Abstract
Based on the soil nonlinearity assumptions proposed by Mesri, the one-dimensional nonlinear consolidation of double-layered soil is investigated. To better align with engineering reality, a continuous drainage boundary is introduced, bolstering the reliability of the derived solution through comparison against existing findings. Subsequently, the consolidation behavior of double-layered soil is analyzed for the soil permeability, compressibility, nonlinear parameters, and interface parameters. The outcomes elicit a positive correlation between the consolidation rate of the double-layered soil and both the ratio of permeability coefficient from the lower to upper soil layers and the value of the interface parameter. Furthermore, it is observed that a lower compressibility coefficient ratio between the lower and upper soil layers, along with a reduced ratio of compression index to penetration index, both contribute to an increased consolidation rate within the context of double-layered soil. The one-dimensional nonlinear consolidation of double-layered soil is intricate, intertwined with the relative permeability and compressibility of soil layers, and the influence of nonlinear parameters and drainage boundary configuration. Integrating these factors is crucial for analyzing the consolidation traits of double-layered soil, leading to a more precise portrayal of the consolidation behavior of coastal soft soils.
1. Introduction
Natural foundations often exhibit layering and nonlinearity, making their consolidation characteristics highly intricate. Consequently, accurately predicting consolidation settlement in engineering practice is challenging. This challenge primarily arises from numerous assumptions inherent in existing theories, such as the assumptions of either fully permeable or impermeable boundaries, and the assumption that soil compressibility or permeability remains constant during the consolidation process. These assumptions fail to accurately depict the consolidation characteristics of soil.
In light of this, extensive research efforts have been undertaken by numerous scholars. Since a dual-layered foundation represents the simplest form of layered foundation, Gray [1] formulated the analytical solution for the one-dimensional consolidation of double-layered soil subjected to instantaneous loading. Building upon Gray’s [1] seminal groundwork, Schiffman and Stein [2] further extended the analytical framework to address consolidation challenges within layered soil, encompassing a range of boundary conditions and complex stress histories. In subsequent developments, Xie [3] and Lee [4] independently established analytical solutions for one-dimensional consolidation of double-layered soil and layered soil, respectively, considering scenarios involving variable loading. Thereafter, different scholars conducted in-depth research on one-dimensional consolidation of layered soils from various aspects, including rheology, nonlinearity, structural properties, non-Darcy flow, etc. [5,6,7,8].
On the other hand, the nonlinear characteristics of soils evidently influenced the consolidation of soils. Employing the e-logσ′ relationship as a foundation, Davis and Raymond [9] postulated the synchronous evolution of the permeability coefficient (kv) and compression coefficient (mv) during consolidation, yielding the inaugural analytical solution for one-dimensional nonlinear consolidation. Based on this, Xie et al. [10] developed an analytical solution for one-dimensional nonlinear consolidation of single-layer soil under cyclic loading. Kim et al. [11] developed an analytical solution for nonlinear consolidation of double-layer soil under cyclic loading. Due to the assumption that the permeability coefficient and volume compression coefficient change synchronously, the consolidation coefficient remains unchanged. Subsequently, Mesri et al. [12] solved the one-dimensional nonlinear consolidation problem by using the finite difference method with the well-recognized e-logσ′ and e-logkv relationship, which has a wider scope. Lu et al. [13] derived the nonlinear radial consolidation of vertical drains under a general time-variable loading based on Davis’s assumption [11]. Lekha [14] and Li [15] deduced one-dimensional analytical solutions for nonlinear consolidation under instantaneous loading, adhering to a simplified version of Mesri’s assumption [12]. Notably, none of the aforementioned one-dimensional nonlinear consolidation inquiries have contemplated the stratification of soil. Driven by Davis’s [11] assumption, Xie et al. [6] achieved an analytical solution for one-dimensional nonlinear consolidation of double-layered soil, a contribution subsequently expanded upon by Xia et al. [16] for the analytical treatment of one-dimensional nonlinear consolidation within layered soil. Chen [17] addressed the one-dimensional nonlinear consolidation challenge in layered soil under variable loading using the DQM. While the nonlinear relationship between e-logσ′ and e-logkv proposed by Mesri [12] was more applicable, the consolidation equation thus derived also assumed a nonlinear character, often yielding semi-analytical or numerical solutions. Building upon Mesri’s paradigm [12], Xie et al. [18] introduced a semi-analytical solution for one-dimensional nonlinear consolidation within layered soil subjected to variable loading.
It is noteworthy that the aforementioned studies on the one-dimensional nonlinear behavior of layered soils have not accounted for the time-dependent variations in the drainage capacity of boundary interfaces. The drainage boundaries significantly influence the consolidation rate of the soil. For instance, if a soil sample is placed in an impervious plastic bag, it cannot be consolidated no matter how long it takes and how much load applied. Mei et al. [19,20] responded to this by introducing the continuous drainage boundary, reflecting the gradual dissipation of excess pore water pressure over time at the drainage interface, and deduced an analytical solution for one-dimensional consolidation under instantaneous loading based on the continuous drainage boundary. Liu et al. [21] investigated one-dimensional consolidation attributes in layered soil, emphasizing the continuous drainage boundary. Subsequently, Kim et al. [22] analyzed the nonlinear consolidation of multilayer soil considering continuous drainage boundary. Zong et al. studied the one-dimensional nonlinear consolidation of single-layer and double-layer soils, respectively [23,24]. Wang et al. [25] considered boundary conditions and studied one-dimensional nonlinear consolidation of unsaturated soil. In addition, many scholars have also studied the consolidation of three-dimensional soil by considering continuous drainage boundary conditions [26,27]. However, a comprehensive examination of the integration of continuous drainage boundaries, soil stratification, and soil nonlinearity remains notably absent in the existing literature.
This study aims to explore the one-dimensional nonlinear consolidation behavior of double-layered soil with continuous drainage boundary conditions. Starting with Mesri’s [12] nonlinear soil assumptions, this paper derives a solution for the one-dimensional nonlinear consolidation under instantaneous loading using the differential method. A comparative analysis with established analytical and numerical solutions is performed to validate the proposed method. The investigation further delves into the impact of varying parameters on the degree of consolidation for double-layered soil. The findings could further advance the accurate prediction of marine soft soil settlement and provide ideas for accelerating soft soil consolidation.
2. Fundamental Problems
A one-dimensional nonlinear consolidation analysis model of double-layered soil is shown in Figure 1, in which hi is the thickness of the soil layer i (i = 1, 2). Ground thickness is H = h1 + h2, q0 and represents the instantaneous load acting on the soil.
Figure 1.
Double-layered soil model.
The nonlinear consolidation behavior of soils is described by using the generally accepted nonlinear compression and permeability relationships proposed by G. Mesri and A. Rokhsar [12]:
In the Equations (1) and (2), ei and e0i represent the pore ratio and the initial pore ratio, respectively; and are the effective stress and the initial effective stress, respectively; and are the permeability coefficient and the initial permeability coefficient, respectively; and and are the compression index and the penetration index respectively.
It can be obtained from Equations (1) and (2):
where and are the compression coefficient and the initial compression coefficient, respectively. The expression is as follows:
The continuous equation for one-dimensional saturated soils is:
In the expression, t represents time.
It is assumed that the applied load is an instantaneous uniform load q0 and that the initial effective stress is evenly distributed along the depth (i.e., ). It can be derived from the effective stress principle:
In the equation, is the excess static pore water pressure and is the final effective stress. Under instantaneous load, the values are .
In combination with Equations (3)–(7), the one-dimensional nonlinear consolidation equation of soil mass can be obtained as follows:
Define dimensionless parameter: initial permeability coefficient ratio of lower and upper soil layers , initial compression coefficient ratio of lower and upper soil layers , initial thickness ratio of lower and upper soil layers . Dimensionless pore water pressure , dimensionless depth , dimensionless first layer depth , dimensionless effective stress . Ratio of compression index to penetration index , time factor , where the initial consolidation coefficient cv0i is expressed as:
By substituting the dimensionless parameters into Equation (8), the consolidation equation becomes:
According to the continuous drainage boundary condition proposed by Mei et al. [17] and others, the solution conditions of the consolidation equation are as follows:
In the equation, and are dimensionless interface parameters of upper and lower soil layers, respectively. Their size directly reflects the drainage capacity of upper and lower boundary interfaces. The larger their values are, the stronger the drainage capacity of the boundary is.
Interlayer continuity conditions:
3. Difference Solution
Let
By substituting Equation (16) for Equation (10), the consolidation equation and the solution conditions can be further transformed as follows:
The corresponding solution conditions are transformed as follows:
The Crank–Nicolson difference scheme is used to discretize Equation (15) into:
Organized:
where is the space step; is the time step; ; represents the number of space nodes; represents the number of time nodes.
The solution conditions:
In combination with the solution conditions, Equation (20) is expressed in the form of the following matrix:
For double-sided continuous drainage (Continuous drainage bottom):
where
where
The expressions for other coefficients A and B are the same as those for double-sided drainage conditions.
It can be seen that Equation (24) is linear correlation with the unknown parameters. For the tridiagonal matrix, the forward elimination and backward substitution can be used to solve the equation. For the solution, is assigned 0.000001 and is assigned 0.01, so equals 0.01. The pore water pressure curve can be obtained from Equation (16).
Further, the average degree of consolidation Us defined by the settlement can be expressed as:
In the equation, is the vertical strain of soil, ; and is the maximum vertical strain of soil, ; is the void ratio corresponding to the maximum effective stress .
The average degree of consolidation Up defined by pore water pressure can be expressed as:
In Equations (42) and (43), ; is the value of excess pore water pressure at node k of layer i.
4. Verification and Analysis of Solution
4.1. Verification of Solution
By setting , the solution presented in this paper can be degenerated into a consolidation solution under the condition where the consolidation coefficients of the upper and lower layers are the same. It is then compared with the analytical solution by Zong et al. [23] under this condition. If the curves of the solution in this paper coincide with those by Zong et al. [23], it can be verified that the numerical solution in this paper is correct. The comparative results are as follows:
Zong et al. [23] derived an analytical solution for one-dimensional nonlinear consolidation of double-layered soil under the premise of a compression and penetration index of 1, based on the continuous drainage boundary condition. Figure 2 presents a comparative illustration of the consolidation degree derived from the difference method against Zong et al. [23]. The congruence between the outcomes from both investigations substantiates the accuracy of the solution introduced in this study. Additionally, Figure 2 delineates that augmenting interface parameters corresponds to heightened soil consolidation degree and rate, ascribed to the elevated drainage capacity at the boundary stemming from such parameter increments. Furthermore, for large interface parameters, the soil consolidation rate is faster for small time factors and slower for large time factors, and vice versa.
Figure 2.
Comparison of consolidation degree curves between numerical and analytical solutions [23].
4.2. Consolidation Analyses
Through an examination of the time-dependent consolidation characteristics or the depth-dependent pore pressure variations under different soil or soil layer properties, we can investigate the influence of various factors on the consolidation process. A steeper consolidation or pore pressure curve indicates a faster consolidation rate.
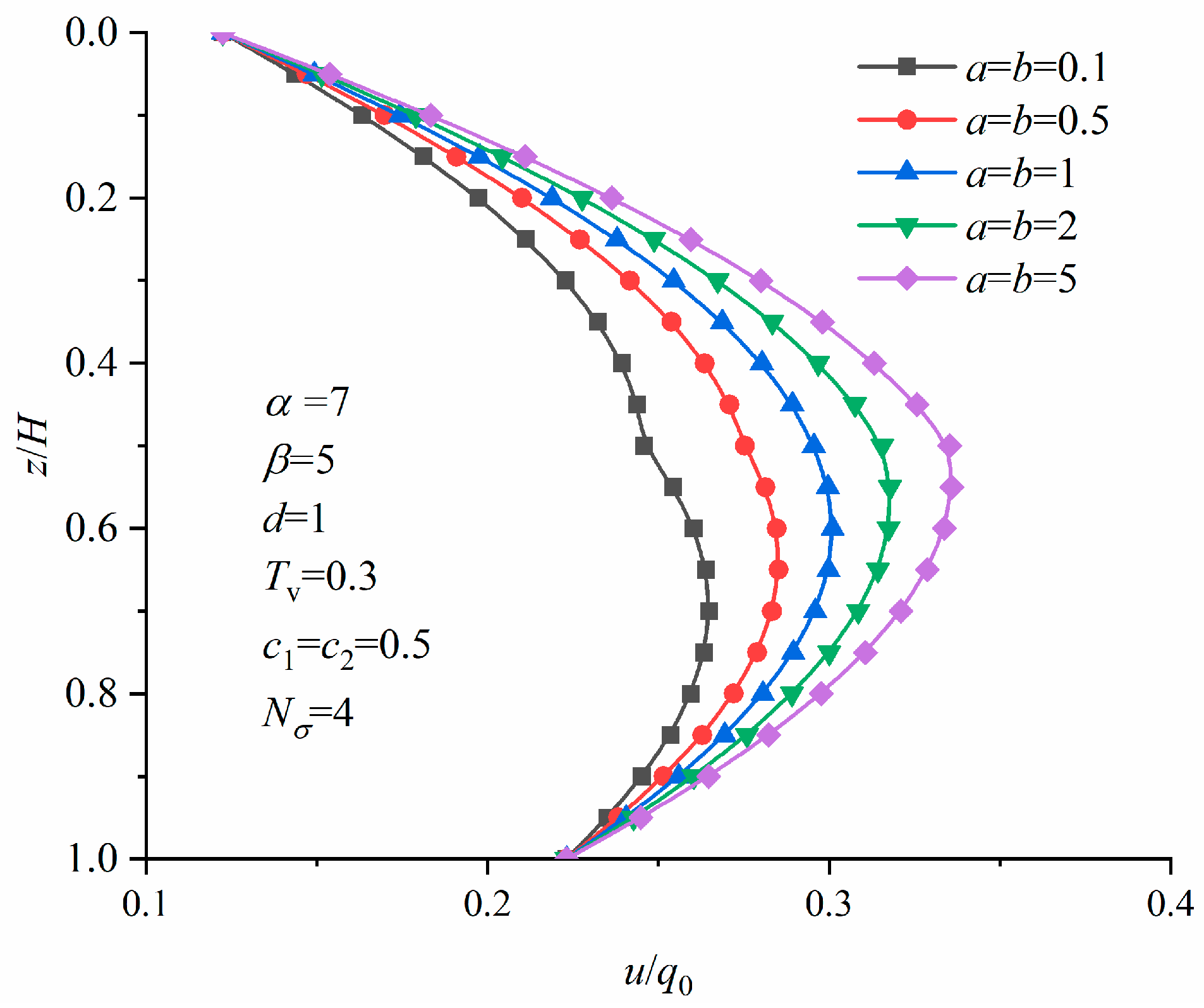
Figure 3 illustrates the impact of the permeability coefficient ratio (denoted as ‘a’) between the lower and upper soil layers on the average consolidation degree (Us), with other variables remaining constant. The graph clearly demonstrates that an elevated value of ‘a’ leads to an augmented soil consolidation rate. This trend indicates that, while maintaining consistent drainage conditions, the consolidation process accelerates when the permeability of the lower soil layer surpasses that of the upper soil layer.
Figure 3.
Influence of the ratio of permeability coefficient a on Us curves.
From the findings depicted in Figure 4, it is deduced that the soil’s consolidation rate diminishes with the escalation of the compression coefficient ratio (b), which signifies the ratio between the compression coefficient of the lower soil layer and that of the upper soil layer. This observation underscores the fact that the soil tends to exhibit reduced consolidation tendencies when the compressibility of the lower soil layer surpasses that of the upper layer.
Figure 4.
Impact of compression coefficient ratio (b) on consolidation curves (Us).
Here, we are presented with a graph (Figure 5), under the conditions of a = 2 and b = 0.5, corresponding to a subsoil with higher permeability and lower compressibility compared to the upper soil. The diagram shows that the degree of consolidation of soil increases with the increase in value d, indicating that increasing the thickness of soil layer with high permeability and low compressibility in double-layered soil can improve the rate of soil consolidation.
Figure 5.
Impact of soil layer thickness ratio (d) on consolidation curves (Us).
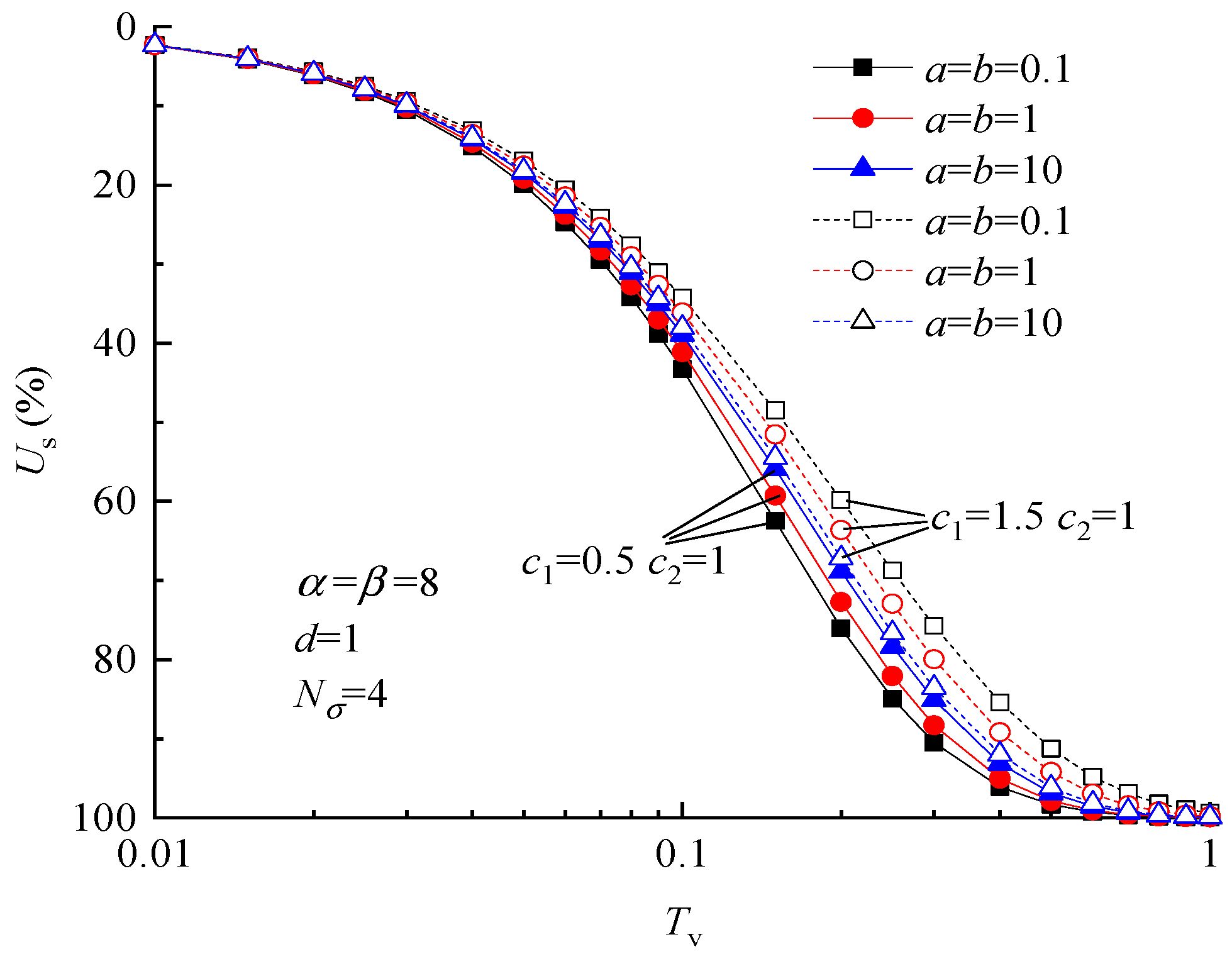
In Figure 6, the effect of exchanging the interface parameters of the top and the bottom soil on the consolidation characteristics of the soil is analyzed. When both soil layers possess identical permeability and compressibility, and the compression index to penetration index ratio equals 1, the consolidation degree curve remains invariant upon interchanging the top and bottom interface parameter values. This observation underscores the fact that, in this case, the exchange of top and bottom interface parameters has no effect on the soil consolidation rate. However, when the compression index to penetration index ratio differs (c1 = 0.5, c2 = 1), the consolidation degree curves resulting from reversing the top and bottom interface parameters exhibit substantial disparities. This indicates that when the properties of the upper and lower soil layers differ, the interface parameters significantly influences the consolidation rate. In engineering practice, it is crucial to take into account the comprehensive consolidation characteristics resulting from the coupling of interface permeability and soil nonlinearity when making settlement predictions.
Figure 6.
Influence of the interface parameter value on the Us curves.
Under the stipulated conditions of uniform interface parameters for the upper and lower soil layers, along with equal permeability and compressibility within these layers, Figure 7 scrutinizes the impact of the compression index to penetration index ratios (c1 for the upper layer and c2 for the lower layer) on the degree of soil consolidation. The graph illustrates a negative correlation between the compression index to penetration index ratio and the soil consolidation degree. This negative correlation indicates that an increased compression index to penetration index ratio leads to a reduction in the soil consolidation rate. During the initial phase of consolidation, there is a marginal disparity in the consolidation curves, based on different compression index to penetration index ratios, suggesting minimal influence during this initial stage. However, notable differences emerge in the middle and late stages of consolidation for the various ratios of compression index to penetration index. Furthermore, the consolidation curves for c1 = 0.5 and c2 = 1.5 coincide with those for c1 = 1.5 and c2 = 0.5, implying that under the conditions of uniform interface parameters at the top and bottom surfaces of the soil and identical permeability and compressibility in the upper and lower layers, the interchange of c1 and c2 exerts no impact on the soil consolidation rate.
Figure 7.
Influence of the ratio of compression index to permeability index on the Us curves.
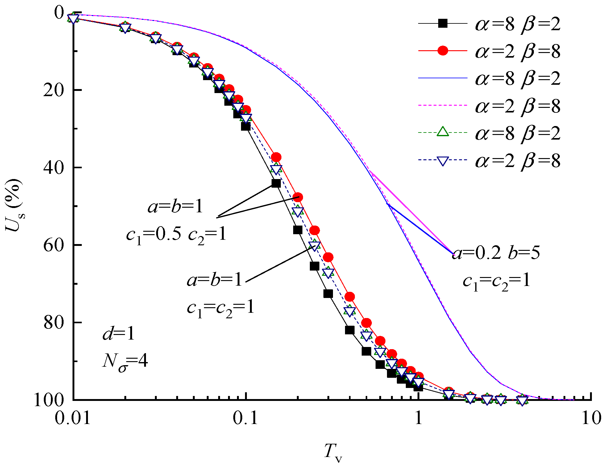
Figure 8 analyzes the consolidation characteristics of the foundation when the permeability ratio of the soil layer is equal to the compressibility ratio under the condition that the interface parameters of the top and bottom surfaces of the foundation are equal. From the diagram, it is evident that for c1 = 0.5 and c2 = 1, the consolidation degree decreases with increasing a and b values. These results underline the great impact the compression index to penetration index has ratio on soil consolidation characteristics when the consolidation coefficients remain consistent across the upper and lower soil layers. The one-dimensional nonlinear consolidation of double-layered soil presents a multifaceted complexity. This intricacy is not solely contingent on the relative permeability and compressibility of soil layers but is also influenced by nonlinear parameters and the form of drainage boundaries. Consequently, a comprehensive analysis of double-layered soil consolidation characteristics necessitates the integration of these multifarious factors.
Figure 8.
Influence of the ratio of compression index to penetration index on the Us curves (cv01 = cv02).
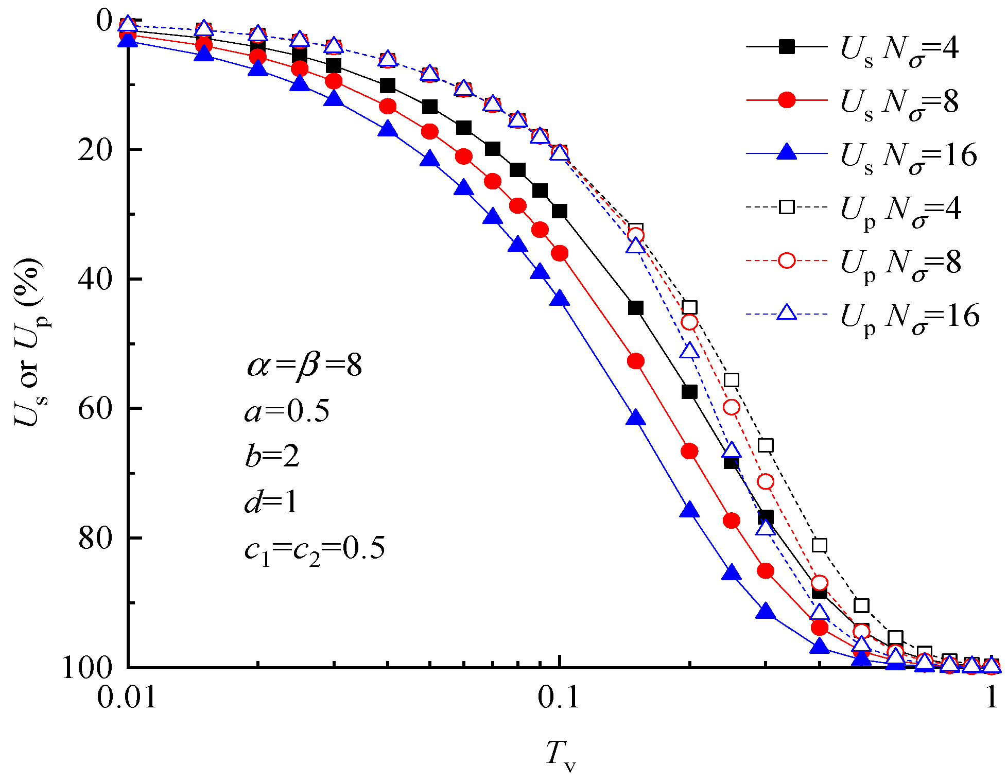
Figure 9 explores the influence of the ratio Nσ, representing the final effective stress in relation to the initial effective stress, on both the average settlement-defined consolidation degree (Us) and the average pore water pressure-defined consolidation degree (Up). This exploration is conducted under the circumstance where the compression index to penetration index ratio for both upper and lower layers is 0.5.
Figure 9.
Impact of the final effective stress to initial effective stress ratio (Nσ) on consolidation degree curves (cci/cki = 0.5).
With an increase in the applied external load the ratio Nσ of final effective stress to initial effective stress concurrently elevates. As Nσ rises, the decreases, a trend traceable back to Equations (3) and (4), wherein the parameters kvi and mvi decrease with the increasing Nσ. When , the reduction in kvi is less pronounced, accentuating the influence of the compression coefficient mv on pore water pressure dissipation. Reduced kv implies more challenging pore water drainage, translating into a slower consolidation process. Decreased mv indicates a lesser capacity for pore compression, correlating with improved soil consolidation. Consequently, the diagram demonstrates an increasing trend in both Us and Up as Nσ escalates. This outcome is attributed to the reduction in mv with rising Nσ, which promotes soil consolidation. Notably, when , an increased external load serves to enhance soil consolidation. Furthermore, the figure highlights that Nσ exerts a more substantial effect on Us compared to Up, signifying a greater influence of mv on Us relative to Up. When parameters are held constant, the average settlement-defined consolidation degree (Us) consistently surpasses the average pore water pressure-defined consolidation degree (Up), underlining the superior speed of soil settlement compared to the dissipation rate of excess pore water pressure.
In the case of , the values of kvi and mvi exhibit synchronous decrease as Nσ increases. Figure 10a focuses on analyzing the influence of Nσ values on the average settlement-defined consolidation degree (Us). The graph illustrates that the average consolidation degree Us, determined by settlement under continuous drainage boundary conditions, rises as the Nσ value increases. While the variations in the Nσ value, as observed in Xie et al.’s (2002) [6] solution based on Terzaghi drainage boundaries, have no discernible effect on the Us consolidation curve. This disparity could stem from the circumstance of , where under continuous drainage conditions, the influence of the compression coefficient mvi on soil settlement surpasses that of the permeability coefficient kvi. In contrast, under the traditional Terzaghi boundary condition, the influence of compression coefficient mvi on soil settlement is similar to that of permeability coefficient kvi, which means that Us does not follow Nσ change.
Figure 10.
(a) Influence of Nσ value on Us curves (cci/cki = 1) [6]. (b) Influence of Nσ value on Up curves (cci/cki = 1) [6].
Figure 10b shows the effect of Nσ value on the average degree of consolidation Up defined by pore water pressure. It is evident that both the continuous drainage boundary solution and Xie et al. [6]’s solution depict a decrease in Up as the Nσ value increases. This means that when calculating the average degree of consolidation according to pore water pressure, the influence of permeability coefficient kvi on soil consolidation is greater than that of compression coefficient mvi on soil consolidation. In addition, the disparities between the Up curves of various Nσ values in Xie et al. [6]’s solution are substantial, whereas the variations in Up curves under the continuous drainage boundary solution are comparatively minor, which indicates that the influence of permeability coefficient kvi under the Terzaghi boundary on Up outweighs that of kvi under the continuous drainage boundary.
For cases where , it follows that kvi experiences a greater reduction than mvi for the same Nσ value, so the permeability coefficient kvi exerts a more pronounced effect on the dissipation of pore water pressure. With held constant at 1.5, Figure 11 undertakes an analysis of the Nσ impact on both Us and Up. The diagram reveals that Up diminishes as the Nσ value increases, indicating that under conditions where , the controlling factor for Up is the permeability coefficient kvi. By contrast, the influence of Nσ on Us is more intricate. In the initial stages of consolidation, elevating the Nσ value corresponds to an increase in Us. This behavior signifies that when assessing the degree of consolidation (Us) through settlement definition, the soil’s initial settlement during the early phases of consolidation is predominantly governed by the compression coefficient mvi. Consequently, the degree of consolidation increases as Nσ grows. Conversely, as consolidation progresses, the rate of soil consolidation becomes progressively influenced by the permeability coefficient kvi, resulting in the gradual decrease in the Us value with increasing Nσ values.
Figure 11.
Influence of Nσ value on consolidation degree curves ().
Figure 12 examines the influence of interface parameters on the excess pore water pressure. It is evident that within the internal and boundary regions of the dual-layered foundation, the excess pore water pressure decreases as the interface parameters increase. For the dual-layered foundation, the interface parameters at the top surface of the soil layers have a more significant impact on the excess pore water pressure in the upper layer, while their influence in the lower layer is relatively minor. Furthermore, in contrast to results under traditional boundary conditions, the excess pore pressure at the top surface is no longer consistently zero under continuous drainage boundary conditions.
Figure 12.
Influence of interface parameter on excess pore water pressure.
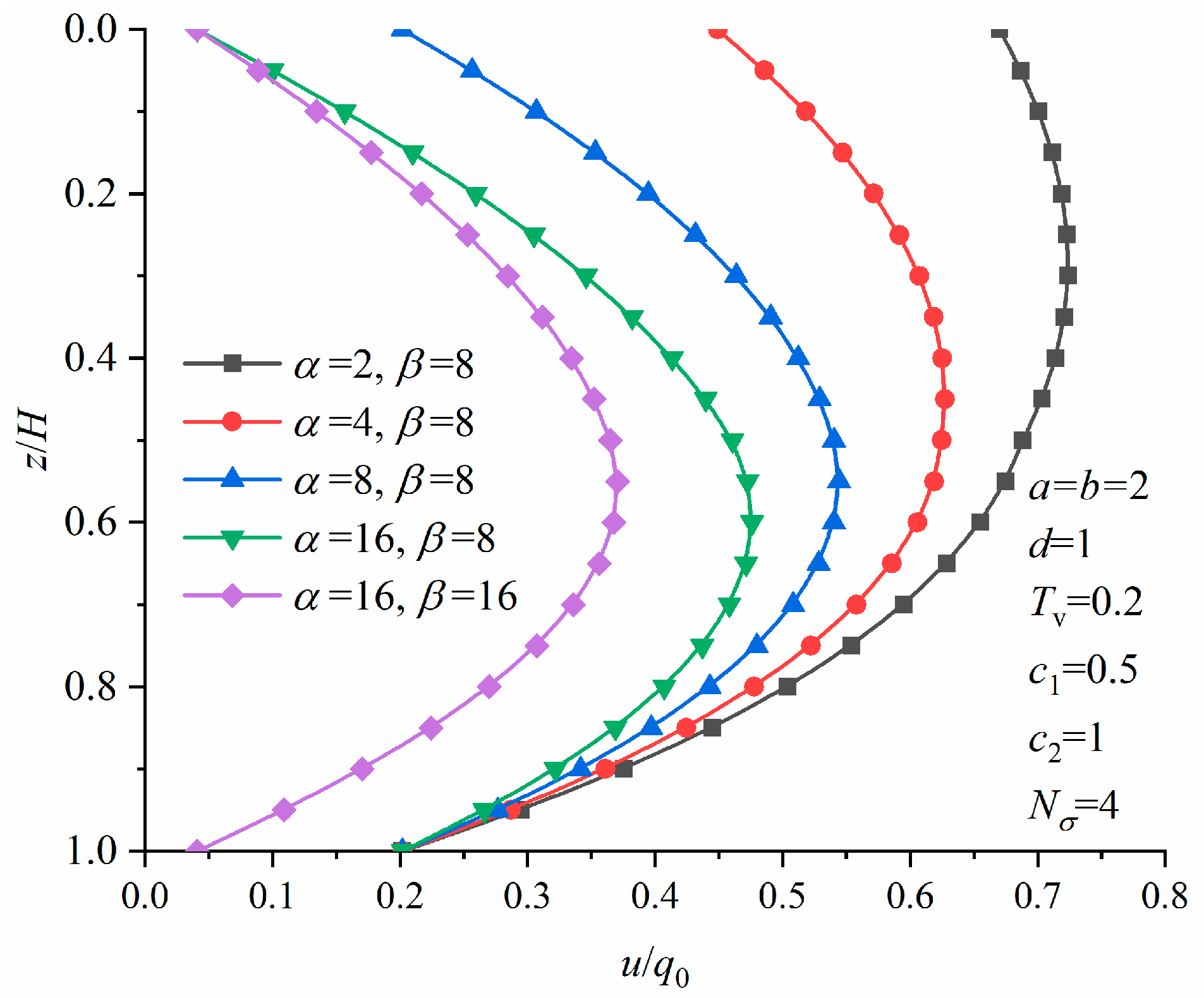
Under the conditions where the top surface interface parameter is set to 7 and the bottom surface interface parameter is set to 5 for the dual-layered foundation, Figure 13 analyzes the impact of proportional variations in the permeability ratio (a) and the compressibility ratio (b) on pore water pressure. The curve for excess pore water pressure in the upper layer is steeper, indicating faster dissipation due to superior drainage at the top surface. Additionally, as a and b values decrease proportionally, excess pore water pressure decreases, suggesting that foundation with higher upper layer permeability and lower layer compressibility experience faster consolidation.
Figure 13.
Influence of permeability ratio (a) and compressibility ratio (b) on excess pore water pressure.
To further validate the accuracy of the theory, we established a finite element model using ABAQUS(2017), divided the mesh, and refined the mesh at the interface between the two soil layers to ensure accurate calculations at the interface, as shown in Figure 14. The simulation parameters were mainly based on the work of Yuan and Xie [28], as detailed in Table 1. Subsequently, pore pressure dissipation was monitored at different depths and compared with the theoretical calculations, as illustrated in Figure 15.
Figure 14.
Finite element model and mesh division.
Table 1.
Parameters of the foundation soil (Yuan and Xie [28]).
Figure 15.
Theoretical and simulated comparison curves of pore pressure changes.
From Figure 15, it is evident that when the interface parameters are set to their maximum values, the pore pressure computed using the finite difference method in this paper closely approximates the results obtained through finite element simulation at various depths, particularly in the later stages, where they nearly coincide. This suggests that the approach presented in this paper holds practical significance and, through further development, can be integrated into ABAQUS to complement existing methodologies.
In addition, we also compared the consolidation degree data obtained from experiments, as shown in Figure 16. The experimental data are mainly based on the work of Zong [23], as shown in Table 2.
Figure 16.
Comparison curve between theory and experiment of consolidation degree [23].
Table 2.
Main property parameters of soil sample (Zong et al. [23]).
Using the soil parameters from Table 2, this study compares the results with the single-layer soil consolidation test data obtained by Zong et al. [23] to further validate the validity of the findings. It can be observed that the results in this study match very closely with the experimental data under the conditions of α = β = 100 and Cc/Ck = 0.5, thereby confirming the correctness of this study’s findings.
5. Conclusions
In this paper, we established a comprehensive computational model that takes multiple factors into account. Subsequently, we conducted validation and analysis, leading to the following conclusions:
- When the permeability of the lower soil is higher than that of the upper soil, or the compressibility of the lower soil is lower than that of the upper soil, it is beneficial to the consolidation of the foundation.
- Exchanging interface parameters between the upper and lower soil layers yields limited impact when their compressibility and permeability exhibit similarity. Nevertheless, notable effects emerge when the compression index to penetration index ratio deviates across these layers, leading to substantial variations in soil consolidation rates. Given that layered soil typically displays heterogeneous properties, the interface parameters, i.e., the interface permeability on consolidation and settlement calculations, are of considerable significance and cannot be disregarded in most instances.
- For , both the average degree of consolidation defined by settlement (Us) and pore water pressure (Up) increase with rising Nσ values. Furthermore, the effect of Nσ on (Us) is more pronounced than on (Up) under continuous boundary conditions.
- In cases where , the Us increases with increasing Nσ values under continuous boundary conditions. This contradicts the existing outcome based on the traditional Terzaghi drainage boundary, where changes in Nσ had no effect on the Us consolidation curve. In cases where , Up decreases with increasing Nσ values. The influence of Nσ on Us is multifaceted: during early consolidation, Us increases with rising Nσ, but in the middle and later stages of consolidation, Us decreases with increasing Nσ.
- Unlike the consolidation characteristics under traditional boundary conditions, in the case of continuous drainage boundary conditions, the pore pressure at the boundary interface is no longer consistently maintained at zero. As the interface parameters decrease, the pore pressure at the interface gradually increases, and the rate of pore pressure dissipation progressively decreases. Furthermore, the pore pressure diminishes as both a and b values decrease proportionally, indicating that in foundations where the upper layer exhibits better permeability and the lower layer experiences less compression, the dissipation rate of pore pressure is faster.
Author Contributions
Conceptualization, W.W., M.Z. and G.M.; methodology, Y.Z. and Y.Y.; validation, Y.Z. and Z.Z.; formal analysis, Y.Y., M.Z. and W.W.; investigation, Y.Z. and M.Z.; writing—original draft preparation, Y.Z. and M.Z.; writing—review and editing, Y.Z. and Y.Y.; project administration, Z.Z.; funding acquisition, Y.Z. and W.W. All authors have read and agreed to the published version of the manuscript.
Funding
This research is supported by the National Natural Science Foundation of China (grant no. 52108322) and the Natural Science Foundation of the Jiangsu Higher Education Institutions of China (grant no. 23KJB560004).
Institutional Review Board Statement
Not appliable.
Informed Consent Statement
Not appliable.
Data Availability Statement
The data presented in this study are available on request from the corresponding author.
Conflicts of Interest
The authors declare no conflict of interest.
References
- Gray, H. Simultaneous consolidation of contiguous layers of unlike compressible soils. Trans. ASCE 1945, 110, 1327–1344. [Google Scholar]
- Schiffman, R.L.; Stein, J.R. One-dimensional consolidation of layered systems. J. Soil Mech. Found. Div. 1970, 96, 1499–1504. [Google Scholar] [CrossRef]
- Xie, K.H. One Dimensional Consolidation of Double-Layered Ground and Its Applications. Chin. J. Geotech. Eng. 1994, 16, 26–38. (In Chinese) [Google Scholar]
- Lee, P.K.K.; Xie, K.H.; Cheung, Y.K. A study on one-dimensional consolidation of layered systems. Int. J. Numer. Anal. Methods Geomech. 1992, 16, 815–831. [Google Scholar] [CrossRef]
- Wu, J.; Xi, R.; Liang, R.; Zong, M.; Wu, W. One-Dimensional Nonlinear Consolidation for Soft Clays with Continuous Drainage Boundary Considering Non-Darcy flow. Appl. Sci. 2023, 13, 3724. [Google Scholar] [CrossRef]
- Xie, K.; Xie, X.; Jiang, W. A study on one-dimensional nonlinear consolidation of double-layered soil. Comput. Geotech. 2002, 29, 151–168. [Google Scholar] [CrossRef]
- Satwik, C.S.; Chakraborty, M. Numerical analysis of one-dimensional consolidation of soft clays subjected to cyclic loading and non-Darcian flow. Comput. Geotech. 2022, 146, 104742. [Google Scholar] [CrossRef]
- Li, C.X.; Xie, K.H.; Hu, A.F.; Hu, B.X. One-dimensional consolidation of double-layered soil with non-Darcian flow described by exponent and threshold gradient. J. Cent. South Univ. 2012, 19, 562–571. [Google Scholar] [CrossRef]
- Davis, E.H.; Raymond, G.P. A non-linear theory of consolidation. Géotechnique 1965, 15, 161–173. [Google Scholar] [CrossRef]
- Xie, K.; Qi, T.; Dong, Y. Nonlinear analytical solution for one dimensional consolidation of soft soil under cyclic loading. J. Zhejiang Univ. Sci A 2006, 7, 1358–1364. [Google Scholar] [CrossRef]
- Kim, P.; Pak, C.U.; Myong, H.B. Analytical solution for one-dimensional nonlinear consolidation of saturated double-layered soil subjected tocyclic loadings. J. Eng. 2021, 6, 21–29. [Google Scholar]
- Mesri, G.; Rokhsar, A. Theory of Consolidation for Clays. J. Geotech. Eng. Div. 1974, 100, 889–904. [Google Scholar] [CrossRef]
- Lu, M.M.; Wang, S.; Sloan, S.W.; Indraratna, B.; Xie, K.H. Nonlinear radial consolidation of vertical drains under a general time-variable loading. Int. J. Numer. Anal. Methods Geomech. 2015, 39, 51–62. [Google Scholar] [CrossRef]
- Lekha, K.R.; Krishnaswamy, N.R.; Basak, P. Consolidation of Clays for Variable Permeability and Compressibility. J. Geotech. Geoenvironmental Eng. 2003, 129, 1001–1009. [Google Scholar] [CrossRef]
- Li, C.X.; Huang, J.S.; Wu, L.Z.; Lu, J.F. Approximate Analytical Solutions for One-Dimensional Consolidation of a Clay Layer with Variable Compressibility and Permeability under a Ramp Loading. Int. J. Geomech. 2018, 18, 06018032.1–06018032.10. [Google Scholar] [CrossRef]
- Xia, C.Q.; Hu, A.F.; Cui, J.; Lv, W.X.; Xie, K.H. Analytical solutions for one-dimensional nonlinear consolidation of saturated soft layered soils. Rock Mech. 2018, 39, 2858–2864. (In Chinese) [Google Scholar]
- Chen, R.P.; Zhou, W.H.; Wang, H.Z.; Chen, Y.M. One-dimensional nonlinear consolidation of multi-layered soil by differential quadrature method. Comput. Geotech. 2005, 32, 358–369. [Google Scholar] [CrossRef]
- Xie, K.H.; Zheng, H.; Li, B.H.; Liu, X.W. Analysis of one dimensional nonlinear consolidation of layered soils under time-dependent loading. J. Zhejiang Univ. (Eng. Sci.) 2003, 37, 426–431. (In Chinese) [Google Scholar]
- Mei, G.X.; Chen, Q.M. Solution of Terzaghi one-dimensional consolidation equation with general boundary conditions. J. Cent. South Univ. 2013, 20, 2239–2244. [Google Scholar] [CrossRef]
- Mei, G.X.; Thomas, M.H.L.; Xia, J.; Wu, S.S. One-dimensional consolidation with asymmetrical exponential drainage boundary. Geomech. Eng. 2014, 6, 47–63. [Google Scholar] [CrossRef]
- Liu, J.; Lei, G.H. One-dimensional consolidation of layered soils with exponentially time-growing drainage boundaries. Comput. Geotech. 2013, 54, 202–209. [Google Scholar] [CrossRef]
- Kim, P.; Kim, Y.G.; Ri, G.H.; Kwak, S.; Ri, K.S. Nonlinear consolidation analysis of saturated multi-layered soil with continuous drainage boundary. Int. J. Numer. Anal. Methods Geomech. 2023, 47, 3114–3126. [Google Scholar] [CrossRef]
- Zong, M.F.; Wu, W.B.; El Naggar, M.H.; Mei, G.X.; Ni, P.P.; Xu, M.J. Analytical solution for one-dimensional nonlinear consolidation of double-layered soil with improved continuous drainage boundary. Eur. J. Environ. Civ. Eng. 2020, 27, 2746–2767. [Google Scholar] [CrossRef]
- Zong, M.F.; Wu, W.B.; Mei, G.X.; Liang, R.Z.; Tian, Y. An analytical solution for one-dimensional nonlinear consolidation of soils with continuous drainage boundary. Chin. J. Rock Mech. Eng. 2018, 37, 2829–2838. (In Chinese) [Google Scholar] [CrossRef]
- Wang, L.; Sun, D.; Qin, A. Semi-Analytical Solution to One-Dimensional Consolidation for Unsaturated Soils with Exponentially Time-Growing Drainage Boundary Conditions. Int. J. Geomech. 2018, 18, 04017144.1–04017144.10. [Google Scholar] [CrossRef]
- Zhang, Y.; Wu, W.; Mei, G.; Duan, L. Three-dimensional consolidation theory of vertical drain based on continuous drainage boundary. J. Civ. Eng. Manag. 2019, 25, 145–155. [Google Scholar] [CrossRef]
- Tian, Y.; Wu, W.B.; Wen, M.J.; Jiang, G.S.; El Naggar, M.H.; Mei, G.X. Nonlinear consolidation of soft foundation improved by prefabricated vertical drains based on elliptical cylindrical equivalent model. Int. J. Numer. Anal. Methods Geomech. 2021, 45, 1949–1971. [Google Scholar] [CrossRef]
- Yuan, J.M.; Xie, K.H. Analysis of 1-D Nonlinear Consolidation Behavior of Double-layered Soils. Bull. Sci. Technol. 2005, 21, 471–475+490. (In Chinese) [Google Scholar]
Disclaimer/Publisher’s Note: The statements, opinions and data contained in all publications are solely those of the individual author(s) and contributor(s) and not of MDPI and/or the editor(s). MDPI and/or the editor(s) disclaim responsibility for any injury to people or property resulting from any ideas, methods, instructions or products referred to in the content. |
© 2023 by the authors. Licensee MDPI, Basel, Switzerland. This article is an open access article distributed under the terms and conditions of the Creative Commons Attribution (CC BY) license (https://creativecommons.org/licenses/by/4.0/).















