ADDGCN: A Novel Approach with Down-Sampling Dynamic Graph Convolution and Multi-Head Attention for Traffic Flow Forecasting
Abstract
1. Introduction
- A new spatio-temporal forecasting model ADDGCN is put forward. This model introduces a feature augmentation mechanism to fuse features of different scales, and embeds dynamic graph convolution into the down-sampling convolution network so that the model can simultaneously capture time and spatial correlation. Through the down-sampling dynamic graph convolution network based on feature augmentation, the spatio-temporal dependency is accurately captured by the model and, combined with the multi-head temporal attention mechanism, achieves long-term prediction of traffic flow.
- A down-sampling dynamic graph convolution module (DS-DGC) is designed. Among them, the down-sampling convolution network can enhance the information interaction of spatio-temporal data, and the dynamic graph convolution network can use the generated graph structure to better simulate the dynamic correlation among nodes, which is essential to improve the model’s ability to depict spatial heterogeneity.
- Extensive tests are conducted on two authentic traffic datasets and compared with 11 baseline models. The experimental findings demonstrate that our proposed approach surpasses these baseline techniques across three standard evaluation metrics.
2. Related Works
2.1. Traditional Method
2.2. Deep Learning Method
3. System Model and Definitions
4. Our Proposed ADDGCN System
4.1. Down-Sampling Dynamic Graph Convolution Module Based on Feature Augmentation
4.1.1. Feature Augmentation
4.1.2. Down-Sampling Dynamic Graph Convolution Network
4.2. Multi-Head Attention Mechanism
4.3. Diffusion Graph Convolutional Network
5. Performance Analysis
5.1. Dataset
5.2. Experiment Settings
5.3. Comparative Analysis of Results
5.4. Ablation Study
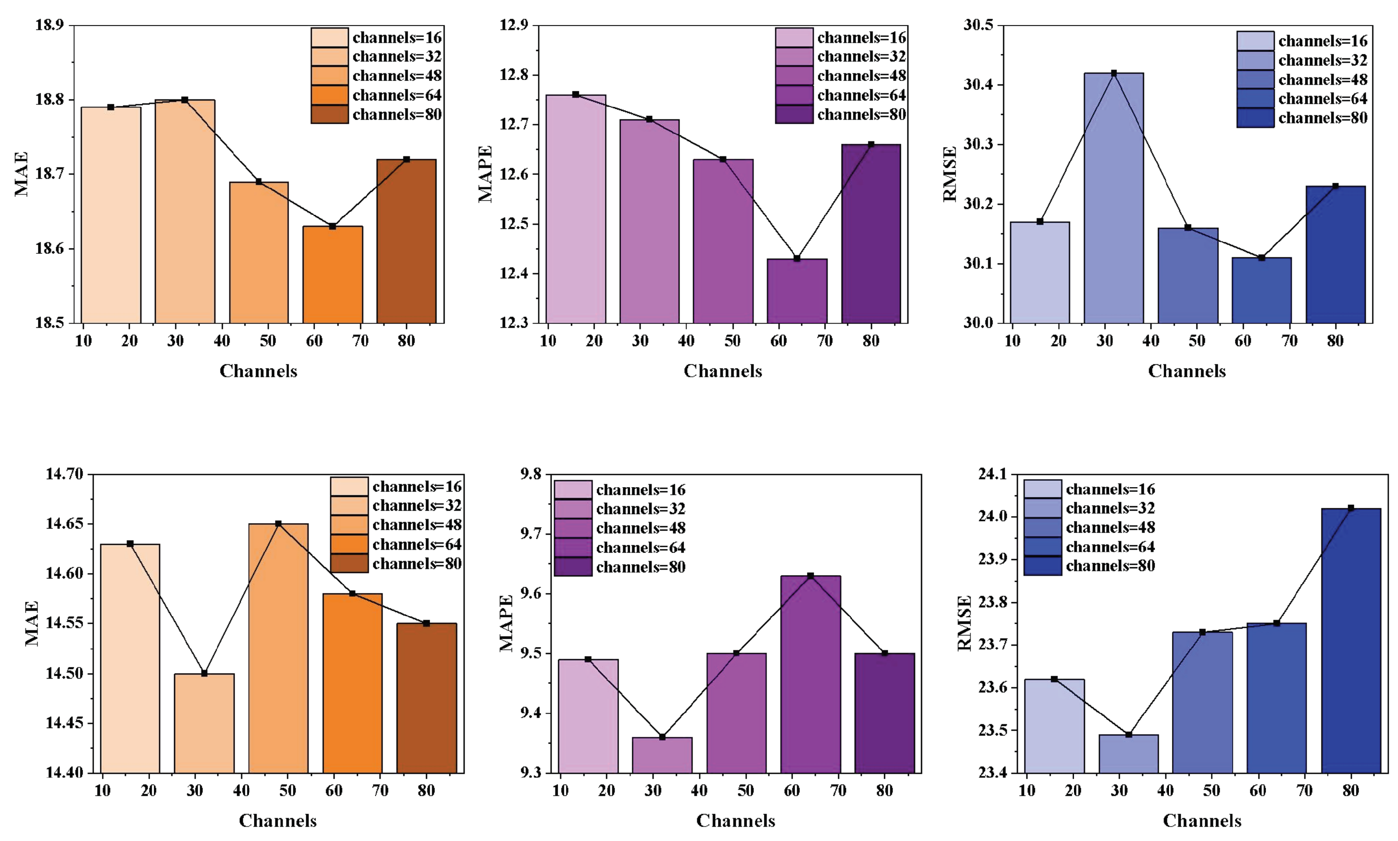
5.5. Impact of Different Hyperparameter Configurations
5.6. Computation Time
5.7. Industrial Significance
6. Conclusions and the Future Work
Author Contributions
Funding
Data Availability Statement
Conflicts of Interest
References
- Xu, X.; Hu, X.; Zhao, Y.; Lü, X.; Aapaoja, A. Urban short-term traffic speed prediction with complicated information fusion on accidents. Expert Syst. Appl. 2023, 119887. [Google Scholar] [CrossRef]
- Zhao, J.; Huang, J.; Xiong, N. An effective exponential-based trust and reputation evaluation system in wireless sensor networks. IEEE Access 2019, 7, 33859–33869. [Google Scholar] [CrossRef]
- Tedjopurnomo, D.A.; Bao, Z.; Zheng, B.; Choudhury, F.M.; Qin, A.K. A survey on modern deep neural network for traffic prediction: Trends, methods and challenges. IEEE Trans. Knowl. Data Eng. 2020, 34, 1544–1561. [Google Scholar] [CrossRef]
- Lan, S.; Ma, Y.; Huang, W.; Wang, W.; Yang, H.; Li, P. Dstagnn: Dynamic spatial-temporal aware graph neural network for traffic flow forecasting. In Proceedings of the 39th International Conference on Machine Learning, Baltimore, MD, USA, 17–23 July 2022; PMLR International Conference on Machine Learning. Volume 2022, pp. 11906–11917. [Google Scholar]
- Zhang, W.; Zhu, K.; Zhang, S.; Chen, Q.; Xu, J. Dynamic graph convolutional networks based on spatiotemporal data embedding for traffic flow forecasting. Knowl. Based Syst. 2022, 250, 109028. [Google Scholar] [CrossRef]
- Yadav, P.; Sharma, S.C. A systematic review of localization in WSN: Machine learning and optimization-based approaches. Int. J. Commun. Syst. 2023, 36, e5397. [Google Scholar] [CrossRef]
- Li, S.; Wu, C.; Xiong, N. Hybrid architecture based on CNN and transformer for strip steel surface defect classification. Electronics 2022, 11, 1200. [Google Scholar] [CrossRef]
- Yu, B.; Yin, H.; Zhu, Z. Spatio-temporal graph convolutional networks: A deep learning framework for traffic forecasting. arXiv 2017, arXiv:1709.04875. [Google Scholar]
- Zhao, L.; Song, Y.; Zhang, C.; Liu, Y.; Wang, P.; Lin, T.; Deng, M.; Li, H. T-gcn: A temporal graph convolutional network for traffic prediction. IEEE Trans. Intell. Transp. Syst. 2019, 21, 3848–3858. [Google Scholar] [CrossRef]
- Li, Y.; Yu, R.; Shahabi, C.; Liu, Y. Diffusion convolutional recurrent neural network: Data-driven traffic forecasting. arXiv 2017, arXiv:1707.01926. [Google Scholar]
- Wang, X.; Ma, Y.; Wang, Y.; Jin, W.; Wang, X.; Tang, J.; Jia, C.; Yu, J. Traffic flow prediction via spatial temporal graph neural network. In Proceedings of the Web Conference, Taipei, Taiwan, 20–24 April 2020; pp. 1082–1092. [Google Scholar]
- Kopp, M.; Kreil, D.; Neun, M.; Jonietz, D.; Martin, H.; Herruzo, P.; Gruca, A.; Soleymani, A.; Wu, F.; Liu, Y. Traffic4cast at neurips 2020-yet more on the unreasonable effectiveness of gridded geo-spatial processes. In Proceedings of the PMLR NeurIPS 2020 Competition and Demonstration Track, Virtual, 6–12 December 2020; pp. 325–343. [Google Scholar]
- Song, C.; Lin, Y.; Guo, S.; Wan, H. Spatial-temporal synchronous graph convolutional networks: A new framework for spatial-temporal network data forecasting. Proc. AAAI Conf. Artif. Intell. 2020, 34, 914–921. [Google Scholar] [CrossRef]
- Bai, L.; Yao, L.; Li, C.; Wang, X.; Wang, C. Adaptive graph convolutional recurrent network for traffic forecasting. Adv. Neural Inf. Process. Syst. 2020, 33, 17804–17815. [Google Scholar]
- Li, F.; Feng, J.; Yan, H.; Jin, G.; Yang, F.; Sun, F.; Jin, D.; Li, Y. Dynamic graph convolutional recurrent network for traffic prediction: Benchmark and solution. ACM Trans. Knowl. Discov. Data 2023, 17, 1–21. [Google Scholar] [CrossRef]
- Luo, X.; Zhu, C.; Zhang, D.; Li, Q. Dynamic Graph Convolution Network with Spatio-Temporal Attention Fusion for Traffic Flow Prediction. arXiv 2023, arXiv:2302.12598. [Google Scholar]
- Zhang, Q.; Tan, M.; Li, C.; Xia, H.; Chang, W.; Li, M. Spatio-temporal residual graph convolutional network for short-term traffic flow prediction. IEEE Access 2023, 2169–3536. [Google Scholar] [CrossRef]
- Yousaf, I.; Ali, S. The COVID-19 outbreak and high frequency information transmission between major cryptocurrencies: Evidence from the VAR-DCC-GARCH approach. Borsa Istanb. Rev. 2020, 20, S1–S10. [Google Scholar] [CrossRef]
- Fan, D.; Sun, H.; Yao, J.; Zhang, K.; Yan, X.; Sun, Z. Well production forecasting based on ARIMA-LSTM model considering manual operations. Energy 2021, 220, 119708. [Google Scholar] [CrossRef]
- Dhiman, H.S.; Deb, D.; Guerrero, J.M. Hybrid machine intelligent SVR variants for wind forecasting and ramp events. Renew. Sustain. Energy Rev. 2019, 108, 369–379. [Google Scholar] [CrossRef]
- Uddin, S.; Haque, I.; Lu, H.; Moni, M.A.; Gide, E. Comparative performance analysis of K-nearest neighbour (KNN) algorithm and its different variants for disease prediction. Sci. Rep. 2022, 12, 6256. [Google Scholar] [CrossRef]
- Sagi, O.; Rokach, L. Approximating XGBoost with an interpretable decision tree. Inf. Sci. 2021, 572, 522–542. [Google Scholar] [CrossRef]
- Ma, X.; Tao, Z.; Wang, Y.; Yu, H.; Wang, Y. Long short-term memory neural network for traffic speed prediction using remote microwave sensor data. Transp. Res. Part C Emerg. Technol. 2015, 54, 187–197. [Google Scholar] [CrossRef]
- Cui, Z.; Ke, R.; Pu, Z.; Wang, Y. Stacked bidirectional and unidirectional LSTM recurrent neural network for forecasting network-wide traffic state with missing values. Transp. Res. Part C Emerg. Technol. 2020, 118, 102674. [Google Scholar] [CrossRef]
- Tian, C.; Chan, W. Spatial-temporal attention wavenet: A deep learning framework for traffic prediction considering spatial-temporal dependencies. IET Intell. Transp. Syst. 2020, 15, 549–561. [Google Scholar] [CrossRef]
- Bi, J.; Zhang, X.; Yuan, H.; Zhang, J.; Zhou, M. A hybrid prediction method for realistic network traffic with temporal convolutional network and LSTM. IEEE Trans. Autom. Sci. Eng. 2021, 19, 1869–1879. [Google Scholar] [CrossRef]
- Liu, M.; Zeng, A.; Xu, Z.; Lai, Q.; Xu, Q. Time series is a special sequence: Forecasting with sample convolution and interaction. arXiv 2021, arXiv:2106.09305. [Google Scholar]
- Zhai, L.; Yang, Y.; Song, S.; Ma, S.; Zhu, X.; Yang, F. STResNet: Covid-19 Detection by ResNet Transfer Learning and Stochastic Pooling. Phys. A Stat. Mech. Its Appl. 2021, 579, 126141. [Google Scholar] [CrossRef]
- Narmadha, S.; Vijayakumar, V. Spatio-Temporal vehicle traffic flow prediction using multivariate CNN and LSTM model. Mater. Today Proc. 2023, 81, 826–833. [Google Scholar] [CrossRef]
- Bruna, J.; Zaremba, W.; Szlam, A.; LeCun, Y. Spectral networks and deep locally connected networks on graphs. arXiv 2014, arXiv:1312.6203. [Google Scholar]
- Defferrard, M.; Bresson, X.; Vandergheynst, P. Convolutional neural networks on graphs with fast localized spectral filtering. Adv. Neural Inf. Process. Syst. 2016, 29. [Google Scholar]
- Bai, L.; Yao, L.; Kanhere, S.; Wang, X.; Sheng, Q. Stg2seq: Spatial-temporal graph to sequence model for multi-step passenger demand forecasting. arXiv 2019, arXiv:1905.10069. [Google Scholar]
- Woo, S.; Park, J.; Lee, J.Y.; Kweon, I.S. Cbam: Convolutional block attention module. In Proceedings of the European Conference on Computer Vision (ECCV), Munich, Germany, 8–14 September 2018; pp. 3–19. [Google Scholar]
- Fan, J.; Zhang, K.; Huang, Y.; Zhu, Y.; Chen, B. Parallel spatio-temporal attention-based TCN for multivariate time series prediction. Neural Comput. Appl. 2023, 35, 13109–13118. [Google Scholar] [CrossRef]
- Liu, Y.; Shao, Z.; Hoffmann, N. Global attention mechanism: Retain information to enhance channel-spatial interactions. arXiv 2021, arXiv:2112.05561. [Google Scholar]
- He, Z.; Zhao, C.; Huang, Y. Multivariate Time Series Deep Spatiotemporal Forecasting with Graph Neural Network. Appl. Sci. 2022, 12, 5731. [Google Scholar] [CrossRef]
- Yang, Z.; Li, K.; Gan, H.; Huang, Z.; Shi, M. HD-GCN: A Hybrid Diffusion Graph Convolutional Network. arXiv 2023, arXiv:2303.17966. [Google Scholar]
- Chaudhary, L.; Singh, B. Gumbel-SoftMax based graph convolution network approach for community detection. Int. J. Inf. Technol. 2023, 15, 3063–3070. [Google Scholar] [CrossRef]
- Wu, Z.; Pan, S.; Long, G.; Jiang, J.; Zhang, C. Graph wavenet for deep spatial-temporal graph modeling. arXiv 2019, arXiv:1906.00121. [Google Scholar]
- Eichenberger, C.; Neun, M.; Martin, H.; Herruzo, P.; Spanring, M.; Lu, Y.; Choi, S.; Konyakhin, V.; Lukashina, N.; Shpilman, A. Traffic4cast at neurips 2021-temporal and spatial few-shot transfer learning in gridded geo-spatial processes. In Proceedings of the NeurIPS 2021 Competitions and Demonstrations Track, Online, 6–14 December 2021; pp. 97–112. [Google Scholar]
- Liang, G.; Kintak, U.; Ning, X.; Tiwari, P.; Nowaczyk, S.; Kumar, N. Semantics-aware dynamic graph convolutional network for traffic flow forecasting. IEEE Trans. Veh. Technol. 2023, 72, 7796–7809. [Google Scholar] [CrossRef]
- Vaswani, A.; Shazeer, N.; Parmar, N.; Uszkoreit, J.; Jones, L.; Gomez, A.N.; Kaiser, L.; Polosukhin, I. Attention is all you need. Adv. Neural Inf. Process. Syst. 2017, 30, 6000–6010. [Google Scholar]
- Zheng, C.; Fan, X.; Wang, C.; Qi, J. Gman: A graph multi-attention network for traffic prediction. Proc. AAAI Conf. Artif. Intell. 2020, 34, 1234–1241. [Google Scholar] [CrossRef]
- Guo, S.; Lin, Y.; Feng, N.; Song, C.; Wan, H. Attention based spatial-temporal graph convolutional networks for traffic flow forecasting. Proc. AAAI Conf. Artif. Intell. 2019, 33, 922–929. [Google Scholar] [CrossRef]
- Chen, C.; Petty, K.; Skabardonis, A.; Varaiya, P.; Jia, Z. Freeway performance measurement system: Mining loop detector data. Transp. Res. Rec. 2001, 1748, 96–102. [Google Scholar] [CrossRef]
- Liu, A.; Zhang, Y. Spatial-temporal interactive dynamic graph convolution network for traffic forecasting. arXiv 2022, arXiv:2205.08689. [Google Scholar]
- Kang, L.; Chen, R.S.; Xiong, N.; Chen, Y.C.; Hu, Y.X.; Chen, C.M. Selecting hyper-parameters of Gaussian process regression based on non-inertial particle swarm optimization in Internet of Things. IEEE Access 2019, 7, 59504–59513. [Google Scholar] [CrossRef]
- Yu, J.; Li, Z.; Xiong, N.; Zhang, S.; Liu, A.; Vasilakos, A.V. A reliability and truth-aware based online digital data auction mechanism for cybersecurity in MCS. Future Gener. Comput. Syst. 2023, 141, 526–541. [Google Scholar] [CrossRef]
- Chicco, D.; Warrens, M.J.; Jurman, G. The coefficient of determination R-squared is more informative than SMAPE, MAE, MAPE, MSE and RMSE in regression analysis evaluation. PeerJ Comput. Sci. 2021, 7, e623. [Google Scholar] [CrossRef]
- Deng, J.; Chen, X.; Jiang, R.; Song, X.; Tsang, I.W. St-norm: Spatial and temporal normalization for multi-variate time series forecasting. In Proceedings of the 27th ACM SIGKDD Conference on Knowledge Discovery & Data Mining, Virtual Event Singapore, 14–18 August 2021; pp. 269–278. [Google Scholar]








| Dataset | PEMS0 4 | PEMS0 8 | 
|---|---|---|
| Sensors | 307 | 170 | 
| Time Steps | 16,992 | 17,856 | 
| Time Range | January–February 2018 | July–August 2016 | 
| Time Windows | 5 min | 5 min | 
| Dataset | Metrics | Model | |||||||||||
|---|---|---|---|---|---|---|---|---|---|---|---|---|---|
| HA | VAR | LSTM | TCN | DCRNN | STGCN | GWN | AGCRN | SCINet | STG-NCDN | AFD GCN | ADD GCN | ||
| MAE | 38.03 | 24.54 | 26.77 | 23.22 | 21.22 | 21.16 | 19.36 | 19.83 | 19.30 | 19.21 | 19.09 | 18.62 | |
| PEMS04 | RMSE | 59.24 | 38.61 | 40.65 | 37.26 | 33.44 | 34.89 | 31.72 | 32.26 | 31.28 | 31.09 | 31.01 | 30.11 | 
| MAPE | 27.88% | 17.24% | 18.23% | 15.59% | 14.17% | 13.83% | 13.31% | 12.97% | 12.05% | 12.76% | 12.62% | 12.43% | |
| MAE | 34.86 | 19.19 | 23.09 | 22.72 | 16.82 | 17.50 | 15.07 | 15.95 | 15.76 | 15.54 | 15.02 | 14.50 | |
| PEMS08 | RMSE | 59.24 | 29.81 | 35.17 | 35.79 | 26.36 | 27.09 | 23.85 | 25.22 | 24.65 | 24.81 | 24.37 | 23.49 | 
| MAPE | 27.91% | 13.10% | 14.99% | 14.03% | 10.92% | 11.29% | 9.51% | 10.09% | 10.01% | 9.92% | 9.68% | 9.49% | |
| PEMS04 | PEMS08 | |||||
|---|---|---|---|---|---|---|
| MAE | MAPE | RMSE | MAE | MAPE | RMSE | |
| without DGCN | 24.45 | 16.60 | 37.99 | 20.15 | 12.83 | 30.95 | 
| without Down-sampling Conv | 21.93 | 14.72 | 34.17 | 17.57 | 12.06 | 27.30 | 
| without Adapt adjacency () | 18.92 | 12.69 | 30.56 | 14.63 | 9.51 | 23.71 | 
| without Graph Generator () | 18.82 | 12.84 | 30.44 | 14.62 | 9.62 | 23.62 | 
| without Feature Augmentation | 18.69 | 12.87 | 30.23 | 14.52 | 9.52 | 23.56 | 
| ours ADDGCN | 18.62 | 12.43 | 30.11 | 14.50 | 9.49 | 23.49 | 
| Model | Computation Time | |
|---|---|---|
| Training (s/Epoch) | Validation (s) | |
| GWN | 71.68 | 2.31 | 
| AGCRN | 30.31 | 3.58 | 
| SCINet | 35.62 | 2.86 | 
| STG-NCDE | 84.47 | 9.17 | 
| ADDGCN | 39.36 | 3.28 | 
| Disclaimer/Publisher’s Note: The statements, opinions and data contained in all publications are solely those of the individual author(s) and contributor(s) and not of MDPI and/or the editor(s). MDPI and/or the editor(s) disclaim responsibility for any injury to people or property resulting from any ideas, methods, instructions or products referred to in the content. | 
© 2024 by the authors. Licensee MDPI, Basel, Switzerland. This article is an open access article distributed under the terms and conditions of the Creative Commons Attribution (CC BY) license (https://creativecommons.org/licenses/by/4.0/).
Share and Cite
Li, Z.; Wei, S.; Wang, H.; Wang, C. ADDGCN: A Novel Approach with Down-Sampling Dynamic Graph Convolution and Multi-Head Attention for Traffic Flow Forecasting. Appl. Sci. 2024, 14, 4130. https://doi.org/10.3390/app14104130
Li Z, Wei S, Wang H, Wang C. ADDGCN: A Novel Approach with Down-Sampling Dynamic Graph Convolution and Multi-Head Attention for Traffic Flow Forecasting. Applied Sciences. 2024; 14(10):4130. https://doi.org/10.3390/app14104130
Chicago/Turabian StyleLi, Zuhua, Siwei Wei, Haibo Wang, and Chunzhi Wang. 2024. "ADDGCN: A Novel Approach with Down-Sampling Dynamic Graph Convolution and Multi-Head Attention for Traffic Flow Forecasting" Applied Sciences 14, no. 10: 4130. https://doi.org/10.3390/app14104130
APA StyleLi, Z., Wei, S., Wang, H., & Wang, C. (2024). ADDGCN: A Novel Approach with Down-Sampling Dynamic Graph Convolution and Multi-Head Attention for Traffic Flow Forecasting. Applied Sciences, 14(10), 4130. https://doi.org/10.3390/app14104130
 
        


 
       