A Coupling System for Prediction of Physiological Parameters in an Immersed Condition
Abstract
:1. Introduction
2. Methods
2.1. Coupling System
2.1.1. Thermal Manikin
2.1.2. Thermal Model
2.1.3. Coupling Procedures
2.1.4. Experiment Procedures
2.2. Subjects’ Test
2.2.1. Subjects
2.2.2. Life Preservers
2.2.3. Physiological Measurements
2.3. Statistical Analysis
3. Results
3.1. Heat Production
3.2. Core Temperature
3.3. Mean Skin Temperature
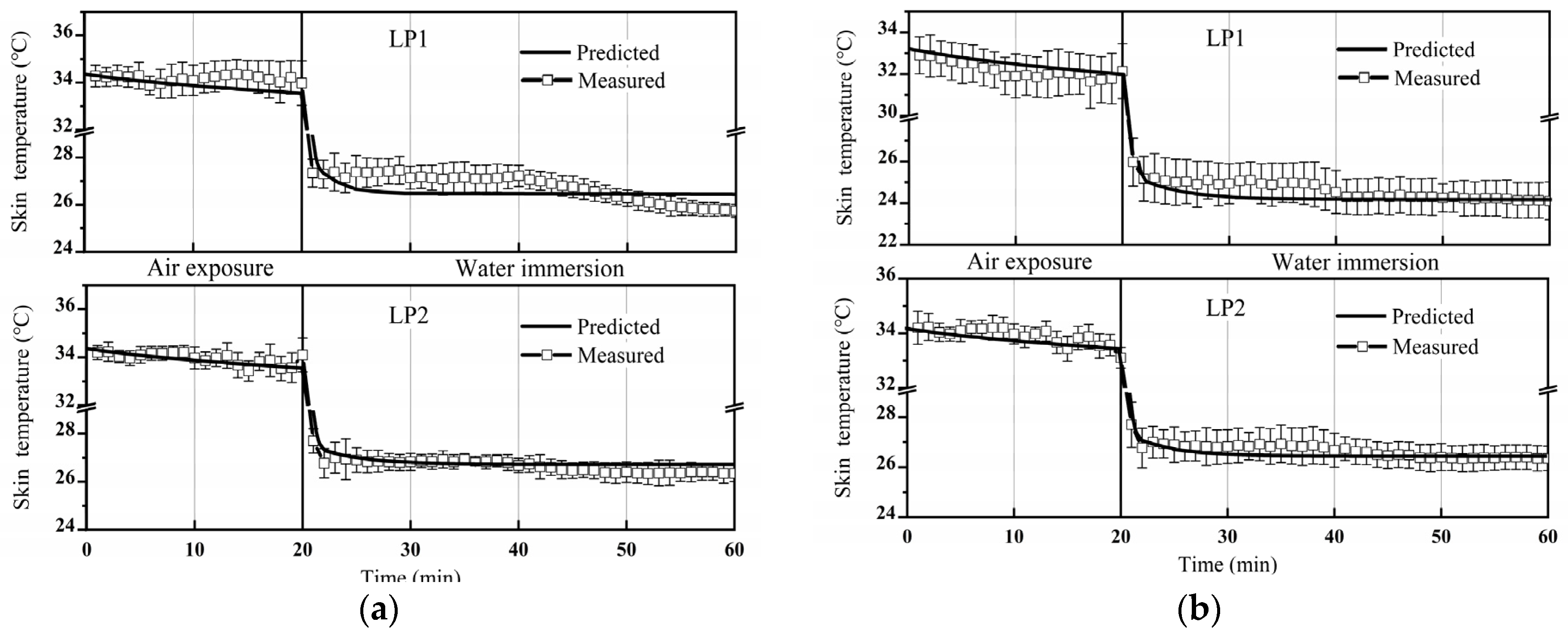
3.4. Local Skin Temperature
4. Discussion
4.1. The Effect of External Environment
4.2. The Effect of Life Preserver Type
4.3. The Limitation of the Coupling System
5. Conclusions
- (1)
- The simulated values of the coupled system were compared with the experimental measurements of the subjects, and the statistical analysis based on the paired samples t-test and RMSD indicated that the coupled system could predict typical physiological parameters such as core temperature, mean skin temperature, and local skin temperature with a relatively high accuracy. Therefore, the developed coupled system can be used for physiological parameter prediction.
- (2)
- The established coupling system makes use of the advantages of the thermal manikin and the human thermal model, so that the manikin can be actively adjusted according to the changes in the environment, which is closer to the actual situation than the traditional thermal manikin that only characterizes the warmth of the garment with the thermal resistance of the garment, and at the same time compensates for the defects of the human thermal model that cannot be simulated in the complex environment, which enhances the applicability of the human thermal model to satisfy the needs of life preserver testing and research and development.
- (3)
- By comparing the core and skin temperature values obtained from different life preservers worn by dummies in the same environment, the thermal protectiveness of different life preservers can be evaluated, and on this basis, it can also be used for human thermal comfort and cold shock assessment.
Author Contributions
Funding
Institutional Review Board Statement
Informed Consent Statement
Data Availability Statement
Conflicts of Interest
References
- Tikuisis, P.; Giesbrecht, G.G. Prediction of shivering heat production from core and mean skin temperatures. Eur. J. Appl. Physiol. 1999, 79, 221–229. [Google Scholar] [CrossRef] [PubMed]
- Power, J.; Tikuisis, P.; Ré, A.S.; Barwood, M.; Tipton, M. Correction factors for assessing immersion suits under harsh conditions. Appl. Ergon. 2016, 53, 87–94. [Google Scholar] [CrossRef] [PubMed]
- Golden, F. Survival at Sea for Mariners, Aviators and Search and Rescue Personnel; The Research and Technology Organisation (RTO) of NATO: Brussels, Belgium, 2008. [Google Scholar]
- Yang, R.; Wang, L.; Zhou, C.; Li, S.; Geng, D. Life Preservers: Concepts, Progress, and Challenges. Int. J. Aerosp. Psychol. 2020, 30, 77–88. [Google Scholar] [CrossRef]
- Eugene, H.W. Whole-body human thermal modeling, an alternative to immersion in cold water and other unpleasant endeavors. Heat. Trans. J. 2012, 134, 1–11. [Google Scholar]
- Yang, R.; Wu, Z.; Qian, X.; Shi, Y. Development of thermal resistance prediction model and measurement of thermal resistance of clothing under fully wet conditions. Text. Res. J. 2023, 93, 911–924. [Google Scholar] [CrossRef]
- Zhou, X.; Zhang, H.; Lian, Z.; Zhang, Y. A model for predicting thermal sensation of Chinese people. Build. Environ. 2014, 82, 237–246. [Google Scholar] [CrossRef]
- Yang, J.; Weng, W.; Zhang, B. Experimental and numerical study of physiological responses in hot environments. J. Therm. Biol. 2015, 45, 54–61. [Google Scholar] [CrossRef]
- Xie, Y.; Niu, J.; Zhang, H.; Liu, S.; Liu, J.; Huang, T.; Li, J.; Mak, C.M. Development of a multi-nodal thermal regulation and comfort model for the outdoor environment assessment. Build. Environ. 2020, 176. [Google Scholar] [CrossRef]
- Wu, J.; Hu, Z.; Gu, Y.; Li, L.; Zhu, H. A multi-segmented human bioheat model for cold and extremely cold exposures. Int. J. Therm. Sci. 2022, 173, 107394. [Google Scholar] [CrossRef]
- Yang, R.L.; Wu, Z.; Qian, X.; Shi, Y. Analysis and evaluation of the thermal performance of the combinations of suits and life jackets in water. Text. Res. J. 2022, 93, 1043–1056. [Google Scholar] [CrossRef]
- Psikuta, A.; Wang, L.C.; Rossi, R.M. Prediction of the physiological response of humans wearing protective clothing using a thermophysiological coupling system. J. Occup. Environ. Hyg. 2013, 10, 222–232. [Google Scholar] [CrossRef] [PubMed]
- Stolwijk, J. A Mathematical Model of Physiological Temperature Regulation in Man; NASA Technical Report No. NASA CR–1855; NASA: Washington, DC, USA, 1971.
- Fiala, D.; Havenith, G. Modelling Human Heat Transfer and Temperature Regulation. J. Appl. Physiol. 2015, 19, 265–302. [Google Scholar]
- Tanabe, S.-I.; Ozeki, Y.; Takabayashi, T. Numerical comfort simulator for evaluating thermal environment. Environ. Ergon 2005, 3, 459–466. [Google Scholar] [CrossRef]
- Montgomery, L. A model of heat transfer in immersed man. Ann. Biomed. Eng. 1974, 2, 19–46. [Google Scholar] [CrossRef] [PubMed]
- Xu, X.J.; Tikuisis, P.; Gonzalez, R.; Giesbrecht, G. Thermoregulatory model for prediction of long-term cold exposure. Comput. Biol. Med. 2005, 35, 287–298. [Google Scholar] [CrossRef] [PubMed]
- Wu, Z.; Yang, R.; Qian, X.; Yang, L.; Lin, M. A multi-segmented human bioheat model under immersed conditions. Int. J. Therm. Sci. 2023, 185. [Google Scholar] [CrossRef]
- Kim, K.; Lee, K.; Hwang, S. Comparative studies of thermal insulation performance of life vests by numerical analysis and experiment. J. Navig. Port. Res. 2016, 40, 7–14. [Google Scholar]
- Burke, R.; Curran, A.; Hepokoski, M. Integrating an active physiological and comfort model to the Newton sweating thermal manikin. In Proceedings of the 13th International Conference on Environmental Ergonomics, Boston, MA, USA, 2–7 August 2009. [Google Scholar]
- Yang, J.; Weng, W.; Fu, M. A coupling system to predict the core and skin temperatures of human wearing protective clothing in hot environments. Appl. Ergon. 2015, 51, 363–369. [Google Scholar] [CrossRef]
- Shi, Y.L.; Wang, L.; Qian, X. Effect of non-uniform skin of “Walter” on the evaporative resistance and thermal insulation of clothing. Int. J. Cloth. Sci. Technol. 2017, 29, 686–695. [Google Scholar] [CrossRef]
- ISO 15831; Clothing. Physiological Effects. Measurement of Thermal Insulation by Means of a Thermal Manikin. ISO Standards: Geneva, Switzerland, 2004.
- ISO 12402-3; Personal Flotation Devices-Part 3: Life Jackets, Performance Level 150-Safety Requirements. ISO Standards: Geneva, Switzerland, 2006.
- 25. ASTM F2370; Standard Test Method for Measuring the Evaporative Resistance of Clothing Using a Sweating Manikin. ASTM International: West Conshohocken, PA, USA, 2015.
- CAN/CGSB 65.16–99; Canadian General Standards Board Immersion Suit Systems. 2005.
- Ramanathan, N.L.; Racinais, S.; Wilson, M.G.; Gaoua, N.; Périard, J.D.; Rendell, R.A.; Prout, J.; Costello, J.T.; Massey, H.C.; Tipton, M.J.; et al. A new weighting system for mean surface temperature of the human body. J. Appl. Physiol. 1964, 19, 531–533. [Google Scholar] [CrossRef]
- Wang, F.M.; Shi, W.; Lu, Y.; Song, G.; Rossi, R.M.; Anaheim, S. Effects of moisture content and clothing fit on clothing apparent ‘wet’ thermal insulation: A thermal manikin study. Text. Res. J. 2016, 86, 57–63. [Google Scholar] [CrossRef]
- Parsons, K. Human Thermal Environments: The Effects of Hot, Moderate, and Cold Environments on Human Health, Comfort, and Performance; CCR Press: Boca Raton, FL, USA, 2014. [Google Scholar]
- Psikuta, A.; Fiala, D.; Laschewski, G.; Richards, M.; Błażejczyk, K.; Mekjavič, I.; Rintamäki, H.; Dear, R.; Havenith, G. Validation of the Fiala multi-node thermophysiological model for UTCI application. Int. J. Biometerol. 2012, 56, 443–460. [Google Scholar]
- Wissler, E.H. Mathematical simulation of human thermal behavior using whole body models. Heat. Transf. Med. Biol. 1985, 1, 325–373. [Google Scholar]
- Heus, R.; Hein, A.M.; Havenith, G. Physiological criteria for functioning of hands in the cold. Appl. Ergon. 1995, 26, 5–13. [Google Scholar] [CrossRef] [PubMed]
- Markle, R.L. A Study of Life Saving Systems for Small Passenger Vessels; USCG Study; USCG: Washington, DC, USA, 1991; pp. 5–29. [Google Scholar]
- Munir, A.; Takada, S.; Matsushita, T. Re-evaluation of Stolwijk’s 25-node human thermal model under thermal-transient conditions: Prediction of skin temperature in low-activity conditions. Build. Environ. 2009, 44, 1777–1787. [Google Scholar]
- Keatinge, W.R. Survival in Cold Water; Blackwell Press: Oxford, UK, 1969; ISBN 0632052805. [Google Scholar]









Disclaimer/Publisher’s Note: The statements, opinions and data contained in all publications are solely those of the individual author(s) and contributor(s) and not of MDPI and/or the editor(s). MDPI and/or the editor(s) disclaim responsibility for any injury to people or property resulting from any ideas, methods, instructions or products referred to in the content. |
© 2023 by the authors. Licensee MDPI, Basel, Switzerland. This article is an open access article distributed under the terms and conditions of the Creative Commons Attribution (CC BY) license (https://creativecommons.org/licenses/by/4.0/).
Share and Cite
Wu, Z.; Yang, R.; Qian, X.; Shi, Y.; Zou, C. A Coupling System for Prediction of Physiological Parameters in an Immersed Condition. Appl. Sci. 2023, 13, 11059. https://doi.org/10.3390/app131911059
Wu Z, Yang R, Qian X, Shi Y, Zou C. A Coupling System for Prediction of Physiological Parameters in an Immersed Condition. Applied Sciences. 2023; 13(19):11059. https://doi.org/10.3390/app131911059
Chicago/Turabian StyleWu, Zijiang, Ruiliang Yang, Xiaoming Qian, Yunlong Shi, and Chi Zou. 2023. "A Coupling System for Prediction of Physiological Parameters in an Immersed Condition" Applied Sciences 13, no. 19: 11059. https://doi.org/10.3390/app131911059
APA StyleWu, Z., Yang, R., Qian, X., Shi, Y., & Zou, C. (2023). A Coupling System for Prediction of Physiological Parameters in an Immersed Condition. Applied Sciences, 13(19), 11059. https://doi.org/10.3390/app131911059

