Next Article in Journal
Interleaved Modified SEPIC Converters with Soft Switching and High Power Factor for LED Lighting Appliance
Next Article in Special Issue
Improved Detection of Multi-Class Bad Traffic Signs Using Ensemble and Test Time Augmentation Based on Yolov5 Models
Previous Article in Journal
Correction of Aero-Optical Effect with Blow–Suction Control for Hypersonic Vehicles
 
 
Font Type:
Arial Georgia Verdana
Font Size:
Aa Aa Aa
Line Spacing:
Column Width:
Background:
Article

Temperature Behavior in Headlights: A Comparative Analysis between Battery Electric Vehicles and Internal Combustion Engine Vehicles

1
Laboratory of Adaptive Lighting Systems and Visual Processing, Technical University of Darmstadt, Hochschulstr. 4a, 64289 Darmstadt, Germany
2
BMW Group, Knorrstr. 148, 80788 Munich, Germany
*
Authors to whom correspondence should be addressed.
Appl. Sci. 2024, 14(15), 6654; https://doi.org/10.3390/app14156654
Submission received: 4 July 2024 / Revised: 25 July 2024 / Accepted: 25 July 2024 / Published: 30 July 2024

Abstract

In the context of a global shift towards renewable energies and climate change mitigation, the market for electric vehicles has experienced a remarkable upswing, with battery electric vehicles (BEVs) leading this transformative wave. The appeal of BEVs lies in their ability to significantly curtail CO2 emissions by supplanting the traditional internal combustion engine (ICE) with an electric motor. This pivotal change in vehicular technology extends its influence to various subsystems, including automotive lighting. Headlights are particularly sensitive to the thermal environment they operate in, which can profoundly affect their functionality and durability. The removal of an ICE in BEVs typically results in a reduction in heat exposure to headlight components, prompting a potential reevaluation of their design. This article presents a comprehensive analysis of temperature distributions within headlight units, comparing BEVs and ICE vehicles. The study encompasses a robust dataset of nearly 30,000 vehicles from around the globe, taking into account the impact of ambient temperature on headlight operation. The investigation delineates the distinct thermal behaviors of the two vehicle categories and offers strategic recommendations for conceptual modifications of headlights in BEVs. These adjustments are aimed at enhancing headlight efficacy, prolonging lifespan, and furthering the sustainability objectives of electric mobility.

1. Introduction

The rising popularity of battery electric vehicles (BEVs) represents a significant shift in the automotive industry, with an increasing share of the overall vehicle market [1,2,3]. This trend is driven not only by heightened environmental awareness but also by technological advancements that make BEVs more appealing [3]. Thermal management is a crucial factor affecting the performance and efficiency of BEVs, which differs significantly from that of vehicles with internal combustion engines (ICEs) [4,5].
In ICE vehicles, the combustion process generates high temperatures, typically ranging from 1500 °C to 2000 °C inside the combustion chamber. These temperatures necessitate an effective cooling system to prevent engine overheating, particularly in conditions such as traffic jams, direct sunlight, or uphill travel [6]. These high temperatures affect components located in the engine compartment, such as the headlights. In contrast, the electric drive in BEVs is more efficient and generates significantly less heat, which presents distinct challenges. Precise control of battery temperatures is crucial, as both excessively high and low temperatures can adversely affect battery performance and service life [5]. Optimal operating temperatures for batteries typically range from 20 to 60 °C but can reach up to 90 °C under extreme conditions, particularly during fast charging or high load [5,7].
This is especially true for battery electric vehicles (BEVs), which require more complex thermal management due to varying thermal conditions. Situational cooling and heating of the battery is necessary to maintain optimal performance [5,7]. Effective thermal management is crucial for battery performance and other vehicle components connected to the engine compartment, such as headlights [8,9,10]. It is important to note that managing waste heat from the engine can also affect the headlights in internal combustion engine (ICE) vehicles. Temperature requirements vary depending on the lighting function [9,10,11]. For instance, daytime running lights are used during the day when ambient temperatures are higher, while dipped and main beam headlights are used more often at dusk or at night and therefore in colder environments [10]. However, it is essential to ensure that the light functions meet their legal values in all possible driving situations stated in the SAE—“Society of Automotive Engineers”—and the ECE—“Economic Commission for Europe” [12,13].
In a related study focusing on the effects of ambient temperature on automotive LED headlamps, researchers developed an effective test method to evaluate the impact of ambient temperature on the optical properties and power consumption of commercial LED lamps. The findings indicated that while the correlated color temperature, chromaticity coordinates, and angular light distribution remained relatively unaffected by changes in ambient temperature (Ta), both illuminance and power consumption were significantly impacted. Specifically, an increase in Ta from 30 °C to 60 °C resulted in a decrease in illuminance by 16.6% for low beams and 21.7% for high beams. Similarly, power consumption dropped by 21.4% and 22.2% for low and high beams, respectively. This reduction in luminous flux could potentially disqualify LED headlamps that were initially compliant with standards. The study attributed these declines to the increased resistance of peripheral electronic devices within the LED lamp at higher temperatures. To mitigate this effect, the study emphasizes the importance of heat dissipation in the design of automotive LED headlamps and suggests the potential use of current-stabilization devices to maintain consistent luminous output. This testing method allows for the assessment of LED lamp performance in higher ambient temperatures and helps identify areas for improvement in heat dissipation, enabling designers to make informed decisions about balancing performance and cost when selecting cooling solutions for LED headlamps [14].
The longevity and efficiency of vehicle components, particularly LEDs, are significantly impacted by thermal conditions, as noted by Arrhenius [15,16]. Standards such as AEC-Q101 and LV-124 dictate the thermal requirements and lifetime testing procedures for headlamps, which, in turn, influence the design of heat-dissipation solutions [9,17,18,19]. The AEC-Q101 standard, specifically tailored for automotive electronic components, outlines various stress tests to ensure the reliability of semiconductor devices under harsh automotive conditions. These tests include temperature cycling, high-temperature storage, and power cycling, all of which are designed to simulate the thermal stresses that components will experience over their lifetime. The AEC-Q101 standard ensures that LEDs used in headlamps can withstand these conditions without significant degradation in performance or longevity [18]. The LV-124 standard includes tests like the high-temperature endurance test and the temperature cycling endurance test), which verify the maximum temperatures that components can endure throughout a vehicle’s life, as simulated by various driving cycles. These standards ensure that headlamp components, including LEDs, can withstand the thermal stresses encountered during normal vehicle operation [20,21]. However, the thermal conditions experienced by headlamp components can differ significantly between battery electric vehicles (BEVs) and internal combustion engine (ICE) vehicles, presenting potential opportunities for optimized component design and testing procedures [17].
The research article by M. Manderscheid, M. Hamm, and M. Klaussner from Audi AG investigates the thermal load differences in the headlamp environment between battery electric vehicles (BEVs) and internal combustion engine vehicles (ICEVs). The study reveals that BEVs exhibit a lower thermal load on headlamps, especially at lower speeds typical of urban traffic. This is attributed to the absence of heat-generating engines in BEVs, which reduces the temperature stress on the headlamp systems. The findings suggest that BEVs may have an advantage over ICEVs in terms of thermal management for headlamps, and the data collected provide a basis for updating the thermal requirements for headlamp design in electric vehicles [22].
The aim of this paper is to gain a comprehensive understanding of the thermal management requirements in battery electric vehicles (BEVs) and compare them with those in internal combustion engine (ICE) vehicles to provide new opportunities for requirements and the design impact. The impact of these differences on headlamps was investigated. This analysis aims to improve the efficiency and performance of battery electric vehicles (BEVs) while promoting a sustainable and environmentally friendly future for the automotive industry.
This paper investigates the effects of ambient vehicle temperature and engine type on the temporal proportion within specific temperature classes and the overall temporal distribution (time share) across the entire temperature histogram of an LED headlight. This study is driven by the following research questions:
  • Is there an influence on the temporal proportion (TP) within different temperature classes (TCs) between the different engine types of battery electric vehicles (BEVs) and internal combustion engine (ICE) vehicles?
  • Is there an influence on the overall temporal proportion (TP) of different temperature classes (TCs) when considering the different engine types of BEVs and ICE vehicles separately?
  • Is there an influence on the temporal proportion (TP) within different temperature classes (TCs) across varying ambient vehicle temperatures (ATs)?
These issues are explored in more detail in the following Section 3.

2. Materials and Methods

This paper presents a detailed analysis of the thermal conditions in battery electric vehicles (BEVs) and internal combustion engine (ICE) vehicles and their impact on the temperatures inside the headlamp. To achieve this, a comprehensive amount of field data from various vehicle models was examined. Data from a total of 7086 BEVs and 19,708 ICEs was analyzed, selecting only those derivatives that are available as both BEVs and ICEs. This allowed for a direct comparison of the thermal conditions under otherwise similar circumstances regarding the headlight concept. All vehicles consisted of LED headlights.

2.1. Data Collection

The data collection involved using temperature sensors (NTCs) that are standardly installed in the headlights of vehicles. The sensors were located on the circuit board of each light function, close to the LED. It is therefore important to note that the temperature results are not the air temperatures inside the headlamp. These sensors continuously recorded the temperature while the vehicle was in operation, providing a comprehensive picture of the thermal load under different operating conditions. The temperature conditions of the headlights were recorded and transmitted as a temperature histogram with a total of six temperature classes, which shows the duration in s of the activity of the temperature sensor in each of the six temperature ranges (see Table 1).
As precise information on the exact ambient driving temperatures for each individual vehicle was not available, the countries were categorized into specific ambient temperature ranges. This categorization was based on the average annual temperature of the country using the library Meteostat [23]. The corresponding categorization of average annual temperatures is as follows.
The data analysis enabled the calculation of the time proportion that each temperature sensor in the vehicle headlights spent in a specific temperature range. These temperature classes were expressed as a percentage and used to create temperature histograms. The histograms provide a visual representation of the temperature data distribution and symmetry, enabling the identification and quantification of the highest and maximum proportion of time in a particular temperature range.
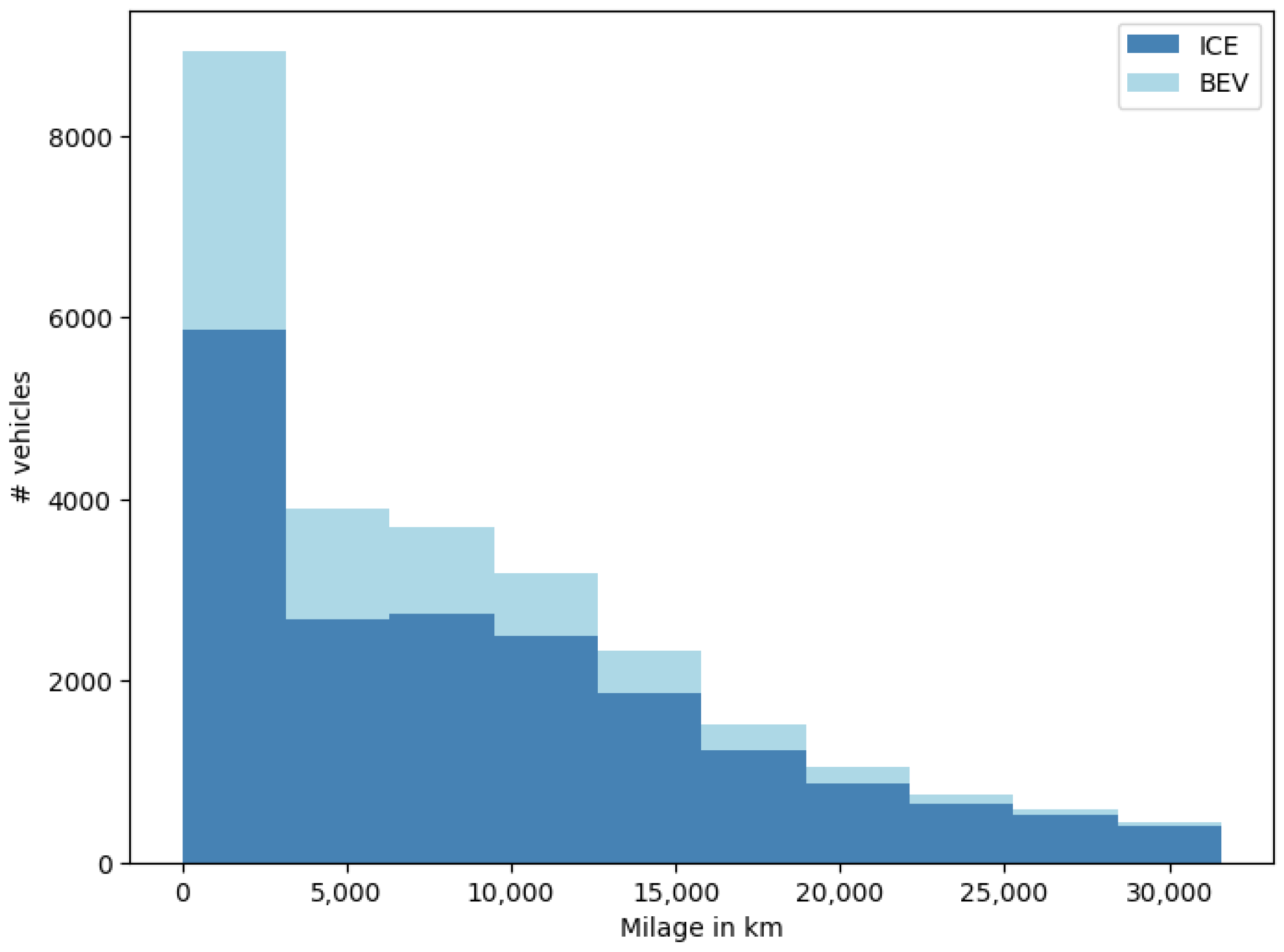
A one-year period was selected to gather vehicle data. To ensure a focused and relevant dataset, this study employed a rigorous selection criterion by limiting the vehicle mileage to the 25th and 75th quantiles. This approach allowed for a more accurate representation of typical vehicle usage and the associated thermal conditions of the headlights. The BEV vehicles travelled an average of 6123 km and the ICE vehicles 8927 km during this time, as shown in Figure 1. The period included both summer and winter conditions, providing a comprehensive view of the thermal load throughout the year.
The data were divided into ambient temperature ranges, with a total of 8053 vehicles analyzed at temperatures under 15 °C, 8716 at 15–20 °C, 6020 at 20–25 °C, 1806 at 20–25 °C, and 1799 vehicles at ambient temperatures above 30 °C (see Figure 2).

2.2. Methods

This study was designed to dissect the impact of vehicle engine types and ambient temperature variances on the operational time distribution through a methodical statistical approach. At the core of the analysis lies the application of Analysis of Variance (ANOVA), specifically a mixed ANOVA, which is an advanced statistical method used to examine the effects and interactions between factors of different natures—between-subject and within-subject. The between-subject factor in this investigation was the engine type, with two levels: battery electric vehicles (BEVs) and internal combustion engine (ICE) vehicles. The within-subject factor, temperature class (TC), was delineated into six levels (1–6), representing the operational thermal states encountered. Furthermore, ambient temperature class (AT), with five levels (1–5), was incorporated as another between-subject factor, capturing the range of environmental temperatures to which the vehicles were exposed. The analysis involved 158,304 measurements from 29,516 vehicles, providing a substantial dataset for significant statistical inference [24]. The implementation of a mixed ANOVA framework permitted a detailed examination of the main effects of each factor, as well as the interaction effects between engine type, temperature class, and ambient temperature class on the time share.
Supplementing the mixed ANOVA, a mixed linear model (MLM) was utilized to delve into the nuances of the dataset. The MLM is particularly suitable for handling complex data structures and accommodating repeated measures. The MLM analysis was focused on assessing the influence of two fixed factors—the vehicle engine type (BEV and ICE) and ambient temperature class (AT)—and their interactions on the proportion of time (time share) spent within each temperature class (TC). Incorporating the MLM into the methodological framework facilitated control over random effects and the correlation between repeated measures, thus enhancing the precision and reliability of the conclusions regarding time share across the varying temperature classes [24].

3. Results

In order to obtain a meaningful and comparable overview of the temperature histogram distribution of the BEV and ICE vehicles, the time in seconds within a temperature class for all vehicles was converted into a percentage time share, and this was averaged for all vehicles in each temperature class. This was conducted so that the sum of the time shares of the six temperature classes resulted in a share of 100%.
In the first analysis, the overall temperature histograms for all vehicles are described numerically and then analyzed statistically.
The general analysis of the temperature histograms, averaged over all vehicles and ambient temperatures, revealed a difference in the distribution of the time shares when comparing BEVs with ICEs (see Figure 3). When examining the distribution for BEVs, it is evident that the largest proportion of time, with 58.59%, was in TC2, which corresponds to temperatures below 40 °C. The second highest proportion of time was in TC3, with 36.2%. Temperatures above 110 °C were not observed at all. Overall, the results demonstrate that temperatures between 0 °C and 90 °C occurred 99.72% of the time. A further analysis of the distribution of ICE vehicles revealed that the majority of the time was spent in TC3, with a proportion of 52.17%. TC2 accounted for 38.83% of the time for the ICE vehicles. The proportion of time spent below 90 °C was 99%. A comparison of BEVs and ICEs revealed that ICE vehicles spent a greater proportion of their time in higher-TC conditions.

3.1. Descriptive Results

To gain a more precise understanding of the development of the temperatures in the headlamps in the different vehicle ambient temperatures, Figure 4, Figure 5, Figure 6, Figure 7 and Figure 8 present the temperature histograms for five different ambient temperature classes, which have already been described in Section 2 (see Table 2). It is evident that no temperatures above 110 °C (TC6) occurred in any of the ambient temperature histograms.
The temperature histogram of AT 1 (see Figure 4) contains all the temperature histograms of the vehicles purchased in an order country with an average annual temperature below 15 °C. Upon examination of the histogram, it becomes evident that both BEVs and ICEs are represented in TC2 (0–40 °C) with a frequency greater than 50% of the time. TC3 represents the second most common distribution, with 29% (BEVs) and 43% (ICEs). Class 4 is represented approximately 3% of the time for both BEVs and ICEs. Both class 1 and class 5 are represented less than 1% of the time. It is obvious that the temperature distribution of BEV vehicles is lower than that of ICE vehicles.
The temperature histogram for AT2 (see Figure 5) includes all vehicles purchased in an order country with an average annual temperature between 15–20 °C. A visual inspection of the histogram reveals that BEVs are represented in TC2 (0–40 °C) more than 50% of the time. For ICE vehicles, the highest proportion of time is in TC3 (40–70 °C), at 53.43%. This indicates a shift in the percentage of time spent in classes 2 and 3 for BEVs and ICEs. TC4 contains more than 5% of the time for BEVs and ICEs and is therefore also at the same level as ambient TC1. The proportion of time spent in classes 1 and 5 is less than 1%. Still, the temperatures for BEVs are lower than for ICEs, but a shift towards higher temperatures is indicated for both engine types compared to AT1.
The temperature histogram for AT3 (see Figure 6) includes all vehicles purchased in an order country with an average annual temperature between 20–25 °C. Upon examination of the histogram, it becomes evident that for BEVs, more than 50% (58.22%) of the time is represented in TC2 (0–40 °C). In contrast, for ICE vehicles, the highest proportion of time is located in TC3 (40–70 °C), representing 52.44% of the total time. This indicates a shift in the percentage of time spent in TC2 and TC3 for BEVs and ICEs, similar to that observed in AT2. TC4 contains more than 5% of the total time for BEVs and ICEs and therefore also aligns with the level observed in AT1. Both AT1 and AT2 include less than 1% of the time. For the first time, the percentage of ICE vehicles above 1% is in TC5.
The temperature histogram for AT4 (see Figure 7) includes all vehicles purchased in an order country with an average annual temperature between 25 °C and 30 °C. Upon examination of the histogram, it becomes evident that the highest proportions of BEV and ICE vehicles, at 65% and 68.9%, respectively, are situated TC3 (40–70 °C). For ICE vehicles, the second highest proportion of time is in TC2 (0–40 °C), with 17.73%. For BEV vehicles, this figure is 29.34%. TC4 includes more than 5% of the time for BEVs and more than 10% for ICEs. TC1 contains less than 1% of the time. TC5 (90–110 °C) accounts for 1.48% of the time for ICE vehicles.
The temperature histogram for AT5 (Figure 8) includes all vehicles purchased in an order country with an average annual temperature above 30 °C. Upon examination of the histogram, it becomes evident that the highest proportion of BEV and ICE vehicles, at 62.63% and 61.98%, respectively, are situated within TC3 (40–70 °C), as in AT4. For ICE vehicles, the second highest proportion of time is located in TC4 (70–90 °C), with 21.83%. For BEV vehicles, the second highest proportion of time is in TC2, with 23.9%. Class 4 includes more than 10% of the time for BEV vehicles and more than 20% for ICE vehicles. TC1 includes less than 1% of the time. TC5 (90–110 °C) accounts for 3.68% of the time for ICE vehicles. Still, the temperatures for BEVs are located in a lower overall TC than for ICEs.
In general, a shift in the time shares towards higher temperature classes with higher ambient temperature classes can be recognized, both for BEVs and ICEs. In the first three ambient temperature classes, a clear difference can be recognized in the individual temperature classes between BEVs and ICEs. With higher ambient temperature classes, a levelling of the temporal proportions can be seen. This indicates that saturation occurred. A statistical analysis was carried out to analyze the differences between the various engine types, the temperature classes in the headlamps, and the ambient temperature classes.

3.2. Statistical Results

In order to ascertain the effects of engine type (between-subject factor, two levels: BEVs/ICEs), temperature class (within-subject factor, six levels: 1–6), ambient temperature class (between-subject factor, five levels: 1–5), and their interactions on the time share, a statistical analysis was conducted. The analysis was conducted using a mixed ANOVA, as mentioned in the Section 2.2 (see Table 3) [23]. The results demonstrated that the main effect of temperature class on the time share was statistically highly significant (F(5, 158,304) = 126.613, p < 0.001). This indicates that the temperature class exerted a significant influence on the time share. The effect size, as measured by the sum of squares, was the largest of all the factors analyzed, at over 73 million. The main effect of engine type and ambient temperature class and their interactions with other factors were not statistically significant, as the p-values were 1.0, which is well above the usual significance level of 0.05. The F-values of these effects were almost zero, indicating that there was negligible variance between the groups.
The interaction between engine type and temperature class was also statistically significant (F(5, 158,304) = 4017.635, p < 0.001), indicating that the effect of temperature class on the proportion of the specific vehicles varied by engine type. The interaction between temperature class and ambient temperature class was also statistically significant (F(20, 158,304) = 1412.962, p < 0.001), indicating that the effect of temperature class on the time fraction varied by ambient temperature class. The three-way interaction between engine type, temperature class. and ambient temperature class was also statistically significant (F(20, 158,304) = 124.518, p < 0.001), indicating a complex interaction between these three factors.
To summarize, temperature class has a strong influence on the time fraction, and this effect is modulated by engine type and ambient temperature class.
As part of the statistical analysis, a mixed linear model (MLM) was used to analyze the influence of two fixed factors—vehicle engine type (BEV and ICE) and ambient temperature class (AT)—and their interactions on the proportion of time (time share) spent in a particular temperature class (TC) [23].
The results of the model showed that the main effects of temperature class (TC) on the proportion of time were statistically highly significant. The coefficients for TC2 to 6 ranged from 66.809 to −0.209, with TC2 having the strongest effect with a coefficient of 66.809 and a z-value of 257.494 (p < 0.001). This indicates that TC2 had the greatest influence on the time share compared to the reference category (TC1).
The interaction between engine type and TC also showed significant effects. In particular, for ICE vehicles in TC2, the time share was significantly lower (coefficient −13.379, z = −39.041, p < 0.001), whereas in TC3, the time share was significantly higher for ICE vehicles (coefficient 13.092, z = 38.202, p < 0.001). These significant interaction effects show that the influence of TC on the time share varied according to engine type.
The three-way interaction between engine type, TC, and AT also showed significant effects. For example, the interaction between ICE vehicles, TC2, and AT2 was significantly negative (coefficient −4.128, z = −7.527, p < 0.001), indicating that the time share was lower for ICE vehicles in this particular combination of temperature conditions. In contrast, the interaction between ICE vehicles, TC3, and AT5 was significantly positive (coefficient 9.060, z = 10.090, p < 0.001), indicating a higher time share in this configuration.
The variance component for the groups (vehicles) was estimated to be 0.198, indicating some variability in the proportion of time spent in temperature classes between vehicles. However, it should be noted that the model did not converge, which may affect the interpretation of the results. The lack of convergence could be due to a number of reasons, such as poor model specification or complex data structures, and this indicates that further investigation is required to improve the model fit and stability of the estimates.
The mixed linear model results confirm the previously reported significant interaction effects and provide additional insight into the dynamics of these interactions. The statistical significance of the three-way interaction shows that the effect of a particular temperature class on the time share depends not only on the engine type but also on the ambient temperature class, indicating a complex dependence on multiple environmental and operational conditions. Overall, the application of the mixed linear model emphasizes the need to consider the interactions between different factors when optimizing the time fraction and generalizing the results to real-world application scenarios.

3.3. Regression Results

This section describes a method for analyzing the relationship between time and temperature within headlamp systems of vehicles. Due to the data being a time share value over a range of temperatures, a direct linear relationship cannot be determined. However, by assigning a mean temperature value to each temperature class, an assumed progression can be established. This allows for the calculation of a centroid, or center of gravity, for the time progression over temperature for each ambient temperature class. Assuming a normal distribution, the data points can be interpolated to create a continuous distribution curve. From this, the temperature centroid for each class can be compared, revealing that the centroid temperatures for ICE vehicles were consistently higher than those for BEVs, with a difference of about 5 °C, or 80% to 85%. The analysis also indicates that higher ambient temperatures resulted in higher headlamp temperatures, suggesting a linear relationship. This was confirmed by applying a linear fit to the data points, which produced a high level of fit with R2 values of 0.96 for BEVs and 0.99 for ICEs, indicating a strong correlation (see Figure 9).

4. Discussion

The core of this study was to explore the influence of different engine types on the thermal behavior of vehicle headlamps. Specifically, the research questions aimed to determine the following:
  • Whether the temporal proportion (TP) within different temperature classes (TCs) is affected by the type of engine, comparing battery electric vehicles (BEVs) with internal combustion engine (ICE) vehicles.
  • Whether the temporal proportion (TP) across different temperature classes (TCs) is influenced when BEVs and ICE vehicles are considered separately.
  • Whether ambient vehicle temperatures (ATs) affect the temporal proportion (TP) within different temperature classes (TCs).
Answering research questions 1 and 2, the analysis of the temperature distribution in the headlights of BEVs and ICE vehicles shows clear differences between the two types of vehicles. The results suggest that BEV vehicles tend to have lower temperatures in their headlights than ICE vehicles. This could be due to the different heat sources and cooling mechanisms of the two vehicle types. While BEVs do not have combustion engines and therefore produce less waste heat, ICE vehicles can reach higher temperatures in the engine compartment and near the lighting units due to the combustion engine and its waste heat. These variations were particularly evident during driving when the temperature data were collected.
Regarding research question 3, the statistical analysis using a mixed linear model (MLM) confirmed the significant differences between the temperature classes and showed that the interaction between engine type and ambient temperature class has a significant influence on the temperature distribution. The results of the three-way interaction indicate that the ambient temperature class modulates the effect of engine type on headlamp temperature. This may indicate that the thermal management strategies of the vehicles vary at different ambient temperatures and thus influence the temperature inside the headlamp.
However, the lack of convergence of the MLM indicates that the model may not have captured all the relevant variables or interactions. This could be due to the complexity of the data structure or insufficient model specification. Future studies should therefore improve the modelling and possibly consider additional factors that could influence the temperature in the headlamps.
The regression analysis shows that as the ambient temperature increases, so does the temperature inside the headlamp. This is consistent with the expectation that higher ambient temperatures lead to higher operating temperatures in the vehicle. The high R2 values for BEVs and ICEs indicate that the headlamp temperature is linearly related to the ambient temperature. This could be important for the development of cooling systems and thermal management strategies, as it indicates a predictable relationship between the ambient temperature and headlamp temperature. A comparison of the delta of the centroid temperature between the BEVs and the ICEs showed a temperature difference of around 5 °C.
Compared to other studies in this research field, the results of the current analysis align with the findings presented by Manderscheid, Hamm, and Klaussner from Audi AG, reinforcing the claim that battery electric vehicles (BEVs) tend to have a lower thermal load on headlamps when compared to internal combustion engine vehicles (ICEVs).
Overall, the results emphasize the importance of thermal management in vehicles, particularly with regard to the reliability and longevity of headlamp systems. The differences in the temperature distribution between BEVs and ICEs could also have an impact on headlamp design requirements. As BEVs tend to operate at lower temperatures, the materials and components used in BEV headlamps could potentially be specified differently to those used in ICE vehicles. Requirements such as the temperature-life tests (high-temperature endurance test, temperature cycling test, etc.) specified in LV124 [17] could be adapted to the conditions prevailing in BEV vehicles. The lower temperatures can affect components in such a way that, for example, cooling systems (such as heat sinks) can be made smaller. This leads to lower weight, which in turn has a positive effect on the range of a BEV. The cost aspect should also not be forgotten, which can also be reduced by lowering the requirements for BEV vehicles.
It is important that vehicle manufacturers and suppliers take these findings into account to optimize the efficiency and safety of vehicle lighting systems. Adapting the design and materials to the specific thermal conditions of BEVs and ICEs can help improve the performance and reliability of headlamp systems while increasing energy efficiency and overall vehicle safety.
As the results also show that there are significant differences in the prevailing temperature distribution in headlamps within different ambient temperatures, the question arises as to whether region-specific requirements should be developed. However, the additional development effort and diversity must be considered, and the cost–benefit ratio must also be considered.
It is important to note that the available data are a general temperature histogram, and no precise conclusions can be drawn about the prevailing conditions of the individual vehicle in relation to speed (when exactly did the respective temperatures occur). This would have to be taken into account in subsequent analyses to draw conclusions about the requirements of individual lighting functions such as daytime running lights, low beams, and high beams.
It is important to remember that this study included different vehicles with different headlamp designs. It is therefore important to note that different designs create different thermal conditions in the headlamp and may therefore influence the results.

5. Conclusions

This study of the temperature distribution in the headlights of battery electric vehicles (BEVs) and internal combustion engine (ICE) vehicles stands as a pivotal research area with tangible impacts on the automotive industry’s strategies for headlamp design and thermal management systems. The scientific justification for undertaking this research is multifaceted; it is driven by the imperative to comprehend the distinct thermal behaviors of various vehicle types and thereby to improve the efficiency, safety, and reliability of headlamp systems. Importantly, this understanding facilitates the informed adjustment of headlight design concepts for BEVs, which are becoming increasingly prevalent in the automotive market. It was found that BEVs generally have lower headlight temperatures than ICEs due to the different thermal profiles and cooling requirements of the two vehicle types. These findings could help to adjust headlamp material and component specifications for BEVs compared to ICEs to optimize both the efficiency and safety of vehicle lighting systems.
The statistical analysis using a mixed linear model revealed significant differences between the temperature classes and the importance of the interaction between engine type and ambient temperature class. The three-way interaction suggests that ambient temperatures have a modulating effect on the relationship between engine type and headlamp temperature. However, the lack of convergence of the model indicates that further research is needed to gain a full understanding of the underlying dynamics. The regression analysis shows a linear relationship between ambient temperature and headlamp temperature, which is important for the development of cooling systems and thermal management strategies. The lower temperatures in BEVs could lead to a reduction in the thermal load requirements of headlamp components, which could have a positive impact on weight, range, and cost.
It is recommended that car manufacturers and suppliers use these findings to optimize the design requirements for headlamp systems in BEVs. This could lead to a reduction in costs and an improvement in energy efficiency and vehicle safety. In addition, the development of region-specific requirements could be considered, although the additional burden would need to be weighed against the benefits.
Finally, it should be noted that the available data provide a general picture of the temperature distribution and do not allow for specific conclusions to be drawn about individual vehicle conditions. Future studies should therefore consider specific vehicle operating conditions, such as speed and lighting functions, in order to define more precise requirements for headlamp systems and further improve overall vehicle performance.

Author Contributions

Conceptualization, T.S. and T.Q.K.; methodology, T.S., A.B. and T.Q.K.; software, T.S.; validation, T.S.; formal analysis, T.S.; investigation, T.S.; resources, T.S.; data curation, T.S.; writing—original draft preparation, T.S.; writing—review and editing, T.S., A.B., T.Q.K. and S.W.; visualization, T.S.; supervision, T.Q.K., A.B. and S.W.; project administration, T.Q.K.; funding acquisition, T.S. and T.Q.K. All authors have read and agreed to the published version of the manuscript.

Funding

This research received no external funding.

Institutional Review Board Statement

Not applicable.

Informed Consent Statement

Not applicable.

Data Availability Statement

All data analyzed to support the findings of the present study are included in this article. The raw data can be obtained from the authors upon reasonable request.

Conflicts of Interest

Authors Alexander Buck and Stefan Weber were employed by the company BMW Group. The remaining authors declare that the research was conducted in the absence of any commercial or financial relationships that could be construed as a potential conflict of interest.

References

  1. Elektromobilität in Deutschland. Available online: https://de.statista.com/themen/608/elektromobilitaet/#topicOverview (accessed on 29 March 2024).
  2. BMW Group Setzt BEV-Wachstumskurs Fort: Meilenstein von 1 Million Vollelektrischen Fahrzeugen Erreicht. Available online: https://www.press.bmwgroup.com/deutschland/article/detail/T0441021DE/bmw-group-setzt-bev-wachstumskurs-fort:-meilenstein-von-1-million-vollelektrischen-fahrzeugen-erreicht?language=de (accessed on 29 April 2024).
  3. Die Elektromobilität Weltweit auf dem Vormarsch. Available online: https://www.vda.de/de/themen/elektromobilitaet/marktentwicklung-europa-international (accessed on 29 April 2024).
  4. Thermomanagement für Elektrofahrzeuge. Available online: https://www.mein-autolexikon.de/thermomanagement-fuer-elektrofahrzeuge.html (accessed on 24 March 2024).
  5. Olabi, A.G.; Moghrabi, H.M.; Kadhim Adhari, O.H.; Sayed, E.T.; Yousef, B.A.A.; Salameh, T.; Kamil, M.; Abdelkareem, M.A. Battery Thermal Management Systems: Recent Progress and Challenges. Int. J. Thermofluids 2022, 15, 100171. [Google Scholar] [CrossRef]
  6. Sahin, G.; Sinan, G.; Cetkin, E. A review on battery thermal management strategies in lithium-ion and post-lithium batteries for electric vehicles. J. Therm. Eng. 2023, 9, 1071–1092. [Google Scholar] [CrossRef]
  7. Tang, Z.; Fan, J.; Chen, W.; Li, Y.; Mohamed, G.; Li, R. Optimal thermal design of LED automotive headlamp with the response surface method. In Proceedings of the 2019 16th China International Forum on Solid State Lighting & 2019 International Forum on Wide Bandgap Semiconductors China (SSLChina: IFWS), Shenzhen, China, 25–27 November 2019; pp. 214–219. [Google Scholar] [CrossRef]
  8. Kamat, S.; Shinde, S.; Sali, N.V. Thermal Analysis of Automotive Headlamp. Int. Res. J. Eng. Technol. (IRJET) 2018, 5. [Google Scholar]
  9. Jung, C.; Zahner, T. Reliability Management of a Light-Emitting Diode for Automotive Applications. In Solid State Lighting Reliability Part 2, 2nd ed.; Springer International Publishing: Cham, Switzerland, 2018; Volume 2, pp. 549–572. [Google Scholar]
  10. Almehio, Y.; Chawa, M.; Taleb, R.; El Idrissi, H.; Merlin, C. AI Based Headlamp Energy Management Solution for reduced power consumption and optimized services. In Proceedings of the 15th International Symposium of Automotive Lighting: ISAL 2023, Darmstadt, Germany, 25–27 September 2023. [Google Scholar]
  11. Hartmann, P.; Walzek, M.; Gutmensch, M.; Miedler, S.; Riesenhuber, M. Headlamps as a sustainable system product. In Proceedings of the 14th International Symposium of Automotive Lighting: ISAL 2021, Darmstadt, Germany, 4–6 April 2022. [Google Scholar]
  12. Unece United Nations Economic Commission for Europe (ECE). R112; Unece United Nations Economic Commission for Europe (ECE): Geneva, Switzerland, 2014. [Google Scholar]
  13. Society of Automotive Engineers, INC. (SAE). SAE J 575; Society of Automotive Engineers, INC. (SAE): Warrendale, PA, USA, 2022. [Google Scholar]
  14. Chang, C.-H.; Teng, T.-P.; Teng, T.-C. Influence of Ambient Temperature on Optical Characteristics and Power Consumption of LED Lamp for Automotive Headlamp. Appl. Sci. 2022, 12, 11443. [Google Scholar] [CrossRef]
  15. Gulbransen, E.A. The Application of the Arrhenius Law to Reactions in Solids. J. Electrochem. Soc. 1953, 100, 411–414. [Google Scholar]
  16. Peelman, N.; Ragaert, P.; Ragaert, K.; De Meulenaer, B.; Devlieghere, F.; Cardon, L. Heat resistance of new biobased polymeric materials, focusing on starch, cellulose, PLA, and PHA. J. Appl. Polym. Sci. 2015, 132. [Google Scholar] [CrossRef]
  17. LV-124; Elektrische und elektronische Komponenten im Kraftfahrzeug bis 3,5 t—Anforderungen und Prüfungen. Verband der Automobilindustrie e.V.: Eisenach, Germany, 2015.
  18. AEC-Q101-Rev-D; Failure Mechanism Based Stress Test Qualification for Discrete Semiconductors in Automotive Applications. Automotive Electronics Council: New York, NY, USA, 2013.
  19. IEC 60810:2014; Lamps for Road Vehicles—Performance Requirements, in Chapter 8 “Requirements and Test Conditions for LED Packages”, Ed. 4.0. IEC Standardisation Body: London, UK, 2014.
  20. DIN EN 60068-2-2 VDE 0468-2-2:2008-05; Deutsches Institut für Normung e.V. (DIN): Umgebungseinflüsse—Teil 2-2: Prüfungen—Prüfung B: Trockenhitze. Beuth Verlag: Berlin, Germany, 2008.
  21. DIN EN 60068-2-14; Deutsches Institut für Normung e.V. (DIN): Umgebungseinflüsse—Teil 2-14: Prüfungen—Prüfung N: Temperaturwechsel. Beuth Verlag: Berlin, Germany, 2009.
  22. Manderscheid, M.; Hamm, M.; Klaussner, M. Battery Electric Vehicles (BEV) versus Internal Combustion Engine Vehicles (ICEV): First Real Time Investigations on Temperature Load Differences in Headlamp Environment. In Proceedings of the 14th International Symposium of Automotive Lighting: ISAL 2023, Darmstadt, Germany, 25–27 September 2023. [Google Scholar]
  23. Meteostat. “Meteostat Python Library”, Meteostat (2024). Available online: https://github.com/meteostat/meteostat-python (accessed on 11 May 2022).
  24. Montgomery, D.C. Design and Analysis of Experiments. In Design and Analysis of Experiments, 2nd ed.; Montgomery, D.C., Ed.; John Wiley & Sons: Hoboken, NJ, USA, 2017; Chapter 13; pp. 345–378. [Google Scholar]
Figure 1. Histogram of the mileage in km for all vehicles for the BEV and ICE engine types.
Figure 1. Histogram of the mileage in km for all vehicles for the BEV and ICE engine types.
Applsci 14 06654 g001
Figure 2. Number of BEV (light blue) and ICE (dark blue) vehicles analyzed in the different ambient temperature classes.
Figure 2. Number of BEV (light blue) and ICE (dark blue) vehicles analyzed in the different ambient temperature classes.
Applsci 14 06654 g002
Figure 3. Distribution of headlamp temperature histogram across all vehicles, all ambient temperature classes, and all light functions for BEVs (light blue) and ICEs (dark blue).
Figure 3. Distribution of headlamp temperature histogram across all vehicles, all ambient temperature classes, and all light functions for BEVs (light blue) and ICEs (dark blue).
Applsci 14 06654 g003
Figure 4. Distribution of the headlamp temperature histogram across all vehicles and all lighting functions for ambient temperature class 1 of <15 °C annual mean ambient temperature for BEVs (light blue) and ICEs (dark blue).
Figure 4. Distribution of the headlamp temperature histogram across all vehicles and all lighting functions for ambient temperature class 1 of <15 °C annual mean ambient temperature for BEVs (light blue) and ICEs (dark blue).
Applsci 14 06654 g004
Figure 5. Distribution of the headlamp temperature histogram across all vehicles and all lighting functions for ambient temperature class 2 of 15–20 °C annual mean ambient temperature for BEVs (light blue) and ICEs (dark blue).
Figure 5. Distribution of the headlamp temperature histogram across all vehicles and all lighting functions for ambient temperature class 2 of 15–20 °C annual mean ambient temperature for BEVs (light blue) and ICEs (dark blue).
Applsci 14 06654 g005
Figure 6. Distribution of the headlamp temperature histogram across all vehicles and all lighting functions for ambient temperature class 3 of 20–25 °C annual mean ambient temperature for BEVs (light blue) and ICEs (dark blue).
Figure 6. Distribution of the headlamp temperature histogram across all vehicles and all lighting functions for ambient temperature class 3 of 20–25 °C annual mean ambient temperature for BEVs (light blue) and ICEs (dark blue).
Applsci 14 06654 g006
Figure 7. Distribution of the headlamp temperature histogram across all vehicles and all lighting functions for ambient temperature class 4 of 25–30 °C annual mean ambient temperature for BEVs (light blue) and ICEs (dark blue).
Figure 7. Distribution of the headlamp temperature histogram across all vehicles and all lighting functions for ambient temperature class 4 of 25–30 °C annual mean ambient temperature for BEVs (light blue) and ICEs (dark blue).
Applsci 14 06654 g007
Figure 8. Distribution of the headlamp temperature histogram across all vehicles and all lighting functions for ambient temperature class 5 of >30 °C annual mean ambient temperature for BEVs (light blue) and ICEs (dark blue).
Figure 8. Distribution of the headlamp temperature histogram across all vehicles and all lighting functions for ambient temperature class 5 of >30 °C annual mean ambient temperature for BEVs (light blue) and ICEs (dark blue).
Applsci 14 06654 g008
Figure 9. The calculated temperature center of gravity in the headlamps of the respective ambient temperature classes for ICEs and BEVs along with their linear fit for BEVs (light blue) and ICEs (dark blue).
Figure 9. The calculated temperature center of gravity in the headlamps of the respective ambient temperature classes for ICEs and BEVs along with their linear fit for BEVs (light blue) and ICEs (dark blue).
Applsci 14 06654 g009
Table 1. Classification of the temperature class ranges for the evaluation of the sensors in the headlamps of the vehicles analyzed.
Table 1. Classification of the temperature class ranges for the evaluation of the sensors in the headlamps of the vehicles analyzed.
Temperature Class (Headlight)Temperature Range in °C
1>0
20–40
340–70
470–90
590–110
6>110
Table 2. Classification of average annual ambient temperature ranges in the countries based on order country of the vehicles.
Table 2. Classification of average annual ambient temperature ranges in the countries based on order country of the vehicles.
Ambient Temperature ClassTemperature Range in °C
1<15
215–20
320–25
425–30
5>30
Table 3. ANOVA results for the effects of engine type, temperature class, and ambient temperature class on the proportion of number of vehicles and their interaction (*).
Table 3. ANOVA results for the effects of engine type, temperature class, and ambient temperature class on the proportion of number of vehicles and their interaction (*).
Source of VariationSum of SquaresDegrees of Freedom (df)F-Valuep-Value
Engine type (C(Engine type))5.293 × 10−2214.575 × 10−241
Temperature class (C(TC))7.323 × 10751.266 × 105<0.001
Ambient temperature class (C(Ambient_Temp_Klasse))3.136 × 10−2246.778 × 10−251
Interaction: Engine type * Temperature class2.321 × 10654.017 × 103<0.001
Interaction: Engine type * Ambient temperature class1.936 × 10−2244.182 × 10−251
Interaction: Temperature class * Ambient temperature class3.269 × 106201.412 × 103<0.001
Three-way interaction: Engine type * Temperature class * Ambient temperature class2.881 × 105201.245 × 102<0.001
Disclaimer/Publisher’s Note: The statements, opinions and data contained in all publications are solely those of the individual author(s) and contributor(s) and not of MDPI and/or the editor(s). MDPI and/or the editor(s) disclaim responsibility for any injury to people or property resulting from any ideas, methods, instructions or products referred to in the content.

Share and Cite

MDPI and ACS Style

Schlürscheid, T.; Khanh, T.Q.; Buck, A.; Weber, S. Temperature Behavior in Headlights: A Comparative Analysis between Battery Electric Vehicles and Internal Combustion Engine Vehicles. Appl. Sci. 2024, 14, 6654. https://doi.org/10.3390/app14156654

AMA Style

Schlürscheid T, Khanh TQ, Buck A, Weber S. Temperature Behavior in Headlights: A Comparative Analysis between Battery Electric Vehicles and Internal Combustion Engine Vehicles. Applied Sciences. 2024; 14(15):6654. https://doi.org/10.3390/app14156654

Chicago/Turabian Style

Schlürscheid, Tabea, Tran Quoc Khanh, Alexander Buck, and Stefan Weber. 2024. "Temperature Behavior in Headlights: A Comparative Analysis between Battery Electric Vehicles and Internal Combustion Engine Vehicles" Applied Sciences 14, no. 15: 6654. https://doi.org/10.3390/app14156654

APA Style

Schlürscheid, T., Khanh, T. Q., Buck, A., & Weber, S. (2024). Temperature Behavior in Headlights: A Comparative Analysis between Battery Electric Vehicles and Internal Combustion Engine Vehicles. Applied Sciences, 14(15), 6654. https://doi.org/10.3390/app14156654

Note that from the first issue of 2016, this journal uses article numbers instead of page numbers. See further details here.

Article Metrics

Back to TopTop