Synthesis and Tribological Properties of Bis(2-hydroxyethyl)ammonium Erucate as a Potential Environmentally Friendly Lubricant and Lubricant Additive
Abstract
Featured Application
Abstract
1. Introduction
2. Materials and Methods
2.1. Synthesis of Bis(2-hydroxyethyl)ammonium Erucate Protic Ionic Liquid
2.2. Preparation of Samples
2.3. Physicochemical Properties
2.4. Tribological Properties and Worn Surface Evaluation
3. Results and Discussions
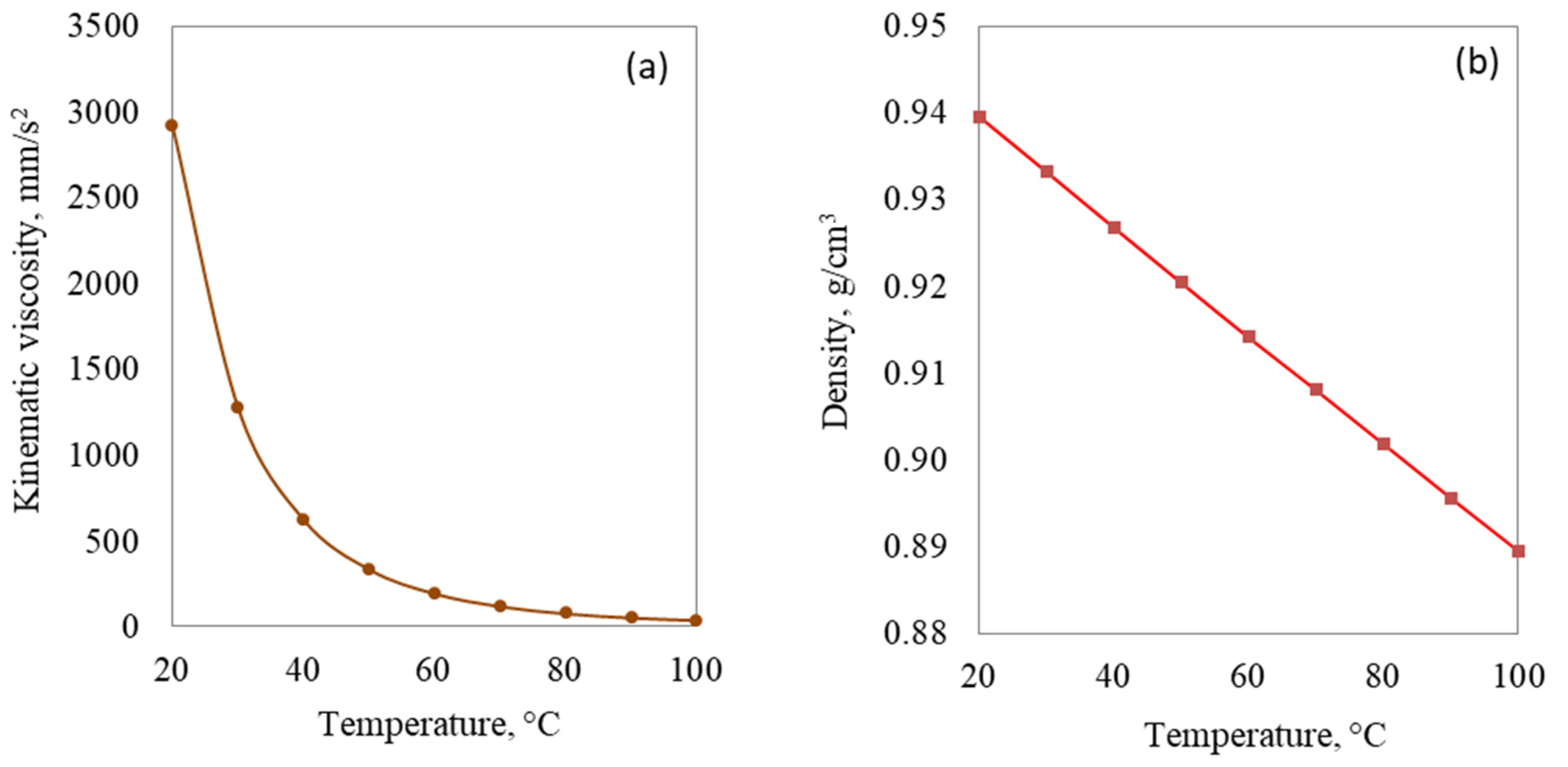
3.1. Physicochemical Properties of Investigated PIL
3.2. Lubricity of PIL as a Neat Lubricant
3.3. Lubricity of PIL as an Additive in Water
4. Conclusions
- Synthesized PIL has exceptionally high viscosity at room temperature, which sharply drops with increased temperature. Therefore, a low viscosity index of 88.6 was observed.
- Bis (2-hydroxyethyl)ammonium erucate has good solubility in water. Therefore, dissolving up to 3% of PIL in this base fluid leads to a homogeneous solution, which shows no sedimentation or cloudiness.
- Using bis (2-hydroxyethyl)ammonium erucate as a neat lubricant or an additive resulted in a low coefficient of friction and low wear. The adsorbed layer, temperature-induced tribo-reaction layer, and metal soap formation are suggested to be responsible for that.
- By comparing the results of previous studies, it was found that a longer alkyl chain erucic acid anion provides an ionic liquid with better tribological properties. However, the optimum concentration of bis (2-hydroxyethyl)ammonium erucate should be determined to perform best when used as an additive in water base lubricating fluids.
Author Contributions
Funding
Institutional Review Board Statement
Informed Consent Statement
Data Availability Statement
Conflicts of Interest
References
- STATISTA Global Demand for Lubricants from 2000 to 2020, with a Forecast for 2023 and 2028. Available online: https://www.statista.com/statistics/411616/lubricants-demand-worldwide/ (accessed on 16 February 2023).
- El-Din, M.N.; Mishrif, M.R.; Kailas, S.V.; Suvin, P.S.; Mannekote, J.K. Studying the Lubricity of New Eco-Friendly Cutting Oil Formulation in Metal Working Fluid. Ind. Lubr. Tribol. 2018, 70, 1569–1579. [Google Scholar] [CrossRef]
- Najiha, M.; Rahman, M.; Yusoff, A. Environmental Impacts and Hazards Associated with Metal Working Fluids and Recent Advances in the Sustainable Systems: A Review. Renew. Sustain. Energy Rev. 2016, 60, 1008–1031. [Google Scholar] [CrossRef]
- Jeevan, T.P.; Jayaram, S.R. Tribological Properties and Machining Performance of Vegetable Oil Based Metal Working Fluids—A Review. Mod. Mech. Eng. 2018, 8, 42–65. [Google Scholar] [CrossRef]
- Bartz, W.J. Ecotribology: Environmentally Acceptable Tribological Practices. Tribol. Int. 2006, 39, 728–733. [Google Scholar] [CrossRef]
- Wang, X.; Li, C.; Zhang, Y.; Ding, W.; Yang, M.; Gao, T.; Cao, H.; Xu, X.; Wang, D.; Said, Z.; et al. Vegetable Oil-Based Nanofluid Minimum Quantity Lubrication Turning: Academic Review and Perspectives. J. Manuf. Process. 2020, 59, 76–97. [Google Scholar] [CrossRef]
- Nagendramma, P.; Kaul, S. Development of Ecofriendly/Biodegradable Lubricants: An Overview. Renew. Sustain. Energy Rev. 2012, 16, 764–774. [Google Scholar] [CrossRef]
- Mobarak, H.; Mohamad, E.N.; Masjuki, H.; Kalam, M.; Al Mahmud, K.; Habibullah, M.; Ashraful, A. The Prospects of Biolubricants as Alternatives in Automotive Applications. Renew. Sustain. Energy Rev. 2014, 33, 34–43. [Google Scholar] [CrossRef]
- Woma, T.Y.; Lawal, S.A.; Abdulrahman, A.S.; Olutoye, M.A.; Ojapah, M.M. Vegetable Oil Based Lubricants: Challenges and Prospects. Tribol. Online 2019, 14, 60–70. [Google Scholar] [CrossRef]
- Lawal, S.A.; Choudhury, I.A.; Sadiq, I.O.; Oyewole, A. Vegetable-Oil Based Metalworking Fluids Research Developments for Machining Processes: Survey, Applications and Challenges. Manuf. Rev. 2014, 1, 22. [Google Scholar] [CrossRef]
- Gajrani, K.K.; Suvin, P.; Kailas, S.V.; Sankar, M.R. Hard Machining Performance of Indigenously Developed Green Cutting Fluid Using Flood Cooling and Minimum Quantity Cutting Fluid. J. Clean. Prod. 2019, 206, 108–123. [Google Scholar] [CrossRef]
- Hisham, S.; Kadirgama, K.; Ramasamy, D.; Noor, M.; Amirruddin, A.; Najafi, G.; Rahman, M. Waste Cooking Oil Blended with the Engine Oil for Reduction of Friction and Wear on Piston Skirt. Fuel 2017, 205, 247–261. [Google Scholar] [CrossRef]
- Owuna, F.; Dabai, M.; Sokoto, M.; Dangoggo, S.; Bagudo, B.; Birnin-Yauri, U.; Hassan, L.; Sada, I.; Abubakar, A.; Jibrin, M. Chemical Modification of Vegetable Oils for the Production of Biolubricants Using Trimethylolpropane: A Review. Egypt. J. Pet. 2020, 29, 75–82. [Google Scholar] [CrossRef]
- Nune, M.M.R.; Chaganti, P.K. Development, Characterization, and Evaluation of Novel Eco-Friendly Metal Working Fluid. Measurement 2019, 137, 401–416. [Google Scholar] [CrossRef]
- Edachery, V.; Ravi, S.; Badiuddin, A.F.; Tomy, A.; Kailas, S.V.; Suvin, P. Wetting Behaviour of a Green Cutting Fluid (GCF); Influence of Surface Roughness and Surface Energy of AA5052, Ti6Al4V and EN31. Mater. Today Proc. 2022, 62, 7605–7609. [Google Scholar] [CrossRef]
- Gajrani, K.K.; Suvin, P.; Kailas, S.V.; Mamilla, R.S. Thermal, Rheological, Wettability and Hard Machining Performance of MoS2 and CaF2 Based Minimum Quantity Hybrid Nano-Green Cutting Fluids. J. Mater. Process. Technol. 2019, 266, 125–139. [Google Scholar] [CrossRef]
- Shahabuddin, M.; Mofijur, M.; Kalam, M.; Masjuki, H. Study on the Friction and Wear Characteristics of Bio-Lubricant Synthesized from Second Generation Jatropha Methyl Ester. Tribol. Ind. 2020, 42, 41–49. [Google Scholar] [CrossRef]
- Zulkifli, N.; Kalam, A.; Masjuki, H.; Shahabuddin, M.; Yunus, R. Wear Prevention Characteristics of a Palm Oil-Based TMP (Trimethylolpropane) Ester as an Engine Lubricant. Energy 2013, 54, 167–173. [Google Scholar] [CrossRef]
- Zhou, Y.; Qu, J. Ionic Liquids as Lubricant Additives: A Review. ACS Appl. Mater. Interfaces 2017, 9, 3209–3222. [Google Scholar] [CrossRef]
- Zhou, F.; Liang, Y.; Liu, W. Ionic Liquid Lubricants: Designed Chemistry for Engineering Applications. Chem. Soc. Rev. 2009, 38, 2590–2599. [Google Scholar] [CrossRef]
- Morshed, A.; Wu, H.; Jiang, Z. A Comprehensive Review of Water-Based Nanolubricants. Lubricants 2021, 9, 89. [Google Scholar] [CrossRef]
- Azman, N.F.; Samion, S. Dispersion Stability and Lubrication Mechanism of Nanolubricants: A Review. Int. J. Precis. Eng. Manuf. Technol. 2019, 6, 393–414. [Google Scholar] [CrossRef]
- Kumar, S.S. Ionic Liquids as Environmental Friendly Cutting Fluids-A Review. Mater. Today Proc. 2020, 37, 2121–2125. [Google Scholar] [CrossRef]
- Amiril, S.A.S.; Rahim, E.A.; Syahrullail, S. A Review on Ionic Liquids as Sustainable Lubricants in Manufacturing and Engineering: Recent Research, Performance, and Applications. J. Clean. Prod. 2017, 168, 1571–1589. [Google Scholar] [CrossRef]
- Espinosa, T.; Sanes, J.; Jimenez, A.-E.; Bermúdez, M.D. Protic Ammonium Carboxylate Ionic Liquid Lubricants of OFHC Copper. Wear 2013, 303, 495–509. [Google Scholar] [CrossRef]
- Espinosa, T.; Jiménez, M.; Sanes, J.; Jiménez, A.-E.; Iglesias, M.; Bermúdez, M.-D. Ultra-Low Friction with a Protic Ionic Liquid Boundary Film at the Water-Lubricated Sapphire–Stainless Steel Interface. Tribol. Lett. 2014, 53, 1–9. [Google Scholar] [CrossRef]
- Avilés, M.-D.; Sánchez-Rodríguez, C.; Pamies, R.; Bermúdez, M.-D.; Carrión-Vilches, F.-J.; Sanfelix, S.G.; Kjøniksen, A.-L. New Water-Ethylene Glycol Lubricants with Stearate Ionic Liquid Crystal Additive. Lubricants 2022, 10, 241. [Google Scholar] [CrossRef]
- Angell, C.A.; Ansari, Y.; Zhao, Z. Ionic Liquids: Past, Present and Future. Faraday Discuss. 2012, 154, 9–27. [Google Scholar] [CrossRef]
- Avilés, M.; Carrión, F.; Sanes, J.; Bermúdez, M. Effects of Protic Ionic Liquid Crystal Additives on the Water-Lubricated Sliding Wear and Friction of Sapphire against Stainless Steel. Wear 2018, 408, 56–64. [Google Scholar] [CrossRef]
- Song, Z.; Liang, Y.; Fan, M.; Zhou, F.; Liu, W. Ionic Liquids from Amino Acids: Fully Green Fluid Lubricants for Various Surface Contacts. RSC Adv. 2014, 4, 19396–19402. [Google Scholar] [CrossRef]
- Iglesias, M.; Gonzalez-Olmos, R.; Cota, I.; Medina, F. Brønsted Ionic Liquids: Study of Physico-Chemical Properties and Catalytic Activity in Aldol Condensations. Chem. Eng. J. 2010, 162, 802–808. [Google Scholar] [CrossRef]
- Kreivaitis, R.; Gumbytė, M.; Kupčinskas, A.; Kazancev, K.; Makarevičienė, V. Investigating the Tribological Properties of PILs Derived from Different Ammonium Cations and Long Chain Carboxylic Acid Anion. Tribol. Int. 2020, 141, 105905. [Google Scholar] [CrossRef]
- Kreivaitis, R.; Gumbytė, M.; Kupčinskas, A.; Kazancev, K.; Na Ta, T.; Horng, J.H. Investigation of Tribological Properties of Two Protic Ionic Liquids as Additives in Water for Steel–Steel and Alumina–Steel Contacts. Wear 2020, 456, 203390. [Google Scholar] [CrossRef]
- Kreivaitis, R.; Kupčinskas, A.; Gumbytė, M.; Treinytė, J. Tribological Properties of Bis(2-hydroxyethyl)ammonium Oleate in Glycerol and Polyethylene Glycol Aqueous Solutions. J. Mol. Liq. 2023, 369, 120933. [Google Scholar] [CrossRef]
- Furey, M.J.; Kajdas, C.; Kempinski, R. Applications of the Concept of Tribopolymerisation in Fuels, Lubricants, Metalworking, and “minimalist” Lubrication. Lubr. Sci. 2002, 15, 73–82. [Google Scholar] [CrossRef]













| Lubricant | Test Temperature, °C | Test Duration, min | Stroke Length, mm | Load, N | Reciprocation Frequency, Hz |
|---|---|---|---|---|---|
| IL-DEE | 30 and 80 | 30 | 1 | 4 | 15 |
| W + IL-DEE | 25 |
| Ionic Liquids | Wear Volume, µm3 × 103 | Wear Scar Diameter, µm | ||
|---|---|---|---|---|
| 30 °C | 80 °C | 30 °C | 80 °C | |
| IL-DEE | 7.52 | 12.21 | 121 | 115 |
| IL-DE | 23.1 * | 163.5 * | n.d. | n.d. |
| Elements of Interest | After the Tribo-Test at 30 °C | After the Tribo-Test at 80 °C | Outside the Wear Trace | |
|---|---|---|---|---|
| Lighter Areas | Dark Areas | |||
| C | 0.58 | 0.69 | 0.39 | 0.18 |
| O | 0.02 | 0.18 | 0.05 | 0.01 |
| N | 4.00 | 4.78 | 3.80 | 6.74 |
| Fe, Cr, Al, Si | Balance | |||
| Ionic Liquids | Wear Volume, µm3 × 103 | Wear Scar Diameter, µm |
|---|---|---|
| W | 343.0 | 284 |
| W + IL-DEE | 182.1 | 221 |
| W + IL-DE | 159.0 * | n.d. |
| Elements of Interest | In the Wear Trace | Outside the Wear Trace |
|---|---|---|
| C | 1.71 | 0.14 |
| O | 3.18 | 0.02 |
| N | 3.30 | 7.01 |
| Fe, Cr, Al, Si | Balance | |
Disclaimer/Publisher’s Note: The statements, opinions and data contained in all publications are solely those of the individual author(s) and contributor(s) and not of MDPI and/or the editor(s). MDPI and/or the editor(s) disclaim responsibility for any injury to people or property resulting from any ideas, methods, instructions or products referred to in the content. |
© 2023 by the authors. Licensee MDPI, Basel, Switzerland. This article is an open access article distributed under the terms and conditions of the Creative Commons Attribution (CC BY) license (https://creativecommons.org/licenses/by/4.0/).
Share and Cite
Kreivaitis, R.; Gumbytė, M.; Kupčinskas, A.; Treinytė, J.; Sendžikienė, E. Synthesis and Tribological Properties of Bis(2-hydroxyethyl)ammonium Erucate as a Potential Environmentally Friendly Lubricant and Lubricant Additive. Appl. Sci. 2023, 13, 3401. https://doi.org/10.3390/app13063401
Kreivaitis R, Gumbytė M, Kupčinskas A, Treinytė J, Sendžikienė E. Synthesis and Tribological Properties of Bis(2-hydroxyethyl)ammonium Erucate as a Potential Environmentally Friendly Lubricant and Lubricant Additive. Applied Sciences. 2023; 13(6):3401. https://doi.org/10.3390/app13063401
Chicago/Turabian StyleKreivaitis, Raimondas, Milda Gumbytė, Artūras Kupčinskas, Jolanta Treinytė, and Eglė Sendžikienė. 2023. "Synthesis and Tribological Properties of Bis(2-hydroxyethyl)ammonium Erucate as a Potential Environmentally Friendly Lubricant and Lubricant Additive" Applied Sciences 13, no. 6: 3401. https://doi.org/10.3390/app13063401
APA StyleKreivaitis, R., Gumbytė, M., Kupčinskas, A., Treinytė, J., & Sendžikienė, E. (2023). Synthesis and Tribological Properties of Bis(2-hydroxyethyl)ammonium Erucate as a Potential Environmentally Friendly Lubricant and Lubricant Additive. Applied Sciences, 13(6), 3401. https://doi.org/10.3390/app13063401

