Thermogravimetric Assessment and Differential Thermal Analysis of Blended Fuels of Coal, Biomass and Oil Sludge
Abstract
:1. Introduction
2. Material and Methods
2.1. Material
2.2. Thermogravimetric Experiment and Differential Thermal Experiment
2.3. Analytical Method
3. Results and Discussion
3.1. Combustion Characteristics of Raw Materials
3.2. Influence of Biomass Species on Combustion Characteristics
3.3. Influence of Blended Ratio on Combustion Characteristics
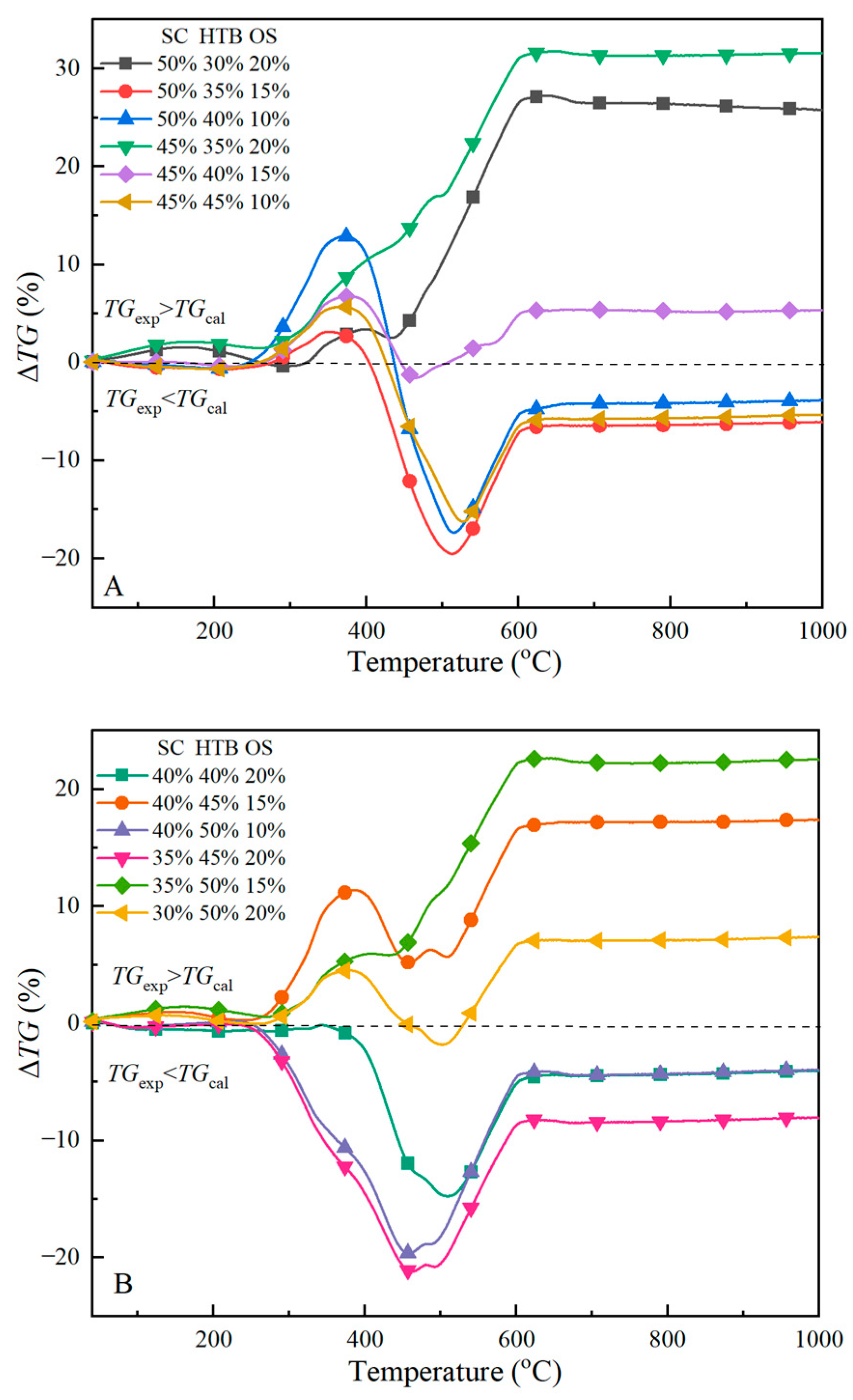
3.4. The Synergistic Effect of Tri-Fuel
3.5. Kinetic Analysis
4. Conclusions
- (1)
- The weight loss rate curve of bituminous coal exhibits a distinct peak value. The combustion of wood pellets could be divided into two processes, including the combustion of compound carbon (236.0–382.0 °C) and fixed carbon (383.0–610.0 °C). The combined combustion index (Ci) of BA wood pellets is as high as 1.88 × 10−7. The combustion properties of oil sludge are poor with a large amount of ash.
- (2)
- The effective blending of wood pellets enhances the combustion capacity of the tri-fuel and raises the Ci. The largest weight loss peak is correlated with a lower temperature and a more intense combustion. The KOL wood pellets exhibited the most pronounced effect in reducing the ignition temperature (Ti) to 265.0 °C among the three different wood pellets. The mixing ratio has the most significant influence on the combustion performance of tri-fuel with HTB.
- (3)
- The blending combustion of SC, HTB and OS has a significant synergistic effect. The char combustion of SC and HTB promote each other. When there is a high SC mixing ratio, an excess of OS inhibits the tri-fuel’s combustion. As the OS ratio increases from 10% to 20% with 45% HTB, Ti decreases from 354.9 to 269.8 °C, while Th drops by 12%. The impact of OS on the ignition performance is greater than that on the burnout performance.
- (4)
- The most probable function f(α) of tri-fuel is obtained by the master plot method. The f(α) is [−ln(1 − α)]2 for tri-fuel of most mixing ratios when the conversion rate α < 0.5, while f(α) becomes [−ln(1 − α)]3 at α > 0.5. At the high HTB level, an increase in OS content causes the activation energy to decrease to 35.87 and 49.04 kJ mol−1 and the pre-exponential factor increases significantly at 0.5 < α < 0.8. OS particles provide numerous relatively small units for combustion, so that HTB and SC with the dense particle arrangement can be exposed to more oxygen. The moderate blending of oil sludge improves the pre-finger factor and the combustion performance.
Author Contributions
Funding
Institutional Review Board Statement
Informed Consent Statement
Data Availability Statement
Acknowledgments
Conflicts of Interest
References
- Kantova, N.C.; Sladek, S.; Jandacka, J.; Caja, A.; Nosek, R. Simulation of Biomass Combustion with Modified Flue Gas Tract. Appl. Sci. 2021, 11, 1278. [Google Scholar] [CrossRef]
- Zhang, X.; Ma, J.; Liu, L.; Shen, B.; Li, Z.; Zhang, Z. Melting solidification of oily sludge with coal fly ash: Fusion characteristics, phases transformation and metals leaching behavior. Fuel 2023, 332, 126240. [Google Scholar] [CrossRef]
- Xu, M.; Zhang, J.; Liu, H.; Zhao, H.; Li, W. The resource utilization of oily sludge by co-gasification with coal. Fuel 2014, 126, 55–61. [Google Scholar] [CrossRef]
- Cheng, S.; Wang, Y.; Fumitake, T.; Kouji, T.; Li, A.; Kunio, Y. Effect of steam and oil sludge ash additive on the products of oil sludge pyrolysis. Appl. Energy 2017, 185, 146–157. [Google Scholar] [CrossRef]
- Wang, Z.; Gong, Z.; Wang, W.; Zhang, Z. Study on combustion characteristics and the migration of heavy metals during the co-combustion of oil sludge char and microalgae residue. Renew. Energy 2020, 151, 648–658. [Google Scholar] [CrossRef]
- Nhut Minh, N.; Alobaid, F.; Dieringer, P.; Epple, B. Biomass-Based Chemical Looping Gasification: Overview and Recent Developments. Appl. Sci. 2021, 11, 7069. [Google Scholar] [CrossRef]
- Gan, J.; Smith, C.T. Biomass Utilization Allocation in Biofuel Production: Model and Application. Int. J. For. Eng. 2012, 23, 38–47. [Google Scholar] [CrossRef]
- Burak, U.; Bozidar, A.; Liyan, Z.; Weigang, L.; Bona, L.; Wei, W.; Kim, D.J.; Hao, W. Multifunctional Additives for NOX Abatement in Fluidized Bed Biomass Combustion. Energy Fuels 2021, 35, 12367–12379. [Google Scholar] [CrossRef]
- Li, Y.; Lin, X.; Li, Z.; Liu, J. Highly-Efficient and Visible Light Photocatalytical Degradation of Organic Pollutants Using TiO2-Loaded on Low-Cost Biomass Husk. Materials 2022, 15, 8671. [Google Scholar] [CrossRef]
- Paolo, L.; Vincenzo, C.; Aldo, C. Economic and environmental sustainability of Dynamic Wireless Power Transfer for electric vehicles supporting reduction of local air pollutant emissions. Renew. Sustain. Energy Rev. 2020, 138, 110537. [Google Scholar] [CrossRef]
- Alper, K.; Tekin, K.; Karagöz, S.; Ragauskas, A.J. Sustainable energy and fuels from biomass: A review focusing on hydrothermal biomass processing. Sustain. Energy Fuels 2020, 4, 4390–4414. [Google Scholar] [CrossRef]
- Gu, J.; Zhang, M.; Wang, S.; Liu, Y. Integrated upflow anaerobic fixed-bed and single-stage step-feed process for mainstream deammonification: A step further towards sustainable municipal wastewater reclamation. Sci. Total Environ. 2019, 678, 559–564. [Google Scholar] [CrossRef] [PubMed]
- Farid, M.M.; Jeong, H.J.; Hwang, J. Kinetic study on coal–biomass mixed char co-gasification with H2O in the presence of H2. Fuel 2016, 181, 1066–1073. [Google Scholar] [CrossRef]
- Fadzil, S.M.; Sarmani, S.; Majid, A.A.; Hamzah, A.; Khoo, K.S. Modeling of cumulative release on long term leaching behaviour of selected oil sludge from crude oil terminal and petroleum refining plant. J. Radioanal. Nucl. Chem. 2013, 297, 265–270. [Google Scholar] [CrossRef]
- Yuan, G.; Liang, R.; Duan, E.; Liu, R. Co-combustion characteristics and kinetic analysis of three different wastes of antibiotic fermentation and coal. Sustain. Energy Fuels 2023, 7, 1793–1803. [Google Scholar] [CrossRef]
- Prompubess, C.; Mekasut, L.; Piumsomboon, P.; Kuchontara, P. Co-combustion of coal and biomass in a circulating fluidized bed combustor. Korean J. Chem. Eng. 2007, 24, 985–995. [Google Scholar] [CrossRef]
- Li, M. Study on co-combustion characteristics of pulverized coal and different biomass at large mixing ratios. Clean Coal Technol. 2020, 26, 86–92. [Google Scholar] [CrossRef]
- Wu, P.; Han, K. Thermpgravimetric analysis and kinetic study on blended fuel of semicoke and straw. Clean Coal Technol. 2022, 28, 134–142. [Google Scholar] [CrossRef]
- Kazagic, A.; Smajevic, I. Experimental investigation of ash behavior and emissions during combustion of Bosnian coal and biomass. Energy 2007, 32, 2006–2016. [Google Scholar] [CrossRef]
- Liao, X.; Surjit, S.; Yang, H.; Wu, C.; Zhang, S. A thermogravimetric assessment of the tri-combustion process for coal, biomass and polyethylene. Fuel 2020, 287, 119355. [Google Scholar] [CrossRef]
- Niu, S.; Chen, M.; Li, Y.; Song, J. Co-combustion characteristics of municipal sewage sludge and bituminous coal. J. Therm. Anal. Calorim. 2018, 131, 1821–1834. [Google Scholar] [CrossRef]
- Trache, D. Comments on “Co-pelletization of sewage sludge and biomass: Thermogravimetric analysis and ash deposits”. Fuel Process. Technol. 2016, 153, 173. [Google Scholar] [CrossRef]
- Fang, S.; Yu, Z.; Lin, Y.; Hu, S.; Liao, Y.; Ma, X. Thermogravimetric analysis of the co-pyrolysis of paper sludge and municipal solid waste. Energy Convers. Manag. 2015, 101, 626–631. [Google Scholar] [CrossRef]
- Scala, F.; Chirone, R. Fluidized bed combustion of alternative solid fuels. Exp. Therm. Fluid Sci. 2003, 28, 691–699. [Google Scholar] [CrossRef]
- Li, S.; Niu, S.; Han, K.; Li, Y.; Wang, Y.; Lu, C. Investigating the co-combustion characteristics of oily sludge and ginkgo leaves through thermogravimetric analysis coupled with an artificial neural network. Sci. China (Technol. Sci.) 2022, 65, 261–271. [Google Scholar] [CrossRef]
- Abian, M.; Alzueta, M.U.; Carvalho, A.; Rabacal, M.; Costa, M. Role of Potassium and Calcium on the Combustion Characteristics of Biomass Obtained from Thermogravimetric Experiments. Energy Fuels 2017, 31, 12238–12246. [Google Scholar] [CrossRef]
- Lysenko, E.N.; Surzhikov, A.P.; Nikolaev, E.V.; Vlasov, V.A.; Zhuravkov, S.P. The oxidation kinetic study of mechanically milled ultrafine iron powders by thermogravimetric analysis. J. Therm. Anal. Calorim. 2018, 134, 307–312. [Google Scholar] [CrossRef]
- Greenhalf, C.E.; Nowakowski, D.J.; Harms, A.B.; Titiloye, J.O.; Bridgwater, A.V. A comparative study of straw, perennial grasses and hardwoods in terms of fast pyrolysis products. Fuel 2013, 108, 216–230. [Google Scholar] [CrossRef]
- Liu, H.-P.; Liang, W.-X.; Qin, H.; Wang, Q. Synergy in co-combustion of oil shale semi-coke with torrefied cornstalk. Appl. Therm. Eng. 2016, 109, 653–662. [Google Scholar] [CrossRef]
- Qin, H.; Wang, W.; Liu, H.; Zhang, L.; Wang, Q.; Shi, C.; Yao, K. Thermal behavior research for co-combustion of furfural residue and oil shale semi-coke. Appl. Therm. Eng. 2017, 120, 19–25. [Google Scholar] [CrossRef]
- Kumar, A.; Mylapilli, S.V.P.; Reddy, S.N. Thermogravimetric and kinetic studies of metal (Ru/Fe) impregnated banana pseudo-stem (Musa acuminate). Bioresour. Technol. 2019, 285, 121318. [Google Scholar] [CrossRef] [PubMed]
- Miao, W.; Li, X.; Wang, Y.; Lv, Y. Pyrolysis characteristics of oil-field sludge and the comparison of kinetic analysis with two representative methods. J. Pet. Sci. Eng. 2019, 182, 106309. [Google Scholar] [CrossRef]
- Cui, B.; Guan, Y.; Bi, W. Non-isothermal Kinetic Analysis on the Thermal Decomposition of the Phase 517 from Hydration Product of Magnesium Sulfide Cement. J. Wuhan Univ. Technol. Mater. Sci. Ed. 2023, 38, 374–380. [Google Scholar] [CrossRef]
- Huang, Z.; Zhao, Y.; Qin, L.; Qin, Y. Preparation and Thermal Decomposition Mechanism of Magnesium Oxychloride Cement. J. Wuhan Univ. Technol. 2008, 30, 39–42. [Google Scholar]
- Liu, L.; Wang, Z.; Qin, Y. The Combustion Characteristics of Coal Blends under Low Oxygen Atmosphere Using the Thermogravimetric Analyzer. In Proceedings of the 6th Annual International Conference on Material Science and Environmental Engineering (MSEE), Chongqing, China, 23–25 November 2019. [Google Scholar] [CrossRef]
- Zhang, L.; Duan, F.; Huang, Y. Effect of organic calcium compounds on combustion characteristics of rice husk, sewage sludge, and bituminous coal: Thermogravimetric investigation. Bioresour. Technol. 2015, 181, 62–71. [Google Scholar] [CrossRef]
- Rueda, S.J.; de Vasconcelos, B.R.; Duret, X.; Lavoie, J.-M. Lignin Pellets for Advanced Thermochemical Process-From a Single Pellet System to a Laboratory-Scale Pellet Mill. Energies 2022, 15, 3007. [Google Scholar] [CrossRef]
- Wen, H.; Zhang, Y.; Ji, D.; Zhang, G. Co-combustion of oil sludge char and brown coal: Characteristics and kinetics. CIESC J. 2020, 71, 755–765. [Google Scholar]
- Zhao, R.; Qin, J.; Chen, T.; Wang, L.; Wu, J. Experimental study on co-combustion of low rank coal semicoke and oil sludge by TG-FTIR. Waste Manag. 2020, 116, 91–99. [Google Scholar] [CrossRef]
- Shi, B.; Qiao, F.; Zhang, G.; Liu, X.; Zhang, Y.; Wen, H.; Wang, F.; Zhang, J.; Xu, G. Co-Combustion of Oil Sludge Char and Brown Coal in a Continuous Fluidized-Bed Combustor. Chem. Ing. Tech. 2022, 95, 77–88. [Google Scholar] [CrossRef]
- Deng, L.; Qiu, Y.; Jiang, J.; Zhu, Z.; Che, D. Co-combustion characteristics of electrolytic aluminum waste and coal. Fuel 2022, 325, 124890. [Google Scholar] [CrossRef]






| Sample | Proximate Analysis (wt.%) | Ultimate Analysis (wt.%) | Qnet,p,ar kJ kg−1 | ||||||||
|---|---|---|---|---|---|---|---|---|---|---|---|
| Mad | Aad | Vad | FCad a | Cad | Had | Oad a | Nad | Sad | Clad | ||
| SC | 10.58 | 11.07 | 28.96 | 49.39 | 60.46 | 3.17 | 12.82 | 1.19 | 0.70 | 0.01 | 19,280 | 
| HTB | 3.62 | 6.83 | 72.94 | 16.61 | 44.72 | 5.32 | 38.99 | 0.48 | 0.04 | 0.01 | 16,120 | 
| KOL | 3.82 | 11.10 | 68.41 | 16.67 | 42.59 | 5.15 | 36.85 | 0.43 | 0.06 | 0.01 | 15,200 | 
| BA | 5.58 | 6.03 | 68.51 | 19.88 | 44.21 | 5.14 | 38.49 | 0.48 | 0.05 | 0.02 | 16,380 | 
| OS | 39.8 | 34.24 | 23.64 | 2.32 | 21.79 | 3.20 | 0.28 | 0.18 | 0.54 | 0.07 | 7990 | 
| Samples | Blend Ratio | (dw/dt)mean (% min−1) | (dw/dt)max (% min−1) | Tmax (°C) | Ti (°C) | Th (°C) | Ci (10−7) | Csi | 
|---|---|---|---|---|---|---|---|---|
| SC | - | 1.0 | 4.21 | 487.5 | 398.2 | 572.8 | 0.46 | 1862 | 
| HTB | - | 0.89 | 5.69 | 324.3 | 269.9 | 409.3 | 1.69 | 5581 | 
| KOL | - | 0.89 | 5.60 | 328.4 | 272.1 | 408.2 | 1.65 | 5381 | 
| BA | - | 0.95 | 6.07 | 326.2 | 272.6 | 408.5 | 1.88 | 5860 | 
| OS | - | 0.38 | 1.93 | 446.6 | 288.4 | 524.4 | 0.17 | 1286 | 
| SC:KOL:OS | 50%:30%:20% | 0.80 | 4.29 | 427.0 | 301.8 | 491.0 | 0.77 | 2859 | 
| 40%:45%:15% | 0.91 | 4.76 | 441.0 | 319.1 | 497.4 | 0.86 | 2904 | |
| 35%:45%:20% | 0.84 | 4.28 | 324.3 | 265.0 | 447.0 | 1.14 | 4276 | |
| SC:BA:OS | 50%:30%:20% | 0.64 | 3.12 | 417.5 | 288.5 | 471.7 | 0.51 | 2224 | 
| 40%:45%:15% | 0.71 | 3.79 | 424.0 | 318.1 | 479.9 | 0.55 | 2413 | |
| 35%:45%:20% | 0.91 | 4.27 | 463.4 | 324.3 | 514.6 | 0.72 | 2439 | |
| SC:HTB:OS | 50%:30%:20% | 0.56 | 2.82 | 423.7 | 310.2 | 492.1 | 0.33 | 1843 | 
| 50%:35%:15% | 0.93 | 5.57 | 448.7 | 358.6 | 503.9 | 0.80 | 2974 | |
| 50%:40%:10% | 0.93 | 6.54 | 439.5 | 374.4 | 502.8 | 0.86 | 3410 | |
| 45%:35%:20% | 0.50 | 2.30 | 437.3 | 317.5 | 509.0 | 0.23 | 1423 | |
| 45%:40%:15% | 0.80 | 4.36 | 440.0 | 440.0 | 510.7 | 0.35 | 1934 | |
| 45%:45%:10% | 0.94 | 5.20 | 447.5 | 354.9 | 514.3 | 0.75 | 2812 | |
| 40%:40%:20% | 0.87 | 4.76 | 438.6 | 338.6 | 498.4 | 0.72 | 2751 | |
| 40%:45%:15% | 0.67 | 4.11 | 432.0 | 353.5 | 494.5 | 0.45 | 2311 | |
| 40%:50%:10% | 0.92 | 4.46 | 326.7 | 271.5 | 455.1 | 1.22 | 4314 | |
| 35%:45%:20% | 0.91 | 4.34 | 326.7 | 269.8 | 452.7 | 1.19 | 4227 | |
| 35%:50%:15% | 0.62 | 2.67 | 433.8 | 294.6 | 489.9 | 0.39 | 1795 | |
| 30%:50%:20% | 0.74 | 3.47 | 438.0 | 313.1 | 502.0 | 0.52 | 2172 | 
| Samples | Blend Ratio | α | E (kJ mol−1) | A (min−1) | f(α) | 
|---|---|---|---|---|---|
| SC | - | 0.2–0.8 | 63.49 | 255.50 | (1 − α)3.2 | 
| SC:KOL:OS | 50%:30%:20% | 0.2–0.5 | 42.50 | 189.03 | [−ln(1 − α)]2 | 
| 0.5–0.8 | 37.71 | 92.05 | [−ln(1 − α)]3 | ||
| 40%:45%:15% | 0.2–0.5 | 43.21 | 192.18 | [−ln(1 − α)]2 | |
| 0.5–0.8 | 37.86 | 79.55 | [−ln(1 − α)]3 | ||
| 35%:45%:20% | 0.2–0.5 | 38.36 | 100.43 | [−ln(1 − α)]2 | |
| 0.5–0.8 | 45.10 | 567.46 | [−ln(1 − α)]3 | ||
| SC:BA:OS | 50%:30%:20% | 0.2–0.5 | 41.28 | 150.32 | [−ln(1 − α)]2 | 
| 0.5–0.8 | 34.71 | 46.50 | [−ln(1 − α)]3 | ||
| 40%:45%:15% | 0.2–0.5 | 37.16 | 50.78 | [−ln(1 − α)]2 | |
| 0.5–0.8 | 36.62 | 59.33 | [−ln(1 − α)]3 | ||
| 35%:45%:20% | 0.2–0.5 | 36.27 | 66.24 | [−ln(1 − α)]2 | |
| 0.5–0.8 | 41.07 | 239.30 | [−ln(1 − α)]3 | ||
| SC:HTB:OS | 50%:30%:20% | 0.2–0.5 | 36.81 | 52.91 | [−ln(1 − α)]2 | 
| 0.5–0.8 | 24.66 | 4.26 | [−ln(1 − α)]3 | ||
| 50%:35%:15% | 0.2–0.5 | 51.59 | 682.45 | [−ln(1 − α)]2 | |
| 0.5–0.8 | 28.23 | 5.62 | [−ln(1 − α)]3 | ||
| 50%:40%:10% | 0.2–0.5 | 71.36 | 22,029.19 | [−ln(1 − α)]2 | |
| 0.5–0.8 | 53.46 | 699.46 | [−ln(1 − α)]3 | ||
| 45%:35%:20% | 0.2–0.5 | 36.22 | 39.72 | [−ln(1 − α)]2 | |
| 0.5–0.8 | 26.66 | 6.27 | [−ln(1 − α)]3 | ||
| 45%:40%:15% | 0.2–0.5 | 42.42 | 111.83 | [−ln(1 − α)]2 | |
| 0.5–0.8 | 24.76 | 2.77 | [−ln(1 − α)]3 | ||
| 45%:45%:10% | 0.2–0.5 | 46.86 | 271.30 | [−ln(1 − α)]2 | |
| 0.5–0.8 | 27.94 | 5.48 | [−ln(1 − α)]3 | ||
| 40%:40%:20% | 0.2–0.5 | 29.00 | 11.70 | [−ln(1 − α)]2 | |
| 0.5–0.8 | 22.46 | 2.05 | [−ln(1 − α)]3 | ||
| 40%:45%:15% | 0.2–0.5 | 46.76 | 310.25 | [−ln(1 − α)]2 | |
| 0.5–0.8 | 25.85 | 4.13 | [−ln(1 − α)]3 | ||
| 40%:50%:10% | 0.2–0.5 | 35.87 | 56.39 | [−ln(1 − α)]2 | |
| 0.5–0.8 | 49.04 | 1252.78 | [−ln(1 − α)]3 | ||
| 35%:45%:20% | 0.2–0.5 | 35.83 | 55.77 | [−ln(1 − α)]2 | |
| 0.5–0.8 | 46.43 | 698.35 | [−ln(1 − α)]3 | ||
| 35%:50%:15% | 0.2–0.5 | 33.05 | 29.09 | [−ln(1 − α)]2 | |
| 0.5–0.8 | 37.30 | 93.81 | [−ln(1 − α)]3 | ||
| 30%:50%:20% | 0.2–0.5 | 37.24 | 58.54 | [−ln(1 − α)]2 | |
| 0.5–0.8 | 37.31 | 76.92 | [−ln(1 − α)]3 | 
| Disclaimer/Publisher’s Note: The statements, opinions and data contained in all publications are solely those of the individual author(s) and contributor(s) and not of MDPI and/or the editor(s). MDPI and/or the editor(s) disclaim responsibility for any injury to people or property resulting from any ideas, methods, instructions or products referred to in the content. | 
© 2023 by the authors. Licensee MDPI, Basel, Switzerland. This article is an open access article distributed under the terms and conditions of the Creative Commons Attribution (CC BY) license (https://creativecommons.org/licenses/by/4.0/).
Share and Cite
Dong, L.; Huang, X.; Ren, J.; Deng, L.; Da, Y. Thermogravimetric Assessment and Differential Thermal Analysis of Blended Fuels of Coal, Biomass and Oil Sludge. Appl. Sci. 2023, 13, 11058. https://doi.org/10.3390/app131911058
Dong L, Huang X, Ren J, Deng L, Da Y. Thermogravimetric Assessment and Differential Thermal Analysis of Blended Fuels of Coal, Biomass and Oil Sludge. Applied Sciences. 2023; 13(19):11058. https://doi.org/10.3390/app131911058
Chicago/Turabian StyleDong, Lingxiao, Xiaole Huang, Jiyun Ren, Lei Deng, and Yaodong Da. 2023. "Thermogravimetric Assessment and Differential Thermal Analysis of Blended Fuels of Coal, Biomass and Oil Sludge" Applied Sciences 13, no. 19: 11058. https://doi.org/10.3390/app131911058
APA StyleDong, L., Huang, X., Ren, J., Deng, L., & Da, Y. (2023). Thermogravimetric Assessment and Differential Thermal Analysis of Blended Fuels of Coal, Biomass and Oil Sludge. Applied Sciences, 13(19), 11058. https://doi.org/10.3390/app131911058
 
        



 
       