Abstract
Parametric cycle analysis, an on-design engine study, specifies the required design characteristics that optimize engine performance. This study aimed to conduct a parametric analysis of a low-bypass turbofan engine with an afterburner, F100-PW229, and develop a technique for estimating its performance based on data using machine learning and deep learning. Commercially available gas turbine simulation software, GasTurb 14, was used to create a dataset of engine performance response variables and input design parameters. The effects of the Mach number, fan pressure ratio, altitude, turbine entry temperature, and bypass ratio on the specific thrust, propulsive efficiency, specific fuel consumption, and total fuel flow were investigated. Regression learning models and deep neural networks were then programmed on this dataset to predict responses for new input data. In MATLAB, a total of 24 regression models were trained with cross-validation, and the model with the least root mean square error was selected as the final model. The machine learning regression models produced reliable output parameter predictions, with the least root mean square error of 9.076 × 10−5. Among the numerous regression models tested, Gaussian process regression, the quadratic support vector machine, and the wide neural network emerged to be the most successful in predicting turbofan engine performance metrics. A multilayer perceptron model was coded in Python with two hidden layers that accurately predicted the performance parameters. The mean square error value on test data was found to be as low as 0.0046. In comparison to intensive computational simulations, machine learning and deep learning models offer an efficient method for conducting parametric analysis of turbofan engines.
1. Introduction
Gas turbines are rotary engines, with internal combustion categorized as one of the power-generating cycle types. They have traditionally been used in a variety of applications from industrial processing to energy production and aerospace propulsion. The turbofan engine, a common type of gas turbine engine used in the aerospace industry, consists of a large fan at the inlet and propels the aircraft by mixing the fan output flow with the core gas generator output flow. Turbofans are categorized based on bypass ratios and the mixture of flows. The bypass ratio (BPR) is the ratio of the fan output flow to the core output flow. The majority of the propulsion in a low-BPR turbofan comes through the engine gas generator cycle and is typically used in the defense sector, whereas high-BPR turbofans propel the aircraft mainly through the fan output flow and are prevalent on the commercial side. Mixed- and unmixed-flow turbofans differ in the sense that the fan output flow and the core output flow may either be combined before exiting the nozzle or be exhausted separately.
Gas turbines are conventionally built to most efficiently run under typical operating circumstances and at a certain operating point known as the design point. The goal of parametric cycle analysis is to approximate variables that govern performance concerning design limitations, flying conditions, and engineering choices. Parametric analysis is needed since an engine performance study under conditions other than the base point, also known as “off-design” cycle evaluation, is not possible until a baseline and engine size are determined. Determining the design combinations that deliver the highest performance for every flight state provides behaviors that point towards the optimal answer. The appropriate limits of every model are bracketed after parametric evaluation.
Machine learning is an aspect of artificial intelligence (AI) that facilitates computer software to become more accurate at determining results, regardless of having to be comprehensively configured to do so. The way an algorithm learns to enhance its prediction accuracy is widely used to classify classical machine learning. Learning is divided into four categories: supervised learning, unsupervised learning, semi-supervised learning, and reinforcement learning. The method used by data scientists is governed through the type of data they intend to forecast.
The capability of computers to replicate intellectual human behavior is known as artificial intelligence (AI). Machine learning (ML) is a subset of AI that permits software to be trained while not being continuously programmed. Deep learning is an area of ML that uses algorithms that self-learn, known as artificial neural networks (ANNs), that are influenced by brain anatomy and functioning. Instead of being specifically instructed to approach a challenge, ANNs are trained to “learn” concepts and trends. The perceptron is a mathematical model of a biological neuron that serves as the building block of an ANN. It accepts inputs and produces a response in the same way as a true neuron does. Each input is assigned a weight. Each input is multiplied by its weight separately and then combined and fed into an activation function, which decides whether the neuron should produce a response. The training method involves providing a perceptron with a large amount of training data and computing the result for every one of them. The weights are revised following every run to decrease the resultant error, which is the deviation of the real result from the intended (target).
The significance of examining gas turbine engine research using various machine learning approaches, particularly the supervised learning method, can be found in publications. In this respect, several investigations have been conducted in the aerospace industry using intelligent systems.
Ahmet Cihangir and Turan [1] conducted an off-design study of a turbofan engine. They attempted to demonstrate the difference in performance measures under ideal and practical conditions. The effects of efficiencies and pressure ratios of different components on engine output parameters were also investigated under various flight conditions. Various machine learning algorithms were used by Giorgi and Quarta to determine the dynamics of turbojet engines, particularly the Viper 632–43 engine, using the exhaust gas temperature as the fundamental variable [2]. A neural network was developed that recognizes the provided information as a continuous sequence and anticipates the output in the following run. The one-step-ahead strategy, which determines the exhaust gas temperature in the following run, was assigned the prediction model. An artificial neural network (ANN) model for a micro-gas turbine was developed by Nikpey et al. [3] that could accurately predict its characteristic performance. Subsequently, they employed the ANN to analyze the functionality and emissions of a recuperative micro-gas turbine that burned natural gas and biogas mixes. Comodi et al. [4] analyzed a micro-gas turbine with an ANN to determine the effect of ambient conditions on its performance and estimate the pollution caused by it. A two-intercooler, two-reheater gas turbine was studied by Gonca [5] for the parametric analysis of design variables and their effect on energy, energetic, and ecological performance using an ANN. ANNs have also been used in other gas turbine-based applications. Deep learning was used by Mohammadreza et al. [6] to estimate the energy and exergy performance of the F135 PW100 turbofan engine. An intelligent model was implemented in their study to estimate output characteristics. Fentaye et al. [7] devised a technique for detecting and isolating gas turbine malfunctions using modular convolutional neural networks. They analyzed the results of a single convolutional neural network architecture-based fault classification approach and a deep long short-term memory-assisted fault detection and isolation method. Talaat et al. [8] suggested an artificial intelligence algorithm to estimate the degradation of power plant gas turbines for primary engine components using deep learning. The degradation data from the thermodynamic model was used to train the neural network model. The most effective framework was achieved through reducing the mean square error. In addition, thermodynamic analysis was used to assess the performance of the neural network using dissimilar degradation data as its testing data. Choi et al. [9] predicted the functional parameters of an industrial gas turbine with an ANN. This model accurately predicted the performance paraments with real-time data as its input. Tian et al. [10] used reinforcement learning to estimate the performance variables of a turbofan engine with minimum error. Orozco et al. [11] presented an artificial neural network-based framework for the detection of externally fueled gas turbines to identify intrinsic flaws, as well as the influence of fuel. Zuming and Iftekhar [12] devised a prediction model with supervised learning for gas turbine performance. The turbine and compressor’s functional features were determined using an artificial neural network. Zhou et al. [13] diagnosed the faults in gas turbine engines using convolution and recurrent neural networks and compared their accuracy. They found optimized concurrent neural networks to be more precise and stable. Thakkar and Chaoui [14] applied machine learning to develop a methodology for predicting an aircraft’s remaining useful life employing complete life cycle data and degradation parameter data. A deep layer recurrent neural network model was developed to estimate a turbofan engine’s durability. Sofyan et al. studied the turbojet engine’s parametric cycle using two simulation programs and differentiated their results. The optimum design characteristics that enhanced the engine’s performance were concluded through their research [15]. Gray et al. coded a simulation program, pyCycle, to analyze novel gas turbine cycles [16]. Gorji et al. [17] conducted a thermodynamic cycle analysis of turbofan components under off-design conditions. Different design parameters were considered to determine the performance parameters and constraint functions of a reference engine. The thermodynamic analysis of a turbofan engine with pyCycle and numerical propulsion system simulation program was compared. The pyCycle code was found to be more computationally efficient. Various machine learning algorithms were used by Giorgi and Quarta to determine the dynamics of turbojet engines, particularly on the Viper 632–43 engine, using exhaust gas temperature as the fundamental variable [18]. Aygun et al. analyzed the exergetic sustainability of a variable cycle engine. They analogized the results with the gas turbines used in fighter aircraft. Different variables were used for performance analysis with single and double bypass modes [19]. Yao et al. diagnosed the faults in gas turbine engines using convolution and recurrent neural networks and compared their accuracy. They found optimized concurrent neural networks to be more precise and stable [20]. Michal et al. employed Bayesian optimization and deep learning models to accurately predict the component failure of a turbofan engine [21]. Fang et al. proposed a way to extend the acceleration controller of a small bypass ratio turbofan engine based on deep reinforcement learning to tackle the multidimensional constraint optimization issue in continuous action space [22]. Advanced machine learning methods, such as Cond-LSTM, were found to give precise predictions for turbofan engine performance under specific flight conditions by Silva et al. [23].
Previously, a transonic compressor instability prediction tool for the extensive modelling of axial compressor dynamics was developed by Sohail et al. Supervised learning was applied to estimate compressor performance at varied flow conditions relying on a dataset from CFD simulations. Sohail et al. analyzed the performance and stability of a low-bypass turbofan transonic axial compressor with swirl distortion. Furthermore, the non-uniform inflow swirl flow of the compressor rotor was also examined using the mathematical models based on the 1D mean-line code and Dynamic Turbine Engine Compressor Code (DYNTECC). The flow field in the transonic micro-axial flow compressor’s tip clearance zone was previously studied under non-uniform flow circumstances. The research focused on the negative effects of a steady-state distorted pattern of total pressure inlet flow conditions, both under-design and off-design RPM [24,25,26].
This literature review indicates that, while a large body of literature studying the performance of gas turbine engines exists, it appears that a comprehensive investigation has not been considered on the F100-PW229 engine. Previously, researchers have applied machine learning algorithms on turbofan engines for their thermodynamic analysis and to predict their remaining useful life, among other topics. Professedly, this research is unprecedented as the use of supervised machine learning and deep learning for the prediction of parametric analysis of the aforementioned turbofan engine has not been researched before. Therefore, in the present study, the effects of various flight conditions on the F100-PW229 engine have been investigated. The effects of the Mach number, fan pressure ratio, altitude, turbine entry temperature, and bypass ratio on the specific thrust, propulsive efficiency, specific fuel consumption, and total fuel flow were examined. The regression learning models and deep neural networks were then programmed on this dataset to predict responses for new input data.
2. Materials and Methods
The Pratt & Whitney F100-PW229, a twin-spool, low BPR, afterburning turbofan engine that has powered combat planes, including the F-15 and F-16, was selected as the reference engine. A commercially available gas turbine simulation software, GasTurb 14, was used to create a dataset of engine performance response variables and input design parameters. After the validation of key performance parameters, like thrust and specific fuel consumption for afterburning and non-afterburning conditions, parametric analysis was carried out. Two parameters were simultaneously varied to generate a range of output variables. A total count of 24,636 data points was exported from the GasTurb 14 Parametric Studies module into Excel. The influence of every input parameter on the corresponding result parameter was visualized in graph form. The effects of the Mach number, fan pressure ratio, altitude, turbine entry temperature, and bypass ratio on the specific thrust, propulsive efficiency, specific fuel consumption, and total fuel flow were investigated. The regression learning models and deep neural networks were then programmed on this dataset to predict responses for new input data.
2.1. Parametric Analysis
Input and Output Variables
The input variables that were considered for this study are the Mach number, turbine entry temperature, altitude, BPR, and FPR. They are described below:
- Bypass ratio (BPR): The ratio of the fan output flow rate to the core mass flow rate. and are the mass flows that travel through the engine core and fan, respectively. The bypass ratio is represented by and computed as:
- Turbine entry temperature (TET): The temperature of the output gases from the combustion chamber that enter the turbine. The turbine inlet or entry temperature is an essential variable that can impact the combustion cycle. Higher numbers can boost the cycle’s net power production and efficiency.
- Fan pressure ratio: The ratio of fan discharge pressure to fan intake pressure. It is known that the ideal values of certain factors, such as the BPR and FPR, might greatly impact the values of the main performance metrics. The ideal FPR must be determined because, given all other factors, such as the overall pressure ratio, BPR, and turbine entrance temperature, the best FPR value assures maximum net thrust while minimizing specific fuel consumption (SFC).
The specific thrust and SFC are the major metrics for performance in an on-design type of analysis. Propulsive efficiency and total fuel flow are also considered among the output parameters. Equations (2)–(4) were obtained from Mattingly’s book, Aircraft Engine Design [27]. Steady, one-dimensional flow is assumed with the fluid behavior considered as a perfect gas. Specific thrust depends on the velocity ratio () and the overall static temperature ratio ().
- Specific thrust (): Engine thrust per unit mass flow rate, as outlined below:
where station 0 is at the inlet and station 9 is the exhaust, f is defined as the mass flow ratio of fuel to air in the combustion chamber: , β is the bleed air fraction: , and f0 is the total fuel flow to engine inlet airflow ratio: .
- Specific fuel consumption (SFC): Fuel consumed by a vehicle for each unit of power output.
- Propulsive efficiency (ηp): Thrust ratio to engine gas flow rate of kinetic energy output.
The boundary conditions of the parametric analysis were the range of input variables used throughout this study. This range is shown in Table 1. Other boundary conditions include generic fuel type with a fuel heating value of 42 MJ/kg, and the overall pressure ratio was set to 32:1.
Table 1.
Parametric study variables.
2.2. Machine Learning
Supervised learning involves data scientists feeding categorized training information to algorithms and indicates which programs have variables with relationships to explore. Both the algorithm’s input and output were supplied.
In MATLAB’s regression learner program, supervised machine learning is achieved through employing an established database (predictors) and responses. The regression model for each input variable is trained for the respective output parameters. Each dataset was trained using different regression models like linear regression, support vector machine (SVM), Gaussian process regression (GPR), etc. Consequently, four models were generated, with the basis of selection being the least root mean square error.
Cross-validation is a technique for determining how well the predictions of a machine learning model will apply to an independent data collection. Overfitting is when a model is unable to make generalizations and instead fits overly precisely to the training dataset. It can be avoided by splitting the data into folds and measuring the accuracy for every fold.
Following effective regression model training, the expected vs. actual response plot displays the regression algorithm. The predicted vs. actual plot evaluates the performance of the algorithm once it has been developed. This graphic shows the effectiveness of the model to estimate response. As the optimal model project response is equal to the real value, all of the points fall on a regression line. The deviations from the regression line are the prediction errors at that entry.
2.3. Deep Learning
An artificial neural network that has many layers of neurons connecting the input and the output is known as a multilayer perceptron (MLP). MLPs are often referred to as feedforward neural networks. Data transmission in one direction from the input to the output layer is known as feedforward. The output of each neuron is normally connected to the output of every neuron in the following layer. The hidden layers are found between the input and output layers. MLPs are suitable for supervised learning and were hence used for this problem. They are extremely adaptable and may be implemented to learn the relationship between variables and their responses. Since the dataset for the parametric analysis is tabularized with the input and output variables, MLPs can be easily trained to identify the mapping between them and predict their trends.
A deep neural network was developed in the Python programming language using Keras. The holdout technique is another type of cross-validation. The dataset was divided into two parts: the training set and the testing set. The key purpose behind separating the dataset into a validation set was to prevent our model from overfitting. Training data comprises 70% of the total data and 30% is used for the test data. The network’s hyperparameters include two hidden layers: the Adam optimizer and the ReLU activation function. The mean square error (MSE) cost function was minimized to be used as the evaluation metric. This is summarized in Table 2.
Table 2.
Artificial neural network parameters.
3. Results
3.1. Design Point Analysis
Design point calculations are carried out in GasTurb software for afterburning (wet) and non-afterburning (dry) conditions. In GasTurb 14 software, a two-spool mixed after-burning turbofan configuration was selected, as shown in Figure 1.
Figure 1.
(a) Graphical interface of GasTurb 14. (b) Design point calculation in GasTurb.
Validation
The F100-PW229 engine was simulated in GasTurb software to be used as the reference engine. Table 3 shows the parameters that were used in the design point analysis. Dry thrust, wet thrust, and thrust-specific fuel consumption rates of F100-PW229 were compared to verify the design point analysis. These engine specifications were gathered from the literature cited. In the course of using this data, engineering decisions were made.
Table 3.
F100-PW-229 engine input parameters.
The error between the published results and simulated results for the gas turbine simulation in the research conducted by Sabzehali et al. [6] and Sung [28] was greater than 9%. The error between the calculated and published data was also found to be less than 10% in this research, meaning that this engine model and simulation procedure can be used for parametric analysis. Table 4 shows the similarity between the calculated and published results.
Table 4.
Design point analysis results.
3.2. Engine Parametric Analysis
A parametric cycle analysis was conducted to investigate the effects of various flight conditions and engine parameters, like the Mach number, altitude, turbine entry temperature, BPR, and FPR, on the F100-PW229 engine. In GasTurb 14, the parametric analysis module was selected, as shown in Figure 2. For each design variable, a range was specified, and the performance parameter was plotted against this range. The results of the parametric analysis are shown in Figure 3, Figure 4, Figure 5, Figure 6 and Figure 7. Two parameters may also be simultaneously varied like in Figure 3, where the altitude and Mach number have been selected. In contrast, in Figure 5, Figure 6, Figure 7 and Figure 8 only one parameter was varied, with the other parameters being constant with the design point values, as listed in Table 2. These resulting trends conform with those typical for a turbofan, as published in the literature.
Figure 2.
(a) Parametric analysis in GasTurb 14. (b) Parameter selection for analysis.
Figure 3 and Figure 4 show the impacts of the Mach number and flight altitude on the specific thrust and SFC. The specific thrust decreases with the Mach number and increases with the altitude. Meanwhile, the SFC increases with the Mach number and slightly decreases with the altitude.
Figure 3.
(a) Effect of the Mach number on the specific thrust at different altitudes. (b) Effect of the Mach number on the specific fuel consumption at different altitudes.
Figure 3.
(a) Effect of the Mach number on the specific thrust at different altitudes. (b) Effect of the Mach number on the specific fuel consumption at different altitudes.

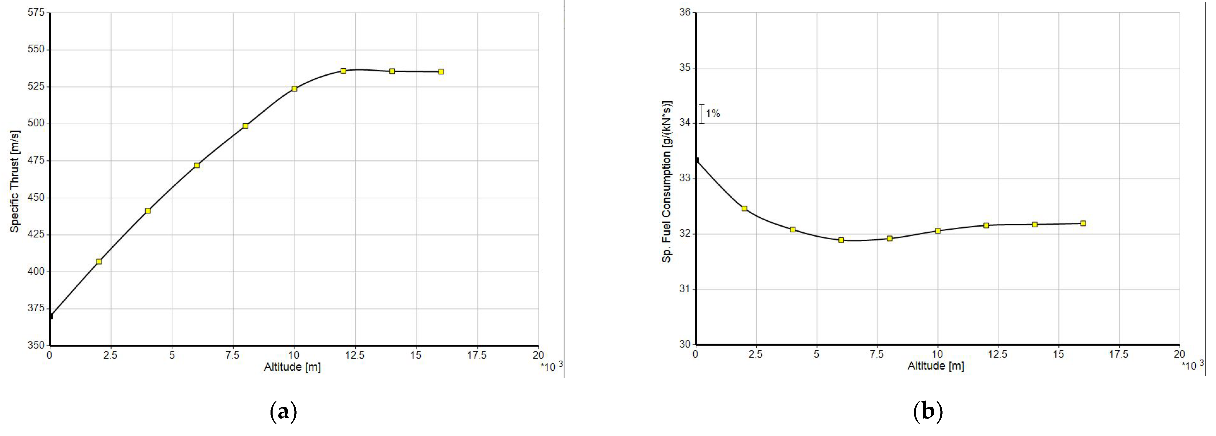
Figure 4.
(a) Effect of the altitude on the specific thrust. (b) Effect of the altitude on the specific fuel consumption.
Figure 4.
(a) Effect of the altitude on the specific thrust. (b) Effect of the altitude on the specific fuel consumption.

Figure 5 shows that increasing the bypass ratio decreased the specific thrust and specific fuel consumption.
Figure 5.
(a) Effect of the bypass ratio on the specific thrust. (b) Effect of the bypass ratio on the specific fuel consumption.
Figure 5.
(a) Effect of the bypass ratio on the specific thrust. (b) Effect of the bypass ratio on the specific fuel consumption.

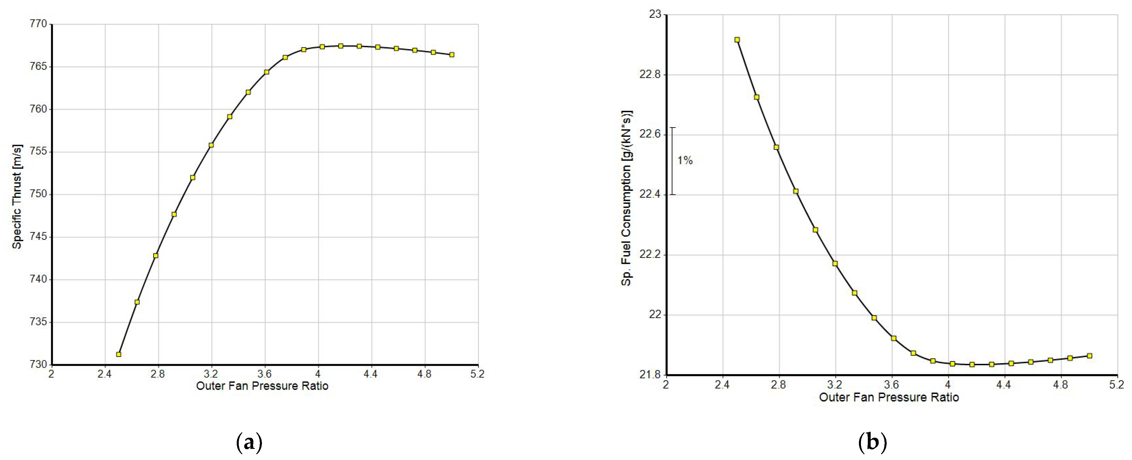
The effect of the fan pressure ratio on the specific thrust and specific fuel consumption is shown in Figure 6. It can be seen that the highest specific thrust and lowest specific fuel consumption correspond to the same fan pressure ratio.
Figure 6.
(a) Effect of the fan pressure ratio on the specific thrust. (b) Effect of the fan pressure ratio on the specific fuel consumption.
Figure 6.
(a) Effect of the fan pressure ratio on the specific thrust. (b) Effect of the fan pressure ratio on the specific fuel consumption.

Figure 7 depicts that increasing the turbine entry temperature (burner exit temperature) increases the specific thrust with little increase in the specific fuel consumption.
Figure 7.
(a) Effect of the turbine entry temperature on the specific thrust. (b) Effect of the turbine entry temperature on the specific fuel consumption.
Figure 7.
(a) Effect of the turbine entry temperature on the specific thrust. (b) Effect of the turbine entry temperature on the specific fuel consumption.

Figure 8.
Machine learning models trained for each input variable. (a) Regression and Tree models. (b) SVM and Ensemble models. (c) GPR and neural network models.
Figure 8.
Machine learning models trained for each input variable. (a) Regression and Tree models. (b) SVM and Ensemble models. (c) GPR and neural network models.

4. Discussion
Figure 3, Figure 4, Figure 5, Figure 6 and Figure 7 showing the effects of the Mach number, FPR, altitude, turbine entry temperature, and BPR on the specific thrust, propulsive efficiency, SFC, and total fuel flow are explained in detail below:
- Mach number: The specific thrust of a turbofan engine decreases with the Mach number at a specific altitude, as shown in Figure 3. As the turbine inlet temperature is restricted by material temperature restrictions, a rise in the Mach number reduces the potential to add energy to the combustor, and hence the specific thrust.
- Altitude: The fuel consumption per unit of thrust generated is measured via the SFC. Thrust decreases as altitude increases with a similar throttle position owing to a decrease in the air mass flow into the engine. As the air mass flow rate decreases, the engine control system correspondingly cuts the fuel flow. As the altitude climbs, the combustion efficiency drops, necessitating the use of more fuel to produce comparable energy at lower altitudes. As a result, SFC increases with altitude, as depicted in Figure 4.
- Bypass ratio: As shown in Figure 5, SFC declines with an increase in the BPR. The declining trend in the SFC indicates that the engine burns less fuel at a given thrust level. In addition, a lower SFC indicates that the turbofan engine produces a higher thrust for a given amount of fuel. The specific thrust drops with a higher bypass ratio due to the enormous quantity of total mass flow through the engine.
- Fan pressure ratio (FPR): Increasing the FPR leads to an initial fall in the SFC followed by an increase due to a rising propulsive efficiency at low FPRs. However, with greater FPRs, there is a rise in the SFC, which is attributable to a drop in propulsive efficiency. Since the fuel intake is set for a particular BPR, the lowest SFC and maximum specific thrust correspond to the same FPR. These trends are evident from Figure 6.
- Turbine entry temperature: The SFC and specific thrust increase with an increase in the turbine inlet temperature, as displayed in Figure 7. The enthalpy of the combustion gases increases as the turbine entry temperature increases, resulting in a greater output power that will improve the gas turbine’s total thermal efficiency. It affects fuel consumption since higher temperatures often demand higher fuel flow rates to maintain the necessary amount of power production.
4.1. Machine Learning
Four models were generated in MATLAB’s regression learner app, with the basis of selection being the least root mean square error (RMSE). Mean squared error (MSE) is the average of the squared difference of the dataset’s actual and forecasted values. It computes the residual variance. RMSE is the square root of MSE and evaluates the residuals’ standard deviation. Other evaluation metrics are mean absolute error (MAE), which is the absolute value of the error, and R-squared, which is the proportion of variation covered in the regression model. MSE and RMSE are the most common and prominent indicators to assess the predictive ability of a model, with lower values signifying higher accuracy. They are easy to interpret and greatly penalize larger errors. Table 5 summarizes the model and RMSE for each input variable and their respective response variables. For every input variable, a total of 24 models were trained and the model with the least RMSE was selected, as shown in Figure 8. The actual vs. predicted plot of the linear regression model and quadratic SVM are shown in Figure 9 for comparison.
Table 5.
Machine learning results.
Figure 9 shows the data points being located far away from the unity line, as the RMSE for linear regression and quadratic SVM was greater than that for Gaussian process regression. Hence, these models were not selected.
Figure 9.
Predicted response vs. actual response plots for the (a) linear regression model; and (b) quadratic SVM.
Figure 9.
Predicted response vs. actual response plots for the (a) linear regression model; and (b) quadratic SVM.

The predicted vs. actual response graphs for each model are shown in Figure 10, Figure 11, Figure 12 and Figure 13. The data points were located close to the unity line, proving that the regression models have successfully predicted the response values. Gaussian process regression and wide neural network models performed better than the rest of the regression models as the RMSE was closer to zero and the predicted values were distributed on the unity line.
Figure 10.
Predicted response vs. actual response plots for (a) specific thrust vs. altitude; (b) specific fuel consumption vs. altitude; (c) propulsive efficiency vs. altitude; and (d) total fuel flow vs. altitude.
Figure 11.
Predicted response vs. actual response plots for (a) specific thrust vs. design bypass ratio and outer fan pressure ratio; (b) specific fuel consumption vs. design bypass ratio and outer fan pressure ratio; (c) propulsive efficiency vs. design bypass ratio and outer fan pressure ratio; and (d) total fuel flow vs. design bypass ratio and outer fan pressure ratio.
Figure 12.
Predicted response vs. actual response plots for (a) specific thrust vs. turbine entry temperature; (b) specific fuel consumption vs. turbine entry temperature; (c) propulsive efficiency vs. turbine entry temperature; and (d) total fuel flow vs. turbine entry temperature.
Figure 13.
Predicted response vs. actual response plots for (a) specific thrust vs. Mach number and altitude; (b) specific fuel consumption vs. Mach number and altitude; (c) propulsive efficiency vs. Mach number and altitude; and (d) total fuel flow vs. Mach number and altitude.
4.2. Deep Learning
After division into training and test data, the dataset was standardized for quicker convergence. A batch size of 64 was used with 2000 epochs. Table 6 shows the mean square error of the deep neural network models for different inputs.
Table 6.
Mean Square Error value for ANN models.
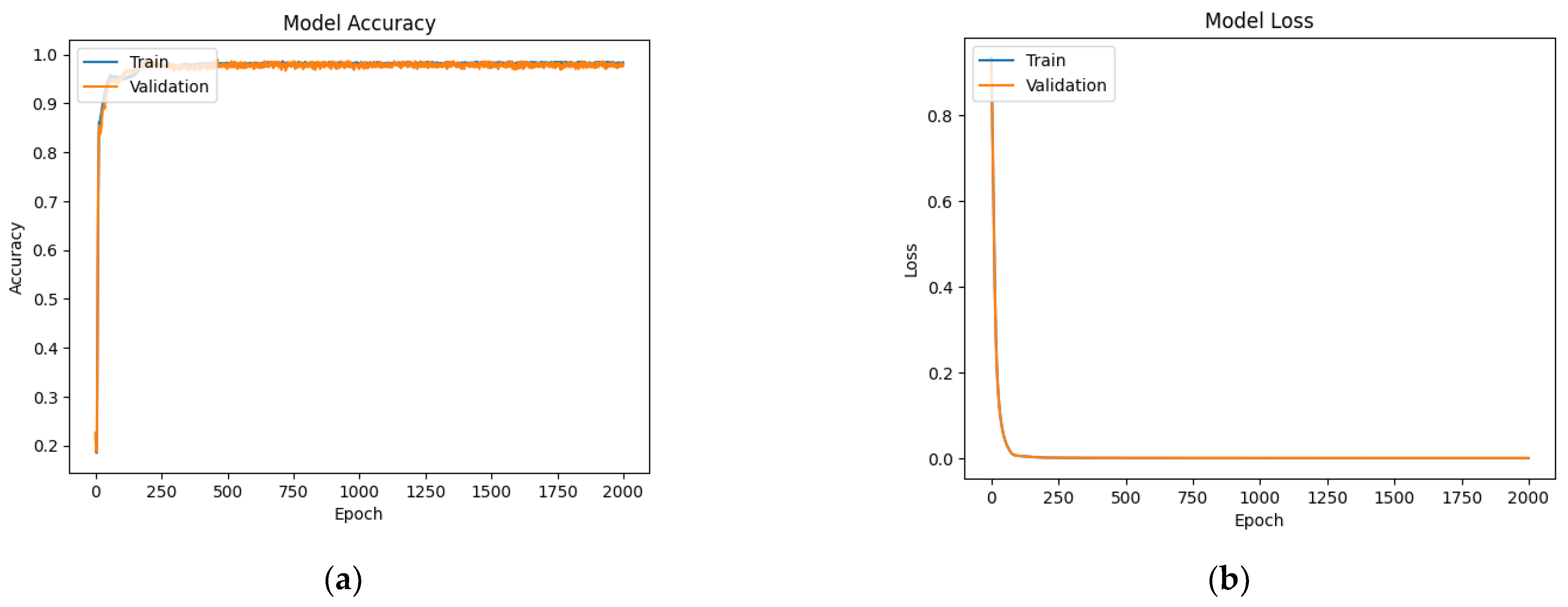
The model accuracy and model loss function for the deep neural network model is shown in Figure 14. The model accuracy for the training and validation data was greater than 95%.
Figure 14.
(a) Model accuracy at the train and validation phases. (b) Model loss at the train and validation phases.
The predicted vs. target value plot shows the effectiveness of the model in predicting new values. Since most of the data points were located close to the unity line, the ANN model is effectively trained [2]. Figure 15 shows these unity plots for each output variable.
Figure 15.
Unity plots for (a) specific thrust; (b) specific fuel consumption; (c) propulsive efficiency; and (d) total fuel flow.
Figure 15 shows the predicted values and target values of each performance variable. The predicted values were located closer to the unity line, showing the model’s accuracy. To prevent overfitting, k-fold cross-validation was implemented. This method divides the collection of observations into k sections, or folds, of about similar size at random. The first fold is used as a validation set, and the model is trained on the remaining k-1 folds. The mean accuracy of 10 folds turned out to be 0.81 for this ANN.
5. Conclusions
Parametric cycle analysis distinguishes the most promising cycle type and highlights the range of options for each design option. It provides the optimal solution by determining the most effective range of feasible design choices for every target profile. In this study, five input parameters were considered to determine their relationship with the functional parameters of a mixed-flow two-spool turbofan.
The machine learning regression models showed definite results of the output parameters, with the least root mean square error being 9.076 × . Among the various regression models, Gaussian process regression, the quadratic support vector machine, and the wide neural network were found to be the most effective in predicting the performance parameters of a turbofan engine.
The deep neural network model also accurately predicted each output parameter, given a combination of input parameters. It is shown through this study that a neural network with two hidden layers is sufficient to precisely predict a turbofan engine’s performance parameters, with a mean square error value of 0.004.
In conclusion, machine learning and deep learning models are promising approaches to conducting the parametric analysis of turbofan engines as compared to computationally extensive digital simulations.
Author Contributions
Conceptualization, M.U.S.; Methodology, Z.A.; Software, M.U.S. and Z.A.; Validation, Z.A. and R.F.S.; Investigation, Z.A., A.J. and R.F.S.; Resources, M.U.S., A.J. and R.F.S.; Writing—original draft preparation, Z.A.; Writing—review and editing, M.U.S.; Visualization, M.U.S. and Z.A.; Supervision, M.U.S. and A.J.; Project administration, M.U.S. All authors have read and agreed to the published version of the manuscript.
Funding
This research received no external funding.
Institutional Review Board Statement
Not applicable.
Informed Consent Statement
Not applicable.
Data Availability Statement
Not applicable.
Conflicts of Interest
The authors declare no conflict of interest.
Nomenclature
| Mass flow rate | |
| ANN | Artificial neural network |
| BPR | Bypass ratio |
| SFC | Specific fuel consumption |
| ML | Machine learning |
| GPR | Gaussian process regression |
| SVM | Support vector machine |
| Tab | Afterburner’s combustion temperature |
| ηfan | Fan efficiency |
| ηab | Afterburner efficiency |
References
- Cihangir, S.A.; Aygun, H.; Turan, O. Energy and performance analysis of a turbofan engine with the aid of dynamic component efficiencies. Energy 2022, 260, 125085. [Google Scholar] [CrossRef]
- Wolff, P.; Graña, M.; Ríos, S.A.; Yarza, M.B. Machine learning readmission risk modelling: A pediatric case study. Biomed. Res. Int. 2019, 2019, 8532892. [Google Scholar] [CrossRef]
- Nikpey, H.; Assadi, M.; Breuhaus, P. Development of an optimized artificial neural network model for combined heat and power micro gas turbines. Appl. Energy 2013, 108, 137–148. [Google Scholar] [CrossRef]
- Bartolini, C.M.; Caresana, F.; Comodi, G.; Pelagalli, L.; Renzi, M.; Vagni, S. Application of artificial neural networks to micro gas turbines. Energy Convers. Manag. 2011, 52, 781–788. [Google Scholar] [CrossRef]
- Gonca, G.; Guzel, B. Exergetic and Exergo-Economical Analyses of a Gas-Steam Combined Cycle System. J. Non-Equilib. Thermodyn. 2022, 47, 415–431. [Google Scholar] [CrossRef]
- Sabzehali, M.; Rabiee, A.H.; Alibeigi, M.; Mosavi, A. Predicting the energy and exergy performance of F135 PW100 turbofan engine via deep learning approach. Energy Convers. Manag. 2022, 265, 115775. [Google Scholar] [CrossRef]
- Fentaye, A.D.; Zaccaria, V.; Kyprianidis, K. Aircraft Engine Performance Monitoring and Diagnostics Based on Deep Convolutional Neural Networks. Machines 2021, 9, 337. [Google Scholar] [CrossRef]
- Talaat, M.; Gobran, M.H.; Wasfi, M. A hybrid model of an artificial neural network with a thermodynamic model for system diagnosis of electrical power plant gas turbine. Eng. Appl. Artif. Intell. 2018, 68, 222–235. [Google Scholar] [CrossRef]
- Park, Y.; Choi, M.; Kim, K.; Li, X.; Jung, C.; Na, S.; Choi, G. Prediction of operating characteristics for industrial gas turbine combustor using an optimized artificial neural network. Energy 2020, 213, 118769. [Google Scholar] [CrossRef]
- Tian, Y.; Chao, M.A.; Kulkarni, C.; Goebel, K.; Fink, O. Real-time model calibration with deep reinforcement learning. Mech. Syst. Signal Process. 2022, 165, 108284. [Google Scholar] [CrossRef]
- Orozco, D.J.R.; Venturini, O.J.; Palacio, J.C.E.; del Olmo, O.A. A new methodology of thermodynamic diagnosis, using the thermoeconomic method together with an artificial neural network (ANN): A case study of an externally fired gas turbine (EFGT). Energy 2017, 123, 20–35. [Google Scholar] [CrossRef]
- Liu, Z.; Karimi, I.A. Gas turbine performance prediction via machine learning. Energy 2020, 192, 116627. [Google Scholar] [CrossRef]
- Zhou, D.-W.; Lee, S.J.; Ma, C.F.; Bergles, A.E. Optimization of mesh screen for enhancing jet impingement heat transfer. Heat Mass Transf. 2005, 42, 501–510. [Google Scholar] [CrossRef]
- Thakkar, U.; Chaoui, H. Remaining Useful Life Prediction of an Aircraft Turbofan Engine Using Deep Layer Recurrent Neural Networks. Actuators 2022, 11, 67. [Google Scholar] [CrossRef]
- Altarazi, Y.S.M.; Saadon, S.; Yu, J.; Gires, E.; Ghafir, M.F.A.; Lucas, J. On-Design Operation and Performance Characteristic of Custom Engine. J. Adv. Res. Fluid Mech. Therm. Sci. 2020, 70, 144–154. [Google Scholar] [CrossRef]
- Hendricks, E.S.; Gray, J.S. pyCycle: A Tool for Efficient Optimization of Gas Turbine Engine Cycles. Aerospace 2019, 6, 87. [Google Scholar] [CrossRef]
- Gorji, M.; Kazemi, A.; Ganji, D.D. Thermodynamic Study of Turbofan Engine in Off-Design Conditions. Int. J. Eng. Trans. A Basics 2012, 27, 1139–1148. [Google Scholar] [CrossRef]
- De Giorgi, M.G.; Quarta, M. Hybrid MultiGene Genetic Programming—Artificial neural networks approach for dynamic performance prediction of an aero-engine. Aerosp. Sci. Technol. 2020, 103, 105902. [Google Scholar] [CrossRef]
- Aygun, H.; Turan, O. Exergetic sustainability off-design analysis of variable-cycle aero-engine in various bypass modes. Energy 2020, 195, 117008. [Google Scholar] [CrossRef]
- Zhou, D.; Yao, Q.; Wu, H.; Ma, S.; Zhang, H. Fault diagnosis of gas turbine based on partly interpretable convolutional neural networks. Energy 2020, 200, 117467. [Google Scholar] [CrossRef]
- Matuszczak, M.; Zbikowski, M.; Teodorczyk, A. Predictive modelling of turbofan engine components condition using machine and deep learning methods. Eksploat. Niezawodn. 2021, 23, 359–370. [Google Scholar] [CrossRef]
- Fang, J.; Zheng, Q.; Cai, C.; Chen, H.; Zhang, H. Deep reinforcement learning method for turbofan engine acceleration optimization problem within the full flight envelope. Aerosp. Sci. Technol. 2023, 136, 108228. [Google Scholar] [CrossRef]
- da Silva, F.C.; Grinet, M.A.M.V.; Silva, A.R.R. A Machine Learning Approach to Forecasting Turbofan Engine Health Using Real Flight Data. In Proceedings of the AIAA SCITECH 2022 Forum, San Diego, CA, USA, 3–7 January 2022. [Google Scholar] [CrossRef]
- Sohail, M.U.; Hamdani, H.R.; Islam, A.; Parvez, K.; Khan, A.M.; Allauddin, U.; Khurram, M.; Elahi, H. Prediction of Non-Uniform Distorted Flows, Effects on Transonic Compressor Using CFD, Regression Analysis and Artificial Neural Networks. Appl. Sci. 2021, 11, 3706. [Google Scholar] [CrossRef]
- Sohail, M.U.; Hamdani, H.R.; Parvez, K. Flow Angularity and Swirl Flow Analysis on Transonic Compressor Rotor by 1-Dimensional Dynamic Turbine Engine Compressor Code and CFD Analysis. Fluid Dyn. 2021, 56, 278–290. [Google Scholar] [CrossRef]
- Sohail, M.U.; Hassan, M.; Hamdani, S.H.R.; Pervez, K. Effects of Ambient Temperature on the Performance of Turbofan Transonic Compressor by CFD Analysis and Artificial Neural Networks. Eng. Technol. Appl. Sci. Res. 2019, 9, 4640–4648. [Google Scholar] [CrossRef]
- Mattingly, J.D.; Heiser, W.H.; Boyer, K.M.; Haven, B.A.; Pratt, D.T. Aircraft Engine Design, 3rd ed.; American Institute of Aeronautics and Astronautics: Reston, VA, USA, 2018. [Google Scholar] [CrossRef]
- Sung, R. A Comparative Study of the Gas Turbine Simulation Program (GSP) 11 and GasTurb 11 on Their Respective Simulations for a Single-Spool Turbojet. Master’s Thesis, University of Tennessee, Knoxville, TN, USA, 2013. [Google Scholar]
Disclaimer/Publisher’s Note: The statements, opinions and data contained in all publications are solely those of the individual author(s) and contributor(s) and not of MDPI and/or the editor(s). MDPI and/or the editor(s) disclaim responsibility for any injury to people or property resulting from any ideas, methods, instructions or products referred to in the content. |
© 2023 by the authors. Licensee MDPI, Basel, Switzerland. This article is an open access article distributed under the terms and conditions of the Creative Commons Attribution (CC BY) license (https://creativecommons.org/licenses/by/4.0/).







