Effect of the Organic Matter Content on the Mechanical Properties of Soils Stabilized with Xanthan Gum
Abstract
1. Introduction
- (i)
- (ii)
- (iii)
- (iv)
- Some one-dimensional compression tests with a bentonite and a kaolinite stabilized with XG show a decrease in the compressibility after the stabilization with xanthan gum [31]. However, it should be emphasized that not all the results published are consistent with each other; indeed, results of a soft marine soil [30], kaolinite clay [35], sandy soil [23], and silt sand [29] show an increase in the compressibility after stabilization with XG. In terms of the coefficient of consolidation (Cv), results of the treatment of a marine soft soil [30], high plastic soil [36], and kaolinite clay [35] with XG promotes a significant reduction in the Cv; i.e., the stabilization with XG prolongs the time required to the end of the primary consolidation. Additionally, the coefficient of secondary compression of a kaolinite clay increases after the stabilization with xanthan gum [35];
- (v)
- (vi)
- (vii)
- Increases the undrained shear strength of a kaolinite clay, but decreases the undrained shear strength of a montmorillonite clay [38];
- (viii)
- Decreases the cumulative variation in moisture loss and mass loss in freeze–thaw tests [36];
- (ix)
- Decreases the swelling potential of a high plastic soil [36].
2. Materials and Methods
2.1. Characteristics of the Soils
2.2. Characteristiques of the Biopolymer (Xanthan Gum)
2.3. Specimen Preparation and Testing
- (i)
- This soil subjected to loss-on-ignition at 400 °C (with an OM content of 1.5%) was mixed with the “natural” soil (OM = 7.7%) in different amounts to obtain the samples of artificial soil with the desired OM content, between 1.5% (lower OM) and 7.7% (natural OM). Naturally, the process of adjustment of the OM content had some iterations, with the re-evaluation and eventual re-adjustment of the OM content;
- (ii)
- In the case of the stabilized samples, an XG content of 1% (ratio of the dry weight of XG to the dry weight of the soil) in powder form was added to the dry artificial soil and mixed well;
- (iii)
- The artificial soil (with the required OM content), with or without XG, was mixed with the distilled water, to obtain a liquidity index of 1.1, during the time necessary to obtain a homogeneous soil-water-XG paste;
- (iv)
- The mixture was introduced into the UCS molds (38 mm in diameter, 76 mm height) and oedometer molds (70 mm in diameter, 19 mm height) in 3 layers and 1 layer, respectively;
- (v)
- Each layer was subjected to tapping (10 times) to remove air bubbles and compacted with 100 kPa for 10 s;
- (vi)
- A superficial scarification of the previous layer was performed to improve the connection between two successive layers in the molds;
- (vii)
- Based on the results of Venda Oliveira and Cabral [29], the stabilized specimens were stored in a plastic bag during 14 days of curing time (only stabilized specimens) inside a room with controlled temperature (20 ± 2 °C) and humidity (95 ± 5%), in order to reduce the suction phenomenon. The unstabilized specimens were not submitted to a curing time;
- (viii)
- After that, the specimens were removed from the molds, both surfaces were trimmed and the quality of the samples was analyzed visually;
- (ix)
- The specimens with the required quality were accepted for testing (UCS and oedometer tests);
- (x)
- The oedometer ring (polished stainless steel) was coated with a thin film of grease prior to the oedometer tests to minimize the friction between it and the soil;
- (xi)
- The oedometer ring was assembled with the specimen, and they were saturated by immersion;
- (xii)
- The displacement transducers (both tests) and the load cell (UCS tests) were set up and adjusted;
- (xiii)
- The UCS and oedometer tests were carried out. The vertical displacement (both tests) and the vertical pressure (UCS test) were recorded by an automatic data acquisition system;
- (xiv)
- A strain controlled test was used in the UCS tests under a strain rate of 1%/min (ASTM2166-05);
- (xv)
- In accordance with ASTM D2435-04, stress increments with a load ratio of 2 were applied in the loading path of the oedometer tests, while in the unloading path a load ratio of 4 was used during the time required to the end of the primary consolidation. The coefficient of consolidation (Cv) was evaluated using Casagrande’s methodology.
3. Results and Discussion
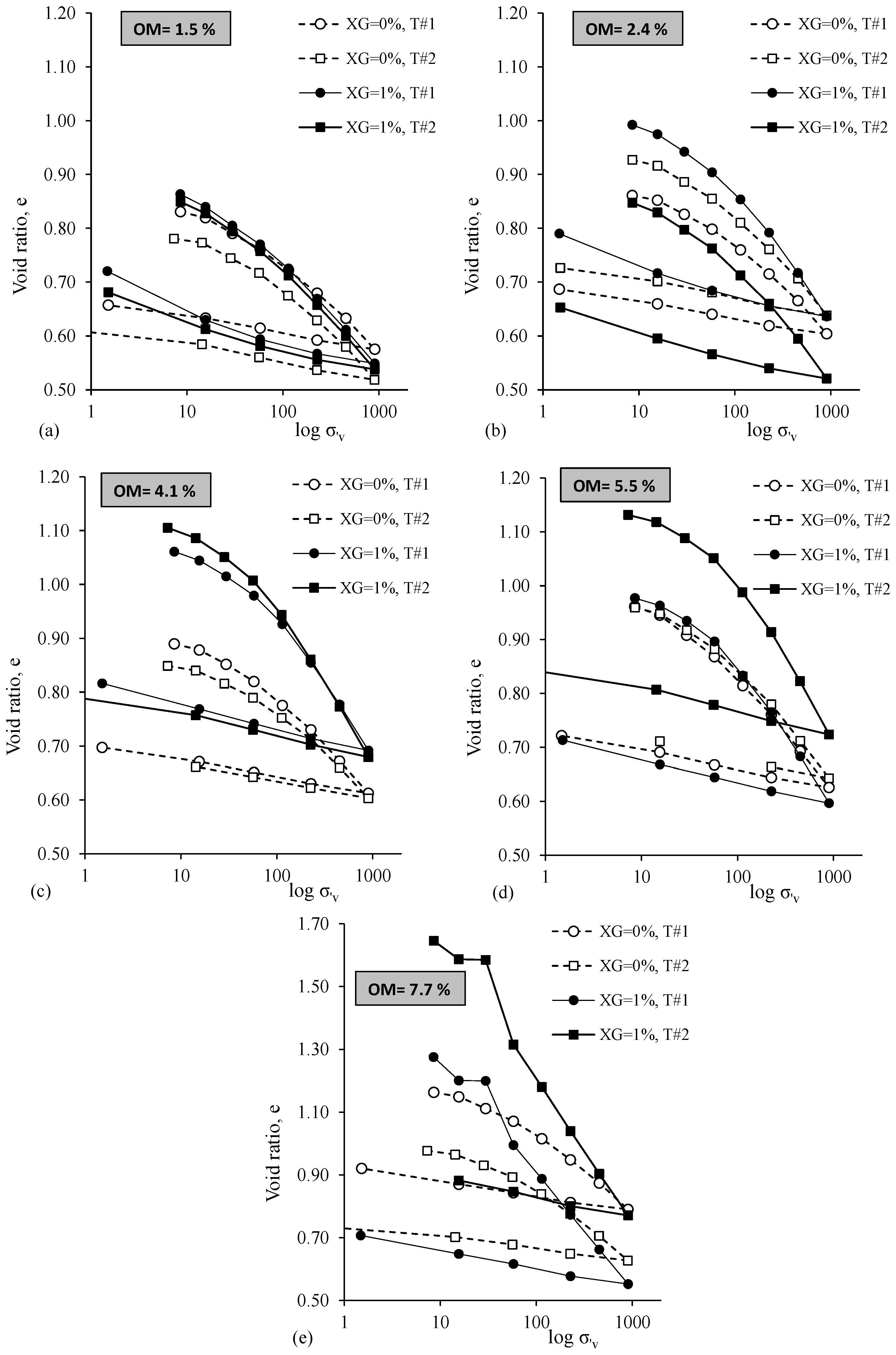
3.1. UCS Tests
3.2. Oedometer Tests
- (i)
- a progressive increase in the compressibility with the increase in the vertical stress.
- (ii)
- The increase in the void ratio with the OM content, which agrees with the findings of Venda Oliveira et al. [48].
- (iii)
- The upward movement of the e-logσ’v curves after the stabilization with XG due to the hydration of the biopolymer’s hydrogels, which induces an increase in the void ratio; this tendency matches with the results of Venda Oliveira et al. [29].
4. Main Conclusions
- (i)
- For an OM content in the range of 1.5–5.5%, there is a positive impact resulting from the stabilization with XG on the mechanical properties, with a significant increase in strength (from 130% to 270%) and stiffness (from 109% to 204%). Moreover, the stabilization with XG induces a decrease in the ductility of the stress-strain behavior characterized by a loss of strength after the peak;
- (ii)
- There is a detrimental impact of the stabilization with XG in terms of mechanical properties for an OM content of 7.7%, while the stress-strain behavior remains ductile. These results seem to indicate that this OM content is sufficient to coat the soil particles, which prevents bonds (i.e., a micro-reinforcement network) being established between the soil particles and the XG, and simultaneously the hydration of the biopolymer hydrogels tends to minimize the friction between the soil particles;
- (iii)
- The stabilization of the soil with XG induces an increase in the initial void ratio; this effect is enhanced by the increase in the OM content, which reflects the effect of two cumulative factors, the ability of the organic matter to retain water, and the hydration of the hydrogels of the XG in the presence of water;
- (iv)
- The stabilization with XG increases the change in the void ratio both in compression (i.e., Cc) and swelling (i.e., Cs), with more significant effects in terms of compression; this behavior is amplified with the increase in the OM content;
- (v)
- In compression, the increase in the OM content induces an increase in the change in the void ratio (i.e., the Cc). The void ratio variation (and the Cs) is negligible for the swelling relative to the change in OM content;
- (vi)
- The coefficient of consolidation (Cv) of the unstabilized soil decreases with the increase in OM content, which is due to the significant ability of the OM to absorb water;
- (vii)
- The stabilization process induces a significant decrease in the Cv, which is related to the considerable capacity of the biopolymers to retain water, due to the hydration of the hydrogels.
Author Contributions
Funding
Institutional Review Board Statement
Informed Consent Statement
Data Availability Statement
Acknowledgments
Conflicts of Interest
References
- IPCC. Climate Change 2022—Mitigation of Climate Change, IPCC AR6 WG III. Working Group III Contribution to the Sixth Assessment Report of the Intergovernmental Panel on Climate Change; IPCC: Geneva, Switzerland, 2022.
- Chang, I.; Im, J.; Cho, G.C. Introduction of microbial biopolymers in soil treatment for future environmentally-friendly and sustainable geotechnical engineering. Sustainability 2016, 8, 251. [Google Scholar] [CrossRef]
- Gomes, C.; Lopes, M.L.; Venda Oliveira, P.J. Stiffness parameters of municipal solid waste. Bull. Eng. Geol. Environ. 2014, 73, 1073–1087. [Google Scholar] [CrossRef]
- Nugent, R.; Zhang, G.; Gambrell, R. Effect of exopolymers on the liquid limit of clays and its engineering implications. Transp. Res. Rec. 2009, 2101, 34–43. [Google Scholar] [CrossRef]
- Mendonça, A.; Morais, P.V.; Pires, A.C.; Chung, A.P.; Venda Oliveira, P.J. A Review on the Importance of Microbial Biopolymers Such as Xanthan Gum to Improve Soil Properties. Appl. Sci. 2021, 11, 170. [Google Scholar] [CrossRef]
- Al Qabany, A.; Soga, K. Effect of chemical treatment used in MICP on engineering properties of cemented soils. Géotechnique 2013, 63, 331–339. [Google Scholar] [CrossRef]
- Venda Oliveira, P.J.; Costa, M.S.; Costa, J.N.P.; Nobre, M.F. Comparison of the ability of two bacteria to improve the behaviour of a sandy soil. J. Mater. Civ. Eng. 2015, 27, 06014025. [Google Scholar] [CrossRef]
- Venda Oliveira, P.J.; Freitas, L.D.; Carmona, J.P.S.F. Effect of Soil Type on the Enzymatic Calcium Carbonate Precipitation Process Used for Soil Improvement. J. Mater. Civ. Eng. 2016, 29, 04016263. [Google Scholar] [CrossRef]
- Venda Oliveira, P.J.; Neves, J.P.G. Effect of Organic Matter Content on Enzymatic Biocementation Process Applied to Coarse-Grained Soils. J. Mater. Civ. Eng. 2019, 31, 04019121. [Google Scholar] [CrossRef]
- Venda Oliveira, P.J.; Rosa, J.A.O. Confined and unconfined behaviour of a silty sand improved by the enzymatic biocementation method. Transp. Geotech. 2020, 24, 100400. [Google Scholar] [CrossRef]
- Lin, H.; Suleiman, M.T.; Brown, D.G.; Kavazanjian, E., Jr. Mechanical behaviour of sands treated by microbially induced carbonate precipitation. J. Geotech. Geoenviron. Eng. 2016, 142, 04015066. [Google Scholar] [CrossRef]
- van Paassen, L.A.; Ghose, R.; van der Linden, T.J.M.; van der Star, W.R.L.; van Loosdrecht, M.C.M. Quantifying biomediated ground improvement by ureolysis: Large-scale biogrout experiment. J. Geotech. Geoenviron. Eng. 2010, 136, 1721–1728. [Google Scholar] [CrossRef]
- Mortensen, B.M.; Haber, M.J.; DeJong, J.T.; Caslake, L.F.; Nelson, D.C. Effects of environmental factors on microbial induced calcium carbonate precipitation. J. Appl. Microbiol. 2011, 111, 338–349. [Google Scholar] [CrossRef] [PubMed]
- Yasuhara, H.; Neupane, D.; Hayashi, K.; Okamura, M. Experiments and predictions of physical properties of sand cemented by enzymatically-induced carbonate precipitation. Soils Found. 2012, 52, 539–549. [Google Scholar] [CrossRef]
- Jiang, N.J.; Soga, K. The applicability of microbially induced calcite precipitation (MICP) for internal erosion control in gravel–sand mixtures. Geotechnique 2016, 67, 42–55. [Google Scholar] [CrossRef]
- Carmona, J.P.S.F.; Venda Oliveira, P.J.; Lemos, L.J.L.; Pedro, A.M.G. Improvement of a sandy soil by enzymatic CaCO3 precipitation. ICE—Geotech. Eng. 2018, 171, 3–15. [Google Scholar] [CrossRef]
- Ghasemzadeh, H.; Farzaneh, M. Application of novel Persian gum hydrocolloid in soil stabilization. Carbohydr. Polym. 2020, 246, 116639. [Google Scholar] [CrossRef]
- Babatunde, Q.O.; Byun, Y.-H. Soil Stabilization Using Zein Biopolymer. Sustainability 2023, 15, 2075. [Google Scholar] [CrossRef]
- Muguda, S.; Hughes, P.N.; Augarde, C.E.; Perlot, C.; Walter, B.A.; Gallipoli, D. Cross-linking of biopolymers for stabilizing earthen construction materials. Build. Res. Inf. 2022, 50, 502–514. [Google Scholar] [CrossRef]
- Chang, I.; Prasidhi, A.K.; Im, J.; Shin, H.D.; Cho, G.C. Soil treatment using microbial biopolymers for anti-desertification purposes. Geoderma 2015, 253–254, 39–47. [Google Scholar] [CrossRef]
- Khachatoorian, R.; Petrisor, I.G.; Kwan, C.C.; Yen, T.F. Biopolymer plugging effect: Laboratory-pressurized pumping flow studies. J. Pet. Sci. Eng. 2003, 38, 13–21. [Google Scholar] [CrossRef]
- Bouazza, A.; Gates, W.P.; Ranjith, P.G. Hydraulic conductivity of biopolymer-treated silty sand. Géotechnique 2009, 59, 71–72. [Google Scholar] [CrossRef]
- Cabalar, A.F.; Wiszniewski, M.; Skutnik, Z. Effects of Xanthan Gum Biopolymer on the Permeability, Odometer, Unconfined Compressive and Triaxial Shear Behaviour of a Sand. Soil Mech. Found. Eng. 2017, 54, 356–361. [Google Scholar] [CrossRef]
- Dehghan, H.; Tabarsa, A.; Latifi, N.; Bagheri, Y. Use of Xanthan and guar gums in soil strengthening. Clean Technol. Environ. Policy 2019, 21, 155–165. [Google Scholar] [CrossRef]
- Mendonça, A.; Morais, P.V.; Pires, A.C.; Chung, A.P.; Venda Oliveira, P.J. Reducing Soil Permeability Using Bacteria-Produced Biopolymer. Appl. Sci. 2021, 11, 7278. [Google Scholar] [CrossRef]
- Sujatha, E.R.; Atchaya, S.; Sivasaran, A.; Keerdthe, R.S. Enhancing the geotechnical properties of soil using xanthan gum—An eco-friendly alternative to traditional stabilizers. Bull. Eng. Geol. Environ. 2021, 80, 1157–1167. [Google Scholar] [CrossRef]
- Chang, I.; Im, J.; Prasidhi, A.K.; Cho, G.C. Effects of Xanthan gum biopolymer on soil strengthening. Constr. Build. Mater. 2015, 74, 65–72. [Google Scholar] [CrossRef]
- Lee, S.; Chung, M.; Park, H.M.; Song, K.-I.; Chang, I. Xanthan gum Biopolymer as Soil-Stabilization Binder for Road Construction Using Local Soil in Sri Lanka. J. Mater. Civ. Eng. 2019, 31, 06019012. [Google Scholar] [CrossRef]
- Venda Oliveira, P.J.; Cabral, D.J.R. Behaviour of a silty sand stabilized with xanthan gum under unconfined and confined conditions. ICE—Ground Improv. 2023, 176, 3–13. [Google Scholar] [CrossRef]
- Kwon, Y.-M.; Chang, I.; Lee, M.; Cho, G.C. Geotechnical engineering behaviour of biopolymer-treated soft marine soil. Geomech. Eng. 2019, 17, 453–464. [Google Scholar] [CrossRef]
- Latifi, N.; Horpibulsuk, S.; Meehan, C.L.; Abd Majid, M.Z.; Tahir, M.M.; Mohamad, E.T. Improvement of problematic soils with biopolymer-an environmentally friendly soil stabilizer. J. Mater. Civ. Eng. 2017, 29, 04016204. [Google Scholar] [CrossRef]
- Chang, I.; Kwon, Y.-M.; Im, J.; Gye-Chun Cho, G.C. Soil consistency and interparticle characteristics of Xanthan gum biopolymer–containing soils with pore-fluid variation. Can. Geotech. J. 2019, 56, 1206–1213. [Google Scholar] [CrossRef]
- Chang, I.; Jeon, M.; Cho, G.C. Application of microbial biopolymers as an alternative construction binder for earth buildings in underdeveloped countries. Int. J. Polym. Sci. 2015, 2015, 326745. [Google Scholar] [CrossRef]
- Sulaiman, H.; Taha, M.R.; Rahman, N.A.; Taib, A.M. Performance of soil stabilized with biopolymer materials—Xanthan gum and guar gum. Phys. Chem. Earth 2022, 128, 103276. [Google Scholar] [CrossRef]
- Kwon, Y.-M.; Chang, I.; Cho, G.-C. Consolidation and swelling behavior of kaolinite clay containing xanthan gum biopolymer. Acta Geotech. 2023, 1–17. [Google Scholar] [CrossRef]
- Hamza, M.; Nie, Z.; Aziz, M.; Ijaz, N.; Akram, O.; Fang, C.; Ghani, M.U.; Ijaz, Z.; Noshin, S.; Madni, M.F. Geotechnical behavior of high-plastic clays treated with biopolymer: Macro–micro-study. Environ. Earth Sci. 2023, 82, 91. [Google Scholar] [CrossRef]
- Reddy, J.J.; Varaprasad, B.J.S. Long-term and durability properties of xanthan gum treated dispersive soils—An eco-friendly material. Mater. Today Proc. 2021, 44, 309–314. [Google Scholar] [CrossRef]
- Chang, I.; Kwon, Y.-M.; Cho, G.-C. Effect of Pore–Fluid Chemistry on the Undrained Shear Strength of Xanthan Gum Biopolymer-Treated Clays. J. Geotech. Geoenviron. Eng. 2021, 147, 06021013. [Google Scholar] [CrossRef]
- Venda Oliveira, P.J.; Correia, A.A.S.; Garcia, M.R. Effect of organic matter content and curing conditions on the creep behaviour of an artificially stabilized soil. J. Mater. Civ. Eng. 2012, 24, 868–875. [Google Scholar] [CrossRef]
- Correia, A.A.S. Applicability of Deep Mixing Technique to Portuguese Soft Soils. Ph.D. Thesis, University of Coimbra, Coimbra, Portugal, 2011. (In Portuguese). [Google Scholar]
- Vieira, A.F.V. Effect of Organic Matter Content on the Creep Reduction by Preloading: Laboratorial Analysis. Master’s Thesis, University of Coimbra, Coimbra, Portugal, 2016. (In Portuguese). [Google Scholar]
- Reis, M.J.F.C.C. Effect of Organic Matter Content on the Behaviour of Soils Stabilized with the Biopolymer Xanthan Gum. Master’s Thesis, University of Coimbra, Coimbra, Portugal, 2021. (In Portuguese). [Google Scholar]
- Venda Oliveira, P.J.; Correia, A.A.S.; Garcia, M.R. Effect of stress level and binder composition on secondary compression of an artificially stabilized soil. J. Geotech. Geoenviron. Eng. 2013, 139, 810–820. [Google Scholar] [CrossRef]
- Bennett, R.H.; Lehman, L.; Hulbert, M.H.; Harvey, G.R.; Bush, S.A.; Forde, E.B.; Crews, P.; Sawyer, W.B. Interrelationship of organic carbon and submarine sediment geotechnical properties. Mar. Geotechnol. 1985, 6, 61–98. [Google Scholar] [CrossRef]
- Booth, J.S.; Dahl, A.G. A note on the relationships between organic matter and some geotechnical properties of marine sediment. Mar. Geotechnol. 1986, 6, 281–297. [Google Scholar] [CrossRef]
- Coelho, P.A.L.F. Geotechnical Characterization of Soft Soils. Study of the Experimental Site of Quinta do Foja. Master’s Thesis, University of Coimbra, Coimbra, Portugal, 2000. (In Portuguese). [Google Scholar]
- García-Ochoa, F.; Santos, V.E.; Casas, J.A.; Gómez, E. Xanthan gum: Production, recovery, and properties. Biotechnol. Adv. 2000, 18, 549–579. [Google Scholar] [CrossRef] [PubMed]
- Venda Oliveira, P.J.; Vieira, A.F.V.; Correia, A.A.S. Effect of organic matter content on creep mitigation by preloading. ICE—Geotech. Eng. 2017, 170, 305–311. [Google Scholar] [CrossRef]
- Thiyyakkandi, S.; Annex, S. Effect of organic content on geotechnical properties of Kuttanad clay. Electron. J. Geotech. Eng. 2011, 16, 1653–1663. [Google Scholar]









| Organic Matter Content (%) | Xanthan Gum Content (%) | Curing Time (Days) | UCS Tests (N) | Oedometer Tests (N) | 
|---|---|---|---|---|
| 1.5 | 0.0 1 | --- | 3 | 2 | 
| 1.0 2 | 14 | 3 | 2 | |
| 2.4 | 0.0 1 | --- | 3 | 2 | 
| 1.0 2 | 14 | 3 | 2 | |
| 4.1 | 0.0 1 | --- | 3 | 2 | 
| 1.0 2 | 14 | 3 | 2 | |
| 5.5 | 0.0 1 | --- | 3 | 2 | 
| 1.0 2 | 14 | 3 | 2 | |
| 7.7 | 0.0 1 | --- | 3 | 2 | 
| 1.0 2 | 14 | 3 | 2 | 
| Property | Organic Matter Content (%) | ||||
|---|---|---|---|---|---|
| 1.5 | 2.4 | 4.1 | 5.5 | 7.7 1 | |
| Grain size distribution: | |||||
| Clay (%) | 23 | 23 | 23 | 23 | 23 | 
| Silt (%) | 57 | 57 | 57 | 57 | 57 | 
| Sand (%) | 20 | 20 | 20 | 20 | 20 | 
| Specific gravity, G | -- | -- | -- | -- | 2.32 | 
| Liquid limit, wL (%) | 36.3 | 40.9 | 46.6 | 54.1 | 71.0 | 
| Plastic limit, wP (%) | 15.3 | 33.1 | 33.2 | 33.0 | 44.3 | 
| Plasticity index, PI (%) | 21.0 | 7.8 | 13.4 | 21.1 | 26.7 | 
| Liquidity index | 1.09 | 1.09 | 1.09 | 1.09 | 1.09 | 
| Soil classification, USCS 2 | CL | CL | OL | OH | OH | 
| Chemical composition | |||||
| pH (BSI337-3) | -- | -- | -- | -- | 3.6 | 
| SiO2 (%) | -- | -- | -- | -- | 62 | 
| Al2O3 (%) | -- | -- | -- | -- | 16 | 
| Fe2O3 (%) | -- | -- | -- | -- | 4.8 | 
| Disclaimer/Publisher’s Note: The statements, opinions and data contained in all publications are solely those of the individual author(s) and contributor(s) and not of MDPI and/or the editor(s). MDPI and/or the editor(s) disclaim responsibility for any injury to people or property resulting from any ideas, methods, instructions or products referred to in the content. | 
© 2023 by the authors. Licensee MDPI, Basel, Switzerland. This article is an open access article distributed under the terms and conditions of the Creative Commons Attribution (CC BY) license (https://creativecommons.org/licenses/by/4.0/).
Share and Cite
Oliveira, P.J.V.; Reis, M.J.F.C.C. Effect of the Organic Matter Content on the Mechanical Properties of Soils Stabilized with Xanthan Gum. Appl. Sci. 2023, 13, 4787. https://doi.org/10.3390/app13084787
Oliveira PJV, Reis MJFCC. Effect of the Organic Matter Content on the Mechanical Properties of Soils Stabilized with Xanthan Gum. Applied Sciences. 2023; 13(8):4787. https://doi.org/10.3390/app13084787
Chicago/Turabian StyleOliveira, Paulo J. Venda, and Maria J. F. C. C. Reis. 2023. "Effect of the Organic Matter Content on the Mechanical Properties of Soils Stabilized with Xanthan Gum" Applied Sciences 13, no. 8: 4787. https://doi.org/10.3390/app13084787
APA StyleOliveira, P. J. V., & Reis, M. J. F. C. C. (2023). Effect of the Organic Matter Content on the Mechanical Properties of Soils Stabilized with Xanthan Gum. Applied Sciences, 13(8), 4787. https://doi.org/10.3390/app13084787
 
        



 
       