Multi-Sensor Data Fusion Method Based on Self-Attention Mechanism
Abstract
:Featured Application
Abstract
1. Introduction
2. Model
3. Method
3.1. Point Cloud Module
3.2. Image Module
3.3. Fusion Module
3.4. Network Architecture
4. Experiments
4.1. Dataset
4.2. Evaluation Metrics
4.3. Parameter Settings
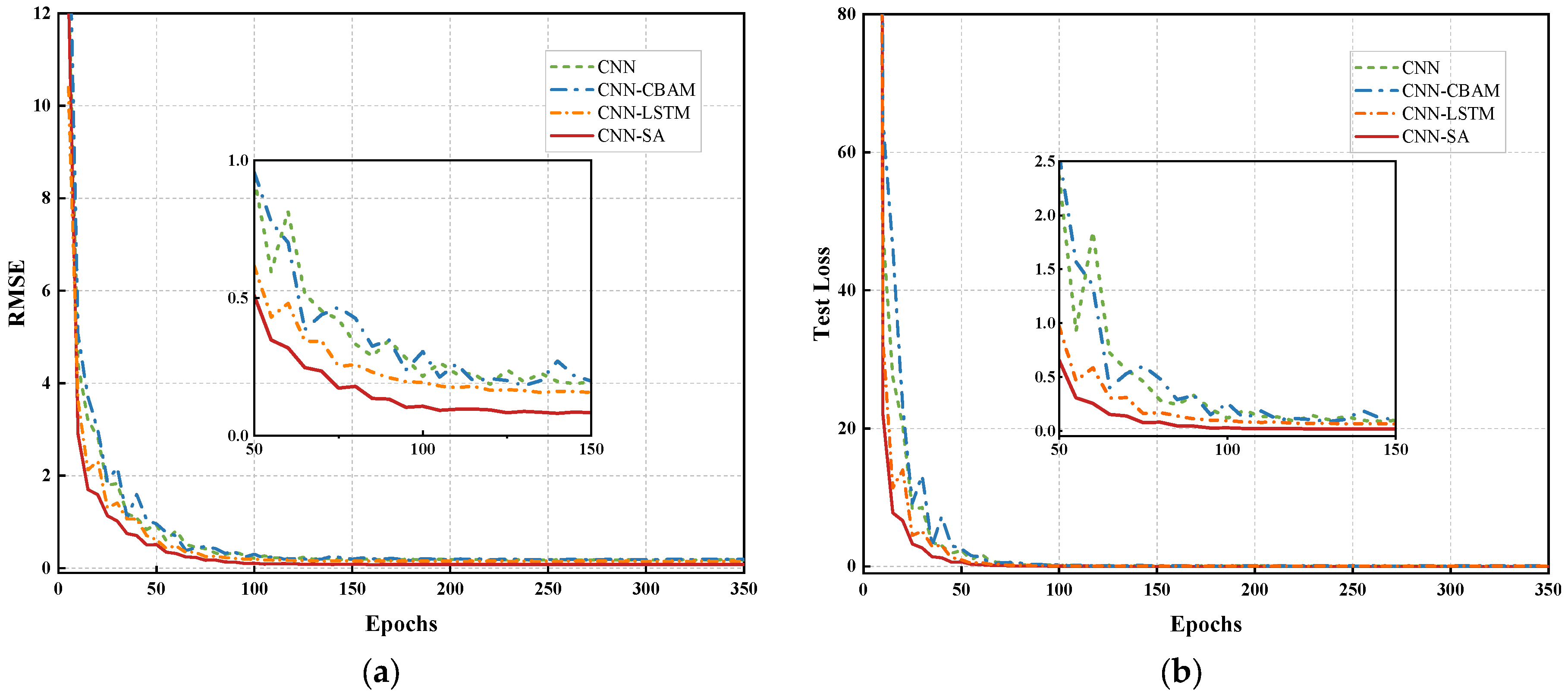
4.4. Performance Comparison
5. Conclusions
Author Contributions
Funding
Institutional Review Board Statement
Informed Consent Statement
Data Availability Statement
Conflicts of Interest
References
- Zhao, L.; Zhang, H.; Mbachu, J. Multi-Sensor Data Fusion for 3D Reconstruction of Complex Structures: A Case Study on a Real High Formwork Project. Remote Sens. 2023, 15, 1264. [Google Scholar] [CrossRef]
- Cui, Y.; Li, Q.; Yang, B.; Xiao, W.; Chen, C.; Dong, Z. Automatic 3-D reconstruction of indoor environment with mobile laser scanning point clouds. IEEE J. Sel. Top. Appl. Earth Obs. Remote Sens. 2019, 12, 3117–3130. Available online: https://ieeexplore.ieee.org/abstract/document/8736013 (accessed on 12 June 2019). [CrossRef]
- Kang, H.; Wang, X. Semantic segmentation of fruits on multi-sensor fused data in natural orchards. Comput. Electron. Agric. 2023, 204, 107569. [Google Scholar] [CrossRef]
- Zhang, Q.; Kang, S.; Yin, C.; Li, Z.; Shi, Y. An Adaptive Learning Method for the Fusion Information of Electronic Nose and Hyperspectral System to Identify the Egg Quality. Sens. Actuators A Phys. 2022, 346, 113824. [Google Scholar] [CrossRef]
- Tang, Q.; Liang, J.; Zhu, F. A Comparative Review on Multi-Modal Sensors Fusion Based on Deep Learning. Signal Process. 2023, 213, 109165. [Google Scholar] [CrossRef]
- Lin, J.; Li, T.; Xie, P.; Du, S.; Teng, F.; Yang, X. Urban Big Data Fusion Based on Deep Learning: An Overview. Inf. Fusion 2020, 53, 123–133. [Google Scholar] [CrossRef]
- Weckenmann, A.; Jiang, X.; Sommer, K.-D.; Neuschaefer-Rube, U.; Seewig, J.; Shaw, L.; Estler, T. Multisensor Data Fusion in Dimensional Metrology. CIRP Ann. 2009, 58, 701–721. [Google Scholar] [CrossRef]
- Nguyen, A.; Nguyen, N.; Tran, K.; Tjiputra, E.; Tran Quang, D. Autonomous navigation in complex environments with deep multimodal fusion network. In Proceedings of the 2020 IEEE/RSJ International Conference on Intelligent Robots and Systems (IROS), Las Vegas, NV, USA, 24 October 2020–24 January 2021; pp. 5824–5830. [Google Scholar] [CrossRef]
- Zhang, W.; Zhang, Y.; Zhai, J.; Zhao, D.; Xu, L.; Zhou, J.; Li, Z.; Yang, S. Multi-Source Data Fusion Using Deep Learning for Smart Refrigerators. Comput. Ind. 2018, 95, 15–21. [Google Scholar] [CrossRef]
- Li, S.; Wang, H.; Song, L.; Wang, P.; Cui, L.; Lin, T. An Adaptive Data Fusion Strategy for Fault Diagnosis Based on the Convolutional Neural Network. Measurement 2020, 165, 108122. [Google Scholar] [CrossRef]
- Poliyapram, V.; Wang, W.; Nakamura, R. A Point-Wise LiDAR and Image Multimodal Fusion Network (PMNet) for Aerial Point Cloud 3D Semantic Segmentation. Remote Sens. 2019, 11, 2961. [Google Scholar] [CrossRef]
- Rosas-Cervantes, V.; Hoang, Q.D.; Woo, S.; Lee, S.G. Mobile Robot 3D Trajectory Estimation on a Multilevel Surface with Multimodal Fusion of 2D Camera Features and a 3D Light Detection and Ranging Point Cloud. Int. J. Adv. Robot. Syst. 2022, 19, 17298806221089198. [Google Scholar] [CrossRef]
- Wu, Y.; Jiang, X.; Fang, Z.; Gao, Y.; Fujita, H. Multi-Modal 3D Object Detection by 2D-Guided Precision Anchor Proposal and Multi-Layer Fusion. Appl. Soft Comput. 2021, 108, 107405. [Google Scholar] [CrossRef]
- Caltagirone, L.; Bellone, M.; Svensson, L.; Wahde, M. LIDAR–Camera Fusion for Road Detection Using Fully Convolutional Neural Networks. Robot. Auton. Syst. 2019, 111, 125–131. [Google Scholar] [CrossRef]
- Zhu, Y.; Xu, R.; An, H.; Tao, C.; Lu, K. Anti-Noise 3D Object Detection of Multimodal Feature Attention Fusion Based on PV-RCNN. Sensors 2023, 23, 233. [Google Scholar] [CrossRef] [PubMed]
- Zhang, X.; Li, Z.; Gao, X.; Jin, D.; Li, J. Channel Attention in LiDAR-Camera Fusion for Lane Line Segmentation. Pattern Recognit. 2021, 118, 108020. [Google Scholar] [CrossRef]
- Kang, H.; Wang, X.; Chen, C. Accurate fruit localisation using high resolution LiDAR-camera fusion and instance segmentation. Comput. Electron. Agric. 2022, 203, 107450. [Google Scholar] [CrossRef]
- Li, Y.; Yu, A.W.; Meng, T.; Caine, B.; Ngiam, J.; Peng, D.; Shen, J.; Lu, Y.; Zhou, D.; Le, Q.V.; et al. DeepFusion: Lidar-Camera Deep Fusion for Multi-Modal 3D Object Detection. In Proceedings of the IEEE/CVF Conference on Computer Vision and Pattern Recognition, New Orleans, LA, USA, 18–24 June 2022; pp. 17182–17191. Available online: https://openaccess.thecvf.com/content/CVPR2022/html/Li_DeepFusion_Lidar-Camera_Deep_Fusion_for_Multi-Modal_3D_Object_Detection_CVPR_2022_paper.html (accessed on 24 June 2022).
- Vanian, V.; Zamanakos, G.; Pratikakis, I. Improving Performance of Deep Learning Models for 3D Point Cloud Semantic Segmentation via Attention Mechanisms. Comput. Graph. 2022, 106, 277–287. [Google Scholar] [CrossRef]
- Huang, R.; Zhang, W.; Kundu, A.; Pantofaru, C.; Ross, D.A.; Funkhouser, T.; Fathi, A. An LSTM Approach to Temporal 3D Object Detection in LiDAR Point Clouds. In Proceedings of the 16th European Conference, Computer Vision-ECCV 2020, Glasgow, UK, 23–28 August 2020; Springer: Cham, Switzerland, 2020; pp. 266–282. [Google Scholar] [CrossRef]









| Network Layers | Network Type | Number of Neurons | Kernel Size | Stride | Activation Function |
|---|---|---|---|---|---|
| 1 | Convolutional Layer | 16 | (3, 3) | 1 | ReLu |
| 2 | Max-Pooling Layer | - | (2, 2) | 2 | - |
| 3 | Convolutional Layer | 32 | (3, 3) | 1 | ReLu |
| 4 | Max-Pooling Layer | - | (2, 2) | 2 | - |
| 5 | Convolutional Layer | 64 | (3, 3) | 1 | ReLu |
| 6 | Max-Pooling Layer | - | (2, 2) | 2 | - |
| 7 | Flatten Layer | - | - | - | - |
| 8 | Linear Layer | 256 | (50,176, 256) | - | - |
| 9 | Convolutional Layer | 64 | 1 | 1 | - |
| 10 | Batch Normalization Layer | 64 | - | - | ReLu |
| 11 | Convolutional Layer | 128 | 1 | 1 | - |
| 12 | Batch Normalization Layer | 128 | - | - | ReLu |
| 13 | Convolutional Layer | 256 | 1 | 1 | - |
| 14 | Batch Normalization Layer | 256 | - | - | ReLu |
| 15 | Self-Attention Layer | 256 | - | - | - |
| 16 | Linear Layer | 1036 | - | - | - |
| 17 | Convolutional Layer | 128 | 1 | 1 | - |
| 18 | Batch Normalization Layer | 128 | - | - | ReLu |
| 19 | Convolutional Layer | 64 | 1 | 1 | - |
| 20 | Batch Normalization Layer | 64 | - | - | ReLu |
| 21 | Convolutional Layer | 3 | 1 | 1 |
Disclaimer/Publisher’s Note: The statements, opinions and data contained in all publications are solely those of the individual author(s) and contributor(s) and not of MDPI and/or the editor(s). MDPI and/or the editor(s) disclaim responsibility for any injury to people or property resulting from any ideas, methods, instructions or products referred to in the content. |
© 2023 by the authors. Licensee MDPI, Basel, Switzerland. This article is an open access article distributed under the terms and conditions of the Creative Commons Attribution (CC BY) license (https://creativecommons.org/licenses/by/4.0/).
Share and Cite
Lin, X.; Chao, S.; Yan, D.; Guo, L.; Liu, Y.; Li, L. Multi-Sensor Data Fusion Method Based on Self-Attention Mechanism. Appl. Sci. 2023, 13, 11992. https://doi.org/10.3390/app132111992
Lin X, Chao S, Yan D, Guo L, Liu Y, Li L. Multi-Sensor Data Fusion Method Based on Self-Attention Mechanism. Applied Sciences. 2023; 13(21):11992. https://doi.org/10.3390/app132111992
Chicago/Turabian StyleLin, Xuezhu, Shihan Chao, Dongming Yan, Lili Guo, Yue Liu, and Lijuan Li. 2023. "Multi-Sensor Data Fusion Method Based on Self-Attention Mechanism" Applied Sciences 13, no. 21: 11992. https://doi.org/10.3390/app132111992
APA StyleLin, X., Chao, S., Yan, D., Guo, L., Liu, Y., & Li, L. (2023). Multi-Sensor Data Fusion Method Based on Self-Attention Mechanism. Applied Sciences, 13(21), 11992. https://doi.org/10.3390/app132111992

