Evaluation of an Eye-Tracking-Based Method for Assessing the Visual Performance with Progressive Lens Designs
Abstract
1. Introduction
2. Materials and Methods
3. Results
3.1. Sample Characteristics
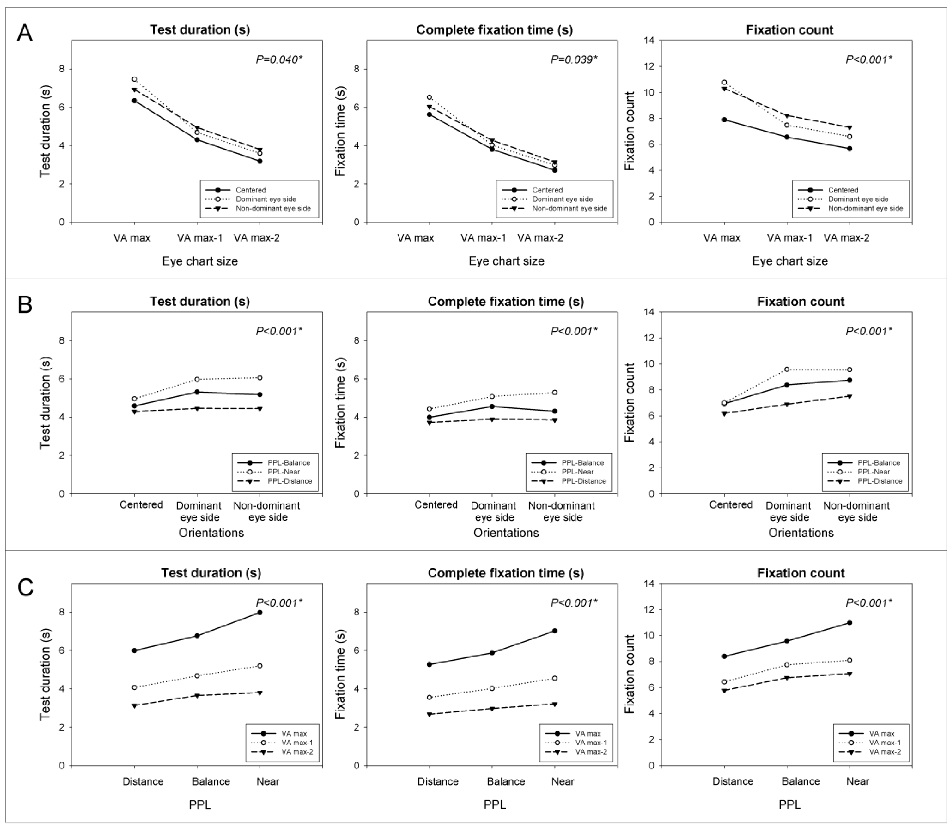
3.2. Far-Distance VA
3.3. Near-Distance VA
4. Discussion
5. Conclusions
6. Patents
Author Contributions
Funding
Institutional Review Board Statement
Informed Consent Statement
Data Availability Statement
Acknowledgments
Conflicts of Interest
References
- Millodot, M. Dictionary of Optometry and Visual Science E-Book, 7th ed.; Elsevier Health Sciences: London, UK, 2014. [Google Scholar]
- Raasch, T.W.; Lijuan, S.; Yi, A. Whole-Surface Characterization of Progressive Addition Lenses. Optom. Vis. Sci. 2011, 88, 217–226. [Google Scholar] [CrossRef] [PubMed]
- Alonso, J.; Gómez-Pedrero, J.A.; Quiroga, J.A. Modern Ophthalmic Optics, 1st ed.; Cambridge University Press: Cambridge, UK, 2019. [Google Scholar]
- Sheedy, J.E.; Campbell, C.; King-Smith, E.; Hayes, J.R. Progressive Powered Lenses: The Minkwitz Theorem. Optom. Vis. Sci. 2005, 82, 916–922. [Google Scholar] [CrossRef] [PubMed]
- Sheedy, J.E. Progressive addition lenses—Matching the specific lens to patient needs. Optometry 2004, 75, 83–102. [Google Scholar] [CrossRef] [PubMed]
- Sheedy, J.E. Correlation analysis of the optics of progressive addition lenses. Optom. Vis. Sci. 2004, 81, 350–361. [Google Scholar] [CrossRef]
- Arroyo, R.; Crespo, D.; Alonso, J. Influence of the Base Curve in the Performance of Customized and Classical Progressive Lenses. Optom. Vis. Sci. 2013, 90, 282–292. [Google Scholar] [CrossRef]
- Arroyo, R.; Crespo, D.; Alonso, J. Scoring of Progressive Power Lenses by Means of User Power Maps. Optom. Vis. Sci. 2012, 89, E489–E501. [Google Scholar] [CrossRef]
- Sheedy, J.E.; Hardy, R.F. The optics of occupational progressive lenses. Optom. J. Am. Optom. Assoc. 2005, 76, 432–441. [Google Scholar] [CrossRef]
- Boutron, I.; Touizer, C.; Pitrou, I.; Roy, C.; Ravaud, P. The VEPRO trial: A cross-over randomised controlled trial comparing 2 progressive lenses for patients with presbyopia. Trials 2009, 9, 54. [Google Scholar] [CrossRef]
- Mateo, B.; Porcar-Seder, R.; Solaz, J.S.; Dürsteler, J.C. Experimental procedure for measuring and comparing head–neck–trunk posture and movements caused by different progressive addition lens designs. Ergonomics 2010, 53, 904–913. [Google Scholar] [CrossRef]
- Han, S.C.; Graham, A.D.; Lin, M.C. Clinical Assessment of a Customized Free-Form Progressive Add Lens Spectacle. Optom. Vis. Sci. 2011, 88, 234–243. [Google Scholar] [CrossRef]
- Forkel, J.; Reiniger, J.L.; Muschielok, A.; Welk, A.; Seidemann, A.; Baumbach, P. Personalized Progressive Addition Lenses: Correlation between Performance and Design. Optom. Vis. Sci. 2017, 94, 208–218. [Google Scholar] [CrossRef]
- Selenow, A.; Bauer, E.A.; Ali, S.R.; Spencer, L.W.; Ciuffreda, K.J. Assessing Visual Performance with Progressive Addition Lenses. Optom. Vis. Sci. 2002, 79, 502–505. [Google Scholar] [CrossRef] [PubMed]
- Selenow, A. Progressive lenses: New techniques for assessing visual performance. In Vision Science and Its Applications; Optical Society of America: Washion, DC, USA, 2000; p. MD4. [Google Scholar]
- Habtegiorgis, S.W.; Rifai, K.; Lappe, M.; Wahl, S. Experience-dependent long-term facilitation of skew adaptation. J. Vis. 2018, 18, 7. [Google Scholar] [CrossRef] [PubMed]
- Legras, R.; Vincent, M.; Marin, G. Does visual acuity predict visual preference in progressive addition lenses? J. Optom. 2022. [CrossRef]
- Chamorro, E. Lens Design Techniques to Improve Satisfaction in Free-Form Progressive Addition Lens Users. J. Optom. 2018, 6, 91–99. [Google Scholar] [CrossRef]
- Villegas, E.A.; Artal, P. Visual Acuity and Optical Parameters in Progressive-Power Lenses. Optom. Vis. Sci. 2006, 83, 672–681. [Google Scholar] [CrossRef] [PubMed]
- Duchowski, A.T.; Duchowski, A.T. Eye Tracking Methodology: Theory and Practice; Springer: Berlin, Germany, 2017. [Google Scholar]
- Holmqvist, K.; Andersson, R. Eye-Tracking: A Comprehensive Guide to Methods, Paradigms and Measures, 2nd ed.; Lund Eye-Tracking Research Institute: Lund, Sweden, 2017. [Google Scholar]
- Hooge, I.T.C.; Niehorster, D.C.; Nyström, M.; Andersson, R.; Hessels, R.S. Fixation classification: How to merge and select fixation candidates. Behav. Res. Methods 2022, 54, 2765–2776. [Google Scholar] [CrossRef] [PubMed]
- Holmqvist, K.; Örbom, S.L.; Hooge, I.T.; Niehorster, D.C.; Alexander, R.G.; Andersson, R.; Benjamins, J.S.; Blignaut, P.; Brouwer, A.M.; Chuang, L.L.; et al. Eye tracking: Empirical foundations for a minimal reporting guideline. Behav. Res. Methods 2023, 55, 364–416. [Google Scholar] [CrossRef]
- Rayner, K.; Pollatsek, A.; Ashby, J.; Clifton, C., Jr. Psychology of Reading; Psychology Press: London, UK, 2012. [Google Scholar]
- Grisham, D.; Powers, M.; Riles, P. Visual skills of poor readers in high school. Optometry 2007, 78, 542–549. [Google Scholar] [CrossRef]
- Han, Y.; Ciuffreda, K.J.; Selenow, A.; Ali, S.R. Dynamic Interactions of Eye and Head Movements When Reading with Single-Vision and Progressive Lenses in a Simulated Computer-Based Environment. Investig. Ophthalmol. Vis. Sci. 2003, 44, 1534–1545. [Google Scholar] [CrossRef]
- Han, Y.; Ciuffreda, K.J.; Selenow, A.; Bauer, E.; Ali, S.R.; Spencer, W. Static Aspects of Eye and Head Movements during Reading in a Simulated Computer-Based Environment with Single-Vision and Progressive Lenses. Investig. Ophthalmol. Vis. Sci. 2003, 44, 145–153. [Google Scholar] [CrossRef] [PubMed]
- Concepcion-Grande, P.; González, A.; Chamorro, E.; Cleva, J.M.; Alonso, J.; Gómez-Pedrero, J.A. Eye movements as a predictor of preference for progressive power lenses. J. Eye Mov. Res. 2022, 15. [Google Scholar] [CrossRef] [PubMed]
- Rifai, K.; Wahl, S. Specific eye-head coordination enhances vision in progressive lens wearers. J. Vis. 2016, 16, 5. [Google Scholar] [CrossRef] [PubMed]
- Concepcion-Grande, P.; Chamorro, E.; Cleva, J.M.; Alonso, J.; Gómez-Pedrero, J.A. Correlation between reading time and characteristics of eye fixations and progressive lens design. PLoS ONE 2023, 18, e0281861. [Google Scholar] [CrossRef] [PubMed]
- Bailey, I.L.; Jackson, A.J. Changes in the clinical measurement of visual acuity. J. Phys. Conf. Ser. 2016, 772, 012046. [Google Scholar] [CrossRef]
- Ng, J.S.; Wong, A. Line-by-line visual acuity scoring equivalence with letter-by-letter visual acuity scoring. Clin. Exp. Optom. 2022, 105, 414–419. [Google Scholar] [CrossRef]
- Olsen, A. The Tobii I-VT fixation filter. Tobii Technol. 2012, 21, 4–19. [Google Scholar]
- Tobii Technology, A.B. Determining the Tobii I-VT Fixation Filter’s Default Values: Method Description and Results Discussion; Tobii® Technology: Danderyd Municipality, Sweden, 2012. [Google Scholar]
- Wass, S.V.; Forssman, L.; Leppänen, J. Robustness and precision: How data quality may influence key dependent variables in infant eye-tracker analyses. Infancy 2014, 19, 427–460. [Google Scholar] [CrossRef]
- Seabold, S.; Perktold, J. Statsmodels: Econometric and statistical modeling with python. In Proceedings of the 9th Python in Science Conference, Austin, TX, USA, 28 June–3 July 2010; pp. 10–25080. [Google Scholar]





| PPL-Balance VA (Mean ± SD) | PPL-Distance VA (Mean ± SD) | PPL-Near VA (Mean ± SD) | SS | MS | Df | F-Ratio | p-Value |
|---|---|---|---|---|---|---|---|
| −0.06 ± 0.06 | −0.06 ± 0.06 | −0.05 ± 0.07 | 0.005 | 0.002 | 2 | 2.205 | 0.120 |
| Centered VA (Mean ± SD) | Dominant eye VA (Mean ± SD) | Non Dominant Eye VA (Mean ± SD) | SS | MS | Df | F-Ratio | p-Value |
| −0.06 ± 0.06 | −0.06 ± 0.06 | −0.05 ± 0.07 | 0.004 | 0.002 | 2 | 1.833 | 0.170 |
| ANOVA Test for Eye Chart Size | Tukey HSD Comparisons for Eye Chart Size (p-Value) | ||||||
|---|---|---|---|---|---|---|---|
| Df | Mean Square | F-Ratio | p-Value | AVmax/Avmax-1 | AVmax/Avmax-2 | AVmax-1/Avmax-2 | |
| Test duration | 2 | 725.671 | 55.82 | <0.001 * | <0.001 * | <0.001 * | <0.001 * |
| Fixation time | 2 | 606.413 | 61.16 | <0.001 * | <0.001 * | <0.001 * | <0.001 * |
| Fixation count | 2 | 628.898 | 17.07 | <0.001 * | <0.001 * | <0.001 * | 0.1476 |
| ANOVA test for gaze direction | Tukey HSD comparisons for gaze direction (p-value) | ||||||
| Df | Mean square | F-ratio | p-value | Centered/dominant | Centered/Non dominant | Dominant/Non | |
| Test duration | 2 | 31.62 | 6.09 | 0.040 * | 0.066 | 0.079 | 0.996 |
| Fixation time | 2 | 16.24 | 3.45 | 0.039 * | 0.172 | 0.2069 | 0.995 |
| Fixation count | 2 | 252.45 | 12.17 | <0.001 * | 0.003 * | <0.001 * | 0.782 |
| ANOVA test for lens design | Tukey HSD comparisons for lens design (p-value) | ||||||
| Df | Mean square | F-ratio | p-value | Balance/Distance | Balance/Near | Distance/Near | |
| Test duration | 2 | 96.87 | 13.82 | <0.001 * | 0.066 | 0.065 | <0.001 * |
| Fixation time | 2 | 74.62 | 14.86 | <0.001 * | 0.163 | 0.031 * | <0.001 * |
| Fixation count | 2 | 211.79 | 8.18 | <0.001 * | 0.047 * | 0.331 | <0.001 * |
| PPL-Balance VA (Mean ± SD) | PPL-Distance VA (Mean ± SD) | PPL-Near VA (Mean ± SD) | SS | MS | Df | F-Ratio | p-Value |
|---|---|---|---|---|---|---|---|
| 0.09 ± 0.09 | 0.09 ± 0.09 | 0.08 ± 0.09 | 0.008 | 0.004 | 2 | 1.140 | 0.146 |
| Centered VA (mean ± SD) | Dominant eye VA (mean ± SD) | Non dominant eye VA (mean ± SD) | SS | MS | Df | F-ratio | p-value |
| 0.08 ± 0.09 | 0.08 ± 0.08 | 0.09 ± 0.09 | 0.004 | 0.002 | 2 | 1.150 | 0.330 |
| ANOVA Test for Eye Chart Size | Tukey HSD Comparisons for Eye Chart Size (p-Value) | ||||||
|---|---|---|---|---|---|---|---|
| Df | Mean Square | F-Ratio | p-Value | AVmax/Avmax-1 | AVmax/Avmax-2 | AVmax-1/Avmax-2 | |
| Test duration | 2 | 722.45 | 43.58 | <0.001 * | <0.001 * | <0.001 * | <0.001 * |
| Fixation time | 2 | 644.19 | 47.40 | <0.001 * | <0.001 * | <0.001 * | <0.001 * |
| Fixation count | 2 | 312.56 | 10.96 | <0.001 * | 0.040 * | <0.001 * | 0.176 |
| ANOVA Test for Gaze Direction | Tukey HSD comparisons for gaze direction (p-value) | ||||||
| Df | Mean square | F-ratio | p-value | Centered/dominant | Centered/Non dominant | Dominant/Non dominant | |
| Test duration | 2 | 78.87 | 9.19 | <0.001 * | 0.003 * | 0.024 * | 0.778 |
| Fixation time | 2 | 58.05 | 7.94 | <0.001 * | 0.009 * | 0.021 * | 0.949 |
| Fixation count | 2 | 171.51 | 6.41 | <0.001 * | 0.007 * | 0.073 | 0.687 |
| ANOVA test for lens design | Tukey HSD comparisons for lens design (p-value) | ||||||
| Df | Mean square | F-ratio | p-value | Balance/Distance | Balance/Near | Distance/Near | |
| Test duration | 2 | 209.73 | 13.71 | <0.001 * | 0.037 * | 0.003 * | <0.001 * |
| Fixation time | 2 | 150.08 | 10.37 | <0.001 * | 0.045 * | 0.010 * | <0.001 * |
| Fixation count | 2 | 679.62 | 27.38 | <0.001 * | 0.019 * | 0.001 * | <0.001 * |
Disclaimer/Publisher’s Note: The statements, opinions and data contained in all publications are solely those of the individual author(s) and contributor(s) and not of MDPI and/or the editor(s). MDPI and/or the editor(s) disclaim responsibility for any injury to people or property resulting from any ideas, methods, instructions or products referred to in the content. |
© 2023 by the authors. Licensee MDPI, Basel, Switzerland. This article is an open access article distributed under the terms and conditions of the Creative Commons Attribution (CC BY) license (https://creativecommons.org/licenses/by/4.0/).
Share and Cite
Concepcion-Grande, P.; Chamorro, E.; Cleva, J.M.; Alonso, J.; Gómez-Pedrero, J.A. Evaluation of an Eye-Tracking-Based Method for Assessing the Visual Performance with Progressive Lens Designs. Appl. Sci. 2023, 13, 5059. https://doi.org/10.3390/app13085059
Concepcion-Grande P, Chamorro E, Cleva JM, Alonso J, Gómez-Pedrero JA. Evaluation of an Eye-Tracking-Based Method for Assessing the Visual Performance with Progressive Lens Designs. Applied Sciences. 2023; 13(8):5059. https://doi.org/10.3390/app13085059
Chicago/Turabian StyleConcepcion-Grande, Pablo, Eva Chamorro, José Miguel Cleva, José Alonso, and Jose A. Gómez-Pedrero. 2023. "Evaluation of an Eye-Tracking-Based Method for Assessing the Visual Performance with Progressive Lens Designs" Applied Sciences 13, no. 8: 5059. https://doi.org/10.3390/app13085059
APA StyleConcepcion-Grande, P., Chamorro, E., Cleva, J. M., Alonso, J., & Gómez-Pedrero, J. A. (2023). Evaluation of an Eye-Tracking-Based Method for Assessing the Visual Performance with Progressive Lens Designs. Applied Sciences, 13(8), 5059. https://doi.org/10.3390/app13085059

