Abstract
Based on the classical theory of nonlinear Thomson scattering and the single electron model, we performed extensive numerical simulations in MATLAB R2022b to comprehensively investigate how the initial phase of a tightly focused, circularly polarized laser pulse affects the radiation characteristics of high-energy electrons at different energy levels. Our findings indicate that the polar angle corresponding to the maximum radiation energy remains constant as the initial phase of the laser changes from 0 to 2π, while the azimuth angle correspondingly moves from 0 to 2π. Moreover, as the initial phase changes, the pulse width of the electron radiation peak displays a quasi-periodic oscillation with a period of π. Notably, an increase in the initial energy of the electrons results in a significant enhancement in both the peak radiation value and the collimation of the radiation. These results demonstrate that manipulating the initial phase of the driving laser pulse enables effective control over the spatial distribution of radiation light.
1. Introduction
In recent years, laser techniques, such as chirped-pulse amplification (CPA) [1], have witnessed remarkable advancements. The duration of ultrashort ultra-strong laser pulses has now been reduced to the order of a femtosecond [2,3] or even attosecond [4,5,6,7], showing exceptional temporal resolution characteristics. When subjected to intense laser pulses, relativistic electrons experience scattering, leading to nonlinear Thomson scattering. This process can generate attosecond [8,9] or even sub-attosecond [10] ultrashort X-ray pulses, highlighting the immense potential of laser technology in generating high-intensity, ultrashort pulses. As this technology continues to make groundbreaking advancements, ultrafast tools, such as ultrashort electronic pulses, ultrashort laser pulses, and ultrashort X-ray laser pulses, are increasingly finding application in diverse fields like medicine, biology, physics, and materials science. Especially in research that requires high-precision temporal resolutions, these tools play an indispensable role. Furthermore, they have propelled the progress of ultrafast electron diffraction, microscopy [11,12,13,14,15], femtosecond laser spectroscopy [16,17], and ultrafast X-ray diffraction.
In intense laser fields, free relativistic electrons exhibit nonlinear Thomson scattering, generating higher harmonics. This phenomenon holds considerable research significance. Currently, the pulse width of ultrashort laser pulses has been narrowed to the order of a single light period [18,19], making the carrier phase’s influence on electron motion within the electromagnetic field increasingly critical. Against this backdrop, this paper explores the effect of the initial phases of laser pulses on the characteristics of higher harmonic radiation. This line of research has attracted the attention of pioneers such as Gunn and Ostriker since 1971 [20]. Subsequently, He et al. [21] further expanded the research in this field by discussing in detail the influence of the initial phase of the laser field on electron Thomson scattering. In addition, Yan et al. [22] investigated the effect of the initial phase on high-energy electron radiation. Their results demonstrate that the initial phase of the laser field has a significant effect on both the electron trajectories and radiation frequencies.
Despite the significant progress achieved in exploring the impact of the initial phases of linearly polarized laser pulses on the electron radiation characteristics, the corresponding influence of the initial phases of circularly polarized laser pulses on these properties remains a relatively unexplored area. The intricacies of circular polarization, which involves the rotation of the electric field vector in a plane perpendicular to the direction of propagation, introduce unique complexities that demand further scrutiny. Recognizing this gap in the current research landscape, this paper endeavors to conduct a comprehensive theoretical investigation and numerical simulations, focusing specifically on circularly polarized, tightly focused laser pulses.
By employing rigorous theoretical frameworks and advanced simulation techniques, we aim to elucidate the intricate effects of the initial phases of circularly polarized laser pulses on the electron radiation characteristics. The tightly focused nature of these laser pulses is particularly significant as it enables the generation of intense, localized electromagnetic fields that can significantly influence the electron dynamics. Moreover, by incorporating variations in the initial energy of the electrons as a parameter in our analysis, we strive to enrich the scope and depth of our research, thereby providing a more comprehensive understanding of the complex interplay between laser polarization, electron dynamics, and radiation characteristics.
Drawing upon the classical theory of Thomson scattering and the single electron model, we have conducted a comprehensive numerical simulation using MATLAB to investigate the spatial, temporal, and frequency spectra of the nonlinear Thomson scattering process experienced by relativistic electrons. This process is specifically induced by the interaction of electrons with a tightly focused laser pulse. Our approach is designed to capture the nonlinear dynamics that arise from the interaction of the laser’s intense electromagnetic fields with the relativistic electrons, which exhibit velocities close to the speed of light. This study primarily focuses on elucidating the influence of various initial phases on the radiation characteristics of electrons with different energy levels.
2. Materials and Methods
To commence, several normalized fundamental parameters are introduced. The space–time coordinate associated with the laser wave number, as defined in the subsequent formulae, is given by , while the laser frequency is expressed as , where represents the wavelength of 1 , and c denotes the speed of light.
This article investigates the Laguerre–Gaussian (LG) laser pulse propagation in an isotropic, homogeneous, non-magnetic, and non-conductive medium, focusing specifically on the cases where the spread parameter along the z-axis of the incidence angle. Within a tightly focused Gaussian laser field, the electric and magnetic fields that adhere to Maxwell’s equations can be represented as detailed in [23,24]:
Herein, A represents the solution pertaining to the subsequent Helmholtz equation:
In a laser field, circularly polarized light can be disintegrated into a pair of linearly polarized components, which possess phase dissimilarity of along the x- and y-axes. Consequently, the electromagnetic field can be similarly expressed as the sum of its x- and y-components, namely and . Yousef [25] and colleagues derived the x-axis polarization of the laser field from Equations (1)–(3). Zhang [26] and Barton [23] derived the electromagnetic field expression for the y-axis-polarized laser field by employing a symmetric approach.
Figure 1 illustrates the interaction between a tightly focused laser pulse and an electron. The highly nonlinear nature of the electron motion within an intense laser field necessitates the acquisition of a precise two-point electron trajectory, which requires a high-precision representation of the electromagnetic field of the Gaussian beam. Building on the aforementioned analysis, the electric field equation can be accurately described by a fifth-order expansion of the electromagnetic field, which is accurate to the diffraction angle:
where , , , , represent the vertical distance; represents the minimum beam waist radius; and the diffraction angle is . can be represented by the following formula:
where , represent the waist radius at the z-axis; represents the Rayleigh length; and represents the peak amplitude.
Figure 1.
The schematic diagram of nonlinear Thomson scattering generated by the interaction between tightly focused laser beams traveling along the positive z-axis and electrons moving in the negative z-axis direction.
and can be expressed by the following formula:
where ; is the constant initial phase; is the plane wave phase; is the Gouy phase, which is related to the total phase change of the Gaussian beam as it changes from to in the z-axis; is related to the curvature of the wavefront; and is the radius of curvature at the intersection of the z-axis and the beam axis in the wavefront.
The dynamics of a single relativistic electron, subject to the influence of an extremely intense laser pulse, can be accurately captured through the momentum and energy transfer equations outlined below:
where is the electron momentum, is the relativistic factor, is the laser electric field, is the laser pulse magnetic field, and is the electron velocity.
This research uses a normalized vector to represent the relativistic intensity of the laser pulse, where is the laser intensity in physical units of . The subsequent mentions of laser intensity refer to the normalized relativistic intensity, which is a dimensionless quantity. is the wavelength. We take the laser pulse parameters and . Meanwhile, the energy values for electrons are presented in units of 0.511 MeV, which corresponds to the rest mass energy of an electron. This choice allows us to highlight the physical significance of the results in the context of particle physics phenomena involving electrons. The electron is moving from along the negative z-axis with an initial velocity of . Assuming that no interaction exists between the laser pulse and the electron, the electrons would converge back to their original coordinates at the center of the laser beam.
Utilizing the Lienard–Wiechert theory, the scattering power , as well as the radiation field at the observation point, characterized by the unit vector , can be derived through the equation outlined below:
In the provided equation, the subscript ‘ret’ denotes the need to evaluate the quantity on the right-hand side at the retarded time , . Additionally, R represents the distance from the observation point to the location where the electron interacts with the laser field, while serves as the displacement vector of the electron. ; , are polar and azimuth angles, respectively; , .
The formula for the radiant energy per unit solid angle per unit frequency interval during the electron and laser pulse interaction is encapsulated by the formula given below [27,28]:
Equations (9) and (10) are solved utilizing the fourth- and fifth-order Runge–Kutta–Fehlberg method, and the simulation involves recording the positions, velocities, and accelerations of the electrons at each time step. Subsequently, the radiation frequency and radiation field distribution can be derived from Equations (11) and (12).
3. Results
3.1. Spatial Radiation Angle Distribution
In the numerical simulation, we select a laser pulse with a normalized peak intensity (a = 5) in a light period.
In Figure 2, we plot the motion trajectories of electrons in different CE phases of , , and , and the pictures show the polarization characteristics of the electron motion consistent with the laser pulse. At the same time, by observing the two-dimensional diagram of the motion trajectory, we find that the motion trajectory has symmetry about the 0 axis. As shown in Figure 2, the movement direction of the electron is along the z-axis direction from right to left. In our research, the analysis of the trajectories of electrons plays a critical role in deriving crucial physical quantities pertaining to the radiation field. Through the numerical simulation of the electron trajectories in the presence of a circularly polarized, tightly focused laser pulse, we are able to track the intricate dynamics of these relativistic particles as they interact with the laser’s electromagnetic fields. This serves as the foundation for our subsequent research.
Figure 2.
Three-dimensional and two-dimensional graphs of electron motion trajectories under the CE phases of , and . We take the initial electron energy .
Figure 3a–h depict the spatial radiation angle distribution of , , , , , , , and at the initial laser phase, given an initial electron energy of . Significantly, when an electron traveling in the negative z-axis direction collides with a circularly polarized laser in the positive z-axis direction, the radiation energy attains its peak at a specific angle of around . As the initial phase increases, the polar angle remains constant at the point of maximum radiation energy, while the azimuth angle varies from 0 to 2. Furthermore, our calculations reveal a linear positive correlation between the azimuth angle corresponding to the maximum radiation and the initial phase. Moreover, it indicates that the radiation peaks in the direction of laser incidence.
Figure 3.
Spatial distribution of radiation angles at different phases exhibited by electrons with initial energy of . (a–h) separately show the spatial radiation angle distributions of (a) ; (b) ; (c) ; (d) ; (e) ; (f) ; (g) ; (h) .
This phenomenon emerges due to the modulation of the laser field’s polarization direction by varying the initial phase of the laser pulse. Specifically, when the polarization direction of the laser field aligns with the chirality of the electron’s spiral orbit, the force exerted on the electron within the laser field attains its maximum. This alignment leads to a pronounced electron scattering effect and maximizes the radiation energy. Consequently, the location of the peak radiation energy exhibits a strong correlation with the initial phase of the laser pulse.
We further obtained the spatial radiation angle distribution diagram at different initial phases when the initial electron energy was 40, 60, 80, and 100 . It is also consistent with the fact that the polar angle corresponding to the maximum radiation energy is fixed and the azimuth angle moves from 0 to 2 in the process of the initial phase change.
Based on the preceding analysis, the initial phase does not affect the polar angle at the maximum radiation. We further plotted the correlation between the radiation energy and polar angle for varying initial electron energies, with the initial phase angle fixed at 0, as shown in Figure 4. Observing the figure, it becomes apparent that as the initial electron energy rises, the polar angle at the point of maximum radiation converges towards . Meanwhile, the radiation distribution exhibits increasingly pronounced collimation. Concomitantly, the maximum radiation quantity surges, escalating by several orders of magnitude, specifically from to , , , and ultimately . This noteworthy trend underscores the superior collimation properties of radiation emitted by higher-energy electrons.
Figure 4.
The relationship between the radiation and polar angle under different initial energies, with the initial phase angle fixed at 0. (a) at the initial energy of ; (b) at the initial energy of ; (c) at the initial energy of ; (d) at the initial energy of ; (e) at the initial energy of .
3.2. Temporal Spectrum
We also investigated the temporal spectrum of electron radiation. Specifically, when the initial electron energy was set to , we examined the temporal spectrum of the initial phase, varying from 0 to 2, with increments of . Our investigation revealed that the initial phase of the tightly focused circularly polarized laser had a minimal impact on the temporal spectrum. During the initial phase changes, the peak value of the laser pulse remained at a value of , and the temporal spectra across different phases exhibited remarkable similarity. However, the peak value of the high-order harmonic radiation generated under linearly polarized laser pulses underwent notable periodic variations in accordance with the initial phase, demonstrating distinctive phase-sensitive behavior. Furthermore, these periodic changes exhibited symmetry, reflecting the inherent properties of linearly polarized light.
Subsequently, we intensified the pulse and observed a distinct single-peak pattern in the wave crest of the circularly polarized laser pulse, as depicted in Figure 5a. As the initial phase shifted, the pulse width of the wave crest experienced slight variations. Figure 5b illustrates the correlation between the pulse width and the initial phase. A thorough analysis of the figure, coupled with detailed calculation data, revealed the periodic nature of the pulse width concerning the initial phase, exhibiting a period-like characteristic of . The pulse width fluctuated within a range of 0.0409 to 0.0436 as.
Figure 5.
The time spectrum and the relationship between the crest pulse width and the initial phase of . (a) A time spectrum; (b) the relationship between the peak pulse width and initial phase.
The observed phenomenon can be attributed to the diverse motion trajectories of electrons across different phases, as depicted in Figure 2. When the electron trajectory aligns with the phase of the laser field, the scattering process is significantly augmented, leading to more focused radiation energy and a narrower pulse width within the radiation time spectrum. Conversely, if the electron trajectory misaligns with the polarization direction or phase of the laser field, the scattering process is suppressed, causing a reduction in radiation energy and the broadening of the pulse width within the radiation time spectrum. This periodic variation in the pulse width concerning the initial phase underscores the dynamic interplay between the phase matching of the electron trajectory and the laser field.
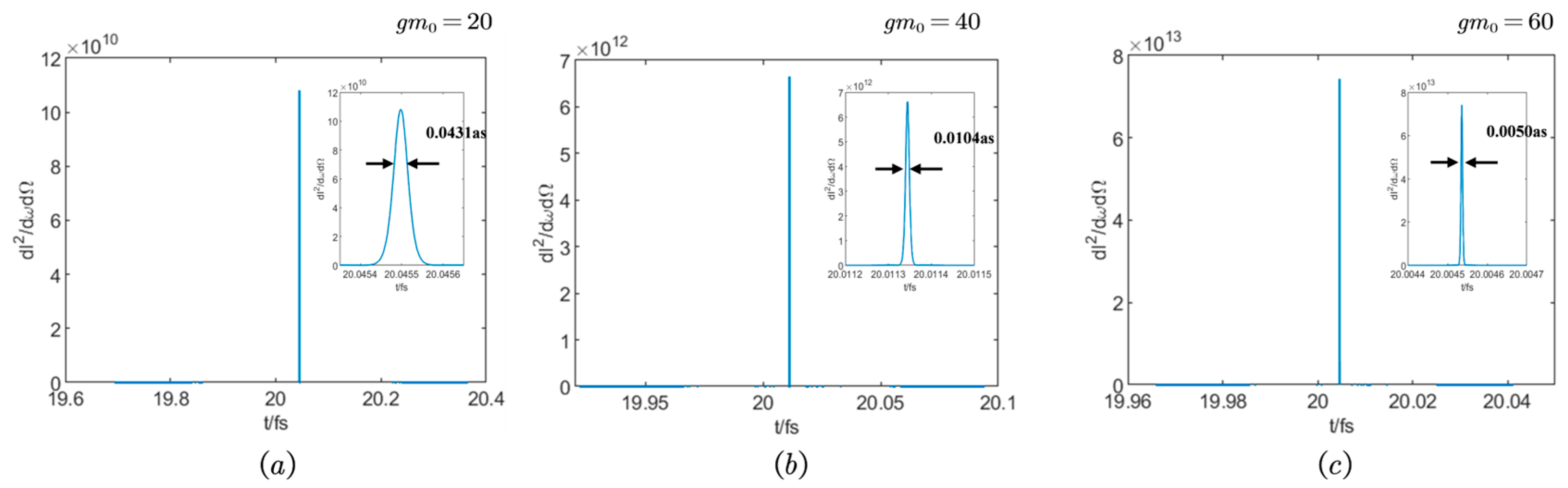
We further obtained the laser pulse diagram at the initial energy of and , respectively, and compared it with that when the initial energy of the electron was . As Figure 6 illustrates, an increase in the initial electron energy results in a corresponding increase in the peak value of the laser pulse and a concurrent decrease in the pulse width. Specifically, for an initial electron energy of , the pulse width measures approximately 0.0104 as, whereas, for an initial electron energy of , the pulse width narrows to around 0.0050 as.
Figure 6.
Time spectra at different initial energies of electrons: (a) at the initial energy of ; (b) at the initial energy of ; (c) at the initial energy of .
The observed phenomenon can be attributed to the findings presented in Figure 4. As the initial energy of the electron increases, the resulting radiation energy becomes more prominent, leading to a more focused radiation ability. Consequently, the pulse width of the radiation time spectrum narrows correspondingly.
3.3. Frequency Spectrum
Subsequently, this paper delves into the spectral characteristics. When the initial electron energy is set to , it is observed that the spectrum remains largely unchanged across different phases. Irrespective of the phase, the radiation intensity consistently diminishes from to zero as the harmonic frequency increases, experiencing a decrement of four orders of magnitude. This trend is demonstrated in Figure 7a. Observably, within this spectrum, the harmonic modulation disappears during the scattering of the laser pulse. Furthermore, the nonlinear Thomson scattering spectrum exhibits distinct harmonic peaks, characterized by an excellent resolution and significant amplitude variations. It is worth noting that the initial phase of a tightly focused, circularly polarized laser has a minimal impact on the resulting spectrum.
Figure 7.
Spectrum diagram at different initial energies of electrons: (a) at the initial energy of ; (b) at the initial energy of ; (c) at the initial energy of .
We further generated the spectrum diagrams for initial electron energies of and , respectively, as depicted in Figure 6b,c. Upon comparing these three figures, it becomes evident that as the initial electron energy increases, the maximum radiation intensity intensifies. Moreover, the threshold laser frequency necessary to attain the peak radiation intensity, as well as the point where the laser intensity begins to decline to zero, rises accordingly.
4. Conclusions
In this paper, we have investigated the impact of a tightly focused, circularly polarized laser pulse on the radiation characteristics of electrons with varying initial energies through scattering processes. Our findings reveal that the carrier envelope (CE) phase of the laser pulse significantly shapes the spatial distribution of Thomson scattering radiation, while its influence on the temporal spectrum and frequency spectrum is negligible. Notably, the pulse width of the radiation pulse exhibits a period-like variation with the phase, completing a cycle with a period of . Furthermore, the radiation is compressed into spikes lasting mere hundreds of zeptoseconds, significantly shorter in the time domain compared to processes in strong atomic fields.
The initial energy of the electrons emerges as a critical factor in determining the characteristics of higher harmonic radiation. The initial energy of the electrons and the initial phase of the laser jointly influence the location of the maximum radiation. Meanwhile, electrons with higher initial energies exhibit more concentrated radiation, resulting in superior collimation. This enhanced collimation is particularly apparent in the radiation peak value, which is significantly influenced by the electron’s initial energy. The higher the initial energy, the more focused and directional the resulting radiation becomes, offering potential advantages for applications that require precision targeting or beam shaping.
These results may have profound implications for various applications. The ability to precisely control the spatial distribution of Thomson scattering radiation through the manipulation of the CE phase and the initial energy of the electrons could enable the development of advanced laser-based imaging techniques. Such techniques could find application in high-resolution microscopy, medical imaging, and materials science, where detailed spatial information is crucial.
Author Contributions
Conceptualization, Y.T.; Methodology, Y.Z.; Software, Y.Z., E.L. and Y.T.; Validation, Y.Z., E.L. and Y.T.; Formal analysis, Y.Z.; Data curation, Y.Z.; Writing—original draft, Y.Z.; Writing—review & editing, Y.Z. and E.L.; Visualization, Y.Z., E.L. and Y.T.; Funding acquisition, Y.T. All authors have read and agreed to the published version of the manuscript.
Funding
This work has been supported by the National Natural Sciences Foundation of China under grants No. 10947170/A05 and No. 11104291, the Natural Science Fund for Colleges and Universities in Jiangsu Province under grant No. 10KJB140006, the Natural Sciences Foundation of Shanghai under grant No. 11ZR1441300 and Colleges and Universities in Jiangsu Province under grant No. 10KJB140006, and the Natural Science Foundation of Nanjing University of Posts and Telecommunications under grant No. 202310293146Y.
Institutional Review Board Statement
Not applicable.
Informed Consent Statement
Not applicable.
Data Availability Statement
The original contributions presented in the study are included in the article, further inquiries can be directed to the corresponding author/s.
Conflicts of Interest
The authors declare no conflict of interest.
References
- Manie, P.; Strickland, D. Generation of ultrahigh peak power pulses by chirped pulse amplification. IEEE J. Quantum Electron. 1988, 24, 398–403. [Google Scholar] [CrossRef]
- Vais, O.E.; Bychenkov, V.Y. Complementary diagnostics of high-intensity femtosecond laser pulses via vacuum acceleration of protons and electrons. Plasma Phys. Control. Fusion 2021, 63, 014002. [Google Scholar] [CrossRef]
- Kozák, M. All-optical scheme for generation of isolated attosecond electron pulses. Phys. Rev. Lett. 2019, 123, 203202. [Google Scholar] [CrossRef]
- Cousens, S.; Reville, B.; Dromey, B.; Zepf, M. Temporal structure of attosecond pulses from laser-driven coherent synchrotron emission. Phys. Rev. Lett. 2016, 116, 083901. [Google Scholar] [CrossRef]
- Venkat, P.; Holkundkar, A.R. Higher harmonics and attosecond pulse generation by laser induced Thomson scattering in atomic clusters. Phys. Rev. Accel. Beams 2019, 22, 084401. [Google Scholar] [CrossRef]
- Kozák, M.; Schönenberger, N.; Hommelhoff, P. Ponderomotive generation and detection of attosecond free-electron pulse trains. Phys. Rev. Lett. 2018, 120, 103203. [Google Scholar] [CrossRef] [PubMed]
- Hack, S.; Varró, S.; Czirják, A. Carrier-envelope phase controlled isolated attosecond pulses in the nm wavelength range, based on coherent nonlinear Thomson-backscattering. New J. Phys. 2018, 20, 073043. [Google Scholar] [CrossRef]
- Lee, K.; Cha, Y.H.; Shin, M.S.; Kim, B.H.; Kim, D. Relativistic nonlinear Thomson scattering as attosecond x-ray source. Phys. Rev. E 2003, 67, 026502. [Google Scholar] [CrossRef]
- Zheng, J.; Sheng, Z.M.; Zhang, J. Study on the factors affecting the nonlinear Thomson scattering of one electron. Chin. J. Phys. 2005, 54, 2638. [Google Scholar]
- Lan, P.F.; Lu, P.X.; Cao, W.; Wang, X. Attosecond and zeptosecond x-ray pulses via nonlinear Thomson backscattering. Phys. Rev. E 2005, 72, 066501. [Google Scholar] [CrossRef]
- Cao, J.; Hao, Z.; Park, H.; Tao, C.; Kau, D.; Blaszczyk, L. Femtosecond electron diffraction for direct measurement of ultrafast atomic motions. Appl. Phys. Lett. 2003, 83, 1044–1046. [Google Scholar] [CrossRef]
- Dwyer, J.R.; Jordan, R.E.; Dwayne Miller, R.J. An atomic-level view of melting using femtosecond electron diffraction. Science 2003, 302, 1382–1385. [Google Scholar]
- Ruan, C.Y.; Lobastov, V.A.; Vigliotti, F.; Chen, S.; Zewail, A.H. Ultrafast electron crystallography of interfacial water. Science 2004, 304, 974. [Google Scholar] [CrossRef]
- Zewail, A.H. 4D ultrafast electron diffraction, crystallography, and microscopy. Annu. Rev. Phys. Chem. 2006, 57, 65–103. [Google Scholar] [CrossRef]
- Lobastov, V.A.; Srinivasan, R.; Zewail, A.H. Four-dimensional ultrafast electron microscopy. Proc. Natl. Acad. Sci. USA 2005, 102, 7069–7073. [Google Scholar] [CrossRef]
- Zewail, A.H. Femtochemistry: Atomic-scale dynamics of the chemical bond. J. Am. Chem. Soc. A 2000, 104, 5660–5694. [Google Scholar] [CrossRef]
- Zewail, A.H. Femtochemistry Vols 1 and 2; World Scientific: Singapore, 1994. [Google Scholar]
- Zhang, J.T.; Feng, X.L.; Xu, Z.; Guo, D.S. Phase-dependent angular distributions of photoelectrons in an infinite sequence of linearly polarized few-cycle pulses. Phys. Rev. A 2004, 69, 043409. [Google Scholar] [CrossRef]
- Bohan, A.; Antoine, P.; Milosevic, D.B.; Piraux, B. Phase-dependent harmonic emission with ultrashort laser pulses. Phys. Rev. Lett. 1998, 81, 1837. [Google Scholar] [CrossRef]
- Gunn, J.E.; Ostriker, J.P. Do Pulsars Make Supernovae? Astrophys. J. 1971, 165, 523. [Google Scholar] [CrossRef]
- He, F.; Lau, Y.Y.; Umstadter, D.P.; Stricker, T. Phase dependence of Thomson scattering in an ultraintense laser field Phys. Plasmas 2002, 94, 325. [Google Scholar]
- Yan, Y.L.; Zhou, X.; Ren, S.L.; Liu, H.; Zhuang, J.W.; Tian, Y.W. Effect of initial position of electron on space radiation of high energy electron. Laser Technol. 2022, 46, 556–560. (In Chinese) [Google Scholar]
- Barton, J.P.; Alexander, D.R. Fifth-order corrected electromagnetic field components for a fundamental Gaussian beam. J. Appl. Phys. 1989, 66, 2800–2802. [Google Scholar] [CrossRef]
- Yariv, A. Quantum Electronics; John Wiley & Sons, Inc.: Hoboken, NJ, USA, 1989; p. 123. [Google Scholar]
- Salamin, Y.I.; Keitel, C.H. Electron acceleration by a tightly focused laser beam. Phys. Rev. Lett. 2002, 88, 095005. [Google Scholar] [CrossRef]
- Zhang, S.Y. Accurate correction field of circularly polarized laser and its acceleration effect. J. At. Mol. Sci. 2010, 1, 308. [Google Scholar] [CrossRef]
- He, F.; Lau, Y.; Umstadter, D.P.; Kowalczyk, R. Backscattering of an intense laser beam by an electron. Phys. Rev. Lett. 2003, 90, 055002. [Google Scholar] [CrossRef]
- He, F.; Yu, W.; Lu, P.; Xu, H.; Qian, L.; Shen, B.; Yuan, X.; Li, R.; Xu, Z. Ponderomotive acceleration of electrons by a tightly focused intense laser beam. Phys. Rev. E 2003, 68, 046407. [Google Scholar] [CrossRef]
Disclaimer/Publisher’s Note: The statements, opinions and data contained in all publications are solely those of the individual author(s) and contributor(s) and not of MDPI and/or the editor(s). MDPI and/or the editor(s) disclaim responsibility for any injury to people or property resulting from any ideas, methods, instructions or products referred to in the content. |
© 2024 by the authors. Licensee MDPI, Basel, Switzerland. This article is an open access article distributed under the terms and conditions of the Creative Commons Attribution (CC BY) license (https://creativecommons.org/licenses/by/4.0/).






