Next Article in Journal
An Emotion-Based Rating System for Books Using Sentiment Analysis and Machine Learning in the Cloud
Next Article in Special Issue
The Use of Coagulation–Flocculation for Industrial Colored Wastewater Treatment—(I) The Application of Hybrid Materials
Previous Article in Journal
Temporal Variations of Sediment Provenance in a Karst Watershed, China
 
 
Font Type:
Arial Georgia Verdana
Font Size:
Aa Aa Aa
Line Spacing:
Column Width:
Background:
Review

Mitigation of Non-Steroidal Anti-Inflammatory and Antiretroviral Drugs as Environmental Pollutants by Adsorption Using Nanomaterials as Viable Solution—A Critical Review

by
Sisonke Sigonya
1,*,
Thabang Hendrica Mokhothu
1,*,
Teboho Clement Mokhena
2 and
Talent Raymond Makhanya
1
1
Department of Chemistry, Durban University of Technology, P.O. Box 1334, Durban 4000, South Africa
2
DSI/Mintek-Nanotechnology Innovation Centre, Advanced Materials, Mintek, Randburg 2125, South Africa
*
Authors to whom correspondence should be addressed.
Appl. Sci. 2023, 13(2), 772; https://doi.org/10.3390/app13020772
Submission received: 18 November 2022 / Revised: 19 December 2022 / Accepted: 22 December 2022 / Published: 5 January 2023
(This article belongs to the Special Issue Wastewater Treatment Technologies II)

Abstract

Traces of pharmaceuticals of various classes have been reported as emerging pollutants, and they continue to be detected in aquatic environments. The steady growth of pharmaceuticals in water, as well as the related negative consequences, has made it a major priority to discover effective ways for their removal from water. Various strategies have been used in the past in order to address this issue. Recently, nanotechnology has emerged as a topic of intense interest for this purpose, and different technologies for removing pharmaceuticals from water have been devised and implemented, such as photolysis, nanofiltration, reverse osmosis, and oxidation. Nanotechnological approaches including adsorption and degradation have been comprehensively examined in this paper, along with the applications and limits, in which various types of nanoparticles, nanocomposites, and nanomembranes have played important roles in removing these pharmaceutical pollutants. However, this review focuses on the most often used method, adsorption, as it is regarded as the superior approach due to its low cost, efficiency, and ease of application. Adsorption kinetic models are explained to evaluate the effectiveness of nano-adsorbents in evaluating mass transfer processes in terms of how much can be adsorbed by each method. Several robust metals, metal oxides, and functionalized magnetic nanoparticles have been highlighted, classified, and compared for the removal of pharmaceuticals, such as non-steroidal, anti-inflammatory and antiretroviral drugs, from water. Additionally, current research difficulties and prospects have been highlighted.

1. Introduction

Water pollution and remediation have surfaced as a growing worldwide issue. Large effluents including harmful pollutants, such as dyes, heavy metals, surfactants, personal care products, pharmaceuticals, and pesticides, from different sectors (e.g., agricultural, industrial, and municipal resources) have polluted the world’s water supply. In recent years, extraordinary efforts have been made to address the obstacles of wastewater treatment. Rapidly expanding pharmaceutical companies and other activities have resulted in massive volumes of organic, inorganic, biodegradable, and non-biodegradable waste being discharged into the environment. Pharmaceuticals have recently been recognized as “emerging contaminants” that are significantly contaminating water streams and posing a substantial risk to aquatic life systems and humans [1,2] Contamination occurs in the environment not just via use and improper disposal, but also through numerous pharmaceutical manufacturing facilities. Pharmaceuticals have recently been found in wastewater, surface, ground, and drinking water, as well as the sea [3,4,5]. Antibiotics, antacids, steroids, antidepressants, analgesics, anti-inflammatories, antipyretics, beta-blockers, lipid-lowering medications, tranquilizers, and antiretroviral drugs have all been identified as environmental pollutants, and they are classified as toxic materials. Figure 1 depicts the various commonly found classes of these pharmaceuticals in wastewater.
The most fundamental necessities for healthy living are a clean-living environment and safe drinking water. Clean water is necessary for residential use as well as industrial and agricultural purposes. Increased water use would result in larger wastewater effluents containing pharmaceutical pollutants. Although water covers more than 70% of the planet, only 3% of it is fit for human consumption, with the remaining 97% being salty water [6]. This life-sustaining asset is constantly being stressed by using hazardous chemicals in agricultural and industrial practices, as well as population increase, which has resulted in aquifer depletion, forcing us to venture out to face environmental challenges and to find innovative ways to remove these pollutants in water [6,7,8]. Several solutions have been developed to date to reduce wastewater discharges and mitigate the dangers of contaminants including physical, chemical, and biological methods.

2. Wastewater Treatment Methods

Physical methods for removing contaminants from water include submerged membrane bioreactor, activated sludge treatment, constructed wetland, photocatalytic oxidation, catalytic ozonation, adsorption, advanced oxidation process (AOP), nanofiltration, reverse osmosis, ultra-filtration, ion exchange, and membrane separation; chemical methods such as electrolysis and chemical precipitation; and biological approaches such as bio-flocculation and phytoremediation, among others [9,10,11,12,13,14,15,16]. Water treatment is often expensive since it is necessary to effectively remove the toxins contained in the wastewater to make the water clean and reusable. However, many wastewater treatment systems are built with the characterization and purification of effluents in mind, while neglecting the influence on overall treatment performance and the environment [3]. Conventional treatment procedures do not completely eliminate pollutants; instead, contaminants are concentrated or degraded into another phase as one of the drawbacks. Although different treatment methods have been studied, few of them have been shown to be technologically and economically viable. However, the following are the disadvantages of the majority of the approaches listed above: (i) intricate procedures; (ii) expensive initial investment and ongoing maintenance costs; (iii) development of secondary pollutant such as toxic sludge; and (iv) generation of by-products with higher toxicity than the original pollution. Adsorption is typically regarded as one of the favored methods for pharmaceutical removal due to its benefits of numerous adsorbents, high efficiency, ease of operation, good reversibility, and low cost [2]. The selection of adsorbents is critical in the adsorption process. A good adsorbent should have the following fundamental properties: high adsorption capacity, rapid adsorption rate, and ease of separation or recovery. The adsorption method that has been widely used to remove natural or synthetic organic contaminants from drinking water has numerous advantages: (i) adsorption can handle trace levels of pollutants; (ii) it is efficient; (iii) it is simple to design or operate; (vi) it is toxicity-free; (v) it is suitable for batch and continuous processes; (vi) the adsorbent can be regenerated and reused several times; and (vii) it has a low initial capital cost for implementation [17].
Several researchers have lately dedicated their efforts to finding adsorbents with large surface areas, cheap cost, and environmental friendliness. The researchers discovered effective adsorbents in nano-sized materials, which have been reported as an important material for removing pharmaceuticals, dyes, heavy metals, organic compounds, and other contaminants from wastewater [6]. This review will critically examine wastewater treatment strategies in removing specifically pharmaceuticals and conclude with the most efficient approach for water purification with broad applicability in removing these classes of pollutants. The focus of this review will be on the nano-adsorption technologies, and the types of adsorption techniques used for pharmaceutical removal and the difficulties experienced during the adoption of this approach will be highlighted, as will future prospects.
Progressive development breakthroughs are being made to develop innovative wastewater treatment techniques and meet the needs of clean water [6,18]. However, treating polluted discharged water thoroughly with available means has proven difficult [19]. Several wastewater treatment strategies have been published in the literature [20,21,22]. They commonly involve physical, chemical, and biological processes that are thought to be successful enough for water treatment in a variety of ways such as colloids, organic matter, nutrients, and soluble pollutants (metals, organics, etc.). A wide range of approaches can be applied, including traditional methods, proven recovery processes, and developing removal technologies. Their selection is influenced by a variety of criteria, such as dye concentration, sewage composition, process cost, and the presence of other contaminants in wastewater [23,24]. Each treatment’s unique characteristics might be advantageous in one aspect but restricting in another. Treatment procedures that have high installation and operating costs, longer processing times, and poor output, and those that emit harmful by-products after treatment, are frequently less suitable for industrial applications [25]. As a result, it is critical to develop an alternative treatment method that is capable of entirely degrading or removing desired pollutants. The advantage and disadvantages of wastewater treatment technologies are outlined thoroughly in a review by [26].

3. Pharmaceuticals Pollutants

3.1. Occurrence, Fate and Removal Technologies of Pharmaceuticals in Water

Due to their widespread consumption, pharmaceuticals have been frequently detected in the aqueous environmental system around the world. These organic pollutants enter water systems primarily through three sources: urban, industrial, or hospital waste, and aquaculture facilities, with activities such as human excretion (sewage), improper disposal, leeching from landfills, and industrial drainage water, as shown in Figure 2 [27]. Wastewater effluents are discharged into the river and lakes and find their way to the sea [3,28] pharmaceuticals enter the food chain of marine organisms, causing harm to their metabolism. Humans, on the other hand, are in charge of wastewater treatment. However, recent studies have shown that even after commercial wastewater treatment, residual amounts of pollutants remain in the water, causing harm to the organisms that consume this polluted water [29]. The widespread use of pharmaceuticals in the health care sector has resulted in significant aggregates of their unused or metabolized forms in the aqueous environment. Pharmaceuticals are released into nature in their original form or, in some cases, in metabolized form, causing negative effects because their toxic activities can be much higher than the original compound [30]. Non-volatile and polar drugs are not easily removed in water by the current technologies applied in wastewater sector because the current technologies do not carter for organic and inorganic pollutant removal; therefore, they are retained in various aquatic systems [30]. Furthermore, the use of drugs in animal therapeutics, such as growth promoters or feed additives, serve as another source of environmental contamination (see Figure 2).

3.1.1. Non-Steroidal Anti-Inflammatory Drugs

Pharmaceuticals have become a major concern as emerging pollutants due to their low biodegradability, high persistence, and ease of bioaccumulation. Pharmaceuticals or drugs are widely used to improve the health of humans and animals. Antibiotics, analgesics, anti-inflammatory drugs, lipid regulators, hormones, and antiretroviral therapies are all common administered drugs. These biologically active compounds can be found in hospitals, pharmaceutical industries, and landfill effluents. The sources and trend of pharmaceutical pollutants are depicted in Figure 1. Pharmaceuticals, including nonsteroidal anti-inflammatory drugs (NSAIDs) and antiretroviral drugs (ARVs), have been increasingly utilized in many parts of the world, and their presence in the environment has sparked intense interest, since many effluents from urban wastewater treatment plants (WWTPs) are polluted with these drug residues. NSAIDs are among the most used pharmaceutical products that are available without a prescription as over the counter drugs [3]. The production and consumption of NSAIDs has increased substantially in the past years, thus introducing large amounts of these substances into the environment in an unutilized or metabolized form [31,32,33]. Diclofenac, ibuprofen, naproxen, ketoprofen and salicylic acid are the most well-known classes of these drugs, with analgesic, anti-inflammatory and antipyretic effects in humans [34]. NSAIDs have been found in effluents, surface water and seawater [3,35]. Industrial and municipal wastewater are listed among the primary sources with huge potential to pollute groundwater supplies. NSAID compounds have a weak acidic character and a low adsorption into sludge. Ibuprofen is frequently metabolized within the liver, and its metabolites are biochemically active and toxic, especially to invertebrates and algae [36]. Conventional wastewater treatment methods are inadequate to remove or degrade the vast majority of these compounds, and they are only partially effective. NSAID residues persist in treated water and have been found to accumulate in drinking water. Although their concentrations in the environment are generally at trace levels (ng/L to g/L), this amount may cause toxic effects [37,38] and they might concentrate, as a result. Several techniques for removing these compounds from water are being developed. NSAIDs have been eliminated using various techniques such as adsorption, oxidation, heterogeneous photocatalysis, combined membrane, and electrochemical degradation. Among the techniques used to treat NSAID pollutants, adsorption is the method of choice due to the low-cost process with a high removal efficiency [34].
Activated carbon with hydrophobicity, surface functionality, pore structure, high surface area, and high adsorptive capacity is used as an efficient adsorbent for water treatment, particularly for low pollutant concentration water remediation [34,39]. Antibiotics are the most studied pharmaceutical pollutants due to their relatively high concentrations in wastewaters [40,41]. Rare studies on NSAIDs removal from the aqueous phase using activated carbon can be found in the literature. Baccar et al. [38], studied the adsorption of ibuprofen, naproxen, ketoprofen, and diclofenac onto a low-cost activated carbon made from olive waste cakes. Low-cost carbonaceous materials, such as carbon black, were used as adsorbents for naproxen and ketoprofen [39]. Rakić et al. [42], reported the adsorption of salicylic acid, acetylsalicylic acid, and diclofenac-sodium on activated carbons. Bhadra et al. [43], investigated diclofenac sodium adsorption from aqueous solutions using surface-modified or oxidized activated carbons. As adsorbents of diclofenac from the aqueous phase, powdered activated carbon and activated carbon prepared from olive stones were used [44]. Chemically activated carbon materials derived from pine sawdust-Onopordum acanthium L. were investigated for their ability to remove diclofenac and naproxen from aqueous solutions [36]. Adsorbents for removing ibuprofen from the aqueous phase included a novel mesoporous activated carbon from an invasive weed, powdered activated carbons prepared from cork waste, chemically-surface-modified activated carbon cloths, and a commercial microporous-mesoporous granular activated carbon modified by oxidation [45,46]. Ibuprofen adsorption was studied by [36] on commercial granular activated carbon, multi-walled carbon nanotubes, and two low-cost activated carbons obtained from peach stones and rice husk. On the other hand, the adsorption properties of ordered mesoporous carbons (OMCs) with uniform mesopores, high pore volume, and good chemical inertness were also investigated [47]. From the overall studies mentioned above, there are common limitations to these methods, there is high cost to recover the ash/carbon after use, the use H2SO4 to recover suggests water will leach all the acid, they have lower surfaces areas for adsorption, and they are temperature dependent. For instance, greater recoveries are often obtained at fairly low temperatures. This suggests that better multi-layered adsorption membranes are needed with greater surface areas and are less temperature dependent and have great regeneration capacity.

3.1.2. Antiretroviral Drugs

Although antiretroviral drugs are rarely reported in literature, they are becoming increasingly common in countries and regions where ARVs and related drugs are widely used [48,49]. Wood et al. [48], reported that these drugs were detected in wastewater in ng L−1 [49]. South Africa has the world’s highest number of HIV/AIDS cases and the most extensive treatment program, benefiting over 7 million people. As a result, several research groups [3,50,51,52] have reported the presence of ARV drugs in surface water, wastewater, river water, dam water and even seawater. The potential health and environmental effects of these drugs in drinking water have not been thoroughly investigated. However, Sanderson and Colleagues [53], hypothesized that antiviral drugs are among the most dangerous classes of drugs in terms of their toxicity to aquatic organisms such as algae, daphnia, and fish. Using trickling filters and anaerobic pond treatment, some conventional treatment methods for the removal of ARVs and related drugs have achieved removal efficiencies of 6–84% for nevirapine [54,55]. Nanomaterials have allowed nanotechnology to be used in water treatment plants. Materials on the nanoscale frequently exhibit unique physicochemical properties, such as a high surface-area-to-volume ratio, which promotes the high density of active sites required for removal processes. They also have a high surface reactivity due to the higher surface free energy. Nanomaterials may be a breakthrough for the water treatment industry by utilizing these unique properties to address the inherent limitations of the current design. So far, several studies on wastewater treatment using nanomaterials have shown great promise. Nanoparticles [56,57], membranes [58,59], carbon nanotubes [60], nanocomposites [49,59,61], and nanofibers [62,63] are some examples of materials used in adsorption processes. Unfortunately, only a few of the reported nanomaterials have been commercialized, with the majority still being developed in laboratories. Zero valent iron nanoparticles, for example, are commercially available and used for groundwater treatment in the United States [64]. However, there are some drawbacks to using free nanoparticles in wastewater treatment plants, including: (i) their tendency to aggregate [49], (ii) the difficulty of separating them after use (except for magnetic nanoparticles), and (iii) an unknown or incompletely understood impact on the aquatic environment and human health. The creation of nanofibrous membranes has proven to be an efficient and promising method of water treatment. Electro-spinning techniques, which are versatile, inexpensive, and effective, are commonly used to fabricate nanofibers. Nanofibers have been developed using a variety of polymer solutions (natural and synthetic). When compared to nanoparticles, polymer-based nanofibers can overcome the issues related to the recovery and reusability of the adsorption system. In addition, these fibers offer a platform to embed nanoparticles to afford their recovery and reusability. They have superior large surface-area-to-volume ratio properties, which is essential for affording nanosized materials that can improve the overall efficiency of the adsorbents. Furthermore, they have high interfacial reactivity, excellent mechanical properties, environmental benefits, and are re-generable and reusable.
In general, pharmaceuticals are biologically active, recalcitrant, and bio-accumulative compounds [3]. Their low concentration (ng/L to g/L range) combined with metabolic novelty results in incomplete removal from WWTPs, and their exposure to the environment can result in endocrine disruption, aquatic toxicity, genotoxicity, and the development of pathogenic resistant bacteria [30]. These compounds are pseudo-persistent due to their continuous release because they are constantly replenished. Pseudo-persistent drugs have a greater environmental presence than other contaminants [29]. Furthermore, due to repeated contact of effluents from WWTPs, there is a high persistence of short half-live drugs in aqueous media. Because of their low volatility, such pollutants will primarily be dispersed through the environment via aqueous transport and food-chain dispersal. In general, the alteration of pharmaceuticals is determined by their physiochemical properties and natural attenuation [29]. Table 1 depicts the physiochemical properties of common NSAIDs and ARV drugs in wastewater.

3.2. Detection, Sample Preparation and Analysis of Nsaids and ARV Drugs

There have been numerous analytical techniques developed for the simultaneous quantification and detection of pharmaceutical compounds [65]. Because of their diverse solubility, log Kow values, polarity, pKa values, physical-chemical properties, and low concentration in ecosystems, optimizing procedures for analyzing multidrug residues remains a global challenge [50]. Because matrices are complex and have low concentrations, extraction is required prior to sample analysis, pre-concentration, and sample clean-up [3]. Solid-phase extraction (SPE) is usually the method of choice for extraction and pre-concentration NSAIDs and ARV drugs from various environmental matrices [3]. The effectiveness of SPE is solely determined by the elution solvent and sorbent type [66]. Oasis HLB (lipophilic–hydrophilic balance), Oasis MAX (containing mixed mode and robust anion exchange groups), Strata-X (Phenomenex), Bond elute plexa, and molecular imprinted polymers (MIPs) are all commonly used sorbents in SPE. To retain polar and non-polar compounds, Oasis HLB contains divinylbenzene rings and N-vinyl-pyrrolidone groups [67]. Three or more cartridges are typically used to pre-concentrate the samples, and polar solvents (acetonitrile and methanol) are typically used for elution [68]. Purification and comprehensive extraction procedures, such as liquid chromatography–mass spectrometry (LC-MS), are required to study the fate of these pharmaceuticals and their occurrence in wastewater, rivers, and sewage sludge. After pre-treatment with SPE, samples are analyzed using various spectroscopic techniques such as liquid chromatography (LC) with fluorescence detection (FLD) and diode-array detection (DAD), high-performance liquid chromatography (HPLC), ultra-high-performance liquid chromatography (UHPLC), tandem MS using triple quadrupole or ion trap MS, and so on [69]. C8 and C18 columns with an elution mixture of acetonitrile/water or methanol/water are commonly used in HPLC to determine these pharmaceuticals [29]. Acetic and formic acid additions are also used to improve the mobile phase’s efficiency in order to increase analyte sensitivity and ionization for mass detection [69]. Because of the high operating pressure, flow rate (mobile phase), reduced column length, and large particle surface area to achieve better resolution in a short separation time, LC-MS has several advantages over other techniques [70]. MS, coupled with LC, is one of the most effective methods for analyzing NSAIDs and ARV drugs and their residues, with a detection limit of ng L−1. The majority of the techniques described focus on the parent compounds and rarely discuss their transformation products or residues. Hence, metabolites should be studied because they can be found in high concentrations with high toxicity, mobility, and persistence in the environment. So far, various approaches for detecting NSAIDs and ARV drugs in various environmental matrices have been proposed; they are broadly classified into polar and non-polar sorbents.

4. Adsorption

Adsorption is a type of physical method; it is commonly regarded as a cost-effective and dependable method of treating wastewater [71]. Adsorption is a mass transfer process in which solutes or removable species are transferred from a liquid phase to the surface of a solid phase [72]. Adsorbed substances are attached to the solid surface via physiochemical interactions. Adsorption has a removal effectiveness of up to 99.9%. The United States Environmental Protection Agency (USEPA) stated that the adsorption method, among others, is one of the most effective and finest wastewater treatment procedures [73]. Because of its simplicity and cost-effectiveness in comparison to other alternatives, adsorption is regarded as a well-developed technology for removing pharmaceuticals from wastewater. Adsorbate migration happens in three successive phases in this process: (i) migration of adsorbate to the adsorbent’s border shell, (ii) intraparticle diffusion into pores, and (iii) adsorption and desorption of solute. The rate of all these processes is determined by the properties of the adsorbate, adsorbent, and matrix. Adsorption isotherms are used to calculate the material’s maximum adsorption capacity. Adsorption isotherms are formed by graphing the adsorbed molecules per unit area of the contact vs. the equilibrium gas pressure or liquid solution concentration. The most often used models for assessing pollutant adsorption are Langmuir and Freundlich’s isotherms [74]. Adsorbents should ideally have enough binding sites to provide effective adsorption for heavy metals and target pharmaceuticals and other contaminants. Bio-adsorbents, silica, alumina, activated carbon, clay, metal oxides, titania, and other traditional adsorbents are extensively employed for pharmaceuticals and other pollutants removal [75,76]. Because of its wide surface area, consistent pore size, and possible catalytic uses, silica is an excellent adsorbent material.
Because of its enormous surface area and superior accessibility for metals and metal oxides, mesoporous silica is frequently used as a support material [77,78]. Nano-silica has been successfully employed in wastewater treatment since its efficacy is dependent on hydroxyl (OH) groups in many instances. Nano-alumina is also a great material for a variety of wastewater treatment applications. Alumina, on the other hand, has a limited adsorption capability [79].
Because of their huge specific surface area, decreased flocculent formation, and abundance of accessible active sites for species binding, nanomaterials have attracted substantial interest as adsorbents in wastewater purification. Furthermore, these adsorbents may be recycled and reused, making them both appealing and cost-effective.

Factors Affecting Adsorption

Initial concentration, contact time, adsorbent dosage, type of catalyst, irradiation time, pH, and temperature are some of the factors that influence the adsorption of pharmaceutical compounds into nanoparticles. The reaction rate is determined by the relative initial concentrations of adsorbent and adsorbate [80]. Higher concentrations of adsorbate result in lower removal efficiency of pharmaceutical compounds, while higher concentrations of adsorbent result in higher removal efficiency. The contact time between the adsorbent and the adsorbate is crucial in determining the removal efficiency of a specific nanomaterial. This is because it provides the information on the adsorbate’s sorption kinetics for a given initial dosage of the adsorbent [81]. For instance, insight into the reaction rate and the sorption mechanism during adsorption involving mass transfer, diffusion, and reaction on the adsorbent surface [82]. In general, the amount of solute adsorption rises with increasing adsorbent concentration. This is as a result of higher adsorbent concentration, which translates to more active adsorption sites. However, the total solute adsorption per unit weight of an adsorbent might decrease when adsorbent concentration increases. This is due to interference produced by adsorbent active site interaction. Therefore, adsorption studies should incorporate the effect of dosage in order to obtain desired adsorption efficiency. The optimal adsorbent dosage is mostly determined by the availability of active sites, which is linked to the existence of surface area and functional groups [83]. In terms of the effects of pH, the pH of the solution is significant since it might affect the adsorption process. It affects the amount of adsorbate ionization and hence the surface properties of an adsorbent. The chemical equilibrium for estimating each adsorbate speciation should be within the pH range of 1–12 in order to understand adsorbent behavior in solution [83]. Yet, the temperature of the solution is the dominant influence on the adsorption process. Since it affects the adsorbent enlargement, adsorbate mobility, and the solid/liquid interface. The latter can be explained in terms thermodynamic parameters, such as Gibbs free energy (DG0), enthalpy (DH0), and entropy (DS0). For instance, negative DG0 values indicate that the adsorption process is spontaneous, whereas positive DH0 values suggest that the process is endothermic. Furthermore, the amount of DH0 appears to be connected to the kind of sorption, namely, physisorption (DH0 50 kJ/mol) and chemisorption (DH0 > 50 kJ/mol) [84]. In the of DS0, the positive DS0 values can be explained as an increase in entropy caused by the exchange of metal ions for more mobile ions during the adsorption process.
The affinity of pharmaceutical compounds is a key factor in regulating the mechanism of nanoparticles, and affinity is determined by the adsorbate molecules’ properties. The higher the affinity of the adsorbate molecule for the adsorbent, the more likely the adsorption process will occur [85]. The electrostatic movement between the adsorbate and the adsorbent was governed by the electrostatic movement of ionic pharmaceutical compounds. It was discovered that the electrolyte solution could be used to modify the strength of adsorbent–adsorbate interactions [86].
Adsorbent and adsorbate physicochemical properties also have a significant impact on the adsorption process. Changing the surface of the adsorbed using thermal or chemical activation procedures results in a more porous structure with more oxygenated functional groups [87]. The chemical composition and molecular structure change as a result of the various activation processes, which are then used to remove specific pharmaceuticals. The adsorbate molecules attack the adsorbent’s corners first, resulting in a variety of interactions [88]. This means that the more surface area a nanoparticle has, the better its chances of interacting with adsorbate molecules.

5. Mitigation of Pharmaceutical Pollutants by Nanomaterials

Over the last several years, there has been a growing interest in using nanotechnology-based remediation technologies. For pharmaceutical removal experiments, a number of sorbents have been used, including carbon nanotubes, silica nanoparticles, activated carbon, sorbents, metal-organic-frameworks, biochar, synthetic adsorbents etc. [89,90,91,92,93]. Figure 3 shows the scheme of the adsorbents used. Nanomaterials are often defined as materials with at least one dimension less than 100 nm. These materials on the nanoscale have several novel size-dependent features, such as a high surface-to-volume ratio, reactivity, and efficiency. The use of nanomaterials in wastewater treatment can take many forms, including absorptive, catalytic membrane, bioactive nanoparticles, biomimetic membrane, polymeric and nanocomposite membrane, thin film composite, and so on.

5.1. Classification of Nano-Sorbents

5.1.1. Carbon-Based Nanomaterial

One of the most cost-effective techniques to remove pharmaceuticals from aqueous solutions is the use of carbonaceous materials as adsorbents [94]. Each carbon adsorbent has a unique structure and activity, and they all feature active surface functional groups, which is critical for the physicochemical characteristics of carbon materials and pharmaceutical adsorption [95]. CNTs and graphene have received the most attention of all carbonaceous adsorbents due to their unusual surface properties [94]. Pharmaceutical adsorption on carbonaceous materials is primarily determined by interactions, such as hydrogen bonding, stacking, hydrophobic effects, electrostatic interactions, and covalent interactions. As a result, adsorbent surface parameters, such as porosity, surface area, and functional groups, have a significant impact on adsorption effectiveness. For example, graphene oxide was used for tetracycline, sulfamethoxazole (SMX), and ciprofloxacin (CIP) adsorption [96,97], and the results show that graphene oxide effectively absorbed CIP and SMX at lower pH, with maximum sorption capacities of 379 and 240 mg g−1, respectively. CIP sorption was primarily controlled by electrostatic attractions, whereas SMX sorption was primarily controlled by π-π EDA attraction on the basal planes of graphene oxide. Graphene nanoparticles were for acetaminophen, reduced graphene oxide for ketoprofen, carbamazepine [94], single-walled carbon nanotubes were for carbamazepine and ketoprofen [94,98], and multi-walled carbon nanotubes were for sulfamethoxazole, ketoprofen, thiamphenicol carbamazepine, diclofenac and ibuprofen [98]. The surface area of activated SWCNTs increased from 410.7 to 652.8 m2 g−1, while the surface area of MWCNTs increased from 157.3 to 422.6 m2 g−1. As a result, the activated SWCNTs and MWCNTs increased the adsorption capacity for the tested antibiotics (sulfamethoxazole, tetracycline) by 2–3 and 3–8 times, respectively. Adsorption occurred in the following order: SWCNTs > reduced graphene oxides > MWCNTs > graphene > graphite. This arrangement corresponds to the arrangement of their surface areas and micro-pore volumes [94]. Carbon nanotubes (CNT) absorb various organic chemicals more efficiently than activated carbon. Organic compounds with carboxylic, hydroxyl, and amide functional groups form hydrogen bonds with the graphitic CNT surface, which donates electrons. CNTs have high adsorption competence for metal ions and are thus a good alternative to activated carbon [85]. For instance, using hydrothermal reduction and the chemical crosslinking method, a novel cyclodextrin immobilized the three-dimensional macrostructure of reduced graphene oxide, and multi-walled carbon nanotubes (CD/rGO-MWCNTs) were synthesized and used as an effective adsorbent for naproxen removal in aquatic environments [99]. The maximum naproxen adsorption capacity (qm) value of β-CD/rGO-MWCNTs stood at 132.09 mg g [99]. Figure 4 shows the SEM images of the above-mentioned adsorption respectively. After hydrothermal reduction, the stacking and agglomeration of GO and MWCNTs in 1.0-rGO-MWCNTs were alleviated; however, among GO and MWCNTs with respective concentrations of 0.5 and 1.5 mg mL−1, MWCNT clusters were severely overlapped on GO lamellae, and curls on the GO lamellae were slightly open (Figure 4c,d,h).
Biochar-Based Adsorbents
Magnetic biochar-based adsorbents, which are manufactured for quicker separation, are another new adsorbent. Biochar is a low-cost and commonly accessible adsorbent that has been frequently used for pharmaceutical adsorption. However, the inconvenient and arduous separation has reduced its use [100]. Thus, magnetic biochar adsorbent was prepared for the adsorption of ibuprofen, sulfamethoxazole [101], carbamazepine, tetracycline [102], ibuprofen, and acetylsalicylic acid [103]. In a study by [104], biochar was magnetized and used for the adsorption of ibuprofen (IBP). Adsorption was observed to be a slightly lengthy process for a contact time of 1 h and the adsorption reached equilibrium after 1440 min (24 h), after which the sorption sites were completely utilized and the sorption kinetics appeared to follow the pseudo-second-order, indicating the formation of a chemical bond. The Langmuir adsorption capacity of biochar-based adsorbents yielded 34.3% P-BC at 600 °C, P-BC being the name given to the product, which was most likely due to the fact that most of the cellulose and hemicellulose decomposed at higher temperatures, resulting in a lower yield, as was suggested by the authors. According to Figure 5a,b, the surface of P-BC was rough with an irregular stacking structure and an irregularly arranged irregular pore structure, which increased the surface adsorption active sites. As shown in Figure 5c,d, some irregular substances were added to the surface of P-BC, demonstrating that IBP molecules were adsorbed on this specific surface.

5.1.2. Chitosan-Based Nanoparticles

Chitosan nanoparticles, which are highly degradable and durable biopolymeric nanoparticles, are another commonly utilized adsorbent [105]. Chitosan nanoparticles are recognized by their functional groups, such as hydroxyl and amino, which are essential for adsorption efficacy. These particles also have a large surface area and controllable porosity [105]. They have been widely employed for adsorption of carbamazepine, ketotifen fumarate, and other drugs [30]. Furthermore, magnetic chitosan nanoparticles have recently been used to remove pharmaceuticals such as ibuprofen, tetracycline [106], diclofenac, clofibric acid, and carbamazepine [107]. The magnetic chitosan had effective sorption affinity for diclofenac and clofibric, but no sorption of carbamazepine was observed. The sorption capacities of clofibric and diclofenac in the individual solutions were 191.2 and 57.5 mg/g, respectively. Sorption kinetics revealed a rapid equilibrium within 2 min. Lower pH values in the solution were discovered to be beneficial to the adsorption process. Clofibric sorption efficacy decreased significantly as inorganic salt concentration increased. However, the sorption performance of diclofenac remained stable under varying ionic strength conditions. As the SEM photo in Figure 6a illustrated, magnetic chitosan cannot be defined as a porous material. Specific surface area as low as 0.5 m2/g, measured through the BET-N2 test, also supported the point. Microphotography of TEM in Figure 6b shows how Fe3O4 and polymerized chitosan joined and their size distribution. Light- colored beads were polymerized chitosan, while dark dots embedded inside are Fe3O4 particles. Magnetic chitosan was discovered to have a high sorption affinity for pharmaceuticals with carboxyl group(s). Adsorption was pH dependent, and sorption capacity decreased with increasing solution pH or ionic strength by affecting the form of existence of target compounds in solution.

5.1.3. Metal-Based Nanoparticles (MNPs)

Metal nanoparticles (MNPs) are another class of inorganic material, which are employed to remove different pollutants, such as heavy metals, organic pollutants, dyes, pesticides, pathogenic and other hazardous bacteria, fungus, and other microorganisms from polluted water [108]. Because of their numerous uses and structure-dependent characteristics, metal particles with variable size and form are extremely important. Many researchers from all over the world have been drawn to MNPs because of their potential applications and novel properties. Some pollutants, such as heavy metals, have been removed using silver and gold nanoparticles [109]. A range of metal-based adsorptive materials in the form of metal oxides/hydroxides, metal oxide/hydroxide modified adsorbents, and metal-ion-coated adsorbents have previously been explored for the efficient remediation of pharmaceuticals [110]. Carbamazepine [90,106], ibuprofen [111], tetracycline [112], and other key pharmaceuticals have been successfully adsorbed utilizing metal-based adsorbents. Jun and colleagues, 2019, studied commercially available powdered activated carbon (PAC) as a control for the magnetic-organic framework (MOF) to check the practical feasibility of MOF adsorption, because PAC is a widely used adsorbent for the removal of pharmaceuticals. The characterizations of MOF are shown in Figure 7, and a detailed explanation is provided in the supporting information. The effects of contact time on the qt and removal ratio of pharmaceuticals using PAC and MOF are shown in Figure 7a,b. After about 2 h of contact time, both adsorbents reached equilibrium, with MOF outperforming PAC. This is due to the larger surface area, as shown by the Brunauer–Emmette–Teller (BET) results (Figure 7a). Adsorption of ibuprofen and carbamazepine was performed under four water chemistry conditions: (i) solution temperature, (ii) solution pH, (iii) ionic strength/background ions, and (iv) the presence of HA. The adsorption mechanisms of CBM and IBP were primarily determined by hydrophobic interaction with supplementary hydrogen bonding effect and both hydrophobic interactions and electrostatic interactions, respectively, based on experimental results of four water chemistry factors.

5.1.4. Silica-Based Nano-Sorbents

In recent years, silica particles have been increasingly employed as an adsorbent for the removal of environmental contaminants. Their performance as an adsorbent is attributable mostly to their high adsorption capacity due to high porosity (2–50 nm), greater surface areas (up to 2370 m2/g), and excellent mechanical and thermal stabilities [113]. Furthermore, these adsorbents are well-defined and have a homogeneous structure, as well as a low cost of manufacture, quick recovery, and low toxicity, making them superior to other adsorbents, (e.g., graphene oxide). The surface chemical functionalization of silica with inorganic and organic compounds gives the silica particles good physicochemical properties, which aids in the efficient utilization of these particles as adsorbents. The silanol and amino groups contained in silica-based adsorbents in particular, offer high adsorption energy and charge association to these adsorbents, resulting in high adsorption efficiency [114]. Silica adsorbents are frequently utilized for the adsorption of carbamazepine, diclofenac, ibuprofen, ketoprofen, acetaminophen, and other pharmaceuticals [115,116]. For instance, in a study by [115], Individual pharmaceutical removal rates were high in acidic media (pH 3–5) and reached 85.2% for carbamazepine, 88.3% for diclofenac, 93.0% for ibuprofen, 94.3% for ketoprofen, and 49.0% for clofibric acid at pH 3 but started decreasing with increasing pH. SBA-15 also demonstrated high efficiency for the removal of a mixture of five pharmaceuticals. The removal of pharmaceuticals in the mixture ranged from 75.2 to 89.3%, with the exception of clofibric acid at 35.6%. The mechanism of the selected pharmaceuticals was discovered to be a hydrophilic interaction based on adsorption and desorption results, providing valuable information for future studies to design materials for the purpose. As shown in Figure 8, low desorption percentages were confirmed, implying that pharmaceuticals are not easily detached from adsorbents and returned to the treated water. The pseudo-second-order equation and the Freundlich isotherm model were used to best describe the kinetics and equilibrium of pharmaceutical adsorption.

5.1.5. Electrospun-Based Adsorbents

The electrospinning process dates to the 1930s. Antonin Formhals received a patent for an electrospinning apparatus in 1934 [117], and for the first time suggested the synthesis of polymer nanofibers by electrostatic force [118]. It is regarded as one of the most frequent and successful procedures for producing nanofibers. Many materials have been electrospun into ultrafine fibers with diameters ranging from a few nanometres to a few microns, including natural and synthetic polymers, ceramics, metal oxides, and so on [119]. More than 200 different polymers have been electrospun into nanofibers, according to reports [120]. Various electrospinning techniques have been invented for many generations. These consist primarily of a high-voltage power source, a spinning solution storage and supply system, a spinneret, and a receiving device [119]. There are several elements that influence the electrospinning process, including spinning solution properties (such as polymer molecular weight, concentration, viscosity, and conductivity of the spinning solution, solvent volatility, etc.), spinning parameters (such as spinning voltage, receiving distance, solution extrusion speed, and so on), and environmental parameters (such as humidity and temperature) [121].
With the fast growth and rising maturity of the electrospinning technology in recent years, an increasing number of organic polymers and inorganic materials have been electrospun into nanofibrous membranes as adsorbents for the removal of pharmaceuticals in water [59]. It has been reported that some natural polymers have a high adsorption affinity for heavy metals and dyes and may be immediately electrospun into membranes for the adsorptive removal of these pollutants from water [62]. However, very few studies on its ability to adsorb pharmaceutical contaminants have been conducted. Most natural polymers have weak spin ability or mechanical qualities and, therefore, they are generally combined with other synthetic polymers to create composites of electrospun nanofibrous membranes (ENFMs). More researchers are turning to ordinary synthetic polymers with good spin ability and mechanical strength as raw spinning materials, then functionalizing the surface of the resulting ENFMs to improve their adsorption performance or introducing other inorganic compounds with excellent adsorption performance for blend electrospinning [59]. ENFMs are classified into three types based on their material composition and properties: organic polymer ENFMs, organic/inorganic composite ENFMs, and inorganic ENFMs [119].
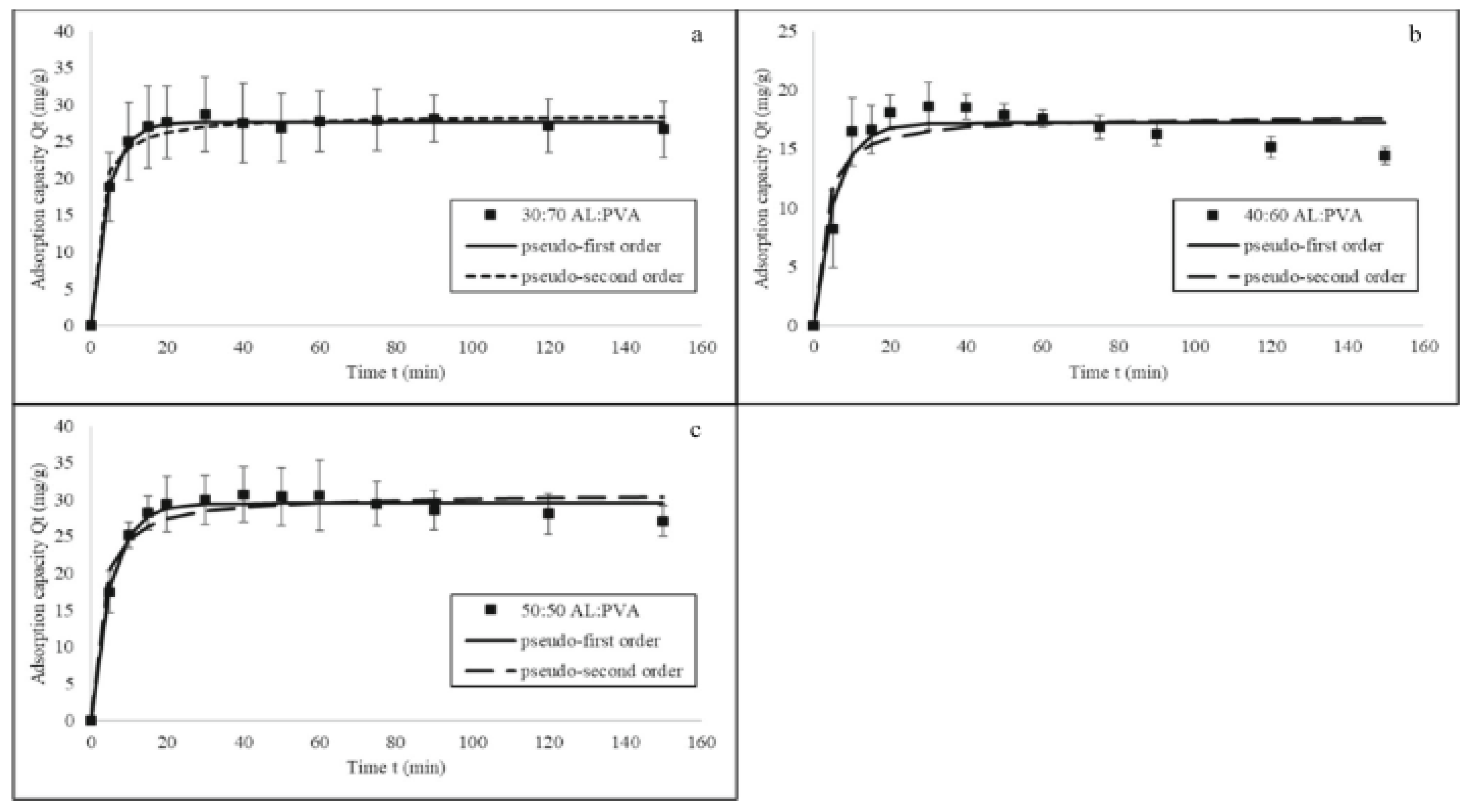
The distinct physicochemical properties of nanomaterials ranging from noble metal-based nanostructures to transition metal oxide nanomaterials, carbon-based nanomaterials, carbon nanotubes, and graphene and/or graphene oxide nanomaterials, as well as their novel nanocomposites and nanoconjugates, have revealed a plethora of new opportunities for sensing and the catalytic degradation of various pollutants of high environmental concern in aqueous environment [119]. The molecular structure of lignin nanofibers has been suggested as solution to remove emerging contaminants such as pharmaceuticals from wastewater [122]. The developed material had a large surface area, increasing its ability to adsorb pharmaceutical contaminants at the surface. The optimal adsorption ratio was 50:50 AL:PVA, which resulted in a maximum adsorption capacity of 29 mg/g, representing approximately 38 % of contaminants adsorbed by the nanofibers [122]. The adsorption capacity through time is shown in Figure 9. The optimum conditions were obtained after 4 h of thermal treatment at 180 °C followed by a 120-min chemical treatment (citrate buffer solution 0.5 M, pH 4.5). After only 1 h of contact, the nanofibers could remove 70 % of the contaminant FLX present in solution.
The examination of membranes by SEM brought reliable information about their morphology and the diameter of the membrane. The nanofibers in Figure 10a have cylindrical shapes with few beads or defects. In the second image (Figure 10b), the nanofibers appear melted and swollen, and they appear to have lost their nanofiber aspect. This loss of nanofibrous membrane mat may have altered the material’s porosity and thus its adsorption capacity.

5.2. Nanomembranes

Nanofiber-enhanced membranes can remove micro-sized particles from the aqueous phase at a high elimination rate while causing little fouling. These membranes are employed as a pre-treatment procedure before ultrafiltration or reverse osmosis. A lot of research on membrane nanotechnology has concentrated on developing multifunctional membranes by incorporating nanoparticles into polymeric or inorganic membranes known as nanocomposite membranes. Metal oxide nanoparticles such as alumina Al2O3, silica (SiO2), zeolite, and titanium dioxide (TiO2) have been found to increase the surface hydrophilicity of polymeric ultrafiltration membranes, water permeability, or fouling resistance.

5.3. Nanostructured Catalytic Membranes

Nanostructured catalytic membranes have more than a few advantages, including homogeneous catalytic sites, requiring less contact time, multiple ordered reactions can occur, and they can be easily scaled for commercial purposes. In order to inactivate microorganisms and decompose organic pollutants, nanostructured TiO2 membranes and films are used [123]. With the advancement in nanotechnology, several novel nanostructured catalytic membranes have been synthesized [124,125]. These have increased foul resistance, higher selectivity, and higher rate of decomposition. The techniques of synthesizing these nanoparticles include many approaches for developing their multi functionality [123]. Photocatalysis has been used successfully in wastewater treatment to remove pollutants. TiO2 is the most widely used semiconductor photocatalyst because it has high ultraviolet (UV) absorption, high stability, superior performance, low toxicity, and low cost [126]. The photocatalytic process is simple, inexpensive, long-lasting, and environmentally friendly. However, as a photocatalyst, TiO2 has inherent flaws in its catalytic ability. To begin, H+ and e recombination occurs concurrently with H+ oxidation on the surface of TiO2. Second, TiO2 only works effectively when exposed to UV light [124]. Electrospun nanofibers can be applied in photocatalysis blended with TiO2. The polymer in the nanocomposite fibers must be stable under UV light irradiation and in an oxidative environment [127]. Some authors reported that the polymer matrix was stable under TiO2/UV conditions. According to [128], the incorporation of TiO2 nanoparticles into the PES matrix can affect nanocomposite mobility and crystallization, increasing the glass transition temperature and changing thermo-mechanical properties. In terms of recycling and aggregation, fiber photocatalysts outperforms particles [129]. The high surface area of the catalyst always improves active sites to improve photocatalytic efficiency [130,131]. Furthermore, due to the flexibility in process control and fiber morphology (diameter and porosity), electrospinning is regarded as a versatile method for producing NFs [132]. Figure 11 depicts electrospun fibers containing nano-titania in various compositions and shapes, such as nanoparticle-coated, core-sheath, and hollow fibers.

5.4. Characteristics of Nanosorbents

The major forces involved in the adsorption process are Van der Waals forces, which comprise both dispersion forces and conventional electrostatic affinity. Adsorbate’s chemical form changes as a result of an interaction between adsorbate and an adsorbent. It is based on steric, equilibrium, and kinetic considerations. Adsorbents are made up of holes of various sizes that allow small molecules to flow through while preventing large ones from entering. Only the zeolite accomplished steric separation due to the consistent aperture size in the crystalline structure [23,61]. Depending on the species, the rate of diffusion into the pores varies. The solid selectively eliminates the readily diffusing species as a result of adjusting the exposure duration. Hydrogen (H) electrons engage aggressively with metal electrons during this process, forcing the molecule to split, and covalent bonds are formed with metal electrons, producing disruptions in the metal electron system. The adsorption energy between pharmaceutical molecules and adsorbents may vary significantly depending on the binding strength between adsorbent and adsorbate species [108]. There is a different interactive form between the adsorbent and adsorbate; they might be physical, chemical or ionic interactions, and the binding strength depends on the type of adsorbate and interaction that occurs.

5.5. Interaction of Pharmaceuticals and Chemical Nature of Adsorbents

With the increased usage of medicines in people and animals, there is a growing demand for pharmacological expertise. The fundamental physicochemical properties of pharmaceutical compounds, particularly their sorption characteristics, have a considerable influence on their environmental behavior. Adsorption through physical means: the sorption of hydrophobic, non-ionic substances is principally caused by hydrophobic (including weak van der Waals) and electron donor–acceptor interactions [108]. Pharmaceutical compounds contain moieties with a wide variety of chemical characteristics (polar, apolar, and charged sections), making it difficult to evaluate their sorption behavior using a single measure, such as logP or solubility [133].
Surface complexation: its inner- and outer-spheres generate multiatom structures (e.g., complexes) with unique metal-functional group interactions, which is important for the adsorption of pharmaceuticals on carbon adsorbents. Surface complexation and electrostatic interaction impact the adsorbent’s adsorption capacity, and the inner charges of the adsorbent may influence more to the adsorption capacity than the adsorbent’s surface charges [134].
Ion exchange and electrostatic interaction: ion exchange between pharmaceuticals and protons on oxygen-containing functional groups, such as carboxyl and hydroxyl groups, is one of the key mechanisms for pharmaceuticals adsorption by carbon adsorbents. For ionizable pollutants, pH determines the amounts of coexisting charged species (i.e., anion, cation, zwitterion, and neutral) and their sorptive interactions with complementary charged sorbents [135]. If the adsorbent surface’s isoelectric point is reduced from 6.0 to 4.8, electrostatic contact between the adsorbent and ions rises throughout a larger pH range.

6. Removal of Pharmaceutical Pollutants in Wastewater by Nanosorbents

6.1. Removal of Non-Steroidal Anti-Inflammatory Drugs

Nonsteroidal anti-inflammatory drugs are a significant class of pharmaceuticals that are increasingly emerging as micropollutants due to their high bioactivity and persistence in aquatic systems [136]. NSAIDs’ physicochemical properties that contribute to their persistence include extremely high hydrophilicity (as measured by moderate log Kow coefficients) and average water solubility, which allow for good mobility of these drugs in aquatic bodies. Toxins derived by NSAIDs can cause bioaccumulation, genotoxicity, and alterations in aquatic creatures’ reproductive abilities [29]. The properties of adsorbents, such as adsorption capacity, specific surface area, optimal adsorption conditions, and order of adsorption, impact NSAIDs removal. Ibuprofen is a nonsteroidal anti-inflammatory drug that is discharged into the environment through hospital and medical effluents, pharmaceutical wastewater, and animal usage. Because of their reported maximal adsorption capacity, carbon-based adsorbents are the best class of adsorbents for the removal of ibuprofen among the numerous adsorbents examined [89]. For the elimination of ibuprofen, [89], utilized a single-walled carbon nanotube (SWCNT), multi-walled carbon nanotubes (MWCNTs), and oxidized MWCNTs (O-MWCNTs). In comparison, SWCNTs outperformed multi-walled counterparts with 231.5 mg/g sorption capacity due to structural benefits, i.e., greater pore volume and unique surface. The ideal pH in this method is 7.0. At this pH, total charge density is maximal and the dissociated proton and carboxylate molecules of ibuprofen (pKa of 4.9) have a larger affinity with the negatively charged CNTs, hence promoting ibuprofen sorption [89]. Liu et al. [106] evaluated the effectiveness of several adsorbents for the removal of ketoprofen, including graphene oxides, graphene, SWCNTs, MWCNTs, and powdered graphite. At a pH of 6.5, SWCNTs exhibited remarkable adsorption effectiveness towards ketoprofen, with 91.5 mg/g of adsorption capacity.
The sorption process involved a chemical interaction between the functional groups linked to the aromatic ring and negatively charged ketoprofen molecules, which was later shown to be electron donor-based reactions [106]. A potential long-term sorption approach for diclofenac and ketoprofen elimination was created using carbon nanospheres produced from cellulose by hydrothermal carbonization [137]. The primary adsorption process was discovered as stacking interactions in conjunction with hydrogen bond formation. The release of carboxyl functional units from the pharmaceuticals causes steric hindrance and electrostatically repulsive forces to be formed during lengthy periods of contact between sorbent and drugs, resulting in adsorption site blockage and poor effectiveness. Magnetically assisted nanosorbents have been intensively researched in recent years due to their better adsorption capabilities, higher kinetics, and cost-effective method to extracting contaminants from aquatic systems. Lung et al. [138] created CNTs containing COOH, MnO2, and Fe3O4 groups for ibuprofen adsorption from aqueous solution. The maximum adsorption capacity for ibuprofen achieved was ~103.1 mg/g. On the other hand, nanocomposite could be separated by an external magnetic field. Vicente-Martínez et al. [139] investigated the effect of magnetic core-modified silver nanoparticles on ibuprofen adsorption. At pH 6.5 and room temperature, 93% of the ibuprofen was removed within 45 min, and the adsorbed could be entirely extracted from the medium using a magnet [139]. According to the typical Gibbs free energy G0 (kJ mol−1) values, ibuprofen adsorption by magnetic core-modified silver nanoparticles was a physisorption process. Similarly, a magnetic nanomaterial surface designed with L-cysteine-modified 3-glycidyloxypropyltrimethoxysilane was developed for the removal of ibuprofen from contaminated water streams [140]. Ibuprofen adsorption occurs due to the presence of amino groups in the L-cysteine molecule, which can be implicated in ibuprofen attachment. At pH 6.0, a maximum ibuprofen elimination effectiveness of 82.90% was recorded with 30 mg of nanomaterial dose. Instead of L-cysteine, an amine functionalized magnetic silica nanocomposite was studied for the removal of ibuprofen from aqueous streams (Kollarahithlu and Balakrishnan [140]). The adsorption process was observed to attain equilibrium during the first 15 min, with ibuprofen adsorption efficiency ranging between 94 and 97%. At pH 7.0 at room temperature, the adsorption capacity of the nanocomposites for ibuprofen was 58–59 mg/g. The adsorption process was discovered to follow pseudo-second-order kinetics and matched well with the Langmuir isotherm model, indicating adsorption on the nanocomposite’s homogeneous surface.
Adsorption of diclofenac by magnetic adsorbent was lower in the beginning, suggesting that physical bonds formed solely on the surface of the nanoparticles, and when diclofenac amount and adsorption time increased, the pollutant diffused into the pores [141]. The maximum contact duration was 120 min, after which saturation of free sites on the sorbent was observed, which was utilized to determine that the process followed a pseudo-first-order kinetic model. Thermodynamic investigations revealed that diclofenac assimilation increased with increasing temperature, indicating an endothermic and entropically driven reaction, since a negative value for entropy change was observed [141]. Optimal sorption occurred at 298 K, and thermodynamic analysis demonstrated positive enthalpy and entropy. The latter suggest that pollutant removal rises with increasing temperature and that the sorbent–sorbate interacts well. A magnetic adsorbent composed of genipin-crosslinked chitosan/-graphene oxide-SO3H was produced and utilized as an ibuprofen adsorbent. When analyzed using chitosan nanoparticles, the sorption process appeared to fit ideally with the Freundlich isotherm and pseudo-second-order kinetics, showing single layer-based attachment with persistent homogeneous contact with the adsorbent sites. Ibuprofen’s maximal adsorption capacity improved from 113.27 to 138.16 mg/g when the temperature increased from 298 to 313 K. Thermodynamic research revealed that ibuprofen adsorption reduced with increasing temperature, due to the formation of a physical link between the polymer and the ibuprofen, which is destroyed by high temperatures. The adsorption capacity was stable at 85% after five cycles of adsorption-desorption with a simple 0.01 M NaOH solution treatment [106].
Activated carbons have been the most often utilized sorbent for the removal of pharmaceuticals from wastewater, and several functionalization processes have been developed throughout the years [142]. Activated carbon derived from beer industry waste with a specific surface area of 364 m2/g was used to successfully remove acetaminophen from wastewater [142]. The process best resembled the Langmuir model, illustrating a monolayer contact with the recycled adsorbent. It can be deduced that there is an interaction with a particular spot on the sorbent, with no internal acetaminophen reactions.
Naproxen removal from wastewater was investigated using activated carbon made from Indian gooseberry seed shells combined with surface-modified graphite powder and silver nanoparticles [93]. The adaption of several methods of interaction, primarily through electrostatic interaction between the anions of pharmaceuticals and the positively charged groups of the sorbent, was enhanced by pseudo-second-order kinetics. Adsorption regeneration with simple acidic washing revealed an ~18.2% drop in desorption efficiency across the cycles [93]. Biochar is a by-product waste from the syngas manufacturing process that was magnetized and utilized for ibuprofen adsorption [103]. Adsorption was shown to be a quick process for a contact duration of 5 min, after which the sorption sites were entirely used up. The sorption kinetics appeared to follow the pseudo-second order, indicating that there is possible development of a chemical bond. The Langmuir adsorption efficiency of biochar-based adsorbents for ibuprofen was ~39.9 mg/g, and the mechanism was identified as a chemical process, viz. stacking-based interactions, hydrogen bond formation, and dipole–dipole linkages aiding in monolayer adsorptive retrieval. The magnetic coating provides additional adsorption sites, allowing for the quick removal of up to 90% of ibuprofen during the first few minutes of contact. With simple methanol and magnetic-based treatment, desorption efficiency was maintained for five desorption–adsorption cycles [103]. Adsorptive retrieval of significant NSAIDs such as ibuprofen, ketoprofen, and diclofenac has also been accomplished using poly(amidoamine)/silica nanohybrids [92]. At pH 9.0 and room temperature, 1 mg/L of the functionalized sorbent exhibited adsorption ability towards 100 g/L of NSAIDs within 25 min. For NSAIDs, the greatest sorption capacity was in the range of 112–134 mg/g, and the adsorption process was found to follow the Langmuir isotherm, with a separation factor less than one, indicating favorable adsorption [92]. Chen et al. [143] developed monodispersed hierarchical layered double hydroxide on silica microspheres for diclofenac adsorption. In this study, 758 mg of diclofenac was adsorbed on 1 g of the adsorbent within 30 min, and the adsorbent was reused four times [143]. In another investigation, silica-alumina was found to be an efficient adsorbent for metformin elimination. At an optimum pH of 9.0, high metformin removal (46 mg/L) was achieved, and the adsorbent retained 95% pollutant removal after three cycles [144]. Ref. [115] produced and utilized mesoporous silica SBA-15 as an adsorbent for pharmaceutical extraction. At acidic pH, the adsorbent demonstrated high adsorption of carbamazepine (85.2%), diclofenac (88.3%), ibuprofen (93.0%), ketoprofen (94.3%), and clofibric acid (49.0%) (pH 3.0). The pseudo-second-order equation and the Freundlich isotherm model best suit the kinetics and equilibrium of adsorption, respectively [115].

6.2. Removal of Antiretroviral Drugs in Water

In the case of ARV drugs, a nanofiber from Mondia Whitei/Poly vinyl alcohol (MW/PVA) blend and a first ever graphene-based material (graphene wool) were investigated [55]. The effect of adsorbent dose on ARV and associated drugs elimination was by nanofiber MW/PVA was studied. According to the results obtained by [55], a substantial decrease in drug removal was seen when the adsorbent dose was changed from 10 to 60 mg while other parameters remained constant (pH 7, initial concentration of 0.5 mg L−1, agitation speed of 125 rpm, and contact period of 30 min). This reduction in removal was attributed to adsorption active site aggregation or overlaps [145]. At a dose of 10 mg, the greatest clearance efficiency was in the range of 22.3–38.1 mg g−1. Taking the percentage elimination into account, 40 mg was employed for further optimization of the remaining parameters. The rate-limiting stage in the adsorption of ARVs were found to be chemisorption. Although the experimental results fitted the pseudo-second order model well, they could not describe the adsorption mechanism. The intraparticle diffusion kinetic model was used to overcome this constraint. The adsorbate transfer in a solid-liquid adsorption process is frequently characterized by film diffusion (also known as external diffusion), surface diffusion, pore diffusion, or mixed surface and pore diffusion. Isoniazid removal was consistent between pH 5 and 9, owing to its neutrality under these circumstances. Both isoniazid and the nanofiber surface were positively charged at pH lower than pK2 (pH = 5), resulting in a decreased percentage elimination due to electrostatic repulsive forces. Finally, where isoniazid and nanofibers were negatively charged, there was a considerable drop in % removal at pH greater than pK3. Except at pH 12, similar tendencies were seen for the remaining nine medicines with two pKa values. Because pH 12 is lower than their pK2 value, the remaining nine medicines existed as neutral/zwitterionic forms, resulting in a higher % elimination than isoniazid. The maximal percentage removal at the optimal pH of 5 was in the range of 75.1–92.8 [55].
A full risk-based evaluation of graphene has been explored but is currently unavailable; nonetheless, many researchers feel that the material does not offer a major health risk based on its composition, although it may pose a concern due to its thin and lightweight nature. With regard to inhalation concerns, graphene is particularly concerning in the particle form [146]. As a result, the physical structure of the graphene-based material and the production procedure are important. In the case of graphene wool, the quartz wool substrate functions as a solid support, facilitating with graphene immobilization [146]. The results of this work show that graphene wool may be employed as an efficient adsorbent for the removal of antiretroviral medication pollutants, notably efavirenz and nevirapine, from aqueous solution. Not enough studies have been conducted to mitigate the presence of ARV drugs in our water system. Many studies have identified and quantified these drugs in our water systems, but a lack of removal technologies to mitigate this issue has been observed. Table 2 Depicts the adsorption capacity, surface area and order of adsorption values of various nanosorbents for the removal of NSAIDs and ARVs in water as discussed.

6.3. Mitigation Using Poly (Vinyl Alcohol) (PVA)-Based Nanofibers

Poly (vinyl alcohol) is a biodegradable and environmentally friendly substance. PVA is made by polymerizing vinyl acetate monomers and then alcoholizing them. PVA has a non-ionic, semi-crystalline process ability, as well as excellent spinnability. Because of the good physical and chemical qualities of the materials being processed, PVA can process a wide range of practical applications. Furthermore, the PVA molecular chain has a significant number of hydroxyl groups that, through hydrogen bonding and crosslinking, might be employed to adsorb pharmaceuticals in wastewater. Kumar et al. [166] successfully tested a CS/PVA/ZnO nanocomposites film for dye removal, demonstrating that ZnO contained in the CS/PVA/ZnO film boosted not only the adsorption capacity but also the stability of the CS/PVA/ZnO nanocomposites film [167]. PVA’s hydrophilicity limits its use, however chemical cross-linking enhances its stability in aqueous conditions. Chemical cross-linking with glutaraldehyde (GA) takes place, during which the hydroxyl group is formed in the presence of a strong acid, and the PVA groups and GA aldehyde groups react. Cross-linking makes nanofibers insoluble in all solvents and improves membrane mechanical characteristics; insolubility is especially important for filtering applications [167]. Meanwhile, the creation of coordination compounds between PVA and metal anions promotes adsorption. Therefore, to adsorb, PVA electrospun nanofiber can be utilized

7. Limitations of Nanomaterials

Nanotechnology provides a variety of processes for removing pharmaceutical compounds from wastewater or surface waters. It does, however, show promising results in lab experiments, but its readiness in pilot-scale studies varies greatly. Their commercialization and transition to pilot studies face a number of challenges, including cost-effectiveness, technical obstacles, potential human and environmental risk, and so on. The pilot-scale application of nanomaterials in removing pharmaceutical compounds from surface and wastewater sources faces two major challenges. The first is to evaluate the material’s effectiveness and performance in both systems, as well as the removal efficiency and applicability of various techniques to validate the nanoparticles by enabling sensing techniques. Second, the long-term efficacy of these nanomaterials is still unknown because most reported studies were conducted in labs for a short period of time. Despite nanoparticles’ high removal efficiencies, the adaptation of these technologies to pilot studies is solely dependent on potential risk and cost-effectiveness. Except for nanoscale ion-oxide, nano TiO2, and polymeric nanofibers, the current cost of nanomaterials is prohibitively high. However, by reusing and retaining the nanomaterials, this can be improved. By increasing the reactivity and selectivity of the nanomaterials, surface modification of nanoparticles results in the removal of pharmaceutical compounds. Derivatization improves photocatalytic activity by combining the nanomaterial with a catalytic metal, increasing the efficiency and affinity of the nanoparticles towards the contaminant. The use of modified materials to remove NSAIDs and ARV drugs from wastewater is minimal, and different approaches should be considered to overcome the role of other contaminants such as complex organic compounds, antibiotics, heavy metal ions, dyes, viruses, and so on. Although these functionalized nanoparticles are made using low-cost and simple methods, producing them on a large scale remains difficult. It is also critical to consider this from an engineering standpoint. Compatibility between current water treatment processes and the aforementioned nanotechnologies must also be addressed. Focus should be placed on implementing nanotechnology with minimal changes to the existing distribution system and treatment plant.

8. Future Prospects

Over the past decade, the world has experienced an acceleration in global industrialization and technological development, which has resulted in an increase in water pollution due to the discharge of untreated effluents into waters around the world. The presence of excessive and highly toxic levels of pollutants in the environment has switched the focus from innovation to sustainability. As previously discussed, nanoparticle adsorbents are extremely efficient in terms of synthesis, operation, adsorption capacity, stable performance, and economic feasibility, and they can be surface engineered to be tailor-made for specific persistent pollutants. Aside from the advantages to society, environmental engineers and scientists should hypothesize on and depict potential dangers of engineered nanomaterials associated to their large-scale implementation. Exposure to nanoparticles does not yet represent a significant danger to human health; nonetheless, the potential for inadvertent ecological issues may develop with the widespread societal usage of diverse forms of these nanomaterials. On the other hand, a number of studies on non-traditional low-cost adsorbents for pharmaceutical removal increased exponentially over the years, whereas there is still a lack of understanding about their practical application. In addition to additional research on fixed-bed adsorption, adsorbent regeneration, and cost assessment, publications that reflect real-world systems are required, because the majority of current studies use synthetic or nano-component solutions at concentrations higher than that typically detected in the environment. As a result, several points must still be investigated for industrial application. Future research should focus on multicomponent adsorption, real-world wastewater treatment, continuous adsorption, and adsorption regeneration. Therefore nanomaterials, especially electrospun nanofiber-based adsorbents are recommended for future works.
ENFM have demonstrated several advantages in the adsorption removal of heavy metals from water and the same can be performed for pharmaceuticals. By combining and electrospinning different functional polymers, altering surface functional groups, or inserting inorganic components, various ENFMs with high adsorption capability may be produced. Furthermore, ENFMs are easily removed from water and do not cause secondary contamination. Currently, laboratory preparation of ENFMs is time-consuming. Although numerous businesses have begun mass production of ENFM products in recent years, most of them concentrate on the electrospinning of conventional or single polymers with good spin ability, and very few studies reported on the mass production of composite nanofibrous membranes for the removal of pharmaceuticals such as NSAIDs and ARVs.
Furthermore, while developing ENFM-based adsorbents for real-world applications is a genuine issue, the regeneration of ENFMs is seldom investigated in the published literature. As a result, further research should be conducted to solve these issues, particularly by employing actual wastewater under industrial operating settings. More research on the dynamic and selective adsorption of various pharmaceuticals on ENFMs is also required. Most current research has concentrated on the static and single-component adsorption of heavy metals by ENFMs and only a handful have been reported on NSAIDs and ARVs. Dynamic adsorption research on the co-existence of multiple pharmaceuticals should be of importance in order to deal with the complicated water environment in practical applications. The column adsorption experiment is particularly useful and vital for practical application. There have been few reports on how to fabricate ENFMs for adsorption columns or how to lower the resistance of liquid flow within the columns. Furthermore, the synthesis of functional ENFMs with selective adsorption capacity to pharmaceuticals in particular, in the existing system or with synergistic adsorption and reduction effects to accomplish pharmaceutical recovery, should be a focus of future work. Electrospun nanofibers are environmentally friendly, inexpensive, non-toxic, and reusable through desorption. Co-polymers such as poly (ethylene oxide) (PEO) and poly (vinyl alcohol) (PVA) can be used in the electrospinning process because they are biocompatible, easy to electrospin, and non-toxic. Even difficult-to-electrospin biopolymers such as lignin, chitosan, or cellulose can be electrospun using such polymers. Without a doubt, electrospun nanofibers with a highly available surface area represent a viable solution to pollutant adsorption because they provide a sufficient number of sorption sites. However, nano-meter-scale fibers are difficult to obtain from polymers using traditional manufacturing processes [168]. Electrospinning is still the method of choice for creating nano- or micron-size fibers from biopolymers. Regeneration of nanomaterials is required for cyclic applications in pharmaceutical wastewater treatment. A suitable adsorbent must have good desorption–adsorption performance in order to maximize efficiency and reduce costs. Eluent selection for improved desorption is primarily determined by the adsorption mechanism, adsorbent nature, and adsorbates. For eluting pharmaceutical compounds, the most commonly used eluent agent in desorption is an acidic or alkaline solution. Aside from these agents, thiourea HCl and EDTA have been reported as highly efficient eluents for removing pharmaceutical compounds from used nanomaterials. Systematic studies should be carried out in order to optimize various conditions such as desorption time, pH, recovery efficiency, eluent type, and so on.

9. Conclusions

In summary, nanomaterials can be used as adsorbents for ‘emerging’ pharmaceutical pollutants in our water streams due to their attractive attributes, such as large surface area, ease of functionalization, and sustainability. These materials can be applied for selective detection and elimination of target pollutants, such as non-steroidal anti-inflammatory drugs and antiretroviral drugs from complicated sample mixtures at reasonable costs. The ease of preparation of multifunctional nanostructured composites has shown huge potential as complementary adsorbents to eradicate the obstinate pharmaceutical pollutants. These materials afford specific functionalities that offer high selectivity, remarkable adsorption capacity and adsorption rates.

Funding

Funding from the National Research Foundation of South Africa (NRF) (Grant number: 131443) is highly appreciated.

Conflicts of Interest

The authors declare no conflict of interest.

References

  1. Shen, R.; Andrews, S.A. Demonstration of 20 pharmaceuticals and personal care products (PPCPs) as nitrosamine precursors during chloramine disinfection. Water Res. 2011, 45, 944–952. [Google Scholar] [CrossRef] [PubMed]
  2. Carmalin Sophia, A.; Lima, E.C.; Allaudeen, N.; Rajan, S. Application of graphene based materials for adsorption of pharmaceutical traces from water and wastewater—A review. Desalin. Water Treat. 2016, 57, 27573–27586. [Google Scholar] [CrossRef]
  3. Sigonya, S.; Chibuzor, S.; Phumlani, O.; Mdluli, S.; Hendrica, T. Method optimisation and application based on solid phase extraction of non steroidal anti–inflammatory drugs, antiretroviral drugs, and a lipid regulator from coastal areas of Durban, South Africa. SN Appl. Sci. 2022, 4, 231. [Google Scholar] [CrossRef]
  4. Awwad, N.S.; El-Zahhar, A.A.; Fouda, A.M.; Ibrahium, H.A. Removal of heavy metal ions from ground and surface water samples using carbons derived from date pits. J. Environ. Chem. Eng. 2013, 1, 416–423. [Google Scholar] [CrossRef]
  5. Arora, R. Adsorption of heavy metals-a review. Mater. Today Proc. 2019, 18, 4745–4750. [Google Scholar] [CrossRef]
  6. Rashid, R.; Shafiq, I.; Akhter, P.; Iqbal, M.J.; Hussain, M. A state-of-the-art review on wastewater treatment techniques: The effectiveness of adsorption method. Environ. Sci. Pollut. Res. 2021, 28, 9050–9066. [Google Scholar] [CrossRef]
  7. Foster, J.E. Plasma-based water purification: Challenges and prospects for the future. Phys. Plasmas 2017, 24, 055501. [Google Scholar] [CrossRef]
  8. Shafiq, I.; Hussain, M.; Shehzad, N.; Maafa, I.M.; Akhter, P.; Amjad, U.E.S.; Shafique, S.; Razzaq, A.; Yang, W.; Tahir, M.; et al. The effect of crystal facets and induced porosity on the performance of monoclinic BiVO4 for the enhanced visible-light driven photocatalytic abatement of methylene blue. J. Environ. Chem. Eng. 2019, 7, 103265. [Google Scholar] [CrossRef]
  9. Comerton, A.M.; Andrews, R.C.; Bagley, D.M.; Hao, C. The rejection of endocrine disrupting and pharmaceutically active compounds by NF and RO membranes as a function of compound and water matrix properties. J. Memb. Sci. 2008, 313, 323–335. [Google Scholar] [CrossRef]
  10. Fuerhacker, M.; Dürauer, A.; Jungbauer, A. Adsorption isotherms of 17β-estradiol on granular activated carbon (GAC). Chemosphere 2001, 44, 1573–1579. [Google Scholar] [CrossRef]
  11. Kaya, Y.; Ersan, G.; Vergili, I.; Gönder, Z.B.; Yilmaz, G.; Dizge, N.; Aydiner, C. The treatment of pharmaceutical wastewater using in a submerged membrane bioreactor under different sludge retention times. J. Memb. Sci. 2013, 442, 72–82. [Google Scholar] [CrossRef]
  12. Stasinakis, A.S. Use of selected advanced oxidation processes ({AOPs}) for wastewater treatment—A mini review. Glob. NEST J. 2008, 2008, 376–385. [Google Scholar]
  13. Westerhoff, P.; Yoon, Y.; Snyder, S.; Wert, E. Fate of endocrine-disruptor, pharmaceutical, and personal care product chemicals during simulated drinking water treatment processes. Environ. Sci. Technol. 2005, 39, 6649–6663. [Google Scholar] [CrossRef]
  14. Oller, I.; Malato, S.; Sánchez-Pérez, J.A. Combination of Advanced Oxidation Processes and biological treatments for wastewater decontamination—A review. Sci. Total Environ. 2011, 409, 4141–4166. [Google Scholar] [CrossRef] [PubMed]
  15. Radjenović, J.; Petrović, M.; Barceló, D. Fate and distribution of pharmaceuticals in wastewater and sewage sludge of the conventional activated sludge (CAS) and advanced membrane bioreactor (MBR) treatment. Water Res. 2009, 43, 831–841. [Google Scholar] [CrossRef] [PubMed]
  16. Yoon, Y.; Ryu, J.; Oh, J.; Choi, B.G.; Snyder, S.A. Occurrence of endocrine disrupting compounds, pharmaceuticals, and personal care products in the Han River (Seoul, South Korea). Sci. Total Environ. 2010, 408, 636–643. [Google Scholar] [CrossRef]
  17. Mohanty, K.; Das, D.; Biswas, M.N. Preparation and characterization of activated carbons from Sterculia alata nutshell by chemical activation with zinc chloride to remove phenol from wastewater. Adsorption 2006, 12, 119–132. [Google Scholar] [CrossRef]
  18. Ahmed, S.N.; Haider, W. Heterogeneous photocatalysis and its potential applications in water and wastewater treatment: A review. Nanotechnology 2018, 29, 342001. [Google Scholar] [CrossRef]
  19. Nguyen, C.H.; Juang, R.S. Efficient removal of cationic dyes from water by a combined adsorption-photocatalysis process using platinum-doped titanate nanomaterials. J. Taiwan Inst. Chem. Eng. 2019, 99, 166–179. [Google Scholar] [CrossRef]
  20. Gerbersdorf, S.U.; Cimatoribus, C.; Class, H.; Engesser, K.H.; Helbich, S.; Hollert, H.; Lange, C.; Kranert, M.; Metzger, J.; Nowak, W.; et al. Anthropogenic Trace Compounds (ATCs) in aquatic habitats—Research needs on sources, fate, detection and toxicity to ensure timely elimination strategies and risk management. Environ. Int. 2015, 79, 85–105. [Google Scholar] [CrossRef] [PubMed]
  21. Ngumba, E.; Gachanja, A.; Tuhkanen, T. Occurrence of selected antibiotics and antiretroviral drugs in Nairobi River Basin, Kenya. Sci. Total Environ. 2016, 539, 206–213. [Google Scholar] [CrossRef]
  22. Nasrollahzadeh, M.; Sajjadi, M.; Iravani, S.; Varma, R.S. Starch, cellulose, pectin, gum, alginate, chitin and chitosan derived (nano)materials for sustainable water treatment: A review. Carbohydr. Polym. 2021, 251, 116986. [Google Scholar] [CrossRef]
  23. Konig-Péter, A.; Kocsis, B.; Kilár, F.; Pernyeszi, T. Bio-adsorption characteristics of Pseudomonas aeruginosa PAO1. J. Serbian Chem. Soc. 2014, 79, 495–508. [Google Scholar] [CrossRef]
  24. Shon, H.K.; Vigneswaran, S.; Snyder, S.A. Effluent organic matter (EfOM) in wastewater: Constituents, effects, and treatment. Crit. Rev. Environ. Sci. Technol. 2006, 36, 327–374. [Google Scholar] [CrossRef]
  25. Wong, J.K.H.; Tan, H.K.; Lau, S.Y.; Yap, P.S.; Danquah, M.K. Potential and challenges of enzyme incorporated nanotechnology in dye wastewater treatment: A review. J. Environ. Chem. Eng. 2019, 7, 103261. [Google Scholar] [CrossRef]
  26. Crini, G.; Lichtfouse, E. Advantages and disadvantages of techniques used for wastewater treatment. Environ. Chem. Lett. 2019, 17, 145–155. [Google Scholar] [CrossRef]
  27. Archer, E.; Petrie, B.; Kasprzyk-Hordern, B.; Wolfaardt, G.M. The fate of pharmaceuticals and personal care products (PPCPs), endocrine disrupting contaminants (EDCs), metabolites and illicit drugs in a WWTW and environmental waters. Chemosphere 2017, 174, 437–446. [Google Scholar] [CrossRef] [PubMed]
  28. Collado, N.; Rodriguez-Mozaz, S.; Gros, M.; Rubirola, A.; Barceló, D.; Comas, J.; Rodriguez-Roda, I.; Buttiglieri, G. Pharmaceuticals occurrence in a WWTP with significant industrial contribution and its input into the river system. Environ. Pollut. 2014, 185, 202–212. [Google Scholar] [CrossRef]
  29. Patel, M.; Kumar, R.; Kishor, K.; Mlsna, T.; Pittman, C.U.; Mohan, D. Pharmaceuticals of emerging concern in aquatic systems: Chemistry, occurrence, effects, and removal methods. Chem. Rev. 2019, 119, 3510–3673. [Google Scholar] [CrossRef]
  30. De Andrade, J.R.; Oliveira, M.F.; Da Silva, M.G.C.; Vieira, M.G.A. Adsorption of Pharmaceuticals from Water and Wastewater Using Nonconventional Low-Cost Materials: A Review. Ind. Eng. Chem. Res. 2018, 57, 3103–3127. [Google Scholar] [CrossRef]
  31. Brutzkus, J.C.; Shahrokhi, M.; Varacallo, M. Naproxen; StatPearls Publishing: Treuasure Island, FL, USA, 2018; pp. 1–5. [Google Scholar]
  32. Dahane, S.; Gil García, M.D.; Martínez Bueno, M.J.; Uclés Moreno, A.; Martínez Galera, M.; Derdour, A. Determination of drugs in river and wastewaters using solid-phase extraction by packed multi-walled carbon nanotubes and liquid chromatography-quadrupole-linear ion trap-mass spectrometry. J. Chromatogr. A 2013, 1297, 17–28. [Google Scholar] [CrossRef] [PubMed]
  33. Altman, R.; Bosch, B.; Brune, K.; Patrignani, P.; Young, C. Advances in NSAID development: Evolution of diclofenac products using pharmaceutical technology. Drugs 2015, 75, 859–877. [Google Scholar] [CrossRef] [PubMed]
  34. Ahmed, M.J. Adsorption of non-steroidal anti-inflammatory drugs from aqueous solution using activated carbons: Review. J. Environ. Manage. 2017, 190, 274–282. [Google Scholar] [CrossRef] [PubMed]
  35. Ngubane, N.P.; Naicker, D.; Ncube, S.; Chimuka, L.; Madikizela, L.M. Determination of naproxen, diclofenac and ibuprofen in Umgeni estuary and seawater: A case of northern Durban in KwaZulu–Natal Province of South Africa. Reg. Stud. Mar. Sci. 2019, 29, 100675. [Google Scholar] [CrossRef]
  36. Álvarez-Torrellas, S.; Rodríguez, A.; Ovejero, G.; García, J. Comparative adsorption performance of ibuprofen and tetracycline from aqueous solution by carbonaceous materials. Chem. Eng. J. 2016, 283, 936–947. [Google Scholar] [CrossRef]
  37. Weigel, S.; Kuhlmann, J.; Huhnerfuss, H. Drugs and personal care products as ubiquitous pollutants: Occurrence and distribution of clofibric acid, caffeine and DEET in the North Sea. Sci. Total Environ. 2002, 295, 131–141. [Google Scholar] [CrossRef]
  38. Baccar, R.; Sarrà, M.; Bouzid, J.; Feki, M.; Blánquez, P. Removal of pharmaceutical compounds by activated carbon prepared from agricultural by-product. Chem. Eng. J. 2012, 211–212, 310–317. [Google Scholar] [CrossRef]
  39. Jedynak, K.; Szczepanik, B.; Rȩdzia, N.; Slomkiewicz, P.; Kolbus, A.; Rogala, P. Ordered mesoporous carbons for adsorption of paracetamol and non-steroidal anti-inflammatory drugs: Ibuprofen and naproxen from aqueous solutions. Water 2019, 11, 1099. [Google Scholar] [CrossRef]
  40. Michael, I.; Rizzo, L.; McArdell, C.S.; Manaia, C.M.; Merlin, C.; Schwartz, T.; Dagot, C.; Fatta-Kassinos, D. Urban wastewater treatment plants as hotspots for the release of antibiotics in the environment: A review. Water Res. 2013, 47, 957–995. [Google Scholar] [CrossRef] [PubMed]
  41. Yu, F.; Li, Y.; Han, S.; Ma, J. Adsorptive removal of antibiotics from aqueous solution using carbon materials. Chemosphere 2016, 153, 365–385. [Google Scholar] [CrossRef]
  42. Rakić, V.; Rac, V.; Krmar, M.; Otman, O.; Auroux, A. The adsorption of pharmaceutically active compounds from aqueous solutions onto activated carbons. J. Hazard. Mater. 2015, 282, 141–149. [Google Scholar] [CrossRef] [PubMed]
  43. Bhadra, B.N.; Seo, P.W.; Jhung, S.H. Adsorption of diclofenac sodium from water using oxidized activated carbon. Chem. Eng. J. 2016, 301, 27–34. [Google Scholar] [CrossRef]
  44. Larous, S.; Meniai, A.H. Adsorption of Diclofenac from aqueous solution using activated carbon prepared from olive stones. Int. J. Hydrogen Energy 2016, 41, 10380–10390. [Google Scholar] [CrossRef]
  45. Mestre, A.S.; Pires, J.; Nogueira, J.M.F.; Carvalho, A.P. Activated carbons for the adsorption of ibuprofen. Carbon N. Y. 2007, 45, 1979–1988. [Google Scholar] [CrossRef]
  46. Guedidi, H.; Reinert, L.; Lévêque, J.M.; Soneda, Y.; Bellakhal, N.; Duclaux, L. The effects of the surface oxidation of activated carbon, the solution pH and the temperature on adsorption of ibuprofen. Carbon N. Y. 2013, 54, 432–443. [Google Scholar] [CrossRef]
  47. Zhang, P.; Wang, L.; Yang, S.; Schott, J.A.; Liu, X.; Mahurin, S.M.; Huang, C.; Zhang, Y.; Fulvio, P.F.; Chisholm, M.F.; et al. Solid-state synthesis of ordered mesoporous carbon catalysts via a mechanochemical assembly through coordination cross-linking. Nat. Commun. 2017, 8, 15020. [Google Scholar] [CrossRef]
  48. Wood, T.P.; Duvenage, C.S.J.; Rohwer, E. The occurrence of anti-retroviral compounds used for HIV treatment in South African surface water. Environ. Pollut. 2015, 199, 235–243. [Google Scholar] [CrossRef]
  49. Lofrano, G.; Carotenuto, M.; Libralato, G.; Domingos, R.F.; Markus, A.; Dini, L.; Gautam, R.K.; Baldantoni, D.; Rossi, M.; Sharma, S.K.; et al. Polymer functionalized nanocomposites for metals removal from water and wastewater: An overview. Water Res. 2016, 92, 22–37. [Google Scholar] [CrossRef]
  50. Peng, X.; Wang, C.; Zhang, K.; Wang, Z.; Huang, Q.; Yu, Y.; Ou, W. Profile and behavior of antiviral drugs in aquatic environments of the Pearl River Delta, China. Sci. Total Environ. 2014, 466–467, 755–761. [Google Scholar] [CrossRef]
  51. Ncube, S.; Madikizela, L.M.; Chimuka, L.; Nindi, M.M. Environmental fate and ecotoxicological effects of antiretrovirals: A current global status and future perspectives. Water Res. 2018, 145, 231–247. [Google Scholar] [CrossRef]
  52. Mosekiemang, T.T.; Stander, M.A.; de Villiers, A.; Villiers, D.; Mosekiemang, T.T.; Stander, M.A. Simultaneous quantification of commonly prescribed antiretroviral drugs and their selected metabolites in aqueous environmental samples by direct injection and solid phase extraction liquid chromatography—Tandem mass spectrometry. Chemosphere 2019, 220, 983–992. [Google Scholar] [CrossRef] [PubMed]
  53. Sanderson, H.; Johnson, D.J.; Reitsma, T.; Brain, R.A.; Wilson, C.J.; Solomon, K.R. Ranking and prioritization of environmental risks of pharmaceuticals in surface waters. Regul. Toxicol. Pharmacol. 2004, 39, 158–183. [Google Scholar] [CrossRef] [PubMed]
  54. Van Langenhove, H.; Abira, M.A.; Vergeynst, L.; Demeestere, K.; K’oreje, K.O.; Kandie, F.J.; Okoth, M. Occurrence, fate and removal of pharmaceuticals, personal care products and pesticides in wastewater stabilization ponds and receiving rivers in the Nzoia Basin, Kenya. Sci. Total Environ. 2018, 637–638, 336–348. [Google Scholar] [CrossRef]
  55. Kebede, T.G.; Seroto, M.B.; Chokwe, R.C.; Dube, S.; Nindi, M.M. Adsorption of antiretroviral (ARVs) and related drugs from environmental wastewaters using nanofibers. J. Environ. Chem. Eng. 2020, 8, 104049. [Google Scholar] [CrossRef]
  56. Afkhami, A.; Saber-Tehrani, M.; Bagheri, H. Simultaneous removal of heavy-metal ions in wastewater samples using nano-alumina modified with 2,4-dinitrophenylhydrazine. J. Hazard. Mater. 2010, 181, 836–844. [Google Scholar] [CrossRef]
  57. Hua, M.; Zhang, S.; Pan, B.; Zhang, W.; Lv, L.; Zhang, Q. Heavy metal removal from water/wastewater by nanosized metal oxides: A review. J. Hazard. Mater. 2012, 211–212, 317–331. [Google Scholar] [CrossRef] [PubMed]
  58. Zhang, Y.; Shen, Z.; Dai, C.; Zhou, X. Removal of selected pharmaceuticals from aqueous solution using magnetic chitosan: Sorption behavior and mechanism. Environ. Sci. Pollut. Res. 2014, 21, 12780–12789. [Google Scholar] [CrossRef]
  59. Kebede, T.G.; Dube, S.; Nindi, M.M. Biopolymer electrospun nanofibres for the adsorption of pharmaceuticals from water systems. J. Environ. Chem. Eng. 2019, 7, 103330. [Google Scholar] [CrossRef]
  60. Ren, X.; Chen, C.; Nagatsu, M.; Wang, X. Carbon nanotubes as adsorbents in environmental pollution management: A review. Chem. Eng. J. 2011, 170, 395–410. [Google Scholar] [CrossRef]
  61. Bilal, M.; Rasheed, T.; Mehmood, S.; Tang, H.; Ferreira, L.F.R.; Bharagava, R.N.; Iqbal, H.M.N. Mitigation of environmentally-related hazardous pollutants from water matrices using nanostructured materials—A review. Chemosphere 2020, 253, 126770. [Google Scholar] [CrossRef]
  62. Bagbi, Y.; Pandey, A.; Solanki, P.R. Electrospun Nanofibrous Filtration Membranes for Heavy Metals and Dye Removal. In Nanoscale Materials in Water Purification; Elsevier: Amsterdam, The Netherlands, 2019; pp. 275–288. [Google Scholar] [CrossRef]
  63. Cui, J.; Li, F.; Wang, Y.; Zhang, Q.; Ma, W.; Huang, C. Electrospun nanofiber membranes for wastewater treatment applications. Sep. Purif. Technol. 2020, 250, 117116. [Google Scholar] [CrossRef]
  64. Karnik, B.S.; Davies, S.H.; Baumann, M.J.; Masten, S.J. The effects of combined ozonation and filtration on disinfection by-product formation. Water Res. 2005, 39, 2839–2850. [Google Scholar] [CrossRef] [PubMed]
  65. Mlunguza, N.Y.; Ncube, S.; Nokwethemba Mahlambi, P.; Chimuka, L.; Madikizela, L.M. Adsorbents and removal strategies of non-steroidal anti-inflammatory drugs from contaminated water bodies. J. Environ. Chem. Eng. 2019, 7, 103142. [Google Scholar] [CrossRef]
  66. Ngumba, E.; Kosunen, P.; Gachanja, A.; Tuhkanen, T. A multiresidue analytical method for trace level determination of antibiotics and antiretroviral drugs in wastewater and surface water using SPE-LC-MS/MS and matrix-matched standards. Anal. Methods 2016, 8, 6720–6729. [Google Scholar] [CrossRef]
  67. Dasenaki, M.E.; Thomaidis, N.S. Multi-residue determination of 115 veterinary drugs and pharmaceutical residues in milk powder, butter, fish tissue and eggs using liquid chromatography-tandem mass spectrometry. Anal. Chim. Acta 2015, 880, 103–121. [Google Scholar] [CrossRef] [PubMed]
  68. Zhou, S.; Chen, H.; Wu, B.; Ma, C.; Ye, Y. Sensitive determination of carbamates in fruit and vegetables by a combination of solid-phase extraction and dispersive liquid-liquid microextraction prior to HPLC. Microchim. Acta 2012, 176, 419–427. [Google Scholar] [CrossRef]
  69. Petrie, B.; Youdan, J.; Barden, R.; Kasprzyk-Hordern, B. Multi-residue analysis of 90 emerging contaminants in liquid and solid environmental matrices by ultra-high-performance liquid chromatography tandem mass spectrometry. J. Chromatogr. A 2016, 1431, 64–78. [Google Scholar] [CrossRef]
  70. Abafe, O.A.; Späth, J.; Fick, J.; Jansson, S.; Buckley, C.; Stark, A.; Pietruschka, B.; Martincigh, B.S. LC-MS/MS determination of antiretroviral drugs in influents and effluents from wastewater treatment plants in KwaZulu-Natal, South Africa. Chemosphere 2018, 200, 660–670. [Google Scholar] [CrossRef]
  71. Afroze, S.; Sen, T.K. A Review on Heavy Metal Ions and Dye Adsorption from Water by Agricultural Solid Waste Adsorbents. Water Air Soil Pollut. 2018, 229, 225. [Google Scholar] [CrossRef]
  72. Abdullah, M.O.; Tan, I.A.W.; Lim, L.S. Automobile adsorption air-conditioning system using oil palm biomass-based activated carbon: A review. Renew. Sustain. Energy Rev. 2011, 15, 2061–2072. [Google Scholar] [CrossRef]
  73. Ezugbe, E.O.; Rathilal, S. Membrane technologies in wastewater treatment: A review. Membranes 2020, 10, 89. [Google Scholar] [CrossRef] [PubMed]
  74. Bazan-Wozniak, A.; Pietrzak, R. Adsorption of organic and inorganic pollutants on activated bio-carbons prepared by chemical activation of residues of supercritical extraction of raw plants. Chem. Eng. J. 2020, 393, 124785. [Google Scholar] [CrossRef]
  75. Prajapati, A.K.; Das, S.; Mondal, M.K. Exhaustive studies on toxic Cr(VI) removal mechanism from aqueous solution using activated carbon of Aloe vera waste leaves. J. Mol. Liq. 2020, 307, 112956. [Google Scholar] [CrossRef]
  76. Wadhawan, S.; Jain, A.; Nayyar, J.; Mehta, S.K. Role of nanomaterials as adsorbents in heavy metal ion removal from waste water: A review. J. Water Process Eng. 2020, 33, 101038. [Google Scholar] [CrossRef]
  77. Hussain, M.; Fino, D.; Russo, N. N2O decomposition by mesoporous silica supported Rh catalysts. J. Hazard. Mater. 2012, 211–212, 255–265. [Google Scholar] [CrossRef]
  78. Montes, D.; Tocuyo, E.; Gonzaĺez, E.; Rodriǵuez, D.; Solano, R.; Atencio, R.; Ramos, M.A.; Moronta, A. Reactive H2S chemisorption on mesoporous silica molecular sieve-supported CuO or ZnO. Microporous Mesoporous Mater. 2013, 168, 111–120. [Google Scholar] [CrossRef]
  79. Ali, Z.; Ahmad, R. Nanotechnology for Water Treatment. Environ. Nanotechnol. 2020, 3, 143–163. [Google Scholar] [CrossRef]
  80. Jaria, G.; Calisto, V.; Gil, M.V.; Otero, M.; Esteves, V.I. Removal of fluoxetine from water by adsorbent materials produced from paper mill sludge. J. Colloid Interface Sci. 2015, 448, 32–40. [Google Scholar] [CrossRef]
  81. Singh, N.B.; Nagpal, G.; Agrawal, S. Rachna Water purification by using Adsorbents: A Review. Environ. Technol. Innov. 2018, 11, 187–240. [Google Scholar] [CrossRef]
  82. Krstić, V. Role of zeolite adsorbent in water treatment. In Handbook of Nanomaterials for Wastewater Treatment: Fundamentals and Scale Up Issues; Elsevier: Amsterdam, The Netherlands, 2021. [Google Scholar] [CrossRef]
  83. Iftekhar, S.; Ramasamy, D.L.; Srivastava, V.; Asif, M.B.; Sillanpää, M. Understanding the factors affecting the adsorption of Lanthanum using different adsorbents: A critical review. Chemosphere 2018, 204, 413–430. [Google Scholar] [CrossRef] [PubMed]
  84. Iftekhar, S.; Srivastava, V.; Sillanpää, M. Enrichment of lanthanides in aqueous system by cellulose based silica nanocomposite. Chem. Eng. J. 2017, 320, 151–159. [Google Scholar] [CrossRef]
  85. Akhtar, J.; Amin, N.A.S.; Shahzad, K. A review on removal of pharmaceuticals from water by adsorption. Desalin. Water Treat. 2016, 57, 12842–12860. [Google Scholar] [CrossRef]
  86. Oba, S.N.; Ighalo, J.O.; Aniagor, C.O.; Adaobi, C. Science of the Total Environment Removal of ibuprofen from aqueous media by adsorption: A comprehensive review. Sci. Total Environ. 2021, 780, 146608. [Google Scholar] [CrossRef]
  87. Bernal, V.; Giraldo, L. Physicochemical Properties of Activated Carbon: Their Effect on the Adsorption of Pharmaceutical Compounds and Adsorbate—Adsorbent Interactions. C 2018, 4, 62. [Google Scholar] [CrossRef]
  88. Singh, S.; Kumar, V.; Anil, A.G.; Kapoor, D.; Khasnabis, S.; Shekar, S.; Pavithra, N.; Samuel, J.; Subramanian, S.; Singh, J.; et al. Adsorption and detoxification of pharmaceutical compounds from wastewater using nanomaterials: A review on mechanism, kinetics, valorization and circular economy. J. Environ. Manage. 2021, 300, 113569. [Google Scholar] [CrossRef] [PubMed]
  89. Cho, H.H.; Huang, H.; Schwab, K. Effects of solution chemistry on the adsorption of ibuprofen and triclosan onto carbon nanotubes. Langmuir 2011, 27, 12960–12967. [Google Scholar] [CrossRef]
  90. Hasan, Z.; Khan, N.A.; Jhung, S.H. Adsorptive removal of diclofenac sodium from water with Zr-based metal–organic frameworks. Chem. Eng. J. 2016, 284, 1406–1413. [Google Scholar] [CrossRef]
  91. Rafati, L.; Ehrampoush, M.H.; Rafati, A.A.; Mokhtari, M.; Mahvi, A.H. Modeling of adsorption kinetic and equilibrium isotherms of naproxen onto functionalized nano-clay composite adsorbent. J. Mol. Liq. 2016, 224, 832–841. [Google Scholar] [CrossRef]
  92. Lotfi, R.; Hayati, B.; Rahimi, S.; Shekarchi, A.A.; Mahmoodi, N.M.; Bagheri, A. Synthesis and characterization of PAMAM/SiO2 nanohybrid as a new promising adsorbent for pharmaceuticals. Microchem. J. 2019, 146, 1150–1159. [Google Scholar] [CrossRef]
  93. Mondal, S.; Patel, S.; Majumder, S.K. Naproxen Removal Capacity Enhancement by Transforming the Activated Carbon into a Blended Composite Material. Water. Air. Soil Pollut. 2020, 231, 37. [Google Scholar] [CrossRef]
  94. Cai, Z.; Dwivedi, A.D.; Lee, W.N.; Zhao, X.; Liu, W.; Sillanpää, M.; Zhao, D.; Huang, C.H.; Fu, J. Application of nanotechnologies for removing pharmaceutically active compounds from water: Development and future trends. Environ. Sci. Nano 2018, 5, 27–47. [Google Scholar] [CrossRef]
  95. Yang, X.; Wan, Y.; Zheng, Y.; He, F.; Yu, Z.; Huang, J.; Wang, H.; Ok, Y.S.; Jiang, Y.; Gao, B. Surface functional groups of carbon-based adsorbents and their roles in the removal of heavy metals from aqueous solutions: A critical review. Chem. Eng. J. 2019, 366, 608–621. [Google Scholar] [CrossRef]
  96. Gao, Y.; Li, Y.; Zhang, L.; Huang, H.; Hu, J.; Shah, S.M.; Su, X. Adsorption and removal of tetracycline antibiotics from aqueous solution by graphene oxide. J. Colloid Interface Sci. 2012, 368, 540–546. [Google Scholar] [CrossRef]
  97. Chen, H.; Gao, B.; Li, H. Removal of sulfamethoxazole and ciprofloxacin from aqueous solutions by graphene oxide. J. Hazard. Mater. 2015, 282, 201–207. [Google Scholar] [CrossRef] [PubMed]
  98. Zhao, H.; Liu, X.; Cao, Z.; Zhan, Y.; Shi, X.; Yang, Y.; Zhou, J.; Xu, J. Adsorption behavior and mechanism of chloramphenicols, sulfonamides, and non-antibiotic pharmaceuticals on multi-walled carbon nanotubes. J. Hazard. Mater. 2016, 310, 235–245. [Google Scholar] [CrossRef]
  99. Feng, X.; Qiu, B.; Sun, D. Enhanced naproxen adsorption by a novel β-cyclodextrin immobilized the three-dimensional macrostructure of reduced graphene oxide and multiwall carbon nanotubes. Sep. Purif. Technol. 2022, 290, 120837. [Google Scholar] [CrossRef]
  100. Yi, Y.; Huang, Z.; Lu, B.; Xian, J.; Tsang, E.P.; Cheng, W.; Fang, J.; Fang, Z. Magnetic biochar for environmental remediation: A review. Bioresour. Technol. 2020, 298, 122468. [Google Scholar] [CrossRef]
  101. Ai, T.; Jiang, X.; Zhong, Z.; Li, D.; Dai, S. Methanol-modified ultra-fine magnetic orange peel powder biochar as an effective adsorbent for removal of ibuprofen and sulfamethoxazole from water. Adsorpt. Sci. Technol. 2020, 38, 304–321. [Google Scholar] [CrossRef]
  102. Shan, D.; Deng, S.; Zhao, T.; Wang, B.; Wang, Y.; Huang, J.; Yu, G.; Winglee, J.; Wiesner, M.R. Preparation of ultrafine magnetic biochar and activated carbon for pharmaceutical adsorption and subsequent degradation by ball milling. J. Hazard. Mater. 2016, 305, 156–163. [Google Scholar] [CrossRef]
  103. Liyanage, A.S.; Canaday, S.; Pittman, C.U.; Mlsna, T. Rapid remediation of pharmaceuticals from wastewater using magnetic Fe3O4/Douglas fir biochar adsorbents. Chemosphere 2020, 258, 127336. [Google Scholar] [CrossRef] [PubMed]
  104. Yang, X.; Zhang, X.; Ngo, H.H.; Guo, W.; Huo, J.; Du, Q.; Zhang, Y.; Li, C.; Yang, F. Sorptive removal of ibuprofen from water by natural porous biochar derived from recyclable plane tree leaf waste. J. Water Process Eng. 2022, 46, 102627. [Google Scholar] [CrossRef]
  105. Divya, K.; Jisha, M.S. Chitosan nanoparticles preparation and applications. Environ. Chem. Lett. 2018, 16, 101–112. [Google Scholar] [CrossRef]
  106. Liu, F.F.; Zhao, J.; Wang, S.; Du, P.; Xing, B. Effects of solution chemistry on adsorption of selected pharmaceuticals and personal care products (PPCPs) by graphenes and carbon nanotubes. Environ. Sci. Technol. 2014, 48, 13197–13206. [Google Scholar] [CrossRef] [PubMed]
  107. Zhang, S.; Wang, R.; Zhang, S.; Li, G.; Zhang, Y. Treatment of wastewater containing oil using phosphorylated silica nanotubes (PSNTs)/polyvinylidene fluoride (PVDF) composite membrane. Desalination 2014, 332, 109–116. [Google Scholar] [CrossRef]
  108. Natarajan, R.; Saikia, K.; Ponnusamy, S.K.; Rathankumar, A.K.; Rajendran, D.S.; Venkataraman, S.; Tannani, D.B.; Arvind, V.; Somanna, T.; Banerjee, K.; et al. Understanding the factors affecting adsorption of pharmaceuticals on different adsorbents—A critical literature update. Chemosphere 2022, 287, 131958. [Google Scholar] [CrossRef]
  109. Bindhu, M.R.; Umadevi, M. Spectrochimica Acta Part A: Molecular and Biomolecular Spectroscopy Silver and gold nanoparticles for sensor and antibacterial applications. Spectroscopy 2014, 128, 37–45. [Google Scholar] [CrossRef]
  110. Yu, Y.; Yu, L.; Koh, K.Y.; Wang, C.; Chen, J.P. Rare-earth metal based adsorbents for effective removal of arsenic from water: A critical review. Crit. Rev. Environ. Sci. Technol. 2018, 48, 1127–1164. [Google Scholar] [CrossRef]
  111. Jun, B.M.; Heo, J.; Park, C.M.; Yoon, Y. Comprehensive evaluation of the removal mechanism of carbamazepine and ibuprofen by metal organic framework. Chemosphere 2019, 235, 527–537. [Google Scholar] [CrossRef] [PubMed]
  112. Chen, G.; He, S.; Shi, G.; Ma, Y.; Ruan, C.; Jin, X.; Chen, Q.; Liu, X.; Dai, H.; Chen, X.; et al. In-situ immobilization of ZIF-67 on wood aerogel for effective removal of tetracycline from water. Chem. Eng. J. 2021, 423, 130184. [Google Scholar] [CrossRef]
  113. Zeb, S.; Ali, N.; Ali, Z.; Bilal, M.; Adalat, B.; Hussain, S.; Gul, S.; Ali, F.; Ahmad, R.; Khan, S.; et al. Silica-based nanomaterials as designer adsorbents to mitigate emerging organic contaminants from water matrices. J. Water Process Eng. 2020, 38, 101675. [Google Scholar] [CrossRef]
  114. Hartmann, M. Ordered mesoporous materials for bioadsorption and biocatalysis. Chem. Mater. 2005, 17, 4577–4593. [Google Scholar] [CrossRef]
  115. Bui, T.X.; Choi, H. Adsorptive removal of selected pharmaceuticals by mesoporous silica SBA-15. J. Hazard. Mater. 2009, 168, 602–608. [Google Scholar] [CrossRef]
  116. Natarajan, R.; Banerjee, K.; Kumar, P.S.; Somanna, T.; Tannani, D.; Arvind, V.; Raj, R.I.; Vo, D.V.N.; Saikia, K.; Vaidyanathan, V.K. Performance study on adsorptive removal of acetaminophen from wastewater using silica microspheres: Kinetic and isotherm studies. Chemosphere 2021, 272, 129896. [Google Scholar] [CrossRef]
  117. Lokhande, R.; Gedam, B.; Shah, Y.; Tandon, M.; Bansod, P.Y. Rationale for near total thyroidectomy in patients with nodular goitre. Int. J. Biomed. Adv. Res. 2015, 6, 427–430. [Google Scholar] [CrossRef]
  118. Saeed, K.; Haider, S.; Oh, T.J.; Park, S.Y. Preparation of amidoxime-modified polyacrylonitrile (PAN-oxime) nanofibers and their applications to metal ions adsorption. J. Memb. Sci. 2008, 322, 400–405. [Google Scholar] [CrossRef]
  119. Zhu, F.; Zheng, Y.M.; Zhang, B.G.; Dai, Y.R. A critical review on the electrospun nanofibrous membranes for the adsorption of heavy metals in water treatment. J. Hazard. Mater. 2021, 401, 123608. [Google Scholar] [CrossRef] [PubMed]
  120. Shabafrooz, V.; Mozafari, M.; Vashaee, D.; Tayebi, L. Electrospun nanofibers: From filtration membranes to highly specialized tissue engineering scaffolds. J. Nanosci. Nanotechnol. 2014, 14, 522–534. [Google Scholar] [CrossRef] [PubMed]
  121. Haghi, A.K.; Akbari, M. Trends in electrospinning of natural nanofibers. Phys. Status Solidi Appl. Mater. Sci. 2007, 204, 1830–1834. [Google Scholar] [CrossRef]
  122. Camiré, A.; Espinasse, J.; Chabot, B.; Lajeunesse, A. Development of electrospun lignin nanofibers for the adsorption of pharmaceutical contaminants in wastewater. Environ. Sci. Pollut. Res. 2020, 27, 3560–3573. [Google Scholar] [CrossRef]
  123. Mozzaquatro, S.; Val, A.; Yin, G.; Wang, J.; Selene, M.; De Souza, A.G.U.; Hotza, D. An overview on nanostructured TiO2—Containing fibers for photocatalytic degradation of organic pollutants in wastewater treatment. J. Water Process Eng. 2021, 40, 101827. [Google Scholar] [CrossRef]
  124. Li, L.; Iqbal, J.; Zhu, Y.; Wang, F.; Zhang, F.; Chen, W.; Wu, T.; Du, Y. Chitosan/Al2O3-HA nanocomposite beads for efficient removal of estradiol and chrysoidin from aqueous solution. Int. J. Biol. Macromol. 2020, 145, 686–693. [Google Scholar] [CrossRef] [PubMed]
  125. Shi, J.; Huang, W.; Zhu, H.; Xiong, J.; Bei, H.; Wei, X.; Wang, S. Modified TiO2 particles for heterogeneous photocatalysis under solar irradiation. Mater. Lett. 2020, 279, 128472. [Google Scholar] [CrossRef]
  126. Khanna, P.K.; Singh, N.; Charan, S. Synthesis of nano-particles of anatase-TiO2 and preparation of its optically transparent film in PVA. Mater. Lett. 2007, 61, 4725–4730. [Google Scholar] [CrossRef]
  127. Sze, S.; Chiang, K.; Gordon, A. The stability of polymeric membranes in a TiO2 photocatalysis process. J. Membr. Sci. 2006, 275, 202–211. [Google Scholar] [CrossRef]
  128. Luo, M.; Tang, W.; Zhao, J.; Pu, C. Hydrophilic modification of poly (ether sulfone) used TiO2 nanoparticles by a sol—Gel process. J. Mater. Process. Technol. 2006, 172, 431–436. [Google Scholar] [CrossRef]
  129. Song, M.; Cao, H.; Zhu, Y.; Wang, Y.; Zhao, S.; Huang, C. Electrochemical and photocatalytic properties of electrospun C/TiO2 nanofibers. Chem. Phys. Lett. 2020, 747, 137355. [Google Scholar] [CrossRef]
  130. Kolbasov, A.; Sinha-ray, S.; Yarin, A.L.; Pourdeyhimi, B. Heavy metal adsorption on solution-blown biopolymer nano fi ber membranes. J. Memb. Sci. 2017, 530, 250–263. [Google Scholar] [CrossRef]
  131. An, S.; Joshi, B.N.; Lee, M.W.; Kim, N.Y.; Yoon, S.S. Applied Surface Science Electrospun graphene-ZnO nanofiber mats for photocatalysis applications. Appl. Surf. Sci. 2014, 294, 24–28. [Google Scholar] [CrossRef]
  132. Li, J.; Ma, L.Y.; Li, L.S.; Xu, L. Photodegradation kinetics, transformation, and toxicity prediction of ketoprofen, carprofen, and diclofenac acid in aqueous solutions. Environ. Toxicol. Chem. 2017, 36, 3232–3239. [Google Scholar] [CrossRef]
  133. Filep, T.; Szabó, L.; Kondor, A.C.; Jakab, G.; Szalai, Z. Evaluation of the effect of the intrinsic chemical properties of pharmaceutically active compounds (PhACs) on sorption behaviour in soils and goethite. Ecotoxicol. Environ. Saf. 2021, 215, 112120. [Google Scholar] [CrossRef] [PubMed]
  134. Wang, J.; Liu, M.; Duan, C.; Sun, J.; Xu, Y. Preparation and characterization of cellulose-based adsorbent and its application in heavy metal ions removal. Carbohydr. Polym. 2019, 206, 837–843. [Google Scholar] [CrossRef] [PubMed]
  135. Carmosini, N.; Lee, L.S. Ciprofloxacin sorption by dissolved organic carbon from reference and bio-waste materials. Chemosphere 2009, 77, 813–820. [Google Scholar] [CrossRef] [PubMed]
  136. Almeida, B.; Oehmen, A.; Marques, R.; Brito, D.; Carvalho, G.; Barreto Crespo, M.T. Modelling the biodegradation of non-steroidal anti-inflammatory drugs (NSAIDs) by activated sludge and a pure culture. Bioresour. Technol. 2013, 133, 31–37. [Google Scholar] [CrossRef]
  137. Feng, Z.; Odelius, K.; Rajarao, G.K.; Hakkarainen, M. Microwave carbonized cellulose for trace pharmaceutical adsorption. Chem. Eng. J. 2018, 346, 557–566. [Google Scholar] [CrossRef]
  138. Lung, I.; Soran, M.L.; Stegarescu, A.; Opris, O.; Gutoiu, S.; Leostean, C.; Lazar, M.D.; Kacso, I.; Silipas, T.D.; Porav, A.S. Evaluation of CNT-COOH/MnO2/Fe3O4 nanocomposite for ibuprofen and paracetamol removal from aqueous solutions. J. Hazard. Mater. 2021, 403, 123528. [Google Scholar] [CrossRef]
  139. Vicente-Martínez, Y.; Caravaca, M.; Soto-Meca, A. Determination of very low concentration of bisphenol A in toys and baby pacifiers using dispersive liquid–liquid microextraction by in situ ionic liquid formation and high-performance liquid chromatography. Pharmaceuticals 2020, 13, 301. [Google Scholar] [CrossRef]
  140. Chandrashekar Kollarahithlu, S.; Balakrishnan, R.M. Adsorption of pharmaceuticals pollutants, Ibuprofen, Acetaminophen, and Streptomycin from the aqueous phase using amine functionalized superparamagnetic silica nanocomposite. J. Clean. Prod. 2021, 294, 126155. [Google Scholar] [CrossRef]
  141. Leone, V.O.; Pereira, M.C.; Aquino, S.F.; Oliveira, L.C.A.; Correa, S.; Ramalho, T.C.; Gurgel, L.V.A.; Silva, A.C. Adsorption of diclofenac on a magnetic adsorbent based on maghemite: Experimental and theoretical studies. New J. Chem. 2018, 42, 437–449. [Google Scholar] [CrossRef]
  142. Nadolny, B.; Heineck, R.G.; Bazani, H.A.G.; Hemmer, J.V.; Biavatti, M.L.; Radetski, C.M.; Almerindo, G.I. Use of brewing industry waste to produce carbon-based adsorbents: Paracetamol adsorption study. J. Environ. Sci. Health Part A 2020, 55, 947–956. [Google Scholar] [CrossRef]
  143. Chen, C.; Wang, P.; Lim, T.T.; Liu, L.; Liu, S.; Xu, R. A facile synthesis of monodispersed hierarchical layered double hydroxide on silica spheres for efficient removal of pharmaceuticals from water. J. Mater. Chem. A 2013, 1, 3877–3880. [Google Scholar] [CrossRef]
  144. Alnajjar, M.; Hethnawi, A.; Nafie, G.; Hassan, A.; Vitale, G.; Nassar, N.N. Silica-alumina composite as an effective adsorbent for the removal of metformin from water. J. Environ. Chem. Eng. 2019, 7, 102994. [Google Scholar] [CrossRef]
  145. Crini, G.; Badot, P.M. Application of chitosan, a natural aminopolysaccharide, for dye removal from aqueous solutions by adsorption processes using batch studies: A review of recent literature. Prog. Polym. Sci. 2008, 33, 399–447. [Google Scholar] [CrossRef]
  146. Adeola, A.O.; de Lange, J.; Forbes, P.B.C. Adsorption of antiretroviral drugs, efavirenz and nevirapine from aqueous solution by graphene wool: Kinetic, equilibrium, thermodynamic and computational studies. Appl. Surf. Sci. Adv. 2021, 6, 100157. [Google Scholar] [CrossRef]
  147. de Souza dos Santos, G.E.; Ide, A.H.; Duarte, J.L.S.; McKay, G.; Silva, A.O.S.; Meili, L. Adsorption of anti-inflammatory drug diclofenac by MgAl/layered double hydroxide supported on Syagrus coronata biochar. Powder Technol. 2020, 364, 229–240. [Google Scholar] [CrossRef]
  148. Hossein Beyki, M.; Mohammadirad, M.; Shemirani, F.; Saboury, A.A. Magnetic cellulose ionomer/layered double hydroxide: An efficient anion exchange platform with enhanced diclofenac adsorption property. Carbohydr. Polym. 2017, 157, 438–446. [Google Scholar] [CrossRef]
  149. Tran, T.V.; Nguyen, D.T.C.; Le, H.T.N.; Vo, D.V.N.; Nanda, S.; Nguyen, T.D. Optimization, equilibrium, adsorption behavior and role of surface functional groups on graphene oxide-based nanocomposite towards diclofenac drug. J. Environ. Sci. 2020, 93, 137–150. [Google Scholar] [CrossRef] [PubMed]
  150. Guerra, A.C.S.; de Andrade, M.B.; Tonial dos Santos, T.R.; Bergamasco, R. Adsorption of sodium diclofenac in aqueous medium using graphene oxide nanosheets. Environ. Technol. 2021, 42, 2599–2609. [Google Scholar] [CrossRef]
  151. Khalil, A.M.E.; Memon, F.A.; Tabish, T.A.; Salmon, D.; Zhang, S.; Butler, D. Nanostructured porous graphene for efficient removal of emerging contaminants (pharmaceuticals) from water. Chem. Eng. J. 2020, 398, 125440. [Google Scholar] [CrossRef]
  152. Hiew, B.Y.Z.; Lee, L.Y.; Lai, K.C.; Gan, S.; Thangalazhy-Gopakumar, S.; Pan, G.T.; Yang, T.C.K. Adsorptive decontamination of diclofenac by three-dimensional graphene-based adsorbent: Response surface methodology, adsorption equilibrium, kinetic and thermodynamic studies. Environ. Res. 2019, 168, 241–253. [Google Scholar] [CrossRef]
  153. Li, L.; Zhao, N.; Wei, W.; Sun, Y. A review of research progress on CO2 capture, storage, and utilization in Chinese Academy of Sciences. Fuel 2013, 108, 112–130. [Google Scholar] [CrossRef]
  154. Munoz, M.; Nieto-Sandoval, J.; Álvarez-Torrellas, S.; Sanz-Santos, E.; Calderón, B.; de Pedro, Z.M.; Larriba, M.; Fullana, A.; García, J.; Casas, J.A. Carbon-encapsulated iron nanoparticles as reusable adsorbents for micropollutants removal from water. Sep. Purif. Technol. 2021, 257, 117974. [Google Scholar] [CrossRef]
  155. Shahnaz, T.; Vishnu Priyan, V.; Pandian, S.; Narayanasamy, S. Use of Nanocellulose extracted from grass for adsorption abatement of Ciprofloxacin and Diclofenac removal with phyto, and fish toxicity studies. Environ. Pollut. 2021, 268, 115494. [Google Scholar] [CrossRef] [PubMed]
  156. Ighalo, J.O.; Ajala, O.J.; Umenweke, G.; Ogunniyi, S.; Adeyanju, C.A.; Igwegbe, C.A.; Adeniyi, A.G. Mitigation of clofibric acid pollution by adsorption: A review of recent developments. J. Environ. Chem. Eng. 2020, 8, 104264. [Google Scholar] [CrossRef]
  157. Lawal, I.A.; Lawal, M.M.; Akpotu, S.O.; Azeez, M.A.; Ndungu, P.; Moodley, B. Theoretical and experimental adsorption studies of sulfamethoxazole and ketoprofen on synthesized ionic liquids modified CNTs. Ecotoxicol. Environ. Saf. 2018, 161, 542–552. [Google Scholar] [CrossRef]
  158. Hoppen, M.I.; Carvalho, K.Q.; Ferreira, R.C.; Passig, F.H.; Pereira, I.C.; Rizzo-Domingues, R.C.P.; Lenzi, M.K.; Bottini, R.C.R. Adsorption and desorption of acetylsalicylic acid onto activated carbon of babassu coconut mesocarp. J. Environ. Chem. Eng. 2019, 7, 102862. [Google Scholar] [CrossRef]
  159. Rafati, L.; Ehrampoush, M.H.; Rafati, A.A.; Mokhtari, M.; Mahvi, A.H. Removal of ibuprofen from aqueous solution by functionalized strong nano-clay composite adsorbent: Kinetic and equilibrium isotherm studies. Int. J. Environ. Sci. Technol. 2018, 15, 513–524. [Google Scholar] [CrossRef]
  160. Moacǎ, E.A.; Mihali, C.V.; Macaşoi, I.G.; Racoviceanu, R.; Şoica, C.; Dehelean, C.A.; Pǎcurariu, C.; Florescu, S. Fe3O4@C matrix with tailorable adsorption capacities for paracetamol and acetylsalicylic acid: Synthesis, characterization, and kinetic modeling. Molecules 2019, 24, 1727. [Google Scholar] [CrossRef]
  161. ALOthman, Z.A.; Badjah, A.Y.; Alharbi, O.M.L.; Ali, I. Synthesis of chitosan composite iron nanoparticles for removal of diclofenac sodium drug residue in water. Int. J. Biol. Macromol. 2020, 159, 870–876. [Google Scholar] [CrossRef]
  162. Ameri, A.; Shakibaie, M.; Pournamdari, M.; Ameri, A.; Foroutanfar, A.; Doostmohammadi, M.; Forootanfar, H. Degradation of diclofenac sodium using UV/biogenic selenium nanoparticles/H2O2: Optimization of process parameters. J. Photochem. Photobiol. A Chem. 2020, 392, 112382. [Google Scholar] [CrossRef]
  163. Ye, X.; Li, Y.; Lin, H.; Chen, Y.; Liu, M. Lignin-Based Magnetic Nanoparticle Adsorbent for Diclofenac Sodium Removal: Adsorption Behavior and Mechanisms. J. Polym. Environ. 2021, 29, 3401–3411. [Google Scholar] [CrossRef]
  164. Teo, H.T.; Siah, W.R.; Yuliati, L. Enhanced adsorption of acetylsalicylic acid over hydrothermally synthesized iron oxide-mesoporous silica MCM-41 composites. J. Taiwan Inst. Chem. Eng. 2016, 65, 591–598. [Google Scholar] [CrossRef]
  165. Kamarudin, N.H.N.; Jalil, A.A.; Triwahyono, S.; Sazegar, M.R.; Hamdan, S.; Baba, S.; Ahmad, A. Elucidation of acid strength effect on ibuprofen adsorption and release by aluminated mesoporous silica nanoparticles. RSC Adv. 2015, 5, 30023–30031. [Google Scholar] [CrossRef]
  166. Kumar, S.; Krishnakumar, B.; Sobral, A.J.F.N.; Koh, J. Bio-based (chitosan/PVA/ZnO) nanocomposites film: Thermally stable and photoluminescence material for removal of organic dye. Carbohydr. Polym. 2019, 205, 559–564. [Google Scholar] [CrossRef]
  167. Tian, H.; Yuan, L.; Wang, J.; Wu, H.; Wang, H.; Xiang, A.; Ashok, B.; Rajulu, A.V. Electrospinning of polyvinyl alcohol into crosslinked nanofibers: An approach to fabricate functional adsorbent for heavy metals. J. Hazard. Mater. 2019, 378, 120751. [Google Scholar] [CrossRef]
  168. Subramanian, S.; Seeram, R. New directions in nanofiltration applications—Are nanofibers the right materials as membranes in desalination? Desalination 2013, 308, 198–208. [Google Scholar] [CrossRef]
Figure 1. Classifications of common pharmaceutical pollutants in wastewater.
Figure 1. Classifications of common pharmaceutical pollutants in wastewater.
Applsci 13 00772 g001
Figure 2. Sources of pharmaceuticals pollutants.
Figure 2. Sources of pharmaceuticals pollutants.
Applsci 13 00772 g002
Figure 3. Scheme of various mechanisms used for the adsorption of NSAIDs and ARV drugs on the surface of the adsorbent.
Figure 3. Scheme of various mechanisms used for the adsorption of NSAIDs and ARV drugs on the surface of the adsorbent.
Applsci 13 00772 g003
Figure 4. SEM images of (a) GO, (b) MWCNTs, (c) 0.5-rGO-MWCNTs, (d) 1.0-rGO-MWCNTs, (e) 1.0-β-CD/rGO-MWCNTs-1, (f) 1.0-β-CD/rGO-MWCNTs-6, (g) 1.0-β-CD/rGO-MWCNTs-12, and (h) 1.5-rGO-MWCNTs adapted with permission from [99].
Figure 4. SEM images of (a) GO, (b) MWCNTs, (c) 0.5-rGO-MWCNTs, (d) 1.0-rGO-MWCNTs, (e) 1.0-β-CD/rGO-MWCNTs-1, (f) 1.0-β-CD/rGO-MWCNTs-6, (g) 1.0-β-CD/rGO-MWCNTs-12, and (h) 1.5-rGO-MWCNTs adapted with permission from [99].
Applsci 13 00772 g004
Figure 5. SEM analysis images of P-BC (a,b) before adsorption and (c,d) after adsorption adapted with permission from [104].
Figure 5. SEM analysis images of P-BC (a,b) before adsorption and (c,d) after adsorption adapted with permission from [104].
Applsci 13 00772 g005
Figure 6. SEM (a) and TEM (b) micrographs of the magnetic chitosan Sorption adapted with permission from [58].
Figure 6. SEM (a) and TEM (b) micrographs of the magnetic chitosan Sorption adapted with permission from [58].
Applsci 13 00772 g006
Figure 7. Characterizations of MOF using (a) BET, (b) PXRD, (c) SEM, (d) TEM, and (eh) SEM-EDS for elemental mapping of Al, C, O, and total, respectively, and (i) zeta potential adapted with permission from [111].
Figure 7. Characterizations of MOF using (a) BET, (b) PXRD, (c) SEM, (d) TEM, and (eh) SEM-EDS for elemental mapping of Al, C, O, and total, respectively, and (i) zeta potential adapted with permission from [111].
Applsci 13 00772 g007
Figure 8. Desorption of pharmaceuticals after 2 h sorption step on SBA-15 (in 1 mM phosphate buffer, pH 7 and 9, ionic strength 0.01 M KCl, 25 °C, reaction time 12 h) adapted with permission from [115].
Figure 8. Desorption of pharmaceuticals after 2 h sorption step on SBA-15 (in 1 mM phosphate buffer, pH 7 and 9, ionic strength 0.01 M KCl, 25 °C, reaction time 12 h) adapted with permission from [115].
Applsci 13 00772 g008
Figure 9. Adsorption capacity through time of AL:PVA nanofibers for FLX with three different ratios: (a) 30:70, (b) 40:60, and (c) 50:50 adapted with permission from [122].
Figure 9. Adsorption capacity through time of AL:PVA nanofibers for FLX with three different ratios: (a) 30:70, (b) 40:60, and (c) 50:50 adapted with permission from [122].
Applsci 13 00772 g009
Figure 10. SEM at 5000× image of (a) electrospun lignin nanofibers and (b) hydrochloric acid stabilized nanofibers adapted with permission from [122].
Figure 10. SEM at 5000× image of (a) electrospun lignin nanofibers and (b) hydrochloric acid stabilized nanofibers adapted with permission from [122].
Applsci 13 00772 g010
Figure 11. SEM images of electrospun fibers of: (a) CdS/TiO2 on PVP; (b) V2O5/TiO2 on PVP; (c) Ag-TiO2 nanotubes on PVP; (d) core-sheath TiO2-SiO2 on PVA; (e) hollow TiO2 on PVP; (f) SiO2-TiO2 calcined at 700 °C; (g) TiO2 on PMMA; (h) TiO2 on PAN; (i) Graphene oxide wrapped TiO2 on PVP adapted with permission from [123].
Figure 11. SEM images of electrospun fibers of: (a) CdS/TiO2 on PVP; (b) V2O5/TiO2 on PVP; (c) Ag-TiO2 nanotubes on PVP; (d) core-sheath TiO2-SiO2 on PVA; (e) hollow TiO2 on PVP; (f) SiO2-TiO2 calcined at 700 °C; (g) TiO2 on PMMA; (h) TiO2 on PAN; (i) Graphene oxide wrapped TiO2 on PVP adapted with permission from [123].
Applsci 13 00772 g011
Table 1. Physiochemical properties of NSAIDs and ARV drugs present in wastewater.
Table 1. Physiochemical properties of NSAIDs and ARV drugs present in wastewater.
Name of
Pharmaceuticals
Chemical FormulaMolecular Weight (g/mol)Water Solubility (mg/L)pKaKdlogKow
NSAIDs
DiclofenacC14H10Cl2NNaO2318.14.84.150.24.51
IbuprofenC13H18O2206.29214.913.7 × 10−73.97
NaproxenC14H14O3230.2629.94.15-3.18
KetoprofenC16H14O3254.2854.45153.12
ARVs
EfavirenzC14H9ClF3NO2315.60.09310.2/12.52-4.7
EmtricitabineC8H10FN3O3S247.251.12 × 1062.65-−0.43
NevaripineC15H14N4O266.290.7052.80-3.89
Table 2. Adsorption capacity, order of adsorption and surface area values for the removal of NSAIDs and ARV drugs by different nanosorbents.
Table 2. Adsorption capacity, order of adsorption and surface area values for the removal of NSAIDs and ARV drugs by different nanosorbents.
AdsorbentAdsorbatePreparation MethodParticle Size (nm)Surface Area (m2/g)pHInitial Conc.
(mg/L)
Temp (K)Adsorbent Dosage (mg)%RemovalAdsorption Capacity (mg/g)Adsorption OrderReference
Biochar-based adsorbents
MgAl Layered double hydroxideDiclofenacCo-precipitation10.21–0.589212.895.6200333-82168Psuedo
Second order
PSO
[147]
CaAl-LDHDiclofenacPrecipitation5030.690.5–2002981087.1268PSO[148]
Graphene oxide nanocompositeDiclofenacAcid functionalization of graphene14.5239.541029845086.118.4–32.4PSO[149]
Graphene oxide nanosorbentDiclofenacAcid functionalization of graphene2000-6.22502981074128.74PSO[150]
Nanostructured porous grapheneDiclofenacChemical oxidative
thermal treatment
1.56707.51002982509913.08PSO[151]
3D reduced graphene oxide aerogelDiclofenacAcid functionalization of graphene2–4132.19625029825032.5596.71PSO[152]
Magnetic Fe3O4 Douglas fir biocharIbuprofenMagnetization method1.323228100308250091149.9–4.5PSO[103]
Cellulosic sisal nanoparticlesIbuprofenChemical oxidative polymerization1000High5303131508319.45PSO
Carbon-based nanomaterial
Al2O3 CNTsDiclofenacSol-gel60–1002377502981.7864.20.1065PSO[153]
Granular 450 CNTsDiclofenacHeating filtration method1.12886302981592.95369.5PSO[102]
Carbon encapsulated iron nanoparticleDiclofenacMagnetic stirring and solvent extraction40169101002983009524PSO[154]
Grass nanocelluloseDiclofenacCyprus rotundas extracted by hydrogen peroxide40.50high82502981089192.37PSO[155]
Carbon nanosphereDiclofenacMicrowave carbonization of cellulose7-5.981029815927.3 PSO[137]
SWCNTIbuprofenChemical vapour deposition method51020722980.1-231.5PSO[89]
O-MWCNT5 ± 15
MWCNT5 ± 15
Ordered mesoporous ACIbuprofenSoft templating method2–5067061002981021120.1PSO[39]
Ordered mesoporous ACIbuprofenImpregnation method2–506709-30335-9.74PSO[156]
1-benzyl-3-hexadecyl imidazoliumketoprofenSolvent extraction ultrasonification and precipitation1170.865502980.028550PSO[157]
Surface modification ACNaproxen Chemical activation 26.66-4.4702982061.99159.8PSO[93]
Brewed industry ACParacetamolASTM E 1756-01 method10µm364520029875098.329.45Pseudo First Order PFO[142]
AC babbassu activated mesocarpAcetylsalicylic acidTobasa Agro industry supply2 ± 0.059515200298.1510084.6689.87PSO[158]
Chitosan-based adsorbents
Genipin-crosslinked chitosan/graphene oxide SO3H compositeKetoprofen Covalent attachment80–90-6.6152985088.5113.27–138.4PSO[159]
Metal-based adsorbents
Fe3O4@C MethodAcetylsalicylic acidSolution combustion method30high3100298-80–98234.02PSO[160]
UiO66 18% SO3H UiO66 NH2 UiO66DiclofenacZirconium inorganic building brick3–410825.420298159189PSO[90]
902263
910106
Composite iron nanoparticleDiclofenacEpichlorohydrin as cross-linker and chitosan15.8–90.4-50.0022980.485-PFO[161]
Biogenic selenium nanocompositeDiclofenacProduced from S. griseobunnues 73.8-5.532298597.93-PFO[162]
Lignin-based magnetic nanoparticlesDiclofenacMagnetic agitation and condensation 0.02739.25102985-106.4PSO[163]
Silica-based adsorbent
Iron oxide mesoporous silica MCM 41 Composite Acetylsalicylic acidImpregnation method1007216500300200-1.98–3.7PSO[164]
Polyamidoamine silicaDiclofenacSoxhlet extraction327.291298193134PSO[92]
Ibuprofen98124
Ketoprofen94112
Mesoporous silica nanoparticlesIbuprofenWet impregnation method60–801107782986.3879-PSO[165]
Nanofibrous adsorbents
MW/PVA blends nanofibersDidanosineElectrospun Mondia Whitei root extract0.0221754 ± 0.6270.53034072.5109.8PSO[55]
Sulfamethoxan 0.003 146.4110.17
Lidocain 0.005 65.4182.85
Nevirapne 0.008 189.1263.4
Prednisolone 0.001 74.0156.6
Isoniazid 0.002 154.2131.6
Dexamethosane 0.004 81.9144.8
Rifampin 0.005 75.1131.8
Ritonavir 0.002 94.5779.35
Efavirenz 0.001 72.8184.9
Fluconazole 0.009 137.7202.6
Stavodine 0.007 150.2188.33
Disclaimer/Publisher’s Note: The statements, opinions and data contained in all publications are solely those of the individual author(s) and contributor(s) and not of MDPI and/or the editor(s). MDPI and/or the editor(s) disclaim responsibility for any injury to people or property resulting from any ideas, methods, instructions or products referred to in the content.

Share and Cite

MDPI and ACS Style

Sigonya, S.; Mokhothu, T.H.; Mokhena, T.C.; Makhanya, T.R. Mitigation of Non-Steroidal Anti-Inflammatory and Antiretroviral Drugs as Environmental Pollutants by Adsorption Using Nanomaterials as Viable Solution—A Critical Review. Appl. Sci. 2023, 13, 772. https://doi.org/10.3390/app13020772

AMA Style

Sigonya S, Mokhothu TH, Mokhena TC, Makhanya TR. Mitigation of Non-Steroidal Anti-Inflammatory and Antiretroviral Drugs as Environmental Pollutants by Adsorption Using Nanomaterials as Viable Solution—A Critical Review. Applied Sciences. 2023; 13(2):772. https://doi.org/10.3390/app13020772

Chicago/Turabian Style

Sigonya, Sisonke, Thabang Hendrica Mokhothu, Teboho Clement Mokhena, and Talent Raymond Makhanya. 2023. "Mitigation of Non-Steroidal Anti-Inflammatory and Antiretroviral Drugs as Environmental Pollutants by Adsorption Using Nanomaterials as Viable Solution—A Critical Review" Applied Sciences 13, no. 2: 772. https://doi.org/10.3390/app13020772

APA Style

Sigonya, S., Mokhothu, T. H., Mokhena, T. C., & Makhanya, T. R. (2023). Mitigation of Non-Steroidal Anti-Inflammatory and Antiretroviral Drugs as Environmental Pollutants by Adsorption Using Nanomaterials as Viable Solution—A Critical Review. Applied Sciences, 13(2), 772. https://doi.org/10.3390/app13020772

Note that from the first issue of 2016, this journal uses article numbers instead of page numbers. See further details here.

Article Metrics

Back to TopTop