Next Article in Journal
A Strong Core for a Strong Recovery: A Scoping Review of Methods to Improve Trunk Control and Core Stability of People with Different Neurological Conditions
Previous Article in Journal
Fire Resistance of Ultra-High-Strength Steel Columns Using Different Heating Rates
 
 
Font Type:
Arial Georgia Verdana
Font Size:
Aa Aa Aa
Line Spacing:
Column Width:
Background:
Article

Seismic Response and Damage Analysis of Large Underground Frame Structures without Overburden

Key Laboratory of Urban Security and Disaster Engineering, Ministry of Education, Beijing University of Technology, Beijing 100124, China
*
Author to whom correspondence should be addressed.
Appl. Sci. 2024, 14(11), 4888; https://doi.org/10.3390/app14114888
Submission received: 10 May 2024 / Revised: 23 May 2024 / Accepted: 28 May 2024 / Published: 5 June 2024

Abstract

With the development of the Chinese economy and society, the height and density of urban buildings are increasing, and large underground transportation hubs have been constructed in many places to alleviate the pressure of transportation. Commercial buildings are usually developed above the large underground transportation hubs, so the underground structures may have very shallow depths or no soil cover. The seismic response and damage mechanisms of such underground structures still need to be studied. In this paper, an example of a project in China is taken as an object to analyze the seismic response and damage mechanism of the structure after simplification. The spatial distribution of deformations and internal forces of such structures and the location of the maximum internal forces are obtained, and the effect of the frequency of seismic motions on the structural response is obtained. Finally, an elastoplastic analysis of such structures is carried out to assess the damage location and the damage evolution process.

1. Introduction

Although it is widely believed that underground structures have much better seismic performance than above-ground structures due to the limitations of the surrounding geotechnical conditions, recent large earthquakes have challenged this view. Many underground structures were damaged during large earthquakes, such as the 1995 Kobe earthquake [1], the 1999 Chi-Chi earthquake [2], and the 2008 Wenchuan earthquake [3]. The seismic performance of underground structures, especially the extensive damage in the Daikai subway station, has attracted great attention in the field of earthquake engineering. In recent years, significant progress has been made in seismic analysis of subsurface structures, especially in understanding the seismic response characteristics by considering soil–structure interactions (SSIs). Ma et al. [4] and Du et al. [5,6] studied the seismic response law of Dakai station from the perspective of the mode of ground shaking, structural depth relative stiffness of soil and the structure, etc. The results showed that the joint action of horizontal and vertical ground shaking was the main factor causing the overall collapse and destruction of the structure of Dakai station. Furthermore, a lot of research work has been carried out on actual engineering structures under construction. Based on a two-dimensional dynamic finite element numerical analysis model of the seismic response of underground structures, Du et al. [7] and Xu et al. [8] quantitatively analyzed the effects of ground shaking characteristics, dynamic characteristics of site soils and structures as well as soil–structure systems, and soil–structure flexibility ratios on the seismic response of underground structures, in conjunction with different underground structures in different site conditions. Chen et al. [9] studied the effect of the depth of burial on the displacement of underground structures under seismic action by taking a two-story, double-column, three-span island subway station structure in a soft soil area of Hexi, Nanjing as an example, and they concluded that the displacement response of the structure increases with an increase in the depth of burial, and then it decreases with an increase in the depth of burial when it reaches a certain depth of burial. Zhuang et al. [10] analyzed the seismic response of a subway station, and the numerical simulation results showed that the displacement angle of the side columns of the station is larger than that of the middle columns, while the displacement angle of the lower columns is larger than that of the upper columns. Gu et al. [11] used a subway station structure under construction in Fuzhou as a prototype and focused on analyzing the response of the station structure under two kinds of seismic loads, SV wave and P wave, and the results showed that the structural response is strongest when the input ground vibration is SV wave and the seismic wave vibration is in the plane where the structural cross-section is located. Wang et al. [12] investigated the influence law of the seismic wave vibration direction, structure burial depth, and location between structures on the seismic response of underground structures, and the results showed that the vibration direction of seismic waves and the location between structures significantly affect the seismic response of structures, and the interaction between structures disappears when the distance between above-ground and underground structures exceeds a certain value. Tao et al. [13] studied the seismic response law of Y-shaped columns by taking a large-span, double-deck subway station structure of Beijing Metro Line 6 as an engineering prototype; they found that the horizontal seismic response at the top of the forked branch of Y-shaped columns is stronger than in other parts, which manifests with larger stresses than in other parts. Zhang et al. [14] considered the effect of different soil constraints on damage in subway stations. Significant differences in the development and distribution of flexural plastic hinges of underground structures with different soil–structure stiffness ratios were derived for the same level of interlayer displacement deformation. Li et al. [15] analyzed the seismic response of a subway station using three-dimensional nonlinear finite elements. The results show that considering vertical seismic motion increases the seismic response of the structure, and the extent of the effect depends on the characteristics of the vertical seismic excitation. The depth of overburden of the station has a significant effect on the structural response and changes the resonant frequency of the structure, though the effect of the depth of burial of the structure is complex. Zhang et al. [16] proposed a method to study the seismic damage mechanism of shallow buried underground frame structures based on dynamic centrifugal tests. The effect of the axial pressure ratio of the intermediate column on the seismic damage mechanism of the structure was investigated by means of a comparative dynamic centrifugal test. Zhuang et al. [17] investigated the effect of the installation of elastic sliding bearings on the lateral deformation and acceleration response of subway station structures. The results showed that the inter-story displacement angle of the subway station structure using elastic sliding bearings was significantly larger than that of the structure using fixed connections. Chen et al. [18] revealed the relationship between dynamic earth pressure, rotational vibration and lateral deformation, which provides a reference for earthquake-induced soil–substructure interaction and seismic response characterization of multi-story subway stations. Qiu et al. [19] presented the structural dynamic response law of a large-span underground structure under seismic action, produced by numerical analysis of a three-dimensional large underground structure, and they discussed the effect of the structural span on the response, and analyzed the contribution of the structural inertial response and soil deformation to the dynamic response of the model of the soil–structure interaction system. Qiu et al. [20] used the incremental dynamic analysis (IDA) method to investigate the seismic performance of underground large-frame structures under different earthquakes. Displacement deformation (DM) and rotational deformation (RD) were evaluated separately. The intrinsic relationship between the two DMs was revealed and the correlation coefficients were proposed through correlation analysis. Chen et al. [21] analyzed the seismic performance levels of subway stations in the ground crack zone. Through numerical analysis and comparison of experimental results, it was concluded that ground cracks have a significant effect on the seismic response of subway stations. Ground cracks lead to the amplification of the response of the surrounding soil and drive the metro station to shear deformation.
At present, the research objects constituting underground structures are mostly small cross-section underground structures, and the dynamic response of such structures under seismic action is mainly controlled by the deformation of the soil, while their own inertia effect is small. However, with the extensive construction of underground transportation hubs, the dynamic response of large underground structures under seismic motion and the damage mechanism are becoming the focuses of research into the future seismic resistance of underground structures. Underground transportation hub structures are subject to engineering waterproofing difficulties, where structural joints and the structure as a whole are not set up for the successive integration of large underground structures. Commercial buildings are usually developed above the large underground transportation hubs, so the underground structures may have very shallow depths or no soil cover. It is necessary to study the seismic response and damage mechanism of this type of underground structure. In this paper, an example of a project in China is used as an object to analyze the seismic response and damage mechanism of the structure after simplification.

2. Methodology for Seismic SSI Analysis

The finite domain includes the structure and the surrounding soil body, and the viscoelastic artificial boundary condition is applied at the soil truncation to simulate the radiation damping of the truncated infinite domain. After spatial discretization, the finite element equations for the finite domain can be expressed as
[ M R R M R B M B R M B B ] { u ¨ R u ¨ B } + [ C R R C R B C B R C B B ] { u ˙ R u ˙ B } + [ K R R K R B K B R K B B ] { u R u B } = { 0 f B }
where the displacement, velocity, and acceleration vectors are denoted by u , u ˙ , and u ¨ , respectively; the subscripts B and R indicate the degrees of freedom at the artificial boundary and in the finite domain, respectively; and M , C , and K represent the mass, damping, and stiffness matrices, respectively. The load vector transferred from the infinite domain to the finite domain is represented by f B . The response of the infinite domain can be written as a scattered and free field, which can be expressed at the artificial boundary as follows:
f B = f B S + f B F
u B = u B S + u B F ,   u ˙ B = u ˙ B S + u ˙ B F
The superscripts S and F denote the scattered field and free field, respectively. The free field is the response of a soil layer without structures under seismic motion and can be obtained from the one-dimensional site analysis. The scattered field is denoted as the residual response of the soil after the total response is separated from the free-field response.
Viscoelastic boundaries are added to the base and four sides of the soil to simulate the effect of vertically incident seismic motions [22,23]. Artificial boundary conditions are set to absorb scattered fields. Artificial boundaries consist of a linear spring and a damper, and the viscoelastic boundary equation in the global coordinate system can be written as follows:
f B i S = K B i u B i S C B i u ˙ B i S
where the stiffness and damping matrices in the global coordinate system can be expressed as follows:
K B i = A i [ K N i 0 0 0 K T i 0 0 0 K T i ] ,   K N i = λ + 2 G 3.6 r ,   K T i = G 3.6 r
C B i = A i [ C N i 0 0 0 C T i 0 0 0 C T i ] ,   C N i = 1.1 ρ c P , C T i = 1.1 ρ c S
where A i is the area corresponding to Node i on the artificial boundary surface; c P , c S , G , λ , and ρ denote the velocity of the compression wave, velocity of the shear wave, shear modulus, first Lame constant, and mass density, respectively; r is a constant that can approximately take the height of the model; K N i and K T i are the viscoelastic boundary normal and tangential stiffness constants, respectively; and C N i and C T i are the viscoelastic boundary normal and tangential damping constants, respectively. Substituting Equation (3) into Equation (4) and then into Equation (2) yields the following:
f B = K B u B C B u ˙ B + K B u B F + C B u ˙ B F + f B i F
When using equivalent nodal forces for the seismic input, the free-field response on the artificial boundary surface needs to be obtained. From the framework of the overall time domain analysis method, the equivalent seismic load on Node i on the artificial boundary surface can be calculated as follows:
f B i e = K B i u B i F + C B i u ˙ B i F + f B i F
Finally, Equations (5)–(7) are brought into Equation (1) to obtain the total finite element Equation (9) for the soil–structure interaction, which can be solved by using the explicit algorithm.
[ M R R M R B M B R M B B ] { u ¨ R u ¨ B } + [ C R R C R B C B R C B B + C B ] { u ˙ R u ˙ B } + [ K R R K R B K B R K B B + K B ] { u R u B } = { 0 K B u B F + C B u ˙ B F + f B F }

3. Finite Element Model

In order to analyze the dynamic response of the underground transportation hub structure without overburden under seismic motion, this paper simplifies the finite element model of the soil–underground structure system based on the structural design model of an actual transportation hub project in Beijing, which is shown in Figure 1. As shown in Figure 1, the underground structures have four floors, and the heights of the floors from top to bottom are 5.7 m, 5.7 m, 4.05 m, and 4.05 m. There is no overburden above the structures. According to the needs of calculation and analysis, the soil size of the model X × Y × Z = 625 m × 625 m × 100 m, the total number of nodes of the model is 4.27 million, and the total number of elements is 2.33 million. The first-order tetrahedral elements allow easy meshing of soils with complex profiles [24,25,26]. In this study, we compared the structural response of the soil obtained by simulation with first-order tetrahedral elements, which resulted in an error of less than 5%; as such, we found that the response pattern was consistent. Therefore, the soil was simulated with first-order tetrahedral elements with a uniform mesh size of 4 m. For different soil layers, the mesh is 1/5–1/10 of the seismic wavelength. The station floor and wall are simulated by layered shell elements, and the station beam and column are simulated by fiber beam elements with a mesh size of 1.5 m. The contact between the soil and the structure is tied. The thickness of the raft slab for the foundation of the structure is 2 m, the size of the cased piles is 1000 mm, the length of the piles is 30 m, and the spacing of the piles is 5 m.
Regarding the elastoplastic analysis, the concrete damage plasticity (CDP) constitutive model is used to evaluate the nonlinear behavior of concrete [27], and the bilinear stress–strain relationship with kinematic hardening is used to evaluate the plasticity of steel reinforcements [28]. The constitutive relationship of the structural materials is shown in Figure 2. The beam–column construction of the structure is converted into fiber-beam elements (B31), and the floor and wall are converted into multi-layer shell elements (S4R), as shown in Figure 3. Table 1 provides the material properties of the structure. Table 2 summarizes the information regarding the components of the underground structure. The columns of the frame structure are constructed with concrete-filled steel tubular columns (CFSTCs), and the beams of the structure are constructed with reinforced concrete rectangular beams (RCRBs). The thickness and material properties of the soil model are determined based on the geological investigation report of a transportation hub project in Beijing. The Mohr–Coulomb model is used for the soils, and the parameters are shown in Table 3.
In this case, the earthquake record is selected according to China’s Code for Seismic Design of Urban Railway Structures (GB 50909-2014), and nine natural earthquake records are selected for elastic time-range calculations [29,30,31,32,33], which comprise three low-frequency earthquake records (L-1~3), three medium-frequency earthquake records (I-1~3), and three high-frequency earthquake records (H-1~3) [34,35,36]; the information of the earthquake records is shown in Table 4. The time-range curves and Fourier spectra are shown in Figure 4. In the elastic analysis of the model, the amplitude of seismic acceleration on the bedrock surface is adjusted to 0.2 g. When the structure is subjected to elastic–dynamic analysis, the seismic propagation directions are all upward along the Z-axis and the vibration direction is the X-direction.
For the elastoplastic analysis of the model, the amplitude of the seismic acceleration at the bedrock surface is adjusted to 0.4 g. When considering the effects of seismic motions on the structure in all three directions, the seismic motions are fed into the model from all three directions in the ratio of 1:0.85:0.65 (X:Y:Z), where the X-direction is the main seismic direction. The time-range curves and Fourier spectra are shown in Figure 5.

4. Seismic Response Laws of Large Underground Structures

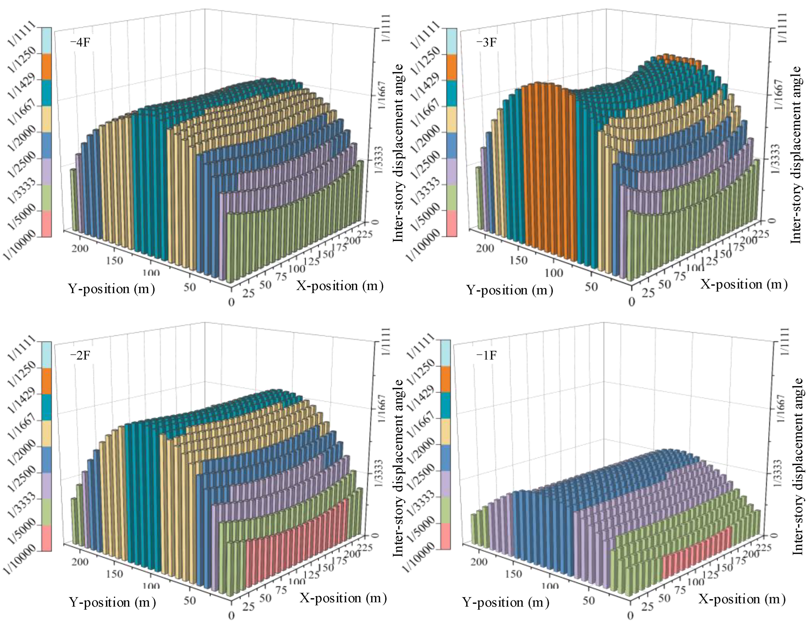
In order to analyze the deformation and force distribution in three-dimensional space of a large-span underground transportation hub structure under horizontal seismic motion, the horizontal acceleration, horizontal displacement, shear force, and bending moment data at the top and bottom of the frame columns at each level of the structure were selected for analysis. Figure 6 shows the selection of observation points of the underground structure and the selection information of the cross-section. The spatial distribution patterns of peak horizontal acceleration, peak inter-story displacement angle, and bending moment of the structure under L-2 seismic motion are given in Figure 7, Figure 8, Figure 9 and Figure 10.
From the spatial distribution of structural deformation and internal force, it can be seen that under the action of X-direction horizontal seismic motion, the distribution of structural deformation and internal force in the Y-direction gradually increases from the outside to the inside. The reason is that the structure is parallel to the X-direction of the two sides of the soil constraints, and under the action of an X-direction homogeneous load, the maximum value of the structure will be deflected to the middle of the structure’s Y-direction position. Figure 7 demonstrates that the acceleration of the structure exhibits a form of distribution along the depth direction that gradually increases from bottom to top. The acceleration in the second basement level of the structure tends to decrease and then increase along the direction of vibration from the outside to the inside, while in the first basement level, it tends to decrease from the outside to the inside. As can be seen in Figure 8, under the action of low-frequency ground vibration, the distribution of the inter-story displacement angle along the X direction of the structure shows a trend of gradual decrease from the outside to the inside. This phenomenon indicates that the large underground structure has non-uniform deformation at the inner and outer locations, which highlights the inertia effect of the large underground structure. The spatial distribution forms of the shear force and structural bending moment are the same, revealing the spatial distribution of the structural bending moment. Figure 9 shows that the distribution of structural bending moments along the Z-direction decreases from the bottom to the top, while the peak internal force increases and then decreases along the X-direction of each floor. It can be concluded that under low-frequency seismic motions, the maximum values of structural internal forces occur in the outermost two spans of the structural center section in the Y-direction and the middle of the bottom of the frame columns. Since the deformation and internal force distribution pattern of the structure under the effect of seismic motions in all frequency bands is consistent, the set of results with the largest structural response was selected for analysis. Figure 10 shows the effects of seismic motions at different frequencies on the deformation and internal forces of the large underground structure.
As shown in Figure 10, an increase in the frequency of seismic motions increases the acceleration of large underground structures while decreasing the inter-story displacement of the structures, and it is more pronounced in the interior of large underground structures. Low-frequency ground shaking causes the greatest deformation and internal forces in these structures. Under the effect of low-frequency seismic motions, the internal force of the bottom layer of the structure is the largest, and the internal force of the top layer is the smallest, but high-frequency seismic motions will increase the internal force of the top layer of the structure.

5. Damage Mechanisms of Large Underground Structures

5.1. Location of Damage

Earthquake damage to infrastructure is the focus of seismic research [37,38]. When conducting an elastoplastic dynamic analysis of soil–structure interaction, the problem of the ground stress equilibrium needs to be considered, and the effect of gravity on structural damage should not be neglected [39,40]. Therefore, in this paper, the initial stresses of the model under gravity are firstly balanced by implementing s static analysis step, and then an explicit dynamic analysis step is performed to solve the dynamic damage results of the model under seismic loading. Figure 11 illustrates the displacement cloud of the elastoplastic model under gravity.
The results of elastoplastic dynamic analysis of the structure under low-frequency seismic motion are used as an example to analyze the damage mechanism of a large-span underground frame structure without overburden. Since the X- and Y-direction dimensions of the structure are the same, the damage of the structure under unidirectional seismic motions is only given as the details of the damage under X-direction and Z-direction effects, and those are compared with the damage of the structure under XYZ three-direction seismic motions. Figure 12, Figure 13, Figure 14 and Figure 15 show the damage distribution cloud for each type of member of the structure. If the compressive damage (Damage C) or tensile damage (Damage T) reaches 1.0, this indicates that the component has been damaged.
As shown in Figure 12, the maximum value of compressive damage to the floor slab of a large underground structure under X-direction seismic motion occurs at the top slab of the first floor. The damage to the structural slab appears near the soil on both sides of the Y-axis, and the damage develops in the direction of vibration as the seismic motion continues. Tensile damage is produced at the peripheral edges of the floor slabs of all floors, among which the negative floor has the largest damage area. Under Z-directional seismic motion, the floor slab of the structure is essentially intact, with only minor tensile damage at the perimeter edges of the floor slab at the base slab near the soil. Under the action of XYZ seismic motions, all slabs of the structure show tensile damage extending inward from the corners of the floor slabs close to the soil of the structure, and the compressive damage appears only in the corresponding position of the floor slabs of the first floor. As shown in Figure 13, the damage locations of the beam network at each level of the structure are basically the same as the damage to the slab.
As shown in Figure 14, under X-direction seismic motion, the compressive damage of the structural wall is concentrated at the ground floor exterior wall parallel to both sides of the vibration direction, and tensile damage occurs on all four sides of the wall of the structure, with the size of the damage decreasing along the Z-axis direction. Under Z-directional seismic motion, no compressive damage is produced on the four walls of the structure, and minor tensile damage is produced, with the greatest damage remaining on the bottom floor of the structure. Under the effect of XYZ seismic motions, the compression damage of the structural wall appears at the bottom of the wall on both sides of the corners, the tensile damage appears on all four sides of the wall, and the degree of damage is more serious compared to the effect of unidirectional seismic motion. As shown in Figure 15, neither of the columns of the large-span frame underground structure without overburden produce compressive damage under unidirectional and multidirectional seismic motions, and the extent of tensile damage produced in the columns is small.

5.2. Evolution of Damage

From the above conclusions, it can be seen that the damage to columns of such structures is minor, and the damage to floor slabs and beams is near equal, so the present analysis of the damage evolution process of the structure is based on the top slab, which has the greatest damage to the structure, and the outer wall of the structure is used as an example. Figure 16 and Figure 17 illustrate the damage evolution of the top slab of the structure under X-/XYZ-directional seismic motion. Figure 18 and Figure 19 illustrate the damage evolution of the walls of the structure under X-/XYZ-directional seismic motion.
As shown in Figure 16, the structure first appears to have tensile damage around the floor slab close to the soil, and with the effect of X-directional seismic motion, the tensile damage develops firstly along the vibration direction, and then along the Y-axis to the inner part of the floor slab. The compression damage of the floor slab has a smaller range under the X-directional seismic motion, and it first appears at the edges of the floor slab on both sides of the Y-axis and then develops along the vibration direction to the outside under the continuous effect of seismic motion. As shown in Figure 18, the tensile damage of the structural wall occurs faster, and it first appears around the wall of the bottom floor of the structure; then, the upper wall starts to be damaged with the effect of seismic motion. The compressive damage of structural walls first appears in the bottom layer of the walls on both sides of the Y-axis under the effect of X-directional seismic motion and then develops along the direction of vibration towards both sides under the continuous effect of seismic motion. As shown in Figure 17, under the effect of multidirectional seismic motions, the evolution of compressive and tensile damage of structural floor slabs is the same, which firstly appears at the corners of both sides close to the soil, and the damage then develops along the X-axis and Y-axis to the interior of the floor slabs with the continued action of seismic motions. As shown in Figure 19, under the effect of multidirectional seismic motions, the tensile damage of the structural wall first appears around the wall of the bottom layers of the structure, and develops upward along the Z-axis with the effect of the seismic motions, with a range larger than that of the unidirectional seismic motion. The compressive damage of the structural wall first appears near the corners of the two walls and develops along the X-axis and Y-axis in the inward direction under the continuous effect of the seismic motion.

6. Conclusions

This paper has presented a crucial analysis of a finite element model of a large underground structure without overburden, based on a transportation hub structure in China. Our study delved into the seismic response and damage mechanism of such structures, yielding significant conclusions.
  • Under the influence of X-directional seismic motion, the structural deformation and internal force in the Y-direction exhibit a distribution pattern of gradual increase from the outside to the inside. The large underground structure experiences non-uniform deformation at inner and outer locations, a manifestation of the inertia effect. The maximum values of structural internal forces are concentrated in the outermost two spans of the structural center section in the Y-direction and the middle of the bottom of the frame columns, revealing the intricate nature of the seismic response.
  • The increased frequency of seismic motion causes an increase in the acceleration of large underground structures while decreasing their inter-story displacements. This is more pronounced in the interior of large underground structures. Low-frequency ground shaking induces the greatest structural deformations and internal forces. Under low-frequency seismic motions, the internal forces in the structure’s bottom layer are the largest, and those in the top layer are the smallest. However, high-frequency seismic motions increase the internal forces in the top layer of the structure.
  • The greatest damage to the structure occurs under XYZ seismic motions. The corners of the floor slabs near the soil layer show damage extending inward. Damage to the structural wall appears at the bottom of the wall on both sides of the corners.

Author Contributions

Methodology, Q.D. and M.Z.; validation, M.Z. and J.S.; formal analysis, Q.D.; investigation, Q.D.; resources, M.Z.; data curation, Q.D.; writing—original draft preparation, Q.D.; writing—review and editing, J.S. and M.Z.; visualization, Q.D.; supervision, M.Z.; project administration, M.Z. and J.S.; funding acquisition, M.Z. and J.S. All authors have read and agreed to the published version of the manuscript.

Funding

The work described in this paper was supported by the National Natural Science Foundation of China (52278476 and 52308475).

Institutional Review Board Statement

Not applicable.

Informed Consent Statement

Not applicable.

Data Availability Statement

The data presented in this study are available on request from the corresponding author.

Acknowledgments

Acknowledge all of the reviewers and authors who contributed to this Special Issue.

Conflicts of Interest

The authors declare no conflicts of interest.

References

  1. Iida, H.; Hiroto, T.; Yoshida, N.; Lwafuji, M. Damage to Daikai subway station. Soils Found 1996, 36, 283–300. [Google Scholar] [CrossRef]
  2. Wang, W.L.; Wang, T.T.; Su, J.J.; Lin, C.H.; Seng, C.R.; Huang, T.H. Assessment of damage in mountain tunnels due to the Taiwan Chi-Chi Earthquake. Tunn. Undergr. Space Technol. 2001, 16, 133–150. [Google Scholar] [CrossRef]
  3. Wang, X.W.; Chen, J.T.; Xiao, M. Seismic damage assessment and mechanism analysis of underground powerhouse of the Yingxiuwan Hydropower Station under the Wenchuan earthquake. Soil Dyn. Earthq. Eng. 2018, 113, 112–123. [Google Scholar] [CrossRef]
  4. Ma, C.; Lu, D.C.; Du, X.L.; Qi, C.Z. Effect of buried depth on seismic response of rectangular underground structures considering the influence of ground loss. Soil Dyn. Earthq. Eng. 2018, 106, 278–297. [Google Scholar] [CrossRef]
  5. Du, X.L.; Wang, G.; Lu, D.C. Earthquake Damage Mechanism Analysis of Dakai Metro Station by Kobe Earthquake. J. Disaster Prev. Mitig. Eng. 2016, 36, 165–171. [Google Scholar]
  6. Du, X.L.; Ma, C.; Lu, D.C.; Xu, C.X.; Xu, Z.G. Collapse simulation and failure mechanism analysis of the Daikai subway station under seismic loads. China Civ. Eng. J. 2017, 50, 53–62. [Google Scholar]
  7. Du, X.L.; Kang, K.L.; Xu, Z.G.; Li, Y.; Xu, C.X. Main characteristics and rules of seismic response for underground structures. China Civ. Eng. J. 2018, 51, 11–21. [Google Scholar]
  8. Xu, Z.G.; Du, X.L.; Xu, C.S.; Hao, H.; Bi, K.M.; Jiang, J.W. Numerical research on seismic response characteristics of shallow buried rectangular underground structure. Soil Dyn. Earthq. Eng. 2019, 116, 242–252. [Google Scholar] [CrossRef]
  9. He, W.; Chen, J.Y. Adaptive active vibration control for frictional structures based on LuGre model. J. Vib. Shock. 2011, 30, 103–107. [Google Scholar]
  10. Zhuang, H.Y.; Hu, Z.H.; Chen, G.X. Numerical modeling on the seismic responses of a large underground structure in soft ground. J. Vibroeng. 2015, 17, 802–815. [Google Scholar]
  11. Gu, Y.; Zhong, H.; Zhuo, W.D. Analysis of dynamic interaction between soil and large subway station structure under seismic excitation based on 3D model. Chin. J. Rock Mech. Eng. 2013, 32, 2290–2299. [Google Scholar]
  12. Wang, G.B.; Yuan, M.Z.; Ma, X.F.; Wu, J. Numerical study on the seismic response of the underground subway station-surrounding soil mass-ground adjacent building system. Front. Struct. Civ. Engine 2017, 11, 424–435. [Google Scholar] [CrossRef]
  13. Tao, L.J.; Liu, C.X.; Bian, J.; Wu, B.L.; Li, J.D.; Xu, Y.J. Seismic response of subway station with large span and y shaped column. Chin. J. Theor. Appl. Mech. 2017, 49, 55–64. [Google Scholar]
  14. Zhang, J.K.; Yu, Z.Y.; Zhang, H.R.; Qiu, Y.J. Damage and failure of underground subway stations under different soil constraint conditions. PLoS ONE 2023, 18, e0284074. [Google Scholar] [CrossRef] [PubMed]
  15. Li, W.T.; Chen, Q.J. Effect of vertical ground motions and overburden depth on the seismic responses of large underground structures. Eng. Struct. 2020, 205, 110073. [Google Scholar] [CrossRef]
  16. Zhang, Z.H.; Li, Y.; Xu, C.S.; Du, X.L.; Dou, P.F.; Yan, G.Y. Study on seismic failure mechanism of shallow buried underground frame structures based on dynamic centrifuge tests. Soil Dyn. Earthq. Eng. 2021, 150, 106938. [Google Scholar] [CrossRef]
  17. Zhuang, H.Y.; Zhao, C.; Chen, S.; Fu, J.S.; Zhao, K.; Chen, G.X. Seismic performance of underground subway station with sliding between column and longitudinal beam. Tunn. Undergr. Space Technol. 2020, 102, 103439. [Google Scholar] [CrossRef]
  18. Chen, Z.Y.; Huang, P.F.; Chen, W. Seismic response characteristics of multi-story subway station through shaking table test. Adv. Struct. Eng. 2021, 24, 2185–2200. [Google Scholar] [CrossRef]
  19. Qiu, D.P.; Chen, J.Y.; Cao, X.Y. Study on the seismic control measure of the underground large-scale frame structure. Struct. 2022, 40, 328–343. [Google Scholar] [CrossRef]
  20. Qiu, D.P.; Ren, W.J.; Chen, J.Y. The multi-dimensional fragility analysis of the underground large-scale frame structure based on the internal relationships of different seismic performance evaluating indexes. Tunn. Undergr. Space Technol. 2023, 136, 105093. [Google Scholar] [CrossRef]
  21. Chen, X.; Xiong, Z.M.; Zhuge, Y.; Liu, Y. Numerical analysis on the seismic performance of subway station in ground crack area. Tunn. Undergr. Space Technol. 2023, 134, 105012. [Google Scholar] [CrossRef]
  22. Du, X.L.; Zhao, M.; Wang, J.T. A stress artificial boundary in FEA for near-field wave problem. Chin. J. Theor. Appl. Mech. 2006, 38, 49–56. [Google Scholar]
  23. Zhao, M.; Yin, H.Q.; Du, X.L.; Liu, J.B.; Liang, L.Y. 1D finite element artificial boundary method for layered half space site response from obliquely incident earthquake. Earthq Struct. 2015, 9, 173–194. [Google Scholar] [CrossRef]
  24. Dell’Accio, F.; Di Tommaso, F.; Guessab, A.; Nudo, F. On the improvement of the triangular Shepard method by non-conformal polynomial elements. Appl. Numer. Math. 2023, 184, 446–460. [Google Scholar] [CrossRef]
  25. Khoei, A.R.; Nikbakht, M. An enriched finite element algorithm for numerical computation of contact friction problems. Int. J. Mech. Sci. 2007, 49, 183–199. [Google Scholar] [CrossRef]
  26. Chessa, J.; Wang, H.; Belytschko, T. On the construction of blending elements for local partition of unity enriched finite elements. Int. J. Numer. Meth. Engng. 2003, 57, 1015–1038. [Google Scholar] [CrossRef]
  27. Cao, S.T.; Lu, D.C.; Du, X.L.; Zhao, M.; Cheng, X.L. Development on software platform for nonlinear dynamic analysis of underground structure based on gpu parallel computing. Eng. Mech. 2019, 36, 53–86. [Google Scholar]
  28. Guirguis, J.E.B.; Mehanny, S. Evaluating code criteria for regular seismic behavior of continuous concrete box girder bridges with unequal height piers. J. Bridge Eng. 2012, 18, 486–498. [Google Scholar] [CrossRef]
  29. Hu, S.; Zhu, S. Life-cycle benefits estimation for hybrid seismic-resistant self-centering braced frames. Earthq. Eng. Struct. Dyn. 2023, 52, 3097–3119. [Google Scholar] [CrossRef]
  30. Hu, S.; Koetaka, Y.; Chen, Z.P.; Zhu, S.; Alam, M.S. Hybrid self-centering braces with NiTi-SMA U-shaped and frequency-dependent viscoelastic dampers for structural and nonstructural damage control. Eng. Struct. 2024, 308, 117920. [Google Scholar] [CrossRef]
  31. Hu, S.; Zhou, X.; Ke, K.; Alam, M.S.; Shi, T. Post-earthquake repairability-based methodology for enhancing steel MRFs. Eng. Struct. 2024, 308, 117898. [Google Scholar] [CrossRef]
  32. Wang, M.; Sun, F.F.; Jin, H.J. Performance evaluation of existing isolated buildings with supplemental passive pseudo-negative stiffness devices. Eng. Struct. 2018, 177, 30–46. [Google Scholar] [CrossRef]
  33. Wang, M.; Du, X.L.; Sun, F.F.; Nagarajaiah, S.; Li, Y.W. Fragility analysis and inelastic seismic performance of steel braced-core-tube frame outrigger tall buildings with passive adaptive negative stiffness damped outrigger. J. Build. Eng. 2022, 52, 104428. [Google Scholar] [CrossRef]
  34. Ozturk, K.F.; Cakir, T.; Araz, O. A comparative study to determine seismic response of the box culvert wing wall under influence of soil-structure interaction considering different ground motions. Soil Dyn. Earthq. Eng. 2022, 162, 107452. [Google Scholar] [CrossRef]
  35. Ozturk, K.F.; Cakir, T.; Araz, O. Influences of wall configurations on earthquake behavior of cantilever retaining walls considering soil-structure interaction effects. J. Earthq. Tsunami 2023, 17, 2250021. [Google Scholar] [CrossRef]
  36. Kianoush, M.R.; Ghaemmaghami, A.R. The effect of earthquake frequency content on the seismic behavior of concrete rectangular liquid tanks using the finite element method incorporating soil-structure interaction. Eng. Struct. 2011, 33, 2186–2200. [Google Scholar] [CrossRef]
  37. Hu, S.; Wang, W.; Qu, B. Seismic evaluation of low-rise steel building frames with self-centering energy-absorbing rigid cores designed using a force-based approach. Eng. Struct. 2020, 204, 110038. [Google Scholar] [CrossRef]
  38. Hu, S.; Wang, W.; Qu, B. Seismic economic losses in mid-rise steel buildings with conventional and emerging lateral force resisting systems. Eng. Struct. 2020, 204, 110021. [Google Scholar] [CrossRef]
  39. Eppelbaum, L.V.; Ezersky, M.G.; Al-Zoubi, A.S.; Goldshmidt, V.I.; Legchenko, A. Study of the factors affecting the karst volume assessment in the Dead Sea sinkhole problem using microgravity field analysis and 3D modeling. Adv. Geosci. 2008, 19, 97–115. [Google Scholar] [CrossRef]
  40. Eppelbaum, L.V. Review of environmental and geological microgravity applications and feasibility of their implementation at archaeological sites in Israel. Int. J. Geophys. 2011, 2011, 927080. [Google Scholar] [CrossRef]
Figure 1. Finite element modeling information.
Figure 1. Finite element modeling information.
Applsci 14 04888 g001
Figure 2. Concrete elastic–plastic damage constitutive relationship: (a) concrete, (b) steel reinforcement.
Figure 2. Concrete elastic–plastic damage constitutive relationship: (a) concrete, (b) steel reinforcement.
Applsci 14 04888 g002
Figure 3. Diagram of the fiber beam element and the multi-layer shell element: (a) equivalent steel section of the fiber beam element and the multi-layer shell element, (b) the fiber beam element of the structure.
Figure 3. Diagram of the fiber beam element and the multi-layer shell element: (a) equivalent steel section of the fiber beam element and the multi-layer shell element, (b) the fiber beam element of the structure.
Applsci 14 04888 g003
Figure 4. Acceleration–time history curves and Fourier amplitude spectra of E2.
Figure 4. Acceleration–time history curves and Fourier amplitude spectra of E2.
Applsci 14 04888 g004
Figure 5. Acceleration–time history curves and Fourier amplitude spectra of E3.
Figure 5. Acceleration–time history curves and Fourier amplitude spectra of E3.
Applsci 14 04888 g005
Figure 6. Information on observation points and observation sections of underground structures.
Figure 6. Information on observation points and observation sections of underground structures.
Applsci 14 04888 g006
Figure 7. Spatial distribution of peak horizontal acceleration at each floor of US1.
Figure 7. Spatial distribution of peak horizontal acceleration at each floor of US1.
Applsci 14 04888 g007
Figure 8. Spatial distribution of peak inter-story displacement angles at each floor of US1.
Figure 8. Spatial distribution of peak inter-story displacement angles at each floor of US1.
Applsci 14 04888 g008
Figure 9. Spatial distribution of peak bending moments at each floor of US1.
Figure 9. Spatial distribution of peak bending moments at each floor of US1.
Applsci 14 04888 g009
Figure 10. Effects of seismic motions at different the frequencies on the deformation and internal forces of a large underground structure: (a) acceleration, (b) inter-story displacement angle, (c) shear force, (d) bending moment.
Figure 10. Effects of seismic motions at different the frequencies on the deformation and internal forces of a large underground structure: (a) acceleration, (b) inter-story displacement angle, (c) shear force, (d) bending moment.
Applsci 14 04888 g010
Figure 11. Displacement cloud of the model under gravity.
Figure 11. Displacement cloud of the model under gravity.
Applsci 14 04888 g011
Figure 12. Comparison of damage to slabs: (a) damage to slabs subjected to X-directional seismic motion, (b) damage to slabs subjected to Z-directional seismic motion, (c) damage to slabs subjected to XYZ-directional seismic motions.
Figure 12. Comparison of damage to slabs: (a) damage to slabs subjected to X-directional seismic motion, (b) damage to slabs subjected to Z-directional seismic motion, (c) damage to slabs subjected to XYZ-directional seismic motions.
Applsci 14 04888 g012aApplsci 14 04888 g012b
Figure 13. Comparison of damage to beams: (a) damage to beams subjected to X-directional seismic motion, (b) damage to beams subjected to Z-directional seismic motion, (c) damage to beams subjected to XYZ-directional seismic motions.
Figure 13. Comparison of damage to beams: (a) damage to beams subjected to X-directional seismic motion, (b) damage to beams subjected to Z-directional seismic motion, (c) damage to beams subjected to XYZ-directional seismic motions.
Applsci 14 04888 g013aApplsci 14 04888 g013b
Figure 14. Comparison of damage to walls: (a) damage to walls subjected to X-directional seismic motion, (b) damage to walls subjected to Z-directional seismic motion, (c) damage to walls subjected to XYZ-directional seismic motions.
Figure 14. Comparison of damage to walls: (a) damage to walls subjected to X-directional seismic motion, (b) damage to walls subjected to Z-directional seismic motion, (c) damage to walls subjected to XYZ-directional seismic motions.
Applsci 14 04888 g014
Figure 15. Comparison of damage to columns: (a) damage to columns subjected to X-directional seismic motion, (b) damage to columns subjected to Z-directional seismic motion, (c) damage to columns subjected to XYZ-directional seismic motions.
Figure 15. Comparison of damage to columns: (a) damage to columns subjected to X-directional seismic motion, (b) damage to columns subjected to Z-directional seismic motion, (c) damage to columns subjected to XYZ-directional seismic motions.
Applsci 14 04888 g015
Figure 16. Damage evolution of slab under X-directional seismic motion.
Figure 16. Damage evolution of slab under X-directional seismic motion.
Applsci 14 04888 g016
Figure 17. Damage evolution of slab under XYZ-directional seismic motions.
Figure 17. Damage evolution of slab under XYZ-directional seismic motions.
Applsci 14 04888 g017
Figure 18. Damage evolution of walls under X-directional seismic motion.
Figure 18. Damage evolution of walls under X-directional seismic motion.
Applsci 14 04888 g018
Figure 19. Damage evolution of walls under XYZ-directional seismic motions.
Figure 19. Damage evolution of walls under XYZ-directional seismic motions.
Applsci 14 04888 g019
Table 1. Parameters of the structure.
Table 1. Parameters of the structure.
MaterialDensity ρ1 (kg/m3)Elastic Modulus E (GPa)Poisson’s Ratio μDilation Angle Ψ (°)Tensile Yield Stress ft (MPa)Uniaxial Compressive Strength fc (MPa)
C302600300.2152.0120.1
C35260031.50.2152.223.4
C40260032.50.2152.3926.8
C602600360.2152.8538.5
HRB40078002000.25-400400
Q34578002060.25-345345
Table 2. Information on the underground structure.
Table 2. Information on the underground structure.
ComponentFloorSection (mm)Material
Profiled × t/a × b
Column−4F~−1FCFSTC1000 × 30C60, HRB400, Q345
Beam−4F~−1FRRCB700 × 1300, 500 × 1000C35, HRB400
Slab Thickness (t)
Raft-2000C30, HRB400
−4F~−1F-200C35, HRB400-
Wall−2.5F~−1FExterior wall1000C40, HRB400
Table 3. Parameters of the soil.
Table 3. Parameters of the soil.
NameThickness (m)Density ρ1 (kg/m3)Shear Wave Velocity (m/s)Poisson’s Ratio μCohesion c (Pa)Internal Frictional Angle φ(°)
Clayey silt8020002000.4734,00013
Medium sand2021005000.3--
Table 4. Earthquake record information.
Table 4. Earthquake record information.
NameParticular YearRecord NameStationPGA/PGV
L-11995Kobe_JapanKobe University0.499
L-21980Irpinia_Italy-01Bagnoli Irpinio0.545
L-31989Livermore-01Tracy—Sewage Treatm Plant0.613
I-11987Whittier Narrows-01Pasadena-CIT Kresge Lab1.083
I-21985Nahanni-CanadaSite_11.065
I-31979Coyote LakeGilroy Array #61.19
H-11970Lytle_CreekCedar Springs_Allen Ranch3.237
H-21992San FernandoLake Hughes #43.27
H-31992Cape_MendocinoCape_Mendocino5.043
Disclaimer/Publisher’s Note: The statements, opinions and data contained in all publications are solely those of the individual author(s) and contributor(s) and not of MDPI and/or the editor(s). MDPI and/or the editor(s) disclaim responsibility for any injury to people or property resulting from any ideas, methods, instructions or products referred to in the content.

Share and Cite

MDPI and ACS Style

Ding, Q.; Zhao, M.; Shen, J. Seismic Response and Damage Analysis of Large Underground Frame Structures without Overburden. Appl. Sci. 2024, 14, 4888. https://doi.org/10.3390/app14114888

AMA Style

Ding Q, Zhao M, Shen J. Seismic Response and Damage Analysis of Large Underground Frame Structures without Overburden. Applied Sciences. 2024; 14(11):4888. https://doi.org/10.3390/app14114888

Chicago/Turabian Style

Ding, Qingpeng, Mi Zhao, and Jiaxu Shen. 2024. "Seismic Response and Damage Analysis of Large Underground Frame Structures without Overburden" Applied Sciences 14, no. 11: 4888. https://doi.org/10.3390/app14114888

APA Style

Ding, Q., Zhao, M., & Shen, J. (2024). Seismic Response and Damage Analysis of Large Underground Frame Structures without Overburden. Applied Sciences, 14(11), 4888. https://doi.org/10.3390/app14114888

Note that from the first issue of 2016, this journal uses article numbers instead of page numbers. See further details here.

Article Metrics

Back to TopTop