Next Article in Journal
Analysis of Grinding Flow Field under Minimum Quantity Lubrication Condition
Previous Article in Journal
Special Issue on Applications of Artificial Intelligence on Social Media
 
 
Font Type:
Arial Georgia Verdana
Font Size:
Aa Aa Aa
Line Spacing:
Column Width:
Background:
Article

Modeling and Testing for Slotted Disk Springs Considering Linearly Gradient Thickness and Friction

1
College of Mechanical and Electronic Engineering, Northwest A&F University, Yangling 712100, China
2
College of Water Resource and Architectural Engineering, Northwest A&F University, Yangling 712100, China
*
Author to whom correspondence should be addressed.
Appl. Sci. 2023, 13(21), 11663; https://doi.org/10.3390/app132111663
Submission received: 7 October 2023 / Revised: 22 October 2023 / Accepted: 23 October 2023 / Published: 25 October 2023

Abstract

:
The slotted disk spring has been widely used given its nonlinear characteristics. However, the number of studies on them is limited, and the influences of nonuniform thickness have not been investigated theoretically and experimentally. Additionally, the hysteresis caused by friction has been neglected in most studies. By introducing the symmetric friction condition and the dimensionless thickness variation parameter, the present study establishes a mathematical model for slotted disk springs with linearly graded thickness. By treating the slotted segment as a number of cantilever beams with both a linearly gradient thickness and width, a new analytical formula is developed to characterize the load–deflection of slotted disk springs based on the moment equilibrium equation. The proposed model allows the direct quantification of the influences of the thickness variation parameter and the symmetric friction condition on the load–deflection characteristics. To validate the proposed model, slotted disk springs with different parameter configurations are designed and tested. Comparisons between measured and theoretical results illustrate that the proposed model can effectively describe the load–deflection characteristics of slotted disk springs with both uniform thickness and linearly gradient thickness. Due to the hypothetic linear variable width of slotted segments, the proposed model has a better performance in predicting slotted disk springs with rectangular slots.

1. Introduction

Disk springs and slotted disk springs have the advantages of a compact configuration, nonlinear characteristics, easy maintenance, dissipation energy capacity, etc. The static behavior of disk springs and slotted disk springs is a subject of long-standing concern in engineering with both practical importance and scientific fascination [1,2,3,4]. The most common applications for disk springs are clutches [5,6,7], sliding hinge joints [8,9,10], vibration absorbers [11,12,13], energy harvesters [14,15], and rocking bridge piers [16]. Compared with conical disk springs, slotted disk springs, also known as diaphragm springs, have a larger deflection and a lower stiffness given their regularly arranged slots [17,18]. A quasi-zero stiffness isolator was developed by Niu [19], in which a slotted disk spring was used to provide negative stiffness. Slotted disk springs have a promising prospect in reducing the damage caused by exceptional or destructive seismic events.
The establishment of a mechanical model for slotted disk springs, which can properly describe the load–deflection relationships, has great significance for the application of these springs. A mechanical model for slotted disk springs was developed by incorporating the influences of slots based on those of conical disk springs. Almen and Laszlo [20] are pioneers of research on disk springs, and they performed seminal work by supplementing Timoschenko’s hypothesis and proposing a load–deflection formula for uniform cross-sectional disk springs. Subsequently, a series of studies were conducted to characterize the nonlinear characteristics of disk springs [2,3,21,22,23,24,25]. To improve the load bearing capacity and optimize the stress distribution of disk springs, research on nonuniform disk springs was carried out. For example, introducing a dimensionless parameter to characterize the thickness features, Rosa et al. [26] proposed a new mathematical model for radially tapered disk springs with a linear variable thickness. Saini et al. [27] proposed novel parabolically varying thickness disk springs and derived a new analytical model to predict their load–deflection relationships. Chaturvedi et al. [28] developed an analytical solution to characterize the load–deflection characteristics of stepped disk springs, and the finite element method was used to verify the proposed model. Moreover, explorations of the static behaviors of nonuniform disk springs were conducted by Pedersen [29] and Karakaya [30] using the finite element method.
The deflections of slotted disk springs consist of a rigid deflection and a bending deflection. To clarify the relationship between the load and total deflection of the slotted disk spring, Schremmer [17] treated the slotted disk spring as a combination of the coned disk spring and a number of cantilever beams with variable widths and performed a systematic theoretical analysis. A novel mathematical model for slotted disk springs was developed by Ye and Yeh [31] in which the finite rotation and large deflection theories of a beam and a conical shell were used. Fawazi et al. [32] proposed an energy method to characterize the mechanical characteristics of bent slotted disk springs, and an inverse algorithm was developed to design slotted disk springs with the desired load–deflection characteristics [33]. It should be mentioned that the above mathematical models developed to characterize the load–deflection characteristics were only employed for slotted disk springs with uniform thickness. Furthermore, the hysteresis caused by friction, which has a significant influence on the load–deflection relationships during loading and unloading, was neglected. Curti and Montanini [34] developed a new load–deflection relationship for uniform slotted disk springs by considering the friction occurring due to the contact between the edges of disk springs and supports. However, this relationship is incapable of predicting the load–deflection characteristics of nonuniform slotted disk springs. Other studies on the load–deflection hysteresis have mostly focused on uniform disk springs [35,36,37].
The advantages of linearly gradient thickness (LGT) disk springs in improving the load capacity and optimizing stress distributions have been proven theoretically [26,27,28,29,30]. However, the static behavior of slotted disk springs with linearly gradient thickness has not been explored. In this paper, a mechanical model for linearly gradient thickness slotted (LGTS) disk springs is developed by introducing the dimensionless thickness variation parameter and considering symmetric friction conditions. The slotted segment is simplified to be a number of cantilever beams with both gradually changing thicknesses and widths. The analytical formula is derived to characterize the load–deflection of LGTS disk springs based on the moment equilibrium equation. The influences of the dimensionless thickness variation parameter and the friction coefficient on the nonlinear characteristics are investigated theoretically. Then, slotted disk springs with different parameter configurations and different slot shapes were fabricated and tested. The effectiveness of the proposed model is validated with comparisons of the load–deflection characteristics between the experiments and the proposed model.

2. Development of an Analytical Model for LGTS Disk Springs

The slotted disk spring with a number of evenly distributed slots is a modification of the conical disk spring. A linearly gradient thickness slotted (LGTS) disk spring is presented in Figure 1. As the model of slotted disk springs is derived from that of conical disk springs, the assumptions proposed previously [20] are still employed: (a) the axial compressive force is evenly distributed over the edges; (b) the cross-section will not change its shape during the process of loading–unloading and rotation around a neutral point; (c) angular deflections are sufficiently small; (d) different contact edges have the same friction coefficient; and (e) the radial stresses are negligible.
The slotted disk spring consists of two parts: the non-slotted segment and the slotted segment [17,32]. The non-slotted segment is known as the closed-ring section, and the slotted segment is referred to as tongues, as shown in Figure 2. Consequently, the total deflection of the slotted disk spring can be expressed as
f = f 2 + f 3 = a d a b f 1 + f 3
where a is the outer radius; b is the inner radius; d is the minimum inner radius; f 1 is the deflection due to the rotation of the non-slotted segment; f 2 is the deflection caused by the rotation of the slotted segment; f 3 is the deflection caused by the bending of the slotted segment; w b is the width of the slotted part at radius b; w d is the width of the slotted part at radius d; and L is the length of the slotted part.
Rosa et al. [26] introduced the dimensionless thickness variation parameter τ to describe the form of the disk spring with a linearly gradient thickness, which can be expressed as
τ = t b t a t a + t b
where t a is the thickness at radius a and t b is the thickness at radius b .
Simultaneously, the thickness is given as
t x = T 0 + T 1 x
where T 0 and T 1 are denoted as
T 0 = t m 1 + τ a + b a b 2 τ c a b
T 1 = 2 τ t m a b
where t m is the thickness located at radius m and m = ( a + b ) / 2 .
For a non-slotted disk spring, the parameter τ has an invariable region of −1 to 1 that is independent of the geometric parameters. However, the region of the dimensionless parameter τ for a slotted disk spring is subjected to the geometric parameters. Then, a new dimensionless parameter τ , which has a stationary region (−1, 1) and is independent of geometrical parameters, is defined to characterize the thickness characteristics of the LGTS disk spring and shown as
τ = t d t a t d + t a
where t d is the thickness at the radius d .
Combining Equations (2) and (5), the relationship between τ and τ can be derived as
τ = τ 1 1 / C 1 1 / C 1 τ 1 / C 1 / C 1
where C is the ratio of a to b and C1 is the ratio of a to d .
The schematic of an LGTS disk spring is illustrated in Figure 2. In addition, the thickness is defined as
t x = T 0 + T 1 x
where T 0 and T 1 are denoted as
T 0 = t m 1 + τ a + d a d 2 τ c a d
T 1 = 2 τ t m a d
where t m is the thickness at radius m and m = ( a + d ) / 2 and c is the radius of the neutral point, which can be given by
c = a b a d τ b d 2 a b τ + a 1 + τ ln C d 1 τ ln C
The radius c 0 of the neutral point for the uniform slotted disk spring is calculated by taking τ = 0 into Equation (9).
c 0 = a b ln C
On the basis of the assumption that all contacts are frictionless, the load–deflection relationships of uniform disk springs were derived from the equilibrium equation of the external applied moment and internal moment [20,26,28]. However, the model that neglects the contribution of edge friction is incapable of characterizing the hysteresis characteristics during loading and unloading. Considering the friction at the contact edges, the equilibrium equation can be rewritten as [34,35]
d M P = d M 1 + d M 2 + d M f
where d M p is the external moment caused by the applied axial load; d M 1 is the moment caused by the radial displacement; d M 2 is the moment caused by the change in the curvature; and d M f is the moment caused by the edge friction.
Based on assumptions that the applied load P is uniformly distributed about the loading edges and angular deflections are small enough to permit the utilization of the small angle approximations, the expression for d M p is written as
d M P = P 2 π a d d θ
The expression for moment d M 1 is shown as
d M 1 = E 1 μ 2 φ φ 0 φ φ 0 φ 2 T 0 U 1 + T 1 U 2 d θ
Additionally, d M 2 is shown as
d M 2 = E φ 12 1 μ 2 T 0 3 U 3 + 3 T 0 2 T 1 U 4 + 3 T 0 T 1 2 U 1 + T 1 3 U 2 d θ
where E is Young’s modulus; μ is Poisson’s ratio; φ 0 is the initial cone angle; and φ is the change in the cone angle due to the external load.
The terms U 1 , U 2 , U 3 and U 4 are denoted as
U 1 = a 2 b 2 2 2 c a b + c 2 ln C
U 2 = a 2 b 2 3 + 3 2 c a 2 b 2 3 c 2 a b + c 3 ln C
U 3 = ln C
U 4 = a b + c ln C
Introducing the symmetric friction condition, which means that the outer and inner contact edges have the same friction coefficients, the moment d M f due to the edge friction is denoted as
d M f = ± P 2 π μ e a d φ 0 φ + t a + t d 2 d θ
where μ e is the friction coefficient.
Substituting Equations (12)–(14) and (16) into Equation (11), the load formulation as a function of geometric parameters yields
P = 2 π E φ φ 0 φ φ 0 φ 2 A + B 12 1 μ 2 a d 1 μ e a d φ 0 φ + t m a d
where A and B is given by
A = T 0 U 1 + T 1 U 2
B = T 0 3 U 3 + 3 T 0 2 T 1 U 4 + 3 T 0 T 1 2 U 1 + T 1 3 U 2
Because the angular deflections are sufficiently small, the approximate expressions of φ 0 h 0 / ( a b ) and φ f 1 / ( a b ) are derived. Therefore, the load–deflection formula can be rewritten as
P = 2 π E f 1 a b h 0 f 1 h 0 f 1 2 t m A ˜ a b 2 + t m 3 B ˜ 12 1 μ 2 a d 1 μ e h 0 a b f 1 a b + t m a d
where A ˜ and B ˜ is given by
A ˜ = A t m
B ˜ = B t m 3
In addition to the rigid deflection caused by the rotation of the closed conical disk spring segment, the bending deflection caused by the slotted segment is also a part of the total deflection. The slotted segment can be treated as a number of cantilever beams with variable width and thickness, as shown in Figure 3.
The width and thickness of the simplified cantilever beam are defined as
w l = w b + w d w b b d l = w b 1 + α 1 b d l
t l = t b + t d t b b d l = t b 1 + β 1 b d l
where α is the ratio of w d to w b and β is the ratio of t d to t b .
The derivation of the bending equation is based on the fundamental Bernoulli–Euler theorem [38,39,40]. In Cartesian coordinates, when neglecting the influence of the shearing force, the approximate differential equation of the deflection curve for a variable cross-section beam made of linear elastic material can be written as
d 2 z l d l 2 = M l E I l
where z l is the deflection of the cantilever beam; M l is the bending moment at the abscissa of l; and I l is the moment of inertia of the cross-section with respect to the neutral axis. The expression of M l and I l is denoted as
M l = P n L l
I l = I 0 1 + α 1 b d l 1 + β 1 b d l 3
where n is the number of cantilever beams; L is the length of the beam, L = b d ; and I 0 is the inertia moment of the section at the fixed end, I 0 = w b t b 3 / 12 .
The total deflection of slotted disk springs is given by
f = a d a b f 1 + z L
To obtain a numerical solution of the slotted segment deflection z l , Equation (22) was solved using the Runge–Kutta method. Table 1 lists the baseline material and geometric parameters of the slotted disk spring. Figure 4 illustrates the variations in z l with l and P (under the condition that τ = −0.5) and with l and τ (under the condition that P = 10,000 N). For a given P and τ , an increase in l leads to an increase in z l . This trend is more obvious for larger values of P and smaller values of τ . For a given l, an increase in P or decrease in τ leads to an increase in z l .

3. Parametric Study

3.1. Relationship between τ and τ

The numerical relationship between τ and τ is shown in Equation (6). The variations in τ with τ and C1 (under the condition that C = 1.2) and with τ and C (under the condition that C1 = 4) are given in Figure 5. The results demonstrate that the value of τ increases with rising τ and follows a nonlinear relationship. As shown in Figure 5a, the value of τ initially increases and then decreases slightly with increasing C1 when τ ranges from −1.0 to 1.0. In contrast, τ initially decreases and then increases slightly with increasing C, as presented in Figure 5b. Additionally, it is clear that the maximum of τ remains at 1.0, and it is independent of the values of C and C1. However, the minimum of τ increases as the difference between C and C1 increases, which indicates shrinkage of the range for τ .

3.2. Effects of τ on the Neutral Point Radius

The radius c 0 of the neutral point for the uniform disk spring is given in Equation (10), which is independent of the thickness and only affected by the geometric parameters of a and b . According to Equation (9), the radius of the neutral point for the LGTS disk spring is also affected by the thickness variation as well as the minimum inner radius. To evaluate the influence of the thickness variation in the neutral point radius, the variation rate γ of the neutral point radius for the LGTS disk spring is defined as
γ = c c 0 c 0 = C C 1 1 τ C 1 C ln C 2 C 1 C 1 τ + C C 1 1 + τ ln C C 1 τ ln C 1
As shown in Equation (25), the neutral point radius variation rate depends on the parameters of C, C1 and τ . Figure 6 presents the variations in γ with τ and C1 (under the condition that C = 1.2) and with τ and C (under the condition that C1 = 4). The neutral point radius decreases with increasing τ under both conditions. When τ is negative, an increase in C1 leads to a decrease in the neutral point radius, whereas an increase in C1 has the opposite effect on the neutral point radius when τ is positive, as shown in Figure 6a. Compared with C1, the increase in C has the opposite influence on the neutral point radius, as shown in Figure 6b. Additionally, the minimum variation rate of the neutral point radius is independent of C1 when the value of C is determined. Observing the neutral point radius variation rate curves shown in Figure 6, it is obvious that the value of C has a more significant influence on the neutral point radius.

3.3. Effects of τ on the Load–Deflection Characteristics

The nonlinear load–deflection characteristic of slotted disk springs has been confirmed by previous studies [17,34]. The desirable mechanical properties can be obtained by adjusting parameters such as the ratio of free height to thickness [20]. The LGT slotted disk springs provide a new approach to the regulation of load–deflection characteristics and a critical method for lightweight design.
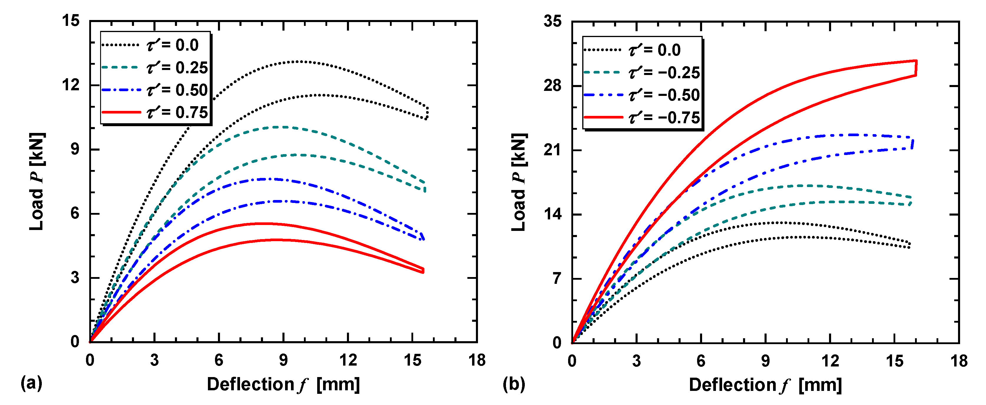
Neglecting the friction contribution ( μ e = 0), Figure 7 presents the effect of the parameter τ on the load–deflection relationships of LGT slotted disk springs. The baseline material and geometric parameters are listed in Table 1. This finding reveals that the thickness variation has a strong influence on the load capability. As shown in Figure 7a, the load capacity decreases significantly as τ increases in the range of 0 to 0.75. However, the load capacity increases as the value of τ changes from 0 to −0.75, as presented in Figure 7b.
Based on previous studies, the nonlinear stiffness characteristic is obtained by connecting the negative stiffness system in parallel with the positive stiffness system in the structure [41]. Compared with the aforementioned methods, it is easier to obtain the nonlinear stiffness characteristic by using LGT slotted disk springs. The stiffness formula K f of LGT slotted disk springs can be expressed as
K f = d P d f = 1 d f / d P = 1 d f 2 / d P + d f 3 / d P
As calculated in Section 2, the equivalent stiffness d P / d f 3 is approximatively constant when the material and geometric parameters are determined. The equivalent stiffness of the slotted segment increases significantly with increasing τ .
Figure 8 illustrates the effect of parameter τ on the stiffness characteristics. It is illustrated that the effects of parameter τ on the stiffness are related to deflection. The stiffness decreases as τ increases from 0 to 0.75, but it initially decreases and then increases when the deflection is close to the free height, as shown in Figure 8a. Conversely, the stiffness increases significantly when τ decreases from 0 to −0.75, as shown in Figure 8b. Neglecting the deflection f 3 , the relationships between the stiffness and normalized deflection ( f 1 / h 0 ) are shown in the insert of Figure 8. A comparison of the above two conditions shows that the deflection caused by the bending of tongues has a stronger influence on the stiffness when τ is negative.

3.4. Effects of μ e on Load–Deflection Characteristics

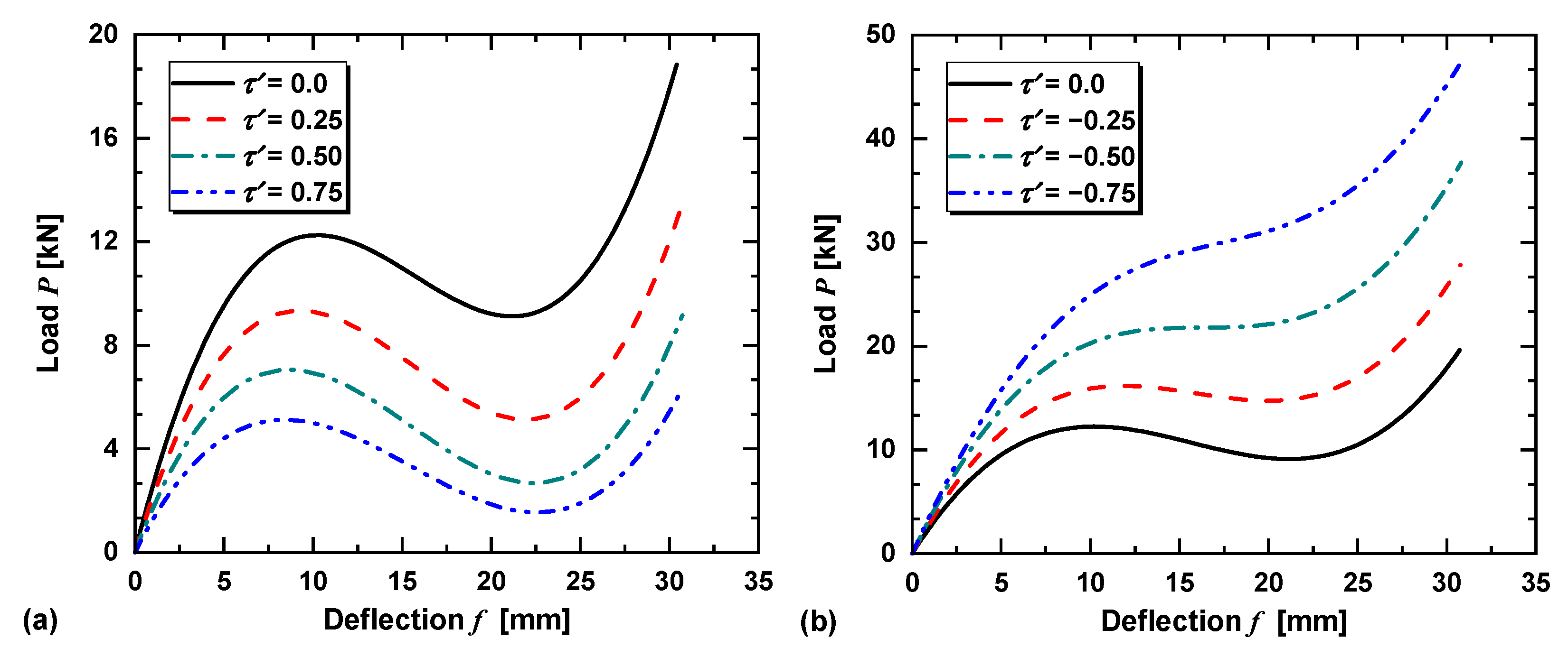
Figure 9 presents the load–deflection curves of the slotted disk spring under different friction coefficients. The results reveal that an addition of the interfacial friction term does indeed increase the amount of hysteresis and does so successively with an increasing friction coefficient, which has been confirmed by Mastricola and Singh [36]. Additionally, the hysteretic force difference, which is calculated by subtracting the unloading and loading curves of the load–deflection characteristics, initially increases and then decreases with increasing deflection.
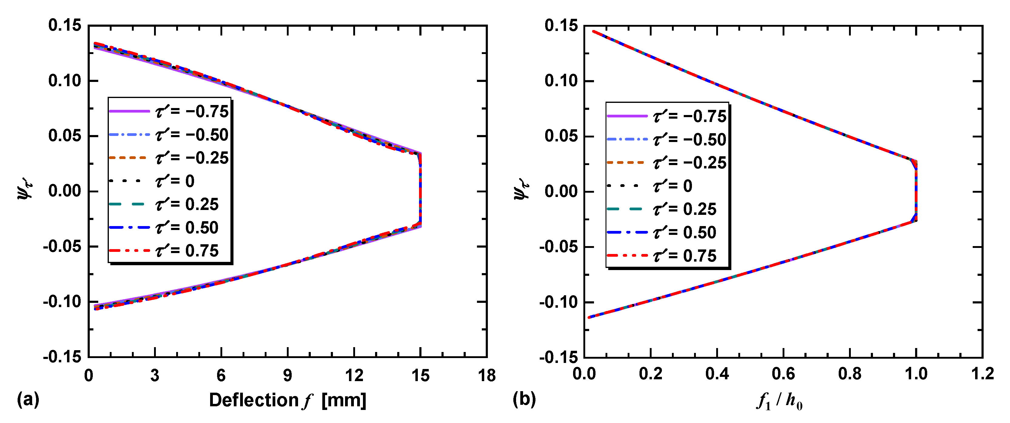
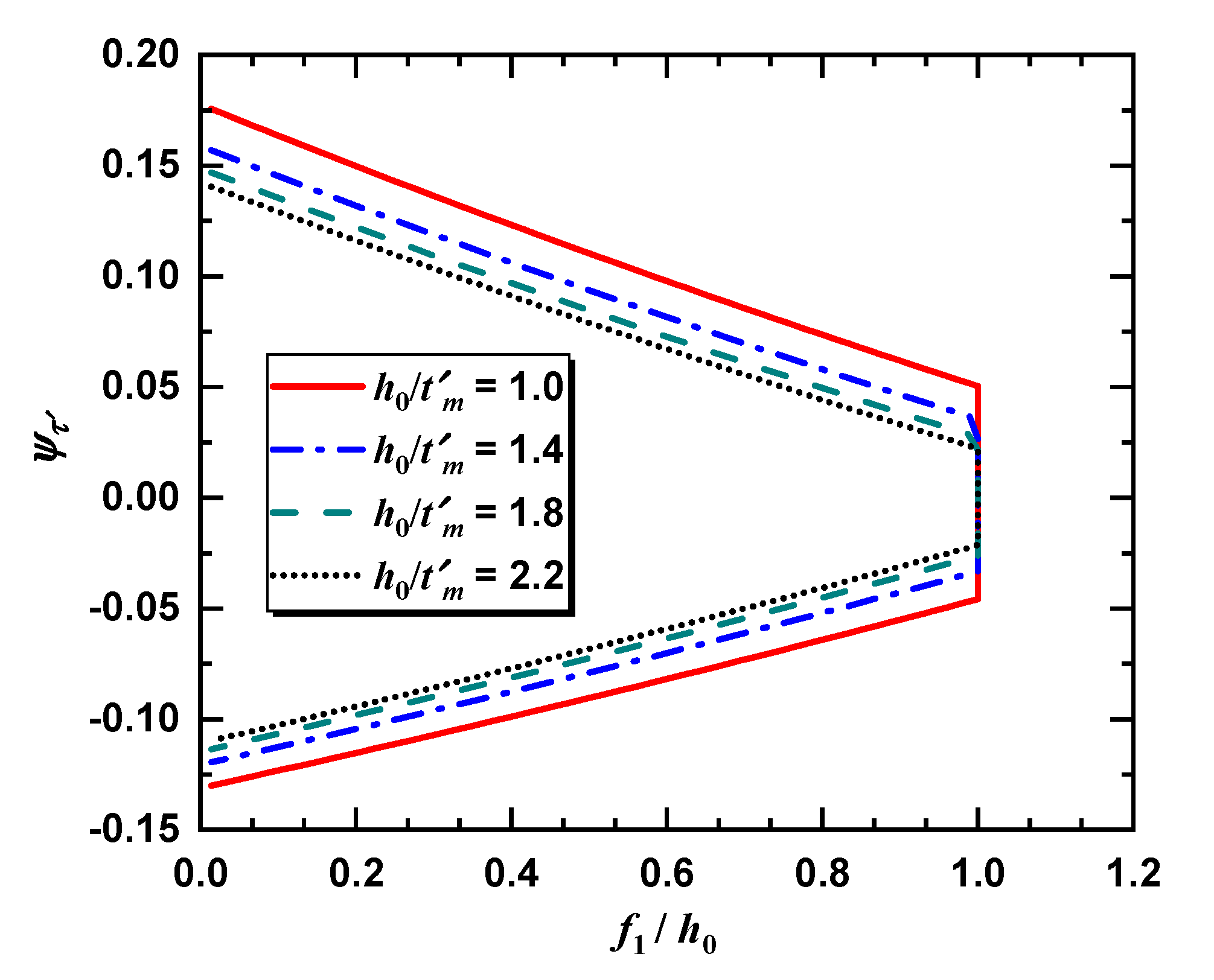
The load–deflection relationships of the slotted disk spring with different parameters τ are shown in Figure 10. The results demonstrate that the hysteretic force difference decreases distinctly with increasing τ . Further analysis indicates that the load variation rate ( ψ τ = P ( f , μ e ) / P ( f , μ e = 0 ) − 1) is slightly affected by the parameter τ , as shown in Figure 11. Neglecting the deflection caused by the bending of the slotted segment, the load variation rate curves of slotted disk springs with different τ values coincide completely with each other. In addition, the maximum error caused by neglecting the friction effects is approximately 13.5% in the loading process and approximately 10.7% in the unloading process, as shown in Figure 11a. It is also observed that an increase in deflection leads to a reduction in the load variation rate. Figure 12 presents the load variation rate curves of slotted disk springs with different h 0 / t m values. The absolute value of the load variation rate decreases with increasing normalized deflection. Furthermore, the load variation rate decreases with increasing h 0 / t m . This observation shows good agreement with the conclusion obtained by Curti and Montanini [34].

4. Analysis and Experimental Verification

To examine the validity of the proposed model, slotted disk springs with different parameter configurations were fabricated. Table 2 lists the material and geometric parameters of the slotted disk springs. Two different uniform slotted disk springs with different slot forms are presented in Figure 13. In addition, LGTS disk springs are shown in Figure 14. A KLD-205E microcomputer-controlled spring tension and compression tester was used to measure the load–deflection relationship of US and LGTS disk springs, as shown in Figure 15. The maximum experimental force of the testing machine is 200 kN, and the diameter of the pressure disc is 400 mm. A loading rate of 0.3 mm/s was applied, which is less than the quasi-static velocity limit of 1 mm/s [35].

4.1. Experimental Results Analysis

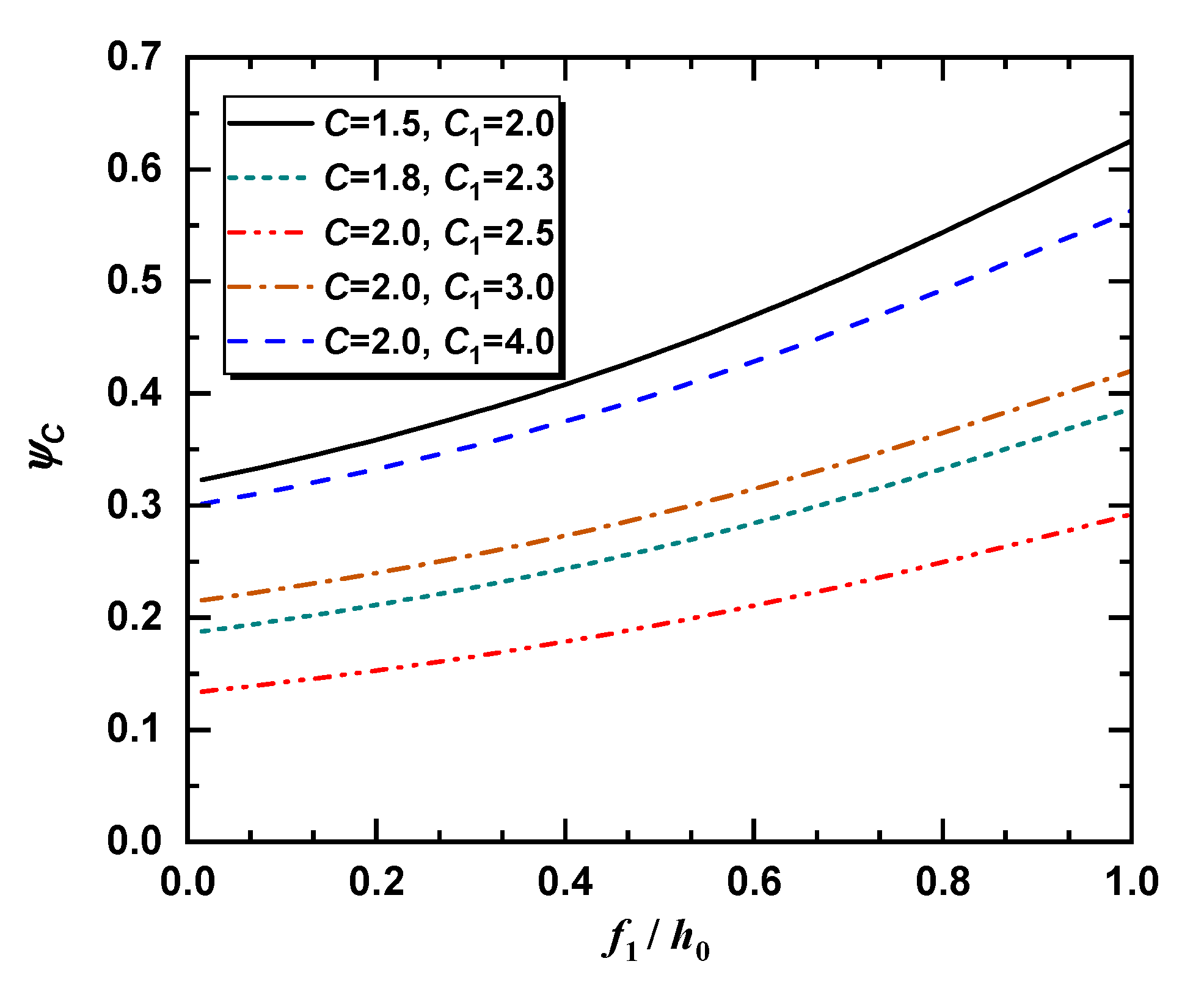
The measured load–deflection curves of US1, LGTS1-1, US2, and LGTS2-1 are presented in Figure 16. The thickness parameters τ of the specimens US1 and LGTS1-1 are different, and the slot shapes and other geometric parameters are same. The specimens US2 and LGTS2-1 also have consistent features. Compared with US1, the load capacity of LGTS1-1 is improved significantly, which indicates that a decrease in τ dramatically enhances the load capacity of slotted disk springs, as shown in Figure 16a. In Figure 16b, a similar result is also shown when comparing the load–deflection data of US2 and LGTS2-1. Consequently, it is concluded that a decreased τ increases the load capacity. This result is in good agreement with the theoretical analysis results in Section 3. It is found from the experimental results shown in Figure 16 that the load–deflection curve of spring LGTS2-1 has a more significant increase. The specimens LGTS1-1 and LGTS2-1 have different magnitudes of C and C1, which is a possible reason for this phenomenon. To explore the above conjecture, the load variation rates ( ψ C = P ( f , τ = 0.5 ) / P ( f , τ = 0 ) − 1) with different C and C1 values are calculated, as shown in Figure 17, with corresponding geometric parameters of a = 150 mm, h 0 = 5 mm, and t m = 6.5 mm. It is demonstrated that a smaller C and greater difference between C and C1 enhance the influences of τ on the load capacity. The values of C and C1 for LGTS1-1 and LGTS2-1 are 1.5 and 2.083 and 1.293 and 2.5, respectively, which confirms the above conjecture.

4.2. Verification of the Analytical Model

Figure 18 shows the load–deflection characteristics of US1 and US2. Similar to Ozaki [37], the determination of the friction coefficient depends on the measurement results, and the obtained value is μ e = 0.3. As shown in Figure 18a, the proposed model overestimates the load in the work region of 0–2.5 mm, but with a further increase in the deflection, the theoretical and experimental load–deflection curves perform much more consistently with each other, and the maximum error is less than 3%. However, for the specimen US2, the proposed model overestimates the load’s overall working regions, and the divergence increases with a rising deflection, as shown in Figure 18b. The proposed model has a better performance in characterizing the load–deflection relationships of US1 because the proposed model neglects the influences of the shape of the slotted segment, which has been simplified as a linearly gradientgradient width.
The load–deflection relationships of LGTS1-1, LGTS1-2, LGTS2-1, and LGTS2-2 are presented in Figure 19. It is illustrated that the proposed model has good agreement with the experimental data of the LGTS disk springs with rectangular channels (i.e., LGTS1-1 and LGTS1-2). The proposed model overestimates the load of LGTS2-1 and LGTS2-2, which is caused by neglecting the influences of the slot shapes in the transition region. As shown in Figure 19d, the load increases sharply when the deflection is larger than 4.2 mm. The reason for this is that the compressive force is applied by a circular plate and the force no longer acts on the upper edge of the LGTS disk spring when the deflection increases to a certain extent. Overall, the proposed model has the ability to accurately predict the load–deflection characteristics of both uniform slotted disk springs and LGTS disk springs considering the hysteresis characteristics due to the edge friction.

5. Conclusions

Based on Almen and Laszlo’s theory, the present study proposes an analytical model for LGTS disk springs and takes the symmetric friction into consideration. The proposed model reveals that a decrease in the dimensionless thickness variation parameter can significantly enhance the load capacity of the slotted disk springs. Simultaneously, the stiffness is also affected by the thickness variation parameter. The addition of the interfacial friction term does indeed increase the amount of hysteresis, and the hysteretic force increases as the friction coefficient increases. Comparisons between the hysteretic curves of slotted disk springs with different thickness variation parameters indicate that the hysteretic force difference decreases with an increasing thickness variation parameter when the friction coefficient is constant, but the load variation rate caused by the edges friction is almost unaffected.
Slotted disk springs with different parameter configurations were fabricated and tested. Observing the experimental data, the hysteretic characteristics are obvious, and the theory that increasing the thickness variation parameter weakens the load capacity is confirmed. In addition, another discovery is that a smaller C and a greater difference between C and C1 will enhance the influences of the thickness variation parameter on the load of LGTS disk springs. Comparisons of load–deflection characteristics between the proposed model and experiment tests illustrate the validity of the proposed model in predicting the load–deflection relationships of slotted disk springs with uniform and linearly gradient thicknesses. However, the model neglects the influence of the slot shape, which leads to overestimation of the bearing capacity when the slot shape is not rectangular.

Author Contributions

Conceptualization, methodology, data curation, writing—original draft preparation, X.D.; writing—review and editing, Z.S. All authors have read and agreed to the published version of the manuscript.

Funding

This work was supported by the Fundamental Research Funds for the Central Universities of China (Grant Nos. 2452023047 and 2452022121).

Institutional Review Board Statement

Not applicable.

Informed Consent Statement

Not applicable.

Data Availability Statement

All data generated or used during the study appear in the submitted article.

Acknowledgments

The authors would like to acknowledge the support of the Fundamental Research Funds for the Central Universities.

Conflicts of Interest

The authors declare no conflict of interest.

References

  1. Dharan, C.K.H.; Bauman, J.A. Composite disc springs. Compos. Part A Appl. Sci. Manuf. 2007, 38, 2511–2516. [Google Scholar] [CrossRef]
  2. Bagavathiperumal, P.; Chandrasekaran, K.; Manivasagam, S. Elastic load-displacement predictions for coned disc springs subjected to axial loading using the finite element method. J. Strain Anal. Eng. Des. 1991, 26, 147–152. [Google Scholar] [CrossRef]
  3. Patangtalo, W.; Aimmanee, S.; Chutima, S. A unified analysis of isotropic and composite Belleville springs. Thin Walled Struct. 2016, 109, 285–295. [Google Scholar] [CrossRef]
  4. Shou, M.; Liao, C.; Zhang, H.; Xie, L. A design methodology based on full dynamic model for magnetorheological energy absorber equipped with disc springs. Smart Mater. Struct. 2019, 28, 065020. [Google Scholar] [CrossRef]
  5. Kaya, N. Optima design of an automotive diaphragm spring with high fatigue resistance. Int. J. Veh. Des. 2006, 40, 126–143. [Google Scholar] [CrossRef]
  6. Karaduman, A.; Sultan, B.; Yildiz, A. Experimental and numerical fatigue-based design optimisation of clutch diaphragm spring in the automotive industry. Int. J. Veh. Des. 2019, 80, 330–345. [Google Scholar] [CrossRef]
  7. Shangguan, W.B.; Liu, X.L.; Rakheja, S.; Hou, Q. Effective utilizing axial nonlinear characteristics of diaphragm spring and waveform plate to enhance breakaway performances of a clutch. Mech. Syst. Signal Process. 2019, 125, 123–141. [Google Scholar] [CrossRef]
  8. Ramhormozian, S.; Clifton, G.C.; MacRae, G.A.; Davet, G.P. Stiffness-based approach for Belleville springs use in friction sliding structural connections. J. Constr. Steel Res. 2017, 138, 340–356. [Google Scholar] [CrossRef]
  9. Ramhormozian, S.; Clifton, G.C.; MacRae, G.A.; Davet, G.P.; Khoo, H.H. Experimental studies on Belleville springs use in the sliding hinge joint connection. J. Constr. Steel Res. 2019, 159, 81–94. [Google Scholar] [CrossRef]
  10. D’Antimo, M.; Latour, M.; Cavallaro, G.F.; Jaspart, J.P.; Ramhormozian, S.; Demonceau, J. F Short- and long-term loss of preloading in slotted bolted connections. J. Constr. Steel Res. 2020, 167, 105956. [Google Scholar] [CrossRef]
  11. Huang, X.C.; Su, Z.W.; Hua, H.X. Application of a dynamic vibration absorber with negative stiffness for control of a marine shafting system. Ocean Eng. 2018, 155, 131–143. [Google Scholar] [CrossRef]
  12. Shou, M.; Liao, C.; Zhang, H.; Li, Z.; Xie, L. Modeling and testing of magnetorheological energy absorbers considering inertia effect with non-averaged acceleration under impact conditions. Smart Mater. Struct. 2018, 27, 115028. [Google Scholar] [CrossRef]
  13. Ha, S.H.; Seong, M.-S.; Choi, S.-B. Design and vibration control of military vehicle suspension system using magnetorheological damper and disc spring. Smart Mater. Struct. 2013, 22, 065006. [Google Scholar] [CrossRef]
  14. Castagnetti, D.; Dallari, F. Design and experimental assessment of an electromagnetic energy harvester based on slotted disc springs. Proc. Inst. Mech. Eng. Part L J. Mater. Des. Appl. 2016, 231, 89–99. [Google Scholar] [CrossRef]
  15. Castagnetti, D. A Belleville-spring-based electromagnetic energy harvester. Smart Mater. Struct. 2015, 24, 094009. [Google Scholar] [CrossRef]
  16. Fang, C.; Liang, D.; Zheng, Y.; Yam, M.C.; Sun, R. Rocking bridge piers equipped with shape memory alloy (SMA) washer springs. Eng. Struct. 2020, 214, 110651. [Google Scholar] [CrossRef]
  17. Schremmer, G. The slotted conical disk spring. J. Eng. Ind. 1973, 95, 765–770. [Google Scholar] [CrossRef]
  18. Shen, W.; Fang, W. Design of a friction clutch using dual Belleville structures. J. Mech. Des. 2007, 129, 986–990. [Google Scholar] [CrossRef]
  19. Niu, F.; Meng, L.; Wu, W.; Sun, J.; Zhang, W.; Meng, G.; Rao, Z. Design and analysis of a quasi-zero stiffness isolator using a slotted conical disk spring as negative stiffness structure. J. Vibroeng. 2014, 16, 1769–1785. [Google Scholar]
  20. Almen, J.O.; Laszlo, A. The uniform-section disk spring. Trans. ASME 1936, 58, 305–314. [Google Scholar] [CrossRef]
  21. Kobelev, V. Exact shell solutions for conical springs. Mech. Based Des. Struct. Mach. 2016, 44, 317–339. [Google Scholar] [CrossRef]
  22. Zheng, E.L.; Jia, F.; Zhou, X.L. Energy-based method for nonlinear characteristics analysis of Belleville springs. Thin Walled Struct. 2014, 79, 52–61. [Google Scholar] [CrossRef]
  23. Patangtalo, W.; Hyer, M.; Aimmanee, S. On the non-axisymmetric behavior of quasi-isotropic woven fiber-reinforced composite Belleville springs. J. Reinf. Plast. Compos. 2015, 35, 334–344. [Google Scholar] [CrossRef]
  24. Foard JH, D.; Rollason, D.; Thite, A.N.; Bell, C. Polymer composite Belleville springs for an automotive application. Compos. Struct. 2019, 221, 110891. [Google Scholar] [CrossRef]
  25. Du, X.; Liao, C.; Gan, B.; Zhang, Y.; Xie, L.; Zhang, H. Analytical modeling and experimental verification for linearly gradient thickness disk springs. Thin Walled Struct. 2021, 167, 108153. [Google Scholar] [CrossRef]
  26. La Rosa, G.; Messina, M.; Risitano, A. Stiffness of variable thickness Belleville springs. J. Mech. Des. 1998, 123, 294–299. [Google Scholar] [CrossRef]
  27. Saini, P.K.; Kumar, P.; Tandon, P. Design and analysis of radially tapered disc springs with parabolically varying thickness. Proc. Inst. Mech. Eng. Part C J. Mech. Eng. Sci. 2007, 221, 151–158. [Google Scholar] [CrossRef]
  28. Chaturvedi, R.; Trikha, M.; Simha, K.R.Y. Theoretical and numerical analysis of stepped disk spring. Thin Walled Struct. 2019, 136, 162–174. [Google Scholar] [CrossRef]
  29. Pedersen, N.L.; Pedersen, P. Stiffness and design for strength of trapezoidal Belleville springs. J. Strain Anal. Eng. Des. 2011, 46, 825–836. [Google Scholar] [CrossRef]
  30. Karakaya, S. Investigatio of hybrid and different cross-section composite disc springs using finite element method. Trans. Can. Soc. Mech. Eng. 2012, 36, 399–412. [Google Scholar] [CrossRef]
  31. Ye, Z.M.; Yuan, Y.K. A study of Belleville spring and diaphragm spring in engineering. J. Appl. Mech. Trans. ASME. 1990, 57, 1026–1031. [Google Scholar]
  32. Fawazi, N.; Lee, J.-Y.; Oh, J.-E. A load-displacement prediction for a bended slotted disc using the energy method. Proc. Inst. Mech. Eng. Part C J. Mech. Eng. Sci. 2011, 226, 2126–2137. [Google Scholar] [CrossRef]
  33. Fawazi, N.; Yang, I.H.; Kim, J.S.; Lee, J.Y.; Kim, H.S.; Oh, J.E. An inverse algorithm of nonlinear load-displacement for a slotted disc spring geometric design. Int. J. Precis. Eng. Manuf. 2013, 14, 137–145. [Google Scholar] [CrossRef]
  34. Curti, G.; Montanini, R. On the Influence of Friction in the Calculation of Conical Disk Springs. J. Mech. Des. 1999, 121, 622–627. [Google Scholar] [CrossRef]
  35. Mastricola, N.P.; Dreyer, J.T.; Singh, R. Analytical and experimental characterization of nonlinear coned disk springs with focus on edge friction contribution to force-deflection hysteresis. Mech. Syst. Sig. Process. 2017, 91, 215–232. [Google Scholar] [CrossRef]
  36. Mastricola, N.P.; Singh, R. Nonlinear load-deflection and stiffness characteristics of coned springs in four primary configurations. Mech. Mach. Theory 2017, 116, 513–528. [Google Scholar] [CrossRef]
  37. Ozaki, S.; Tsuda, K.; Tominaga, J. Analyses of static and dynamic behavior of coned disk springs: Effects of friction boundaries. Thin Walled Struct. 2012, 59, 132–143. [Google Scholar] [CrossRef]
  38. Bisshopp, K.E.; Drucker, D.C. Large deflection of cantilever beams. Q. Appl. Math. 1945, 3, 272–275. [Google Scholar] [CrossRef]
  39. Romano, F.; Zingone, G. Deflections of beams with varying rectangular cross section. J. Eng. Mech. 1992, 118, 2128–2134. [Google Scholar] [CrossRef]
  40. Pielorz, A.; Nadolski, W. Nonlinear vibration of a cantilever beam of variable cross-section. Z. Angew. Math. Mech. 1986, 66, 147–154. [Google Scholar] [CrossRef]
  41. Zou, D.; Liu, G.; Rao, Z.; Tan, T.; Zhang, W.; Liao, W.H. A device capable of customizing nonlinear forces for vibration energy harvesting, vibration isolation, and nonlinear energy sink. Mech. Syst. Sig. Process. 2021, 147, 107101. [Google Scholar] [CrossRef]
Figure 1. Three-dimensional model of the LGTS disk spring.
Figure 1. Three-dimensional model of the LGTS disk spring.
Applsci 13 11663 g001
Figure 2. Schematic of the LGTS slotted disk spring.
Figure 2. Schematic of the LGTS slotted disk spring.
Applsci 13 11663 g002
Figure 3. Schematic of the cantilever beam with variable width and thickness.
Figure 3. Schematic of the cantilever beam with variable width and thickness.
Applsci 13 11663 g003
Figure 4. Variations in the deflection z l with l and (a) axial load P; (b) parameter τ .
Figure 4. Variations in the deflection z l with l and (a) axial load P; (b) parameter τ .
Applsci 13 11663 g004
Figure 5. Variations in the parameter τ with τ and (a) parameter C1; (b) parameter C.
Figure 5. Variations in the parameter τ with τ and (a) parameter C1; (b) parameter C.
Applsci 13 11663 g005
Figure 6. Variations in the variation rate γ with τ and (a) parameter C1; (b) parameter C.
Figure 6. Variations in the variation rate γ with τ and (a) parameter C1; (b) parameter C.
Applsci 13 11663 g006
Figure 7. Load–deflection curves ( μ e = 0): (a) 0 τ 0.75; (b) −0.75 τ 0.
Figure 7. Load–deflection curves ( μ e = 0): (a) 0 τ 0.75; (b) −0.75 τ 0.
Applsci 13 11663 g007
Figure 8. Stiffness characteristics curves ( μ e = 0): (a) 0 τ 0.75; (b) −0.75 τ 0.
Figure 8. Stiffness characteristics curves ( μ e = 0): (a) 0 τ 0.75; (b) −0.75 τ 0.
Applsci 13 11663 g008
Figure 9. Load–deflection curves with different μ e values: (a) τ = 0.5; (b) τ = −0.5.
Figure 9. Load–deflection curves with different μ e values: (a) τ = 0.5; (b) τ = −0.5.
Applsci 13 11663 g009
Figure 10. Load–deflection curves ( μ e = 0.4): (a) 0 τ 0.75; (b) −0.75 τ 0.
Figure 10. Load–deflection curves ( μ e = 0.4): (a) 0 τ 0.75; (b) −0.75 τ 0.
Applsci 13 11663 g010
Figure 11. Load variation rate curves ( μ e = 0.4): (a) f vs. ψ τ ; (b) f 1 / h 0 vs. ψ τ .
Figure 11. Load variation rate curves ( μ e = 0.4): (a) f vs. ψ τ ; (b) f 1 / h 0 vs. ψ τ .
Applsci 13 11663 g011
Figure 12. Load variation rate curves with different h 0 / t m ( μ e = 0.4) values.
Figure 12. Load variation rate curves with different h 0 / t m ( μ e = 0.4) values.
Applsci 13 11663 g012
Figure 13. Photograph of the US disk springs.
Figure 13. Photograph of the US disk springs.
Applsci 13 11663 g013
Figure 14. Photograph of the LGTS disk springs.
Figure 14. Photograph of the LGTS disk springs.
Applsci 13 11663 g014
Figure 15. Experimental setup for testing the responses of the slotted disk springs.
Figure 15. Experimental setup for testing the responses of the slotted disk springs.
Applsci 13 11663 g015
Figure 16. Comparisons of the experimental data of slotted disk springs: (a) US1 vs. LGTS1-1; (b) US2 vs. LGTS2-1.
Figure 16. Comparisons of the experimental data of slotted disk springs: (a) US1 vs. LGTS1-1; (b) US2 vs. LGTS2-1.
Applsci 13 11663 g016
Figure 17. Load variation rate curves with different C and C1 values.
Figure 17. Load variation rate curves with different C and C1 values.
Applsci 13 11663 g017
Figure 18. Comparisons of the load–deflection curves between the proposed method and the experiment: (a) US1; (b) US2.
Figure 18. Comparisons of the load–deflection curves between the proposed method and the experiment: (a) US1; (b) US2.
Applsci 13 11663 g018
Figure 19. Comparisons of the load–deflection curves between the proposed method and the experiment: (a) LGTS1-1; (b) LGTS1-2; (c) LGTS2-1; and (d) LGTS2-2.
Figure 19. Comparisons of the load–deflection curves between the proposed method and the experiment: (a) LGTS1-1; (b) LGTS1-2; (c) LGTS2-1; and (d) LGTS2-2.
Applsci 13 11663 g019
Table 1. Material and geometric parameters for the model presentations.
Table 1. Material and geometric parameters for the model presentations.
ParametersSymbolValue
Young’s modulusE (MPa)206,000
Poisson’s ratio μ 0.3
Outer radius a (mm)100
Inner radius b (mm)72
Minimum inner radius d (mm)40
Thickness t m (mm)4
Free height h 0 (mm)7.2
Number of tongues n 18
Table 2. Material and geometric parameters of manufactured springs.
Table 2. Material and geometric parameters of manufactured springs.
ParameterSymbolUS1US2LGTS1-1LGTS1-2LGTS2-1LGTS2-2
Young’s modulusE (MPa)206,000206,00020,60020,600206,000206,000
Poisson’s ratio μ 0.30.30.30.30.30.3
Outer radius a (mm)757575757575
Inner radius b (mm)505850505858
Minimum inner radius d (mm)363036363030
Free height h 0 (mm)4.13.24.14.43.22.8
Thickness t m (mm)666666
Thickness variation rate τ 00−0.167−0.33−0.167−0.4
Disclaimer/Publisher’s Note: The statements, opinions and data contained in all publications are solely those of the individual author(s) and contributor(s) and not of MDPI and/or the editor(s). MDPI and/or the editor(s) disclaim responsibility for any injury to people or property resulting from any ideas, methods, instructions or products referred to in the content.

Share and Cite

MDPI and ACS Style

Du, X.; Sun, Z. Modeling and Testing for Slotted Disk Springs Considering Linearly Gradient Thickness and Friction. Appl. Sci. 2023, 13, 11663. https://doi.org/10.3390/app132111663

AMA Style

Du X, Sun Z. Modeling and Testing for Slotted Disk Springs Considering Linearly Gradient Thickness and Friction. Applied Sciences. 2023; 13(21):11663. https://doi.org/10.3390/app132111663

Chicago/Turabian Style

Du, Xinxin, and Zengchun Sun. 2023. "Modeling and Testing for Slotted Disk Springs Considering Linearly Gradient Thickness and Friction" Applied Sciences 13, no. 21: 11663. https://doi.org/10.3390/app132111663

APA Style

Du, X., & Sun, Z. (2023). Modeling and Testing for Slotted Disk Springs Considering Linearly Gradient Thickness and Friction. Applied Sciences, 13(21), 11663. https://doi.org/10.3390/app132111663

Note that from the first issue of 2016, this journal uses article numbers instead of page numbers. See further details here.

Article Metrics

Back to TopTop