You are currently viewing a new version of our website. To view the old version click .
Applied Sciences
  • Article
  • Open Access

1 August 2024

Multi-Objective Optimization of Pick-Up and Delivery Operations in Bike-Sharing Systems Using a Hybrid Genetic Algorithm

,
and
1
College of Business Administration, University of Seoul, Seoul 02504, Republic of Korea
2
College of Business Administration, Hongik University, Seoul 04066, Republic of Korea
3
College of IT Engineering, Hansung University, Seoul 02876, Republic of Korea
*
Author to whom correspondence should be addressed.
This article belongs to the Special Issue Optimization Model and Algorithms of Vehicle Scheduling

Abstract

In this study, we present a framework for optimizing pick-up and delivery operations in bike-sharing systems (BSSs), with particular emphasis on inventory rebalancing and vehicle routing to enhance operational efficiency. By employing a hybrid genetic algorithm (HGA), this study integrates sophisticated predictive models with multi-objective optimization techniques to strike a balance between operational efficiency and demand fulfillment in urban bike-share networks. For probabilistic demand forecasting, the DeepAR model is applied to a large number of bike stations clustered by geological proximity to enable stochastic inventory management. Our proposed HGA approach leverages both the genetic algorithm for generating feasible vehicle routes and mixed-integer programming for bike rebalancing to minimize travel distances while maintaining balanced inventory levels across all clustered stations. Through rigorous empirical evaluations, we demonstrate the effectiveness of our proposed methodology in improving service quality, thus making significant contributions to sustainable urban mobility. This study not only pushes the boundaries of theoretical knowledge in BSS logistics optimization but also offers managerial insights for practical implementation, particularly in densely populated urban settings.

1. Introduction

Bicycle-sharing systems (BSSs) offer an eco-friendly and accessible mode of transport, contributing to a decrease in greenhouse gas emissions, reduction in energy consumption, and enhancement of societal benefits in urban settings. BSSs improve the linkages between public transport facilities by providing an effective means of covering the initial and final segments of urban journeys, appealing to both residents and tourists. BSSs are divided into two main operational types: dock-based (DBSSs) and free-floating (FBSSs). DBSSs operate with designated stations to pick up and return bicycles, whereas FBSSs offer flexibility for users to access and leave bikes at undetermined locations, removing the need for fixed docking points (bike stations).
The singular directionality of BSS rentals necessitates a redistribution system, termed rebalancing (DeMaio []), to ensure the effective distribution of bicycles. Rebalancing strategies for DBSSs rely on predictive models to estimate the future demand at each station, whereas FBSSs’ rebalancing may operate based on regional restrictions. For instance, Seoul might see FBSS approaches leaning towards the employment of electric bikes or scooters in specific zones, reducing the need for rebalancing efforts. In this regional restriction setting, if someone attempts to move outside the area, the vehicle sounds an alarm and slows down. This study aims to craft vehicle routing algorithms for multiple management trucks to support the collection and redistribution of bicycles in line with predictive demand models for DBSSs. Leveraging precise demand forecasts, the process of reallocating bikes involves logistical intricacies, where vehicles transport bikes from saturated stations to those with a deficiency, ensuring route cost effectiveness all day, thereby seamlessly integrating inventory management with vehicle routing optimization principles.
For a precise and actionable forecasting method regarding demand distribution within DBSSs, we employ DeepAR (Salinas et al. [] and Lim et al. []), which is based on autoregressive recurrent networks. This method enhances the prediction accuracy of future bike-rental demand by analyzing historical usage patterns and integrating the inherent variability and uncertainties in user behavior. Following the establishment of forecasted demand distributions, we determine the ideal target bike inventory levels using a periodic inventory review model. This systematic approach regularly evaluates inventory requirements based on the anticipated demand, ensuring that stations are adequately stocked to meet user demand without oversupply.
To operationalize the set of target inventory levels, we devise a multi-objective optimization framework utilizing a mixed-integer programming (MIP) technique. This framework is designed to achieve the multi-objectives of minimizing the travel distance for bike redistribution vehicles and reducing the deviation between the targeted and actual final inventory levels. By identifying the most efficient redistribution routes, this approach effectively tackles the logistical hurdles of matching inventory with forecasted demand, thereby achieving an equilibrium between resource distribution efficiency and inventory precision.
It is worth noting that the multi-objective optimization approach based on MIP, as commonly implemented in commercial solvers such as CPLEX, may not always guarantee the identification of the optimal solution for every problem instance owing to the underlying algorithms. To address this issue, we propose a hybrid genetic algorithm (HGA) that combines the adaptive search efficiency of genetic algorithm with the precision of MIP. This approach leverages the exploratory capabilities of the GA while using MIP for solution refinement and alignment with the optimization criteria. Our hybrid strategy aims to enhance solution optimality by generating a superior Pareto frontier when tackling complex optimization tasks in the bike-rebalancing problem of BSSs. By exploring a diverse set of potential solutions and identifying nondominated solutions along the Pareto front, this methodology empowers decision makers to better understand the trade-offs between objectives and select solutions that align with their preferences and priorities in BSS rebalancing. Through the hybridization of GA and MIP, we strive to advance multi-objective optimization in BSSs and facilitate more informed decision-making processes.
This paper is organized into three main sections. Section 2 begins with a literature review and provides the research foundation. This is followed by a detailed discussion of the methodologies employed, including DeepAR models, target inventory determination, multi-objective optimization with MIP, and the HGA in Section 3. In Section 4, computational experiments are described, and the results are presented to evaluate the methods proposed in Section 3. Finally, we summarize the contributions of our research and mention the directions of future research in Section 5.

2. Literature Review

In this section, we review the relevant literature on inventory rebalancing for BSS. We first summarize studies related to probabilistic forecasting techniques and stochastic inventory management aimed at achieving the optimal service level. Then, we discuss the literature on both the Pick-up and Delivery Vehicle Routing Problem (PDVRP) and multi-objective optimization for BSSs, including heuristic approaches.

2.1. Demand Forecasting

Probabilistic forecasting is a crucial tool for making informed decisions in the face of demand uncertainty. It encompasses two main forecasting modeling approaches: parametric and nonparametric. Parametric models specify a probability distribution and estimate its parameters, whereas nonparametric models eschew distributional assumptions and instead build empirical distributions, often focusing on quantiles.
Snyder et al. [] develop a comprehensive framework for predicting the distributions and performance evaluation metrics by employing Poisson and negative binomial distributions for inventory management. Similarly, Salinas et al. [] concentrate on parametric methods utilizing Gaussian and negative binomial distributions to handle multi-series customer demand. Toubeau et al. [] propose an integrated approach that combines parametric and nonparametric models for probabilistic forecasting within electric power markets.
Recent advancements in forecasting methodologies have seen a growing emphasis on nonparametric probabilistic techniques. Notably, the works of Chapados et al. [], Bengio et al. [], Seeger et al. [], Wen et al. [], and Rangapuram et al. [] have underscored the robustness of these approaches, particularly in their ability to handle data that do not conform to predefined distributions. This flexibility renders nonparametric methods especially valuable in real-world forecasting scenarios. However, when data exhibit clear adherence to specific distributions or when strong theoretical foundations support particular distributional assumptions, parametric models can offer more nuanced insights into future uncertainties, thereby enhancing decision-making processes in areas such as inventory management.
In the context of bike-sharing systems, while demand forecasting has been extensively studied, there remains a notable gap in research focusing on probabilistic forecasting methods. Li et al. [] introduce a multi-categorical probabilistic approach for short-term demand prediction using Gaussian Mixture Models and Markov chain models, discretizing demand into categorical states. In contrast, our research employs continuous probabilistic forecasting with DeepAR, aiming to capture longer-term demand uncertainty across multiple stations for inventory optimization. Gast et al. [] proposed a queuing theory-based probabilistic forecasting approach and introduced new scoring rules for evaluating predictions. While their work centered on station-level forecasts, our study adopts a system-wide approach to simultaneously model demand patterns across multiple stations. More recently, Gammelli et al. [] developed a variational Poisson recurrent neural network for demand forecasting and inventory management, highlighting discrepancies between predictive and prescriptive metrics. Lim et al. [] utilized the DeepAR approach for probabilistic demand forecasting in bike-sharing systems, aiming to improve inventory rebalancing by accurately predicting station-level bike demand. Building upon these contributions, our research leverages DeepAR for system-wide probabilistic forecasting, specifically tailored to optimize rebalancing strategies across multiple stations, thus addressing the need for a comprehensive approach in bike-sharing demand prediction and inventory management.

2.2. Optimal Inventory Level

Inventory management under uncertain demand has been a focal point of extensive research, with particular emphasis on determining optimal service levels for periodic review policies. Zheng and Chen [] provided a comprehensive analysis of ( n Q , r ) policies, demonstrating their advantages over traditional ( s , S ) policies and establishing the convexity of average cost with respect to the reorder level. Building on this, Rao [] explored the relationships between periodic ( R , T ) and continuous ( Q , r ) review policies, highlighting the resilience of optimal costs in ( R , T ) models to variations in replenishment intervals.
In the context of bike-sharing systems, inventory management takes on unique challenges due to the dynamic nature of demand and the spatial distribution of stations. Raviv and Kolka [] introduced a User Dissatisfaction Function for single-station optimization, while Liu et al. [] extended this concept by combining ( s , S ) policies with network flow matching for a more holistic approach. Fu et al. developed [] a robust optimization model for bike allocation in new markets. Dynamic inventory management in bike-sharing systems was addressed by Swaszek et al. [], who applied Receding Horizon Control, and Datner et al. [], who used guided local search to set optimal inventory levels while considering station interactions. These approaches represent significant steps towards more adaptive and system-wide inventory management strategies in the complex environment of bike-sharing networks. Our study advances bike-sharing inventory management by using DeepAR forecasts to optimize inventory levels across multiple stations and time periods, integrating demand prediction with rebalancing decisions.

2.3. Pick-Up and Delivery Vehicle Routing Problem (PDVRP) and Multi-Objective Optimization

To meet the unbalanced target inventory level for each station, a set of capacitated vehicles travels to redistribute bikes while minimizing the total cost. This problem is classified as a one-commodity PDVRP that determines the optimal delivery or routes from one or several depots to a certain number of customers, subject to additional constraints. In the field of logistics and transportation networks, the PDVRP is a critical problem that has been widely studied in the literature; see [,] for a detailed review.
Using existing routing models in the literature, Raviv et al. [] presented two MIP formulations and developed several valid inequalities to strengthen these formulations. A numerical study demonstrated that their formulations are effective in large instances with two vehicles and about 100 stations. Schuijbroek et al. [] determined the service-level requirements at each station and obtained optimal vehicle routes for inventory rebalancing. Since finding an exact optimal solution is practically intractable, they provided an efficient heuristic algorithm for the clustered problem.
Most of the models for PDVRP in BSS are aimed at the optimization of a single objective, such as minimizing the total costs or the maximum distance. However, multi-objectives must be also considered in public sectors such as BSS. Vishkaei et al. [] developed a bi-objective optimization solution for public BSSs to minimize the mean number of rejected requests for renting bikes and free docks for returning bikes per satisfied demand. Cruz et al. [] dealt with a particular case of the static bike rebalancing problem (SBRP), in which only a single vehicle is available. Their objective was to find the lowest-cost route that meets the demand of all stations and does not violate the minimum (zero) and maximum (vehicle capacity) load limits along the tour.
There is a substantial amount of literature on the PDVRP of the bike rebalancing problem using meta-heuristic algorithms. Given the large number of bicycle stations involved, determining optimal travel paths for multiple management vehicles with an exact solution approach is not trivial. Additionally, the multi-objective nature of the problem has led to extensive use of meta-heuristics in the literature.
Florian et al. [] presented a method for rebalancing the loads of bike-sharing system (BSS) stations under conditions of dynamic behavior of the bike-rebalancing problem. Their study developed a two-step method to perform effective rebalancing operations in bike sharing. The core elements of their method are a fuzzy-logic-controlled genetic algorithm (GA) for bike station prioritization and an inference mechanism aimed at assigning stations and trucks. Their model aims to maximize efficiency, which is a type of productivity measured by the number of bikes transported per unit of travel distance. Hu et al. [] proposed a decomposition-based multi-objective evolutionary algorithm to address the bike-rebalancing problem. Their model seeks to minimize truck operation costs, which include travel-distance costs and other operational expenses, and to maximize overall satisfaction profit, a complex metric based on the necessary demand estimated from historical and predicted pick-up and return data.
In another domain of PDVRP using meta-heuristics, Dutta et al. [] applied a multi-objective genetic algorithm to address the open green vehicle routing problem. This problem involves delivering services or products from a single depot to customers across various geographical locations, aiming to minimize both travel distances and carbon emissions. The authors first used a k-means algorithm to cluster customer regions, which is similar to the prioritization of bike stations in the aforementioned studies. Subsequently, they employed two multi-objective genetic algorithms (Strength Pareto Evolutionary Algorithm [] and nondominated sorting genetic algorithm []) to optimize paths for each cluster. Their objectives were derived directly from the paths. In contrast, the problem considered in this paper involves various possible combinations of bike allocations along a given path, in addition to the distance derived from the path. Hence, this paper introduces a hybrid genetic algorithm to effectively tackle these complexities.
Despite the extensive literature on PDVRP in BSS and similar fields, there are still some areas that need further exploration. One challenge is the prioritized selection of bike stations to visit. It is reasonable to reduce the number of depots to visit, and this process is usually performed by prioritizing certain depots based on specific criteria. However, in a rebalancing problem setting, it may be more natural to pick up and deliver bikes along travel paths based on demand forecasting. Another deficiency is the choice of objectives. Minimizing travel distance is very common in the literature, and another frequently adopted objective is maximizing customer satisfaction. Usually, satisfaction is a resultant metric, which is not only difficult to define but also not easily estimated during the planning phase. Instead, it might be possible to set an optimal service level and, along with the delivery plan, use the gap between the target inventory and the actual inventory along the pick-up and delivery paths as a metric to evaluate the plan. Our approach aims to address these gaps to provide efficient and comprehensible bike-rebalancing operations.

3. Model and Methodologies

To address the bike-rebalancing problem, this study proposes a comprehensive approach that integrates demand forecasting, inventory management, and vehicle routing optimization. The effectiveness of a multi-objective MIP model for the PDVRP in bike rebalancing hinges on accurate target inventory levels, which in turn depend on reliable demand distribution predictions. To achieve this, we employ a sophisticated methodology that encompasses several key components.
This study’s methodology is structured in two principal phases. The first phase involves implementing a probabilistic demand-forecasting model based on DeepAR, employing an autoregressive recurrent neural network. This model examines intricate patterns within historical bike-sharing data to project future demand distributions. We then apply inventory management techniques to determine optimal inventory levels that sustain desired service standards, thereby establishing a solid foundation for subsequent optimization.
The second phase integrates these preparatory elements into a multi-objective framework for the PDVRP, tailored specifically to bike-rebalancing scenarios. To efficiently explore Pareto-optimal solutions in this complex optimization context, we propose a hybrid genetic algorithm (HGA) as an enhanced alternative to a conventional multi-objective MIP model. This HGA synergistically combines Genetic Algorithm (GA) principles with MIP solving techniques. Our integrated approach aims to deliver a robust and practical solution to the multi-faceted challenges inherent in bike-sharing system rebalancing.
The objectives of the PDVRP in this paper are to minimize travel distances and balance bike inventory levels across all bike station clusters. Inventory balance is measured by the sum of net deviations between the target and actual bike inventory after rebalancing. These objectives cannot be directly derived from a single solution consisting of vehicle travel sequences. While travel distance can be directly obtained, net deviations require solving an additional optimization problem. Achieving an optimal allocation plan without considering travel paths is ineffective in this problem structure. This structure does not allow the use of straightforward approaches such as simple genetic algorithms. Other complex methodologies, such as scalarization-based multi-objective optimization approaches like MOEA/D [] and collaborative neurodynamic approaches [], may not be appropriate for our problem. Furthermore, to the best of our knowledge, there is no standard exact solution method for this type of multi-objective problem.

3.1. Preparation Phase

3.1.1. DeepAR for Demand Forecasting

This study adopts the autoregressive recurrent network framework proposed by Lim et al. [], which draws inspiration from the DeepAR model. Their innovative approach to predicting demand distribution in bike-sharing systems builds upon the work of Salinas et al. [], utilizing an LSTM-based encoder–decoder structure. This framework is designed to capture the conditional distribution of future time series data based on historical patterns.
The model’s architecture formulates distribution as a product of likelihood values, with outputs generated through LSTM cells. This design effectively integrates past observations with previous function outputs, allowing the simultaneous addressing of conditioning and prediction challenges within a sequence-to-sequence paradigm. To enhance versatility, the framework accommodates both normal and Poisson distributions, deriving parameters through carefully selected functions: affine and softplus for the normal distribution, and a softplus activation function for the Poisson distribution to ensure positive mean values.
The training process optimizes the log-likelihood of time series data, incorporating data standardization to improve computational efficiency. This comprehensive approach enables the accurate estimation of demand distribution quantiles for future periods, providing a robust foundation for forecasting in complex bike-sharing scenarios. Lim et al. [] demonstrated the efficacy of this sophisticated method through comparative analysis with traditional non-neural network techniques, establishing its potential as an advanced tool for demand forecasting in bike-sharing systems. Given its proven effectiveness, we have chosen to implement this framework in our study to address the unique challenges of bike-sharing demand prediction.

3.1.2. Determination of Optimal Inventory Level

To manage inventory under uncertain demand, two primary replenishment strategies are used: the continuous review model, which restocks a fixed amount upon reaching a specific reorder point, and the periodic review model, which evaluates and adjusts inventory to a target level at regular intervals. Both strategies aim to maintain a desired service level ( S L ), which is defined as the probability of fulfilling the demand with on-hand inventory. In the continuous review model, the reorder point R is determined by the inverse cumulative demand distribution over lead time R = F L 1 ( S L ) , where F L 1 ( · ) is the inverse cumulative demand distribution function during lead time, L. For periodic review, the target inventory level M is adjusted for demand variability over the review period plus lead time M = F T + L 1 ( S L ) , where F T + L 1 ( · ) is the inverse cumulative demand distribution function during the review period and lead time T + L [].
In the periodic review model, inventory is assessed daily and adjusted to meet the demand based on daily patterns. The service level, which is critical in preventing stockouts or excess inventory, is the probability P ( Φ I ) that balances the cost of unsatisfied demand ( c u ) with the cost of surplus inventory ( c o ), where Φ and I denote the demand and current inventory level, respectively. The optimal inventory level w = Q * minimizes the expected mismatch cost G ( w ) , where w represents the inventory level, defined in Equation (1), as follows:
min G ( w ) = c u Φ max Φ w , 0 d F ( Φ ) + c o Φ max w Φ , 0 d F ( Φ )
The optimal inventory level Q * indicates a unique optimal point, owing to G ( w ) ’s convexity []. This framework establishes that the optimal service level aligns with the cost ratio c u c u + c o in Equation (2), where Q * ensures cost-effective inventory management without explicit ordering costs.
F ( Q * ) = c u c u + c o
To implement this model effectively, accurate demand forecasting is crucial. The inverse cumulative demand distribution function F T + L 1 ( · ) for future periods is estimated using the DeepAR model as detailed in Section 3.1.1. This estimated distribution is then utilized to determine the target inventory level through Equation (2), ensuring that the inventory management system adapts to forecasted demand patterns while maintaining the desired service level.

3.2. Rebalancing Phase

3.2.1. Multi-Objective MIP Model for PDVRP of Bike Rebalancing

In this section, we develop a multi-objective MIP model for the PDVRP. The PDVRP is an extended model in which pick-ups and deliveries are performed while management vehicles move. First, we define the parameters and decision variables in Table 1 as follows.
Table 1. Summary of notations and decision variables.
In this study, we simultaneously consider two objectives. The first is to minimize the sum of the differences between target inventory T i and final inventory y i after the rebalancing work for all stations i N as shown in Equation (3):
f 1 ( x ) = i = 1 n ( s i + + s i )
The other objective is to minimize the maximum traveling distance among the travel routes of the management vehicles as shown in Equation (4):
f 2 ( x ) = D m a x
Then, the MIP model for the multi-objective PDVRP is formulated as follows:
Min f 1 ( x ) f 2 ( x )
s . t . k = 1 v x i k = 1 i N
x 0 k = 1 k V
x ( n + 1 ) k = 1 k V
j = 1 n z j i k = j = 1 n z i j k i N , k V
j = 1 n z 0 j k = 1 k V
j = 1 n z j ( n + 1 ) k = 1 k V
z 0 ( n + 1 ) k = 0 k V
z ( n + 1 ) 0 k = 1 k V
j = 1 n z i j k 1 i N , k V
k = 1 v z i j k 1 i N , j N
x i k = j = 1 n z i j k i N , k V
u 0 k = 0 k V
u j k u i k + 1 ( n + 2 ) ( 1 z i j k ) i , j N , k V
t ( n + 1 ) i k C z ( n + 1 ) i k i N , k V
t i j k C z i j k i , j N , k V
j = 1 n t 0 j k = C k V
j = 1 n t j i k j = 1 n t i j k = p i k i N , k V
k = 1 v p i k + I i = y i i N
y i T i = s i + s i i N
i = 1 n j = 1 n D i j z i j k D m a x k V
Constraints (6)–(8) ensure that all stations i N must be visited exactly by a single management vehicle. Constraints (9)–(16) set up a path that begins at dummy node 0, travels to all nodes, and returns to dummy node n + 1 . Constraints (17) and (18) eliminate sub-tours. Constraints (19) and (20) limit the number of bikes transferred by the capacity of the vehicle, denoted as C, when a path is connected to two stations between i and j. In Constraint (21), we assume that the truck departs fully loaded when it departs from the depot. Constraint (22) computes the number of bikes picked up from station i N by vehicle k V : this is equal to the number of bikes delivered to station i N minus the number of bikes picked up from station i N . Constraint (23) computes the final inventory level by adding the sum of the bikes picked up by vehicle k V to the initial inventory I i . Constraint (24) calculates the absolute deviation between the target inventory T i and final inventory level y i at each station i N . Note that either variable s i + or s i must be zero since our objective is to minimize the sum of inventory deviations as shown in Equation (3) above. Finally, Constraint (25) computes the maximum distance of the travel routes of the management vehicles.

3.2.2. Hybrid Genetic Algorithm(HGA)

An HGA is proposed to address the PDVRP in this study, which combines GA and MIP techniques. The overall algorithm is illustrated in Figure 1. The GA generates and updates the feasible paths (chromosomes) for the management vehicle(s). Then, the MIP for bike allocation, presented below, determines the optimal allocation of bikes to the clustered stations based on the optimal target inventory level obtained from Equation (2). In this phase, the optimal solutions for allocation are saved in memory to retrieve the resultant value in the future when the same path pops up in the course of the evolutionary process. After obtaining the optimal solutions, the deviation in the net balance for each path is calculated. The path length is directly derived from the chromosome. These values collectively constitute a fitness function used to determine an efficient frontier for each generation. A superior frontier is selected through evolutionary iterations. Moreover, the surviving chromosomes comprising the final frontier constitute the solution to the problem when the termination conditions are satisfied.
Figure 1. Structure of the proposed hybrid genetic algorithm.
Let r i be the i-th station listed in the route, d i be the quantity delivered to station i N , and b i be the onboard inventory carried by the management vehicle at station i N . The MIP model for the bike allocation problem is formulated as follows:
Min i = 1 n ( s i + + s i )
s . t . b 0 = C
d 0 = 0
y i = I r i + d i i = 1 , , n
b i = b i 1 d i i = 1 , , n
b i C i = 0 , , n
y i T i = s i + s i i = 1 , , n
s i + 0 , s i 0 i = 1 , , n
The objective function in Equation (26) quantifies the overall discrepancy between the target and deployed inventory levels across all the rental stations. This model determines the number of bikes to be picked up or delivered to each bike station (denoted by t i ) along a given path. Despite having an optimal target inventory for each station, the capacity of each vehicle (denoted as C) and the predetermined travel sequence prevent the fulfillment of the target inventory. Constraint (27) ensures that the vehicle starts each trip fully loaded with C bicycles, where b 0 denotes the number loaded at the dummy station. Constraint (28) prevents any deliveries to the dummy station. Inventory changes at each station are governed by Constraint (29), which calculates the updated stock levels based on delivery quantities. Constraint (30) determines the number of bikes loaded onto the vehicle upon departure from station i, whereas Constraint (31) enforces the vehicle’s capacity limit for C bikes to prevent overloading. Constraint (32) is equivalent to Equation (24) in MIP. To uphold mathematical validity, Constraint (33) ensures that all variables used in the deviation calculations remain non-negative.
Among the various multi-objective genetic algorithms in the literature, the nondominated sorting genetic algorithm (NSGA-II; []) is applied to the problem in this study. NSGA-II is fast and suitable for solving bi-objective problems [,]. We only explain NSGA-II briefly here; for more details, please refer to [,]. It first groups the population into sets of nondominated members by comparing the chromosomes, starting from the top level. The population for the next generation is then selected from the nondominated groups, progressing from top to bottom. When only a portion of a group must be selected owing to population size limitations, chromosomes that are not located in crowded regions in the solution space are prioritized for selection. Deb et al. [] call this process crowd-distance sorting. The rationale behind using crowd-distance sorting is to give preference to dissimilar chromosomes (those outside crowded areas) to enhance the diversity in the population pool, thereby improving the search quality. This procedure is continued until the termination condition is satisfied.
The GA generates multiple separate travel routes with one chromosome. We design and explain the chromosome with two routes, and it can be generalized to include more than two routes. Figure 2 shows this chromosome as an example. The first gene is called ‘division point,’ and it represents the length of the first vehicle route, including its departure point. In Figure 2, this point is indicated as 13, which implies that the first tour is composed of 13 nodes (including the departure point ‘0’). Because the second tour begins right after the end of the first route in the same chromosome, the departure point for the second tour is denoted as ‘41’ in Figure 2, which corresponds to the same point as ‘0’ in the first route. Even though the two departure points are shown differently (0 and 41), the number ‘41’ is represented as a dummy, and this one corresponds to the same location in our model. That means that there is only one management warehouse in a district for the maintenance and storage of extra bikes.
Figure 2. Chromosome of proposed genetic algorithm.
The genetic operators used to generate the next generation are as follows: Two child chromosomes are produced from the two selected parent chromosomes. Figure 3 illustrates the crossover process. Each parent chromosome has four randomly selected crossover points with two points for each path. ‘Child 1’ inherits the division point from ‘parent A’, while ‘Child 2’ takes the division point from ‘parent B’. Since the first node in both routes of a chromosome represents a dummy node indicating the same departure point, they are fixed as ‘0’ and ‘16’ in the figure (excluding the departure point, there are only 15 nodes to visit in the figure). Nodes from parent A, spanning from ‘crossover point 1’ to ‘crossover point 2’ and from ‘crossover point 3’ to ‘crossover point 4’, are inherited by ‘child 1’. The remaining nodes from ‘parent A’ are inherited by ‘child 1’ in the same order as they appear in ‘parent B’. The identical procedures apply to ‘child 2’, with ‘parent A’ replaced by ‘parent B.’
Figure 3. Crossover operation in the hybrid genetic algorithm.
The mutation process is illustrated in Figure 4. First, the division point, indicated as ‘9’, and the first nodes (departure points) for both travel routes, indicated as ‘0’ and ‘16’, are removed. Second, two nodes are randomly selected and swapped. Finally, a division point is randomly chosen, guaranteeing that at least one third of the nodes are visited in one path, and the two departure points ‘0’ and ‘16’ are appropriately located in the chromosome. In the figure, nodes ‘10’ and ‘5’ are swapped, and node ‘10’ shifts to the next position because the corresponding location is for departure node ‘16’. During the evolutionary process, we set the crossover ratio to one-half, which implies that half of the offspring are generated through crossover operations, whereas the remaining half are produced by mutation operations.
Figure 4. Mutation operation in the hybrid genetic algorithm.

4. Computational Experiments

The performance of our proposed HGA is evaluated by comparing it with a multi-objective optimization problem (MOOP) model. The evaluation is conducted using sample problem instances with variations in the number of nodes (places to visit for redistributing the bikes). After the comparison, the optimal solution for the real-world problem using HGA is provided.

4.1. Comparison between HGA and Multi-Objective Optimization Model

We consider 15 test problem instances with variations in the number of nodes. These fall into three categories: 10, 15, and 20 nodes. Five problem sets are generated randomly for each category. Each test set includes the coordinates of the nodes along with the target and current inventories for each node. The coordinates range from 0 to 100 for both X and Y, and the initial inventories are randomly selected between 0 and 20. The target inventories are set between −10 and 20, and we do not require the sum of target inventories for all stations to equal one, which represents a case of demand overcapacity. For these sample problem sets, HGA terminates its search after 1000 generations of evolution.
We observe that the MOOP provides only one solution to a multi-objective problem, whereas the HGA provides the Pareto frontier. Although a multi-objective approach is applied to the MOOP, it yields only one solution. Figure 5 illustrates the results of the comparison between the HGA and MOOP across three randomly selected problem sets with different numbers of nodes. In Figure 5, the HGA is represented by dots, and the MOOP is represented by crosses. As the figure shows, the MOOP produces only a single solution for each problem.
Figure 5. Comparison of performance between the hybrid genetic algorithm and multi-objective optimization model.
The HGA consistently outperforms the MOOP across all sample problem sets. For instance, in Figure 5, analyses of the problem sets with 10, 15, and 20 nodes indicate that the MOOP solution falls short of the Pareto frontier achieved by the HGA. These comparisons are based on the HGA results, which may not fully converge because of the relatively short generation count of 1000.
Our numerical experiments are performed on a Mac M1, and the experimental results, including the total computation times, are summarized in Table 2. In the HGA, five iterations are executed to obtain a unified frontier for each test problem. The final unified frontier is the selection of nondominated solutions from all iterations. Although the HGA finishes its search after exactly 1000 generations, the processing time fluctuates with each iteration. The processing times presented in Table 2 represent the average across five iterations. Meanwhile, in the ‘Distance’ and ‘Net Dev.’ columns corresponding to the HGA solutions in the table, one representative solution that effectively demonstrates the dominance is selected from the frontier and displayed.
Table 2. Comparison summary between HGA and MOOP on sample problem sets.
From the results in Table 2, we note that the Pareto frontier from the HGA dominates the MOOP for all 15 sample cases. Despite the superiority of the HGA, its computation time is significantly longer than the MOOP, averaging approximately 50 min for 1000 generations, irrespective of the problem size. By contrast, the MOOP exhibits faster computation times, which increase with larger problem sizes.

4.2. Optimal Solutions from HGA for PDVRP of BSS

In this subsection, we present the optimal solutions obtained from the HGA for inventory-rebalancing problems in BSSs. Inventory rebalancing involves the PDVRP of bikes through vehicle management. Consequently, these solutions comprise traveling paths along with the respective quantities of bikes to be picked up or delivered.
We apply the HGA to address the PDVRP in the BSS of Mapo-gu district in Seoul, South Korea, which encompasses 126 bike stations. Users access real-time bike inventory information for all stations via a mobile application, allowing them to locate bikes within walking distance. This indicates that it is more valid to perform demand forecasting in cluster units that group stations within walking distance rather than on an individual bike station basis. Moreover, forecasting the demand for station clusters assists in mitigating the forecasting errors on a station basis.
The bike stations are clustered using a well-known machine learning technique, the K-means algorithm. Figure 6 depicts 40 clusters, with stations of the same color indicating membership in the same cluster group. The maximum distance between the furthest stations within all clusters is approximately 800 m, which is within an acceptable walking range.
Figure 6. Bike station clusters in Mapo-gu district, Seoul, Korea (The dots in different colors represent different clusters).
The essential goal of bike rebalancing is to enhance bike utilization by ensuring that an adequate number of bikes are available when required. This task resembles the news vendor problem, as it involves balancing the costs associated with underestimating (resulting in bike shortages) and overestimating (leaving bikes idle) demand. It is assumed that bike shortages lead users to opt for buses with comparable fares, thereby potentially increasing carbon emissions. Factoring in the carbon emission price as of January 2024, the daily cost of inventory shortage is calculated to be KRW 922.3761. Conversely, when bikes remain unused at stations, there is an inventory surplus cost of KRW 304.0613, which accounts for excess bike investment, attached smart devices, and insurance premiums. To optimize the service levels, Equation (2) is used to determine a target service level of 0.752. This decision is informed by probabilistic demand forecasting, which allows setting the target inventory at the 75.2 percentile of demand calculated from the probability distribution for each time period within each cluster.
In our forecasting using the DeepAR methodology, we selected a family of normal distributions because it showed the least errors in predicting bike user demand for the station clusters. This suggests that the actual demand is highly likely derived from normal distributions, although the parameters of these distributions vary over time and between clusters (for more details, please refer to []). For each station, the 75.2 percentile value of the corresponding normal distribution is set as the target inventory and the initial inventory is obtained from actual data gathered from the bike-sharing app.
The HGA is applied to solve the PDVRP, utilizing the target inventory for each station cluster as bikes within the 75.2 percentile of user demand. In the Mapo-gu district, where two management vehicles operate, two distinct travel routes are generated. These routes share the same origin and destination points, and the two points refer to a single management warehouse in the Mapo-gu district. The objectives are to minimize the longer travel distance between the two routes and to minimize the sum of the absolute net demand deviations. The absolute net demand deviation is calculated as the difference between the target inventory and the ending inventory after rebalancing by management vehicles.
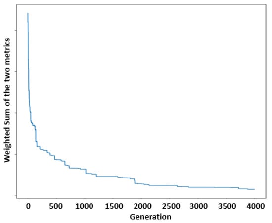
The two management vehicles must visit a total of 40 points. Therefore, terminating the HGA after only 1000 generations, as applied in the sample problem sets, is too early for the solution to converge. Figure 7 shows a preliminary run with 4000 generations. As this is a multi-objective problem, we define a weighted sum of the two objective values to represent each solution in the figure. The weighted sum is a simple method for balancing the scale between the travel distance and the sum of the absolute net deviations. Based on preliminary runs, we set the terminating condition of the HGA for this problem to 2000 generations. Although the solution continues to improve after 2000 generations, this number represents a reasonable compromise between solution quality and computation time.
Figure 7. Convergence of HGA within 4000 generations.
The processing time for running 2000 generations of the HGA takes around 8518.66 s (approximately 2 h and 22 min) on a Mac M1, which is four times longer than the sample case with 1000 generations. The computational burden of this approach arises from finding the optimal bike allocation plan for each chromosome, which consists of two routing paths of different lengths. Although we maintain a memory to store the optimal allocation solutions for chromosomes that have appeared during the evolution process of the genetic algorithm, the large number of possible chromosomes in a large-scale problem increases the computational burden.
The Pareto frontiers from the HGA are displayed in Figure 8. The traveling distance (maximum distance between the two travel paths) ranges from 13.4 km to 20.9 km, and the sum of absolute net deviations (SAND) ranges from 3391 to 3415 bikes. The SAND is the sum of 40 clusters encompassing 126 bike stations. Thus, for each bike station, the net deviation is approximately 27 bikes per bike station during three hours after rebalancing work with the management vehicle that carries up to 40 bikes. The solutions from (a) to (b) are acceptable in terms of the travel path. The paths of the solutions to the right of (b) are ineffective because there is too much overlap between the travel paths of the two vehicles.
Figure 8. Pareto frontiers for pick-up and delivery operations of bike-sharing systems ((a) and (b) represent two selected solutions, the paths of which are displayed in the Figure 9).
Figure 9 shows the travel paths of two management vehicles for each selected result. The left figure (marked as (a)) shows the two paths with the shortest travel distance, whereas (b) represents the smallest SAND among the effective solutions from the frontiers. As the solution changes from (a) to (b), the travel distance increases 3.83 km (13.40 km to 17.23 km), while the SAND decreases by 18 bikes (3415ea to 3397ea).
Figure 9. Travel paths of two vehicles for the solutions (a) and (b) ((a) and (b) refer to the solutions shown in Figure 8).
The Pareto frontiers offer options from the decision-makers’ perspective. If the decision prioritizes minimizing travel distances, then the solution with the most realistic shortest distance is selected. However, if the decision must consider a certain threshold for the minimum number of bikes to be served, the solution can be determined by drawing a horizontal line on the frontier at an appropriate level and selecting the solution with the shortest distance from solutions below the horizontal line.

5. Conclusions

In this study, we devised a comprehensive methodology aimed at optimizing the travel paths of multiple management vehicles to address the bike rebalancing problem. Our approach encompasses three key components: probabilistic demand forecasting, determining optimal inventory level, and solving pick-up and delivery problems for multiple management vehicles with multi-objectives.
Recognizing that bike demand is interdependent between stations, owing to users’ ability to walk to nearby stations when their preferred station is empty, appropriate demand forecasting necessitates grouping bike stations based on geographical proximity. To this end, we employed a k-means algorithm to cluster bike stations within walking distance, and utilized the DeepAR approach for demand forecasting for each cluster. The strength of DeepAR lies in its capacity to provide a probabilistic distribution of demand, which is vital for determining the optimal service level and the associated target inventory using a news vendor model.
The bike-rebalancing problem essentially entails pick-up and delivery tasks for multiple management vehicles that transfer bikes between clusters with excess and deficit capacities. Given the operation of multiple vehicles, it is imperative to determine the optimal paths for these tasks. Two primary performance metrics guide the bike-rebalancing problem: minimizing travel distance and minimizing the gap between the target and final inventories after pick-up and delivery operations.
The multi-objective nature of our problem complicates the solution process and poses challenges in achieving optimal results. Initially, we modeled the problem using an integer programming approach with a multi-objective framework (referred to as MOOP—Multi-Objective Optimization Problem). However, the MOOP yields only a single solution and does not guarantee its optimality. To address this limitation, we developed a hybrid genetic algorithm (HGA) that mixes a genetic algorithm and a mixed integer programming model. The former tries to find the shortest path, and the latter tries to find the optimal allocation of bikes in the given paths.
The application of the proposed methodology to real bike-sharing service data from the Mapo-gu district of Seoul City, South Korea, yielded balanced travel routes for management vehicles, considering both the travel distance and the gap between target and final bike inventories post rebalancing. The frontiers provide flexibility in decision-making process. For example, if there is an upper limit to the distance or to the net balance deviations, it is possible to choose an appropriate set of travel routes which meets the condition.
This paper acknowledges certain limitations when applied to real-world scenarios. First, the central point of each station cluster, which is derived from the computed central coordinates of actual bike stations, has not been validated as a feasible location for bike drop-off and pick-up. Second, the travel paths between these cluster centers are calculated using simple Euclidean distances, without accounting for actual road conditions. Additionally, traffic conditions and alternative routes are not considered in the path calculations. Consequently, these limitations may hinder potential operational cost savings when implementing the proposed methodology. A practical implementation is necessary to identify and address any challenges that may arise in real-world applications.
Computational efficiency is another issue in the implementation of the algorithm in real-world scenarios. Due to the significant computational burden, the proposed algorithm may not be appealing to decision makers. Future research should prioritize enhancing the efficiency of the HGA, aiming to reduce computational overhead while maintaining the quality of the solutions. This endeavor might entail the development of more streamlined generation strategies or the fusion of the HGA and MOOP methodologies to capitalize on their respective strengths. In addition, investigating parallel computing methods or hardware acceleration can help alleviate the computational burden.
The practical application of our integrated methodology in addressing the bike-sharing problem underscores its potential for enhancing operational efficiency as demonstrated in real-world contexts such as the Mapo-gu bike-sharing systems. Nonetheless, overcoming computational hurdles within the HGA methodology and refining the entire methodological framework are imperative for its widespread adoption across diverse sectors.

Author Contributions

Conceptualization, H.L., K.C. and S.L.; methodology, H.L. and S.L.; software, H.L. and S.L.; validation, H.L., K.C. and S.L.; formal analysis, H.L., K.C. and S.L.; writing—original draft preparation, H.L., K.C. and S.L.; writing—review and editing, H.L., K.C. and S.L.; supervision, S.L.; project administration, H.L.; and funding acquisition, H.L. and S.L. All authors have read and agreed to the published version of the manuscript.

Funding

This research was supported by the National Research Foundation of Korea (NRF) grant funded by the Korean Government (NRF-2020S1A5A2A03047527).

Institutional Review Board Statement

Not applicable.

Data Availability Statement

The raw data supporting the conclusions of this article will be made available by the authors on request.

Conflicts of Interest

The authors declare no conflicts of interest.

References

  1. DeMaio, P. Bike-sharing: History, impacts, models of provision, and future. J. Public Transp. 2009, 12, 41–56. [Google Scholar] [CrossRef]
  2. Salinas, D.; Flunkert, V.; Gasthaus, J.; Januschowski, T. DeepAR: Probabilistic forecasting with autoregressive recurrent networks. Int. J. Forecast. 2020, 36, 1181–1191. [Google Scholar] [CrossRef]
  3. Lim, H.; Chung, K.; Lee, S. Probabilistic forecasting for demand of a bike-sharing service using a deep-learning approach. Sustainability 2022, 14, 15889. [Google Scholar] [CrossRef]
  4. Snyder, R.D.; Ord, J.K.; Beaumont, A. Forecasting the intermittent demand for slow-moving inventories: A modelling approach. Int. J. Forecast. 2012, 28, 485–496. [Google Scholar] [CrossRef]
  5. Toubeau, J.F.; Bottieau, J.; Vallée, F.; De Grève, Z. Deep learning-based multivariate probabilistic forecasting for short-term scheduling in power markets. IEEE Trans. Power Syst. 2018, 34, 1203–1215. [Google Scholar] [CrossRef]
  6. Chapados, N. Effective Bayesian modeling of groups of related count time series. In Proceedings of the International Conference on Machine Learning, PMLR, Beijing, China, 21–26 June 2014; pp. 1395–1403. [Google Scholar]
  7. Bengio, S.; Vinyals, O.; Jaitly, N.; Shazeer, N. Scheduled sampling for sequence prediction with recurrent neural networks. Adv. Neural Inf. Process. Syst. 2015, 28. [Google Scholar]
  8. Seeger, M.W.; Salinas, D.; Flunkert, V. Bayesian intermittent demand forecasting for large inventories. Adv. Neural Inf. Process. Syst. 2016, 29. [Google Scholar]
  9. Wen, R.; Torkkola, K.; Narayanaswamy, B.; Madeka, D. A multi-horizon quantile recurrent forecaster. arXiv 2017, arXiv:1711.11053. [Google Scholar]
  10. Rangapuram, S.S.; Seeger, M.W.; Gasthaus, J.; Stella, L.; Wang, Y.; Januschowski, T. Deep state space models for time series forecasting. Adv. Neural Inf. Process. Syst. 2018, 31. [Google Scholar]
  11. Li, D.; Zhao, Y. A multi-categorical probabilistic approach for short-term bike sharing usage prediction. IEEE Access 2019, 7, 81364–81369. [Google Scholar] [CrossRef]
  12. Gast, N.; Massonnet, G.; Reijsbergen, D.; Tribastone, M. Probabilistic forecasts of bike-sharing systems for journey planning. In Proceedings of the 24th ACM International on Conference on Information and Knowledge Management, Melbourne, Australia, 19–23 October 2015; pp. 703–712. [Google Scholar]
  13. Gammelli, D.; Wang, Y.; Prak, D.; Rodrigues, F.; Minner, S.; Pereira, F.C. Predictive and prescriptive performance of bike-sharing demand forecasts for inventory management. Transp. Res. Part C Emerg. Technol. 2022, 138, 103571. [Google Scholar] [CrossRef]
  14. Zheng, Y.S.; Chen, F. Inventory policies with quantized ordering. Nav. Res. Logist. 1992, 39, 285–305. [Google Scholar] [CrossRef]
  15. Rao, U.S. Properties of the periodic review (R, T) inventory control policy for stationary, stochastic demand. Manuf. Serv. Oper. Manag. 2003, 5, 37–53. [Google Scholar] [CrossRef]
  16. Raviv, T.; Kolka, O. Optimal inventory management of a bike-sharing station. Iie Trans. 2013, 45, 1077–1093. [Google Scholar] [CrossRef]
  17. Liu, C.; Feng, H.; Xu, J.; Qin, Z.T.; Zhu, H. Optimizing Bike-Share Repositioning: Networked Inventory Management with Spatiotemporal Modeling. In Proceedings of the 2021 IEEE International Conference on Big Data (Big Data), Orlando, FL, USA, 15–18 December 2021; pp. 1438–1448. [Google Scholar]
  18. Fu, C.; Ma, S.; Zhu, N.; He, Q.C.; Yang, H. Bike-sharing inventory management for market expansion. Transp. Res. Part B Methodol. 2022, 162, 28–54. [Google Scholar] [CrossRef]
  19. Swaszek, R.M.; Cassandras, C.G. Receding horizon control for station inventory management in a bike-sharing system. IEEE Trans. Autom. Sci. Eng. 2019, 17, 407–417. [Google Scholar] [CrossRef]
  20. Datner, S.; Raviv, T.; Tzur, M.; Chemla, D. Setting inventory levels in a bike sharing network. Transp. Sci. 2019, 53, 62–76. [Google Scholar] [CrossRef]
  21. Hernández-Pérez, H.; Salazar-González, J.J. The One-Commodity Pickup-and-Delivery Travelling Salesman Problem. In Combinatorial Optimization—Eureka, You Shrink! Papers Dedicated to Jack Edmonds 5th International Workshop Aussois, France, 5–9 March 2001; Springer: Berlin/Heidelberg, Germany, 2003; pp. 89–104. [Google Scholar]
  22. Jazemi, R.; Alidadiani, E.; Ahn, K.; Jang, J. A Review of Literature on Vehicle Routing Problems of Last-Mile Delivery in Urban Areas. Appl. Sci. 2023, 13, 13015. [Google Scholar] [CrossRef]
  23. Raviv, T.; Tzur, M.; Forma, I.A. Static repositioning in a bike-sharing system: Models and solution approaches. EURO J. Transp. Logist. 2013, 2, 187–229. [Google Scholar] [CrossRef]
  24. Schuijbroek, J.; Hampshire, R.C.; Van Hoeve, W.J. Inventory rebalancing and vehicle routing in bike sharing systems. Eur. J. Oper. Res. 2017, 257, 992–1004. [Google Scholar] [CrossRef]
  25. Vishkaei, B.M.; Fathi, M.; Khakifirooz, M.; De Giovanni, P. Bi-objective optimization for customers’ satisfaction improvement in a Public Bicycle Sharing System. Comput. Ind. Eng. 2021, 161, 107587. [Google Scholar] [CrossRef]
  26. Cruz, F.; Subramanian, A.; Bruck, B.P.; Iori, M. A heuristic algorithm for a single vehicle static bike sharing rebalancing problem. Comput. Oper. Res. 2017, 79, 19–33. [Google Scholar] [CrossRef]
  27. Florian, H.; Avram, C.; Pop, M.; Radu, D.; Aștilean, A. Resources Relocation Support Strategy Based on a Modified Genetic Algorithm for Bike-Sharing Systems. Mathematics 2023, 11, 1816. [Google Scholar] [CrossRef]
  28. Hu, R.; Zhang, Z.; Ma, X.; Jin, Y. Dynamic rebalancing optimization for bike-sharing system using priority-based MOEA/D algorithm. IEEE Access 2021, 9, 27067–27084. [Google Scholar] [CrossRef]
  29. Dutta, J.; Barma, P.S.; Mukherjee, A.; Kar, S.; De, T. A hybrid multi-objective evolutionary algorithm for open vehicle routing problem through cluster primary-route secondary approach. Int. J. Manag. Sci. Eng. Manag. 2022, 17, 132–146. [Google Scholar] [CrossRef]
  30. Zitzler, E.; Laumanns, M.; Thiele, L. SPEA2: Improving the strength Pareto evolutionary algorithm. TIK Rep. 2001, 103. [Google Scholar]
  31. Deb, K.; Pratap, A.; Agarwal, S.; Meyarivan, T. A fast and elitist multiobjective genetic algorithm: NSGA-II. IEEE Trans. Evol. Comput. 2002, 6, 182–197. [Google Scholar] [CrossRef]
  32. Zhang, Q.; Li, H. MOEA/D: A multiobjective evolutionary algorithm based on decomposition. IEEE Trans. Evol. Comput. 2007, 11, 712–731. [Google Scholar] [CrossRef]
  33. Leung, M.F.; Wang, J. A collaborative neurodynamic approach to multiobjective optimization. IEEE Trans. Neural Netw. Learn. Syst. 2018, 29, 5738–5748. [Google Scholar] [CrossRef]
  34. Zipkin, P.H. Foundations of Inventory Management; McGraw-Hill/Irwin: New York, NY, USA, 2000. [Google Scholar]
  35. Simchi-Levi, D.; Chen, X.; Bramel, J. The Logic of Logistics: Theory, Algorithms, and Applications for Logistics Management; Springer: New York, NY, USA, 2014. [Google Scholar]
  36. Wang, M.; Zhang, Y.; Lu, Y.; Wan, X.; Xu, B.; Yu, L. Comparison of multi-objective genetic algorithms for optimization of cascade reservoir systems. J. Water Clim. Chang. 2022, 13, 4069–4086. [Google Scholar] [CrossRef]
  37. Verma, S.; Pant, M.; Snasel, V. A comprehensive review on NSGA-II for multi-objective combinatorial optimization problems. IEEE Access 2021, 9, 57757–57791. [Google Scholar] [CrossRef]
Disclaimer/Publisher’s Note: The statements, opinions and data contained in all publications are solely those of the individual author(s) and contributor(s) and not of MDPI and/or the editor(s). MDPI and/or the editor(s) disclaim responsibility for any injury to people or property resulting from any ideas, methods, instructions or products referred to in the content.

Article Metrics

Citations

Article Access Statistics

Multiple requests from the same IP address are counted as one view.