Sizing Methodology of a Fast Charger for Public Service Electric Vehicles Based on Supercapacitors
Abstract
1. Introduction
2. Materials and Methods
2.1. Electrical Analysis of an SC Working in a Fast-Charging System
2.1.1. Circuit Current and SC Voltages
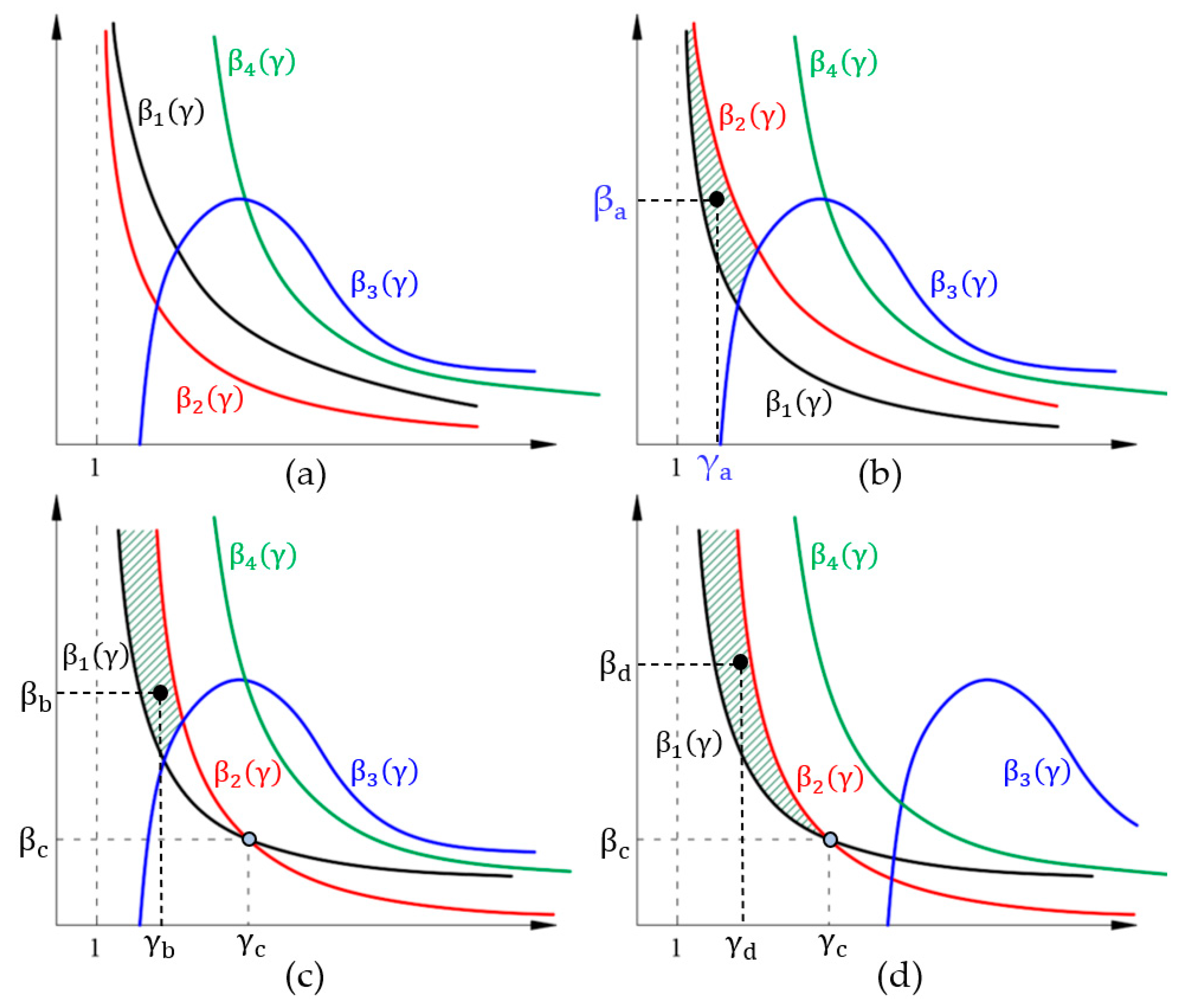
2.1.2. Charging Time and Maximum Current
2.1.3. Power and Energy Dissipated during the Charging Process
2.1.4. Efficiency of the Charging Process
2.2. Calculation of the Value of the Variables Involved in the Charging Process
2.2.1. Selection of the Charger Capacitance and Its Initial Voltage
2.2.2. Selection of the Properties of the Inductor: Inductance and Internal Resistance
3. Discussion
4. Conclusions
Author Contributions
Funding
Institutional Review Board Statement
Informed Consent Statement
Data Availability Statement
Conflicts of Interest
Glossary
| R1 | Charger internal resistance [Ω]. |
| C1 | Charger capacitance [F]. |
| ΔC | Capacitance of an individual module of SCs of the charger [F]. |
| R2 | Internal resistance of the vehicle accumulator [Ω]. |
| C2 | Capacitance of the vehicle accumulator [F]. |
| Ceq | Equivalent capacitance of the whole system [F]. |
| Ceq_min | Minimum equivalent capacitance of the whole system [F]. |
| Ceq_max | Maximum equivalent capacitance of the whole system [F]. |
| L | Inductance of the smoothing inductor [H]. |
| RL | Resistance of the smoothing inductor [Ω]. |
| RT | Total resistance of the whole system [Ω]. |
| RTmin | Minimum total resistance of the whole system [Ω]. |
| RTmax | Maximum total resistance of the whole system [Ω]. |
| u1(t) | Internal instantaneous voltage of the charger [V]. |
| U01 = u1(t = 0) | Initial internal voltage of the charger [V]. |
| u2(t) | Internal instantaneous voltage of the vehicle accumulator [V]. |
| U02 = u2(t = 0) | Initial internal voltage of the vehicle accumulator [V]. |
| U02min | Minimum Initial internal voltage of the vehicle accumulator [V]. |
| U2N | Rated voltage of the vehicle accumulator [V]. |
| ΔV | Voltage steps considered for U02 [V]. |
| ΔU | Initial voltage difference between charger and vehicle accumulator = U01 − U02 [V]. |
| Ufinal | Final voltage of charger and vehicle accumulator (steady state) [V]. |
| Uf0 | Final voltage for the minimum initial voltage in the vehicle accumulator U02min [V]. |
| i(t) | Overall instantaneous current [A]. |
| α | Damping coefficient = 0.5 RT/L [s−1]. |
| ω0 | Resonance angular frequency = (L·Ceq)−0.5 [s−1]. |
| β | Constant = (α2 − ω02)0.5 [s−1]. |
| τ | Time constant of the whole system = (α − β)−1 [s]. |
| tcharge | Maximum charging time [s]. |
| tImax | Time instant at which the maximum overall instantaneous current occurs [s]. |
| Imax | Maximum current [A]. |
| γ | Constant α/β (dimensionless). |
| pd(t) | Instantaneous dissipated power [W]. |
| wd(t) | Instantaneous dissipated energy [J]. |
| Wd_total | Dissipated energy during the transient state [J]. |
| ε | Efficiency of the charging process (%). |
| W−1(x) | Secondary branch of the Lambert W function. |
| k | Constant (dimensionless). |
References
- De La Torre, S.; Sánchez-Racero, A.J.; Aguado, J.A.; Reyes, M.; Martínez, O. Optimal sizing of energy storage for regen-erative braking in electric railway systems. IEEE Trans. Power Syst. 2015, 30, 1492–1500. [Google Scholar] [CrossRef]
- Peng, H.; Wang, J.; Shen, W.; Shi, D.; Huang, Y. Compound control for energy management of the hybrid ultracapaci-tor-battery electric drive systems. Energy 2019, 175, 309–319. [Google Scholar] [CrossRef]
- Joshi, M.C.; Samanta, S. Improved Energy Management Algorithm With Time-Share-Based Ultracapacitor Charging/Discharging for Hybrid Energy Storage System. IEEE Trans. Ind. Electron. 2018, 66, 6032–6043. [Google Scholar] [CrossRef]
- Bolborici, V.; Dawson, F.P.; Lian, K.K. Hybrid Energy Storage Systems: Connecting Batteries in Parallel with Ul-tra-capacitors for Higher Power Density. IEEE Ind. Appl. Mag. 2014, 20, 31–40. [Google Scholar] [CrossRef]
- Zhao, C.; Yin, H.; Ma, C. Equivalent Series Resistance-based Real-time Control of Battery-Ultracapacitor Hybrid Energy Storage Systems. IEEE Trans. Ind. Electron. 2019, 67, 1999–2008. [Google Scholar] [CrossRef]
- Zahedi, R.; Ardehali, M.M. Power management for storage mechanisms including battery, supercapacitor, and hy-drogen of autonomous hybrid green power system utilizing multiple optimally-designed fuzzy logic controllers. Energy 2020, 204, 117935. [Google Scholar] [CrossRef]
- Mamun, A.A.; Liu, Z.; Rizzo, D.M.; Onori, S. An Integrated Design and Control Optimization Framework for Hy-brid Military Vehicle Using Lithium-Ion Battery and Supercapacitor as Energy Storage Devices. IEEE Trans. Transp. Electrif. 2019, 5, 239–251. [Google Scholar] [CrossRef]
- Macias, A.; Kandidayeni, M.; Boulon, L.; Trovão, J. Fuel cell-supercapacitor topologies benchmark for a three-wheel electric vehicle powertrain. Energy 2021, 224, 120234. [Google Scholar] [CrossRef]
- Vitan, L.D.; Martin, A.; Tutelea, L.; Boldea, I.; Torac, I.; Muntean, N. Supercapacitor City Minibus Bonded—NdFeB IPMSM Propulsion System: Design and System Modeling Methodology via a Case Study and Laboratory Experiments. IEEE Trans. Ind. Appl. 2022, 59, 1405–1417. [Google Scholar] [CrossRef]
- Xun, Q.; Liu, Y.; Huang, X.; Grunditz, E.A.; Zhao, J.; Zhao, N. Drive Cycle Energy Efficiency of Fuel Cell/Supercapacitor Passive Hybrid Vehicle System. IEEE Trans. Ind. Appl. 2020, 57, 894–903. [Google Scholar] [CrossRef]
- Reatti, A.; Corti, F.; Pugi, L.; Berzi, L.; Barbieri, R.; Delogu, M.; Pierini, M. Application of induction power recharge to garbage collection service. In Proceedings of the 2017 IEEE 3rd International Forum on Research and Technologies for Society and Industry (RTSI), Modena, Italy, 11–13 September 2017; pp. 1–5. [Google Scholar]
- Varghese, A.S.; Thomas, P.; Varghese, S. An efficient voltage control strategy for fast charging of plug-in electric vehicle. In Proceedings of the 2017 Innovations in Power and Advanced Computing Technologies (i-PACT), Vellore, India, 21–22 April 2017. [Google Scholar]
- Nademi, H.; Zadeh, M.; Undeland, T. Interfacing an Electric Vehicle to the Grid with Modular Conversion Unit: A Case Study of a Charging Station and its Control Framework. In Proceedings of the IECON 2018—44th Annual Conference of the IEEE Industrial Electronics Society, Washington, DC, USA, 21–23 October 2018; pp. 5171–5176. [Google Scholar]
- Zheng, Z.; Wang, K.; Xu, L.; Li, Y. A Hybrid Cascaded Multilevel Converter for Battery Energy Management Ap-plied in Electric Vehicles. IEEE Trans. Power Electron. 2014, 29, 3537–3546. [Google Scholar] [CrossRef]
- Su, C.L.; Yu, J.T.; Chin, H.M.; Kuo, C.L. Evaluation of power-quality field measurements of an electric bus charging station using remote monitoring systems. In Proceedings of the 2016 10th International Conference on Compatibility, Power Electronics and Power Engineering (CPE-POWERENG), Bydgoszcz, Poland, 29 June–1 July 2016; pp. 58–63. [Google Scholar]
- Rogge, M.; Wollny, S.; Sauer, D.U. Fast Charging Battery Buses for the Electrification of Urban Public Transport—A Feasibility Study Focusing on Charging Infrastructure and Energy Storage Requirements. Energies 2015, 8, 4587–4606. [Google Scholar] [CrossRef]
- El-Taweel, N.A.; Mohamed, M.; Farag, H.E. Optimal design of charging stations for electrified transit net-works. In Proceedings of the 2017 IEEE Transportation Electrification Conference and Expo (ITEC), Chicago, IL, USA, 22–24 June 2017; pp. 786–791. [Google Scholar]
- Ortenzi, F.; Orchi, S.; Pede, G. Technical and economical evaluation of hybrid flash-charging stations for electric public transport. In Proceedings of the 2017 IEEE International Conference on Industrial Technology (ICIT), Toronto, ON, Canada, 23–25 March 2017; pp. 549–554. [Google Scholar]
- Mapelli, F.L.; Tarsitano, D.; Annese, D.; Sala, M.; Bosia, G. A study of urban electric bus with a fast charging en-ergy storage system based on lithium battery and supercapacitors. In Proceedings of the 2013 Eighth International Conference and Exhibition on Ecological Vehicles and Renewable Energies (EVER), Monte Carlo, Monaco, 27–30 March 2013; pp. 1–9. [Google Scholar]
- Ortenzi, F.; Pasquali, M.; Prosini, P.P.; Lidozzi, A.; Di Benedetto, M. Design and Validation of Ultra-Fast Charging Infrastructures Based on Supercapacitors for Urban Public Transportation Applications. Energies 2019, 12, 2348. [Google Scholar] [CrossRef]
- Benedetto, M.D.; Ortenzi, F.; Lidozzi, A.; Solero, L. Design and Implementation of Reduced Grid Impact Charging Station for Public Transportation Applications. World Electr. Veh. J. 2021, 12, 28. [Google Scholar] [CrossRef]
- Pedrayes, J.F.; Melero, M.G.; Cano, J.M.; Norniella, J.G.; Orcajo, G.A.; Cabanas, M.F.; Rojas, C.H. Optimization of supercapacitor sizing for high-fluctuating power applications by means of an internal-voltage-based method. Energy 2019, 183, 504–513. [Google Scholar] [CrossRef]
- Zhang, L.; Hu, X.; Wang, Z.; Sun, F.; Deng, J.; Dorrell, D.G. Multiobjective Optimal Sizing of Hybrid Energy Storage System for Electric Vehicles. IEEE Trans. Veh. Technol. 2018, 67, 1027–1035. [Google Scholar] [CrossRef]
- Passalacqua, M.; Lanzarotto, D.; Repetto, M.; Vaccaro, L.; Bonfiglio, A.; Marchesoni, M. Fuel Economy and EMS for a Series Hybrid Vehicle Based on Supercapacitor Storage. IEEE Trans. Power Electron. 2019, 34, 9966–9977. [Google Scholar] [CrossRef]
- Bolonne, S.R.A.; Chandima, D.P. Sizing an Energy System for Hybrid Li-Ion Battery-Supercapacitor RTG Cranes Based on State Machine Energy Controller. IEEE Access 2019, 7, 71209–71220. [Google Scholar] [CrossRef]
- Schaltz, E.; Khaligh, A.; Rasmussen, P.O. Influence of Battery/Ultracapacitor Energy-Storage Sizing on Battery Lifetime in a Fuel Cell Hybrid Electric Vehicle. IEEE Trans. Veh. Technol. 2009, 58, 3882–3891. [Google Scholar] [CrossRef]
- Mesbahi, T.; Khenfri, F.; Rizoug, N.; Bartholomeus, P.; Le Moigne, P. Combined Optimal Sizing and Control of Li-Ion Battery/Supercapacitor Embedded Power Supply Using Hybrid Particle Swarm–Nelder–Mead Algorithm. IEEE Trans. Sustain. Energy 2016, 8, 59–73. [Google Scholar] [CrossRef]
- Pedrayes, J.F.; Melero, M.G.; Cano, J.M.; Norniella, J.G.; Duque, S.B.; Rojas, C.H.; Orcajo, G.A. Lambert W function based closed-form expressions of supercapacitor electrical variables in constant power applications. Energy J. 2021, 218, 119364. [Google Scholar] [CrossRef]
- Pedrayes, J.F.; Melero, M.G.; Norniella, J.G.; Cano, J.M.; Cabanas, M.F.; Orcajo, G.A.; Rojas, C.H. A novel analytical solution for the calculation of temperature in supercapacitors operating at constant power. Energy J. 2019, 188, 116047. [Google Scholar] [CrossRef]
- Pedrayes, J.F.; Melero, M.G.; Norniella, J.G.; Cabanas, M.F.; Orcajo, G.A.; González, A.S. Supercapacitors in Constant-Power Applications: Mathematical Analysis for the Calculation of Temperature. Appl. Sci. 2021, 11, 10153. [Google Scholar] [CrossRef]
















| U2N [V] | U02min [V] | U01 [V] | Imax [A] | tcharge [s] | n |
|---|---|---|---|---|---|
| 375 | 187.5 | 400 | 1000 | 30 | 8 |
| Capacitance of One Module, [F] | Resistance of One Module, [mΩ] | Total Capacitance Vehicle Accumulator, C2 [F] | Total Resistance Vehicle Accumulator, R2 [mΩ] |
|---|---|---|---|
| 63 | 18 | 21 | 54 |
| Modules | S1 | S2 | S3 | S4 | C1 [F] | R1 [mΩ] | Ceq [F] |
|---|---|---|---|---|---|---|---|
| 7 | on | on | on | on | 138.158 | 3.26 | 18.229 |
| 6 | on | on | on | off | 118.422 | 3.8 | 17.837 |
| 5 | on | on | off | off | 98.685 | 4.56 | 17.315 |
| 4 | on | off | off | off | 78.948 | 5.7 | 16.588 |
| 3 | off | off | off | off | 59.211 | 7.6 | 15.502 |
| Ufinal = a + b·U02 | |||||
|---|---|---|---|---|---|
| C1 [F] | Ceq [F] | U02min [V] | U02max [V] | a [V] | b [V−1] |
| 138.158 | 18.229 | 187.5 | 210.94 | 347.222 | 0.1319 |
| 118.422 | 17.837 | 210.94 | 234.38 | 339.751 | 0.1506 |
| 98.685 | 17.315 | 234.38 | 257.8 | 329.816 | 0.1755 |
| 78.948 | 16.588 | 257.8 | 281.25 | 315.956 | 0.2101 |
| 59.211 | 15.502 | 281.25 | 304.69 | 295.276 | 0.2618 |
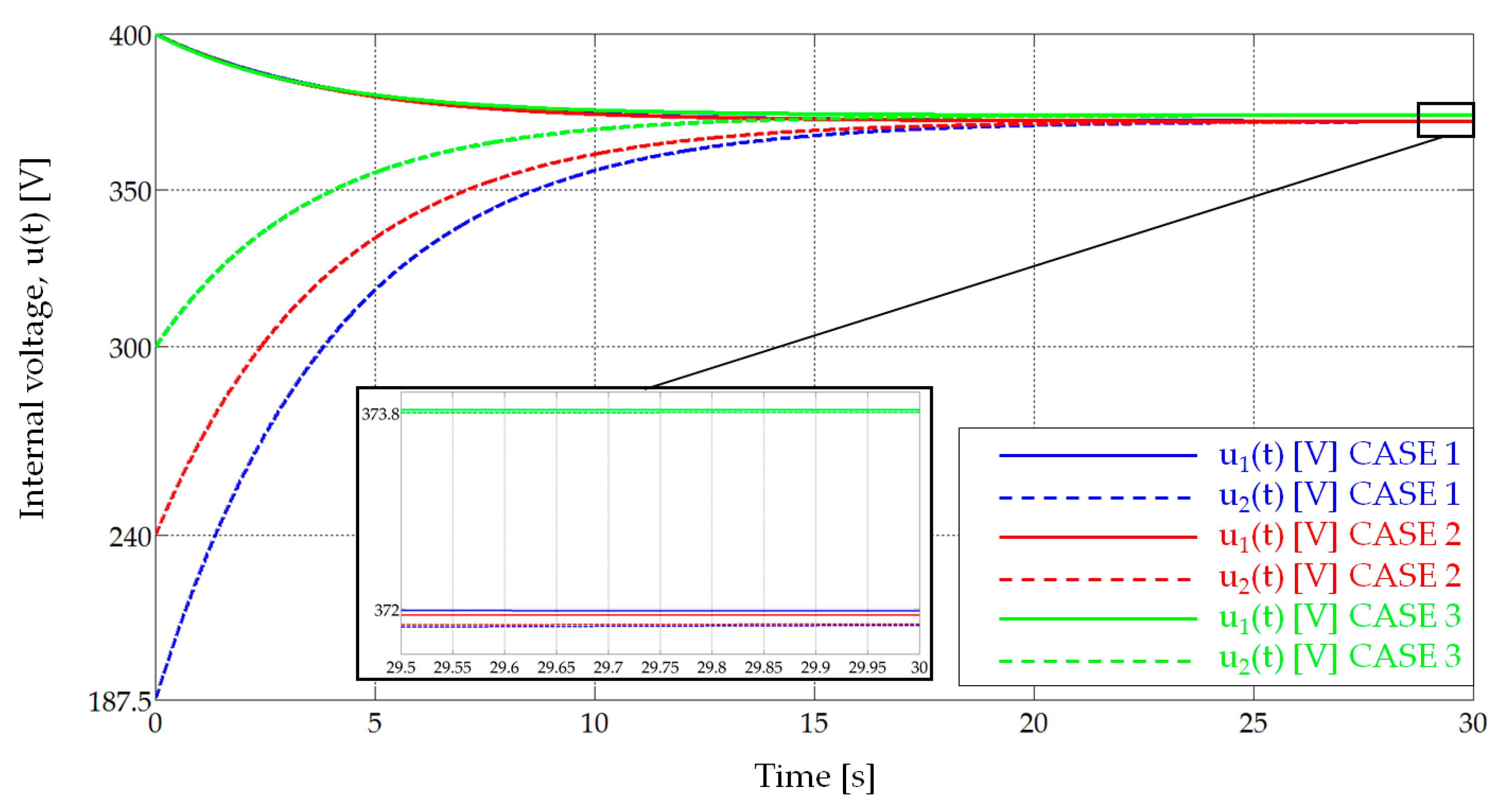
| CASE | U02 [V] | R1 [mΩ] | R2 [mΩ] | RT [mΩ] | C1 [F] | C2 [F] | Ceq [F] | Ufinal [V] |
|---|---|---|---|---|---|---|---|---|
| 1 | 187.5 | 3.26 | 54 | 223.66 | 138.158 | 21 | 18.229 | 371.96 |
| 2 | 240 | 7.30 | 86.4 | 260.10 | 86.843 | 18.48 | 15.237 | 371.94 |
| 3 | 300 | 15.2 | 108 | 289.60 | 47.369 | 16.8 | 12.402 | 373.82 |
| CASE | tcharge [s] | Imax [A] | P1max [kW] | P2max [kW] | Wd_total [kJ] | Wd_total [Wh] | ε [%] |
|---|---|---|---|---|---|---|---|
| 1 | 28.45 | 936.48 | 371.36 | 225.63 | 411.57 | 114.327 | 72.47 |
| 2 | 27.67 | 607.1 | 239.95 | 178.65 | 195.03 | 54.176 | 79.28 |
| 3 | 25.07 | 340.8 | 134.46 | 115.13 | 62.01 | 17.225 | 87.08 |
Disclaimer/Publisher’s Note: The statements, opinions and data contained in all publications are solely those of the individual author(s) and contributor(s) and not of MDPI and/or the editor(s). MDPI and/or the editor(s) disclaim responsibility for any injury to people or property resulting from any ideas, methods, instructions or products referred to in the content. |
© 2023 by the authors. Licensee MDPI, Basel, Switzerland. This article is an open access article distributed under the terms and conditions of the Creative Commons Attribution (CC BY) license (https://creativecommons.org/licenses/by/4.0/).
Share and Cite
Pedrayes, J.F.; Melero, M.G.; Cabanas, M.F.; Quintana, M.F.; Orcajo, G.A.; González, A.S. Sizing Methodology of a Fast Charger for Public Service Electric Vehicles Based on Supercapacitors. Appl. Sci. 2023, 13, 5398. https://doi.org/10.3390/app13095398
Pedrayes JF, Melero MG, Cabanas MF, Quintana MF, Orcajo GA, González AS. Sizing Methodology of a Fast Charger for Public Service Electric Vehicles Based on Supercapacitors. Applied Sciences. 2023; 13(9):5398. https://doi.org/10.3390/app13095398
Chicago/Turabian StylePedrayes, Joaquín F., Manuel G. Melero, Manés F. Cabanas, Maria F. Quintana, Gonzalo A. Orcajo, and Andrés S. González. 2023. "Sizing Methodology of a Fast Charger for Public Service Electric Vehicles Based on Supercapacitors" Applied Sciences 13, no. 9: 5398. https://doi.org/10.3390/app13095398
APA StylePedrayes, J. F., Melero, M. G., Cabanas, M. F., Quintana, M. F., Orcajo, G. A., & González, A. S. (2023). Sizing Methodology of a Fast Charger for Public Service Electric Vehicles Based on Supercapacitors. Applied Sciences, 13(9), 5398. https://doi.org/10.3390/app13095398

