Next Article in Journal
Utilizing Selected Machine Learning Methods for Conicity Prediction in the Process of Producing Radial Tires for Passenger Cars
Next Article in Special Issue
A Comprehensive Review of Silymarin Extraction and Liposomal Encapsulation Techniques for Potential Applications in Food
Previous Article in Journal
Google Gemini’s Performance in Endodontics: A Study on Answer Precision and Reliability
Previous Article in Special Issue
Introducing a Novel Application of Bio-Based Fillers Based on Rice Bran Wax Infused with Green Tea: Transitioning from a Cosmetic Additive to a Multifunctional Pigment for Wood Paints
 
 
Font Type:
Arial Georgia Verdana
Font Size:
Aa Aa Aa
Line Spacing:
Column Width:
Background:
Article

Lawsonia inermis as an Active Corrosion Inhibitor for Mild Steel in Hydrochloric Acid

1
Electrochemistry and Material Science Research Laboratory, Department of Chemistry, Federal University of Technology Owerri, Owerri PMB 1526, Imo State, Nigeria
2
Department of Chemistry, Alvan Ikoku Federal University of Education, Owerri PMB 1033, Imo State, Nigeria
3
Department of Physics, Alvan Ikoku Federal University of Education, Owerri PMB 1033, Imo State, Nigeria
4
Department of Basic Sciences, Alvan Ikoku Federal University of Education, Owerri PMB 1033, Imo State, Nigeria
5
Departmento de Quimica Analyticia, Universidad de Cadiz, 11003 Cádiz, Spain
6
Department of Metallurgical and Material Engineering, Maritime Academy of Nigeria, Oron PMB 1089, Akwa Ibom State, Nigeria
7
Graduate School of Science and Engineering, Saitama University, Saitama City 338-8570, Japan
*
Author to whom correspondence should be addressed.
Appl. Sci. 2024, 14(15), 6392; https://doi.org/10.3390/app14156392
Submission received: 22 May 2024 / Revised: 17 July 2024 / Accepted: 18 July 2024 / Published: 23 July 2024
(This article belongs to the Special Issue Bio-Based Products and Co-products Applications)

Abstract

Corrosion is a pervasive issue affecting metallic materials, with significant economic losses and safety risks in various industries. Mild steel, extensively used in construction and infrastructure, faces corrosion challenges, needing continuous research to effectively tackle them. Natural compounds, because of their eco-friendliness and corrosion inhibition potential, are attracting increasing interest for corrosion control. Lawsonia inermis (LI), or henna, a plant native to North Africa and South Asia, has bioactive compounds exhibiting corrosion inhibitive properties. This study comprehensively explores Lawsonia inermis’s effectiveness as a corrosion inhibitor for mild steel, filling a gap in the existing research. Various concentrations of Lawsonia inermis extract were tested in acidic solutions to evaluate corrosion inhibition. Experimental results indicate a significant reduction in the corrosion rate with increasing inhibitor concentration. Langmuir adsorption isothermal analyses reveal the adsorption mechanism as being an interplay between physisorption and weak chemisorption. Electrochemical measurements demonstrate Lawsonia inermis’s capability to alter both cathodic and anodic reactions, leading to improved corrosion resistance. Scanning electron microscopy reveals a more even surface morphology in the presence of the Lawsonia inermis, indicating corrosion inhibition. Gas chromatography–mass spectrometry (GC-MS) analyses identified organic compounds in Lawsonia inermis extract responsible for corrosion inhibition. Overall, Lawsonia inermis emerges as a promising corrosion inhibitor for mild steel, offering excellent inhibition efficiencies. This study sheds light on its adsorption behaviour and provides insights into its mechanism of action. These findings underscore Lawsonia inermis’s potential as a green corrosion inhibitor, paving the way for its practical application in industrial corrosion protection strategies.

1. Introduction

Corrosion is a ubiquitous phenomenon that affects various metallic materials, causing significant economic losses and safety hazards across industries [1]. Mild steel stands out as a material susceptible to corrosion in industries, which poses a considerable challenge, necessitating continuous research to develop effective mitigation strategies. Recently, there has been growing interest in exploring natural compounds as corrosion inhibitors because of their eco-friendly nature and potential effectiveness in inhibiting corrosion [2]. Lawsonia inermis (LI), commonly known as henna, is one such natural compound that has shown promise in corrosion inhibition studies [3]. This plant, native to North Africa and West and South Asia, produces bioactive compounds that exhibit inhibitory properties against metal corrosion. Lawsonia inermis is a plant species belonging to the Lythraceae family. Indigenous to North Africa, West Asia, and South Asia, Lawsonia inermis has been traditionally used for its medicinal, cosmetic, and dyeing properties. The plant contains bioactive compounds, such as lawsone (2-hydroxy-1,4-naphthoquinone), tannins, flavonoids, and polysaccharides, which exhibit various biological activities, including antioxidant and antimicrobial properties [4].
Several studies have investigated the potential of Lawsonia inermis as a corrosion inhibitor for different metals and alloys, such as aluminium, copper, and carbon steel. A study by Devi et al. [5] confirmed the corrosion inhibition of mild steel in well water in the presence of a Lawsonia inermis leaf extract, using weight loss, polarisation techniques, and AC impedance spectroscopy. Fourier-transform infrared (FTIR), scanning electron microscopy (SEM), and atomic force microscopy (AFM) investigations confirmed the presence of a protective iron–lawsone complex that was adsorbed on the metal surface. In addition, Zulkifli et al. [6] have explored the corrosion inhibition potential of henna for aluminium alloys in seawater. These studies revealed the protective film formation of the henna on the surface of the metal to reduce the corrosion rate and improve the corrosion resistance of the metal. The work of Muthamil et al. [7] showed the adsorption pattern of physisorption, confirming the presence of hydroxyl and carbonyl groups, using FTIR. Singh [8] used Lawsonia inermis extract to inhibit the corrosion of 304 stainless steel in 1.0 M H2SO4 using weight loss measurements and SEM analysis. The findings of that study showed Lawsonia inermis extract as a good inhibitor of 304 stainless-steel corrosion, with the inhibition efficiency increasing with increased extract concentration and decreasing with decreased temperature.
Rahman et al. [9] studied the anodic inhibition of steel in 8 M H3PO4 by Lawsonia inermis, using the galvanostatic polarisation technique. The results showed Lawsonia inermis as a good corrosion inhibitor of steel, as the inhibition efficiency increased with an increase in the inhibitor concentration. El-Sharmy et al. [10] investigated the corrosion inhibition of steel alloy 4130 in 3.5 wt.% NaCl solutions, using the electrochemical method at diverse concentrations of the extract and at three different temperatures. The results showed that Lawsonia inermis extract slowed the corrosion of steel alloys, as shown in the increase in the inhibition efficiency with an increase in the concentration and a decrease in the inhibition efficiency with an increase in the temperature. El-Bindary et al. [11] evaluated the corrosion inhibition of carbon steel by an aqueous extract of Lawsonia inermis in saline media, using open-circuit potentials, the potentiodynamic polarisation technique, and electrochemical impedance spectroscopy. The results showed a decrease in the cathodic and anodic corrosion currents and the rate of the corrosion with an increase in the inhibitor concentration. Brixi et al. [12] studied the synergistic inhibition effect of Lawsonia inermis, lawsone, and gallic acid on the corrosion of steel in a simulated concrete pore solution of 0.5 M NaCl, using the potentiodynamic polarisation technique and electrochemical impedance spectroscopy. The highest inhibitor efficiency of 93% was seen in henna leaf extract in comparison with lawsone and garlic acid. Rani [13] evaluated the corrosion inhibition of carbon steel in saline media by Lawsonia inermis, using open-circuit potentials, the potentiodynamic polarisation technique (PD), and electrochemical impedance spectroscopy (EIS). The results showed a decrease in the corrosion of the metal with an increase in the concentration of the inhibitor, thus revealing decreases in cathodic and anodic currents.

2. Material Preparation

2.1. Preparation of Materials

2.1.1. Preparation of Mild Steel Specimens

Mild steel specimens of dimensions 3 cm × 3 cm × 0.14 cm and percentage-by-weight compositions C (0.30), Mn (0.30), P (0.045), S (0.050), Cr (0.064), Cu (0.040), Ti (0.04), and Fe were prepared by mechanically cleaning with abrasive paper to remove any surface contaminants, degreased in acetone, and dried in warm air before preservation in a moisture-free desiccator.

2.1.2. Plant Extract Preparation

Lawsonia inermis extract was prepared from fresh leaves of the Lawsonia inermis plant. The leaves were thoroughly washed to remove any dirt or impurities and air-dried to preserve their bioactive constituents. The dried leaves were ground into a fine powder using a mortar and pestle, and the resulting powder was subjected to solvent extraction using 70% v/v of ethanol The powdered plant was soaked in 400 mL of ethanol for 48 h at a temperature of 30 °C to enable the solvent to penetrate and dissolve the bioactive compounds. There was occasional stirring and shaking to improve the extraction efficiency. This was followed by filtration using a qualitative filter paper to obtain an extract which volume was close to the original volume of ethanol used, accounting for a slight loss during filtration. The filtrate was evaporated under reduced pressure to reduce the volume of the solvent to 200 mL to obtain a concentrated extract. The concentrated extract was evaporated further to obtain a dry mass of 7 g. The concentrations of the plant extract used for the corrosion experiment were obtained by dissolving 3 g of the dry mass in 1 dm3 of water to obtain 3000 mg/dm3, 2 g in 1 dm3 of water to obtain 2000 mg/dm3, 1 g in 1 dm3 of water to obtain 1000 mg/dm3, 0.5 g in 1 dm3 of water to obtain 500 mg/dm3, and 0.1 g in 1 dm3 of water to obtain 100 mg/dm3 concentrations.

2.2. Weight-Loss Measurements

Mild steel coupons of dimensions 3 cm × 3 cm × 0.14 cm were polished, degreased in absolute ethanol, dried in warm air, and weighed using an analytical balance. They were then suspended in beakers, with glass hooks and rods inside beakers, where the test solutions were put. Experiments were carried out with the metal totally immersed in 300 mL of the test solution at 30 °C. The coupons were retrieved at 24 h intervals progressively for 120 h, cleaned by dipping into water, dried, and re-weighed. The difference between the initial weight and subsequent weight of the metal coupon gave the weight loss, which was recorded. The weight loss was taken as the difference between the weight of the coupons at a given time and their initial weights. The results reported are averages of triplicate determinations.
The corrosion rate and corrosion inhibition efficiency were calculated using the following formulae:
Corrosion   rate   ( mdd ) = W A × t
where W = weight loss due to corrosion (in milligrams); A = surface area exposed to corrosion (in square decimetres); T = time of exposure (in days), and
IE   ( 100 ) = ( W 1 W 2 ) / ( W 1 ) = 1 W 1 W 2   × 100
where W1 = the weight of the metal before exposure to the corrosive media; W2 = the weight of the metal after dipping into the corrosive solution; IE = inhibition efficiency.

2.3. Electrochemical Measurements

A three-electrode corrosion cell, having a PAR 263 potentiostat/galvanostat, was used for the electrochemical assessments. The metal specimens were encapsulated in epoxy resin such that one surface was left uncovered. The exposed area (1 cm2) was polished with emery papers of various grades (200–1000). A graphite rod and a saturated calomel electrode were used as counter and reference electrodes. Mild steel was used to fabricate the working electrode. The electrolyte solutions, which initiate the corrosion process, were chosen; in this case, they were 0.1 M and 1 M HCl acidic solutions. The potentiodynamic polarisation was initiated by applying a potential sweep at a potential range of ±250 mV and scan rate of 0.333 mV/s. The readings were taken after 0.5 h of immersion, with the solution unstirred at 30 °C. The potentiodynamic polarisation curve was recorded as the applied potential versus the current density. Measurements were taken in triplicates to ensure reproducibility.
IE (100) = ((icorrbl − icorrinh)/(icorrbl)) × 100
where icorrbl and icorrinh are the corrosion current densities in the absence and presence of the inhibitor.

2.4. Gas Chromatography–Mass Spectrometry (GC-MS) Measurements

GC-MS analysis was performed using a Clarus 600 GC-MS fitted with an HP-5MS capillary column (30 m × 0.25 m, coated with 5% phenyl methyl-siloxane; film thickness: 0.25 m). The mass spectrometer was operated at an electron impact of 70 eV with an ion source temperature of 2300 °C. The already-extracted Lawsonia inermis was injected into the GC system with the aid of an auto-sampler, taking care to ensure reproducibility. The GC program was started to initiate the separation of the compounds according to their retention times. The GC oven temperature was programmed from 50 to 250 °C at a rate of 5 °C/min. The injector and detector temperatures were maintained at 250 °C. Helium was used as the carrier gas at a flow rate of 1 mL/min. The separated compounds were monitored using the display on the GC system. The separated compounds were allowed to enter the MS system as soon as they were eluted from the GC column, whereby the MS ionised the compounds and generated the mass spectra according to the molecular weights and fragmentation patterns. The results were interpreted to give insight into the compounds by matching them with already-existing literature data, which was achieved with a software tool to input the experimental spectra and search for a match with already-existing mass spectra in the database. The compounds in the database that had the highest scores were considered as being the most likely matches. Other parameters, like the retention times obtained from the GC-MS analysis, can equally be used to confirm the matches.

2.5. SEM (Scanning Electron Microscopy)

Surface investigations of the metals were undertaken by SEM examinations of the electrode surfaces exposed to different test solutions, using an XL-30FEG scanning electron microscope. Mild steel specimens of dimensions 15 mm × 15 mm × 2 mm were cleaned as previously described and immersed for 24 h in the blank solutions (hydrochloric acid) with or without the inhibitors under study at 30 °C. The metal samples were washed with distilled water and dried in warm air before being subjected to surface examination. The already-prepared samples were mounted on the SEM sample holder with the aid of conducting adhesives. The prepared sample holder was loaded into the SEM chamber, whereby the electron beam was focused on the sample for image capture to examine its surface morphology. The SEM images obtained were analysed to identify surface structural defects, and the results were documented for further analysis.

3. Results and Discussion

3.1. Gravimetric Results

In Figure 1, the corrosion rate reduced significantly as the concentration increased from 100 mg/dm3 to 3000 mg/dm3, that is, from 8.4259 to 0.0576 for 0.1 M HCl and from 0.034 mdd to 0.0121 mdd in 1 M HCl, respectively. At the higher concentrations of 2000 mg/dm3 and 3000 mg/L, the corrosion rates approach zero, thus indicating good corrosion inhibition of mild steel at the studied concentrations. The significant reduction in the corrosion rate observed with increasing inhibitor concentrations (from 100 mg/dm3 to 3000 mg/dm3) for mild steel exposed to 0.1 M and 1 M HCl solutions highlights the effectiveness of the corrosion inhibitor in mitigating corrosion. This phenomenon can be attributed to the adsorption of the inhibitor molecules (for example, hexadecanoic acid-2,3-dihydroxy ester and hexadecanoic ethyl ester) on the metal surface, forming a protective barrier that inhibits the corrosion process. In acidic environments, like hydrochloric acid (HCl), mild steel is susceptible to rapid corrosion due to the dissolution of iron ions (Fe2+) in the solution. However, when corrosion inhibitors are introduced to the solution, they interact with the metal surface through physical or chemical adsorption, hindering the electrochemical reactions responsible for corrosion. The mechanism of the adsorption of the Lawsonia inermis extract is an interplay between physisorption and chemisorption. At the initial time, the LI extract first adheres physically to the surface of the mild steel through weak van der Waals forces. However, as the contact continues over time, some of the molecules may chemisorb by the formation of strong covalent or ionic bonds between the iron atoms in mild steel and hydroxyl and carbonyl groups in the identified compounds. The inhibitor molecules may block active sites on the metal surface, preventing aggressive species, like H+ ions, from accessing and reacting with the metal. The observed corrosion rates of 8.4259 mdd reducing to 0.0576 mdd for 0.1 M HCl and from 0.034 mdd to 0.0121 mdd for 1 M HCl at higher inhibitor concentrations (2000 mg/dm3 and 3000 mg/dm3), approaching zero, suggest that the corrosion inhibition efficiency is quite high. A corrosion rate approaching zero indicates the effective protection of the mild steel, as the inhibitor is able to significantly reduce the rate of metal loss due to corrosion. Figure 1 shows that the weight loss of the metal coupons is lowered in the presence of Lawsonia inermis when compared with the blank solution. It is shown that the loss in the weight of the coupons reduces at all the various concentrations of the inhibitor, indicating good corrosion inhibition performance. Alaneme, Olusegun, and Alo (2016) also observed a similar trend of behaviour when they studied the corrosion inhibitory effect of elephant grass (Pennisetum purpureum) extract on mild steel corrosion in a 1 M HCl solution by employing the mass loss technique. The results of their work showed that mass loss and corrosion rates decreased as the concentration of the extract was raised. The work of Njoku, Chidiebere, Oguzie, Adindu, and Momoh-yahaya [14] confirmed a similar behaviour, as it was observed that the extract of Terminalia chebula inhibited the corrosion of mild steel in acidic media. The work of Oguzie [15] also found Hibiscus sabdariffa extract to slow the corrosion of mild steel in 2 M hydrochloric and 1 M sulphuric acidic solutions.
In Figure 2, there was no significant weight loss over time for the different concentrations of the Lawsonia inermis, thus signifying the stability of the inhibitor with respect to time under the studied environmental conditions. This shows that the inhibitor is stable under the studied conditions with respect to time. This is quite appreciable and critical in assessing the reliability and performance of corrosion inhibitors to protect metals during prolonged immersion times in aggressive environments. The extract of the Lawsonia inermis functions by forming a protective film across the metal surface, thus preventing the electrochemical process responsible for corrosion from taking place. With reference to one of the identified compounds in Lawsonia inermis, hexadecanoic acid-2,3-dihydroxy ester, the following interactions play out. It might involve breaking the ester bond according to the following equation:
C16H31COOCH2CH(OH)CH3 → C16H31COOH + CH2CH(OH)CH3
The dissociated product, C16H31COOH, interacts with the mild steel’s surface via the carboxyl and hydroxyl groups present to form covalent bonds with the iron in the mild steel according to the following equation:
Fe(s) + C16H31COOH → Fe(C16H31COOH)ads + H2
This adsorbed layer, according to the equation above, forms a protective layer on the organic molecule on the mild steel’s surface and mitigates the corrosion process.
The variation in the inhibition efficiency with the concentration of the Lawsonia inermis for mild steel coupons in 0.1 M and 1 M HCl solutions is shown in Figure 3. The results demonstrate that the inhibition efficiency increases with a rise in the concentration of the LI extract. At 1000 mg/dm3, the inhibition efficiency values obtained for LI were relatively poor. However, by increasing the concentration to 2000 mg/dm3 and 3000 mg/dm3, the inhibition efficiency improved significantly to 93.90% and 97.30%, respectively. This study provides valuable insights into the effectiveness of Lawsonia inermis as a green corrosion inhibitor for mild steel corrosion in acidic solutions. Increasing the concentration of the LI extract to 500 mg/dm3 in 1 M HCl notably increased the inhibition efficiency to 95.5%. Further increasing the concentration to 3000 mg/dm3 did not show a significant increase in the inhibition efficiency, indicating that 500 mg/L is the optimal concentration for achieving a high inhibition efficiency. At the highest inhibitor concentrations of 2000–3000 mg/dm3, the inhibition efficiencies were notably high, ranging from 97.2% to 97.8%. These results highlight the effectiveness of the Lawsonia inermis as an excellent inhibitor of mild steel corrosion under the studied conditions. These insights underscore the importance for optimising the inhibitor concentration for highly effective corrosion inhibition, with Lawsonia inermis proving to be particularly useful in mitigating corrosion in industrial applications and practical scenarios.
The work of Ihebrodike, Anthony, Kelechukwu, and Gregory [16] showed a similar trend of behaviour, as the inhibition efficiency of the Solanum melongena leaf extract increased with the rise in the concentration of the extract. Akawu et al. [17] also observed a similar behaviour, as Caesalpinia coriaria pod extract acted as an effective inhibitor of the corrosion of mild steel in acidic media. When the concentration of the extract was increased to 500 mg/dm3, the inhibition efficiency increased to 95.5% of that of LI. Increasing the concentration to 3000 mg/dm3 did not show any significant increase in the value of the inhibition efficiency, showing that 500 mg/dm3 is the optimal concentration. Dananjaya, Edussuriya, and Dissanayake [18], having studied the inhibition action of lawsone (the active ingredient of Lawsonia inermis) on the dissolution of mild steel in hydrochloric acid, obtained an inhibition efficiency of 93.14% at a 500 mg/dm3 concentration of the inhibitor in 1 M HCl. The present study gives a better inhibition efficiency for the same plant at the studied concentration.

3.2. Electrochemical Measurements

Electrochemical measurements are useful to identify the effects of corrosion inhibitors on anodic and cathodic reactions [19] and, at the same time, monitor the progress of these reactions.

Potentiodynamic Polarisation (Pdp) Results for Mild Steel

The Pdp graphs for the mild steel in 0.1 M and 1.0 M HCl with or without LI at 30 °C are as seen in Figure 4 below. The electrochemical variables, like the corrosion potential (Ecorr) and corrosion current densities (Icorr), are presented in Table 1.
The results depicted in Figure 4 show that there was a significant shift in (Ecorr) towards more positive (anodic) values when the LI extract was added to the 0.1 M and 1 M HCl solutions. The two arms of these curves represent the cathodic and anodic arms. The upper curve represents the corrosion behaviour of the mild steel before the addition of the inhibitor. The lower curve represents the shift in the cathodic and anodic arms with the addition of the inhibitor. This shift suggests that the electrochemical behaviour of the mild steel’s surface was modified when the surface was in contact with the LI extract, thus suggesting a change in its corrosion kinetics and mechanism. This behaviour typically shows an increased tendency for the metal to resist corrosion, which is often associated with the adsorption of the inhibitor on the metal surface to block active sites for contact of the metal with the corrosive environment, thus reducing the rates of the anodic and cathodic half-reactions. In addition, the observed changes in the cathodic and anodic curves suggest the ability of the LI extract to affect multiple steps of the corrosion process. The cathodic half-reaction suggests that the reduction of the oxygen may have been slowed down with the addition of the LI plant extract, while the anodic reaction showed the suppression of the iron dissolution as a result of modifications in the surface chemistry. This indicates the ability of the LI extract to effectively alter the corrosion of metals in aggressive environments and preserve the integrity of the metal.
Table 1 presents the polarisation variables for the mild steel in the corrosive and inhibited solutions. The highest shifts in the Ecorr values for Lawsonia inermis (LI) are 38.5 mV in 1 M HCl and 1.7 mV in 0.1 M HCl. Moreover, there was a notable reduction in the corrosion current density (Icorr) by 156.4 μA/cm2 in the presence of the LI in 1 M HCl; the reduction was 129.9 μA/cm2 in 0.1 M HCl. The shift in the Ecorr value and decrease in Icorr signify the effectiveness of the LI in suppressing the corrosion rate of the mild steel under acidic conditions. These changes indicate the potential of the LI to modify the electrochemical characteristics of the metal and fortify its corrosion resistance power in hydrochloric acid solutions. When the shift in Ecorr is below 85 mv, the inhibitor is classified as a mixed inhibitor; values above 85 mv could mean that the inhibitor functioned either as an anodic or a cathodic inhibitor. In Figure 4, the inhibitor (LI) produced a significant shift in Ecorr to more positive values (anodic) in both 0.1 M HCl and 1 M HCl and inhibited both the cathodic and anodic processes, thus showing the behaviour of a mixed-type inhibitor. A polarisation study by Nagiub et al. [19] on the effects of mono-, bis-, and tris-azo dyes on the dissolution of mild steel in acidic solutions showed that these compounds acted as mixed-type inhibitors. In addition, the work of Oguzie, Chidiebere, Oguzie, Adindu, and Momoh-yahaya [20] evaluated the effects of Terminalia chebula (TC) on the inhibition of mild steel corrosion in acidic media, using the potentiodynamic polarisation method, and revealed TC as a mixed-type inhibitor. These results are in agreement with those of the present study.

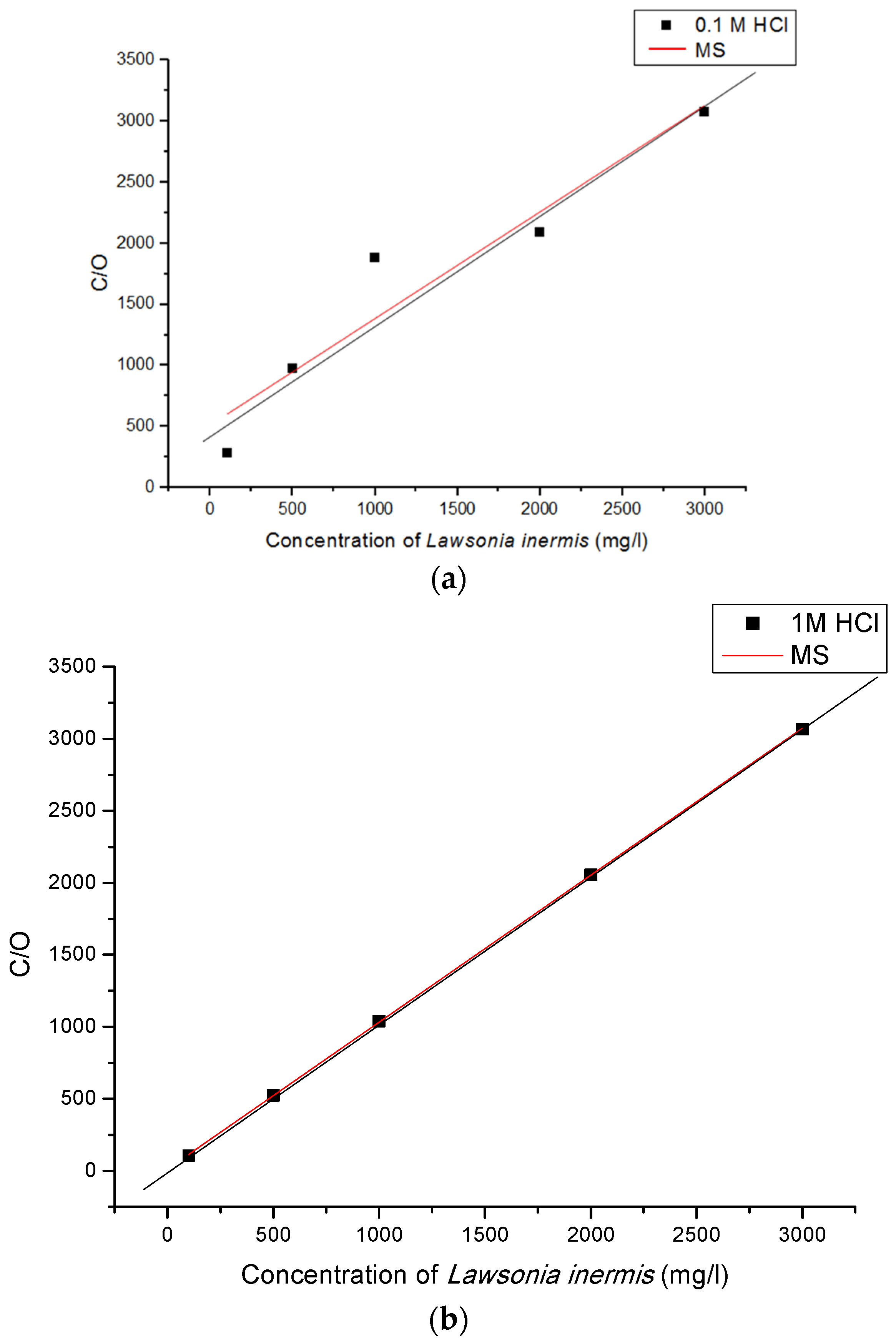
3.3. Adsorption Consideration of Lawsonia inermis Plant Extract

The adsorption behaviour of the Lawsonia inermis extract was studied by fitting the data obtained to Langmuir adsorption isotherms using the equation below:
c θ = n K a d s + nc
where C = the inhibitor’s concentration; θ = the degree of surface coverage; n = the number of moles of the inhibitor molecule; K a d s = the adsorption equilibrium constant.
Figure 5 is a plot of c θ versus c, and the linearity of the graph shows that the data are well fitted to the Langmuir adsorption isotherm, although the graph in Figure 5a did not completely fit the Langmuir adsorption model. This could be as a result of significant adsorption between adsorbed molecules or as a result of the heterogeneity of the metal’s surface or multi-layer adsorption on the metal’s surface, which the Langmuir model could not adequately account for.

Linear Regression Analysis

Standard free-energy values were determined from the values of the Kads and are presented in Table 2 below.
The equilibrium constant value of 0.002 and the R2 value of 0.8899 for 0.1 M HCl and 0.0819 and 0.9999 for 1 M HCl signify a perfect fit to the Langmuir adsorption isotherms, which shows strong adsorption. This shows that LI adsorbed appreciably on the metal’s surface. The negative value of −15.787 kJ/mol for ∆Gads suggests that the adsorption process of the Lawsonia inermis on mild steel surfaces in the 0.1 M HCl solution is an interplay between both physisorption and weak chemisorption mechanisms. Initially, there is the physical interaction of the components of the Lawsonia inermis plant extract (for example, hexadecanoic ethyl ester and hexadecanoic acid-2,3-dihydroxy ester) through van der Waals forces. However, with extended contact time, covalent bonding between the Fe component of the mild steel and the carboxyl or hydroxyl groups in the identified components takes place, leading to the chemisorption of the Lawsonia inermis components on the mild steel. More negative ∆Gads values above −20 kJ/mol depict a strong chemisorption interaction mechanism [21]. Negative values closer to zero indicate a physisorption mechanism [22]. The negative calculated standard free-energy value of −6.305 kJ/mol obtained for 1 M HCl suggests that the adsorption process was energetically favourable, depicts a physisorption mechanism, and underscores the potential of the LI to inhibit the corrosion of the mild steel in acidic media.

3.4. Scanning Electron Microscopy (SEM) Analysis

The surface structures of the products of the corrosion on mild steel surfaces in 0.1 M and 1 M HCl with or without inhibitors were studied, and the photographs are presented in figures, as shown below.
Figure 6a is the picture of the surface of the polished metal before dipping it into the acidic solution; it has a lustrous appearance. Figure 6b,c are pictures of the surface of the metal after it was dipped in 0.1 M and 1 M HCl, respectively; both showed a marred appearance, but the effect is greater in Figure 6c because of the higher concentration of the 1 M HCl over the 0.1 M HCl. Figure 6d,e are pictures of the metal in 0.1 M and 1 M HCl with LI; the pictures appear even, showing the ability of the introduced LI extract to slow the corrosion of the mild steel in the corrosive environment [23,24,25,26].

3.5. GC-MS Analysis Results for Lawsonia inermis

The GC-MS analysis of the extract is presented in Figure 7. It is very clear from the graph that Lawsonia inermis (LI) has eight prominent organic compounds, including n-hexadecanoic acid, hexadecanoic acid ethyl ester, oleic acid, octadecanoic acid, E-13 docosenoic acid, hexadecanoic acid-2,3-dihydroxy ester, hexadecanal, and squalene. These compounds collectively contribute to the corrosion inhibition of the mild steel by forming a stable, adherent, and hydrophobic protective film on the metal’s surface, thus significantly reducing the rate of the corrosion [27]. n-Hexadecanoic acid (palmitic acid) is a saturated fatty acid that forms a hydrophobic film on the steel’s surface, preventing direct contact with the corrosive medium. This hydrophobicity is crucial in minimising water penetration, which is necessary for the corrosion process [28]. Hexadecanoic acid ethyl ester (ethyl palmitate), an ester of palmitic acid, enhances the film’s formation by increasing its stability and effectiveness. The ester linkage provides an additional interaction with the metal’s surface, thereby reinforcing the barrier [28]. E-13 docosenoic acid is metabolised to oleic acid, an unsaturated fatty acid, creating a compact and adherent layer on the steel, which effectively blocks active corrosion sites and reduces metal dissolution. The presence of the double bond in the oleic acid introduces kinks to the molecular structure, allowing for it to pack tightly and form a robust barrier [29]. Octadecanoic acid (stearic acid), another saturated fatty acid, forms a protective film similar to that of palmitic acid, acting as a barrier against corrosive agents. The long alkyl chain in stearic acid contributes to a hydrophobic layer that further prevents moisture penetration [30]. Hexadecanoic acid-2,3-dihydroxy ester, an ester with polar groups, strongly adsorbs on the metal’s surface because of the presence of hydroxyl groups. These polar groups increase the binding affinity to the metal, creating a robust protective layer that reduces corrosion rates [31]. Hexadecanal, an aldehyde, forms complexes with the metal’s surface, contributing to the formation of a protective film that prevents oxidation and corrosion. The aldehyde group can interact with the metal, forming a stable complex that acts as a barrier [30,31]. The combined effect of these mechanisms results in a stable and effective protective layer that minimises the direct exposure of the steel to the corrosive hydrochloric acid environment, significantly reducing the rate of the corrosion [27].

4. Conclusions

The following conclusions were drawn from the thorough investigation of Lawsonia inermis as a corrosion inhibitor of mild steel under acidic conditions:
  • The extract of the Lawsonia inermis noticeably inhibited the corrosion of the mild steel in the HCl acidic environment, the effect of which increased with the increase in the concentration of the plant extract, thus presenting Lawsonia inermis as an effective corrosion inhibitor;
  • The Langmuir adsorption isothermal analysis reveals that the adsorption of Lawsonia inermis’s phytochemicals on the mild steel’s surface follows a combination of physisorption and weak chemisorption mechanisms. This indicates that the inhibitor molecules form a protective layer on the metal’s surface, thereby reducing the corrosion rate;
  • The potentiodynamic polarisation measurements demonstrate that the Lawsonia inermis extract alters both the cathodic and anodic reactions and shifts the corrosion potential to more positive values, leading to improved corrosion resistance of the mild steel;
  • This study highlights the importance for optimising the concentration of the Lawsonia inermis extract for the maximum corrosion inhibition efficiency. Concentrations ranging from 2000 mg/L to 3000 mg/L demonstrate excellent inhibition efficiencies, suggesting the effectiveness of the extract at higher concentrations;
  • In addition, the organic compounds identified in Lawsonia inermis played a role by forming cross-links to create a thin film layer over the steel’s surface, which inhibited the oxidation of the metal and reduced corrosion.

Author Contributions

Conceptualisation, G.O. and E.O.; methodology, P.O.; software, S.O.; validation, G.O., P.O. and C.E.E.; formal analysis, G.O.; investigation, G.O.; resources, S.O.; data curation, C.E.E.; writing—original draft preparation, E.O.; writing—review and editing, K.A.; visualisation, P.O.; supervision, E.O.; project administration, B.E.; funding acquisition, C.E.E. All authors have read and agreed to the published version of the manuscript.

Funding

This research received no external funding.

Institutional Review Board Statement

Not applicable.

Informed Consent Statement

Not applicable.

Data Availability Statement

The original contributions presented in the study are included in the article, further inquiries can be directed to the corresponding author.

Conflicts of Interest

The authors declare no conflicts of interest.

References

  1. Ghali, E.; Elboujdaini, M.; Omanovic, S. Corrosion Basics: An Introduction; Springer Science & Business Media: Berlin, Germany, 2010. [Google Scholar]
  2. Behpour, M.; Ghoreishi, S.M.; Khayatkashani, M.; Soltani, N.; Salavati-Niasari, M.; Hamadanian, M. Electrochemical and Theoretical Investigation on the Corrosion Inhibition of Mild Steel by Thiosalicylaldehyde Derivatives in Hydrochloric Acid Solution. Corros. Sci. 2008, 50, 2172–2181. [Google Scholar] [CrossRef]
  3. Hosseini, M.G.; Ebrahimi, M.; Aliofkhazraei, M. Corrosion Inhibition of Mild Steel in 1M HCl Solution by Henna Extract: A Comparative Study of the Inhibition Performance with Chemical Inhibitor. Arab. J. Sci. Eng. 2014, 39, 2927–2933. [Google Scholar]
  4. Prakash, C.V.; Udayabhanu, R.N.; Kamath, S. A Review on Lawsonia inermis Linn. (Henna). Int. J. Green Pharm. 2018, 12, S208–S215. [Google Scholar]
  5. Devi, N.; Karthiga, N.; Keerthana, R.; Umasankareswari, T.; Krishnaveni, A.; Singh, G.; Rajendran, S. Extracts of leaves as corrosion inhibitors—An overview and corrosion inhibition by an aqueous extract of henna leaves (Lawsonia inermis). Int. J. Corros. Scale Inhib. 2020, 9, 1169–1193. [Google Scholar] [CrossRef]
  6. Zulkifli, F.; Ali, N.; Yusof, M.S.M.; Khairul, W.M.; Rahamathullah, R.; Isa, M.I.N.; Nik, W.B.W. The Effect of Concentration of Lawsonia inermis as a Corrosion Inhibitor for Aluminum Alloy in Seawater. Adv. Phys. Chem. 2017, 2017, 8521623. [Google Scholar] [CrossRef]
  7. Selvi, T.M.; Nancy, K.; Florence, J.F. A study on the effect of pharmacologically active Lawsonia inermis linn. leaf extract on zinc electrodeposition on mild steel. Int. J. Res. Dev. Pharm. Life Sci. 2015, 2, 505–516. [Google Scholar]
  8. Singh, A.; Quraishi, M.A. Green corrosion inhibitors: An overview. In Handbook of Ecomaterials; Springer: Cham, Switzerland, 2018; pp. 1–38. [Google Scholar]
  9. Rahman, H.; Seleim, S.; Hafez, A.; Helmy, A. Study of electropolishing inhibition of steel using natural products as a green inhibitor in ortho-phosphoric acid. Green Chem. Lett. Rev. 2015, 8, 88–94. [Google Scholar] [CrossRef]
  10. El-Shamy, A.; El-Hadek, M.; Nassef, A.; El-Bindary, R. Optimization of the Influencing Variables on the Corrosion Property of Steel Alloy 4130 in 3.5 wt.% NaCl Solution. J. Chem. J. Chem. 2020, 2020, 9212491. [Google Scholar] [CrossRef]
  11. El-Bindary, R.; El-Shamy, A.; El-Hadek, M.; Nassef, A. Statistical Analysis of the Inhibition of Carbon Steel Corrosion in 3.5 wt.% NaCl Solution Using Lawsonia Extract. Port-Said Eng. Res. J. 2020, 25, 101–113. [Google Scholar] [CrossRef]
  12. Brixi, N.; Cherif, R.; Bezzar, A.; Sail, L.; Aït-Mokhtar, A. Effectiveness of henna leaves extract and its derivatives as green corrosion inhibitors of reinforcement steel exposed to chlorides. Eur. J. Environ. Civ. Eng. 2021, 26, 5912–5930. [Google Scholar] [CrossRef]
  13. Rani, O. Pengaruh Inhibitor Ekstrak Daun Inai (Lawsonia inermis L) Terhadap Laju Korosi Baja St37 dalam Larutan HCl 3%. J. Energy Mater. Instrum. Technol. 2021, 2, 104–109. [Google Scholar] [CrossRef]
  14. Njoku, V.O.; Oguzie, E.E.; Obi, C.; Ayuk, A.A. Baphianitidaleaves extract as a green corrosion inhibitor for the corrosion of mild steel in acidic media. Adv. Chem. 2014, 2014, 808456. [Google Scholar] [CrossRef]
  15. Oguzie, E.E. Corrosion inhibitive effect and adsorption properties of Hibiscus sabdariffa extract on mild steel in acidic media. Port. Electrochim. Acta 2008, 26, 303–314. [Google Scholar] [CrossRef]
  16. Ihebrodike, M.M.; Michael, C.N.; Kelechukwu, B.O.; Lebe, A.N.; Chidiebere, M.A.; Francis, C.E.; Oguzie, E.E. Experimental and theoriticalassessment of the inhibiting action of Aspiliaafricana extract on corrosion of aluminum alloy AA3003 in HCl. J. Mater. Sci. 2012, 47, 2559–2572. [Google Scholar]
  17. Akawu, I.; Ajibola, V.O.; Gimba, C.E.; Paul, E.D.; Adamu, I.K.; Gulumbe, N. Corrosion inhibition of Caesalpinia coriaria (DIVI-DIVI) pods extract on mild steel in 1m solutions of HCL AND H2SO4. J. Chem. Soc. Niger. 2017, 41. [Google Scholar]
  18. Dananjaya, S.H.; Edussariva, M.; Dissanayake, A.S. Inhibition action of Lawsone on the corrosion of mild steel in Acidic Media. Online J. Sci. Technol. 2012, 2, 32–36. [Google Scholar]
  19. Nagiub, A.M.; Mahross, M.H.; Khalil HF, Y.; Mahran BN, A.; Yehia, M.M.; El-Sabbah MM, B. Azo dye compounds as corrosion inhibitors for dissolution of mild steel in HCl acid. Port Electrochim. Acta 2013, 31, 119–139. [Google Scholar] [CrossRef]
  20. Oguzie, E.E.; Chidiebere, M.A.; Oguzie, K.L.; Adindu, C.B.; Momoh-yahaya, H. Biomass extracts for materials protection: Corrosion inhibition of mild steel in acidic media by Terminalia chebula. Chem. Eng. Commun. 2014, 201, 790–803. [Google Scholar] [CrossRef]
  21. Jones, A.; Brown, B. Corrosion Inhibition by Natural Extracts. J. Corros. Sci. 2020, 15, 150–165. [Google Scholar]
  22. Enyoh, C.E.; Wang, Q. Adsorption and toxicity characteristics of ciprofloxacin on differently prepared polyethylene terephthalate microplastics from both experimental and theoretical perspectives. J. Water Pro. Eng. 2023, 53, 103909. [Google Scholar] [CrossRef]
  23. Pamela, I.O.; Emmanuel, C.N.; Ichou, H.; Berdimurodov, E.; Dagdag, O.; Kenneth, O.A.; Blessing, C.A.; Aliev, N.; Berisha, A.; AlObaid, A. Chrysophyllum albidum extract as a new and green protective agent for metal. Can. Metall. Q. 2024, 1–16. [Google Scholar] [CrossRef]
  24. Chile, N.E.; Haldhar, R.; Godffrey, U.K.; Chijioke, O.C.; Umezuruike, E.A.; Ifeoma, O.P.; Oke, M.O.; Ichou, H.; Arrousse, N.; Kim, S.-C.; et al. Theoretical Study and Adsorption Behavior of Urea on MildSteel in Automotive Gas Oil (AGO) Medium. Lubricants 2022, 10, 157. [Google Scholar] [CrossRef]
  25. Okeke, P.I.; Emeghara, K.C.; Ibe Geogeline, C.; Oseghale, T.I.; Maduka, O.G.; Emereonye, R.U. Inhibitive Action and Adsorption Character of Water Extract of Solanum melongena for the Corrosion of Mild Steel in 0.5 M H2SO4. IOSR J. Appl. Chem. 2016, 9, 20–25, e-ISSN 2278-5736. [Google Scholar] [CrossRef]
  26. Okeke, P.I.; Maduka, O.G.; Emereonye, R.U.; Akalezi, C.O.; Mughele, K.; Achinihu, I.O.; Azubuike, N.E. Corrosion Inhibition Efficacy of Cninodosculus chayamansa Extract on Aluminum Metal in Acidic and Alkaline Media. Int. J. Sci. Technoledge 2015, 3, 227–234, ISSN 2321-919x. [Google Scholar]
  27. Barati Darband, G.; Aliofkhazraei, M.; Khorsand, S.; Sokhanvar, S.; Kaboli, A. Science and Engineering of Superhydrophobic Surfaces: Review of Corrosion Resistance, Chemical and Mechanical Stability. Arab. J. Chem. 2020, 13, 1763–1802. [Google Scholar] [CrossRef]
  28. Wang, P.; Zhang, D.; Qiu, R.; Wu, J. Super-hydrophobic metal-complex film fabricated electrochemically on copper as a barrier to corrosive medium. Corros. Sci. 2014, 83, 317–326. [Google Scholar] [CrossRef]
  29. Lundgren, S.M.; Persson, K.; Mueller, G.; Kronberg, B.; Clarke, J.; Chtaib, M.; Claesson, P.M. Unsaturated Fatty Acids in Alkane Solution: Adsorption to Steel Surfaces. Langmuir 2007, 23, 10598–10602. [Google Scholar] [CrossRef] [PubMed]
  30. Miralrio, A.; Espinoza Vázquez, A. Plant Extracts as Green Corrosion Inhibitors for Different Metal Surfaces and Corrosive Media: A Review. Processes 2020, 8, 942. [Google Scholar] [CrossRef]
  31. Akalezi, C.O.; Maduabuchi, A.C.; Enenebeaku, C.K.; Oguzie, E.E. Experimental and DFT evaluation of adsorption and inhibitive properties of Moringa oliefera extract on mild steel corrosion in acidic media. Arab. J. Chem. 2020, 13, 9270–9282. [Google Scholar] [CrossRef]
Figure 1. Weight loss versus concentration for mild steel coupons in (a) 0.1 M and (b) 1 M HCl with or without Lawsonia inermis at 30 °C.
Figure 1. Weight loss versus concentration for mild steel coupons in (a) 0.1 M and (b) 1 M HCl with or without Lawsonia inermis at 30 °C.
Applsci 14 06392 g001
Figure 2. Weight loss versus time for mild steel coupons in (a) 0.1 M and (b) 1 M HCl with or without Lawsonia inermis at 30 °C.
Figure 2. Weight loss versus time for mild steel coupons in (a) 0.1 M and (b) 1 M HCl with or without Lawsonia inermis at 30 °C.
Applsci 14 06392 g002
Figure 3. Inhibition efficiency versus concentration of Lawsonia inermis for mild steel corrosion in (a) 0.1 M and (b) 1 M HCl at 30 °C.
Figure 3. Inhibition efficiency versus concentration of Lawsonia inermis for mild steel corrosion in (a) 0.1 M and (b) 1 M HCl at 30 °C.
Applsci 14 06392 g003
Figure 4. Pdp graphs for mild steel in (a) 1 M and (b) 0.1 M HCl with or without LI.
Figure 4. Pdp graphs for mild steel in (a) 1 M and (b) 0.1 M HCl with or without LI.
Applsci 14 06392 g004
Figure 5. Langmuir isotherms for mild steel in different concentrations of Lawsonia inermis for mild steel corrosion in (a) 0.1 M and (b) 1 M HCl at 30 °C.
Figure 5. Langmuir isotherms for mild steel in different concentrations of Lawsonia inermis for mild steel corrosion in (a) 0.1 M and (b) 1 M HCl at 30 °C.
Applsci 14 06392 g005
Figure 6. (a) SEM picture of polished mild steel surface; (b,c) SEM photographs of mild steel surfaces dipped in 0.1 M and 1 M HCl; (d) SEM picture of mild steel dipped in 0.1 M HCl containing LI; (e) SEM picture of mild steel dipped in 1 M HCl containing LI.
Figure 6. (a) SEM picture of polished mild steel surface; (b,c) SEM photographs of mild steel surfaces dipped in 0.1 M and 1 M HCl; (d) SEM picture of mild steel dipped in 0.1 M HCl containing LI; (e) SEM picture of mild steel dipped in 1 M HCl containing LI.
Applsci 14 06392 g006
Figure 7. Chromatogram for Lawsonia inermis.
Figure 7. Chromatogram for Lawsonia inermis.
Applsci 14 06392 g007
Table 1. Potentiodynamic polarisation variables for mild steel corrosion in 1 M and 0.1 M HCl in the presence and absence of the inhibitor.
Table 1. Potentiodynamic polarisation variables for mild steel corrosion in 1 M and 0.1 M HCl in the presence and absence of the inhibitor.
SystemEcorrIcorrѲIE (%)
1 M HCl−500.4183
100 mg/dm3 LI−468.3113.50.38138.1
1000 mg/dm3 LI−461.926.60.85585.5
0.1 M HCl−496.2145.7
100 mg/dm3 LI−490.385.60.41241.2
1000 mg/dm3 LI−497.915.80.89289.2
Table 2. Adsorption isotherm parameters obtained from the corrosion data for mild steel coupons in 0.1 M and 1 M HCl containing Lawsonia inermis.
Table 2. Adsorption isotherm parameters obtained from the corrosion data for mild steel coupons in 0.1 M and 1 M HCl containing Lawsonia inermis.
IsothermInterceptSlopeKadsLn KadsR2 G a d s
( KJ m o l 1 )
Langmuir
Mild steel (0.1 M)
513.33070.87280.0026.2670.8899−15.787
Langmuir
Mild steel (1 M HCl)
12.20501.02030.08192.5030.9999−6.305
Disclaimer/Publisher’s Note: The statements, opinions and data contained in all publications are solely those of the individual author(s) and contributor(s) and not of MDPI and/or the editor(s). MDPI and/or the editor(s) disclaim responsibility for any injury to people or property resulting from any ideas, methods, instructions or products referred to in the content.

Share and Cite

MDPI and ACS Style

Okore, G.; Ejiogu, B.; Okeke, P.; Amanze, K.; Okore, S.; Oguzie, E.; Enyoh, C.E. Lawsonia inermis as an Active Corrosion Inhibitor for Mild Steel in Hydrochloric Acid. Appl. Sci. 2024, 14, 6392. https://doi.org/10.3390/app14156392

AMA Style

Okore G, Ejiogu B, Okeke P, Amanze K, Okore S, Oguzie E, Enyoh CE. Lawsonia inermis as an Active Corrosion Inhibitor for Mild Steel in Hydrochloric Acid. Applied Sciences. 2024; 14(15):6392. https://doi.org/10.3390/app14156392

Chicago/Turabian Style

Okore, Glory, Blessing Ejiogu, Pamela Okeke, Kenneth Amanze, Sunday Okore, Emeka Oguzie, and Christian Ebere Enyoh. 2024. "Lawsonia inermis as an Active Corrosion Inhibitor for Mild Steel in Hydrochloric Acid" Applied Sciences 14, no. 15: 6392. https://doi.org/10.3390/app14156392

APA Style

Okore, G., Ejiogu, B., Okeke, P., Amanze, K., Okore, S., Oguzie, E., & Enyoh, C. E. (2024). Lawsonia inermis as an Active Corrosion Inhibitor for Mild Steel in Hydrochloric Acid. Applied Sciences, 14(15), 6392. https://doi.org/10.3390/app14156392

Note that from the first issue of 2016, this journal uses article numbers instead of page numbers. See further details here.

Article Metrics

Back to TopTop