Abstract
Climate conditions clearly influence the concentration of important substances in grapes, generating chemical reactions that will determine the final wine aromas. Three different regions were chosen to cover the most important viticultural areas from Romania. The aim of this study was to highlight, for the first time, the volatile profile for two Romanian white wines, Feteasca regala and Feteasca alba, from three different vineyards (Silagiu, Aiud, and Sarica Niculițel). The results showed that wine’s aromatic profile was directly proportional with the area of origin for the grapes, directly correlated to the climate. The obtained values for alcohols, esters, aldehydes, and terpenoid compounds were also related to the oenoclimatic aptitude index, a significant accumulation of aroma compounds being observed mainly for the Feteasca regala wine. A total of 17 superior alcohols were evidenced within the two types of wines, among them, 2-phenyl ethanol being distinguished by its higher level in all samples, varying from 7692 up to 11,783 µg/L. Together with some aromatic esters, it offers one of the most pleasant aromas, resembling rose flavour. Of all the acids found in wines, the succinic acid has the most intense flavour, tasting somehow bitter and salty, imprinting to wine a certain “juiciness” and “vinosity”. Diethyl succinate was one of the main esters in all six samples, with concentrations from 777 up to 1200 µg/L. Also, two terpenoid compounds and two aldehydes were found in all samples. The data obtained from PCA evaluation suggested that there is a significant variance among wine varieties. Nevertheless, hierarchical clustering was applied to explain the relationship between the six samples of wines, the smallest clusters that included Silagiu and Aiud winegrowing regions suggesting an increased similarity of the compositional profile.
1. Introduction
The cultivation of vines and the production of wines have been known since ancient times, wine being a full-flavored beverage rich in flavour compounds [1]. Romania has an old tradition in cultivating grapevine, and managing autochthonous varieties, the vine cultivation and wine production being one of the most evolved branches of the agricultural domain. Since 2007, this area intensively benefited from European Union funding. The Romanian National Support Programme implemented within the period 2009–2013 registered a complete absorption of the financial resources allocated for viticulture. The period was followed by another similar one, during 2014–2018, which registered several investments in novel technologies or plantations [1]. Up to now, more than 140 varieties of Vitis vinifera and interspecific grapes were sown, around 40 of them being cultivated on areas that overpass 100 ha [1]. One of the most used autochthonous grape varieties is Feteasca regala with 17.47% from total grapevine area, Feteasca alba cultivated on 17.64%, and Feteasca neagra cultivated only on 4%. The processing of white grapes received many improvements over the years, to enhance as many valuable elements as possible, resulting in harmonious, pleasant, balanced wines [2].
Pedoclimatic factors have a particular influence on the character of the wine, even if the variety is the same. The composition of the soil, the climate (maximum and minimum temperatures, precipitation, winds, number of sunny days), the exposition of the plantation, and the method of harvesting and processing complete the quality of the resulting wine [3,4,5,6]. The quality of the soil is very important in the formation of aromas because the vine accumulates chemical elements that can persist or penetrate its layers to a greater or lesser extent. Sandy soils allow elements to pass more quickly, clay soils to a small extent, and calcareous soils are beneficial in the accumulation of terpene compounds in valuable quantities. Soil water actively participates in the transport of nutrients, their role being directly involved in the accumulation of monoterpenes, mainly geraniol [7,8,9,10]. Solar heat enables the formation of valuable flavour compounds such as free terpenes, monoterpenes, and norisoprenoids [10,11,12,13]. The aromatic quality of a wine is influenced by the transformations that can take place during the fermentation period of the musts, on the conditions imposed on this process [14]. The aromatic palette that accumulates in wines mainly consists in esters and their derivatives, volatile fatty acids, aldehydes, ketones, terpene compounds, higher alcohols, polyphenols, and micro and macro elements [15,16,17,18,19]. Volatile compounds and other elements contribute to the formation of aromas, constituting markers for identifying wines, or giving them authenticity. Their concentration is directly dependent on the variety specifics, the possibility to accumulate various elements and with characteristics specific to the area of origin [16,20,21,22,23,24,25,26]. More than 100 volatile compounds (aldehydes, esters, higher alcohols, terpene compounds, volatile fatty acids, or other compounds) were previously identified and quantified by the authors through gas chromatography with mass spectrometry detection (GC-MS) or gas chromatography with flame ionization detection (GC-FID), the obtained values depending on the pedoclimatic factors [26,27,28,29,30,31]. The wines bear the imprint of the area and thus a “designation of origin” can be achieved with multiple implications to protect them [32,33,34,35].
Three different regions were chosen to cover the most important viticultural areas from Romania. The Dealurile Banatului region has not so high hills, where the viticultural plantations are located on the southern, southeastern, and southwestern sides. The Silagiu vineyard is located at latitude 45°36′28″ N and longitude 21°36′38″ E on the nearby hills with a plantation’s exposure to south and west. Its soil is rich in iron and other elements, the structure being skeletal, brown with erosions on gravel [36]. The climate is continental–Mediterranean, with an average annual temperature ranging from 9 to 10 °C. The annual precipitation reaches 650 mm, and the amount of active precipitation varies between 305 and 400 mm [3]. The oenoclimatic aptitude index has an average of 4618 [3,36,37]. In the Transylvanian plateau region, the viticultural plantations are generally located on gentle hills with good lightning and heat resources, at altitudes between 300 and 500 m. The Aiud vineyard is located at a latitude of 46°16′44″ N and a longitude of 23°43′46″ E, including plantations oriented on southern, southeastern, and southwestern slopes, the area being protected by strong wind or fog. The soil is argilloiluvial brown, eumezobasic brown, pseudoren-dzine mollisol, and chernozimoid soils, being frequently encountered. Their texture is slightly acidified, ideal for growing vines [3]. The climate is moderately continental, with harsh winters and humid and relatively warm summers. Instead, the autumns are long, foggy, and warm enough to allow good ripening of the grapes. The average multiannual temperature is around 9 °C, with precipitation between 500 and 700 mm. The oenoclimatic aptitude reaches an average of 4530 [37,38]. In the Dobrogea hills region, there are many areas with wine plantations, this geographical area being conducive to the growth of vines. In Dobrogea, at the latitude of 45°10′38″ N and the longitude of 28°28′38″ E, there is one of the most famous vineyards, namely Sarica Niculitel, a vineyard that is distinguished by its northern-oriented plantations. The soil is varied, consisting of steppe and silvosteppe mollisols, rendzine, and regosols. The chernoziomic mollisols are made up mainly of loess, being permeable, with medium porosity and texture, and loamy sand. Gray soils and anthropogenic soils are also found here. The average annual temperature is around 10 °C, the annual precipitation being 400–440 mm. The oenoclimatic suitability reaches an average of 4720. The proximity to the Danube and the Danube Delta to the north, with extensive forests to the south, combined with the predominantly northern exposure of the area, mitigates the effects of the heat wave during the summer, offering the plantations an environment conducive to development [37,38].
The investigation aimed to originally highlight the volatile profile of two Romanian white wines, Feteasca regala and Feteasca alba, from the above-three different winegrowing regions (Silagiu, Aiud, and Sarica Niculițel). This study presents, for the first time, a comparison of these well-known Romanian white wines from the perspective of terroir influence on their aromatic profile.
2. Materials and Methods
The study focused on two autochthonous varieties, namely, Feteasca alba and Feteasca regala from three different winegrowing regions: Silagiu, from Dealurile Banatului region, Aiud from Podisul Transilvania, and Sarica Niculitel from Dealurile Dobrogei region (harvested at full maturity in 2021). The wines were purchased directly from the three production vineyards.
2.1. Reagents and Standards
Part of the reagents was acquired from Sigma-Aldrich GmbH (Steinheim, Germany) and used as received: Folin–Ciocalteu reagent (Quality Level-200), NaCl (ACS reagent, ≥99.0%), sodium carbonate (ACS reagent, anhydrous, ≥99.5%), ammonium sulphate (ACS reagent, ≥99.0%), and reference standards (1-heptanol 98%, 1-hexanol 99%, 2,3-butandiol 96%, 2-nonanol 97%, 2-pentanol 98%, 2-phenyl ethanol 99%, 3-methylthio-1-propanol 99%, benzyl alcohol 99.8%, e-3-hexenol 97%, isopentyl alcohol 98%, linalool 97%, beta-linalool 97%, n-amyl alcohol 99%, n-propanol 99%, terpineol 96%, trans-geraniol 98%, z-3-hexenol 97%, methyl-4-hydroxy butanoate 96%, diethyl succinate 99%, ethyl, hexanoate 99%, ethyl butyrate 99%, ethyl decanoate 99%, ethyl octanoate 99%, n-hexyl acetate 98%, 2-phenethyl acetate 99%, butandioic acid 99%, butyric acid 99%, capric acid 98%, decanoic acid 98%, hexanoic acid 99%, isovaleric acid 99%, octanoic acid 99%, eucalyptol 99%, beta-citronellol 95%, acetal 98%, furfural 99%). Dichloromethane (≥99.9%, GC Ultra Grade) applied in the volatile’s extraction was supplied by Roth (Carl Roth—International, Karlsruhe, Germany). Ten milligrams of a reference standard was dissolved in 10 mL of dichloromethane to obtain the stock solutions. The reagents were stored until the analysis according to producer recommendation, and the stock solutions were stored for a maximum of 5 days at 4 °C prior to the analysis.
2.2. Determination of the Folin–Ciocalteu Index
The method for establishing the Folin–Ciocalteu index consisted in the following: 1 mL of wine was introduced into a 100 mL graduated flask, then 50 mL of deionized water and 5 mL of the Folin–Ciocalteu reagent were added, followed by 20 mL of a 20% sodium carbonate solution, and adjusting of the volume up to 100 mL with deionized water [39]. The mixture was homogenized, and after 30 min, the absorbance was read at 750 nm. As a control sample, the same order of compounds was used, except that the wine was replaced by 1 mL of deionized water. The calculation was made by multiplying the absorbance value read on the spectrophotometer by 20.
2.3. Determination of Total Polyphenol Index (TPI)
This index can be expressed using the absorbance registered at 280 nm for a sample diluted 1:10 with deionized water (DO280) [40]. The TPI was calculated following Equation (1):
2.4. GC-MS Determination of Aroma Compounds
Before the analysis, the sampled wines were stored at +4 °C. Liquid–liquid microextraction (LLME) adapted to the existing laboratory conditions and capabilities was used for sample preparation. In total, 2.5 g of sodium chloride (NaCl) was placed into a glass test tube (15 mL), then 8 mL of the wine sample and 4 mL of dichloromethane were poured, the mixture being shaken for 10 s using a vibrating shaker for 3 min at 2500 rpm, then placed in an ice bath for 5 min. The aqueous and organic phases were isolated into test tubes using centrifugation at 3000 rpm for 15 min, then placed in an ice bath for 5 min. With a syringe with a long needle, a 2 mL organic phase was transferred to a 4 mL ampoule containing 0.5–0.6 g of anhydrous sodium sulphate (Na2SO4), the precipitated and condensed phase being centrifuged in a vial at 3000 rpm for 3 min. The dichloromethane dried with sodium sulphate containing the extracted analytes was filtered using a 0.45 μm PTFE filter and poured into 3 GC vials with micro inserts (for injection in ppb- and ppm-modes, store 1 spare vial in the freezer). For this adapted sample preparation algorithm, the analyte recoveries were obtained by processing a series of 8 identical simulated wine samples (composition: deionized water, 12.5% ethanol, 2 ppm from each sample).
The volatile substances from wine extracts were analysed through gas chromatography with a three-quadrupole mass detector (Nexis GC-2030 GCMS-TQ8050NX, Shimadzu, Kyoto, Japan).
A capillary column (Rtx-5MS, 30 m × 0.25 mm × 0.25 µm) was used, and the injector temperature was established at 220 °C, with a 1 µL injection volume, using the splitless approach for the ppb concentration method and the split mode (20:1) for the ppm concentration method, at a 1.5 mL/min flow ratio. The difference between the two methods is the migration of the first 7 analytes with a small-time difference. The rest of the settings for the methods were identical (except for the signal integration parameters). Helium (He, 99.999%) was used as carrier gas, at a 1.4 mL/min flow rate. The column temperature ranged, to separate the volatiles, from 40 °C (held for 5 min) to 80 °C (for 5 min) at a rate of 5 °C/min, then up to 120 °C (for 5 min) at a rate of 55 °C/min, and finally up to 285 °C for 10 min.
Target compounds were identified through comparison of their mass spectra with those existing in NIST MS Search 2.4 (National Institute of Standards and Technology).
2.5. Statistical Analysis
An analysis of variance (ANOVA) was used to achieve the univariate analysis, implementing the Tukey multiple range assessment [41]. Furthermore, a partial least squares regression (PLSR) trial was performed with XLSTAT Addinsoft 2014.5.03 (Addinsoft Inc., New York, NY, USA). Considering the concentration of the analytes during the extraction and during the 2-fold sample preparation (8 mL of wine → 4 mL of DCM), the data obtained from the chromatogram were corrected for the degree of concentration, and then for the degree of extraction from the wine matrix [42]. PCA was used to reduce the data dimensionality to obtain a better visualization of the separation in groups according to their geographical origin. The software used input data of 36 variables for each of the 6 white wine samples. PCA transformed the original data set (volatile compound concentrations) into “scores”, measured on the principal component axes. Scattering diagrams of the scores for the first principal components provided an excellent view, separating different sample types or samples having different values. The resulting diagrams were used to explore which of the compounds was involved in separating samples into groups: the most important compounds tend to reach the highest absolute value. Usually, the top four principal components are important. In order to obtain an ideal screen plot, various procedures were applied: Kaiser rule—principal components with eigenvalues of at least 1 were selected; the proportion of variance plot of the selected principal components was able to describe at least 80% of the variance.
3. Results and Discussion
A wine quality is influenced by the concentration of polyphenols, the method of their accumulation, but also the sensory effects they cause. The determination of the Folin–Ciocalteu index provides essential information regarding the content of polyphenols in the wine and their classification in sensory classes, while the index of total polyphenols refers to the measurement of the absorbance of delocalized electrons from the benzene cycles existing in the polyphenols in the wine [35].
Figure 1 shows the Folin–Ciocâlteu (FCI) and total polyphenol (TPI) indexes within the analysed samples.
Figure 1.
Determination of Folin–Ciocâlteu (FCI) and total polyphenol (TPI) indexes in wines.
The values of the Folin–Ciocâlteu indexes were 6.2 and 8.8 for Feteasca alba and Feteasca regala, from Aiud region. Feteasca alba wines from Sălagiu and Sarica Niculitel had a lower polyphenolic potential, a fact that will influence their suppleness and astringency. It was observed that, among Feteasca alba wines, the one from Aiud region had the higher total polyphenol index (blue colour). With respect to the Feteasca regala wines, the highest value for the total polyphenol index was registered for Feteasca regala from Aiud vineyard (blue colour). The highest Folin–Ciocalteu index (green colour) was obtained for Feteasca regala (among the Feteasca regala wines) and for Feteasca alba (among Feteasca alba wines), both from Aiud vineyard.
A total of 35 aroma compounds were determined through the GC-MS method (Supplementary Material—Table S1), showing significant values for each variety of wine (Fetească alba, Fetească regală), correlated with the origin area. In this respect, various alcohols, acids, esters, terpenes, and aldehydes were evidenced.
Figure 2 presents the determined alcohols in the two wine types from every vineyard.
Figure 2.
Alcohol compositional profile for Feteasca alba and Feteasca regala.
A total of 17 superior alcohols were evidenced within the two types of wine (Figure 1, Supplementary Material—Table S1). Among them, 2-phenyl ethanol was distinguished by its higher level in all samples with a concentration that varied from 7692 µg/L (in Feteasca alba from Sarica Nicultel) up to 11,783 µg/L (in Feteasca regala from Sarica Nicultel). This compound, together with some aromatic esters, offers one of the most pleasant aromas, resembling roses’ flavour [43]. Higher concentrations of isopentyl alcohol were observed in all six samples, varying from 8092 µg/L in Feteasca alba from Sarica Niculitel to 10,036 µg/L in Feteasca regala from Aiud. Its presence in white wines was correlated with the starch’s fermentation, the compound being the product of the mentioned process.
The lowest concentration was registered for terpineol (2.37 µg/L in Feteasca alba from Aiud vineyard). It was observed that, in Feteasca regala from all the vineyards, this compound had higher concentrations than in Feteasca alba, varying from 124 µg/L in Feteasca regala from Sarica Niculitel up to 172 µg/L in Feteasca regala from Aiud. A characteristic feature of this compound is the floral aroma. The increased content of terpineol with the time of wine ageing can be an indicator for the berry’s ripeness.
The wines from the three vineyards reached a superior alcohol status compared with Feteasca alba and Feteasca regala from another Romanian region, Crisana, located in the southwest of the country [44,45]. The obtained values were also compared with the alcohol content of white wines from Moldavia, observing that the studied ones had higher values of linalool and terpineol [46].
Figure 3 highlights the determined esters in the two wine types from every vineyard.
Figure 3.
Ester compositional profile for Feteasca alba and Feteasca regala.
Diethyl succinate was one of the main esters in all six samples (Supplementary Material—Table S1), with a concentration of 777 µg/L in Feteasca alba from Sarica Niculitel to 1119 µg/L in Feteasca regala from Aiud. Succinic acid, which results as a secondary product from the microbial α-ketoglutarate metabolism, can be further esterified to diethyl succinate, imprinting fruity melon flavour to the wines [47]. Higher concentrations were also registered for ethyl hexanoate: 339 µg/L in Feteasca alba to 999 µg/L in Feteasca regala, both from Aiud vineyard. Also, ethyl octanoate had high concentrations, varying from 904 µg/L in Feteasca regala from Sarica Niculitel up to 1171 µg/L in Feteasca regala from Aiud. Wines with high ethyl octanoate content seem to have more intense fruity aromas, with floral notes [48]. The lowest concentration had ethyl decanoate (134 µg/L in Feteasca alba from Aiud) (Supplementary Material—Table S1). Comparing with other white wines, the two Romanian white wines had similar values of the main identified esters with Chardonnay wines from Poland vineyards [47], but higher than Feteasca alba, Sauvignon blanc, and Riesling wines from Ceptura (Muntenia region), Dealurile Husilor (Moldova region), Jidvei (Transilvania), and Vanju Mare (Oltenia region) [45].
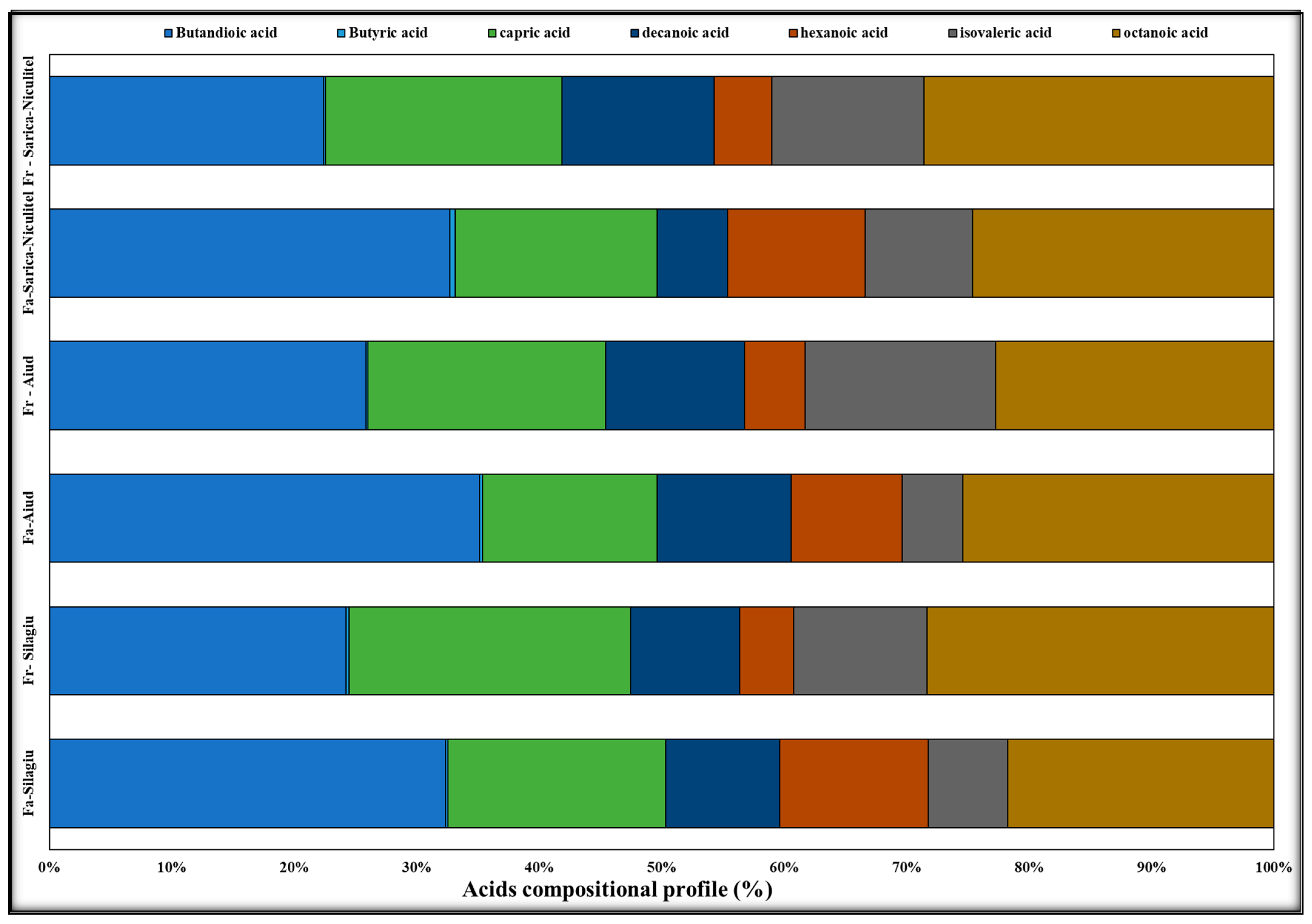
Figure 4 shows the acids found in the two wine types from every vineyard.
Figure 4.
Acid compositional profile for Feteasca alba and Feteasca regala.
As it can be seen in Figure 4 and Supplementary Material—Table S1, butandioc acid (succinic acid) had the highest concentration in Feteasca alba from Aiud vineyard (1934 µg/L). This acid had high concentrations in all samples, increasing from 1102 µg/L in Feteasca regala from Sarica Niculitel. Of all the acids found in wines, the succinic acid has the most intense flavour, tasting somehow bitter and salty, imprinting to wine a certain “juiciness” and “vinosity” [49]. Another acid with high concentrations was the octanoic acid, varying from 1001 µg/L in Feteasca regala from Aiud up to 1407 µg/L in Feteasca regala from Sarica Niculitel. Aliphatic acids, such as octanoic acid, are formed during fermentation, imprinting a fatty, butter, and almond aroma to the wine [50,51]. The lowest concentrations were found for butyric acid, from 8 µg/L in Feteasca regala from Aiud up to 23 µg/L in Feteasca alba from Sarica Niculitel (Supplementary Material—Table S1). It was observed that, compared with other Feteasca wines from Romania [52], the three wines had higher content in organic acids, and this is indubitably the terroir influence. However, the obtained values for ester concentration and their type were similar with Feteasca alba and Feteasca regala obtained from grapes harvested from Iași-Copou vineyard, located at 47°10′ north latitude and 27°35′ east longitude (Moldavia region) [53].
Figure 5 and Supplementary Material—Table S1 provide information about two terpenoid compounds and two aldehydes that were found in all samples.
Figure 5.
Terpene and aldehyde compositional profile for Feteasca alba and Feteasca regala.
Eucalyptol (1,8-cineole), which is a monoterpenoid, has unknown origin in wine. It was proposed that terpene compounds, such as α-terpineol, are potential precursors of eucalyptol [54]. The characteristic aroma is eucalyptus, fresh, or cool. However, its concentrations varied between 34 µg/L in Feteasca regala (Aiud vineyard) and 41 µg/L in Feteasca regala (Sarica Niculitel vineyard). Beta-citronellol (β-citronellol) represents a monoterpenoid oct-6-ene substituted with a hydroxyl in position 1 and methyl in positions 3 and 7. The precursors of the most important monoterpenes (such as β-citronellol and α-terpineol), benzene derivatives, C13-norisoprenoids, or phenols result throughout the grapes early growing [55]. It was supposed that β-citronellol can give a citrus note [56]. β-citronellol varied from 38 µg/L in Feteasca alba from Aiud and Sarica Niculitel up to 51 µg/L in Feteasca regala from Silagiu (Supplementary Material—Table S1). The present study identified, for the first time, the presence of these terpenoid compounds in Feteasca alba and Feteasca regala white wines, other authors identifying them in Romanian Muscat wines [53].
The acetal (diethyl acetal) imprints a fruity character to wines [57]. Diethylacetal results from the reversible reaction of ethanol and acetaldehyde in an acidic medium. It was found in concentrations varying from 69 µg/L in Feteasca alba from Silagiu up to 101 µg/L in Feteasca regala from Sarica Niculitel.
Oily compounds (such as furfural) have bitter almond flavour. They result from the toasting of wooden barrels, through the wood sugars’ conversion, and get into the wines during ageing [58]. However, the determined concentrations of furfural were low, between 25 and 38 µg/L in all samples, furfural being a typical oily compound found in Romanian red wines in concentrations between 29 and 630 µg/L [59].
An important element in the aromatic modulation of the wine is the terroir, which includes several components that determine its quality [60]. The climatic conditions, the soil through its composition, and the winegrower who selects the winemaking practices are responsible for the formation of wine sensory features, the aromas being enhanced through increasingly elevated practices [16,61]. Of major importance are climatic components such as air temperature, temperature during the growing season, and maximum or minimum solar radiation or precipitation [62,63]. The soil temperature, the slope of the plantations, or the geological origin of the soils are also of interest [16,61]. Table 1 presents information about the characteristics of the soils in the studied regions, and the statistical data on the comparatively important climate indicators were systematized with the average of climate values from 2009 to 2013 [3]. Climatic values and current indicators were calculated using the existing sources in the database of meteorological centres in the respective area and additional measurements.
where IAOe is the oenoclimate aptitude index; ASD is the actual sunshine duration (hours); Ʃta is the sum of daily average temperatures (≥10 °C); PP is precipitations (mm); 250 is minimum precipitations essential for vines (mm).
IAOe = ASD + Ʃta − (PP − 250)
Table 1.
Pedological and climatic characterization of the areas selected for the study (Dealurile Banatului, Podisul Transilvaniei, Colinele Dobrogei) in the year 2021, compared to the period 2009–2013 [3].
The soils in the studied vineyards are calcareous or/and calcareous–clay (Silagiu and Aiud) and alluvial–sandy (Sarica Niculitel) with a pH that allows the cultivation of vines. The measured temperatures were on average with 0.50–1.33 °C higher than in the previous years. Table 2 presents aromatic characterization of the wines from the three winegrowing areas under the aspect of the oenoclimatic aptitude index.
Table 2.
The influence of the oenoclimatic aptitude index on the total wine aromatic profile.
As can be seen in Table 2, the oenoclimatic aptitude index influences the accumulation of aromatic compounds in each wine in a different way. The higher alcohols quantified in the wines from the Silagiu vineyard at an oenoclimatic suitability index of 4648.6 vary between 20,470.00 µg/L and 22,615.17 µg/L, esters between 3328.66 and 3592.40 µg/L, and fatty acids between 4724.84 and 5667.09 µg/L. However, the total quantified values are very close between the two wines from Silagiu. Analysing the results obtained in the case of the Aiud vineyard, where the oenoclimatic aptitude index was lower, it can be noted that the quantities of alcohols present a higher value compared to Silagiu vineyard for the Feteasca regala. Slightly lower values are observed in the case of ester accumulation, for Feteasca alba wine, but for Feteasca regala, the value was higher than for Silagiu vineyard. It must be stated that the total of aromas determined in wines from Aiud vineyard was higher compared to the results obtained in the Silagiu Vineyard. The highest value of the oenoclimatic aptitude index was recorded in the Sarica Niculitel vineyard, with a value of 4990.4. Consequently, a significant accumulation of aroma compounds was observed, mainly for the Feteasca regala wine, where the total aromas reached 33,409.58 µg/L. It was observed that, for Sarica Niculitel vineyard, the aldehyde and terpene compounds (noted as others) reached the highest values.
The identified aroma compounds in the selected wines were subjected to a PCA analysis. The applied multivariate statistical approach supported the potential importance assessment provided by the aroma data, as well as their interpretation, the conclusions statistically supporting the analysis. PCA used the GC–MS/MS data to investigate the potential of aroma compounds for wine sample discrimination, as well as to point out relevant correlations between them. In this study, only the first two principal components were taken into consideration, which had the highest Eigen factor values (17.86 and 6.86, respectively). The variability for these two principal components was 49.61% and 19.04%, respectively.
Table 3 highlights the aroma coding for the PCA analysis.
Table 3.
Aroma compound codification for PCA analysis.
Figure 6 highlights the score projection, as well as the loading values, giving a visual representation of the inter-varietal models for both similarity and difference within wine’s samples.
Figure 6.
A 2D-PCA plot of the aroma compounds in all six samples.
The results suggested a significant variance between wine varieties. The two principal components 100% elucidated the variation within the data set, PC1 counting 49.61% and PC2 19.04% from the variance. It was observed that all three vineyards were distinctly scattered in the PCA graph. Feteasca alba from Sarica Niculitel and from Silagiu exhibited negative PC1 scores, and, also, negative PC2 scores, suggesting that these samples are relatively distinct, being placed in the left side of the plot. Also, Feteasca alba from Aiud had negative PC1 scores, but positive scores for PC2, indicating a clear separation of this wine. A totally different situation was observed for the other three wines, positioned in the right side. To elucidate the maximum variance within the PCs, the absolute loading scores (LV ≥ 0.8) were set as a cut-off [64], resulting in the selection of 21 as the most differentiating components within PC1 (from A1 to A17, E1, E8, F1, F2, F5, F6, and T1) and 9 loadings having high correlation within PC2 (T1, T4, A13, E2, E5, E6, E7, F4, and F7) (Table 2 and Figure 6). From the most differentiating components within PC1, A4, F1, and F5 were highlighted in high concentrations in Feteasca alba both from Sarica Niculitel and Silagiu, confirmed by the experimental data. Feteasca alba from Aiud had a high concentration of the T1 terpenoid compound. The presence of other aroma compounds was found to be similar in all samples. When the variables that segregated the samples within F1 are considered, the PCA outcomes may sustain the premise that the percentage of certain molecules’ total content (for instance, oxygenated terpenes or oxygenated compounds of terpenoid origin) is influenced by eco-geographic characteristics [65,66].
Hierarchical clustering was applied to explain the relationship between the six samples of wines. The obtained dendrogram (Figure 7) shows two clusters, based on the autochthonous varieties of wines, namely, Feteasca alba and Feteasca regala, revealing the similarity between the compositional profile of these varieties, irrespective of the winegrowing region.
Figure 7.
Distribution of the cluster for Feteasca alba and Feteasca regala from Silagiu, Aiud, and Sarica Niculitel winegrowing region.
In this context, it is important to highlight the smallest clusters include Silagiu and Aiud winegrowing region, suggesting a greater similarity of the compositional profile.
4. Conclusions
This study highlighted that the considered wines had an aromatic potential directly correlated with the grapes’ area of origin, influenced also by the pedologic factors and by the variability of climatic characteristics. The highest value of the oenoclimatic aptitude index was recorded in the Sarica Niculitel vineyard, with a value of 4990.4. Consequently, a significant accumulation of aroma compounds was observed, mainly for the Feteasca regala wine, where the total aromas reached 33,399.29 µg/L. The identified aromas in the selected wines were compared using a PCA analysis, indicating a significant variance within wine varieties. Within the most differentiating elements on PC1, 2-nonanol, butandioic acid, and hexanoic acid were detected in Feteasca alba both from Sarica Niculitel and Silagiu in high concentrations, confirmed by the experimental data. Nevertheless, hierarchical clustering was applied to explain the relationship between the six wines from the three vineyards, resulting in the smallest clusters including Silagiu and Aiud that suggested an increased similarity of the compositional profile.
Wine aroma given by certain compounds will influence the consumer perception in liking or not liking the wine. It can be concluded that the relationship between the aroma profile and a consumer sensory evaluation requires further investigation. Considering that there is a lack of information regarding the aroma profile of the studied white wines, this study can be a starting point to deepen the research in this domain and publicize these Romanian white wines’ quality.
Supplementary Materials
The following supporting information can be downloaded at: https://www.mdpi.com/article/10.3390/app14010019/s1. Table S1: Aroma compounds concentrations.
Author Contributions
Conceptualization, D.I.P. and V.-C.N.; Data curation, D.I.P., O.R.B., R.E.I., D.S. and V.-C.N.; Formal analysis, D.I.P., O.R.B., D.S., N.A.S. and V.-C.N.; Funding acquisition, D.I.P. and R.E.I.; Investigation, D.I.P., D.S., N.A.S. and V.-C.N.; Methodology, D.I.P., O.R.B., D.S., N.A.S. and V.-C.N.; Project administration, D.I.P. and N.A.S.; Resources, D.I.P., R.E.I. and N.A.S.; Software, O.R.B.; Supervision, O.R.B., R.E.I. and V.-C.N.; Validation, D.I.P., O.R.B., R.E.I., N.A.S. and V.-C.N.; Visualization, N.A.S. and V.-C.N.; Writing—original draft, D.I.P. and V.-C.N.; Writing—review and editing, R.E.I. and V.-C.N. All authors have read and agreed to the published version of the manuscript.
Funding
This research was funded by the Ministry of Agriculture and Rural Development—Romania, under Sectorial Plan-ADER 2026, Project ADER 6.3.7—“Applicability measures regarding the investigation of the organochlorine and organophosphorus contaminants distribution on the soil-plant-vegetable/fruit-finished product chain, following different types of soils in various areas”, and by the Romanian Ministry of Research, Innovation and Digitization through Program 1-Development of the national research and development system, Subprogram 1.1. Institutional performance-Projects to finance excellence in RDI, Contract No. 19PFE/30.12.2021.
Institutional Review Board Statement
Not applicable.
Informed Consent Statement
Not applicable.
Data Availability Statement
The data presented in this study are available on request from the corresponding authors. The data are not publicly available due to institutional policies.
Acknowledgments
This research was conducted under Sectorial Plan-ADER 2026, Project ADER 6.3.7—“Applicability measures regarding the investigation of the organochlorine and organophosphorus contaminants distribution on the soil-plant-vegetable/fruit-finished product chain, following different types of soils in various areas” financed by the Ministry of Agriculture and Rural Development—Romania and Program 1-Development of the national research and development system, Subprogram 1.1. Institutional performance-Projects to finance excellence in RDI, Contract No. 19PFE/30.12.2021, financed by the Romanian Ministry of Research, Innovation and Digitization. N.A.S. gratefully acknowledges the support obtained through project number PN-III-P4-ID-PCE-2020-0620, within PNCDI III, a grant of the Romanian Ministry of Research, Innovation and Digitization, CNCS-UEFISCDI.
Conflicts of Interest
The authors declare no conflict of interest.
References
- Antoce, A.O.; Calugaru, L.L. Evolution of grapevine surfaces in Romania after accession to European Union—Period 2007–2016, BIO Web of Conferences 9. In Proceedings of the 40th World Congress of Vine and Wine, Sofia, Bulgaria, 29 May–2 June 2017. [Google Scholar] [CrossRef]
- Șandru, D. The Influence of Geomorphology on the Sensorial Quality of Red Wines from the Șarba wine region, Odobești Vineyard. Int. Lett. Nat. Sci. 2015, 49, 44–49. [Google Scholar] [CrossRef]
- Irimia, L.M.; Patriche, C.V.; Quenol, H.; Sfîcă, L.; Foss, C. Shifts in climate suitability for wine production as a result of climate change in a temperate climate wine region of Romania. Theor. Appl. Clim. 2018, 131, 1069–1081. [Google Scholar] [CrossRef]
- Lengyel, E. Primary aromatic character of wines. Acta Univ. Cibiniensis 2012, 16, 3–18. Available online: https://saiapm.ulbsibiu.ro/cercetare/ACTA_E/AUCFT2012_I_3_18.pdf (accessed on 11 December 2023).
- Korenika, J.A.-M.; Preiner, D.; Tomaz, I.; Jeromel, A. Volatile profile characterization of croatian commer-cial sparkling wines. Molecules 2020, 25, 4349. [Google Scholar] [CrossRef] [PubMed]
- Rebenciuc, I.; Lengyel, E.; Stegăruș, D.I.; Alexe, P.; Călugăr, A. Identification and quantification of total polyphenols in musts and aromatic and semi-aromatic wines. Adv. Agric. Bot. 2020, 12, 106–111. Available online: https://www.proquest.com/openview/8493295a6c4d7430eba14a9862fcbff6/1?pq-origsite=gscholar&cbl=2046428 (accessed on 11 December 2023).
- Chapman, D.M.; Roby, G.; Ebeler, S.E.; Guinard, J.-X.; Matthews, M.A. Sensory attributes of Cabernet Sauvignon wines made from vines with different water status. Aust. J. Grape Wine Res. 2005, 11, 339–347. [Google Scholar] [CrossRef]
- Muñoz-Bernal, Ó.A.; Vazquez-Flores, A.A.; de la Rosa, L.A.; Rodrigo-García, J.; Martínez-Ruiz, N.R.; Alvarez-Parrilla, E. Enriched Red Wine: Phenolic Profile, Sensory Evaluation and In Vitro Bioaccessibility of Phenolic Compounds. Foods 2023, 12, 1194. [Google Scholar] [CrossRef] [PubMed]
- Ribéreau-Gayon, P.; Glories, Y.; Maujean, A.; Dubourdieu, D. The Chemistry of Wine Stabilization and Treatments, 3rd ed.; John Wiley & Sons, Ltd.: Hoboken, NJ, USA, 2006; Volume 2. [Google Scholar]
- Rebenciuc, I. Vinurile Moldovenești—Aromă și Savoare; Editura Universitatii Lucian Blaga din Sibiu: Sibiu, Romania, 2020. [Google Scholar]
- Ristic, R.; Downey, M.O.; Iland, P.G.; Bindon, K.; Francis, I.L.; Herderich, M.; Robinson, S.P. Exclusion of sunlight from Shiraz grapes alters wine colour, tannin and sensory properties. Aust. J. Grape Wine Res. 2007, 13, 53–65. [Google Scholar] [CrossRef]
- Blancquaert, E.H.; Oberholster, A.; Ricardo-Da-Silva, J.M.; Deloire, A.J. Effect of Light Quality on Fruit Growth, Composition and the Sensory Impact of the Wines. S. Afr. J. Enol. Vitic. 2019, 40, 141–156. [Google Scholar] [CrossRef]
- Bureau, S.M.; Razungles, A.J.; Baumes, R.L. The aroma of Muscat of Frontignan grapes: Effect of the light environment of vine or bunch on volatiles and glycoconjugates. J. Sci. Food Agric. 2000, 80, 2012. [Google Scholar] [CrossRef]
- Aragón-García, F.; Ruíz-Rodríguez, A.; Palma, M. Changes in the Aromatic Compounds Content in the Muscat Wines as a Result of the Application of Ultrasound during Pre-Fermentative Maceration. Foods 2021, 10, 1462. [Google Scholar] [CrossRef] [PubMed]
- Vilanova, M.; Ugliano, M.; Siebert, T.; Pretorius, I.J.; Henschke, P.A. Assimilable nitrogen utilization and production of volatile and nonvolatile compounds in chemically defined medium by Saccharomyces cerevisiae wine strains. App. Microbiol. Biotechnol. 2007, 77, 145–157. [Google Scholar] [CrossRef]
- Ferreira, V.; De-la-Fuente, A.; Sáenz-Navajas, M.P. Wine aroma vectors and sensory attributes. In Managing Wine Quality, 2nd ed.; Elsevier: Amsterdam, The Netherlands, 2020; pp. 1–20. [Google Scholar]
- Rodriguez-Bencomo, J.J.; Conde, J.E.; Rodriguez-Delgado, M.A.; Garcia-Montelongo, F.; Perez-Trujillo, J.P. Determination of esters in dry and sweet white wines by headspace solid-phase microextraction and gas chromatography. J. Chromatogr. A 2002, 963, 213–223. [Google Scholar] [CrossRef]
- de-la-Fuente-Blanco, A.; Sáenz-Navajas, M.P.; Valentin, D.; Ferreira, V. Fourteen ethyl esters of wine can be replaced by simpler ester vectors without compromising quality but at the expense of increasing aroma concentration. Food Chem. 2020, 307, 125553. [Google Scholar] [CrossRef] [PubMed]
- Gutiérrez-Escobar, R.; Aliaño-González, M.J.; Cantos-Villar, E. Wine Polyphenol Content and Its Influence on Wine Quality and Properties: A Review. Molecules 2021, 26, 718. [Google Scholar] [CrossRef] [PubMed]
- Merkytė, V.; Longo, E.; Windisch, G.; Boselli, E. Phenolic Compounds as Markers of Wine Quality and Authenticity. Foods 2020, 9, 1785. [Google Scholar] [CrossRef] [PubMed]
- Kupsa, J.; Pavloušek, P.; Kumšta, M.; Lampir, L. Phenolic profiles of Riesling wines originating from different terroirs of the Czech Republic. Mitt. Klosterneubg. 2017, 67, 182–193. [Google Scholar]
- Li, S.; Zhu, B.; Reeves, M.J.; Duan, C. Phenolic Analysis and Theoretic Design for Chinese Commercial Wines’ Authentication. Food Sci. 2018, 83, 13961. [Google Scholar] [CrossRef]
- Urvieta, R.; Buscema, F.; Bottini, R.; Coste, B.; Fontana, A. Phenolic and sensory profiles discriminate geographical indications for Malbec wines from different regions of Mendoza. Food Chem. 2018, 265, 120–127. [Google Scholar] [CrossRef]
- Cejudo-Bastante, M.J.; Vicario, A.; Guillén, D.A.; Hermosín-Gutiérrez, I.; Pérez-Coello, M.S. Phenolic characterization of minor red grape varieties grown in Castilla-La Mancha region in different vinification stages. Eur. Food Res. Technol. 2015, 240, 595–607. [Google Scholar] [CrossRef]
- Ragusa, A.; Centonze, C.; Grasso, M.E.; Latronico, M.F.; Mastrangelo, P.F.; Sparascio, F.; Fanizzi, F.P.; Maffia, M. A Comparative Study of Phenols in Apulian Italian Wines. Foods 2017, 6, 24. [Google Scholar] [CrossRef] [PubMed]
- Jagatić Korenika, A.M.; Maslov Bandic, L.; Jakobović, S.; Palčić, I.; Jeromel, A. Comparative study of aromatic and polyphenolic profiles of Croatian white Wines produced by cold maceration. Czech J. Food Sci. 2018, 36, 459–469. [Google Scholar] [CrossRef]
- Wang, D.; Duan, C.Q.; Shi, Y.; Zhu, B.Q.; Javed, H.U.; Wang, J. Free and glycosidically bound volatile compounds in sun-dried raisins made from different fragrance intensities grape varieties using a validated HS-SPME with GC-MS method. Food Chem. 2017, 228, 125–135. [Google Scholar] [CrossRef] [PubMed]
- Moroșanu, A.M.; Luchian, C.E.; Niculaua, M.; Colibaba, C.L.; Tarțian, A.C.; Cotea, V.V. Assessemnet of major volatile and phenolic compunds from Fetească regală wine samples after pre-fermentative treatments using GC-MS analysis and HPLC analysis. Not. Bot. Horti Agrobot. 2018, 46, 247–259. [Google Scholar] [CrossRef]
- Urcan, D.E.; Lung, M.L.; Giacosa, S.; Torchio, F.; Ferrandino, A.; Vincenzi, S.; Río Segade, S.; Pop, N.; Rolle, L. Phenolic Substances, Flavor Compounds, and Textural Properties of Three Native Romanian Wine Grape Varieties. Int. J. Food Prop. 2016, 19, 76–98. [Google Scholar] [CrossRef]
- Câmpeanu, G.; Burcea, M.; Doneanu, C.; Namolosanu, I.; Visan, L. GC/MS characterization of the volatiles isolated from the wines obtained from the indigenous cultivar Feteasca Regalã. Analusis 1998, 26, 93–97. [Google Scholar] [CrossRef]
- Stancu, A.; Calin, C.; Pantea, O.; Ene, C. Identification of Correlations Between Chemical Substances and Sensory Characteristics of Feteasca Alba via Bravais-Pearson Coefficient. Rev. Chim. 2015, 66, 778. [Google Scholar]
- Jakabová, S.; Fikselová, M.; Mendelová, A.; Ševčík, M.; Jakab, I.; Aláčová, Z.; Kolačkovská, J.; Ivanova-Petropulos, V. Chemical Composition of White Wines Produced from Different Grape Varieties and Wine Regions in Slovakia. Appl. Sci. 2021, 11, 11059. [Google Scholar] [CrossRef]
- Lampir, L.; Pavlousek, P. Influence of Locality on Content of Phenolic Compounds in White Wines. Czech J. Food Sci. 2013, 31, 619–626. [Google Scholar] [CrossRef]
- Magdas, D.A.; Cozar, B.I.; Feher, I.; Guyon, F.; Dehelean, A.; Pinzaru, S.C. Testing the limits of FT-Raman spectroscopy for wine authentication: Cultivar, geographical origin, vintage and terroir effect influence. Sci. Rep. 2019, 27, 19954. [Google Scholar] [CrossRef]
- McAllister, A. Wine Grapes Are Highly Sensitive to Changes in Climate. So How Will the Future of Wine Be Impacted by Global Warming? Available online: https://www.zurich.com/en/media/magazine/2021/how-does-climate-change-affect-wine (accessed on 12 September 2023).
- Dobrei, A.; Mălăescu, M.; Ghiţă, A.; Dărăbuş, R.; Cristea, T. Researches on the evolution of the annual biological cycle at some grape varieties under different pedo-climatic conditions. Horticulture 2009, 13, 458–461. [Google Scholar]
- Giugea, N.; Muntean, C.; Mărăcineanu, L.C.; Călugăru, V. Resurse Oenoturistice; Alma Publishing House: Craiova, Romania, 2020; pp. 48–49. [Google Scholar]
- Cotea, V.V.; Focea, M.C.; Luchian, C.E.; Colibaba, L.C.; Scutarașu, E.C.; Marius, N.; Zamfir, C.I.; Popîrdă, A. Influence of Different Commercial Yeasts on Volatile Fraction of Sparkling Wines. Foods 2021, 10, 247. [Google Scholar] [CrossRef] [PubMed]
- International Organisation of Vine and Wine. Method OIV-MA-AS2-10 Type IV Method, Folin-Ciocalteu Index (Recueil OIV ed.1990 Revised by OIV/OENO 377/2009)—Compendium of International Methods of Analysis-OIV; OIV—OIV-MA-INT-00-2023—12, Parvis de L’UNESCO; Editure (Alma Editure): Dijon, France, 2023; Volume 1. [Google Scholar]
- Țârdea, C. Chimia și Analiza Vinului Ed; Ion Ionescu de la Brad: Dijon, France, 2007. [Google Scholar]
- Lin, L.; Yang, W.; Wei, X.; Wang, Y.; Zhang, L.; Zhang, Y.; Zhang, Z.; Zhao, Y.; Zhao, M. Enhancement of Solasodine Extracted from Fruits of Solanum nigrum L. by Microwave-Assisted Aqueous Two-Phase Extraction and Analysis by High-Performance Liquid Chromatography. Molecules 2019, 24, 2294. [Google Scholar] [CrossRef] [PubMed]
- Miricioiu, M.G.; Ionete, R.E.; Simova, S.; Gerginova, D.; Botoran, O.R. Metabolite Profiling of Conifer Needles: Tracing Pollution and Climate Effects. Int. J. Mol. Sci. 2023, 24, 14986. [Google Scholar] [CrossRef] [PubMed]
- Gerogiannaki-Christopoulou, M. Development for a procedure for the determination of 2-phenylethanol in hellenic wine distillates (Vitis vinifera L.) and their changes during distillation. J. Int. Sci. Vigne Vin. 2009, 43, 171–178. [Google Scholar] [CrossRef]
- Popa, D. Study of the quality potential in the Biharia vineyard of the authorized varieties in the Crisana region. Ann. Univ. Oradea Fascicle Environ. Prot. 2021, XXXVI, 105–108. [Google Scholar]
- Avram, V.; Floare, C.G.; Hosu, A.; Cimpoiu, A.; Măruţoiu, C.; Moldovan, Z. Characterization of Romanian Wines by Gas Chromatography–Mass Spectrometry. Anal. Lett. 2015, 48, 1099–1116. [Google Scholar] [CrossRef]
- Alexandrov, E.; Gaina, B. The Concentration of the Terpene Alcohols from the Juice of Berry of the Interspecific Hybrids to the Vines (Vitis vinifera L. X Muscadinia rotundifolia Michx.), Scientific Papers Series Management. Econ. Eng. Agric. Rural. Dev. 2016, 16, 27–30. [Google Scholar]
- Lasik-Kurdyś, M.; Majcher, M.; Nowak, J. Effects of Different Techniques of Malolactic Fermentation Induction on Diacetyl Metabolism and Biosynthesis of Selected Aromatic Esters in Cool-Climate Grape Wines. Molecules 2018, 23, 2549. [Google Scholar] [CrossRef]
- Bao, J.; Zhen-Wen, Z.; Jun-Xian, Z. Effect of terrains on the volatiles of Cabernet Sauvignon wines grown in Loess Plateau region of China. Afr. J. Biotechnol. 2012, 11, 8280–8287. [Google Scholar] [CrossRef]
- Chidi, B.S.; Rossouw, D.; Buica, S.; Bauer, F.F. Determining the Impact of Industrial Wine Yeast Strains on Organic Acid Production Under White and Red Wine-like Fermentation Conditions. S. Afr. J. Enol. Vitic. 2015, 36, 316–327. [Google Scholar] [CrossRef]
- Vieira da MOTA, R.; Peregrino, I.; Pinheiro, C.; Carvalho, S.; Henrique, R.; Raimundo, R.H.P.; Fernandes, F.P.F.; Souza, C. Row orientation effects on chemical composition and aromatic profile of Syrah winter wines. Food Sci. Technol. 2021, 41, 412–417. [Google Scholar] [CrossRef]
- Robles, A.; Fabjanowicz, M.; Płotka-Wasylka, J.; Konieczka, P. Organic acids and polyphenols determination in Polish wines by ultrasound-assisted solvent extraction of porous membrane-packed liquid samples. Molecules 2019, 24, 4376. [Google Scholar] [CrossRef] [PubMed]
- Niculaua, M.; Nechita, B.; Colibaba, L.C.; Moraru, I.; Zamfir, C.; Cotea, V. Organic acids determination in Romanian wines by HPLC method. In Proceedings of the 37th OIV Congress, Mendoza, Argentina, 9–14 November 2014. [Google Scholar] [CrossRef]
- Scutarașu, E.C.; Luchian, C.E.; Vlase, L.; Nagy, K.; Colibaba, L.C.; Trinca, L.C.; Cotea, V.V. Influence Evaluation of Enzyme Treatments on Aroma Profile of White Wines. Agronomy 2022, 12, 2897. [Google Scholar] [CrossRef]
- Fariña, L.; Boido, E.; Carrau, F.; Versini, G.; Dellacassa, E. Terpene Compounds as Possible Precursors of 1,8-Cineole in Red Grapes and Wines. J. Agric. Food Chem. 2005, 53, 1633–1636. [Google Scholar] [CrossRef] [PubMed]
- Michlmayr, H.; Nauer, S.; Brandes, W.; Schümann, C.; Kulbe, K.D.; Hierro, A.; Eder, R. Release of wine monoterpenes from natural precursors by glycosidases from Oenococcus oeni. Food Chem. 2012, 135, 80–87. [Google Scholar] [CrossRef]
- Takoi, K.; Itoga, Y.; Koie, K.; Kosugi, T.; Shimase, M.; Katayama, Y.; Nakayama, Y.; Watari, J. The Contribution of Geraniol Metabolism to the Citrus Flavour of Beer: Synergy of Geraniol and β-Citronellol Under Coexistence with Excess Linalool. J. Inst. Brew. 2010, 116, 251–260. [Google Scholar] [CrossRef]
- Peterson, A.L.; Waterhouse, A.L. 1H NMR: A Novel Approach to Determining the Thermodynamic Properties of Acetaldehyde Condensation Reactions with Glycerol, (+)-Catechin, and Glutathione in Model Wine. J. Agric. Food Chem. 2016, 36, 6869–6878. [Google Scholar] [CrossRef]
- Pereira, V.; Albuquerque, F.M.; Ferreira, A.C.; Cacho, J.; Marques, J.C. Evolution of 5-hydroxymethylfurfural (HMF) and furfural (F) in fortified wines submitted to overheating conditions. Food Res. Int. 2011, 44, 71–76. [Google Scholar] [CrossRef]
- Dumitriu Gabur, G.D.; Teodosiu, C.; Cotea, V.V.; Peinado, R.A.; Gabur, I.; Lopez de Lerma, N. Study of volatile compounds of romanian red wines aged with oak chips. Environ. Eng. Manag. J. 2020, 19, 229–234. Available online: http://www.eemj.icpm.tuiasi.ro/ (accessed on 11 December 2023).
- Pérez-Jiménez, M.; Pozo-Bayón, M.Á. Development of an in-mouth headspace sorptive extraction method (HSSE) for oral aroma monitoring and application to wines of different chemical composition. Food Res. Int. 2019, 121, 97–107. [Google Scholar] [CrossRef] [PubMed]
- Carneiro, C.N.; Gomez, F.J.V.; Spisso, A.; Silva, M.F.; Azcarate, S.M.; Dias, F.D.S. Geographical characterization of South America wines based on their phenolic and melatonin composition: An exploratory analysis. Microchem. J. 2020, 158, 105240. [Google Scholar] [CrossRef]
- Daniel Blanco-Ward, D.; Monteiro, A.; Lopes, M.; Borrego, C.; Silveira, C.; Viceto, C.; Rocha, A.; Ribeiro, A.; Andrade, J.; Feliciano, M.; et al. Climate change impact on a wine-producing region using a dynamical downscaling approach: Climate parameters, bioclimatic indices and extreme indices. Int. J. Climatol. 2019, 39, 5741–5760. [Google Scholar] [CrossRef]
- Lukić, I.; Radeka, S.; Budić-Leto, I.; Bubola, M.; Vrhovsek, U. Targeted UPLC-QqQ-MS/MS profiling of phenolic compounds for differentiation of monovarietal wines and corroboration of particular varietal typicity concepts. Food Chem. 2019, 300, 125251. [Google Scholar] [CrossRef] [PubMed]
- Cozzolino, R.; De Giulio, B.; Petriccione, M.; Martignetti, A.; Malorni, L.; Zampella, L.; Laurino, C.; Pellicano, M.P. Comparative analysis of volatile metabolites, quality and sensory attributes of Actinidia chinensis fruit. Food Chem. 2020, 316, 126340. [Google Scholar] [CrossRef]
- Lazarević, J.S.; Đorđević, A.S.; Kitić, D.V.; Zlatković, B.K.; Stojanović, G.S. Chemical composition and antimicrobial activity of the essential oil of Stachys officinalis (L.) Trevis. (Lamiaceae). Chem. Biodivers. 2013, 10, 1335–1349. [Google Scholar] [CrossRef]
- Perestrelo, R.; Bordiga, M.; Locatelli, M.; Silva, C.; Câmara, J.S. Polyphenols, biogenic amines and amino acids patterns in Verdelho wines according to vintage. Microchem. J. 2020, 153, 104383. [Google Scholar] [CrossRef]
Disclaimer/Publisher’s Note: The statements, opinions and data contained in all publications are solely those of the individual author(s) and contributor(s) and not of MDPI and/or the editor(s). MDPI and/or the editor(s) disclaim responsibility for any injury to people or property resulting from any ideas, methods, instructions or products referred to in the content. |
© 2023 by the authors. Licensee MDPI, Basel, Switzerland. This article is an open access article distributed under the terms and conditions of the Creative Commons Attribution (CC BY) license (https://creativecommons.org/licenses/by/4.0/).






