Abstract
The study of characterisation and production of artificial patinas plays a key role in the field of cultural heritage. In particular, artistic patinas should be considered as an integral part of the artworks, as they are deliberately produced by artists and metalworkers as a part of their artistic design. Therefore, it is important to achieve a good knowledge of their composition and corrosion behaviour in order to setup and perform optimal conservation strategies for their preservation. In addition, the possibility of realising laboratory patinas that are as representative as possible of natural corrosion layers is important for the realisation of laboratory specimens which can be used as reliable model systems (mock-ups) for the study of degradation mechanisms and conservative treatments. For this work, both artistic and laboratory patinas have been considered and investigated. In particular, six different artistic patinas produced by Fonderia Artistica Battaglia were characterised. Moreover, a series of laboratory patinas was produced according to chemical procedures adapted from those already reported in the literature. The patina morphology was evaluated by stereomicroscopy observations, their composition was analysed by means of FTIR and XRD analysis and their corrosion behaviour was evaluated by LPR and EIS measurements. Finally, the LPR and EIS analysis have pointed out the low protection provided by the corrosion layers of artistic patinas. In regard to laboratory patinas, the optimized procedures of production were found to be effective for the realization of the main corrosion products of copper-based surfaces. From an electrochemical point of view in particular, quite different electrochemical behaviours were observed on artificial corrosion layers with the same chemical composition.
1. Introduction
Copper and copper alloys have been widely employed in the artistic and architectural fields, especially to produce artefacts and architectural elements for outdoor exposure [,,,], thanks to their good resistance to corrosion in moderately aggressive environments [,,]. In particular, copper shows lower corrosion rates with respect to iron and carbon steel in the same environments [] and copper alloys show, in turn, different corrosion resistances with respect to the pure metal, thanks to the contribution of some alloying elements [,,,,]. Copper alloys are also appreciated for the beautiful colours of the patina of corrosion products that is formed when exposed to the environment.
1.1. Natural Patinas
When patinas form as the result of long-term exposure to environment, they appear with a heterogeneous aspect [,,]. The heterogeneity will depend on the morphology of the surfaces, their roughness, their inclination, and exposure conditions. Relevant differences in the colour of the patinas can be observed according to their composition. As the first layer of oxides is formed, a thin, quite compact, and reddish-brown layer can be observed [,,]. Upon further exposition, moreover, the surface layer turns to a dark brown-black colour. In this case, the composition of the patina can still be constituted only by oxides [,], or the darkening of the colour could be also caused by the interaction of the surface with other pollutants [,]. The commonly observed greenish patina appears instead after several years of exposure when the formation of basic copper sulphates or chlorides occurs [,].
The patina of bronzes and brasses if often constituted by copper salts and minerals, with different compositions depending on the exposure environment. In addition, other corrosion products have been detected due to the presence of alloying elements. Several works reported that patina on copper-based surfaces typically has a two-layer structure [,,,]. The most internal layer is usually more compact and uniform and is constituted by oxides as cuprite (Cu2O), and more seldom tenorite (CuO), but its presence is quite rare in natural patinas since its formation requires high temperatures and high pH values [,], or hydroxides (Cu(OH)2) []. Therefore, a cuprite layer can normally be found on surfaces that suffered atmospheric corrosion in any type of environment. The outermost layer, instead, forms during the intermediate and final stages of corrosion and is formed after variable periods, according to the specific exposure conditions [,,,,]. The parameters that affect the growth rate and chemical composition of these corrosion products are temperature and relative humidity and more importantly, the concentration and composition of pollutants [,].
During the past centuries, the most commonly observed corrosion products in urban environment were the sulphur-containing ones, since SO2 was one of the main pollutants of industrialised environment. Several crystalline forms of sulphate-based compounds have been detected in different exposure conditions [,,,,,,], in particular, posnjakite (Cu4SO4(OH)6∙H2O), antlerite (Cu3SO4(OH)4) and brochantite (Cu4SO4(OH)6), [,,,,,]. Due to the past quite widespread diffusion of sulphur-based atmospheric pollutants, copper hydroxysulphates are among the most common constituents of patinas of outdoor exposed surfaces. In the cultural heritage field, therefore, they have been largely documented on outdoor exposed bronze statuary [,,,,,,,,,,], on brasses [,,], and on architectural elements as copper roof [,,,].
As previously stated, in recent decades many countries adopted clean air policies that reduced dramatically the concentration of SO2 in the atmosphere [,,]. However, since they are quite recent measures, the main corrosion product of patinas formed in outdoor unsheltered conditions is still brochantite. In fact, the formation of sulphate-based compounds is promoted in almost all rural, urban and marine environments. Moreover, it has been demonstrated that brochantite is by far the most stable compound and it is 100 times less soluble than chlorides and carbonates, and 10,000 times less soluble than nitrates [,]. In parallel to the reduction of SO2, however, it was observed that the time required for the formation of the typically green brochantite patina has become longer [,,].
Copper sulphides, namely chalcocite (Cu2S) or covellite (CuS), can also form in sulphur-rich environment. However, due the high concentration of sulphide ions and the reducing atmosphere needed for the formation of such minerals, they form normally on objects buried in soil (where sulphate-reducing bacteria can also promote the formation of sulphides) or in seawater sediments. In cultural heritage field, therefore, they are normally found on archaeological objects [,].
When chloride-based salts are present in the atmosphere, they can dissolve in the electrolyte film and dissociate producing Cl-. Then, they react with positive copper ions produced by the dissolution of cuprite and the highly reactive nantokite (CuCl) or eriochalcite (CuCl2) are formed. Their reaction with atmosphere is quite quick and the formation of a more stable trihydroxy copper chloride, in the crystalline form of atacamite (Cu2Cl(OH)3), or in its polymorphs paratacamite or clinoatacamite is observed. The corrosive action of the chlorides is of particular importance when bronze surfaces are considered. In fact, the presence of nantokite in specific conditions [] can cause the onset of a cyclic and autocatalytic severe corrosion phenomenon, the so-called bronze disease [,,].
Basic copper carbonates have been detected in natural patinas of objects exposed to atmospheric corrosion. They are thanks to the reaction of the surface with the atmospheric CO2 or with HCO3− dissolved in the condensed water film [,]. However, since a high concentration of CO2 or HCO3− is necessary, they are quite rare as products of atmospheric corrosion, while they are quite common on objects buried in soil []. In this case, after prolonged permanence of the object in soil, a uniform patina of malachite (CuCO3·Cu(OH)2) often covers the surfaces. In addition, discrete crystals of azurite (2CuCO3·Cu(OH)2) can be found in association with malachite. Azurite is in fact a less stable phase and tends to transform in malachite in presence of moisture through loss of carbon dioxide []. Therefore, basic copper carbonates are usually present on archaeological objects [,,].
Also basic copper nitrates can be found among the corrosion products of copper-based surfaces. In particular, the most common compound in this class is gerhardite (Cu2(NO3)(OH)3) [,]. However, it has rarely been detected in patinas of outdoor exposed surfaces []. In fact, gerhardite is highly soluble in water, therefore it is very soon eliminated through rain runoff from the patinas [].
Copper formate, acetate and oxalate can also be found as corrosion products [,] since formic, acetic and oxalic acids can be present as atmospheric pollutants [,,].
Besides the natural corrosion products, artificial patinas intended as deliberately produced corrosion layers also play a key role in the field of the conservation of the metallic artefacts of the cultural heritage. In particular, in the preservation of cultural heritage field two main kinds of patinas should be considered, on one side the artistic patinas, and on the other, those produced on specimens and coupons by laboratory procedures. The formers are produced since ancient times on artistic surfaces in order to mimic their natural ageing and to confer the desired colour and finishing. The latter are instead realised as a model system to perform specific diagnostics and experiments. Therefore, laboratory patinas are aimed to simulate the chemical composition, morphology, and micro-structure of the natural ones.
1.2. Artistic Patina
The aesthetical appearance of the naturally aged copper and bronze surfaces, characterised by the presence of green, brown, black and sometimes blueish corrosion layers has attracted artists and metalworkers since ancient times [,,,]. Thus, the formation of a patina has usually been considered a desirable feature [,] and several recipes have been developed throughout history to artificially produce artistic patinas. In ancient Greece, as an example, recipes for the realisation of brown and black patinas were quite diffusely employed, even if, at that time, a bright and polished surface resembling gold was generally preferred [,]. Moreover, the production of black patinas has been reported on Egyptian and Roman artefacts [,]. During the Italian Renaissance, then, the realisation of brown and reddish patinas was largely diffused [,,]. The production of green opaque layers, along with black patinas, has become instead relevant after 19th century, when natural corrosion layers began assuming such aspect due to the atmospheric corrosion in polluted environments []. In the last century, moreover, a series of artistic patina, with a more variable spectrum of bright colours, obtained with a wider variety of chemical reactants and procedures, has been produced by artistic foundries, as they were more frequently required by contemporary artists. In addition, in past decades also conservators have sometimes employed patination techniques developed for artistic purposes, in order restore damaged natural patinas of particular interest [,,].
Despite the large diffusion of the artistic artificial patinas, only few information is available about the exact recipes and procedures adopted. They were in fact developed by artisans and metalworkers and transmitted from one generation to another. Therefore, the literature is lacking a detailed indication about the adopted procedures. Only in late 1900s, Hughes and Rowe [] collected and published a great number of patination techniques and procedures, in their book “The colouring, bronzing and patination of metals”. The most diffused methodology is the treatment of copper-based surfaces with chemical and corrosive substances [,,,], sometimes containing also copper salts to promote the formation of thicker patinas. Several application methodologies of these chemical solutions are reported []: where small dimensions artefact can be immersed in the solution. Alternatively, this can be applied by brush, or by wiping it on the metallic surface with a soft cloth. In addition, more dense “pastes” have been used, with the aim of obtaining thicker layers of corrosion products. On the other side, spray application could be adopted to realise thinner patinas. In addition, heating the surfaces can promote the formation of specific compounds and colours. In particular, the torch technique can be adopted, where metal surfaces, on which a chemical solution is applied, are heated for a variable time with a blowtorch [,,]. Furthermore, all the patinas obtained by chemical treatment of the surfaces, moreover, some artificial surface layers are obtained by just applying pigments with organic binders on the metallic surfaces []. The combination of all such patination techniques allows nowadays obtaining an extraordinary wide variety of artificial corrosion layers, with different thicknesses, finishing layers and colour shades.
Considering that artistic patinas are intentionally produced on the artworks surfaces as a part of the artist’s design, their optimal preservation should be pursued. From the diagnostic point of view, however, the artistic artificial patinas have been scarcely studied. One of the reasons could be that the distinction between artistic artificial patinas and natural corrosion layers on ancient works of art is quite difficult [], as the composition of natural and artificial corrosion products is often the same []. Moreover, artificial patinas evolve with time, taking part in the natural corrosion process and changing their chemical compositions [,]. Therefore, few works in recent decades have reported on the compositional characterisation of corrosion layers on copper-based artefacts of supposed artificial production. A black patina has been identified on a series of Roman, Mycenaean and Egyptian bronzes, known as “black bronzes”. On such artefacts, the presence of an intentional patina obtained by means of metallic Au and/or Ag (probably nanoparticles) in a cuprite matrix was demonstrated [,,,,]. A similar realisation technique was hypothesised for the so called shakudo patina, observed on ancient Japanese artefacts []. In the same works, the investigation of the corpus of Egyptian archaeological artefacts have moreover led to the identification of reddish cuprite-based artificial patina, while a further black patina on a roman balustrade was demonstrated to be constituted by tenorite. Another kind of black patina with compact and lustrous aspect and constituted by copper sulphur, was detected on ancient Greek and Roman artworks. Its presence was hypothesised by Crockrell [,] on two Roman daggers and by Garbassi and Mello [] on the renowned Riace’s bronzes.
On contemporary artworks, instead, artistic patinas have been more easily characterised. In these cases, in fact, the identification of artificial patinas is normally easier as their colour may differ significantly from those of natural corrosion layers, and because often the design of the artist is well known. Bracci et al. [], as an example, identified gehrardtite (a basic copper nitrate), copper phosphates and copper sulphide (probably chalcocite) on a contemporary bronze sculpture realised in 1988 and exposed to outdoor environment. Casanova Municchia [] characterised instead the composition of the artificial patinas (mainly dark-brown) on two contemporary sculptures of the Carlo Bilotti contemporary art museum in Rome. On the first sculpture, the dark patina resulted constituted by cuprite and tenorite, while on the other cuprite was associated with copper sulphur, employed probably to obtain a darker colour shade. Moreover, traces of copper nitrate (gherardtite) and iron hydroxides were detected. Copper nitrates and FeCl3 are in fact often used in the artificial patination process []. In the work of both Bracci et al. [] and Casanova Municchia et al. [], relevant amounts of natural corrosion products (e.g., brochantite and atacamite) were detected, confirming that the artificial corrosion layers tend to transform upon exposure to the atmosphere.
In addition, some authors reproduced the artificial patinas according to traditional recipes and then characterised the obtained surface layers. As an example, Hayez et al. [] have performed a Raman characterisation of a series of artificial patinas with different compositions (namely, nitrate- carbonate- sulphate- and chloride-based artificial patinas). Raman spectroscopy was included also in a multi-analytical investigation of a series of patinas produced by torch-techniques by Bongiorno et al. []. In this work, in particular, an artificial ageing in spray chamber of the artistic patinas was performed, and the changing in their composition upon such treatment was assessed. In addition, in several works, potassium sulphide associated with the heating of the metallic substrate, have been employed to realise black patinas, according to traditional recipes used also in modern artistic foundries [,,,,,,].
Even if more rarely reported, the electrochemical characterisation of the artistic artificial patinas and of their corrosion behaviour has also been carried out [,]. Bendezù et al. [] performed electrochemical impedance spectroscopy (EIS) on two nitrate-based artistic patinas and suggested a dependence of their corrosion behaviour on their microstructure. In particular, the patina that showed a double-layer structure showed a better corrosion response with respect to the mono- layer patina, which instead corroded very actively. Sabau Chelaru [] performed instead EIS measurements, corrosion potential measurements and linear polarisation resistance (LPR) ones on three artificial patinas on bronze electrodes. In this case, a limited protective action of the artificial patinas on the bronze substrate was suggested by the authors.
Apparently, the corrosion behaviour of artistic patinas has been scarcely investigated so far and a better knowledge of such feature would significantly help the development of dedicated and optimised conservative strategies for these peculiar substrates. It must be considered, in fact, that particularly critical issues could be related to their preservation. First, their production by means of aggressive procedures such as application of highly corrosive substances or heat treatments is likely to lead to the formation of unstable and quite active surface layers from the corrosion point of view []. Moreover, they evolve and change their appearance as they take part to the natural corrosion process [,,,,]. However, especially when dealing with contemporary artworks, patinas are often an integrating part of the artist design for the work of art. Therefore, preserving them avoiding their modification could be necessary.
1.3. Laboratory Patination
The laboratory artificial patination and ageing of laboratory specimens may be performed also with a scientific aim. In fact, artificially patinated and pre-corroded laboratory coupons can be adopted as model systems to carry out specific investigations. The artificial patinas realised on laboratory specimens, thus, are intended to mimic as much accurately as possible the composition and microstructure of natural corrosion layers, in order to obtain a reliable reproduction of the real conditions of metallic surfaces that have been exposed to different environments. The aim is to realise laboratory mock-ups, intended as material replicas of the historic surfaces, to be used to investigate, e.g., mechanisms of decay or new conservation treatments. Such studies typically include invasive and destructive measurements and may lead to severe deterioration of the surfaces and therefore cannot be performed directly on the artefacts. In the case of new protective coatings and/or corrosion inhibitors, the possibility of testing and optimising their performances and of verifying their influence on the appearance of the surfaces before their application on real artworks is of crucial importance. In some cases, specimens with natural patinas developed upon outdoor exposition have been employed for this kind of studies, especially for the investigation of the patina formation processes and for the investigation of the corrosion rate of different metallic substrates to different environmental conditions [,,,,,,,,]. However, such procedures of natural ageing are time demanding and, therefore, the production of laboratory artificial patinas is then carried out in order to more rapidly obtain corrosion layers with the desired features (composition, morphology, etc.).
Many patination procedures have been adopted in the literature to this aim. They can be distinguished in three main categories: artificial ageing of the specimens, electrochemical methodologies and chemical procedures. The electrochemical patination is normally carried out by immersing the specimens in saline solution with specific composition according to the desired corrosion layer, and by enhancing corrosion process by means of imposed currents or potentials [,,,,,,,,]. It has been employed to reproduce the most common natural corrosion products, with the great advantage of a significant rapidity of the patination procedures. The artificial ageing is based, instead, on the exposition of the specimens to specific environmental conditions reproducing the natural environments which corrosivity must be studied. Several artificial ageing procedures have been proposed, depending on the exposure conditions that needed to be reproduced. In some cases, the artificial ageing of copper-based coupons has been achieved by exposing specimens to specific temperatures and relative humidity levels in controlled environments (e.g., climatic chambers) [,,]. In many cases, however, the specimens to be aged have been exposed to artificial rain, namely a salt solution reproducing the rain composition of a specific geographic area [,,,,,,,,,,]. Depending on the conservation condition to be reproduced on the specimens, slightly different exposure methodology have been proposed. Wet and dry cycles typically suffered by surfaces exposed to outdoor sheltered conditions have been simulated by alternatively immersing metallic specimens in artificial rain, for a series of cycles [,,,,]. In other cases, to simulate the leaching action of the rain on unsheltered surfaces, artificial ageing of the specimens has been carried out by dropping artificial rain on the specimens surfaces [,,,,,]. To achieve an optimal adjustment of the precipitation rate [,] and a uniform distribution of the artificial rain drops on the ageing specimens [], some dropping devices have been also proposed.
Chemical patination, instead, it is based on the application of specific chemical reactant and corrosive substances on the coupons’ surfaces. Such methodology is normally adopted as it allows obtaining specific corrosion products with rather quick procedures, which requires very simple equipment. Such methodologies have sometimes been developed taking the traditional recipes for artistic patinas as a starting point [,,,,,]. This is the case, for example, of the patina containing copper chlorides and sulphates proposed for the development of galvanic sensors [,]. In this case, two recipes reported by Hughes and Rowe [] were adapted to realise a cuprite-based patina, and a chlorides- and sulphates-rich patina that had to simulate the chemical composition of a natural patina formed in quite aggressive environment on bronze substrate. For the cuprite patina the specimens were immersed in a boiling solution of copper salts (acetate and sulphate). For the chlorides- and sulphates-rich patina a “paste”, a very concentrated aqueous solution of chlorides- and sulphate-based salts, was applied by brush on bronze specimens.
In general, in many cases the chemical patination of the surfaces is performed by means of aqueous solutions of copper salts, that are applied on copper-based surfaces in several ways, mainly by immersion, by brush and by torch technique, heating the specimens []. Given the relevant corrosivity of chlorides salts, they are often employed in chemical patination procedures [,,,,]. In these cases, chloride-based corrosion products are not necessarily obtained, often chloride-based reactants are employed to achieve a faster oxidation of the surfaces, leading to the formation of copper oxides cuprite and tenorite Casal [,,]. As an example, Casaletto et al. [] report on the formation of a patina constituted by cuprite and chlorides-based compounds by spraying a CuCl2 and a Na2Cl solution on bronze specimens. Di Carlo et al. [], moreover, the induced pre-corrosion of a commercial bronze by exposing it to water vapours of HCl, and subsequently immersing the specimens in copper-salts aqueous solutions. Indeed, one of the most adopted application methodologies is the immersion of the specimens in salt solutions. In some cases, specifically, wet and dry cycles are performed, by alternatively immersing the coupons in the solutions [,]. Patinas rich in atacamite (and its polymorphs paratacamite and clinoatacamite) have been obtained by immersing copper-based coupons in solutions containing CuCl2 [,,], NaCl [] or NH4Cl [,,,] in various concentrations. Sulphate-based patinas (brochantite or antlerite) were more seldom realised, by immersing specimens in CuSO4 solutions [,,], or employing other sulphur-containing compounds such as K2S in combination with other reactants []. Malachite was instead obtained by means of (NH4)CO3 solutions [,] or CO2 rich aqueous solutions []. In addition, cuprite-based artificial corrosion layers have been produced by chemical procedures. As already discussed, warm or hot solutions with variable compositions are employed to produce such compounds, in order to cause an accelerated oxidation of the copper surface [,,].
According to some of the proposed patination procedures, moreover, the specimens should be heated during the application of corrosive solutions. As an example gerhardtite-based patinas were obtained by Kareem [] and Kosec et al. [] by brushing the hot specimens surfaces with Cu(NO3)2 solution. In other cases, as already discussed, K2S have been applied on heated surfaces [,,,,]. However, such patination procedure could result quite aggressive and destabilising for the metallic substrate [].
All the cited methodologies and salt solutions have often been combined to obtain patinas with more complex chemical compositions with the simultaneous presence of different copper minerals [,,,,,].
1.4. Objectives of This Work
The aim of this work is to first realise and then characterise both artistic and laboratory patinas. The artistic ones selected were selected according to the advice of the restorer of Fonderia Artistica Battaglia.
The chemical procedures employed for the realisation of the laboratory artificial patinas were selected to reproduce the most common natural corrosion products that are formed on copper-based surfaces upon exposure to outdoor environment. In particular, Cuprite (Cu2O), Brochantite and Atacamite. Three procedures for the realisation of cuprite, which is the first corrosion product formed upon reaction of the metallic surface with the atmosphere [,,], were adopted. Moreover, three patination procedures for the realisation of atacamite, formed in chlorides-rich environments, were performed. One among such procedures, in particular, was aimed at realising sulphate’s and chloride’s rich patinas, to reproduce the corrosion layers that naturally form in very polluted and aggressive conditions, in order to re-create a “worst case scenario” with very aggressive and unstable corrosion layers, reproducing condition quite similar to those of the so called “bronze disease” []. In addition, a brochantite patina was realised, considering that, during the past century, sulphate-based compounds were the most common corrosion products in urban environment [,,,,,], since SO2 was one of the main pollutants of industrialised/urbanised environment. Due to the past quite widespread diffusion of sulphur-based atmospheric pollutants, copper hydroxysulphates are among the most common constituents of patinas of outdoor exposed surfaces. In the cultural heritage field, therefore, they have been largely documented on outdoor exposed bronze statuary [,,,,,,,,,,], on brasses [,,], and on architectural elements as copper roof [,,,]. Finally, a nitrate-based patina has been produced since gerhardite and rouaite have been sometimes identified among natural corrosion products of copper-based surfaces exposed to atmospheric corrosion.
2. Materials and Methods
Two kinds of artificial patinas were produced and investigated in this work. On one side, a series of artistic artificial patinas realised by Fonderia Artistica Battaglia of Milan on bronze specimens, on the other side a series of patinas realised by laboratory procedures on copper specimens. These latter were aimed at reproducing the main natural corrosion products.
2.1. Artistic Patinas from Fonderia Artistica Battaglia
The artistic artificial patinas produced on bronze specimens were selected according to the advice of restorers and were realised by specialised metalworkers of Fonderia Artistica Battaglia. Specifically, six patinas among the most commonly produced and required by the artists were selected and characterised. They were produced on quaternary bronze specimens, in which the composition was Cu 90.55%wt, Zn 2.34%wt, Sn 6.14%wt, Pb 0.97%wt. The following patinas were considered: red 103, green 201, green 206, blue 502, black 605 and grey 802 (Figure 1). The adopted patination procedures are reported in Table 1.

Figure 1.
Artistic artificial patinas on bronze specimens realised by Fonderia Artistica Battaglia.

Table 1.
Procedures for the realisation of artistic artificial patinas on bronze specimens.
2.2. Laboratory Patinas on Copper Specimens
The chemical procedures employed for the realisation of the laboratory artificial patinas were selected in order to reproduce the most common natural corrosion products that are formed on copper-based surfaces upon exposure to outdoor environment. In particular, three procedures for the realisation of cuprite, which is the first corrosion product formed upon reaction of the metallic surface with the atmosphere were adopted. Moreover, three patination procedures for the realisation of atacamite, formed in chlorides-rich environments, were performed. One among such procedures, in particular, was aimed at realising a sulphates and chlorides rich patina, to reproduce the corrosion layers that naturally form in very polluted and aggressive conditions, in order to re-create a “worst case scenario” with very aggressive and unstable corrosion layers, reproducing condition quite similar to those of the so called “bronze disease” []. In addition, one brochantite patina was realised since sulphate-based compounds are the most common corrosion products in urban environment. Finally, a nitrate-based patina was produced since gerhardite and rouaite were sometimes identified among natural corrosion products of copper-based surfaces exposed to atmospheric corrosion.
The patination procedures were selected among those proposed in the literature for the reproduction of natural corrosion layers, or for the realisation of artificial patinas and, when necessary, adapted or modified for the specific purposes of this work. In total, seven different patinas were produced, as resumed in Table 2.

Table 2.
Procedures for the realisation of laboratory artificial patinas.
All the laboratory patinas were realised on copper specimens (Copper 99.9%) with dimensions of about 5 cm x 5 cm and thickness of 400 μm. All the specimens’ surfaces were degreased with ethanol prior to the patination. Moreover, copper specimens were roughened with fine grain sandpaper to promote a better adhesion of the artificial corrosion layer.
2.3. Characterisation Techniques
In order to obtain information on the morphology and aspect of natural or artificial corrosion layers samples and specimens were observed by means of a Leica M205C stereomicroscope equipped with a Leica DFC 290 camera (Leica Microsystems, Buccinasco, Italy).
Laboratory Fourier Transform Infrared Spectroscopy (FTIR) were performed by means of a Thermo Nicolet 6700 spectrophotometer (Thermo Fisher Scientific, Waltham, MA, USA), to investigate the chemical composition of the patinas. Moreover, when a more punctual investigation was needed, micro-FTIR (μ-FTIR) analysis were performed by means of a Thermo Nicolet Continuum FTIR microscope (Thermo Fisher Scientific, Waltham, MA, USA) coupled with a MCT detector operating in the spectral range between 4000 and 600 cm−1. In this case, the samples were pressed in a diamond cell with a 100 μm opening. All the other samples and specimens, then, were investigated in macro Attenuated Total Reflectance (ATR) mode by means of the Thermo “Smart iTX Accessory” (Thermo Fisher Scientific, Waltham, MA, USA), equipped with a diamond window. A DTGS detector with a detection range between 4000 and 400 cm−1 was employed.
XRD analyses were carried out by means of an X-ray diffractometer Philips PW1830 (Philips, Amsterdam, Netherlands), Bragg-Brentano, thin film geometry, and copper anticathode (Kα1 radiation with wavelength λ = 154,058 Ǻ).
Bronze specimens with artistic artificial patinas were investigated also by means of Voltammetry of Immobilised Micro-Particles (VIMP) during a previous work [].
Linear Polarisation Resistance (LPR) and Electrochemical Impedance Spectroscopy (EIS) were performed on all the studied surfaces with a portable potentiostat Ivium Technologies CompactStat with Ivium® software 4.993 (Ivium Technologies B.V., Eindhoven, Netherlands), employing a three electrodes configuration, employing the ContactProbe proposed by Letardi [], constituted by AISI316L stainless steel counter (CE) and pseudo-reference (RE) electrodes embedded in a PTFE case. With such setup, the constant presence of the electrolyte on the surface during the measurements is granted by using a sponge with long “tails” soaked in an electrolyte reservoir. For all measurements, an oligomineral water with pH around 8 and conductivity around 200 μS/cm was used as electrolyte. The use of mineral water for this aim was proposed in the literature as a good alternative to the traditionally used salt solutions for the measurements on artistic surfaces. In fact, it is characterized by a good conductivity, and guarantees at the same time the lowest invasiveness with respect to the analysed surface.
LPR measurements were performed after 10 min of monitoring time (MT) of the open circuit potential (OCP). The potential was then varied of ±10 mV with respect to the measured Ecorr, with a scan rate of 10 mV/min. EIS measurements were performed after 5 min of monitoring time (MT) and 5 min of stabilization of the surfaces through the application of few nA currents. The following setup was adopted: frequency range between 100 kHz and 10 mHz with ±10 mV with respect to Ecorr.
Starting from LPR and EIS results, polarization resistance (Rp) values were calculated. It can be calculated considering the slope of the line resulting from LPR, or it can be calculated as the difference in the impedance modulus |Z| at high and low frequencies [,]. Such value is inversely correlated to the corrosion resistance of the analysed surface.
3. Results and Discussion
3.1. Artistic Patinas on Bronze Specimens
In Figure 2, stereomicroscopy images of the artistic patinas are reported. From a morphological point of view, it can be observed that all the studied patinas present quite homogeneous surfaces. In addition, from the aesthetical point of view, the microscopic observations suggest a good uniformity in terms of colour and appearance of the surfaces. In few cases (Figure 2b,e), the traces of brush strokes are still visible due to the application of chemicals by brush, for their realisation.

Figure 2.
Images recorded by stereomicroscopy on surfaces of bronze specimens with artistic patinas. (a) Red 103—Rosso fiorentino; (b) Green 201—Verde Messina; (c) Green 206—Enamel green; (d) Blue 502—Blu notte; (e) Black 605—Medium black; (f) Grey 802—Silver grey.
In Figure 3 the FTIR spectra of the red patina 103, green patinas 201 and 206 and of the blue patina 502 are reported. These spectra are quite similar; this is probably due to the employment of copper nitrate for the production of these patinas (Table 1). In particular, the main characteristic peaks of copper nitrate hydrated (Cu2(NO3)(OH)3) can be observed at 3541 cm−1, 3420 cm−1, 1420 cm−1, 1340 cm−1, 1046 cm−1, 880 cm−1, 665 cm−1, and 507 cm−1. Such peaks could be attributed both to gerhardtite [] and to rouaite [], two polymorphs of basic copper nitrate. Moreover, the peaks at 1300 cm−1 and 760 cm−1 could be attributed, thanks to the comparison with a reference spectrum, to the presence of unreacted copper nitrate hydrated. As concerns the blue patina 502, in addition, the peaks at 3040 cm−1, 1597 cm−1, 1495 cm−1, 1188 cm−1 and 1156 cm−1 can be ascribable to the presence of methylene blue on the surface [], employed according to the foundry recipe to obtain such an intense blue hue. XRD analysis confirmed the presence of basic copper nitrates as main compounds, identified specifically as rouaite in case of green 201 and blue 502 (Figure 4). In addition, on patina red 103 hematite, employed in the patination procedure to obtain a bright red colour, have been clearly identified.

Figure 3.
FTIR spectra of artistic artificial patinas produced by Fonderia Artistica Battaglia (G = gerhardtite; R = rouaite; MB = methylene blue; N = copper nitrate hydrate).

Figure 4.
XRD spectra of four representative artistic artificial patinas produced by Fonderia artistica Battaglia (N = copper nitrate hydroxide; C = cuprite; H = hematite; R = rouaite; G = gerhardtite; T = tin dioxide; CH = chalcocite).
FTIR spectra of black 605 and grey 802 patinas, instead, did not show the presence of any characteristic peak. For such patinas, XRD analysis (Table 3 and Figure 4) revealed the presence of tin dioxide (Sn2O) and chalcocite (Cu2S). The former is probably due to the oxidation of tin present in the bronze alloy, whilst chalcocite is probably the result of the reaction of copper with the ammonium sulphide employed for the patination. For grey 802 patina, instead, cuprite (Cu2O), copper nitride (Cu3N) and copper nitrate hydroxide (Cu2(NO3)(OH)3) were detected by XRD. Cuprite may be the result of the oxidation of the surface caused by its heating and by the presence of corrosive substances, whilst copper nitride and copper nitrate hydrated are probably the result of the reaction of copper with silver nitrate.

Table 3.
Mineralogical composition of artistic artificial patinas assessed by means of XRD.
The artistic patinas were also investigated by means of VIMP during a previous work [], results were in quite good agreement with FTIR and XRD results.
Electrochemical Characterisation
The Rp values obtained by LPR and EIS measurements are reported in Figure 5. It can be observed that all the artificial patinas showed a significantly lower corrosion resistance with respect to the not patinated bronze. Moreover, such Rp values are lower also with respect to those measured on natural corrosion layers formed upon atmospheric corrosion in non-marine outdoor environment. In such cases, in fact, Rp values that normally range between 2 and 20 Ω·m2 [,,,,,,]. In particular, patina black 605, constituted by Cu2S and SnO2 resulted the most stable from the corrosion point of view, showing the highest Rp values while all the nitrate-based patinas showed Rp lower than 1 Ω·m2. Concerning the not patinated specimens, XRD analysis did not provide relevant information regarding the composition of the very thin corrosion layer present over the surface. Based on the literature [,,,], it can be assumed that such tiny corrosion layer was mainly constituted by cuprite (Cu2O), that is reported as the first corrosion product that is formed on bronzes [,,,].

Figure 5.
Polarization resistance values measured by LPR and EIS on artistic artificial patinas on bronze.
Such data suggest thus that these artistic patinas do not seem to provide any protection to the substrate leading instead to an increase in the reactivity of the metallic surfaces and a consequent decrease in the corrosion resistance of the patinated surfaces. This, in turn, confirms the fundamental need of developing and setting up optimal procedures for the preservation of this kind of surface finishing. Their presence appears in fact as potentially critical for the conservation of the metallic substrate as they apparently could promote an increase in the corrosion rate of the surfaces. This is in agreement with the literature data indicating that freshly patinated bronze surfaces exhibit low corrosion resistance [], that gradually improves over time, when exposed to humid conditions, since it slowly converts to a “natural” patina []. Nevertheless, artistic patinas have an important aesthetical and artistic value, and it would be important to find procedures for their preservation and stabilisation.
3.2. Laboratory Artificial Patinas on Copper Specimens
The chemical procedures employed for the realisation of the laboratory artificial patinas were selected to reproduce the most common natural corrosion products that are formed on copper-based surfaces upon exposure to outdoor environment.
Concerning the Cuprite patinas, three different patination procedures were adopted for the production of cuprite patinas. These were immersion in a “boiling” solution of CuSO4·5H2O, Cu(CH3COO)2 NaCl and KNO3 [], or by wet and dry cycles in artificial seawater and in deionised water to promote the oxidation of the surfaces.
Concerning the “boiling solution” cuprite, it appears “reddish”, uniform, and homogeneous from a macroscopic point of view, and looks well adherent to the metallic substrate (Figure 6a). The specimens that underwent wet and dry cycles in deionised water, instead, showed the formation of a dark and compact brown patina (Figure 6b), with an aspect quite similar to the one observed also for naturally formed cuprite. However, such corrosion layer appeared scarcely uniform, and several areas of the specimens still showed the shiny surface of the copper substrate. This is particularly evident when observing the specimens in stereomicroscopy (Figure 7a).

Figure 6.
Pictures of copper specimens with cuprite patina produced by: (a) immersion in “boiling solution”; (b) wet and dry cycles in deionised water; (c) wet and dry cycles in artificial seawater.

Figure 7.
Stereomicroscopy image of specimen with cuprite patina obtained (a) by wet and dry cycles in deionised water, (b) by wet and dry cycles in artificial seawater.
The copper specimens that underwent wet and dry cycles in artificial seawater (3.5% NaCl in water), instead, appear completely covered by a dark brown-reddish layer, which appears macroscopically uniform and well adherent to the substrate. However, if such specimens are observed by stereomicroscopy (Figure 7b), the presence of small greenish crystals can be observed. In this case, however, such patination procedure appeared quite aggressive, causing a thickness loss of the patinated surfaces significantly higher compared to the other two procedures described for the realisation of cuprite.
The compositional characterisation by means of FTIR spectroscopy confirmed the presence of cuprite, which characteristic peak is visible around 600 cm−1, on all the specimens previously described []. In particular, cuprite was the only compound detected on specimens patinated by immersion in “boiling solution” and on those immersed in deionised water. On the specimens patinated with artificial seawater, instead, the main peaks of paratacamite are also visible at 3445 cm−1, 3355 cm−1 and 3305 cm−1 [,]. The presence of such compound, due to the employment of NaCl in the patination solution, was already suggested by the presence of the green crystals observed by stereomicroscopy.
3.2.1. Chloride Rich Patinas
Atacamite-based patinas were also realised following three different recipes. In one case the copper specimens underwent wet and dry cycles in a 0.25 M solution of CuCl2 [,]. In the other cases, instead, the “applied paste” method was adopted [,]: two mixture of salts, one rich in copper chlorides and the other rich in copper chlorides and sulphates, were properly diluted in water to obtain a sort of paste, that was applied on the copper surfaces by brush. For these latter patinas, preliminary tests were performed to identify the optimal number of layers of paste to be applied to obtain a uniform and adherent corrosion layer. In both cases, 2, 4, 6 and 8 layers were considered for the realisation of both “applied paste” patinas. The artificial corrosion layers produced with both the “applied paste” recipes showed all a quite uniform aspect, both from the macroscopic (Figure 8a and Figure 9a) and microscopic (Figure 8b and Figure 9b) point of view, regardless the number of layers applied. Nevertheless, as expected, the homogeneity and the thickness of the patinas apparently was improved by applying more layers. However, in all cases, the patinas appeared powdery regardless the number of layers, and they showed a more pronounced tendency to detach from the substrate as the number of applied layers increased. The optimal number of applied layers was identified in eight layers for the patina with only chlorides, and in six layers for the patina containing both chlorides and sulphates.

Figure 8.
Patina obtained by “applied paste” method, with chloride rich paste applied in 6 layers: (a) picture of a specimen and (b) stereomicroscopy observation.

Figure 9.
Atacamite patina obtained by “applied paste” method, with chloride and sulphates rich paste: (a) picture of a specimen and (b) stereomicroscopy observation.
FTIR analysis allowed detecting the main peaks of atacamite at high wavenumbers (3445 cm−1, 3340 cm−1) on all the specimens patinated by “applied paste” method (Figure 10 and Figure 11). In the case of the “applied paste”, patina containing both chlorides and sulphates, the peaks ascribable to the presence of CuSO4·5H2O, one of the chemicals employed for the patination, are still clearly visible (Figure 11). As it can be observed in Figure 11, the intensity of the atacamite peaks increases as the number of paste layers increases, while the signals of copper sulphate pentahydrate decrease.

Figure 10.
FTIR spectra of atacamite patina produced by the “applied paste” method, with chloride rich paste (Cl) applied 8 times, and with a reference spectrum of atacamite.

Figure 11.
FTIR spectra of atacamite patina produced by the “applied paste” method, with chloride and sulphate rich paste (Cl and SO4) applied 6 times, and with reference spectra of atacamite and copper sulphate hydrate.
Also, the atacamite-based patina produced by wet and dry cycles in a CuCl2 solution was characterised by a uniform appearance. On a microscopic scale, the presence of large crystals, probably constituted by atacamite, is clearly visible. Underneath them, a light green and apparently more compact layer is visible. Such observation basically confirm that this patination procedure allows obtaining a quite uniform distribution of the patina on the metallic substrate. This patination, however, resulted very aggressive, as it caused severe thinning of the sample. From a compositional point of view, in this case, the presence of atacamite is confirmed, and it is the only compound detected by FTIR (Figure 12) with a very good correspondence between spectrum of the realised patina and the atacamite reference one.

Figure 12.
FTIR spectrum of atacamite patina produced by wet and dry cycles in 0.25 M CuCl2 solution, with a reference spectrum of atacamite.
3.2.2. Brochantite
For the realisation via chemical procedure of brochantite patina, copper specimens underwent wet and dry cycles in a 50 mM CuSO4 solution after having been immersed in a boiling 17 mM solution of CuSO4 []. The realised patina shows the black and dark green colour typical of the brochantite formed upon natural exposure of copper surfaces in urban environment. Moreover, it appears quite homogeneous and adherent to the metallic substrate (Figure 13a). By observing the patinated surfaces microscopically, then, green crystals, characterised by small and uniform dimensions are clearly visible. As the chemical composition of the patina is considered, in Figure 14 it can be observed that FTIR spectrum recorded on the artificial corrosion layer shows a very good correspondence with the brochantite reference spectrum. It has to be underlined that in the literature it has been evidenced that obtaining an artificial brochantite patina via chemical patination could present some difficulties [,]. In many cases, in fact, it is obtained by artificial ageing of copper-based specimens [,]. Therefore, the results described here appear important as suggest that the proposed patination procedure is particularly effective for the production of brochantite in quite short time.

Figure 13.
Brochantite patina: (a) picture of a specimen and (b) stereomicroscopy observation.

Figure 14.
FTIR spectrum of brochantite patina, with a reference spectrum of brochantite.
3.2.3. Gerhardtite
For the production of the nitrate-based patina, the recipe proposed by Ilcheva et al. [] were slightly modified, for example copper specimens underwent wet and dry cycles in 116 g/L solution of Cu(NO3)2·2.5 H2O. The patina thus produced appears scarcely homogeneous from the colour point of view (Figure 15a). From the microscopic observations, in fact, the not homogeneous presence of light blue- greenish crystals on a darker compact layer is clearly visible. Despite this, however, the patina appears quite compact and adherent to the substrate. The chemical composition also appeared almost constant over the entire surface of the samples. Also in this case, as for the artistic patinas red 103, green 201, green 206 and blue 502 described in paragraph 3.1, nitrate-based corrosion products were identified by means of FTIR analysis (Figure 16). In particular, the signals of basic copper hydroxides polymorphs gerhardtite or rouaite were identified at 3540 cm−1, 3405 cm−1, 1147 cm−1, 1348 cm−1, 1046 cm−1, 874 cm−1, 669 cm−1 and 503 cm−1 [], along with the signals at 1300 cm−1 and 772 cm−1 ascribable to the presence of non-reacted copper nitrate hydrate.

Figure 15.
Nitrate-based patina (a) picture of a specimen and (b) stereomicroscopy observation.

Figure 16.
FTIR spectrum of nitrates-based patina. G = gerhardtite, N = Copper nitrate hydrate, R = rouaite.
3.2.4. Electrochemical Characterisation
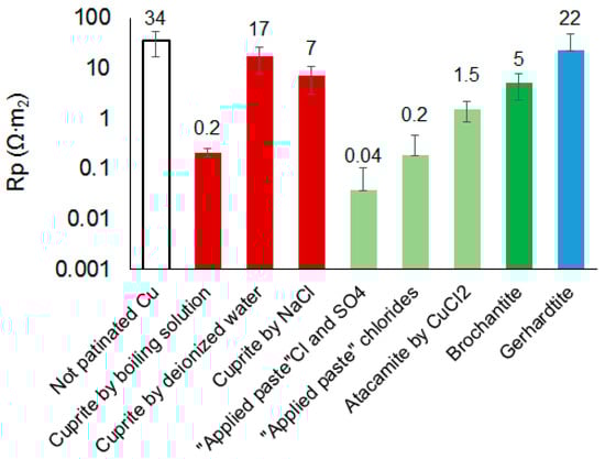
The corrosion behaviour of the specimens with the laboratory patinas so far described was evaluated by means of LPR and EIS measurement, from which Rp values were obtained (Figure 17). Bode and Nyquist plots of selectedcuprite patinas are reported in Figure 18. Rp values calculated for all kind of laboratory patinas are summarised in Figure 17. As it can be observed, when cuprite patinas are considered, the one obtained by “boiling solution” procedure shows a significantly lower Rp value with respect to the one of not patinated copper and to those typically measured on natural patinas that normally range between 2 and 20 Ω·m2 [,,,,,,]. Cuprite patinas realised by means of wet and dry cycles in deionised water or artificial seawater allowed instead the development of less reactive surface layers. In particular, the patina formed in deionised water plays a quite protective role with respect to the metallic substrate, while the cuprite formed in artificial seawater showed Rp values more similar to those measured on non-protected natural patinas. Such results clearly suggest that the composition of corrosion layer is not the unique or main factor that influences the corrosion behaviour of the specimens. In terms of composition, the cuprite formed in artificial seawater could have showed the lowest Rp value due to the presence of a little amount of chloride on its surface, compared to the boiling one that is constituted by pure cuprite. In addition, the two “pure cuprite” patinas showed a significantly different value of Rp.

Figure 17.
Rp values obtained by LPR and EIS measurements on laboratory artificial patinas.

Figure 18.
(a) Bode and (b) Nyquist plots of cuprite patinas.
As regards atacamite-based patinas, different corrosion behaviours have been observed. Both the “applied paste” patinas showed quite low Rp values, suggesting a high reactivity of the patinated surfaces. In particular, the “applied paste” containing only chloride-based compounds, was characterised by a Rp value 2 order of magnitude lower with respect to the not patinated copper. Such decrease in the surface corrosion resistance is even more pronounced for the sulphate containing “applied paste” patina, which Rp is four orders of magnitude lower with respect to bare copper. A higher stability was instead shown by the atacamite patina realised by wet and dry cycles in CuCl2 solution, which Rp value is comparable to the one measured on natural patinas developed in presence of chlorides []. Concerning brochantite laboratory patina, an Rp value perfectly comparable to those measured on copper-based surfaces with natural patinas formed in urban environment was measured, confirming the suitability of such procedure for the reliable reproduction of natural brochantite patina on laboratory specimens. Eventually, gerhardtite showed a quite high stability, with a measured Rp of 22 Ω·m2, that is even higher than the Rp typically measured on naturally aged surfaces.
4. Conclusions
The aim of the present work was the production, study and characterisation of artificial patinas. In particular, both artistic and laboratory patinas for the reproduction of natural corrosion layers were considered.
The morphological, compositional and electrochemical characterisation of the artistic artificial patinas allowed obtaining a better knowledge of these artistic finishing layers. FTIR analyses evidenced the presence of copper nitrate hydrated (Cu2(NO3)(OH)3) on most patinas probably due to the employment of copper nitrate for their production. LPR and EIS analysis have pointed out the low protection provided by such artistic artificial corrosion layers, which may even accelerate the corrosion of the underlying metallic substrate if compared to unpatinated surfaces. The most protective one is the black—605, constituted by tin dioxide (SnO2) and Chalcocite (Cu2S). These results evidence the need for specific and dedicated conservation strategies for artistic patinas, which must be preserved since they must be considered as integrating parts of the artworks.
As regards laboratory patinas, a series of chemical recipes were tested and optimised for the reproduction of the most common natural corrosion products. The patination procedures, selected from the literature and adapted for the realisation of laboratory patinas on copper specimens, resulted to be effective for the realisation of the main corrosion products typically formed on copper-based surfaces upon atmospheric corrosion. Cuprite, atacamite, brochantite and gerhardtite were successfully produced on copper surfaces, obtaining artificial corrosion products with colour, chemical composition and, in some cases, electrochemical behaviour comparable with natural patinas. From an electrochemical point of view, in particular, quite different electrochemical behaviours were observed on artificial corrosion layers with the same chemical composition. For example, cuprite patinas obtained by boiling solution has a Rp of more than one order of magnitude lower than the cuprite patinas obtained by deionized water and NaCl solution. It can be then concluded that the composition alone of corrosion layers is not sufficient to define the effect that a patina may have on the corrosion behaviour of the underlying material. Therefore, other characteristics of the patinas (e.g., adhesion to the substrate, porosity or roughness) should be further investigated in order to understand their effects on the corrosion behaviour of the alloy.
The patinas containing chlorides, as expected, showed lower Rp values. In addition, interestingly, the highest Rp values were recorded for gerhardite patina, which resulted then the most protective among the realised patinas. Such procedure allows then to obtain a more stable patina compared to the one used for the artistic patinas red 103, green 201, green 206 and blue 502. However, the procedure is more time consuming compared to the artistic ones and the obtained colour is less uniform.
Author Contributions
Conceptualization, C.P. and S.G.; methodology, C.P. and S.G.; investigation, C.P. and S.G; resources, S.G.; data curation, C.P. and S.G; writing—original draft preparation, C.P. and S.G.; writing—review and editing, L.B, S.G. and L.T.; visualization, C.P. and L.B.; supervision, S.G. and L.T. All authors have read and agreed to the published version of the manuscript.
Funding
This research received no external funding.
Institutional Review Board Statement
Not applicable.
Informed Consent Statement
Not applicable.
Data Availability Statement
Not applicable.
Acknowledgments
We are sincerely grateful to Bruna Mariani for all the support for the realization for the artistic patinas: her memory, her enthusiasm will always be in our hearts. We are also grateful to Carla Carossino and Buvanesh Elanchezian for their contribution to the realization of laboratory patinas.
Conflicts of Interest
The authors declare no conflict of interest.
References
- Knotkova, D.; Kreislova, K. Atmospheric corrosion and conservation of copper and bronze. In Environmental Deterioration of Materials—WIT Transactions on State of the Art in Science and Engineering; WIT Press: Southampton, UK, 2007; Volume 28. [Google Scholar]
- Scott, D.A. Copper and Bronze in Art: Corrosion, Colorants, Conservation; Getty Trust Publications: Los Angeles, CA, USA, 2002. [Google Scholar]
- Lins, A.; Power, T. The Corrosion of Bronze Monuments in Polluted Urban Sites: A Report on the Stability of Copper Mineral Species at Different pH Levels. In Ancient and Historic Metals. Conservation and Scientific Research; Scott, D.A., Podany, J., Considine, B.B., Eds.; The Getty Trust: Los Angeles, CA, USA, 1994. [Google Scholar]
- de Oliveira, F.J.R.; Lago, D.C.B.; Senna, L.F.; de Miranda, L.R.M.; D’Elia, E. Study of patina formation on bronze specimens. Mater. Chem. Phys. 2009, 115, 761–770. [Google Scholar] [CrossRef]
- Stöckle, B.; Krätschmer, A.; Mach, M.; Snethlage, R. Report No. 23 UN/ECE—Corrosion Attack on Copper and Cast Bronze. Evaluation after 8 Years of Exposure; Bavarian State Conservation Office: Bamberg, Germany, 1998. [Google Scholar]
- BS EN ISO 9223:2012; Corrosion of Metals and Alloys—Corrosivity of Atmospheres—Classification, Determination and Estimation. ISO: Geneva, Switzerland, 2012.
- Chiavari, C.; Rahmouni, K.; Takenouti, H.; Joiret, S.; Vermaut, P.; Robbiola, L. Composition and electrochemical properties of natural patinas of outdoor bronze monuments. Electrochim. Acta 2007, 52, 7760–7769. [Google Scholar] [CrossRef]
- Chang, T.; Herting, G.; Goidanich, S.; Sánchez Amaya, J.M.; Arenas, M.A.; Le Bozec, N.; Jin, Y.; Leygraf, C.; Odnevall Wallinder, I. The role of Sn on the long-term atmospheric corrosion of binary Cu-Sn bronze alloys in architecture. Corros. Sci. 2019, 149, 54–67. [Google Scholar] [CrossRef]
- Kleber, C.; Rosner, M.; Hutter, H.; Schreiner, M. Influence of increasing zinc contents in brass in the early stages of corrosion investigated by in-situ TM-AFM and SIMS. Anal. Bioanalitical Chem. 2002, 374, 338–343. [Google Scholar] [CrossRef] [PubMed]
- Leygraf, C.; Odnevall Wallinder, I.; Tidblad, J.; Graedel, T.E. Atmospheric Corrosion, 2nd ed.; John Wiley & Sons: Hoboken, NJ, USA, 2016. [Google Scholar]
- FitzGerald, K.P.; Nairn, J.; Skennerton, G.; Atrens, A. Atmospheric corrosion of copper and the colour, structure and composition of natural patinas on copper. Corros. Sci. 2006, 48, 2480–2509. [Google Scholar] [CrossRef]
- Leygraf, C.; Chang, T.; Herting, G.; Odnevall Wallinder, I. The Origin and Evolution of Copper Patina Colour. Corros. Sci. 2019, 157, 337–346. [Google Scholar] [CrossRef]
- Strandberg, H.; Johansson, L.G. The Formation of Black Patina on Copper in Humid Air Containing Traces of SO2. J. Electrochem. Soc. 1997, 144, 81. [Google Scholar] [CrossRef]
- Bastidas, D.M.; Criado, M.; Fajardo, S.; La Iglesia, V.M.; Cano, E.; Bastidas, J.M. Copper deterioration: Causes, diagnosis and risk minimisation. Int. Mater. Rev. 2013, 55, 99–127. [Google Scholar] [CrossRef]
- Graedel, T.E.; Nassau, K.; Franey, J.P. Copper patinas formed in the atmosphere—Part I. Introduction. Corros. Sci. 1987, 27, 639–657. [Google Scholar] [CrossRef]
- Krätschmer, A.; Stöckle, B. Report n32 UN-ECE—Results from XRD Analysis of Copper Corrosion Products; Bavarian State Conservation Office: Bamberg, Germany, 1998. [Google Scholar]
- Krätschmer, A.; Odnevall Wallinder, I.; Leygraf, C. The evolution of outdoor copper patina. Corros. Sci. 2002, 44, 425–450. [Google Scholar] [CrossRef]
- Graedel, T.E. Copper patinas formed in the atmosphere—Part II. Corros. Sci. 1987, 27, 721–740. [Google Scholar] [CrossRef]
- Chang, T.; Odnevall Wallinder, I.; de la Fuente, D.; Chico, B.; Morcillo, M.; Welter, J.M.; Leygraf, C. Analysis of Historic Copper Patinas. Influence of Inclusions on Patina Uniformity. Materials 2017, 10, 298. [Google Scholar] [CrossRef] [PubMed]
- Pollard, A.; Thomas, R.G.; Williams, P.A. The Stabilities of Antlerite and Cu3SO4(OH)4·2H2O: Their Formation and Relationships to Other Copper(II)Sulfate Minerals. Mineral. Mag. 1992, 56, 359–365. [Google Scholar] [CrossRef]
- Cicileo, G.P.; Crespo, M.A.; Rosales, B.M. Comparative study of patinas formed on statuary alloys by means of electrochemical and surface analysis techniques. Corros. Sci. 2004, 46, 929–953. [Google Scholar] [CrossRef]
- Biestek, T.; Drys, M. Corrosion Products Formed on Copper in Natural Corrosion Environment. Powloki Ochr. 1974, 2, 21–24. [Google Scholar]
- Arceo-Gómez, D.E.; Reyes-Trujeque, J.; Zambrano-Rengel, G.E.; Pérez-López, T.; Orozco-Cruz, R. Electrochemical Characterization of Patinas Formed on a Historic Bell from the Cathedral Museum of Campeche-México, World Heritage Site. Int. J. Electrochem. Sci. 2016, 11, 9379–9393. [Google Scholar] [CrossRef]
- Catelli, E.; Sciutto, G.; Prati, S.; Jia, Y.; Rocco, M. Characterization of outdoor bronze monument patinas: The potentialities of near-infrared spectroscopic analysis. Environ. Sci. Pollut. Res. 2018, 25, 24379–24393. [Google Scholar] [CrossRef]
- Guadagnini, L.; Chiavari, C.; Martini, C.; Bernardi, E.; Morselli, L.; Tonelli, D. The use of scanning electrochemical microscopy for the characterisation of patinas on copper alloys. Electrochim. Acta 2011, 56, 6598–6606. [Google Scholar] [CrossRef]
- Hayez, V. Use of Micro-Raman Spectroscopy for the Study of the Atmospheric Corrosion of Copper Alloys of Cultural Heritage; Virije Universitetit: Brussel, Belgium, 2006. [Google Scholar]
- Hosseinpour, S.; Johnson, M. Vibrational Spectroscopy in Studies of Atmospheric Corrosion. Materials 2017, 10, 413. [Google Scholar] [CrossRef]
- Robbiola, L.; Fiaud, C.; Harch, A. Characterisation of Passive Layers of Bronze Patinas (Cu-Sn Alloys) in Relation with the Tin Content of the Alloy. Eur. Fed. Corros. Pub. 1994, 12, 150–154. [Google Scholar]
- Satovic, D.; Martinez, S.; Bobrowski, A. Electrochemical identification of corrosion products on historical and archaeological bronzes using the voltammetry of micro-particles attached to a carbon paste electrode. Talanta 2010, 81, 1760–1765. [Google Scholar] [CrossRef] [PubMed]
- Goidanich, S.; Brunk, J.; Herting, G.; Arenas, M.A.; Wallinder, I.O. Atmospheric corrosion of brass in outdoor applications: Patina evolution, metal release and aesthetic appearance at urban exposure conditions. Sci. Total Environ. 2011, 412–413, 46–57. [Google Scholar] [CrossRef] [PubMed]
- Domenech, A.; Domenech-Carbo, M.T.; Martinez-Lazaro, I. Layer-by-layer identification of copper alteration products in metallic works of art using the voltammetry of microparticles. Anal. Chim. Acta 2010, 680, 1–9. [Google Scholar] [CrossRef] [PubMed]
- Dinnappa, R.K.; Mayanna, S.M. The Dezincification of Brass and Its Inhibition in Acidic Chloride and Sulphate Solutions. Corros. Sci. 1987, 27, 349–361. [Google Scholar] [CrossRef]
- Morcillo, M.; Chang, T.; Chico, B.; de la Fuente, D.; Odnevall Wallinder, I.; Jiménez, J.A.; Leygraf, C. Characterisation of a centuries-old patinated copper roof tile from Queen Anne’s Summer Palace in Prague. Mater. Charact. 2017, 133, 146–155. [Google Scholar] [CrossRef]
- Tidblad, J.; Kucera, V.; Ferm, M.; Kreislova, K.; Bruggerhoff, S.; Doytchinov, S.; Screpanti, A.; Grøntoft, T.; Yates, T.; de la Fuente, D.; et al. Effects of Air Pollution on Materials and Cultural Heritage: ICP Materials Celebrates 25 Years of Research. Int. J. Corros. 2012, 2012, 496321. [Google Scholar] [CrossRef]
- Di Turo, F.; Montoya, N.; Piquero-Cilla, J.; De Vito, C.; Coletti, F.; Favero, G.; Doménech-Carbó, A. Archaeometric analysis of Roman bronze coins from the Magna Mater temple using solid-state voltammetry and electrochemical impedance spectroscopy. Anal. Chim. Acta 2017, 955, 36–47. [Google Scholar] [CrossRef]
- Giovannelli, G.; D’Urzo, L.; Maggiulli, G.; Natali, S.; Pagliara, C.; Sgura, I.; Bozzini, B. Cathodic chloride extraction treatment of a late bronze-age artifact affected by bronze disease in room-temperature ionic-liquid 1-ethyl-3-methylimidazolium bis(trifluoromethanesulfonyl)imide (EMI-TFSI). J. Solid State Electrochem. 2009, 14, 479. [Google Scholar] [CrossRef]
- Bozzini, B.; Belén, A.; Amati, M.; Boniardi, M.; Vincenzo, C.; Giovannelli, G.; Gregoratti, L.; Abyaneh, M.K. Novel insight into bronze disease gained by synchrotron-based photoelectron spectro microscopy, in support of electrochemical treatment strategies. Stud. Conserv. 2017, 62, 465–473. [Google Scholar] [CrossRef]
- Scott, D.A. Bronze Disease: A Review of Some Chemical Problems and the Role of Relative Humidity. J. Am. Inst. Conserv. 1990, 29, 193–206. [Google Scholar] [CrossRef]
- Faraldi, F.; Cortese, B.; Caschera, D.; Di Carlo, G.; Riccucci, C.; de Caro, T.; Ingo, G.M. Smart conservation methodology for the preservation of copper-based objects against the hazardous corrosion. Thin Solid Film 2017, 622, 130–135. [Google Scholar] [CrossRef]
- Hayez, V.; Segato, T.; Hubin, A.; Terryn, H. Study of copper nitrate-based patinas. J. Raman Spectrosc. 2006, 37, 1211–1220. [Google Scholar] [CrossRef]
- Cosano, D.; Esquivel, D.; Mateos, L.D.; Quesada, F.; Jiménez-Sanchidrián, C.; Ruiz, J.R. Spectroscopic analysis of corrosion products in a bronze cauldron from the Late Iberian Iron Age. Spectrochim. Acta Part A Mol. Biomol. Spectrosc. 2018, 205, 489–496. [Google Scholar] [CrossRef] [PubMed]
- Garbassi, F.; Mello, E. Surface Spectroscopic Studies on Patinas of Ancient Metal Objects. Stud. Conserv. 1984, 29, 172–180. [Google Scholar] [CrossRef]
- Tétreault, J.; Cano, E.; van Bommel, M.; Scott, D.; Dennis, M.; Barthés-Labrousse, M.-G.; Minel, L.; Robbiola, L. Corrosion of Copper and Lead by Formaldehyde, Formic and Acetic Acid Vapours. Stud. Conserv. 2003, 48, 237–250. [Google Scholar] [CrossRef]
- Born, H. Patinated and Painted Bronzes: Exotic Technique or Ancient Tradition? In Small Bronze Sculpture from the Ancient World; True, M., Podany, J., Eds.; The Getty Museum: Malibu, CA, USA, 1990. [Google Scholar]
- Franke, W.A.; Mircea, M. Plutarch’s Report on the Blue Patina of Bronze Statues at Delphi: A Scientific Explanation. J. Am. Inst. Conserv. 2005, 44, 103–116. [Google Scholar] [CrossRef]
- La Niece, S.; Craddock, P.T. Metal Plating and Patination: Cultural, Technical, and Historical Developments; Butterworth-Heinemann: Oxford, UK; Boston, MA, USA, 1993. [Google Scholar]
- Hayez, V.; Costa, V.; Guillaume, J.; Terryn, H.; Hubin, A. Micro Raman spectroscopy used for the study of corrosion products on copper alloys: Study of the chemical composition of artificial patinas used for restoration purposes. Analyst 2005, 130, 550–556. [Google Scholar] [CrossRef]
- Aucouturier, M.; Mathis, F.; Robcis, D.; Castaing, J.; Salomon, J.; Pichon, L.; Delange, E.; Descamps, S. Intentional patina of metal archaeological artefacts: Non-destructive investigation of Egyptian and Roman museum treasures. Corros. Eng. Sci. Technol. 2013, 45, 314–321. [Google Scholar] [CrossRef]
- Cockrell, B. Colourful Corrosion: Black Bronze and its Enigmatic Patina. Pap. Inst. Archaeol. 2009, 19, 85–90. [Google Scholar] [CrossRef]
- Delange, E.; Meyohas, M.-E.; Aucouturier, M. The statue of Karomama, a testimony of the skill of Egyptian metallurgists in polychrome bronze statuary. J. Cult. Herit. 2005, 6, 99–113. [Google Scholar] [CrossRef]
- Hughes, R.; Rowe, M. The Colouring, Bronzing and Patination of Metals; Thames & Hudson: London, UK, 1997. [Google Scholar]
- Masi, G.; Josse, C.; Esvan, J.; Chiavari, C.; Bernardi, E.; Martini, C.; Bignozzi, M.C.; Monticelli, C.; Zanotto, F.; Balbo, A.; et al. Evaluation of the protectiveness of an organosilane coating on patinated Cu-Si-Mn bronze for contemporary art. Prog. Org. Coat. 2019, 127, 286–299. [Google Scholar] [CrossRef]
- Bongiorno, V.; Grosso, P.; Piccardo, P.; Magnani, L.G.; Carnasciali, M.M. Virtues of Giambologna from Grimaldi Chapel Archaeometric Characterisation Part II: ‘Artistic’ and Natural Patinas. JOM 2016, 68, 2222–2232. [Google Scholar] [CrossRef]
- Privitera, A.; Corbascio, A.; Calcani, G.; Della Ventura, G.; Ricci, M.A.; Sodo, A. Raman approach to the forensic study of bronze patinas. J. Archaeol. Sci. Rep. 2021, 39, 103115. [Google Scholar] [CrossRef]
- Bureš, R.; Rak, P.; Stoulil, J. Long-term outdoor exposure of artificial copper patina based on brochantite. Koroze Ochr. Mater. 2020, 64, 87–94. [Google Scholar] [CrossRef]
- Casanova Municchia, A.; Bellatreccia, F.; D’Ercoli, G.; Lo Mastro, S.; Reho, I.; Ricci, M.A.; Sodo, A. Characterisation of artificial patinas on bronze sculptures of the Carlo Bilotti Museum (Rome). Appl. Phys. A Mater. Sci. Process. 2016, 122, 79–86. [Google Scholar] [CrossRef]
- Craddock, P.T.; Giumlia-Mair, A. Hmty-km, Corinthian bronze, shakudo: Black-patinated bronze in the ancient world. In Metal Plating and Patination; La Niece, S., Craddock, P.T., Eds.; Butterworth-Heinemann Ltd.: London, UK, 1993; pp. 101–127. [Google Scholar] [CrossRef]
- Mathis, F.; Salomon, J.; Pages-Camagna, S.; Dubus, M.; Robcis, D.; Aucouturier, M.; Descamps, S.; Delange, E. Corrosion patina or intentional patina: Contribution of non-destructive analysis to the surface study of copper-based archaeological objects. Corros. Met. Herit. Artefacts 2013, 48, 219–238. [Google Scholar] [CrossRef]
- Bracci, S.; Cagnini, A.; Colombini, M.P.; Cuzman, O.A.; Fratini, F.; Galeotti, M.; Magrini, D.; Manganelli del Fà, R.; Porcinai, S.; Rescic, S.; et al. A multi-analytical approach to monitor three outdoor contemporary artworks at the Gori Collection (Fattoria di Celle, Santomato, Pistoia, Italy). Microchem. J. 2016, 124, 878–888. [Google Scholar] [CrossRef]
- Balta, I.Z.; Pederzoli, S.; Iacob, E.; Bersani, M. Dynamic secondary ion mass spectrometry and x-ray photoelectron spectroscopy on artistic bronze and copper artifcial patinas. Appl. Surf. Sci. 2009, 255, 6378–6385. [Google Scholar] [CrossRef]
- Bastidas, J.M.; Lopez-Delgado, A.; Lopez, F.A.; Alonso, M.P. Characterization of artificially patinated layers on artistic bronze exposed to laboratory SO2 contamination. J. Mater. Sci. 1997, 32, 129–133. [Google Scholar] [CrossRef]
- Kosec, T.; Škrlep, L.; Fabjan, Š.E.; Sever Škapin, A.; Masi, G.; Bernardi, E.; Chiavari, C.; Josse, C.; Esvan, J.; Robbiola, L. Development of multi-component fluoropolymer based coating on simulated outdoor patina on quaternary bronze. Prog. Org. Coat. 2019, 131, 27–35. [Google Scholar] [CrossRef]
- Kosec, T.; Novak, Ž.; Fabjan, E.Š.; Škrlep, L.; Finšgar, M. Exploring the protection mechanism of a combined fluoropolymer coating on sulphide patinated bronze. Prog. Org. Coat. 2022, 172, 107071. [Google Scholar] [CrossRef]
- Doménech-Carbó, A.; Ramírez-Barat, B.; Petiti, C.; Goidanich, S.; Doménech-Carbó, M.T.; Cano, E. Characterization of traditional artificial patinas on copper using the voltammetry of immobilized particles. J. Electroanal. Chem. 2020, 877, 114494. [Google Scholar] [CrossRef]
- Bendezù, R.d.P.; Gonçalves, R.P.; Neiva, A.C.; De Melo, H.G. EIS and Microstructural Characterization of Artificial Nitrate Patina Layers Produced at Room Temperature on Copper and Bronze. J. Braz. Chem. Soc. 2007, 18, 54–64. [Google Scholar] [CrossRef]
- Sabau Chelaru, J.D.; Muresan, L.; Filip Soporan, V.; Nemes, O.; Kolozsi, T. A Study on the Corrosion Resistance of Bronzes Covered with Artificial Patina. Int. J. Conserv. Sci. 2011, 2, 109–116. [Google Scholar]
- Otmačić Ćurković, H.; Kosec, T.; Marušić, K.; Legat, A. An electrochemical impedance study of the corrosion protection of artificially formed patinas on recent bronze. Electrochim. Acta 2012, 83, 28–39. [Google Scholar] [CrossRef]
- Aucouturier, M.; Keddam, M.; Robbiola, L.; Takenouti, H. Les patines des alliages de cuivre: Processus naturel ou oeuvre de l’homme? Techné 2003, 18, 86–94. [Google Scholar]
- Santana Rodriguez, J.J.; Santana Hernandez, F.J.; Gonzales Gonzales, J.E. The effect of environmental and meteorological variables on atmospheric corrosion of carbon steel, copper, zinc and aluminium in a limited geographic zone with different types of environment. Corros. Sci. 2003, 45, 799–815. [Google Scholar] [CrossRef]
- Bertling, S.; Odnevall Wallinder, I.; Bergen Kleja, D.; Leygraf, C. Long-Term Corrosion-Induced Copper Runoff From Natural And Artificial Patina And Its Environmental Impact. Environ. Toxicol. Chem. 2006, 25, 891–898. [Google Scholar] [CrossRef]
- Herting, G.; Goidanich, S.; Odnevall Wallinder, I.; Leygraf, C. Corrosion-induced release of Cu and Zn into rainwater from brass, bronze and their pure metals. A 2-year field study. Environ. Monit. Assess 2008, 144, 455–461. [Google Scholar] [CrossRef]
- Odnevall Wallinder, I.; Hedberg, Y.; Dromberg, P. Storm water runoff measurements of copper from a naturally patinated roof and from a parking space. Aspects on environmental fate and chemical speciation. Water Res. 2009, 43, 5031–5038. [Google Scholar] [CrossRef]
- Watanabe, M.; Toyoda, E.; Handa, T.; Ichino, T.; Kuwaki, N.; Higashi, Y.; Tanaka, T. Evolution of patinas on copper exposed in a suburban area. Corros. Sci. 2007, 49, 766–780. [Google Scholar] [CrossRef]
- Bartuli, C.; Cigna, R.; Fumei, O. Prediction of durability for outdoor exposed bronzes: Estimation of the corrosivity of the atmospheric environment of the Capitoline Hill in Rome. Stud. Conserv. 1999, 44, 245–252. [Google Scholar] [CrossRef]
- Letardi, P. Laboratory and Field Tests on Patinas and Protective Coating Systems for Outdoor Bronze Monuments. In Metal 04, Proceedings of the International Conference on Metals Conservation; Ashton, E.J., Hallam, D., Eds.; National Museum of Australia: Canberra, Australia, 2004; pp. 379–387. Available online: http://www.nma.gov.au/__data/assets/pdf_file/0005/346064/NMA_metals_s3_p12_patinas_protective_coating.pdf (accessed on 14 April 2023).
- Cicileo, G.P.; Gassa, L.M. In Situ Evaluation of the Protective State of Patinas Developed on Copper Alloys in Urban Environments. Procedia Mater. Sci. 2012, 1, 199–206. [Google Scholar] [CrossRef][Green Version]
- Brambilla, L. Multianalytical Approach for the Study of Bronze and Gilded Bronze Artefacts; University of Milan: Milan, Italy, 2010. [Google Scholar]
- Marušić, K.; Otmačić-Ćurković, H.; Horvat-Kurbegović, Š.; Takenouti, H.; Stupnišek-Lisac, E. Comparative studies of chemical and electrochemical preparation of artificial bronze patinas and their protection by corrosion inhibitor. Electrochim. Acta 2009, 54, 7106–7113. [Google Scholar] [CrossRef]
- Bostan, R.; Varvara, S.; Găină, L.; Petrisor, T.; Mureşan, L.M. Protective effect of inhibitor-containing nitrocellulose lacquer on artificially patinated bronze. Prog. Org. Coat. 2017, 111, 416–427. [Google Scholar] [CrossRef]
- Varvara, S.; Bostan, R.; Bobis, O.; Găină, L.; Popa, F.; Mena, V.; Souto, R.M. Propolis as a green corrosion inhibitor for bronze in weakly acidic solution. Appl. Surf. Sci. 2017, 426, 1100–1112. [Google Scholar] [CrossRef]
- He, W.; Odnevall Wallinder, I.; Leygraf, C. A Comparison Between Corrosion Rates And Runoff Rates Fromnew And Aged Copper and Zinc as Roofingmaterial. Water Air Soil Pollut. 2001, 1, 67–82. [Google Scholar] [CrossRef]
- Kosec, T.; Ćurković, H.O.; Legat, A. Investigation of the corrosion protection of chemically and electrochemically formed patinas on recent bronze. Electrochim. Acta 2010, 56, 722–731. [Google Scholar] [CrossRef]
- González-Parra, R.; Covelo, A.; Barba, A.; Hernández, M. Electrochemical Polarization as a Sustainable Method for the Formation of Bronze Patina Layers on a Quaternary Copper Alloy: Insight into Patina Morphology and Corrosion Behaviour. Sustainability 2023, 15, 1899. [Google Scholar] [CrossRef]
- Bureš, R.; Klajmon, M.; Fojt, J.; Rak, P.; Jílková, K.; Stoulil, J. Artificial patination of copper and copper alloys in wet atmosphere with increased content of SO2. Coatings 2019, 9, 837. [Google Scholar] [CrossRef]
- Casaletto, M.P.; De Caro, T.; Ingo, G.M.; Riccucci, C. Production of reference “ancient” Cu-based alloys and their accelerated degradation methods. Appl. Phys. A 2006, 83, 617–622. [Google Scholar] [CrossRef]
- Chiavari, C.; Bernardi, E.; Martini, C.; Passarini, F.; Ospitali, F.; Robbiola, L. The atmospheric corrosion of quaternary bronzes: The action of stagnant rain water. Corros. Sci. 2010, 52, 3002–3010. [Google Scholar] [CrossRef]
- Chiavari, C.; Martini, C.; Balbo, A.; Monticelli, C.; Velino, C.; Masi, G.; Bernardi, E. Atmospheric corrosion of Cu-Si-Mn bronze for contemporary art under simulated runoff and continuous immersion conditions. Corros. Sci. 2022, 205, 110442. [Google Scholar] [CrossRef]
- Albini, M.; Chiavari, C.; Bernardi, E.; Martini, C.; Mathys, L.; Joseph, E. Evaluation of the performances of a biological treatment on tin-enriched bronze. Environ. Sci. Pollut. Res. 2017, 24, 2150–2159. [Google Scholar] [CrossRef]
- Bernardi, E.; Chiavari, C.; Martini, C.; Morselli, L. The atmospheric corrosion of quaternary bronzes: An evaluation of the dissolution rate of the alloying elements. Appl. Phys. A 2008, 92, 83–89. [Google Scholar] [CrossRef]
- Zhang, X.Y.; He, W.L.; Odnevall Wallinder, I.; Pan, J.; Leygraf, C. Determination of instantaneous corrosion rates and runoff rates of copper from naturally patinated copper during continuous rain events. Corros. Sci. 2002, 44, 2131–2151. [Google Scholar] [CrossRef]
- Morselli, L.; Bernardi, E.; Chiavari, C.; Brunoro, G. Corrosion of 85-5-5-5 bronze in natural and synthetic acid rain. Appl. Phys. A 2004, 79, 363–367. [Google Scholar] [CrossRef]
- Masi, G.; Esvan, J.; Josse, C.; Chiavari, C.; Bernardi, E.; Martini, C.; Bignozzi, M.C.; Gartner, N.; Kosec, T.; Robbiola, L. Characterization of typical patinas simulating bronze corrosion in outdoor conditions. Mater. Chem. Phys. 2017, 200, 308–321. [Google Scholar] [CrossRef]
- Hernández, R.P.B.; Pászti, Z.; de Melo, H.G.; Aoki, I.V. Chemical characterization and anticorrosion properties of corrosion products formed on pure copper in synthetic rainwater of Rio de Janeiro and São Paulo. Corros. Sci. 2010, 52, 826–837. [Google Scholar] [CrossRef]
- Hernández, R.d.P.B.; Aoki, I.V.; Tribollet, B.; de Melo, H.G. Electrochemical impedance spectroscopy investigation of the electrochemical behaviour of copper coated with artificial patina layers and submitted to wet and dry cycles. Electrochim. Acta 2011, 56, 2801–2814. [Google Scholar] [CrossRef]
- Chiavari, C.; Bernardi, E.; Balbo, A.; Monticelli, C.; Raffo, S.; Bignozzi, M.C.; Martini, C. Atmospheric corrosion of fire-gilded bronze: Corrosion and corrosion protection during accelerated ageing tests. Corros. Sci. 2015, 100, 435–447. [Google Scholar] [CrossRef]
- Rosales, B.M.; Vera, R.M.; Hidalgo, J.P. Characterisation and properties of synthetic patina on copper base sculptural alloys. Corros. Sci. 2010, 52, 3212–3224. [Google Scholar] [CrossRef]
- Bernardi, E.; Chiavari, C.; Lenza, B.; Martini, C.; Morselli, L.; Ospitali, F.; Robbiola, L. The atmospheric corrosion of quaternary bronzes: The leaching action of acid rain. Corros. Sci. 2009, 51, 159–170. [Google Scholar] [CrossRef]
- Goidanich, S.; Gulotta, D.; Brambilla, L.; Beltrami, R.; Fermo, P.; Toniolo, L. Setup of galvanic sensors for the monitoring of gilded bronzes. Sensors 2014, 14, 7066–7083. [Google Scholar] [CrossRef] [PubMed]
- Rosales, B.M.; Vera, R.; Moriena, G. Evaluation Of The Protective Properties Of Natural And Artifcial Patinas On Copper. Part I. Patinas Formed By Immersion. Corros. Sci. 1999, 41, 625–651. [Google Scholar] [CrossRef]
- Di Carlo, G.; Giuliani, C.; Riccucci, C.; Pascucci, M.; Messina, E.; Fierro, G.; Lavorgna, M.; Ingo, G.M. Artificial patina formation onto copper-based alloys: Chloride and sulphate induced corrosion processes. Appl. Surf. Sci. 2017, 421, 120–127. [Google Scholar] [CrossRef]
- Faltermeier, R. Colour changes induced when treating copper and copper alloy archaeological artefacts with the corrosion inhibitors benzotriazole and aminomercapto- thiadiazole. SSCR J. 1998, 9, 1–6. [Google Scholar]
- Kareem, K.; Sultan, D.S.; He, L. Fabrication, microstructure and corrosive behavior of different metallographic tin-leaded bronze alloys part II: Chemical corrosive behavior and patina of tin-leaded bronze alloys. Mater. Chem. Phys. 2016, 169, 158–172. [Google Scholar] [CrossRef]
- Salvadori, B.; Cagnini, A.; Galeotti, M.; Porcinai, S.; Goidanich, S.; Vicenzo, A.; Celi, C.; Frediani, P.; Rosi, L.; Frediani, M.; et al. Traditional and innovative protective coatings for outdoor bronze: Application and performance comparison. J. Appl. Polym. Sci. 2018, 135, 46011. [Google Scholar] [CrossRef]
- Schlesinger, R.; Klewe-Nebenius, H.; Bruns, M. Characterization of artificially produced copper and bronze patina by XPS. Surf. Interface Anal. 2000, 30, 135–139. [Google Scholar] [CrossRef]
- Ilcheva, L.; Bjerrum, J. Metal ammine formation in solution. xvii. stability constant of copper(ii) methylamine and diethylamine complexes obtained from solubility measurements with gerhardtite. Acta Chem. Scand. 1976, 421, 343–350. [Google Scholar] [CrossRef]
- Nishikata, A.; Zhu, Q.; Tada, E. Long-term monitoring of atmospheric corrosion at weathering steel bridges by an electrochemical impedance method. Corros. Sci. 2014, 87, 80–88. [Google Scholar] [CrossRef]
- Chukanov, N.D.; Chervonnyi, A.D. Infrared Spectroscopy of Minerals and Related Compounds; Springer International Publishing: Cham, Switzerland, 2016. [Google Scholar]
- Ovchinnikov, O.V.; Evtukhova, A.V.; Kondratenko, T.S.; Smirnov, M.S.; Khokhlov, V.Y.; Erina, O.V. Manifestation of intermolecular interactions in FTIR spectra of methylene blue molecules. Vib. Spectrosc. 2016, 86, 181–189. [Google Scholar] [CrossRef]
- Gulotta, D.; Mariani, B.; Guerrini, E.; Trasatti, S.; Letardi, P.; Rosetti, L.; Toniolo, L.; Goidanich, S. “Mi Fuma il Cervello” self-portrait series of Alighiero Boetti: Evaluation of a conservation and maintenance strategy based on sacrificial coatings. Herit. Sci. 2017, 5, 19. [Google Scholar] [CrossRef]
- Joseph, E.; Letardi, P.; Mazzeo, R.; Prati, S.; Vandini, M. Innovative treatments for the protection of outdoor bronze monuments. In Metal 07, Interim Meeting of the ICOM-CC Metal WG; Degrigny, C., Joosten, I., Ankersmit, B., Van Langh, R., Eds.; ICOM: Amsterdam, The Netherlands, 2007; Volume 5, pp. 71–77. [Google Scholar]
- Goidanich, S.; Toniolo, L.; Jafarzadeh, S.; Odnevall Wallinder, I. Effects of wax-based anti-graffiti on copper patina composition and dissolution during four years of outdoor urban exposure. J. Cult. Herit. 2010, 11, 288–296. [Google Scholar] [CrossRef]
- Petiti, C.; Gulotta, D.; Mariani, B.; Toniolo, L.; Goidanich, S. Optimisation of the setup of LPR and EIS measurements for the onsite, non-invasive study of metallic artefacts. J. Solid State Electrochem. 2020, 24, 3257–3267. [Google Scholar] [CrossRef]
- Petiti, C.; Toniolo, L.; Gulotta, D.; Mariani, B.; Goidanich, S. Effects of cleaning procedures on the long-term corrosion behavior of bronze artifacts of the cultural heritage in outdoor environment. Environ. Sci. Pollut. Res. Int. 2020, 27, 13081–13094. [Google Scholar] [CrossRef]
- Petiti, C.; Salvadori, B.; Vettori, S.; Welter, J.M.; Guzmán, P.; Toniolo, L.; Goidanich, S. The effect of exposure condition on the composition of the corrosion layers of the San Carlone of Arona. Heritage 2023, submitted.
- Kapitanović, A.; Ćurković, H.O. The Effect of Corrosion Conditions on Aging of Artificial Patina on Three Bronzes. Coatings 2022, 12, 936. [Google Scholar] [CrossRef]
- Mendoza, A.R.; Corvo, F.; Gòmez, A.; Gòmez, J. Influence of the corrosion products of copper on its atmospheric corrosion kinetics in tropical climate. Corros. Sci. 2004, 46, 1189–1200. [Google Scholar] [CrossRef]
- Faltermeier, R.B. A Corrosion Inhibitor Test for Copper-Based Artifacts. Stud. Conserv. 1999, 44, 121–128. [Google Scholar] [CrossRef]
Disclaimer/Publisher’s Note: The statements, opinions and data contained in all publications are solely those of the individual author(s) and contributor(s) and not of MDPI and/or the editor(s). MDPI and/or the editor(s) disclaim responsibility for any injury to people or property resulting from any ideas, methods, instructions or products referred to in the content. |
© 2023 by the authors. Licensee MDPI, Basel, Switzerland. This article is an open access article distributed under the terms and conditions of the Creative Commons Attribution (CC BY) license (https://creativecommons.org/licenses/by/4.0/).