Comparison of a VR Stylus with a Controller, Hand Tracking, and a Mouse for Object Manipulation and Medical Marking Tasks in Virtual Reality
Abstract
:1. Introduction
2. Background
2.1. Object Manipulation and Marking
2.2. Input Devices for Object Manipulation and Marking
2.2.1. Mouse
2.2.2. Hands
2.2.3. Controllers
2.2.4. VR Stylus
2.3. Jaw Osteotomy Surgery Planning
3. Material and Method
3.1. Mouse
3.2. Hands
3.3. Controller and VR Stylus
3.4. Measurements and the Pilot Study
- Would you think to use this method daily?
- Your hands are NOT tired.
- It was natural to perform the given tasks with this interaction method.
- It was easy to handle the 3D objects with this interaction method.
- The interaction method was accurate.
- The marking method was natural.
- It was easy to make the marking with this marking method.
- The marking method was accurate.
3.5. Statistical Measures
4. Experiment
4.1. Participants
4.2. Apparatus
4.2.1. Software, Hardware, and Hand Tracking
4.2.2. Object Manipulation and Object Marking
4.3. Procedure
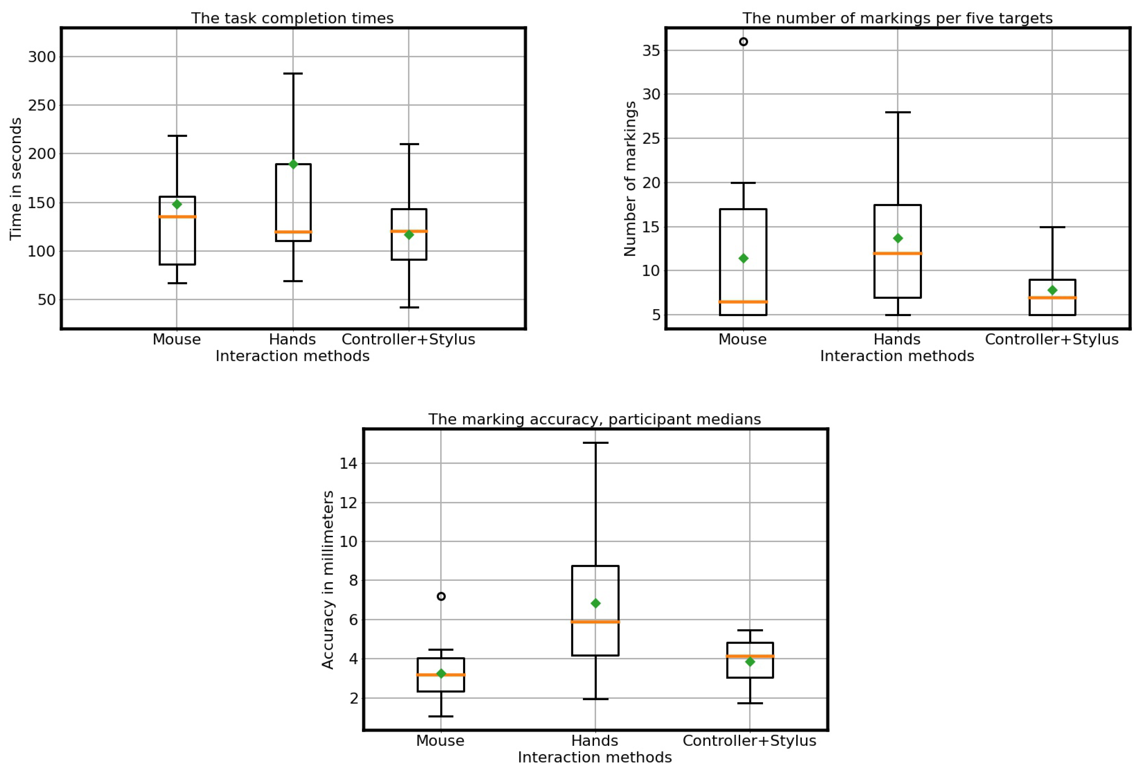
5. Results
5.1. Objective Results
5.2. Subjective Data
6. Discussion
6.1. Limitations
6.2. Future Research
7. Conclusions
Author Contributions
Funding
Institutional Review Board Statement
Informed Consent Statement
Data Availability Statement
Acknowledgments
Conflicts of Interest
Abbreviations
| 2D | two-dimensional |
| 3D | three-dimensional |
| CBCT | cone beam computed tomography |
| HMD | head-mounted display |
| VR | virtual reality |
References
- Shokri, A.; Ramezani, K.; Vahdatinia, F.; Karkazis, E.; Tayebi, L. 3D Imaging in Dentistry and Oral Tissue Engineering. In Applications of Biomedical Engineering in Dentistry; Springer: Cham, Switzerland, 2020; pp. 43–87. [Google Scholar]
- König, W.A.; Gerken, J.; Dierdorf, S.; Reiterer, H. Adaptive pointing: Implicit gain adaptation for absolute pointing devices. In CHI’09 Extended Abstracts on Human Factors in Computing Systems; Association for Computing Machinery: New York, NY, USA, 2009; pp. 4171–4176. [Google Scholar]
- Kumar, S.K.; Kangas, J.; Mehtonen, H.; Järnstedt, J.; Raisamo, R. Push-Poke: Collision based Direct Manipulation Technique for Plane Alignment in Virtual Reality. In Proceedings of the Graphics Interface 2022 Conference, Montreal, QC, Canada, 17 May 2022. [Google Scholar]
- Kangas, J.; Kumar, S.K.; Mehtonen, H.; Järnstedt, J.; Raisamo, R. Trade-Off between Task Accuracy, Task Completion Time and Naturalness for Direct Object Manipulation in Virtual Reality. Multimodal Technol. Interact. 2022, 6, 6. [Google Scholar] [CrossRef]
- Navarro, D.; Sundstedt, V. Evaluating player performance and experience in virtual reality game interactions using the htc vive controller and leap motion sensor. In Proceedings of the 3rd International Conference on Human Computer Interaction Theory and Applications, HUCAPP 2019-Part of the 14th International Joint Conference on Computer Vision, Imaging and Computer Graphics Theory and Applications, VISIGRAPP 2019, Prague, Czech Republic, 25–27 February 2019; SciTePress: Setúbal, Portugal, 2019; pp. 103–110. [Google Scholar]
- Pham, D.M.; Stuerzlinger, W. Is the pen mightier than the controller? A comparison of input devices for selection in virtual and augmented reality. In Proceedings of the 25th ACM Symposium on Virtual Reality Software and Technology, Sydney, Australia, 12–15 November 2019; pp. 1–11. [Google Scholar]
- Teather, R.J.; Stuerzlinger, W. Pointing at 3d target projections with one-eyed and stereo cursors. In Proceedings of the SIGCHI Conference on Human Factors in Computing Systems, Paris, France, 27 April–2 May 2013; Association for Computing Machinery: New York, NY, USA, 2013; pp. 159–168. [Google Scholar]
- Huang, Y.J.; Liu, K.Y.; Lee, S.S.; Yeh, I.C. Evaluation of a Hybrid of Hand Gesture and Controller Inputs in Virtual Reality. Int. J. Hum.-Interact. 2021, 37, 169–180. [Google Scholar] [CrossRef]
- Gusai, E.; Bassano, C.; Solari, F.; Chessa, M. Interaction in an immersive collaborative virtual reality environment: A comparison between leap motion and HTC controllers. In Proceedings of the International Conference on Image Analysis and Processing, Catania, Italy, 11–15 September 2017; Springer: Berlin/Heidelberg, Germany, 2017; pp. 290–300. [Google Scholar]
- Li, Z.; Kiiveri, M.; Rantala, J.; Raisamo, R. Evaluation of haptic virtual reality user interfaces for medical marking on 3D models. Int. J. Hum.-Comput. Stud. 2021, 147, 102561. [Google Scholar] [CrossRef]
- Wacker, P.; Nowak, O.; Voelker, S.; Borchers, J. Evaluating Menu Techniques for Handheld AR with a Smartphone & Mid-Air Pen. In Proceedings of the 22nd International Conference on Human-Computer Interaction with Mobile Devices and Services, Oldenburg, Germany, 5–9 October 2020; pp. 1–10. [Google Scholar]
- Caggianese, G.; Gallo, L.; Neroni, P. The Vive controllers vs. Leap motion for interactions in virtual environments: A comparative evaluation. In Proceedings of the International Conference on Intelligent Interactive Multimedia Systems and Services, Gold Cost, Australia, 20–22 June 2018; Springer: Berlin/Heidelberg, Germany, 2018; pp. 24–33. [Google Scholar]
- Fitts, P.M. The information capacity of the human motor system in controlling the amplitude of movement. J. Exp. Psychol. 1954, 47, 381. [Google Scholar] [CrossRef] [PubMed]
- Sun, J.; Stuerzlinger, W.; Riecke, B.E. Comparing input methods and cursors for 3D positioning with head-mounted displays. In Proceedings of the 15th ACM Symposium on Applied Perception, Vancouver, BC, Canada, 10–11 August 2018; pp. 1–8. [Google Scholar]
- Allgaier, M.; Chheang, V.; Saalfeld, P.; Apilla, V.; Huber, T.; Huettl, F.; Neyazi, B.; Sandalcioglu, I.E.; Hansen, C.; Preim, B.; et al. A comparison of input devices for precise interaction tasks in VR-based surgical planning and training. Comput. Biol. Med. 2022, 145, 105429. [Google Scholar] [CrossRef] [PubMed]
- Argelaguet, F.; Andujar, C. A survey of 3D object selection techniques for virtual environments. Comput. Graph. 2013, 37, 121–136. [Google Scholar] [CrossRef]
- Dang, N.T. A survey and classification of 3D pointing techniques. In Proceedings of the 2007 IEEE International Conference on Research, Innovation and Vision for the Future, Hanoi, Vietnam, 5–9 March 2007; pp. 71–80. [Google Scholar]
- Kangas, J.; Li, Z.; Raisamo, R. Expert Evaluation of Haptic Virtual Reality User Interfaces for Medical Landmarking. In Proceedings of the CHI Conference on Human Factors in Computing Systems Extended Abstracts, New Orleans, LA, USA, 30 April–5 May 2022; Association for Computing Machinery: New York, NY, USA, 2022; pp. 1–7. [Google Scholar]
- Balakrishnan, R.; Kurtenbach, G. Exploring bimanual camera control and object manipulation in 3D graphics interfaces. In Proceedings of the SIGCHI Conference on Human Factors in Computing Systems, Pittsburgh, PA, USA, 15–20 May 1999; Association for Computing Machinery: New York, NY, USA, 1999; pp. 56–62. [Google Scholar]
- Guiard, Y. Asymmetric division of labor in human skilled bimanual action: The kinematic chain as a model. J. Mot. Behav. 1987, 19, 486–517. [Google Scholar] [CrossRef] [PubMed]
- Coelho, J.C.; Verbeek, F.J. Pointing task evaluation of leap motion controller in 3D virtual environment. Creat. Differ. 2014, 78, 78–85. [Google Scholar]
- Baloup, M.; Pietrzak, T.; Casiez, G. Raycursor: A 3D pointing facilitation technique based on raycasting. In Proceedings of the 2019 CHI Conference on Human Factors in Computing Systems, Glasgow, UK, 4–9 May 2019; Association for Computing Machinery: New York, NY, USA, 2019; pp. 1–12. [Google Scholar]
- Petford, J.; Nacenta, M.A.; Gutwin, C. Pointing all around you: Selection performance of mouse and ray-cast pointing in full-coverage displays. In Proceedings of the 2018 CHI Conference on Human Factors in Computing Systems, Montreal, QC, Canada, 21–26 April 2018; Association for Computing Machinery: New York, NY, USA, 2018; pp. 1–14. [Google Scholar]
- Balakrishnan, R.; Baudel, T.; Kurtenbach, G.; Fitzmaurice, G. The Rockin’Mouse: Integral 3D manipulation on a plane. In Proceedings of the ACM SIGCHI Conference on Human Factors in Computing Systems, Atlanta, GA, USA, 22–27 March 1997; Association for Computing Machinery: New York, NY, USA, 1997; pp. 311–318. [Google Scholar]
- Kim, H.; Choi, Y. Performance comparison of user interface devices for controlling mining software in virtual reality environments. Appl. Sci. 2019, 9, 2584. [Google Scholar] [CrossRef]
- Johnson, P.W.; Lehman, S.L.; Rempel, D.M. Measuring muscle fatigue during computer mouse use. In Proceedings of the 18th Annual International Conference of the IEEE Engineering in Medicine and Biology Society, Amsterdam, The Netherlands, 31 October–3 November 1996; Volume 4, pp. 1454–1455. [Google Scholar]
- Bachmann, D.; Weichert, F.; Rinkenauer, G. Evaluation of the leap motion controller as a new contact-free pointing device. Sensors 2015, 15, 214–233. [Google Scholar] [CrossRef] [PubMed]
- Voigt-Antons, J.N.; Kojic, T.; Ali, D.; Möller, S. Influence of hand tracking as a way of interaction in virtual reality on user experience. In Proceedings of the 2020 Twelfth International Conference on Quality of Multimedia Experience (QoMEX), Athlone, Ireland, 26–28 May 2020; pp. 1–4. [Google Scholar]
- Weichert, F.; Bachmann, D.; Rudak, B.; Fisseler, D. Analysis of the accuracy and robustness of the leap motion controller. Sensors 2013, 13, 6380–6393. [Google Scholar] [CrossRef] [PubMed]
- Potter, L.E.; Araullo, J.; Carter, L. The leap motion controller: A view on sign language. In Proceedings of the 25th Australian Computer-Human Interaction Conference: Augmentation, Application, Innovation, Collaboration, Adelaide, Australia, 25–29 November 2013; pp. 175–178. [Google Scholar]
- Yang, L.; Huang, J.; Feng, T.; Hong-An, W.; Guo-Zhong, D. Gesture interaction in virtual reality. Virtual Real. Intell. Hardw. 2019, 1, 84–112. [Google Scholar]
- Esmaeili, S.; Benda, B.; Ragan, E.D. Detection of scaled hand interactions in virtual reality: The effects of motion direction and task complexity. In Proceedings of the 2020 IEEE Conference on Virtual Reality and 3D User Interfaces (VR), Atlanta, GA, USA, 22–26 March 2020; pp. 453–462. [Google Scholar]
- Hannema, D. Interaction in Virtual Reality. Ph.D. Thesis, Universiteit van Amsterdam, Amsterdam, The Netherlands, 2001. [Google Scholar]
- Batmaz, A.U.; Mutasim, A.K.; Stuerzlinger, W. Precision vs. power grip: A comparison of pen grip styles for selection in virtual reality. In Proceedings of the 2020 IEEE Conference on Virtual Reality and 3D User Interfaces Abstracts and Workshops (VRW), Atlanta, GA, USA, 22–26 March 2020; pp. 23–28. [Google Scholar]
- Hanken, H.; Schablowsky, C.; Smeets, R.; Heiland, M.; Sehner, S.; Riecke, B.; Nourwali, I.; Vorwig, O.; Gröbe, A.; Al-Dam, A. Virtual planning of complex head and neck reconstruction results in satisfactory match between real outcomes and virtual models. Clin. Oral Investig. 2015, 19, 647–656. [Google Scholar] [CrossRef]
- Ayoub, A.; Pulijala, Y. The application of virtual reality and augmented reality in Oral & Maxillofacial Surgery. BMC Oral Health 2019, 19, 1–8. [Google Scholar]
- Reymus, M.; Liebermann, A.; Diegritz, C. Virtual reality: An effective tool for teaching root canal anatomy to undergraduate dental students–a preliminary study. Int. Endod. J. 2020, 53, 1581–1587. [Google Scholar] [CrossRef]
- Khamis, M.; Oechsner, C.; Alt, F.; Bulling, A. VRpursuits: Interaction in virtual reality using smooth pursuit eye movements. In Proceedings of the 2018 International Conference on Advanced Visual Interfaces, Pescaia, Italy, 29 May–1 June 2018; pp. 1–8. [Google Scholar]
- Hinckley, K.; Pausch, R.; Goble, J.C.; Kassell, N.F. A survey of design issues in spatial input. In Proceedings of the 7th Annual ACM Symposium on User Interface Software and Technology, Marina del Rey, CA, USA, 2–4 November 1994; pp. 213–222. [Google Scholar]
- Samudravijaya, K. Automatic Speech Recognition; Tata Institute of Fundamental Research Archives: Mumbai, India, 2004. [Google Scholar]
- Suresh, A.; Gaba, D.; Bhambri, S.; Laha, D. Intelligent multi-fingered dexterous hand using virtual reality (VR) and robot operating system (ROS). In Proceedings of the International Conference on Robot Intelligence Technology and Applications, Daejeon, Republic of Korea, 13–15 December 2017; Springer: Berlin/Heidelberg, Germany, 2017; pp. 459–474. [Google Scholar]
- Pfeuffer, K.; Mayer, B.; Mardanbegi, D.; Gellersen, H. Gaze+ pinch interaction in virtual reality. In Proceedings of the 5th Symposium on Spatial User Interaction, Brighton, UK, 16–17 October 2017; pp. 99–108. [Google Scholar]
- Nukarinen, T.; Kangas, J.; Rantala, J.; Koskinen, O.; Raisamo, R. Evaluating ray casting and two gaze-based pointing techniques for object selection in virtual reality. In Proceedings of the 24th ACM Symposium on Virtual Reality Software and Technology, Tokyo, Japan, 28 November–1 December 2018; pp. 1–2. [Google Scholar]







| Condition | Ranking | ||
|---|---|---|---|
| 1st | 2nd | 3rd | |
| Mouse | 1 | 7 | 4 |
| Hands | 0 | 4 | 8 |
| Controller+Stylus | 11 | 1 | 0 |
Disclaimer/Publisher’s Note: The statements, opinions and data contained in all publications are solely those of the individual author(s) and contributor(s) and not of MDPI and/or the editor(s). MDPI and/or the editor(s) disclaim responsibility for any injury to people or property resulting from any ideas, methods, instructions or products referred to in the content. |
© 2023 by the authors. Licensee MDPI, Basel, Switzerland. This article is an open access article distributed under the terms and conditions of the Creative Commons Attribution (CC BY) license (https://creativecommons.org/licenses/by/4.0/).
Share and Cite
Rantamaa, H.-R.; Kangas, J.; Kumar, S.K.; Mehtonen, H.; Järnstedt, J.; Raisamo, R. Comparison of a VR Stylus with a Controller, Hand Tracking, and a Mouse for Object Manipulation and Medical Marking Tasks in Virtual Reality. Appl. Sci. 2023, 13, 2251. https://doi.org/10.3390/app13042251
Rantamaa H-R, Kangas J, Kumar SK, Mehtonen H, Järnstedt J, Raisamo R. Comparison of a VR Stylus with a Controller, Hand Tracking, and a Mouse for Object Manipulation and Medical Marking Tasks in Virtual Reality. Applied Sciences. 2023; 13(4):2251. https://doi.org/10.3390/app13042251
Chicago/Turabian StyleRantamaa, Hanna-Riikka, Jari Kangas, Sriram Kishore Kumar, Helena Mehtonen, Jorma Järnstedt, and Roope Raisamo. 2023. "Comparison of a VR Stylus with a Controller, Hand Tracking, and a Mouse for Object Manipulation and Medical Marking Tasks in Virtual Reality" Applied Sciences 13, no. 4: 2251. https://doi.org/10.3390/app13042251
APA StyleRantamaa, H.-R., Kangas, J., Kumar, S. K., Mehtonen, H., Järnstedt, J., & Raisamo, R. (2023). Comparison of a VR Stylus with a Controller, Hand Tracking, and a Mouse for Object Manipulation and Medical Marking Tasks in Virtual Reality. Applied Sciences, 13(4), 2251. https://doi.org/10.3390/app13042251

