shown in Figure 11, the figure for the damage degree of the soil under the n-th freeze–thaw can be found using the following equation to fit:
where α and β are the fitting parameters, the fitting parameters of the four sand blending rates are averaged to obtain the fitting parameters under the influence of the number of freeze–thaw cycles, and the results are as follows:
Figure 11.
Curve of damage degree with the number of freezing and thawing.
The effect factor of weathered sand admixture w on strength under n freeze–thaw cycles is defined as , and can be calculated from the following equation:
> 1 indicates the increase in strength and > 1 indicates the decrease in strength. The relationship with the sand mixing rate is shown in Figure 12.
Figure 12.
Variation curve of influence factor with the number of freezing and thawing.
It can be seen that the two satisfy a parabolic relationship, and a quadratic polynomial fit of these data results in the following equation:
The R2 values after the fit was completed were all greater than 0.99, and the fitting effect was good. The parameters under the 5 freeze–thaw conditions were taken as the average values, and the fitted parameters of the effect of sand blending rate on strength were finally obtained, i.e.,
In summary, under the joint influence of freeze–thaw action and weathered sand improvement, the equation of calculating the initial dynamic elastic modulus damage degree of the soil is as follows:
Substituting the parameter α, β, η, ζ, into the equation, i.e.,
To verify the fitting accuracy of the damage calculation formula, the value of the initial dynamic elastic modulus was calculated by Equation (13), and then compared with the real value of the initial elastic modulus in Table 2; the average error of 20 sets of data was found to be 1.59%, and the maximum error appeared in the soil sample with 20% weathered sand content which had undergone freeze–thaw once. The calculated value is 361.0108 MPa and the actual value is 346.4378 MPa, so the error reached was 4.21%. Taken together, the accuracy of the predicted damage degree value of Equation (12) meets the engineering requirements.
5. Conclusions
(1) The results show that the three-parameter modified Hardin–Drnevich hyperbolic model can better describe the nonlinear characteristics of expanded soils after freezing–thawing. The mechanical properties of the expansive soil are more sensitive to the changes in the number of freeze–thaw cycles, but the sensitivity decreases continuously with the accumulation of the number of freeze–thaw cycles. The effect of the first five freeze–thaw cycles is large, and the fitted dynamic property parameters tend to stable values after the sixth one.
(2) The critical dosage of weathered sand is 10%. As the content of weathered sand ranges from 0 to 10%, the dynamic characteristics of expansive soil are negatively correlated with the content of weathered sand. In the range of 10% to 30%, the dynamic characteristics of expansive soil are positively correlated with the content of weathered sand.
(3) To a certain extent, the amplitude of ultimate dynamic stress and the initial dynamic elastic modulus can reflect the changes in the backbone curve and curve of soil. Both of them have similar variation laws under the influence of freeze–thaw times and weathering sand admixture.
(4) Through regression fitting, the damage degree prediction equation of soil under the influence of freeze–thaw cycles and the strength prediction equation of soil under the effect of weathered sand improvement were established, respectively, and on this basis, the damage degree prediction model of soil under the joint action of dual factors was further established. By verifying the fitting accuracy of the damage calculation formula, the average error of 20 sets of data was found to be 1.59%, which provides a reference for the construction of swelling soil in the actual seasonal frozen soil area.
Author Contributions
Conceptualization, X.Z. and B.Y.; methodology, X.Z.; software, X.Z. and B.Y.; validation, B.Y. and H.J.; formal analysis, B.Y. and H.J. All authors have read and agreed to the published version of the manuscript.
Funding
The authors appreciate the funding of the National Natural Science Foundation of China (Grant Nos. 51978248, 51708190).
Institutional Review Board Statement
Not applicable.
Informed Consent Statement
Not applicable.
Data Availability Statement
The data that support the findings of this study are available from the corresponding author upon reasonable request.
Conflicts of Interest
The authors declare no competing interests.
Nomenclature
| σdmax | ultimate dynamic stress amplitude | Edmax | maximum elastic modulus |
| ρ1 | Expansive soil natural density | a, b | material constants |
| W1 | Expansive soil natural moisture content | c | correction factor |
| WL | Liquid limit | Kc | consolidation ratio |
| WP | Plastic limit | σ3 | confining pressure |
| Gs | Relative density of soil particles | R2 | Fitting degree |
| Fs | Free expansion rate | σmax | dynamic stress maximum |
| ρ2 | Weathered sand natural density | σmin | dynamic stress minimum |
| W2 | Weathered sand natural moisture content | εmax | dynamic strain maximum |
| Cu | Coefficient of curature | εmin | dynamic strain minimum |
| Cc | Coefficient of uniformity | n | Number of freeze–thaw cycles |
| γ | Unit weight of soil | w | Weathered sand content |
| A | Activity index | Degree of damage under n freeze–thaw cycles | |
| σd | dynamic stress | α, β | Fitting parameter of |
| εd | dynamic strain | Strength factor at w weathered sand content | |
| Ed | elastic modulus | ζ, η | Fitting parameter of |
References
- Ahmadi Chenarboni, H.; Hamid Lajevardi, S.; MolaAbasi, H.; Zeighami, E. The effect of zeolite and cement stabilization on the mechanical behavior of expansive soils. Constr. Build. Mater. 2021, 272, 121630. [Google Scholar] [CrossRef]
- Lu, Y.; Liu, S.; Zhang, Y.; Li, Z.; Xu, L. Freeze-thaw performance of a cement-treated expansive soil. Cold Reg. Sci. Technol. 2020, 170, 102926. [Google Scholar] [CrossRef]
- Indiramma, P.; Sudharani, C.; Needhidasan, S. Utilization of fly ash and lime to stabilize the expansive soil and to sustain pollution free environment—An experimental study. Mater. Today Proc. 2020, 22, 694–700. [Google Scholar] [CrossRef]
- Gireesh Kumar, P.; Harika, S. Stabilization of expansive subgrade soil by using fly ash. Mater. Today Proc. 2021, 45, 6558–6562. [Google Scholar] [CrossRef]
- Liu, Y.; Zhou, G.; Su, Y. Experimental study of swell-shrinking characteristics of the mixture of eps granules and expansive soil. Ind. Constr. 2018, 40, 133–137. [Google Scholar] [CrossRef]
- Tian, X.; Xiao, H.; Li, Z. Experimental Study on the Strength Characteristics of Expansive Soils Improved by the MICP Method. Geofluids 2022, 2022, 3089820. [Google Scholar] [CrossRef]
- Jalal, F.E.; Zahid, A.; Iqbal, M. Sustainable use of soda lime glass powder (SLGP) in expansive soil stabilization. Case Stud. Constr. Mater. 2022, 17, e01559. [Google Scholar] [CrossRef]
- Li, T.; Kong, L.; Guo, A. The deformation and microstructure characteristics of expansive soil under freeze–thaw cycles with loads. Cold Reg. Sci. Technol. 2021, 192, 103393. [Google Scholar] [CrossRef]
- Zheng, Y.; Ma, W.; Bing, H. Impact of freezing and thawing cycles on structure of soils and its mechanism analysis by laboratory testing. Rock Soil Mech. 2015, 36, 1282–1287+1294. [Google Scholar] [CrossRef]
- Xu, L.; Liu, S.; Lu, Y.; Song, Y.; Yang, Q. Physico-mechanical properties of expansive soil under freeze-thaw cycles. Rock Soil Mech. 2016, 37, 167–174. [Google Scholar] [CrossRef]
- Zhao, G.; Zou, W.; Han, Z.; Wang, D.; Wang, X. Evolution of soil-water and shrinkage characteristics of an expansive clay during freeze-thaw and drying-wetting cycles. Cold Reg. Sci. Technol. 2021, 186, 103275. [Google Scholar] [CrossRef]
- Tang, L.; Cong, S.; Ling, X.; Xing, W.; Nie, Z. A unified formulation of stress-strain relations considering micro-damage for expansive soils exposed to freeze-thaw cycles. Cold Reg. Sci. Technol. 2018, 153, 164–171. [Google Scholar] [CrossRef]
- Zhuang, X.; Wang, Z. Experimental Study on Non-load Swelling Rate and Strength Characteristics of Expansive Soil Modified by Weathered Sand. Highway 2018, 63, 248–252. [Google Scholar]
- Yang, J.; Liu, S.; Zhang, G. Study on influence of freeze-thaw cycles on shrinkage of weathered sand-improved expansive soil. J. Hydroelectr. Eng. 2016, 35, 75–81. [Google Scholar] [CrossRef]
- Yang, J.; Lei, J.; Zhang, G. Influence of freeze-thaw cycles on the unconfined compressive strength of expansive soil improved by weathered sand. J. Yangtze River Sci. Res. Inst. 2016, 33, 83–88. [Google Scholar] [CrossRef]
- Yang, J.; Tong, L.; Xu, W.; Zhang, G. Laboratory Research on Effect of freeze-thaw cycles to shear strength of weathered sand improved with expansive soil. J. Eng. Geol. 2015, 23, 65–71. [Google Scholar] [CrossRef]
- Zheng, Y.; Jin, Q.; Cui, X.; Zhang, H.; Liu, C.; Zhang, J. Dynamic behavior and meso-damage evolution of saturated saline silt from yellow river flooded area under freeze-thaw cycle. China J. Highw. Transp. 2020, 33, 32–44. [Google Scholar] [CrossRef]
- Sun, J.; Gong, M.; Xiong, H.; Gan, L. Experimental study of the effect of freeze-thaw cycles on dynamic characteristics of silty sand. Rock Soil Mech. 2020, 41, 747–754. [Google Scholar] [CrossRef]
- Ling, X.Z.; Zhang, F.; Li, Q.L.; An, L.S.; Wang, J.H. Dynamic shear modulus and damping ratio of frozen compacted sand subjected to freeze–thaw cycle under multi-stage cyclic loading. Soil Dyn. Earthq. Eng. 2015, 76, 111–121. [Google Scholar] [CrossRef]
- Huang, Y.; Chen, Y.; Zhu, X.; Wu, Z.; Zhu, R.; Wang, S.; Wu, M. Experimental study and micro-mechanism analysis of freeze-thaw performance of expansive soils improved by phase-change materials. Chin. J. Geotech. Eng. 2021, 43, 1994–2002. [Google Scholar]
- Zhang, Z.; Ma, W.; Qi, J. Structure evolution and mechanism of engineering properties change of soils under effect of freeze-thaw cycle. J. Jilin Univ. (Earth Sci. Ed.) 2013, 43, 1904–1914. [Google Scholar] [CrossRef]
- Huang, Y.; Zhuang, X.; Zhao, H. Experimental study on dynamic elastic modulus of expansive soil improved by weathered sand. Value Eng. 2020, 39, 220–221. [Google Scholar]
- Lemaitre, J. A Course on Damage Mechanics; Springer Science & Business Media: Berlin/Heidelberg, Germany, 2012. [Google Scholar]
- Zhu, X.; Cai, Z.; Huang, Y.; Zhang, C.; Guo, W. Research on mechanical properties and damage evolution law of expensive soils under the cyclic action of coupling wetting-drying and freeze-thaw. Chin. J. Rock Mech. Eng. 2019, 38, 1233–1241. [Google Scholar] [CrossRef]
- Cui, H.; Liu, J.; Zhang, L.; Li, Z. Research on damage mechanics of modified-soil in cold regions subgrade coupling action of freeze-thaw and load. J. Glaciol. Geocryol. 2016, 38, 1183–1188. [Google Scholar] [CrossRef]
Disclaimer/Publisher’s Note: The statements, opinions and data contained in all publications are solely those of the individual author(s) and contributor(s) and not of MDPI and/or the editor(s). MDPI and/or the editor(s) disclaim responsibility for any injury to people or property resulting from any ideas, methods, instructions or products referred to in the content. |
© 2023 by the authors. Licensee MDPI, Basel, Switzerland. This article is an open access article distributed under the terms and conditions of the Creative Commons Attribution (CC BY) license (https://creativecommons.org/licenses/by/4.0/).











