Abstract
The impact of climate change has become increasingly severe in forests, where droughts and strong winds on the one hand and extreme rainfall events on the other hand can damage forest ecosystems. To mitigate the effects of drought and enhance soil water retention capacity, three types of soil conditioners (SCs), labeled SC_R, SC_CG, and SC_ZZC, were developed as part of the European project ONEforest. All the conditioners are based on Xanthan gum and have different types and amounts of fillers with diverse cellulose fiber lengths. These can offer the potential to optimize the SC characteristics, e.g., water absorption, water retention, and mechanical stability. This paper focuses on the influence of fillers in the SCs on the geotechnical properties of forest soils from Ljubelj in the Alpine part of Slovenia (S1), Catalonia, northeastern Spain (S2), and Heldburg, Germany (S3). The results show an increase of 53% to 100% in the water absorption of treated soil. A less favorable impact of the SCs was found on the drained shear strength and the compressibility. The drained shear strength of untreated forest soils in a saturated state was S1 c′ = 4.4 kPa, φ′ = 33.5°; S2 c′ = 1.4 kPa, φ′ = 30.0°; and S3 c′ = 12 kPa, φ′ = 28.0°. The addition of SCs results in a reduction in the drained shear strength of saturated mixtures. The reduction depends on the dosage of added SC—whether it is a low (L) or a high (H) dosage. For instance, when the soil S1 was treated with a low dosage of the soil conditioner SC_R, it demonstrated a cohesion (c′) of 11 kPa and a friction angle (φ′) of 27.0°. However, increasing the dosage of the SC_R led to a decrease in both the cohesion and the friction angle for the same soil (c′ = 7.7 kPa, φ′ = 25.0°). Additionally, the type of soil conditioner also impacts the drained shear strength. Among the mixtures with a high dosage of the SC_R, SC_CG, or SC_ZZC, those containing the SC_CG with the longest fibers stand out, demonstrating the highest friction angle. Therefore, longer fibers can be a promising component of the SCs to reduce the negative influence of XG on the mechanical properties of treated soils.
1. Introduction
Biopolymers are polymeric, biodegradable materials derived from renewable sources [1,2]. They play an increasingly important role in enhancing the geotechnical soil properties and providing the water retention ability of the soil in agriculture and other land management practices (e.g., forest management). Unlike other biomaterials, including proteins, which degrade within hours to days, biopolymers exhibit a prolonged degradation process, spanning years, with no reported adverse environmental effects [3].
Among widely used biopolymers, such as Xanthan gum, Gellan gum, Agar glue, and Guar gum, Xanthan gum stands out as one of the most commonly applied in geotechnical engineering [4,5,6,7]. This stems from its soil property modification ability and its cost efficiency [8,9]. The alteration of the soil properties induced by Xanthan gum (XG) results from two primary mechanisms: (i) the aggregation of the soil particles due to the deposition of the XG in the voids and (ii) the establishment of bonds between the XG and the soil particle surfaces, particularly if the soil particles are electrically charged, as is the case in clayey soils [10].
Several studies have demonstrated that the addition of XG affects the shear, the tensile strength, and the compressive strength of the soil [8,11,12,13,14,15,16,17,18], alters the compaction characteristics [14], reduces the swelling potential of high-plasticity soils [12,14], decreases soil erosion [19], lowers the hydraulic conductivity of the soil [14,16], and enhances the conditions for plant growth [1,20,21].
The effectiveness of the XG-based soil conditioners is highly dependent on the soil water content [5,22,23,24,25,26]. Due to their hydrophilic nature, the XG-based soil conditioners form a low-viscosity hydrogel around the soil particles in a wet state. In a dry state, this hydrogel transforms into a high-strength network around the soil particles. As a result, the dried soil, previously treated with XG-based soil conditioners, has high strength. An equally treated soil in wet or submerged conditions has a significantly lower strength [5,8,18,22,25,26]. Although the XG soil treatment offers advantages like high dry strength, cost-effectiveness, and improvement of soil water retention capacity, which reduce the soil vulnerability to drought, its widespread application in natural environments is limited due to its inefficacy as a soil-strengthening agent in wet conditions and associated durability concerns [5].
To improve the wet strength and durability of the XG-treated soil, numerous studies have focused on chemical modification of the XG physicochemical properties by adding Ba2+, Ca2+, Cr3+, and Fe3+ and observing their influences on the gelation process and the XG gel strength [5]. However, there is a shortage of data regarding other potential modifications of XG that could preserve its high retention capacity while maintaining or even improving the mechanical properties of the XG-treated soils in a wet or saturated state.
The novelty of this research stems from the utilization of newly developed engineered bio-based soil conditioners (SCs) composed of Xanthan gum, oxide ash, and cellulose fillers of varying fiber lengths. Despite the potential synergies arising from the combination of Xanthan gum with cellulose fibers to create materials for soil conditioning and water retention, no study on this topic can be found in the open literature [2].
The primary objective of adding oxide ash and cellulose fillers of varying fiber lengths to the soil conditioners was to reduce their sensitivity to water. This prevents the decrease in strength of the treated soils in wet conditions, minimizes the volumetric changes during the wetting/drying cycles, and slows down the water release. The aim is to maintain the increased water retention capacity, which is a primary function of the developed SCs [1,2]. The development of XG-based soil conditioners for agricultural and forestry applications was described in [2], and the properties of the developed SCs and their impact on soil water retention capacity and plant growth were partially demonstrated in [1].
In this study, the impact of various fillers on the sensitivity of XG-based soil conditioners to water is investigated for the first time from a geotechnical perspective. Having in mind the applications of SCs for supporting plant growth, the water retention capacity of SCs is fully utilized in moist conditions. Therefore, specimens of soil and mixtures of soil with SCs were investigated in a saturated state. While the saturated condition represents the best utilization of SCs absorbing capacity and is favorable to providing sufficient water for the growth of plants and trees, it is expected that the values of the mechanical properties of the treated soils will be at their lowest. The focus is on the drained shear strength and compressibility, the index properties, the water absorption capacity, and the saturated hydraulic conductivity of the untreated soils and the soils treated with three types of newly developed XG-based soil conditioners. The study was conducted on three different types of forest soils.
2. Materials
2.1. Soils
Laboratory investigations were carried out on three types of soils from different forest areas in Europe, i.e., Ljubelj in the Alpine part of Slovenia (S1), Catalonia, northeastern Spain (S2), and Heldburg, Germany (S3). Soil samples at their natural water content are shown in Figure 1. The samples were taken from approx. 10–20 cm below the organic layer, which consisted mostly of fresh leaves and needles. The organic content of soil S1 was 8.2% per dry matter (DM), whereas S2 and S3 had organic contents ranging between 1.8% and 5.2% DM. Before laboratory investigations, older and partially decomposed large organic particles were manually removed from the soils at their natural water content. The cleared soils were then stored in tightly closed containers until the investigations were conducted.
Figure 1.
Investigated soils after removing older and partially decomposed organic particles.
2.2. Soil Conditioners
Three types of SCs were used in the investigation. All are based on Xanthan gum (XG) and have different types and amounts of fillers with diverse fiber lengths that are listed in Table 1. The fillers were mixed with a 4% XG-water solution at a dosage of 2%. The mixing operations were performed using a Dispermat® F1 mixer (VMA-Getzmann Gmbh, Reichshof, Germany), operating at 5000 rpm for 15 min, until a homogeneous mixture without lumps was obtained. After mixing, the SCs were dried in an oven at 50 °C for 72 h and grinded through the use of a Piovan® RN166/1 granulator (Piovan SpA, Venice, Italy) for 3 min. A detailed description of the SCs and their preparation can be found in the literature [1,2]. The final product had the form of granules of irregular size and shape, as shown on the left half of Figure 2. On the right half of Figure 2, the SCs can be seen in a wet state (the wet state was achieved by adding tap water until the granules were saturated). It is evident that the addition of water significantly alters the texture of the SCs and leads to a hydrogel-like paste whose volume increases considerably due to swelling.
Table 1.
Characteristics of fillers in soil conditioners employed in this study [1].
Figure 2.
The soil conditioners in a dry state (left half of the picture) and a saturated state (right half of the picture).
2.3. Mixtures
All tests were carried out on both untreated soils and mixtures of soils with SC_R, SC_CG, or SC_ZZC. The soil conditioner SC_R was applied in low (L) and high (H) dosages, with 0.4% and 1.7% of the SC per dry soil mass, respectively. The soil conditioners SC_CG and SC_ZZC were used only in high (H) dosages. For each soil type, four mixtures listed in Table 2 were prepared and investigated. Therefore, 12 mixtures were included in this research.
Table 2.
Investigated mixtures.
For the determination of water absorption (wA,24h), the mixtures were prepared from dry soil and dry soil conditioners. For the other tests, the mixtures were prepared from the soil at its known natural water content with the addition of dry soil conditioners. Each specimen was prepared from a fresh mixture.
3. Methods
The preparation of specimens, the test procedures, and the evaluation of the results followed the standard test methods outlined in Table 3. Most of the investigations were carried out on both the untreated soils and the mixtures; however, that was not feasible in all cases. For example, during the drying of the mixtures, the properties of the SC hydrogel changed notably, and the determination of the plastic limit was not possible. Due to the nature of the SCs (sensitivity to water, swelling, etc.), the particle density and the particle size distribution of the mixtures were not determined.
Table 3.
List of laboratory investigations, associated standards, methods, and devices used for investigations, and investigation plan for the untreated soils and the mixtures.
The water absorption of the untreated soils and the mixtures was determined on crushed dry specimens with particles smaller than 0.355 mm and an initial mass of 1.0 g. At least two test repetitions were conducted for each untreated soil or mixture. Following the recommendation of the standard, the water absorption was assessed after 24 h (wA,24h).
The specimens were placed into the oedometer, or direct shear cell, with dry porous plates and submerged under water, allowing them to swell. This enabled the measurement of the compressibility, the shear strength, and the hydraulic conductivity in a saturated state, as well as the swelling of the untreated soils and mixtures.
After undergoing swelling at = 4.5 kPa in the oedometer, specimens were subjected to incremental loading and unloading in the following load stages: 12.5 kPa, 25 kPa, 50 kPa, 100 kPa, 200 kPa, 100 kPa, 50 kPa, 25 kPa, 4.5 kPa. The saturated hydraulic conductivity was measured using a falling head permeameter at the end of the consolidation in loading stages of 25 kPa and/or 50 kPa. The oedometer tests and measurements of the saturated hydraulic conductivity were performed on two parallel specimens prepared from the same untreated soil or mixture. To ensure the repeatability of the results, two measurements of hydraulic conductivity were taken at each loading stage on the same specimen.
Once the swelling in the direct shear test was completed, the soaked specimens underwent consolidation in loading stages ranging from 12.5 kPa up to the highest selected effective vertical stress of 50 kPa, 100 kPa, or 150 kPa. Throughout the shearing stage that followed the consolidation stage at the highest selected effective vertical stress, the vertical load was maintained constant, and the specimens remained submerged. The rate of horizontal displacement during shearing ranged between 0.002 mm/min and 0.003 mm/min. Due to a high coefficient of correlation (>0.98) for each test and the high repeatability of the measured values, confirmed on two different mixtures, the majority of the direct shear tests were conducted without repetitions.
4. Results and Discussion
4.1. Index Properties of the Investigated Untreated Soils
Figure 3 shows the particle size distribution of the representative specimen of the investigated untreated soils, while their index properties are presented in Table 4. The investigated soils belong to fine-grained soils since they contain more than 50% of particles smaller than 0.063 mm. Based on the liquid limit, plasticity index, and particle size distribution, S2 and S3 were classified as sandy clays, while S1 was classified as silt with sand. Regardless of the different sampling locations, the particle densities of the soils are in the same range, with an average value of 2.56 g/cm3.
Figure 3.
Particle size distribution for the soils S1, S2, and S3.
Table 4.
Index properties of soils used in the research.
4.2. Liquid Limit of Untreated Soils and Mixtures
Figure 4 illustrates the liquid limits for the untreated soils and mixtures with SC_R in low and high dosages. The impact of the SC on the liquid limit is strongly affected by the index properties of the untreated soil. In the case of silt with sand S1, the SC has a negligible effect on the liquid limit, regardless of the dosage. Small differences in measured values of wL could be a consequence of the specimen’s heterogeneity. Unlike soil S1, the liquid limit of soils S2 and S3 increases with increasing SC_R content. Treatment of S2 and S3 with low and high dosages of SC_R increased the liquid limit by approximately 10% and 35%, respectively.
Figure 4.
Liquid limit of untreated soils and mixtures with low (L) and high (H) dosages of SC_R (* represents the identification number of the untreated soil).
This finding aligns with the study [19], which reported a liquid limit (wL) of 22% for an untreated mixture of 50% river sand and 50% residual soil. The study observed an increase of 13% and 39% in wL with the addition of 0.5% and 2% XG, respectively.
4.3. Water Absorption of Untreated Soils and Mixtures
The water absorption of the untreated soils and mixtures is presented in Figure 5. Due to the comparable results of the tests performed in two or more replicates, the water absorption is presented as their average value.
Figure 5.
Average water absorption of specimens from untreated soils and mixtures after 24 h (* represents the identification number of the untreated soil).
In general, the addition of the SCs increases the wA,24h for all types of soils. The mixtures of S1 or S3 with a high dosage of SC_R exhibited approximately 80% higher water absorption compared to untreated soils, while for S2, the increase was 53%. The overall highest increase in wA,24h was observed for the mixtures of soil S3, specifically SC_CG H and SC_ZZC H, which were over 100% in both cases. Soil S2 had a similar increase in the wA,24h for all three types of SCs at a high dosage, which is approx. 53%. These results highlight the influence of both the soil type and the dosage of the SCs on water absorption. However, the type of the SC is not an influential parameter, which was also confirmed by the ANOVA test (α = 0.05).
4.4. Compressibility
In Figure 6, the compressibility curves are shown as the relationship between the specimens’ vertical strain and effective vertical stress. The compressibility curves obtained on two parallel specimens from the same untreated soil or mixture are comparable. To ensure clarity and avoid information overload in the diagrams, only one test per untreated soil or mixture is presented in Figure 6.
Figure 6.
Compressibility curves for untreated soils and mixtures (* represents the identification number of the untreated soil).
Despite a comparable initial void ratio between the specimens from the untreated soil and its mixtures, the compressibility curves of mixtures are shifted above the compressibility curves of untreated soils. This is the result of the free swelling of specimens from mixtures after soaking at the beginning of the test (σv′ = 4.5 kPa). Soaked specimens of untreated soils S1, S2, and S3 did not swell. As previously demonstrated, the observed swelling of specimens from mixtures is attributed to the soil conditioners (SCs), which enhance the water absorption capacity of the soil. The swelling depends on the amount of the SC. The compressibility curves in Figure 6 illustrate that the low dosage of SC_R yields smaller swellings compared to the high dosage. The statistically significant difference (α = 0.05) between specimens with low and high dosages of SC_R was also confirmed by the statistical analysis (ANOVA). It was performed on the oedometer moduli calculated for all the specimens at the same loading stage. On the other hand, the analysis showed that the influence of the type of SC is not statistically significant. No considerable swelling was observed during unloading, even at σv′ = 4.5 kPa.
Figure 7 (left) illustrates the time-dependent swelling of a 19.3-millimeter-high specimen from untreated soil S1 and its mixtures. The specimen is held in a rigid confining ring (Figure 7, right), which restricts lateral displacement but permits vertical swelling or compression. The measurements of the time-dependent swelling were conducted on all specimens after soaking at the first loading stage of 4.5 kPa. The results are presented only for untreated soil S1 and its mixtures. The swelling magnitude was comparable for untreated soils S2 and S3 and their mixtures. The water intake and swelling of the mixtures do not happen instantly, as was also observed during the water absorption investigation. Thus, the specimens were left to swell for approx. 2 days.
Figure 7.
Swelling process (σv′ = 4.5 kPa) of untreated soil S1 and its mixtures (left) and specimen S1+SC_ZZC H after investigation (right).
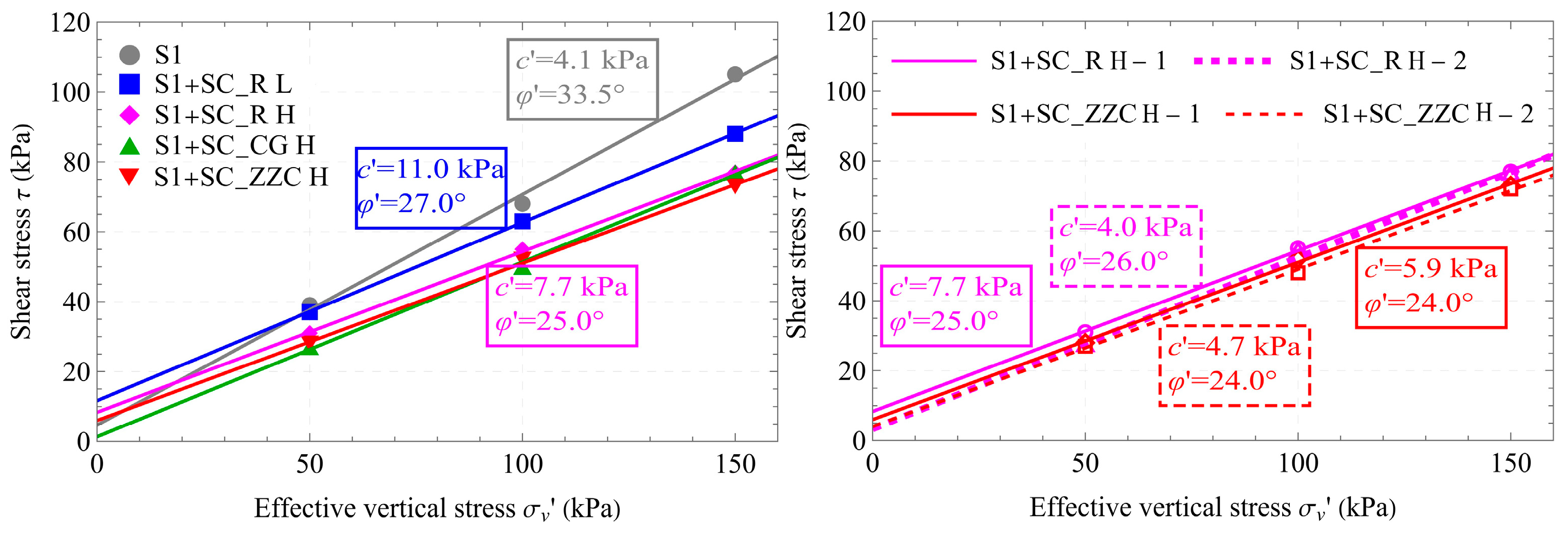
4.5. Drained Shear Strength
Figure 8 (left) presents the results of direct shear tests for both untreated soil S1 and its mixtures prepared at a comparable initial water content and soaked during consolidation and shearing. Mohr–-Coulomb failure envelopes for all investigated soils and mixtures exhibited a high degree of linearity (R2 ≥ 0.98). Two repetitions of the tests were carried out for soil S1, mixed with SC_R H and SC_ZZC H, as shown in Figure 8 (right). The repeatability of the direct shear test results proved to be very good. The difference between the shear strength within the test range of effective vertical stresses is within 4% for SC_R H and even better for SC_ZZC H.
Figure 8.
Results of direct shear tests for the untreated soil S1 and its mixtures (left) and repeatability tests for two types of SCs mixed with soil S1 (right).
Table 5 presents the measured values for the cohesion (c′) and the friction angle (φ′) for all untreated soils and their mixtures. Except for the mixtures of soils S2 or S3 with SC_R L, the friction angle of other mixtures is lower than the friction angle of the corresponding untreated soil. On the other hand, the c′ remains in the same range for all mixtures.
Table 5.
Measured values of cohesion and friction angle for untreated soils and mixtures (* represents the identification number of the untreated soil).
It is interesting to note that mixtures with high dosages of the SCs have comparable values of the friction angles and the cohesions, irrespective of the soil type. A two-way ANOVA with a confidence level of α = 0.05 was performed on all the data and is presented in Table 5. It was shown that there is no significant difference between the friction angles of the three soils, while the mixtures with SC_R H and SC_ZZC H exhibit significantly different friction angles. Due to the similar friction angles of the three soils, an additional one-way ANOVA analysis was performed on the data grouped into the following three groups by the SC type, regardless of the soil type: (1) S+SC_R H, (2) S+SC_CG H, and (3) S+SC_ZZC H, where S stands for the data of all the soil types. Within the three groups of soils treated with high dosages of three different SCs, the mixtures of soils with SC_CG H exhibited significantly higher friction angles (α = 0.05). This could be associated with the longest average fiber length of the fillers in SC_CG.
Despite the presence of oxide ash and cellulose fibers in the soil conditioners, the obtained results are comparable to the literature data for soil samples treated with XG and investigated in a wet or saturated state. For instance, in the investigation of low-plasticity clay (CL), treated with 1% XG, a 5% decrease in friction angle was reported [12]. For low-plasticity silt (ML), treated with the same dosage of XG, the decrease was more than 24% [8]. The impact of XG on cohesion depends on the cohesion of the untreated soil. For high-plasticity clay (CH) treated with 1% XG, the cohesion remains unaffected [15], while an approximately 4% increase was observed in the case of low-plasticity clay (CL) [12]. In partially saturated sandy materials treated with 1% XG, the increase in cohesion can be up to 35% [15].
4.6. Saturated Hydraulic Conductivity
In Table 6, the mean values and corresponding standard errors of the measured saturated hydraulic conductivities are given for all the specimens of untreated soils and mixtures. In general, the addition of SCs decreases the saturated hydraulic conductivity of the investigated soils. The magnitude of the decrease in saturated hydraulic conductivity due to the addition of the high dosage of the SCs was observed to be significant (α = 0.05), i.e., by a factor of 100 to 10,000 m/s. Although untreated soils exhibit significantly different saturated hydraulic conductivities, the addition of a high dosage of SCs results in similar saturated hydraulic conductivities in the mixtures, which was confirmed with an ANOVA (α = 0.05). The saturated hydraulic conductivity of mixtures with high dosages of SCs was found to be unaffected by the effective vertical stresses for soil S3. In the case of S1 and S2, the saturated hydraulic conductivities of high dosage mixtures at an effective vertical stress of 25 kPa were significantly (α = 0.05) higher compared to the ones at an effective vertical stress of 50 kPa. In general, the type of the SC was not recognized as an influential parameter.
Table 6.
Saturated hydraulic conductivity of untreated soils and mixtures at effective vertical stresses of 25 kPa and 50 kPa (mean values with standard errors) (* represents the identification number of the untreated soil).
The results are in agreement with those in the literature [35], where for similar dosages of XG, a similar magnitude of decrease in saturated hydraulic conductivity was reported, from 1.42 × 10−7 m/s for untreated soil to 4.46 × 10−10 m/s for the addition of 1% of XG. It is also established that the decrease is highly dependent on the soil type [14,16,35].
5. Conclusions
Research confirmed that the addition of XG-based soil conditioners (SCs) affects the index properties, water absorption capacity, compressibility, drained shear strength, and hydraulic conductivity of the soil. The main function of the developed SCs is to increase soil water retention for plant growth. Therefore, the compressibility, drained shear strength, and hydraulic conductivity were determined on the saturated specimens of the untreated soils and mixtures. Despite the presence of oxide ash and cellulose fibers in the soil conditioners, the strength and stiffness of the saturated treated soils are generally lower than those of the saturated untreated soils. This suggests that in wet environments, the water sensitivity of the XG dominates over the effect of the fillers.
For the investigated untreated soils from various locations in Europe and the mixtures of the soils and the SCs, the following conclusions can be drawn:
- The addition of the SCs increased the liquid limit only for soils S2 and S3 with relatively low initial liquid limits, while for soil S1 with the highest initial liquid limit, the values remained approximately unchanged.
- The increase in water absorption capacity due to the SCs was notable for all types of soils. The type of SC does not have a considerable impact on water absorption, but the dosage of the SCs and the soil type do.
- The addition of the SCs leads to the swelling of the mixtures under low effective vertical stress, inherently affecting their compressibility. The analysis of the results highlights the importance of the dosage of the SCs, while the type of SC was not recognized as influential. This suggests that the compressibility of the mixtures is more influenced by the XG than by the fillers in the soil conditioners (SCs).
- The presence of XG in SCs reduces the drained shear strength of treated soils in comparison with untreated soils. The reduction in the friction angle was observed to be dependent on the dosage of the soil conditioner (SC). Regardless of the soil type, its treatment with a high dosage of SC_R and SC_ZZC resulted in similar drained shear strengths, while mixtures of soil and a high dosage of SC_CG exhibited slightly higher friction angles. This difference can be attributed to the composition of the filler in the SC_CG. Unlike the fillers in SC_R and SC_ZZC, which have an average fiber length of 200–400 μm, the filler in SC_CG contains fibers with an average length of 1400 μm.
- In general, the addition of soil conditioners (SCs) decreases the saturated hydraulic conductivity of the investigated soils, regardless of the soil type. Although untreated soils exhibit significantly different saturated hydraulic conductivities, the addition of a high dosage of SCs to all tested soils leads to similar saturated hydraulic conductivities. This is attributed to pore clogging caused by the swelling of the SCs. Since the type of SCs was not identified as an influential parameter, it can be concluded that the fillers in the used SCs have no significant effect on the saturated hydraulic conductivity of treated soils.
- The saturated hydraulic conductivity of mixtures is higher at = 25 kPa than at = 50 kPa, except for soil S3 with a high dosage of SCs. This aligns with the hydraulic behavior of untreated soils.
The newly developed XG-based SCs exhibited favorable effects on soils in terms of water absorption and water retention capacity. Their presence could prove beneficial for retaining water and directly mitigating the consequences of extreme climatic events, such as droughts, floods, etc. However, the findings indicate that in saturated mixtures, the XG’s behavior dominates, while the variation in the filler types within the SCs has only a minor effect on the strength, stiffness, or hydraulic conductivity of the treated soils.
While SCs can be highly beneficial in a controlled environment (with regulated water inflow and/or controlled water content), special consideration should be taken when applying SCs in a natural environment. In natural environments, treated soils undergo a cyclic process of rainfall infiltration, evaporation, freezing, and thawing. Consequently, it is essential to systematically investigate the cyclic behavior of treated soils at various water contents and assess their durability in the future.
The impact of SCs on the strength and stiffness of the soil layer could be negligible in the case of their use locally in planting holes for trees in small amounts (<1.7% per dry soil mass). In the case of applications on large areas with different thicknesses and inclinations of the treated soil layer, further attempts should be made to overcome or at least mitigate the negative impact of the SCs on the strength and stiffness of soils treated with SCs. Despite the fact that a positive impact of the filler’s fiber length was indicated only by the drained shear strength, it is believed that fillers with longer fibers can be a promising component of the SCs. This could counteract the negative effects of XG on soil strength, stiffness, and compressibility. By following this approach, it would be possible to develop a sustainable SC that not only positively influences soil water retention ability but also enhances the geotechnical properties of forest soil susceptible to erosion and slope instabilities.
In view of possible future scale-up, it is necessary to consider the economic feasibility of these products. In particular, the price of Xanthan gum makes the largest contribution to the cost assessment. Additionally, the XG used in this work has food-grade quality with very high purity, which is not necessary for soil treatment applications; thus, the price of this biopolymer is expected to be significantly lower if widely applied in these sectors and purchased at an industrial scale, also considering the fact that in recent years its price decreased from 250 to 28 $/kg. Considering the production method proposed in this work and performed at a laboratory scale, it is possible to estimate a cost of around 20–25 €/kg. This cost is comparable to the cost of commercial products present on the market, thus allowing the possibility of developing scalable technology.
Author Contributions
Conceptualization, J.S. and B.F.; methodology, J.S. and A.S.; validation, J.S. and B.F.; formal analysis, B.F., A.S.; investigation, J.S., B.F., F.V., and A.S.; writing—original draft preparation, B.F. and J.S.; writing—review and editing, J.L., F.V., and A.S.; visualization, B.F.; supervision, J.S. and J.L.; project administration, J.S.; funding acquisition, J.S. and J.L. All authors have read and agreed to the published version of the manuscript.
Funding
The study has been funded by the European Union’s Horizon 2020 Research and Innovation Program within the project ONEForest: A Multi-Criteria Decision Support System for Common Forest Management to Strengthen Forest Resilience, Harmonise Stakeholder Interests, and Ensure Sustainable Wood Flows (Grant Agreement No.: 101000406) and by the research program P2-0180 Water Science and Technology, and Geotechnical Engineering: Tools and Methods for Process Analyses and Simulations, and Development of Technologies, supported by the Slovenian Research Agency.
Institutional Review Board Statement
Not applicable.
Informed Consent Statement
Not applicable.
Data Availability Statement
Data are available upon reasonable request to the corresponding author.
Acknowledgments
The authors express their gratitude to ONEforest partners University of Freiburg for providing the soil samples from Germany and to CTFC for providing the soil samples from Catalonia.
Conflicts of Interest
The authors declare no conflicts of interest. The funders had no role in the design of the study, in the collection, analysis, or interpretation of data, in the writing of the manuscript, or in the decision to publish the results.
References
- Sorze, A.; Valentini, F.; Smolar, J.; Logar, J.; Pegoretti, A.; Dorigato, A. Effect of Different Cellulose Fillers on the Properties of Xanthan-Based Composites for Soil Conditioning Applications. Materials 2023, 16, 7285. [Google Scholar] [CrossRef]
- Sorze, A.; Valentini, F.; Dorigato, A.; Pegoretti, A. Development of a Xanthan Gum Based Superabsorbent and Water Retaining Composites for Agricultural and Forestry Applications. Molecules 2023, 28, 1952. [Google Scholar] [CrossRef] [PubMed]
- Soldo, A.; Miletic, M. Durability against Wetting-Drying Cycles of Sustainable Biopolymer-Treated Soil. Polymers 2022, 14, 4247. [Google Scholar] [CrossRef]
- Mendonça, A.; Morais, P.V.; Pires, A.C.; Chung, A.P.; Oliveira, P.V. A Review on the Importance of Microbial Biopolymers Such as Xanthan Gum to Improve Soil Properties. Appl. Sci. 2020, 11, 170. [Google Scholar] [CrossRef]
- Lee, M.; Chang, I.; Cho, G.-C. Advanced Biopolymer–Based Soil Strengthening Binder with Trivalent Chromium–Xanthan Gum Crosslinking for Wet Strength and Durability Enhancement. J. Mater. Civ. Eng. 2023, 35, 04023360. [Google Scholar] [CrossRef]
- Chang, I.; Im, J.; Prasidhi, A.K.; Cho, G.-C. Effects of Xanthan Gum Biopolymer on Soil Strengthening. Constr. Build. Mater. 2015, 74, 65–72. [Google Scholar] [CrossRef]
- Gils, P.S.; Ray, D.; Sahoo, P.K. Characteristics of Xanthan Gum-Based Biodegradable Superporous Hydrogel. Int. J. Biol. Macromol. 2009, 45, 364–371. [Google Scholar] [CrossRef]
- Bagheri, P.; Gratchev, I.; Rybachuk, M. Effects of Xanthan Gum Biopolymer on Soil Mechanical Properties. Appl. Sci. 2023, 13, 887. [Google Scholar] [CrossRef]
- Zhang, J.; Liu, J.; Cheng, Y.; Jiang, T.; Sun, D.; Saberian, M. Water-Retention Behaviour and Microscopic Analysis of Two Biopolymer-Improved Sandy Soils. Constr. Build. Mater. 2023, 403, 133202. [Google Scholar] [CrossRef]
- Oliveira, P.J.V.; Reis, M.J.F.C.C. Effect of the Organic Matter Content on the Mechanical Properties of Soils Stabilized with Xanthan Gum. Appl. Sci. 2023, 13, 4787. [Google Scholar] [CrossRef]
- Cabalar, A.F.; Wiszniewski, M.; Skutnik, Z. Effects of Xanthan Gum Biopolymer on the Permeability, Odometer, Unconfined Compressive and Triaxial Shear Behavior of a Sand. Soil Mech. Found. Eng. 2017, 54, 356–361. [Google Scholar] [CrossRef]
- Cabalar, A.F.; Awraheem, M.H.; Khalaf, M.M. Geotechnical Properties of a Low-Plasticity Clay with Biopolymer. J. Mater. Civ. Eng. 2018, 30, 04018170. [Google Scholar] [CrossRef]
- Cabalar, A.F.; Canakci, H. Direct Shear Tests on Sand Treated with Xanthan Gum. Proc. Inst. Civ. Eng.-Ground Improv. 2011, 164, 57–64. [Google Scholar] [CrossRef]
- Singh, S.P.; Das, R. Geo-Engineering Properties of Expansive Soil Treated with Xanthan Gum Biopolymer. Geomech. Geoengin. 2020, 15, 107–122. [Google Scholar] [CrossRef]
- Soldo, A.; Miletić, M. Study on Shear Strength of Xanthan Gum-Amended Soil. Sustainability 2019, 11, 6142. [Google Scholar] [CrossRef]
- Dehghan, H.; Tabarsa, A.; Latifi, N.; Bagheri, Y. Use of Xanthan and Guar Gums in Soil Strengthening. Clean Technol. Environ. Policy 2019, 21, 155–165. [Google Scholar] [CrossRef]
- Kwon, Y.-M.; Chang, I.; Lee, M.; Cho, G.-C. Geotechnical Engineering Behavior of Biopolymer-Treated Soft Marine Soil. Geomech. Eng. 2019, 17, 453–464. [Google Scholar] [CrossRef]
- Soldo, A.; Miletić, M.; Auad, M.L. Biopolymers as a Sustainable Solution for the Enhancement of Soil Mechanical Properties. Sci. Rep. 2020, 10, 267. [Google Scholar] [CrossRef]
- Kwon, Y.-M.; Moon, J.-H.; Cho, G.-C.; Kim, Y.-U.; Chang, I. Xanthan Gum Biopolymer-Based Soil Treatment as a Construction Material to Mitigate Internal Erosion of Earthen Embankment: A Field-Scale. Constr. Build. Mater. 2023, 389, 131716. [Google Scholar] [CrossRef]
- Collado, E.; Piqué, M.; Coello, J.; de-Dios-García, J.; Fuentes, C.; Coll, L. Close-to-Nature Management Effects on Tree Growth and Soil Moisture in Mediterranean Mixed Forests. For. Ecol. Manag. 2023, 549, 121457. [Google Scholar] [CrossRef]
- Chang, I.; Prasidhi, A.K.; Im, J.; Shin, H.-D.; Cho, G.-C. Soil Treatment Using Microbial Biopolymers for Anti-Desertification Purposes. Geoderma 2015, 253–254, 39–47. [Google Scholar] [CrossRef]
- Chen, C.; Wu, L.; Harbottle, M. Exploring the Effect of Biopolymers in Near-Surface Soils Using Xanthan Gum–Modified Sand under Shear. Can. Geotech. J. 2020, 57, 1109–1118. [Google Scholar] [CrossRef]
- Lee, S.; Chang, I.; Chung, M.K.; Kim, Y.; Kee, J. Geotechnical Shear Behavior of Xanthan Gum Biopolymer Treated Sand from Direct Shear Testing. Geomech. Eng. 2017, 12, 831–847. [Google Scholar] [CrossRef]
- Lee, M.; Chang, I.; Park, D.-Y.; Cho, G.-C. Strengthening and Permeability Control in Sand Using Cr3+-Crosslinked Xanthan Gum Biopolymer Treatment. Transp. Geotech. 2023, 43, 101122. [Google Scholar] [CrossRef]
- Lee, M.; Im, J.; Cho, G.-C.; Ryu, H.H.; Chang, I. Interfacial Shearing Behavior along Xanthan Gum Biopolymer-Treated Sand and Solid Interfaces and Its Meaning in Geotechnical Engineering Aspects. Appl. Sci. 2020, 11, 139. [Google Scholar] [CrossRef]
- Chang, I.; Kwon, Y.-M.; Im, J.; Cho, G.-C. Soil Consistency and Interparticle Characteristics of Xanthan Gum Biopolymer–Containing Soils with Pore-Fluid Variation. Can. Geotech. J. 2019, 56, 1206–1213. [Google Scholar] [CrossRef]
- EN ISO 17892-1:2015; Geotechnical Investigation and Testing-Laboratory Testing of Soil—Part 1: Determination of Water Content. International Organization for Standardization: Geneva, Switzerland, 2015.
- EN ISO 17892-3:2016; Geotechnical Investigation and Testing-Laboratory Testing of Soil—Part 3: Determination of Particle Density. International Organization for Standardization: Geneva, Switzerland, 2016.
- EN ISO 17892-4:2017; Geotechnical Investigation and Testing: Laboratory Testing of Soil—Part 4: Determination of Particle Size Distribution. International Organization for Standardization: Geneva, Switzerland, 2017.
- DIN 18132-04:2012; Determination of Water Absorption. Deutsches Institut für Normung: Berlin, Germany, 2012.
- EN ISO 17892-5: 2017; Geotechnical Investigation and Testing-Laboratory Testing of Soil—Part 5: Incremental Loading Oedometer Test. International Organization for Standardization: Geneva, Switzerland, 2017.
- EN ISO 17892-10:2019; Geotechnical Investigation and Testing-Laboratory Testing of Soil—Part 10: Direct Shear Tests. International Organization for Standardization: Geneva, Switzerland, 2019.
- EN ISO 17892-11:2019; Geotechnical Investigation and Testing-Laboratory Testing of Soil—Part 11: Permeability Tests. International Organization for Standardization: Geneva, Switzerland, 2019.
- EN ISO 17892-12:2018; Geotechnical Investigation and Testing-Laboratory Testing of Soil—Part 12: Determination of Liquid and Plastic Limits. International Organization for Standardization: Geneva, Switzerland, 2018.
- Anandha Kumar, S.; Sujatha, E.R. Assessing the Potential of Xanthan Gum to Modify In-Situ Soil as Baseliners for Landfills. Int. J. Environ. Sci. Technol. 2022, 19, 10613–10624. [Google Scholar] [CrossRef]
Disclaimer/Publisher’s Note: The statements, opinions and data contained in all publications are solely those of the individual author(s) and contributor(s) and not of MDPI and/or the editor(s). MDPI and/or the editor(s) disclaim responsibility for any injury to people or property resulting from any ideas, methods, instructions or products referred to in the content. |
© 2024 by the authors. Licensee MDPI, Basel, Switzerland. This article is an open access article distributed under the terms and conditions of the Creative Commons Attribution (CC BY) license (https://creativecommons.org/licenses/by/4.0/).







