Next Article in Journal
A Low-Brightness Image Enhancement Algorithm Based on Multi-Scale Fusion
Next Article in Special Issue
Research on Suitability Evaluation of Urban Engineering Construction Based on Entropy Weight Hierarchy-Cloud Model: A Case Study in Xiongan New Area, China
Previous Article in Journal
Hybrid Detection Technique for IP Packet Header Modifications Associated with Store-and-Forward Operations
Previous Article in Special Issue
Geo-Environment Suitability Evaluation for Urban Construction in Rongcheng District of Xiong’an New Area, China
 
 
Font Type:
Arial Georgia Verdana
Font Size:
Aa Aa Aa
Line Spacing:
Column Width:
Background:
Article

Suitability Assessment of Multilayer Urban Underground Space Based on Entropy and CRITIC Combined Weighting Method: A Case Study in Xiong’an New Area, China

1
Chinese Academy of Geological Sciences, No. 26 Baiwanzhuang Street, Beijing 100037, China
2
Tianjin Center, China Geological Survey, No. 4 Dazhigu 8th Road, Tianjin 300170, China
3
Xiong’an Urban Geological Research Center, China Geological Survey, No. 4 Dazhigu 8th Road, Tianjin 300170, China
*
Author to whom correspondence should be addressed.
Appl. Sci. 2023, 13(18), 10231; https://doi.org/10.3390/app131810231
Submission received: 8 August 2023 / Revised: 4 September 2023 / Accepted: 7 September 2023 / Published: 12 September 2023

Abstract

:
Suitability assessment is an essential initial step in the scientific utilization of underground space. It plays a significant role in providing valuable insights for optimizing planning and utilization strategies. Utilizing urban underground space has the potential to enhance the capacity of urban infrastructure and public service facilities, as well as mitigate issues such as traffic congestion and land scarcity. To effectively plan and utilize urban underground space, it is crucial to conduct a suitability assessment. This assessment helps identify the factors that influence the utilization of underground space and their impacts, offering guidance on avoiding unfavorable conditions and ensuring the safety of planned underground facilities. To achieve objective and reasonable evaluation results, this paper proposed an assessment method that combines entropy and CRITIC (CRiteria Importance Through Intercriteria Correlation) weighting. Taking Xiong’an New Area as a study area, a suitability assessment indicator system for underground space was established. The system included criteria indicators and sub-criteria indicators. By analyzing the weights, the study identified the difference of suitability and critical affecting factors for shallow, sub-shallow, sub-deep, and deep underground space. The results showed that deep layers had better suitability than shallow layers in the study area. The regions with inferior and worse suitability were mostly located around Baiyangdian Lake, with proportions of acreage at 54.69% for shallow layer, 42.06% for sub-shallow layer, 41.69% for sub-deep layer, and 42.03% for deep layer. Additionally, the dominant affecting factors of suitability varied in different layers of underground space. These findings provide valuable evidence for the scientific planning and disaster prevention of underground space in Xiong’an New Area, and also serve as references for studying suitability in other areas.

1. Introduction

Due to rapid urbanization, many cities are facing saturation in the utilization of aboveground land, leading to problems such as traffic congestion and land resource shortage [1,2]. To accommodate urban sustainable development, the utilization of underground space has emerged as an efficient means to expand urban space [3,4,5]. Therefore, integrated planning that includes both aboveground and underground space is considered an optimal approach [6,7]. Unlike aboveground space, underground space is a non-renewable resource that is difficult to transform once built into some kind of infrastructure. As a result, conducting suitability assessment of underground space before urban planning becomes particularly significant.
Existing research shows that, as the carrier of underground space, the geological environment plays a crucial role in the utilization of underground space [8]. Understanding how the geological environment constrains the use of underground space and identifying the geological factors that affect it can help in avoiding or transforming unfavorable geological conditions. In particular, in newly building cities, the utilization of underground space is primarily influenced by geological factors rather than existing surface buildings and underground infrastructure, unlike in already built-up cities [9]. Assessing suitability can provide valuable insights for optimizing planning and utilization strategies of underground space. Therefore, studying the geological suitability of underground space holds significant theoretical and practical importance.
Existing studies on the suitability of underground space primarily rely on geological analysis, which is an essential and valid method [10,11]. The assessment system for the suitability of urban underground space (UUS) incorporates various geological factors, which differ depending on the region’s geological characteristics [12,13,14]. These factors typically include active faults, land subsidence, groundwater level, bearing capacity of soils, compression of soils, ground elevation, sands liquefaction, soft soils [15,16,17,18]. However, while researchers generally agree on the geological factors that affect the suitability of underground space in the same study area, they may differ in the weights assigned to these factors. Therefore, the critical issue lies in selecting an assessment method that incorporates reasonable indicator weights. Various methods have been developed to analyze the suitability of underground space, including AHP (analytic hierarchy process) [19,20,21], entropy [22,23,24], neural network [25,26], fuzzy mathematics [27,28,29], TOPSIS (Technique for Order Preference by Similarity to Ideal Solution) [16,30], etc. The combined application of different methods has been shown to be more reasonable [31,32,33], considering that each method has its own advantages and disadvantages [34,35]. The critical issues in the selection of an assessment method are the objectivity of weights, correlation, discreteness, and comparative intensity of affecting factors. In this paper, an entropy and CRITIC (Criteria Importance Through Intercriteria Correlation) combined weighting method was applied to obtain reasonable weights. The entropy method, derived from information theory [36], was used to derive objective weights but focused on discreteness while ignoring correlation and comparative intensity of data [11,37]. However, the CRITIC method can effectively compensate for this deficiency [38,39,40]. Therefore, the combination of these two methods ensures the rationality of the objective weight of the selected indicators.
Consequently, taking Xiong’an New Area, a newly planned city, as a case study, this research established a multilayer assessment indicator system for the underground space. The study also identified the suitability and critical affecting factors of underground space. It is important to note that this paper specifically focused on the geological characteristics that affect the utilization of urban underground space (UUS), while other socioeconomic factors were not considered.

2. Study Area

The Xiong’an New Area, established as a national new district in 2017, is located in the eastern alluvial plain of the Taihang Mountains, at the central part of the North China Plain. It covers an area of 1770 km2 and mainly consists of Rongcheng County, Anxin County, and Xiongxian County (Figure 1) [41]. Geographically, these counties are located within Hebei Province. The ground elevation in the area is less than 26 m, and the terrain is relatively flat. The study area is characterized by Quaternary deposits with a depth of over 100 m [42]. It is situated in the Jizhong platform depression, where buried faults are relatively well-developed, but modern activities are very weak [43]. The climate of the study area falls under the warm temperate continental monsoon zone, with an average annual temperature of 12.1 °C, average precipitation of 478 mm, and a maximum evaporation of 1762 mm [44,45]. Additionally, the area is home to Baiyangdian Lake, the largest freshwater wetland in the North China Plain [46].
Furthermore, in accordance with the Planning Outline of Xiong’an New Area, the urban underground space will be utilized in an orderly manner based on different depth levels. These depth levels include the shallow layer (L1: 0~−15 m), sub-shallow layer (L2: −15~−30 m), sub-deep layer (L3: −30~−50 m), and deep layer (L4: −50~−100 m). The shallow and sub-shallow layers will be actively exploited, while the sub-deep and deep layers will be appropriately utilized.

3. Materials and Methods

3.1. Establishment of Suitability Assessment Frame

During the initial phase of assessing the suitability of urban underground spaces, a system of assessment indicators was developed by analyzing geological factors. Figure 2 illustrates four types of criteria indicators: topography, geotechnical characteristics, hydrogeological conditions, and adverse geological phenomena. These criteria indicators include various sub-criteria indicators and were considered in the suitability assessment. Some of these indicators are positive, such as geotechnical characteristics, where a larger value indicates better suitability of urban underground spaces. On the other hand, some indicators are negative, such as adverse geological phenomena, which indicate the opposite. To obtain comprehensive evaluation results, data on sub-criteria indicators from multiple layers should be obtained beforehand. Topography indicators, including ground elevation, were obtained from DEM (Digital Elevation Model) measurements. Geotechnical characteristics, such as bearing capacity and compression modulus of soils, were determined through standard penetration tests, shear tests, and geotechnical tests conducted in engineering geological boreholes. Hydrogeological conditions, such as groundwater buried depth, were measured in the field through groundwater level measurements, while aquifer thickness was inferred from lithology data obtained from geological boreholes. Adverse geological phenomena, such as land subsidence rate, were measured using InSAR (Interferometric Synthetic Aperture Radar) remote sensing. Sands liquefaction index was determined through standard penetration tests conducted in the engineering geological boreholes, and chemical corrosion of groundwater and soils was assessed through chemical experiments. All the aforementioned work was carried out by the China Geological Survey project.
The relationships among various indicators were analyzed using entropy and CRITIC methods to determine the combined weights that represent the significance of different indicators. These indicator weights were then input into the evaluation model, which was the weighted average comprehensive index model, to calculate the comprehensive indexes of geological suitability. The final maps of grading evaluation for the multilayer UUS were generated using ArcGIS 10.8 software.

3.2. Establishment of Assessment Model

The suitability of underground space in Xiong’an New Area is evaluated using the weighted average comprehensive index model. The comprehensive index, CI, is obtained through the assignment of scores to indicators and calculation of indicator weights. The assessment model is as follows:
C I = j = 1 n k j · w j , j = 1 , 2 , , n
where CI is the comprehensive index, wj is the indicator weight, kj is the score assignment of the indicator, and n is the number of indicators.

3.3. Calculation of the Entropy-CRITIC Combined Weights

3.3.1. Entropy Weighting

(1)
Establish an initial assessment indicators matrix, X.
X = (Xij)m×n
where m is the number of evaluating objects, n is the number of indicators, i is the i-th object, and j is the j-th indicator.
(2)
Construct a normalization matrix,  Y .
Y = ( Y i j ) m × n
where  Y ij satisfies the following Equations (3) or (4):
Y i j = X i j m i n X j m a x X j m i n X j .
Here, j is a positive indicator.
Y i j = m a x X j X i j m a x X j m i n X j .
Here, j is a negative indicator.
(3)
Calculate the contribution of the i-th object to the j-th indicator, Pij.
P i j = Y i j i = 1 m Y i j
(4)
Calculate the entropy value of the j-th indicator, Ej.
E j = k i = 1 m P i j   l n P i j
where k = 1/lnm.
(5)
Calculate the otherness coefficient of the j-th indicator, Gj.
Gj = 1 − Ej
(6)
Calculate the entropy weight coefficient of the j-th indicator, vj.
v j = G j j = 1 n G j

3.3.2. CRITIC Weighting

(1)
Based on Equation (2), the standard deviation of the j-th indicator, Sj, is calculated.
S j = i = 1 m ( Y i j Y ¯ j ) 2 n 1
(2)
Based on Equation (2), the correlation coefficient between the b-th and j-th indicators, rbj, is calculated.
r b j = b , j = 1 n ( Y i b Y ¯ b ) ( Y i j Y ¯ j ) b = 1 n ( Y i b Y ¯ b ) 2 j = 1 n ( Y i j Y ¯ j ) 2
(3)
Calculate the conflicting characteristic between the b-th and j-th indicators, Aj.
A j = b = 1 n ( 1 r b j )
(4)
Calculate the quantity of information contained in j-th indicator, Cj.
Cj = Sj Aj
(5)
Calculate the weight coefficient of the j-th indicator, uj.
u j = C j j = 1 n C j

3.3.3. Combined Weighting

Based on vj and uj, the combination weight of j-th indicator, wj, is calculated.
w j = v j u j j = 1 n v j u j

4. Results

4.1. Assessment Indicator System

Based on the actual geological conditions of the study area, an assessment indicator system was established, comprising four kinds of criteria indicators: topography, geotechnical characteristics, hydrogeological conditions, and adverse geological phenomena (Table 1). Additionally, the assessment of four application layers of UUS (L1: 0~−15 m, L2: −15~−30 m, L3: −30~−50 m, L4: −50~−100 m) involved the evaluation of different combinations of sub-criteria indicators. These sub-criteria indicators included ground elevation, bearing capacity of soils, compression modulus of soils, groundwater buried depth, aquifer thickness, land subsidence rate, sands liquefaction index, chemical corrosion of groundwater, and chemical corrosion of soils (Table 1).
The suitability of underground space in the study area was categorized into four grades: grade I (Worse suitability), grade II (Inferior suitability), grade III (Moderate suitability), and grade IV (Good suitability) [15,18]. The classification of ground elevation, chemical corrosion of groundwater, and chemical corrosion of soils was based on the grading criteria outlined in the ‘Code for geo-engineering site investigation and evaluation of urban and rural planning (CJJ57-2012)’. The classification of bearing capacity of soils and compression modulus of soils was referenced from Gao’s grading criteria [47]. The land subsidence rate was classified according to the grading criteria specified in the ‘Specifications for risk assessment of geological hazard (GB/T 40112-2021)’, while the sands liquefaction index was classified based on the grading criteria provided in the ‘Code for seismic design of buildings (GB 50011-2010)’. The classification of groundwater buried depth and aquifer thickness was determined in accordance with the recommendations of local geological experts.

4.2. Characteristics of Geological Indicators

4.2.1. Topography

The study area exhibited distinct sedimentary facies characteristics, with an alluvial-proluvial facies observed in the northwestern region and an alluvial-lacustrine facies observed in the southeastern region. This differentiation in sedimentary facies was roughly delineated by the connection line between Rongcheng urban districts and northern Anxin [48].
Based on the DEM elevation measuring data in 2021 (Figure 3 and Figure 4), the study area exhibited a relatively flat topography with a gradual decrease in elevation from northwest to southeast, characterized by a gradient of less than 2‰. The ground elevation mostly ranged between 6 m and 10 m, with the highest point reaching 26 m in Jiaguang town, Rongcheng County. However, around Baiyangdian Lake, the ground elevation was less than 5 m. It is important to note that when the ground elevation drops below 9 m, there is a potential risk of inundation for underground space, as indicated by the warning water level of Baiyangdian Lake.

4.2.2. Geotechnical Characteristics

The planning areas of underground space were found to be deposited with Quaternary soils, which consisted of sands, clays, and silts. Additionally, the main soil layers were evenly distributed to a certain extent, and their sedimentary rhythm was relatively stable. The geotechnical test data, including natural void ratio, liquidity index, and organic matter content, did not indicate the presence of soft soils.
The bearing capacity and compression modulus of the soils varied with depth. Based on data from standard penetration tests, shear tests, and geotechnical tests conducted in engineering geological boreholes, the bearing capacity of each individual soil layer was determined. The bearing capacity of the foundation soils at different depths was then calculated by integrating the data of the individual soil layers using the weighted average method. The bearing capacity ranges for depths of 0~−5 m, −5~−10 m, −10~−15 m, −15~−30 m, −30~50 m, and −50~−100 m were found to be 95~130 kPa, 100~180 kPa, 110~250 kPa, 145~240 kPa, 180~280 kPa, and 180~280 kPa, respectively (Figure 5). Additionally, the compression modulus of the soils at different depths was determined based on lateral confined test data. The majority of the compression modulus values for depths of 0~−5 m, −5~−10 m, −10~−15 m, −15~−30 m, −30~−50 m, and −50~−100 m ranged from 4 MPa to 15 MPa (Figure 6).

4.2.3. Hydrogeological Conditions

The regional aquifer structure was determined by generalizing the lithology data obtained from geological boreholes in the Quaternary strata. Within a depth of 100 m, there were six relatively continuous aquifers located at different intervals: 0~−15 m, −15~−30 m, −30~−50 m, −50~−65 m, −65~−80 m, and −80~−100 m. Although the thickness of each aquifer varied regionally, the average thickness in most areas was less than 2.5 m (Figure 7).
Based on the measurement data of groundwater level in 2021, it was observed that the predominant buried depth of mixed groundwater in six aquifers was between 5 m and 20 m (Figure 8). However, the surrounding zone of Baiyangdian Lake exhibited a lesser depth of less than 5 m. In general, the groundwater flow direction under current conditions was observed to be from northwest to southeast [49].

4.2.4. Adverse Geological Phenomena

Based on the comprehensive geophysical prospecting and borehole stratigraphic dislocation records, multiple faults were detected in Xiong’an New Area, such as the Niudong fault, Rongdong fault [50]. However, these faults have shown inactive features since the Late Pleistocene, suggesting a relatively stable geological structure [43,51]. Nonetheless, there have been some adverse geological phenomena observed [52], including land subsidence, liquefaction of sands, chemical corrosion of groundwater, and chemical corrosion of soils.
According to the PS-InSAR (Persistent Scatterer Interferometric Synthetic Aperture Radar) remote sensing data during 2021, the land subsidence rate exhibited spatial variation (Figure 9). Most regions showed a rate lower than 10 mm/a, while several northern sites displayed higher rates of more than 30 mm/a. The sands liquefaction index was calculated based on the data of standard penetration tests conducted in the engineering geological boreholes. According to the index, potential sands liquefaction would primarily occur in the central and southern parts of the study area (Figure 10), considering the current groundwater buried depth. The corrosion intensity of both groundwater and soils, as observed from the data of groundwater chemical and soil chemical experiments, showed distribution characteristics of being higher in the southeast and lower in the northwest (Figure 11 and Figure 12).

4.3. Weights of Indicators

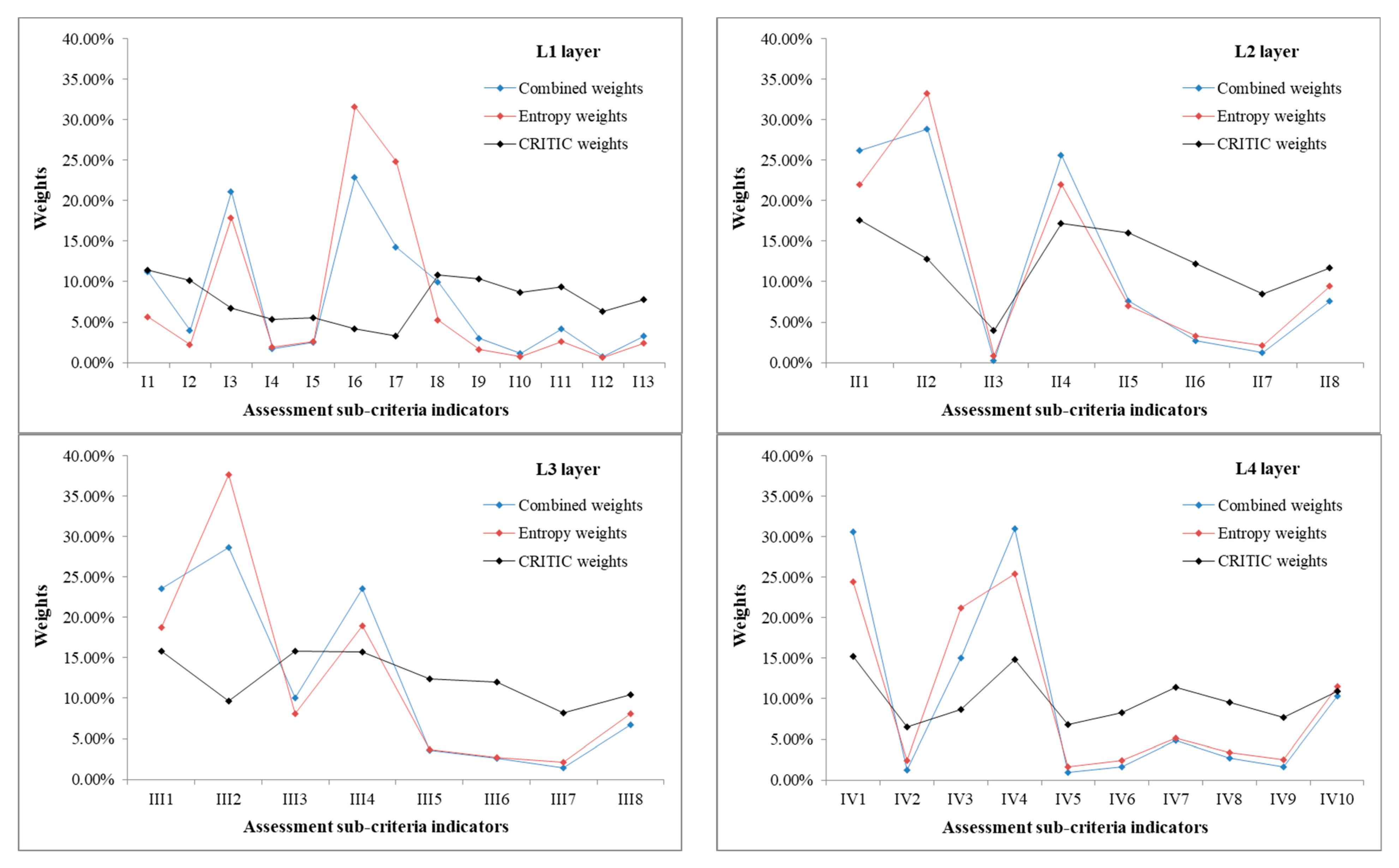
In this study, the study area was divided into multiple cells using a grid of 500 m by 500 m. These cells were selected as assessment samples for four layers of UUS, namely, L1, L2, L3, and L4. An initial assessment indicator matrix was created using Equation (1). Entropy and CRITIC weights were then calculated based on Equations (2)–(13). Using Equation (14), combined weights were calculated based on entropy and CRITIC weighting methods (Figure 13). The L1 layer of UUS was taken as an example to illustrate the calculating processes and outcomes; the information is presented in Table 2 and Table 3.

4.4. Assessment Results

The suitability of urban underground space at different depths was evaluated based on the distribution of geological indicators in the study area, as shown in Figure 14, Figure 15, Figure 16 and Figure 17.
For the shallow layer (L1) within a depth of 0~−15 m, grade I, grade II, grade III, and grade IV accounted for 28.87%, 25.82%, 37.59%, and 7.72% of the study area, respectively (Figure 14). It was important to note that the Baiyangdian Lake region occupied 34.72% of the space classified as grade I and 0.81% of the space classified as grade II. Some scholars have suggested that larger lakes could have an impact on the use of shallow underground space [17]. In order to account for this, Baiyangdian Lake, including its wetland area, was used as a sensitive indicator to adjust the assessment result. Accordingly, all regions of Baiyangdian Lake were adjusted to grade I. The revised acreages with grade I, grade II, grade III, and grade IV accounted for 29.08%, 25.61%, 37.59%, and 7.72%, respectively. Based on the evaluation result, it was found that most of Rongcheng and Xiongxian, particularly the Rongcheng regions, were considered good or moderately suitable for underground space utilization. On the other hand, the regions around the central-eastern areas of Anxin were found to be less suitable due to issues with the bearing capacity and compression modulus of soils. As a result, the compression modulus of soils (−5~−10 m), bearing capacity of soils (−5~−10 m), and compression modulus of soils (−10~−15 m) were given higher weights in assessing underground space suitability compared to other sub-indicators.
For the deep layer (L2) within a depth of −15~−30 m, grade I accounted for about 28.27% of the total acreage, grade II accounted for 13.79%, grade III accounted for 29.91%, and grade IV accounted for 28.03% (Figure 15). The analysis showed that the most suitable regions were mainly located near the west of Rongcheng and the central-north of Xiongxian. On the other hand, the regions around Baiyangdian Lake were found to be less suitable due to factors such as soil bearing capacity, ground elevation, and groundwater buried depth. Among these factors, the weights assigned to bearing capacity of soils (−15~−30 m), ground elevation, and groundwater buried depth were relatively high, indicating their significant influence on the suitability of underground space, accounting for 28.89%, 26.22%, and 25.60%, respectively, compared to other sub-indicators.
For the sub-deep layer (L3), which was within a depth of −30~−50 m, the area occupied by grade I, grade II, grade III, and grade IV was 29.32%, 12.37%, 20.64%, and 37.67%, respectively. This indicated that the majority of the central-eastern regions of Rongcheng and Xiongxian were highly suitable for underground space utilization due to factors such as soil bearing capacity, groundwater buried depth, and ground elevation (Figure 16). Among these factors, the weights assigned to soil bearing capacity (−30~−50 m), groundwater buried depth, and ground elevation were relatively higher at 28.62%, 23.57%, and 23.55%, respectively, compared to other sub-indicators.
For the deep layer (L4) within a depth of −50~−100 m, approximately 28.46% of the total area was classified as grade I, 13.57% as grade II, 29.52% as grade III, and 28.45% as grade IV (Figure 17). The assessment result revealed that the regions with good suitability were primarily located near the west of Rongcheng and the central-north of Xiongxian. On the other hand, the regions with poorer suitability were found around the central-east of Anxin, mainly due to factors such as groundwater buried depth, ground elevation, and compression modulus of soils. These factors, groundwater buried depth, ground elevation, and compression modulus of soils (−50~−100 m), were assigned higher weights, indicating their significance in determining underground space suitability, accounting for 31.02%, 30.66%, and 15.09%, respectively, compared to other sub-indicators.

5. Discussion

Firstly, in the suitability assessment of UUS, faults are typically an important geological factor to consider [53]. However, in this case study, faults were not included in the assessment indicator system due to their weak activity and minimal impact on the planning and construction of Xiong’an New Area [43,51]. The study area did not show other adverse geological phenomena, such as collapsible loess and gravel. However, it is important to note that the river flow in the study area is generally small and seasonal. Since these rivers have limited impact, they have not been included in the assessment indicator system. Additionally, based on the evaluation results of the four layers, the areas that were deemed good and moderate in suitability were mainly located in the north, south, and southwest of the study area. On the other hand, the inferior and worse suitable regions were mostly found around Baiyangdian Lake (Figure 18). This finding aligns well with the characteristics of stratigraphic sedimentary facies.
Secondly, when the study area is divided into smaller evaluation units, such as smaller grids and more cells, the calculated weights are theoretically more accurate. However, in this paper, the grid size of 500 m by 500 m was temporarily set without further subdivision, in order to focus on the research method and reduce the amount of calculation. Subsequent researchers can refine the segmentation based on the acreage of the selected study area.
Thirdly, the planning and construction period of a city, especially for newly building cities such as Xiong’an New Area with a ‘millennium plan’ [54], is generally long. The utilization of urban underground space is a gradual process that may be also influenced by various socioeconomic conditions. In this study, we focused on examining the geological factors that affect the suitability of multilayer underground urban spaces (UUS), without considering socioeconomic factors and excavation types of underground facilities. However, it is important to note that future research should also investigate these aspects. This is also the limitation in this paper. If data on socioeconomic factors and excavation types could be obtained, they would provide more valuable insights for planning managers in optimizing planning and utilization strategies of underground space.
Finally, up to now, there have been limited studies on the suitability of underground space in Xiong’an New Area, as revealed by the literature review. Only Gao [47] has conducted a study on this topic. In contrast to this paper, Gao classified the underground space of Xiong’an New Area into three layers: shallow layer (0~−30 m), sub-deep layer (−30~−50 m), and deep layer (−50~−70 m). The evaluation indicators used in Gao’s study included compression modulus of soils, groundwater depth, land subsidence rate, and aquifer thickness. However, the bearing capacity of soils was not considered. The evaluation method employed was the entropy-cloud model. The evaluation results differed from those of this paper. The areas with the worst grades were primarily located in the northern part of Xiongxian County. Similar to the findings of this paper, the Baiyangdian area generally exhibited a lower grade compared to its surrounding areas. After consulting the opinions of local geological experts, it is believed that the weights of indicators determined in this paper are more reasonable. This is because the evaluation takes into account the correlation, discreteness, and comparative intensity of the affecting indicators, making the results more valuable for reference.

6. Conclusions

(1)
A process was proposed to assess the suitability of multilayer UUS based on the impacts of geological environments. The case study of Xiong’an New Area was used to establish an assessment indicator system, including four types of criteria indicators: topography, geotechnical characteristics, hydrogeological conditions, and adverse geological phenomena. The suitability of four vertical layers within a depth of 100 m was identified, providing guidance for urban planners and constructors. To ensure an objective and rational assessment, the entropy and CRITIC combined method was employed to determine the weights of sub-criteria indicators, considering the discreteness, correlation, and comparative intensity of data. Compared with previously used combination by other researcher, this paper demonstrated a better method. This combined weighting method can be applied to similar regions for the suitability assessment of UUS.
(2)
The evaluation results indicated that the suitability of UUS in Xiong’an New Area varied depending on the depth of strata. Deeper layers showed better suitability, while shallower layers showed relatively worse suitability. The proportions of acreage with good and moderate suitability were as follows: 45.31% for shallow layer, 57.94% for sub-shallow layer, 58.31% for sub-deep layer, and 57.97% for deep layer. When considering the plane distribution state, the good and moderate suitable zones were predominantly located in the north, south, and southwest of the study area. Conversely, the inferior and worse suitable zones were mainly found around Baiyangdian Lake. Although the factors influencing the suitability of the four layers differed, the main indicators were the bearing capacity of soils, compression modulus of soils, groundwater buried depth, and ground elevation, which carried higher weights. Groundwater buried depth was significantly affected by artificial exploitation of groundwater, while the other three indicators are primarily influenced by the sedimentary process of strata.
(3)
The paper focused on the geological indicators affecting the utilization of UUS in Xiong’an New Area. However, it did not include socioeconomic factors and excavation types of underground facilities. Although the UUS utilization in Xiong’an New Area is still in the initial stage, future studies should consider socioeconomic progress, existing underground infrastructures, and the difficulty of excavation based on the evaluation results.

Author Contributions

Conceptualization, H.L. and Q.H.; methodology, H.L.; software, H.L. and Z.L.; validation, H.L. and Z.L.; investigation, H.L. and Z.L.; data curation, H.L. and Z.L.; writing—original draft preparation, H.L.; writing—review and editing, H.L. and Q.H.; funding acquisition, H.L. All authors have read and agreed to the published version of the manuscript.

Funding

This research was funded by China Geological Survey project (Grant No. DD20221727).

Institutional Review Board Statement

Not applicable.

Informed Consent Statement

Not applicable.

Data Availability Statement

Not applicable.

Acknowledgments

The authors would like to thank Bo Han and Yihang Gao for their valuable suggestions.

Conflicts of Interest

The authors declare no conflict of interest.

References

  1. Romano, B.; Zullo, F.; Fiorini, L.; Marucci, A.; Ciabò, S. Land transformation of Italy due to half a century of urbanization. Land Use Policy 2017, 67, 387–400. [Google Scholar] [CrossRef]
  2. Zhang, Y.H.; Zhu, J.B.; Liao, Z.Y.; Guo, J.; Xie, H.P.; Peng, Q. An intelligent planning model for the development and utilization of urban underground space with an application to the Luohu District in Shenzhen. Tunn. Undergr. Space Technol. 2021, 112, 103933. [Google Scholar] [CrossRef]
  3. Bobylev, N.; Sterling, R. Urban underground space: A growing imperative. Perspectives and current research in planning and design for underground space use. Tunn. Undergr. Space Technol. 2016, 55, 1–4. [Google Scholar] [CrossRef]
  4. Chen, Z.L.; Chen, J.Y.; Liu, H.; Zhang, Z.F. Present status and development trends of underground space in Chinese cities: Evaluation and analysis. Tunn. Undergr. Space Technol. 2018, 71, 253–270. [Google Scholar] [CrossRef]
  5. Tann, L.; Ritter, S.; Hale, S.; Langford, J.; Salazar, S. From urban underground space (UUS) to sustainable underground urbanism (SUU): Shifting the focus in urban underground scholarship. Land Use Policy 2021, 109, 105650. [Google Scholar] [CrossRef]
  6. Admiraal, H.; Cornaro, A. Underground Spaces Unveiled: Planning and Creating the Cities for the Future; ICE Publishing: London, UK, 2018. [Google Scholar]
  7. Cui, J.Q.; Broere, W.; Lin, D. Underground space utilisation for urban renewal. Tunn. Undergr. Space Technol. 2021, 108, 103726. [Google Scholar] [CrossRef]
  8. Li, X.Z.; Li, C.C.; Parriaux, A.; Wu, W.B.; Li, H.Q.; Sun, L.P.; Liu, C. Multiple resources and their sustainable development in Urban Underground Space. Tunn. Undergr. Space Technol. 2016, 55, 59–66. [Google Scholar] [CrossRef]
  9. Lin, D.; Broere, W.; Cui, J.Q. Underground space utilisation and new town development: Experiences, lessons and implications. Tunn. Undergr. Space Technol. 2022, 119, 104204. [Google Scholar] [CrossRef]
  10. Admiraal, H.; Cornaro, A. Future cities, resilient cities-The role of underground space in achieving urban resilience. Undergr. Space 2020, 5, 223–228. [Google Scholar] [CrossRef]
  11. Tan, F.; Wang, J.; Jiao, Y.Y.; Ma, B.; He, L. Suitability evaluation of underground space based on finite interval cloud model and genetic algorithm combination weighting. Tunn. Undergr. Space Technol. 2021, 108, 103743. [Google Scholar] [CrossRef]
  12. Šipetić, N.; Kuzmić, P. Design the Future Urban Plan of the Underground Construction from the Aspect of Geological and Geotechnical Features of Belgrade’s Inner City Area. Procedia Eng. 2016, 165, 641–648. [Google Scholar] [CrossRef]
  13. Tong, D.; Tan, F.; Ma, B.; Jiao, Y.Y.; Wang, J. A Suitability Evaluation Method of Urban Underground Space Based on Rough Set Theory and Conditional Entropy: A Case Study in Wuhan Changjiang New Town. Appl. Sci. 2022, 12, 1347. [Google Scholar] [CrossRef]
  14. Peng, Z.L.; Zhang, Y.; Tan, F.; Lv, J.H.; Li, L.H. Variable-Weight Suitability Evaluation of Underground Space Development Considering Socioeconomic Factors. Sustainability 2023, 15, 3574. [Google Scholar] [CrossRef]
  15. Hou, W.; Yang, L.; Deng, D.C.; Ye, J.; Clarke, K.; Yang, Z.J.; Zhuang, W.; Liu, J.X.; Huang, J.C. Assessing quality of urban underground spaces by coupling 3D geological models: The case study of Foshan city, South China. Comput. Geosci. 2016, 89, 1–11. [Google Scholar] [CrossRef]
  16. Lu, Z.L.; Wu, L.; Zhuang, X.Y.; Rabczuk, T. Quantitative assessment of engineering geological suitability for multilayer Urban Underground Space. Tunn. Undergr. Space Technol. 2016, 59, 65–76. [Google Scholar] [CrossRef]
  17. Zhang, M.S.; Wang, H.Q.; Dong, Y.; Li, L.; Sun, P.P.; Zhang, G. Evaluation of urban underground space resources using a negative list method: Taking Xi’an City as an example in China. China Geol. 2020, 3, 124–136. [Google Scholar] [CrossRef]
  18. Deng, F.; Pu, J.; Huang, Y.; Han, Q.D. 3D geological suitability evaluation for underground space based on the AHP-cloud model. Undergr. Space 2023, 8, 109–122. [Google Scholar] [CrossRef]
  19. Youssef, A.M.; Pradhan, B.; Tarabees, E. Integrated evaluation of urban development suitability based on remote sensing and GIS techniques: Contribution from the analytic hierarchy process. Arab. J. Geosci. 2011, 4, 463–473. [Google Scholar] [CrossRef]
  20. Zhang, X.B.; Wang, C.S.; Fan, J.; Wang, H.J.; Li, H.L. Optimizing the analytic hierarchy process through a suitability evaluation of underground space development in Tonghu District, Huizhou City. Energies 2020, 13, 742. [Google Scholar] [CrossRef]
  21. Duan, Y.; Xie, Z.; Zhao, F.; Zeng, H.; Lin, M.; Chen, H.; Zuo, X.; He, J.; Hou, Z. Suitability of underground space development in plateau cities based on geological environment analysis: Case study in Kunming, China. J. Urban Plan. Dev. 2021, 147, 05021014. [Google Scholar] [CrossRef]
  22. Dai, S.; Niu, D. Comprehensive evaluation of the sustainable development of power grid enterprises based on the model of fuzzy group ideal point method and combination weighting method with improved group order relation method and entropy weight method. Sustainability 2017, 9, 1900. [Google Scholar] [CrossRef]
  23. Guo, J.H.; Liu, K.; Deng, Y.F.; Yu, C.H. Geological evaluation of underground space resources based on the entropy weight optimization method. Geol. Bull. China 2023, 42, 385–396. [Google Scholar]
  24. Zhang, Y.B.; Xie, Z.Q.; Jiang, F.S.; Xu, T.; Yang, S.Q.; Yin, S.Q.; Zhao, F.; He, J.L.; Chen, Y.B.; Hou, Z.Q.; et al. Evaluating the Socioeconomic Value of Urban Underground Space in Kunming, China, Using the Entropy Method and Exponential Smoothing Prediction. J. Urban Plan. Dev. 2023, 149, 05023001. [Google Scholar] [CrossRef]
  25. Durmisevic, S.; Sariyildiz, S. A systematic quality assessment of underground spaces–public transport stations. Cities 2001, 18, 13–23. [Google Scholar] [CrossRef]
  26. Xu, K.; Kong, C.; Li, J.; Zhang, L.; Wu, C. Suitability evaluation of urban construction land based on geo-environmental factors of Hangzhou, China. Comput. Geosci. 2011, 37, 992–1002. [Google Scholar] [CrossRef]
  27. Bobylev, N. Sustainability and vulnerability analysis of critical underground infrastructure. In Managing Critical Infrastructure Risks: Decision Tools and Applications for Port Security; Springer: Berlin/Heidelberg, Germany, 2007; pp. 445–469. [Google Scholar]
  28. Costa, A.N.; Polivanov, H.; Alves, M.G.; Ramos, D.P. Multicriterial analysis in the investigation of favorable areas for edifications with shallow and deep foundations in the Municipality of Campos dos Goytacazes-Rio de Janeiro, Brazil. Eng. Geol. 2011, 123, 149–165. [Google Scholar] [CrossRef]
  29. Zhou, C.A.; Ren, H.; Liu, G.; Chen, C. Comprehensive evaluation and case study of urban underground space development under multiple constraints. J. Bulg. Chem. Commun. 2017, 49, 90–97. [Google Scholar]
  30. Dou, F.F.; Xing, H.X.; Li, X.H.; Yuan, F.; Lu, Z.T.; Li, X.L.; Ge, W.Y. 3D Geological suitability evaluation for urban underground space development based on combined weighting and improved TOPSIS. Nat. Resour. Res. 2022, 31, 693–711. [Google Scholar] [CrossRef]
  31. Cao, X.T.; Wei, C.F.; Xie, D.T. Evaluation of scale management suitability based on the entropy-TOPSIS method. Land 2021, 10, 416. [Google Scholar] [CrossRef]
  32. Sałabun, W.; Wątróbski, J.; Shekhovtsov, A. Are MCDA methods benchmarkable? A comparative study of TOPSIS, VIKOR, COPRAS, and PROMETHEE II methods. Symmetry 2020, 12, 1549. [Google Scholar] [CrossRef]
  33. Chen, P.Y. Effects of normalization on the entropy-based TOPSIS method. Expert Syst. Appl. 2019, 136, 33–41. [Google Scholar] [CrossRef]
  34. Mahmoud, P.H.A.; Morteza, N.H.; Behnam, M.I.; Heresh, S. A hybrid genetic particle swarm optimization for distributed generation allocation in power distribution networks. Energy 2020, 209, 118218. [Google Scholar]
  35. Zeleny, M.; Cochrane, J.L. Multiple Criteria Decision Making; McGraw-Hill: New York, NY, USA, 1982; p. 34. [Google Scholar]
  36. Shannon, C.E. A mathematical theory of communication. Bell Syst. Technol. J. 1948, 27, 379–423. [Google Scholar] [CrossRef]
  37. Aomar, R.A. A combined ahp-entropy method for deriving subjective and objective criteria weights. Int. J. Ind. Eng. 2010, 17, 12–24. [Google Scholar]
  38. Diakoulaki, D.; Mavrotas, G.; Papayannakis, L. Determining objective weights in multiple criteria problems: The critic method. Comput. Oper. Res. 1995, 22, 763–770. [Google Scholar] [CrossRef]
  39. Madić, M.; Radovanović, M. Ranking of some most commonly used nontraditional machining processes using ROV and CRITIC methods. UPB Sci. Bull. Ser. D 2015, 77, 193–204. [Google Scholar]
  40. Anath, R.K.; Maznah, M.K.; Hamid, R.; Mohd, F.G. A modified CRITIC method to estimate the objective weights of decision criteria. Symmetry 2021, 13, 973. [Google Scholar]
  41. Cao, Y.C.; Yang, J.; Chen, X.L.; Yang, X.J. A Beacon of Space and Time: Detailed Depiction of Human Space in the Xiong’an New Area Guided by Material Cultural Heritages. Discret. Dyn. Nat. Soc. 2021, 2021, 7746556. [Google Scholar] [CrossRef]
  42. Liu, K.M.; Xu, Q.M.; Duan, L.F.; Niu, W.C.; Teng, F.; Wang, X.D.; Zhang, W.; Dong, J. Quaternary stratigraphic architecture and sedimentary evolution from borehole GB014 in the western Xiong’an New Area. Sci. China Press 2020, 65, 2145–2160. [Google Scholar]
  43. He, D.F.; Shan, S.Q.; Zhang, Y.Y.; Lu, R.Q.; Zhang, R.F.; Cui, Y.Q. 3-D geologic architecture of Xiong’an New Area: Constraints from seismic reflection data. Sci. China 2018, 61, 1007–1022. [Google Scholar] [CrossRef]
  44. Zhao, K.; Qi, J.X.; Chen, Y.; Ma, B.H.; Yi, L.; Guo, H.M.; Wang, X.Z.; Wang, L.Y.; Li, H.T. Hydrogeochemical characteristics of groundwater and pore-water and the paleoenvironmental evolution in the past 3.10 Ma in the Xiong’an New Area, North China. China Geol. 2021, 4, 476–486. [Google Scholar] [CrossRef]
  45. Gao, Y.H.; Shen, J.H.; Chen, L.; Li, X.; Jin, S.; Ma, Z.; Meng, Q.H. Influence of underground space development mode on the groundwater flow field in Xiong’an new area. J. Groundw. Sci. Eng. 2023, 11, 68–80. [Google Scholar] [CrossRef]
  46. Wang, Y.J.; Song, L.C.; Han, Z.Y.; Liao, Y.M.; Xu, H.M.; Zhai, J.Q.; Zhu, R. Climate-related risks in the construction of Xiongan New Area, China. Theor. Appl. Clim. 2020, 141, 1301–1311. [Google Scholar] [CrossRef]
  47. Gao, Y.H. Study on Engineering Geological Environment and Construction Suitability of Xiong’an New Area. Ph.D. Dissertation, Chengdu University of Technology, Chengdu, China, 2023. [Google Scholar]
  48. Xia, Y.B.; Li, H.T.; Wang, B.; Ma, Z.; Guo, X.; Zhao, K.; Zhao, C.R. Characterization of Shallow Groundwater Circulation Based on Chemical Kinetics: A Case Study of Xiong’an New Area, China. Water 2022, 14, 1880. [Google Scholar] [CrossRef]
  49. Li, H.T.; Feng, W.; Wang, K.L.; Zhao, K.; Li, G.; Zhang, Y.; Li, M.Z.; Sun, L.; Chen, Y.C.; You, B. Groundwater resources in Xiong’an New Area and its exploitation potential. Geol. China 2021, 4, 1112–1126. [Google Scholar]
  50. Shang, S.J.; Feng, C.J.; Tan, C.X.; Qi, B.S.; Zhang, P.; Meng, J.; Wang, M.M.; Sun, M.Q.; Wan, J.W.; Wang, H.J.; et al. Quaternary activity study of major buried faults near Xiongan New Area. Acta Geosci. Sin. 2019, 40, 836–846. [Google Scholar]
  51. Yue, G.F.; Wang, G.L.; Ma, F.; Zhu, X.; Zhang, H.X.; Zhou, J.W.; Na, J. Fracture Characteristics and Reservoir Inhomogeneity Prediction of the Gaoyuzhuang Formation in the Xiong’an New Area: Insights From a 3D Discrete Fracture Network Model. Front. Earth Sci. 2022, 10, 849361. [Google Scholar] [CrossRef]
  52. Ma, Z.; Huang, Q.B.; Lin, L.J.; Zhang, X.; Han, B.; Xia, Y.B.; Guo, X. Practice and application of multi-factor urban geological survey in Xiong’an New Area. North China Geol. 2022, 45, 58–68. [Google Scholar]
  53. Liu, H.W.; Wang, G.M.; Ma, C.M.; Gao, M.D.; Bai, Y.N.; Zhang, J.; Du, D. Study on evaluation index system of suitability for development and utilization of underground space in sedimentary plain: A Case Study of Tongzhou District in Beijing and Langfang north three counties in Hebei Province. North China Geol. 2022, 45, 68–78. [Google Scholar]
  54. Zou, Y.H.; Zhao, W.X. Making a new area in Xiong’an: Incentives and challenges of China’s “Millennium Plan”. Geoforum 2018, 88, 45–48. [Google Scholar] [CrossRef]
Figure 1. Location of the study area.
Figure 1. Location of the study area.
Applsci 13 10231 g001
Figure 2. Frame flow chart of suitability assessment to UUS.
Figure 2. Frame flow chart of suitability assessment to UUS.
Applsci 13 10231 g002
Figure 3. Zoning map of ground elevation.
Figure 3. Zoning map of ground elevation.
Applsci 13 10231 g003
Figure 4. DEM map of ground elevation.
Figure 4. DEM map of ground elevation.
Applsci 13 10231 g004
Figure 5. Bearing capacity zoning map of soils within different buried depths.
Figure 5. Bearing capacity zoning map of soils within different buried depths.
Applsci 13 10231 g005aApplsci 13 10231 g005b
Figure 6. Compression modulus zoning map of soils within different buried depths.
Figure 6. Compression modulus zoning map of soils within different buried depths.
Applsci 13 10231 g006aApplsci 13 10231 g006b
Figure 7. Aquifer thickness zoning map of soils within different buried depths.
Figure 7. Aquifer thickness zoning map of soils within different buried depths.
Applsci 13 10231 g007aApplsci 13 10231 g007b
Figure 8. Zoning map of groundwater buried depth.
Figure 8. Zoning map of groundwater buried depth.
Applsci 13 10231 g008
Figure 9. Zoning map of land subsidence rate.
Figure 9. Zoning map of land subsidence rate.
Applsci 13 10231 g009
Figure 10. Zoning map of sands liquefaction index.
Figure 10. Zoning map of sands liquefaction index.
Applsci 13 10231 g010
Figure 11. Zoning map of groundwater chemical corrosion intensity.
Figure 11. Zoning map of groundwater chemical corrosion intensity.
Applsci 13 10231 g011
Figure 12. Zoning map of soil chemical corrosion intensity.
Figure 12. Zoning map of soil chemical corrosion intensity.
Applsci 13 10231 g012
Figure 13. Weights curve of sub-criteria indicators for L1~L4 layers.
Figure 13. Weights curve of sub-criteria indicators for L1~L4 layers.
Applsci 13 10231 g013
Figure 14. Suitability zoning map of L1 layer.
Figure 14. Suitability zoning map of L1 layer.
Applsci 13 10231 g014
Figure 15. Suitability zoning map of L2 layer.
Figure 15. Suitability zoning map of L2 layer.
Applsci 13 10231 g015
Figure 16. Suitability zoning map of L3 layer.
Figure 16. Suitability zoning map of L3 layer.
Applsci 13 10231 g016
Figure 17. Suitability zoning map of L4 layer.
Figure 17. Suitability zoning map of L4 layer.
Applsci 13 10231 g017
Figure 18. The integrated suitability assessment results of multilayer urban underground space.
Figure 18. The integrated suitability assessment results of multilayer urban underground space.
Applsci 13 10231 g018
Table 1. Assessment indicators of suitability to multilayer UUS in the study area.
Table 1. Assessment indicators of suitability to multilayer UUS in the study area.
Criteria
Indicators
Sub-Criteria
Indicators (Unit)
Grading Criteria of SuitabilityApplication Layer
Grade IGrade IIGrade IIIGrade IV
TopographyGround elevation (m)<88~8.58.5~9>9L1~L4
Geotechnical characteristicsBearing capacity of soils (0~−5 m) (kPa)<8080~100100~130>130L1
Bearing capacity of soils (−5~−10 m) (kPa)<100100~130130~160>160L1
Bearing capacity of soils (−10~−15 m) (kPa)<110110~130130~170>170L1
Bearing capacity of soils (−15~−30 m) (kPa)<130130~160160~200>200L2
Bearing capacity of soils (−30~−50 m) (kPa)<130130~160160~200>200L3
Bearing capacity of soils (−50~−100 m) (kPa)<130130~160160~200>200L4
Compression modulus of soils (0~−5 m) (MPa)<44~1111~15>15L1
Compression modulus of soils (−5~−10 m) (MPa)<44~1111~15>15L1
Compression modulus of soils (−10~−15 m) (MPa)<44~1111~15>15L1
Compression modulus of soils (−15~−30 m) (MPa)<44~1111~15>15L2
Compression modulus of soils (−30~−50 m) (MPa)<44~1111~15>15L3
Compression modulus of soils (−50~−100 m) (MPa)<44~1111~15>15L4
Hydrogeological conditionsGroundwater buried depth (m)<55~1010~15>15L1~L4
Aquifer thickness (0~−15 m) (m)>7.55~7.52.5~5<2.5L1
Aquifer thickness (−15~−30 m) (m)>7.55~7.52.5~5<2.5L2
Aquifer thickness (−30~−50 m) (m)>7.55~7.52.5~5<2.5L3
Aquifer thickness (−50~−65 m) (m)>7.55~7.52.5~5<2.5L4
Aquifer thickness (−65~−80 m) (m)>7.55~7.52.5~5<2.5L4
Aquifer thickness (−80~−100 m) (m)>7.55~7.52.5~5<2.5L4
Adverse geological phenomenaLand subsidence rate (mm/a)>5030~5010~30<10L1~L4
Sands liquefaction index>186~18<60L1
Chemical corrosion of groundwaterStrongMediumWeakMicroL1~L4
Chemical corrosion of soilsStrongMediumWeakMicroL1~L4
Table 2. Processes and outcomes information with entropy weighting method for L1 layer.
Table 2. Processes and outcomes information with entropy weighting method for L1 layer.
Criteria IndicatorsSub-Criteria IndicatorsEntropy Values,
E
Otherness Coefficients,
G
Entropy Weights,
v
TopographyGround elevation, I10.92810.07195.61%
Geotechnical characteristicsBearing capacity of soils (0~−5 m), I20.97100.02902.26%
Bearing capacity of soils (−5~−10 m), I30.77070.229317.90%
Bearing capacity of soils (−10~−15 m), I40.97590.02411.88%
Compression modulus of soils (0~−5 m), I50.96600.03402.65%
Compression modulus of soils (−5~−10 m), I60.59480.405231.62%
Compression modulus of soils (−10~−15 m), I70.68230.317724.80%
Hydrogeological conditionsGroundwater buried depth, I80.93300.06705.23%
Aquifer thickness (0~−15 m), I90.97880.02121.65%
Adverse geological phenomenaLand subsidence rate, I100.99030.00970.76%
Sands liquefaction index, I110.96710.03292.57%
Chemical corrosion of groundwater, I120.99130.00870.68%
Chemical corrosion of soils, I130.96940.03062.39%
Table 3. Processes and outcomes information with CRITIC weighting method for L1 layer.
Table 3. Processes and outcomes information with CRITIC weighting method for L1 layer.
Criteria IndicatorsSub-Criteria IndicatorsDeviation Values, SConflicting Values, AQuantity of Information, CCRITIC Weights, u
TopographyGround elevation, I10.4399.5084.17311.45%
Geotechnical characteristicsBearing capacity of soils (0~−5 m), I20.34510.7473.71110.18%
Bearing capacity of soils (−5~−10 m), I30.2559.6402.4596.75%
Bearing capacity of soils (−10~−15 m), I40.19110.2581.9635.39%
Compression modulus of soils (0~−5 m), I50.19210.4642.0135.52%
Compression modulus of soils (−5~−10 m), I60.12911.6741.5074.14%
Compression modulus of soils (−10~−15 m), I70.09213.0871.2003.29%
Hydrogeological conditionsGroundwater buried depth, I80.4159.5353.95710.86%
Aquifer thickness (0~−15 m), I90.30412.3563.76110.32%
Adverse geological phenomenaLand subsidence rate, I100.22813.7713.1458.63%
Sands liquefaction index, I110.3509.7283.4039.34%
Chemical corrosion of groundwater, I120.22510.2592.3056.32%
Chemical corrosion of soils, I130.2989.5572.8467.81%
Disclaimer/Publisher’s Note: The statements, opinions and data contained in all publications are solely those of the individual author(s) and contributor(s) and not of MDPI and/or the editor(s). MDPI and/or the editor(s) disclaim responsibility for any injury to people or property resulting from any ideas, methods, instructions or products referred to in the content.

Share and Cite

MDPI and ACS Style

Liu, H.; Li, Z.; He, Q. Suitability Assessment of Multilayer Urban Underground Space Based on Entropy and CRITIC Combined Weighting Method: A Case Study in Xiong’an New Area, China. Appl. Sci. 2023, 13, 10231. https://doi.org/10.3390/app131810231

AMA Style

Liu H, Li Z, He Q. Suitability Assessment of Multilayer Urban Underground Space Based on Entropy and CRITIC Combined Weighting Method: A Case Study in Xiong’an New Area, China. Applied Sciences. 2023; 13(18):10231. https://doi.org/10.3390/app131810231

Chicago/Turabian Style

Liu, Hongwei, Zhuang Li, and Qingcheng He. 2023. "Suitability Assessment of Multilayer Urban Underground Space Based on Entropy and CRITIC Combined Weighting Method: A Case Study in Xiong’an New Area, China" Applied Sciences 13, no. 18: 10231. https://doi.org/10.3390/app131810231

APA Style

Liu, H., Li, Z., & He, Q. (2023). Suitability Assessment of Multilayer Urban Underground Space Based on Entropy and CRITIC Combined Weighting Method: A Case Study in Xiong’an New Area, China. Applied Sciences, 13(18), 10231. https://doi.org/10.3390/app131810231

Note that from the first issue of 2016, this journal uses article numbers instead of page numbers. See further details here.

Article Metrics

Back to TopTop