Abstract
Aromatics, especially polycyclic aromatic hydrocarbons (PAHs), are important combustion pollutants known to be carcinogenic and mutagenic and are also precursors of soot and, consequently, combustion-generated particulate matters that can significantly threaten environmental security and human health. In engine combustion, the multi-component and broad-source feature of transportation fuels makes synergistic effects commonly exist and greatly enhances the formation of aromatics and soot. Understanding the synergistic effects of different fuel components on aromatic formation facilitates concrete guidance for controlling soot emissions. This review focuses specifically on the synergistic effects of aromatics formation, including benzene, indene, naphthalene, and larger PAHs, in combustion among hydrocarbon blends and hydrocarbons blended with oxygenated fuels. Progresses in experimental measurements, theoretical calculations of critical reactions, and kinetic modeling are reviewed in detail. Special attention is paid to blends of aromatics and linear fuels, which show pronounced synergistic effects in PAH formation. Furthermore, some prospects for future research on synergistic effects in aromatic formation are provided.
1. Introduction
Aromatics are widely produced during the combustion of fossil transport fuels, biofuels, e-fuels, and sustainable aviation fuels [1,2], which have attracted significant attention [3,4,5] as they are precursors of soot and combustion-derived particulate matter. Both physical and chemical processes have been proposed to elucidate soot formation [6], as illustrated in Figure 1. Understanding the formation mechanism of aromatics, especially polycyclic aromatic hydrocarbons (PAHs), is crucial in directing endeavors to reduce soot emissions.
Figure 1.
The schematic diagram for soot formation (reprinted from Reizer et al., 2021) [7].
In the realm of transportation fuels, a wide range of elements exist, classified into four prominent families: alkanes, alkenes, cycloalkanes, and aromatics, each comprising numerous constituents. The composition of these components can vary significantly depending on factors such as geographical origin and production methods. Given the intricate nature of these fuel mixtures, interactions among their components are inevitable. For a fuel mixture composed of fuel A and fuel B, the blending effect means that the aromatic concentration follows a linear relationship as the proportion of each component changes. In contrast, the synergistic effect means that the aromatic concentration exhibits an enhanced nonlinear relationship, which can be attributed to the interactions between fuel A and fuel B [8,9,10,11]. For example, according to the investigation by Li et al. [11], pure toluene and pure acetylene can only produce indene with a maximum mole fraction of 5.2 × 10−4 and an almost negligible mole fraction in their individual pyrolysis, respectively. If indene formation follows the blending effect, its maximum mole fraction in the co-pyrolysis of 50% toluene/50% acetylene should be 2.5 × 10−5. However, the experimental results from the co-pyrolysis of 50% toluene/50% acetylene show that indene has a maximum mole fraction of 5.2 × 10−4, which is 20 times higher than the blending effect, as shown in Figure 2. Similar examples can also be found in other studies, such as Ref. [12]. The complex multi-component and wide-ranging sources of transportation fuels contribute to the complexity of these synergistic effects, warranting a comprehensive understanding of the interactions between various fuel components. Moreover, in response to the imperative to reduce carbon dioxide emissions, oxygenated fuels with carbon-neutral attributes, such as bioethanol and dimethyl ethers, have been implemented as blending agents in transportation fuels [13,14,15]. The growing adoption of this blending strategy highlights the significance of investigating the interactions involved in aromatic formation between oxygenated fuels and hydrocarbons.
Figure 2.
Synergistic effect (red line) and blending effect (black line) for co-pyrolysis of toluene and acetylene in a flow reactor at 1 atm (adapted from Li et al., 2021 [11]).
Over the past two decades, significant efforts have been made to elucidate the synergistic effects of aromatic formation, contributing to a deeper understanding of the aromatic formation mechanism. This review aims to provide comprehensive, cutting-edge progress on the synergistic effects of aromatic formation, drawing from experimental studies, theoretical calculations, and kinetic modeling. Special emphasis will be placed on examining blends comprising both aromatics and linear fuels, as these have been shown to exhibit pronounced synergistic effects in the formation of PAHs. Additionally, previous endeavors to reveal key reaction pathways responsible for the synergistic effects will be highlighted, providing additional insight into the complex mechanisms that drive the formation of aromatic compounds. This review first briefly introduces the main formation mechanisms for benzene and PAHs. Then, it focuses on the synergistic effects observed in benzene and PAH formation, including indene, naphthalene, and larger PAHs. Finally, future research directions will be discussed to guide further exploration of the complex dynamics of aromatic formation in the combustion process.
2. Formation Mechanisms of Benzene and PAHs
2.1. Formation Mechanisms of Benzene
In the formation of polycyclic aromatic hydrocarbons (PAHs) and soot from aliphatic hydrocarbons, the initial step of forming the first aromatic ring is often considered the rate-controlling step [5]. Benzene, a fundamental aromatic compound, is typically produced through several reaction pathways, including the C2 + C1, C3 + C3, C4 + C2, and C5 + C1 pathways. These pathways illustrate the sequential combination of carbon-containing species to yield benzene, as depicted in Figure 3.
Figure 3.
Reaction pathways are responsible for benzene formation [16,17,18,19,20,21].
The mechanism of benzene (A1) formation varies depending on the fuel type, composition, and combustion conditions. Numerous studies have investigated benzene formation across different fuels and combustion setups. Woods et al. [19] explored benzene formation during the reaction of acetylene with formyl cation under high temperatures and ionization rates. Their findings revealed an efficient mechanism of benzene formation facilitated by the abundance of acetylene (C2H2) and formyl cations in the system. Stein et al. [22] observed benzene formation in the acetylene flame and pyrolysis process under low-pressure conditions, emphasizing the significant impact of propargyl recombination reactions on benzene and fulvene formation. Buras et al. [17] explored potential benzene formation pathways via vinyl addition to 1,3-butadiene using experimental studies in MIT laser photolysis, predicting rate coefficients for this reaction across various kinetic models. Zhang et al. [21] conducted molecular beam experiments and RRKM calculations on the reaction of diatomic carbon with 1,3-butadiene, where the signal m/z = 77 indicated the formation of phenyl radical, subsequently converted to benzene through the hydrogen addition reaction. They also discussed the formation of the first aromatic ring during the experimental study of acetylene. The kinetic mechanism revealed benzene formation during the reaction of acetylene with the 1,3-butadienyl radical and, subsequently, hydrogen abstraction [23]. Additionally, Wang et al. [20] theoretically reviewed the pathway to benzene formation via the reaction of 1,3-butadienyl with propargyl radical. Branko et al. [18] employed density functional theory to calculate the energy barrier for benzene formation via the reaction of cyclopentadiene and ethylene, revealing a significantly lower energy barrier for this reaction pathway. Furthermore, the decomposition of carbon–carbon bonds during alkane combustion facilitates the generation of methyl radicals (CH3), consequently augmenting propargyl radical (C3H3) formation through reactions (1) and (2). The involvement of produced propargyl radicals in reactions with propyne (pC3H4) (3) and allene (aC3H4) (4) further contributed to the formation of benzene.
C2H2 + CH3 = pC3H4 + H
pC3H4 + H = C3H3 + H2
pC3H4 + C3H3 = A1 + H
aC3H4 + C3H3 = A1 + H
2.2. Formation Mechanisms of PAHs
Over the past two decades, significant efforts have been directed towards elucidating PAH formation mechanisms. These efforts have resulted in the development of various reaction kinetic pathways, which have been rigorously validated against data obtained from diverse combustion environments to better understand PAH formation. The formation mechanisms include the hydrogen abstraction and acetylene addition (HACA) mechanism, the hydrogen abstraction and vinyl acetylene addition (HAVA) mechanism, formation mechanisms with radicals, and the hydrogen abstraction and phenylacetylene addition (HAPaA) mechanism. Among these, the HACA mechanism stands as a classical and widely utilized pathway for PAH formation. However, in fuel blends where vinyl acetylene is abundant, the hydrogen abstraction and vinyl acetylene addition (HAVA) mechanism may prevail over HACA due to favorable reaction kinetics. Among formation mechanisms with radicals, methyl addition cyclization (MAC), although not competitive with the HACA mechanism, plays a crucial role in augmenting the PAH chain. Similarly, the addition of phenyl radicals (PAC) contributes to the enhancement of 6-ring membered aromatics within the polycyclic aromatic chain. Furthermore, the presence of vinyl radicals, originating from ethylene, promotes the hydrogen abstraction and vinyl radical addition (HAVA *) mechanisms, particularly under moderate temperature conditions, facilitating the formation of naphthalene and larger PAHs such as fluoranthene. However, it is crucial to acknowledge that all these pathways exhibit limitations in the formation of pre-condensed aromatic hydrocarbons. Consequently, the recently proposed HAPaA mechanism has emerged to address this challenge, specifically targeting the formation of pre-condensed aromatic hydrocarbons. A summarized overview of the diverse pathways involved in PAH formation is provided in the schematic diagram presented in Figure 4.
Figure 4.
Schematic diagram for PAH formation through different reaction pathways.
2.2.1. Hydrogen Abstraction and Acetylene Addition Mechanism
Frenklach et al. [23,24] proposed a two-step mechanism for the process of PAH formation involving hydrogen abstraction and acetylene addition to the radical site, as depicted in Figure 5. This mechanism was termed HACA, as proposed by Frenklash and Wang et al. [25]. Initially proposed for pyrene formation, the HACA route was later modified to explain naphthalene formation starting from benzene [26]. Subsequently, it became a fundamental pathway for elucidating PAH formation in various hydrocarbons, such as ethane, acetylene, and ethylene [25]. Over the past few decades, HACA has emerged as a central mechanism for PAH formation [25,27,28,29,30,31]. Experimental and computational studies conducted by Chu et al. [31] and Kislov et al. [30] further validated HACA, particularly focusing on pressure and time-dependent naphthalene formation using time-resolved molecular beam mass spectrometry. Chu et al. [31] observed that branching to loss H on the C8H7 potential energy surface led to the consumption of phenyl radical with significant impacts due to temperature variation on C8H9-1 production. The high hydrogen reaction affinity and low reversibility of the acetylene addition reaction in HACA contribute to the acceleration of benzenoid PAH formation, elucidating soot formation growth. The intrinsic properties of HACA, including reaction reversibility and kinetic driving force, significantly influence its mechanism. Notably, the reaction steps of HACA exhibit high exothermic properties and low reaction barriers, facilitating the overcoming of energy barriers during the HACA reactions [32]. Typically, the estimated barriers for acetylene addition to PAH radicals range from 8–30 kJ/mole, with an exothermic energy of 120 kJ/mole. Additionally, the ring closure stages typically entail barriers of 8–20 kJ/mole and exothermic heat of 125–200 kJ/mole [27].
Figure 5.
HACA and Bittner–Howard mechanism pathway (adapted from Frenklach et al., 1985 and Bittner et al., 1981) [23,33].
The kinetics of HACA reactions are crucial in PAH formation. Some experimental results suggest that the HACA reaction proceeds relatively slowly compared to the fast processes involved in PAH formation [34]. This is because, during HACA, the addition of acetylene and hydrogen abstraction increases the mass of product species by 24 amu, leading to the formation of naphthalene, acenaphthylene, phenanthrene, and pyrene. Bittner–Howard’s [33] process proposed a similar pathway to the HACA reaction pathway but differs in that the second acetylene molecule is added to the first to produce the C4H4 chain, which then undergoes ring closure to form an additional ring, as depicted in Figure 5. However, investigations such as those by Mebel et al. [35] have shown the limited probability of Bittner–Howard’s [33] reaction compared to HACA in naphthalene formation due to the presence of C8H7 radicals in flames at high temperatures.
In the combustion of fuels like methane, ethane, propane, ethylene, butane, heptane, benzene, toluene, phenylacetylene, and dimethyl ether, the formation of acetylene has been identified as a precursor leading to enhanced PAHs via the HACA pathway [34,36,37,38,39,40,41]. During HACA, the molecular structure of PAHs comprises both aliphatic and aromatic components, indicating a combination of aromatic and aliphatic systems. This combination is observed in various astrophysical settings, suggesting the potential presence of HACA in such environments. Peng et al. [42] investigated the site effect on PAH formation during the HACA mechanism reactions, revealing that hydrogen abstraction and acetylene addition reactions are kinetically favored at specific sites, while being kinetically adverse at ortho. Parker et al. [43] investigated acetylene addition to 1- and 2-naphthyl radicals in the combustion process and identified acenaphthylene formation via the HACA reaction route. Kislov et al. [27] analyzed the dominance of five-membered ring PAH growth over six-membered ring growth in the HACA mechanism. Shukla and Koshi [44] revealed that during acetylene pyrolysis, HACA products mainly consist of polyacetylenes and cyclopentafused PAHs. Furthermore, in the toluene/acetylene pyrolysis [11], the reaction between benzyl radicals (A1CH2) and acetylene (5) significantly contributes to the enhancement of indene (C9H8) formation. In acetylene/benzene blends, the HACA reaction pathway involves the reaction of phenyl radicals with acetylene, producing A1C2H radicals (6), which subsequently react with acetylene, thereby enhancing the formation of naphthyl radicals (A2-) (7) [45].
A1CH2 + C2H2 = C9H8 + H
A1- + C2H2 = A1C2H + H
A1C2H + C2H2 = A2- + H
2.2.2. Hydrogen Abstraction and Vinylacetylene Addition Mechanism
Badger et al. [46] investigated the formation of tars and emphasized the significance of vinyl acetylene as an intermediate species. They demonstrated that the presence of vinyl acetylene influences the reactions leading to PAH formation. It was established that PAH formation primarily occurs through vinyl acetylene addition, followed by hydrogen abstraction. In various combustion flame types, the abundance of vinyl acetylene increases the probability of PAH formation via the HAVA mechanism, eliminating the requirement for subsequent benzene ring formation [47,48,49].
During the HAVA mechanism, the formation of PAH radicals leads to the generation of a new ring in two steps: the initial addition of vinyl acetylene, followed by cyclization. Experimental studies on the formation of naphthalene and phenanthrene at elevated temperatures provided insight into this mechanism. Kinetic simulations further demonstrated that the presence of double and triple bonds enhances the activity of the carbon atom, facilitating their attack on carbon atoms in PAH molecules [48,50]. This mechanism has been observed in various environments, including the interstellar medium, where PAH formation occurs both at high temperatures during chemical vapor deposition processes and in cold molecular clouds. In these conditions, the formation of naphthalene has been observed via a barrierless route of the HAVA mechanism, suggesting it is an alternative pathway to HACA [21,51,52].
Further, Zhao et al. [53] proposed the formation of higher and more complex PAH via the HAVA reaction pathway, which involves the photodissociation of phenanthrene and anthracene. These fragments then react with vinylacetylene to form six-ring PAHs. Additionally, Liu et al. [52] found that benzene ring formation was favored at the zigzag edge surface site rather than the free edge during the formation of phenanthrene through the reaction of PAH radicals and vinylacetylene. Similar pathways were observed for the formation of naphthalene and phenanthrene through the reaction of phenyl radicals with vinylacetylene and naphthyl radicals with vinylacetylene, respectively. Overall, the HACA mechanism exhibits versatility in different reaction environments and conditions for PAH formation [54,55,56,57], as illustrated in Figure 6.
Figure 6.
HAVA mechanism pathway [48,50,58].
2.2.3. Formation Mechanism with Radicals
Radicals have a vital role in enhancing molecular weight, thereby facilitating the formation of aromatic compounds during the combustion process [59,60,61,62]. Interactions between radicals and between radicals and other hydrocarbons can lead to the formation of polycyclic aromatic hydrocarbons [59,60,61,62]. This section delves into the contributions of two types of radicals in PAH formation: resonantly stabilized radicals and non-resonantly stabilized radicals, which participate in additional pathways that contribute to PAH formation.
Resonantly stabilized radicals, such as propargyl, cyclopentadienyl, benzyl, indenyl, and allyl radicals, possess the same nuclear structure but exhibit different electronic systems [63,64,65,66,67,68,69,70,71,72,73,74]. For instance, propargyl and allyl radicals have two electronic structures with identical numbers of carbon and hydrogen atoms but different arrangements of radical sites. Aromatic hydrocarbons, owing to the presence of a benzenoid ring, exhibit several resonance structures, exemplified by the benzyl radical, as depicted in Figure 7. The first two structures are analogous to benzene, demonstrating how different structures can be generated based on the radical site. Thermodynamically, resonantly stabilized radicals are more stable than non-resonant radicals. This thermodynamic stability has significant implications; for example, aromatic hydrocarbons tend to decompose into resonantly stabilized radicals rather than non-resonant radicals. Theoretical studies by Daniel et al. [75] have shown that allyl radicals are 3 kcal/mole more stable than benzyl radicals. The resonantly stabilized radicals also exhibit slower dissociation and reaction with oxygen compared to non-resonant radicals [76,77]. Additionally, the recombination reactions of propargyl and its reaction with allyl contribute to benzene formation. Moreover, the reaction of the propargyl radical with A2CH2 leads to the formation of phenanthrene (8). Similarly, the recombination reaction of resonantly stabilized cyclopentadienyl (9) and their reaction with methyl radicals lead to the formation of naphthalene and benzene, respectively. The hydrogen abstraction reaction of toluene led to the formation of benzyl radicals. Subsequently, the recombination reaction of benzyl radicals, along with their reaction with other resonantly stabilized radicals, facilitates the enhanced formation of PAHs such as indene, naphthalene (10), phenanthrene, or higher polyaromatic hydrocarbons. For instance, indenyl radicals are generated through the hydrogen abstraction reaction of indene, and their reaction with cyclopentadienyl and A2CH2 radicals leads to the formation of phenanthrene (11, 12), and the recombination reaction of indenyl radicals leads to the formation of pyrene (13). This discussion emphasizes that the high production rate and slow dissociation of resonantly stabilized radicals contribute to increased concentrations, which are crucial for the formation of aromatic and PAHs [73,78,79,80].
A2CH2 + C3H3 = A3 + 2H
2C5H5 = A2 + 2H
A1CH2 + C3H3 = A2 + H2
C9H7 + C5H5 = A3 + 2H
A2CH2 + C9H7 = A4
2C9H7 = A4 + H2
Figure 7.
Typical resonantly stabilized radicals for aromatic formation.
Shukla et al. [29] investigated toluene pyrolysis and analyzed various PAH species with a mass difference of 76 amu. Based on this difference, they proposed a phenyl addition/cyclization (PAC) mechanism followed by hydrogen abstraction. With the addition of phenyl radical, the mass increased to 77 amu, followed by hydrogen abstraction, resulting in a decrease of 1 amu. Dehydrocyclization occurred with a rise in temperature, leading to the transformation of thermally unstable phenyl radicals into stable condensed PAHs, as shown in Figure 8. Zhao et al. [62] proposed phenyl addition as a more efficient mechanism for PAH growth in circumstellar environments, particularly for triphenylene and fluoranthene. They revealed that the phenyl addition mechanism exhibits high efficiency and rapidly enhances PAH growth at high temperatures compared to traditional mechanisms. Although the phenyl addition mechanism cannot synthesize symmetrical PAHs such as coronene or corannulene, it is considered highly efficient when phenyl radicals are available, as it ensures an infinite expansion of PAHs by forming different triple fusing sites in each phase [32]. Furthermore, the presence of the phenyl addition process in astrochemical conditions is likely due to deep ultraviolet radiation penetration, leading to the generation of phenyl radicals and hydrogen atoms through the photodissociation of benzene. However, investigations were not conducted into larger PAH formations at low temperatures [81].
Figure 8.
Phenyl addition pathway for triphenylene formation [29,44].
Subsequent analysis revealed that HACA, HAVA, and PAC mechanisms have limitations and are unable to facilitate the formation of cyclopentane-fused rings such as acenaphthylene. Shukla and Koshi [82] proposed a mechanism involving hydrogen abstraction and vinyl radical additions (HAVA *) based on experimental work, as illustrated in Figure 9. They observed that the addition of C2Hx species enhances PAH growth, with ethylene pyrolysis displaying mass spectra in 26 mass number sequences, indicating the role of C2H3 radicals in PAH formation. The addition of a vinyl radicals enhances the mass to 27 amu while hydrogen abstraction decreases, resulting in the production of styrene from benzene. Subsequently, styrene rapidly converts into phenylacetylene via hydrogen abstraction. The addition of vinyl radical to the ortho position of phenylacetylene facilitates the formation of naphthalene, which further leads to the formation of fluoranthene and corannulene via acenaphthylene through hydrogen abstraction and vinyl radical addition. Therefore, hydrogen abstraction and vinyl radical addition are considered more suitable for the formation of fluoranthene (C16H10) and corannulene (C20H10) via acenaphthylene compared to HACA in the presence of ethylene [82].
Figure 9.
HAVA * pathway for fluoranthene and corannulene. The dots on the species indicate the species are radicals. The solid and dashed arrows indicate single-step and multi-step reactions respectively [82].
Weissman and Benson [83] were the first to emphasize the significance of methyl radicals during the polymerization of methane in their experimental study. Subsequently, Balderas et al. [84], employing transition state theory, elucidated methyl addition to double and triple bonds between carbons. Additionally, Shukla et al. [85] emphasized the significance of methyl radical formation during toluene/acetone pyrolysis. Their findings revealed that the mass spectra of PAHs exhibit a 14 amu increment, signifying methyl addition increasing the mass to 15 amu, followed by hydrogen abstraction, reducing the mass by one amu [85]. Significantly, this observation indicated that the hydrogen abstraction reaction succeeds the methyl radical addition in the newly proposed methyl radical addition cyclization (MAC) for PAH formation [85]. The MAC mechanism entails the addition of multiple methyl radicals originating from ethyl chains onto the corresponding PAHs, followed by hydrogen elimination and cyclization to generate new aromatic rings, as depicted in Figure 10. Another essential aspect of the MAC mechanism is the formation of benzenoid rings through the expansion of cyclopentane-fused PAHs. Georgiana et al. [61] elucidated the role of methyl radicals in pyrene formation from phenanthrene, as illustrated in Figure 10. Zhao et al. [69] investigated the reaction of the indenyl radical with acetylene and vinylacetylene. They found that when 1-indenyl reacted with methyl radicals, it resulted in naphthalene formation instead of following the HACA and HAVA mechanisms. This discussion explained that the CH3 radical exhibits slower kinetics in occupying the phenanthrene armchair position compared to C2H2, revealing that the HACA mechanism outcompetes MAC in the presence of acetylene.
Figure 10.
MAC mechanism for methyl addition on phenanthrene [85] for pyrene formation [61]. The solid and dashed arrows indicate single−step and multi−step reactions respectively.
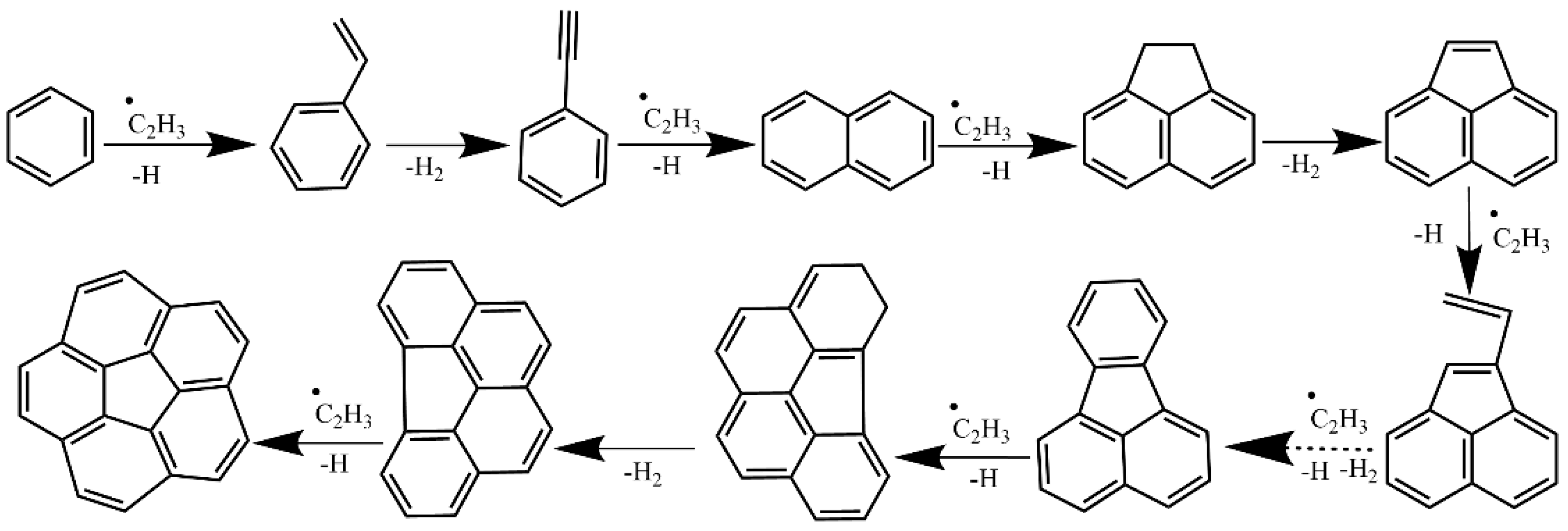
In the interstellar medium, characterized by a carbon-rich environment, ethynyl formation has been observed in the decomposition of acetylene, in contrast to the diffused interstellar medium, rendering the ethynyl addition mechanism more feasible [86,87]. Marsh et al. [88] conducted a semi-empirical quantum theoretical investigation to explore potential energy surfaces for chemical pathways. Their study revealed that PAH formed through ethynyl addition exhibits the lowest energy. Mebel et al. [87] proposed a mechanism for ethynyl addition as a viable alternative to HACA for the formation of PAH at low temperatures, particularly if ethynyl addition occurs due to photoinduction. Additionally, a mechanism involving hydrogen abstraction and ethynyl radical addition was suggested for the formation of benzo(a)pyrene from chrysene and benzo(a)anthracene, as illustrated in Figure 11 [89].
Figure 11.
Hydrogen abstraction and ethynyl addition for benzo(a) pyrene formation (adapted from Reizer et al., 2021) [89]. The solid and dashed arrows indicate single−step and multi−step reactions respectively.
2.2.4. Hydrogen Abstraction Phenylacetylene Addition (HAPaA) Mechanism
HACA and HAVA mechanisms have demonstrated limitations in describing the formation of pre-condensed aromatic hydrocarbons (PCAHs) across different temperatures. Jin et al. [90] proposed the HAPaA mechanism while conducting their experimental and theoretical investigation of the reaction between phenylacetylene and 1-naphthyl/4-phenanthryl radicals. Their findings emphasized the efficiency of this pathway in PCAH formation. Experimental studies were conducted using synchrotron vacuum ultraviolet photoionization and examined the reactions of 1-naphthyl with phenylacetylene and phenanthryl with phenylacetylene. Additionally, quantum chemical calculations elucidated the pathway for PAH formation in both interstellar and combustion mediums, as depicted in Figure 12.
Figure 12.
Reaction pathway for HAPaA for (a) zigzag and (b) armchair (reprinted from Jin et al., 2021) [90].
3. Synergistic Effects on Benzene Formation
The synergistic effect resulting from the interaction between process parameters influences the behavior of the blends. This phenomenon is demonstrated by the higher concentration of MAH and PAHs formed in blends compared to their corresponding pure fuels, attributable to species crosslinking arising from various fuel component interactions. Some authors have reported the total synergistic effect on aromatic formation across different systems, as summarized in Table 1. Both diagnostic methods and numerical methods have been adopted to investigate the synergistic effects among hydrocarbons and hydrocarbons with oxygenated fuels.
Table 1.
Literature on synergistic effect on benzene and PAH formation.
3.1. Synergistic Effects between Hydrocarbons
Li et al. [112] and Poddar et al. [12] conducted studies on the synergistic effect observed during the co-pyrolysis of 1,3-butadiene and propyne, focusing on benzene formation. Poddar et al. [12] experimentally investigated the co-pyrolysis of 1,3-butadiene and propyne in an isothermal laminar flow reactor at 973 K to 1273 K and a residence time of 0.3 s. Subsequently, Li et al. [112] developed a kinetic model for the co-pyrolysis of 1,3-butadiene and propyne. Figure 13 illustrates the substantial increase in benzene yield as a function of temperature during propyne pyrolysis, 1,3-butadiene pyrolysis, and their co-pyrolysis. In Figure 13, the weighted sum denotes the expected yield from the 1,3-butadiene/propyne co-pyrolysis experiment if the two fuels behaved as a linear combination of their individual contributions. In contrast, the CO-PY denotes the actual concentrations observed in the 1,3-butadiene/propyne co-pyrolysis. As shown in Figure 13, the benzene concentration in the CO-PY is higher than the weighted sum, indicating synergistic effects between 1,3-butadiene and propyne. Kinetic analysis revealed the synergistic effect of propyne addition on 1,3-butadiene, leading to enhanced formation of intermediate species and ultimately promoting benzene formation. The primary sources of benzene during the 1,3-butadiene pyrolysis were attributed to acetylene addition to the butadienyl radical. Sensitivity analysis involves increasing and decreasing each reaction rate constant by a factor of two and calculating their effect on the simulation benzene concentrations. Sensitivity and ROP analysis of co-pyrolysis at 1173 K revealed that the isomerization reaction of 1,3-butadiene exhibited the highest sensitivity to the formation of propargyl radicals through 1,2-butadiene [112]. The reaction of propargyl radical with propyne (3) predominantly yielded benzene, accounting for 57% of the benzene production. In comparison, the reaction of propargyl radical with allene (4) contributed to approximately 17% of benzene formation during the CO-PY and played a crucial role in the synergistic effect observed in benzene formation.
Figure 13.
(a) Measured (symbols) and simulated (lines) benzene concentration in the 1,3-butadiene pyrolysis (PY-C4), propyne pyrolysis (PY-C3) and 50% 1,3-butadiene/50%propyne co-pyrolysis (CO-PY), nitrogen (N2) as dilution gas at pressure of 1 atm, residence time of 0.3 sec in flow reactor; (b) sensitivity analysis of benzene at 1173 K during co-pyrolysis of 1,3-butadiene and propyne in a flow reactor, at pressure of 1 atm, residence time of 0.3 sec (reprinted from Li et al., 2017) [112].
A synergistic effect has been elucidated in fuel blends comprising methane, ethane, propane, and propene with ethylene in both co-flow flame and counter-flow diffusion flame [103,104,114,116,117,118]. The addition of methane to ethylene flames leads to an increase in methyl radicals, subsequently enhancing the formation of propargyl radicals (3, 4). Notably, propargyl radicals play a crucial role in benzene formation. Therefore, these studies have demonstrated that methane addition to ethylene co-flow flames, laminar diffusion flames, and counter-flow diffusion flames induces a synergistic effect on benzene formation [103,114,116]. Researchers have observed a synergistic effect resulting from the addition of ethane and propane to ethylene flames [103,115,118]. In ethane and propane, carbon bond decomposition occurs, leading to an increase in methyl radical formation, subsequently enhancing propargyl radical formation via reactions (1 and 2). The synergistic effect induced by propane addition to an ethylene flame is dependent on the propane ratio in the mixture and temperature [115,118].
Wang et al. [118] discussed that at low temperatures (1660 K), the addition of propane to ethylene flame causes a decrease in benzene formation compared to pure ethylene flame due to a reduction in C4H6 species. However, an enhancement in benzene formation was observed at high temperatures (2020 K) in a propane-doped ethylene flame, as shown in Figure 14a. The increase in c-C5H6 due to propane addition led to the formation of benzyl radicals through hydrogen abstraction and acetylene addition, further facilitating the formation of toluene. Additionally, propane decomposition follows the pathway of C3H8→iC3H7→C3H6→aC3H5→aC3H4→C3H3 for the formation of propargyl radical. Thus, ROP analysis revealed that the enhancement in C4H5-2, A1CH3, and C3H3 at high temperatures converted into benzene via acetylene addition, methyl radical abstraction, and recombination reactions, respectively, as depicted in Figure 14b. This significant enhancement in benzene formation indicates the synergistic effect on benzene formation due to the addition of propane in ethylene diffusion flames at high temperatures compared to low-temperature flames.
Figure 14.
(a) Measured (symbols) and simulated (lines), benzene formation during propane doping to ethylene counter flow flames with different propane concentrations (0%: black, 5%: red and 10%: blue), low T (1660 K) (15%O2 + 85%N2) and high T (2020 K) (20%O2 + 80% N2). (b) ROP analysis for important reactions responsible for benzene formation in the ethylene flame (reprinted from Wang et al., 2020) [118].
3.2. Synergistic Effects between Hydrocarbons and Oxygenated Fuels
Research has investigated the addition of oxygenated fuel, such as dimethyl ether (DME) and ethanol, to ethylene flames to analyze the synergistic effect [9,31,39,96,100,103,108,119,120,121,122,123,124,125]. The primary focus has been on analyzing the synergistic effect of soot formation, which mainly depends on the formation of the first aromatic hydrocarbon. The synergistic effect due to DME addition to ethylene flames depends on the pressure and DME mixing ratio. Li et al. [96] discussed the impact of pressure on the synergistic effect of benzene formation due to DME addition to the ethylene counterflow flames. Figure 15a illustrates the mole fraction of benzene as a function of the DME mixing ratio. The DME mixing ratio is defined as moles of DME relative to the total moles of the DME/ethylene fuel mixture. The results revealed that elevated pressure has a significant synergistic effect on benzene formation. At a high pressure of 5 atm, benzene formation is enhanced below a 0.2 mixing ratio of DME compared to low pressure. The observed synergistic effect resulted from the interactions between CH3 originating from DME and C2 species from ethylene. The pathway for benzene formation involves DME decomposition and hydrogen abstraction reactions (DME→CH3(H)→C2H2(C3H3)→A1). Zhang et al. [108] discussed cases based on various mole fractions of DME in the mixture. They found that adding a small amount of DME can enhance the benzene (A1) mole fraction produced in the product mixture of DME doped ethylene counterflow flames, as shown in Figure 15b. DME enhances the formation of methyl radicals, leading to the formation of propargyl radicals. The self-combination reaction of propargyl radicals significantly impacts benzene formation, as shown in Figure 3b. The analysis revealed that DME additions of up to 20% enhanced the benzene formation, leading to a synergistic effect. However, further increases in the mixing ratio of DME cause suppression of benzene formation, decreasing the synergistic effect.
Figure 15.
(a) Simulated benzene concentration at pressures of 1–5 atm in DME-doped ethylene flames (reprinted from Li et al., 2018) [96]. (b) Simulated benzene concentration in DME-doped ethylene counterflow flames with different DME ratios (cases 1, 2, 3, 4, 5, 6, 7, 8, 9, and 10 denote 0%, 10%, 20%, 30%, 40%, 50%, 60%, 70%, 80%, and 100%, respectively) at 1 atm pressure (reprinted from Zhang et al., 2019) [108].
A synergistic effect on benzene formation was revealed during the doping of ethanol into ethylene flames, including counterflow diffusion flames, laminar premixed flames, and no-premixed flames [10,31,121,123,125]. This synergistic effect depends on the amount of ethanol in the mixture. Studies revealed that ethanol doping with ethylene flames exhibits a synergistic effect when the ethanol composition is below 30% in the blend, as depicted in Figure 16a [31,126]. The analysis revealed that a higher percentage of ethanol led to less acetylene production, which suppressed benzene formation. Conversely, a lower doping ratio of ethanol enhanced the methyl radical pool, promoting interactions with C2 species to increase the production of propargyl radicals and C4 species. The resulting propargyl radical undergoes self-recombination, as shown in Figure 3b, and reacts with C2H2 for benzene formation during the ethanol-doped ethylene flames, as illustrated in Figure 16b [31]. These reactions contribute to the synergistic effect when ethanol concentrations are low, whereas an increase in ethanol concentration suppresses C3H3 formation due to a reduced rate of C2 species. Moreover, the formation of C4H6 from CH3 + C2H4 decreases with a decreasing percentage of C2H4 during the flame. Thus, ethanol concentration is crucial for the synergistic effect on benzene and soot formation during ethylene flames.
Figure 16.
(a) Simulated benzene mole fractions; (b) contribution of different reactions to benzene (A1) production in ethanol-doped ethylene counterflow flames with various ethanol doping ratios of 0% to 25% (reprinted from Yan et al., 2019) [31].
4. Synergistic Effects on PAHs Formation
4.1. Synergistic Effect on Indene Formation
Indene (C9H8), a PAH composed of one-, five-, and six-membered aromatic rings, is of significant concern for its carcinogenic, mutagenic, and environmentally harmful properties. Research studies have focused on understanding the formation mechanism of indene under various experimental conditions. Mebel et al. [48] described several pathways for indene formation, including the reaction of allene with phenyl radical followed by hydrogen abstraction, the reaction of propargyl radical with phenyl radical and benzene followed by hydrogen abstraction, acetylene addition to benzyl radical, and the addition of propene to phenyl radicals [48]. Experimental studies by Parker et al. [127] in the interstellar medium demonstrated that the addition of acetylene to the benzyl radical resulted in the formation of indene. These findings contribute to our understanding of the complex mechanisms involved in the formation of indene.
Several studies have investigated the synergistic effect on indene formation across different experimental setups, such as shock tubes, jet flow reactors, and plug flow reactors. One such study focused on the experimental and kinetic analysis of indene formation during co-pyrolysis of toluene with C3H4 isomers in a flow reactor [91], with its sensitivity analysis illustrated in Figure 17. The sensitivity analysis emphasized the significant impact of the reaction between acetylene and benzyl radical (5) on indene formation. Additionally, the reaction of propyne and H played a crucial role in producing ethylene, which is essential for indene formation in the presence of toluene. Interestingly, ethylene formation is favored at higher pressures, indicating the influence of pressure-sensitive reactions on the synergistic effect of indene formation rather than the molecular structure of the C3H4 isomer. This highlights the complex interaction between reaction pathways and operating conditions in determining the rate of indene formation in various experimental environments.
Figure 17.
Sensitivity analyses for indene in the flow reactor co-pyrolysis of 0.5%toluene/0.5%allene (TA) and 0.5%toluene/0.5%propyne (TP) with dilution of 98.5% argon and 0.5% of krypton, at 1510 K, 0.04 bar and 1256 K, 1 bar (reprinted from Liu et al., 2022) [91].
Recently, Li et al. [11] focused on the co-pyrolysis of toluene and acetylene at 1 atm pressure in a plug flow reactor and observed the synergistic effect on indene formation with the addition of acetylene, as shown in Figure 18a. They employed synchrotron vacuum ultraviolet (VUV) light to ionize the pyrolysis products and subsequently analyzed the ions utilizing a reflection time-of-flight mass spectrometer. Products such as benzene, toluene, indene, and bibenzyl were identified and measured. The addition of acetylene enhances the decomposition of toluene, revealing the synergistic effect during co-pyrolysis. Among the key reactions contributing to this effect are the thermal decomposition reaction of toluene, hydrogen abstraction from toluene, and the reaction of methyl radicals with toluene. These pathways are significant as they contribute to the consumption of toluene and the generation of intermediate species that are essential for subsequent reactions leading to indene formation. Furthermore, the presence of acetylene influences the reaction pathways of benzyl radicals, favoring the acetylene addition reaction (5) over recombination reactions, thus promoting indene formation synergistically, as illustrated in Figure 18b. The synergistic effect of the n-heptane/toluene mixture on indene formation was analyzed in a jet flow reactor, a counterflow diffusion flame, and a flow reactor [67,97,128]. These studies highlighted the crucial role of the interaction between benzyl radical and acetylene, produced due to heptane, in observing the synergistic effect between n-heptane and toluene. The synthesis of indene is governed by the concentrations of acetylene and benzyl radicals in an n-heptane/toluene fuel mixture, thus corroborating the nonlinear correlation between indene formation and toluene concentration, alongside the synergistic effect between n-heptane/toluene fuel mixture components [67]. Hamadi et al. [45] investigated the interaction of C3 species with benzene during co-pyrolysis in a shock tube. They utilized an Agilent gas chromatograph, specifically the 7890B series, connected in series with a Thermo Trace GC Ultra, which was coupled to a Thermo DSQ MS for the detection and analysis of pyrolysis products. Their kinetic study revealed that the isomerization reaction of C9 species, the benzyl radical reaction with acetylene, and the reaction of propargyl with benzene could enhance the indene formation. Furthermore, the addition of C3 to benzene was found to enhance indene formation. In summary, the formation of indene during the benzyl radical and acetylene reactions in the co-pyrolysis of toluene and acetylene exhibits a strong synergistic effect compared to all the blends described.
Figure 18.
(a) Measured (symbols) and simulated (lines) indene mole fraction in the flow reactor of toluene pyrolysis (black) and 0.5% toluene/0.5% acetylene co-pyrolysis (blue) with dilution of 98.0% argon and 1% of krypton at 1 atm, (b) reaction network of toluene pyrolysis at 1283 K, and co-pyrolysis of toluene and acetylene at 1254 K at the same conversion of toluene (reprinted from Li et al., 2021) [11].
4.2. Synergistic Effect on Naphthalene Formation
Naphthalene (A2) is the simplest PAH, comprising two fused six-member rings. Numerous experimental and theoretical investigations have focused on understanding the formation of naphthalene. Parker et al. [51] theoretically discussed the formation of naphthalene at low temperatures through barrierless phenyl radical and vinylacetylene exoergic reactions. Several studies have explored the synergistic effect of naphthalene formation due to n-heptane and toluene [15,34,45,67,95,97,107,113,128]. Shao et al. [67] conducted an experimental and kinetic modeling study on the synergistic effect of naphthalene formation in a jet-stirred reactor connected with two online GCs and the Agilent Refinery Gas Analysis for the analysis of products for heptane and toluene mixtures. Benzene, ethylbenzene, styrene, indene, and naphthalene were thus detected as aromatic products. This synergistic effect may stem from the reaction of benzyl radicals with propargyl radicals (10) or acetylene. While the enhancement of benzyl radicals is attributed to toluene, the concentration of propargyl radicals, or acetylene, is boosted by n-heptane. The formation of benzyl radicals is elevated in blends rich in toluene. Conversely, the concentrations of acetylene and propargyl, stemming from the decomposition of heptane, were anticipated to be diminished in toluene-rich blends. Consequently, fuel mixtures containing high proportions of either toluene or heptane might not facilitate the formation of naphthalene optimally. Blending both toluene and n-heptane exhibits a synergistic effect on naphthalene formation at an intermediate concentration level, as exemplified by fuel 3, as depicted in Figure 19a. Hence, the observed synergistic effect on naphthalene formation is attributed to the inclusion of n-heptane [67]. Additionally, Figure 19b illustrates the impact of the percentage of n-heptane in the blend on naphthalene formation, indicating that up to 40% n-heptane presence favors an increase in naphthalene formation. However, a further increase in the percentage of n-heptane would result in a reduction in the naphthalene percentage. Thus, this comprehensive study revealed the significant synergistic effect of n-heptane and toluene compositions on naphthalene.
Figure 19.
(a) Measured (symbols) and simulated (lines) mole fractions of naphthalene in the JSR pyrolysis of toluene/n-heptane mixtures with different blending ratios (fuel 1: 2075 ppm of toluene and 460 ppm of n-heptane; fuel 2: 1380 ppm of toluene and 1130 ppm of n-heptane.; fuel 3: 680 ppm of toluene and 1840 ppm of n-heptane.). (b) Effect of n-heptane concentration on naphthalene formation (symbols: measurements; lines: simulations) during co-pyrolysis of toluene and n-heptane in JSR at 1 atm and residence time of 1.0 sec (reprinted from Shao et al., 2020) [67].
Choi et al. [101] adopted LII and LIF techniques in counterflow diffusion flame experiments to investigate the blends of toluene with n-heptane and isooctane, respectively, with various kinetic studies reported on the resulting PAH and soot formation [34,97,107,113]. According to the authors, the measured LIF data is expected to be contributed primarily by A2 and A4, while the measured LII data is expected to be A5. The authors revealed that, among the n-heptane/toluene and isooctane/toluene mixtures, the latter exhibited a relatively strong synergistic effect on the PAH formation, particularly the naphthalene formation, as depicted in Figure 20. The formation of resonantly stabilized radicals, such as benzyl and propargyl radicals, contributed to the naphthalene formation. The ratio of blend components plays a vital role in this synergistic effect, with an increase in the toluene ratio correlating with enhanced naphthalene formation, as shown in Figure 20. In a chemical kinetic analysis conducted by Liu et al. [95] on the counterflow diffusion flame using two previously reported mechanisms by An et al. [113] and Wang et al. [129], it was observed that the mechanism proposed by An et al. [113] highlighted the significance of reaction (14) in naphthalene formation due to the addition of toluene in the isooctane toluene blend, followed by the formation of C10H9 through benzyl radical. Conversely, the mechanism proposed by Wang et al. [129] emphasized that naphthalene formation during the isooctane/toluene flame study primarily occurred through the recombination reaction of a resonantly stabilized pentadienyl radical (9) and the reaction of benzene with iC4H5.
A2- + H2 = A2 + H
Figure 20.
PAH formation in the counterflow flames of (a) n-heptane and toluene and (b) iso-octane and toluene. Symbols show the PAHs measured results measured by LII (indication of larger PAH molecules such as A5) and LIF (indication of A2 and A4), and lines show the simulated results of naphthalene (A2), phenanthrene (A3), pyrene (A4) and benzo[e]pyrene (A5) (reprinted from Park et al., 2017) [97].
Hamadi et al. [45] conducted experiments on benzene/ethylene and benzene/acetylene blend pyrolysis in a single pulse shock tube at high pressure, with product composition detected through the gas chromatography-mass spectrometry technique. Their study revealed a synergistic effect in naphthalene formation during the pyrolysis of the blend at high pressure, favoring the formation of larger PAH, as illustrated in Figure 21a. Interestingly, the ethylene/benzene blend was found to lower the temperature of naphthalene formation compared to the pure benzene and benzene/acetylene blends. Figure 21a indicates a negligible difference between the acetylene/benzene blend and pure benzene in terms of naphthalene formation, suggesting that the HACA pathway is less efficient in the presence of acetylene. The kinetic study and rate of production analysis elucidated those dominant reactions during pyrolysis, including hydrogen abstraction and benzene decomposition. Furthermore, the HACA reaction pathway through A1C2H enhanced the formation of the naphthyl radical, which then underwent hydrogen abstraction, while adding ethylene enhanced the formation of naphthalene via 6, 7 and 15. Additionally, Choi et al. [99] investigated the addition of various fuel components, such as n-heptane, ethanol, benzene, and toluene, to ethylene in a diffusion flame. Their study concluded that adding liquid fuel components, particularly benzene and toluene, to ethylene exhibited a high synergistic effect on naphthalene compared to all mentioned fuel blends with ethylene and pure ethylene diffusion flame, as depicted in Figure 21b.
A2- + C2H4 = A2 + C2H3
Figure 21.
(a) Measured (symbols) and simulated (lines) mole fractions of naphthalene in the shock tube pyrolysis of benzene (108 ppm), benzene (108 ppm)/acetylene (500 ppm), and benzene (108 ppm)/ethylene (532 ppm) at 20 atm (reprinted from Hamadi et al., 2022) [45]. (b) Simulated naphthalene mole fractions in the ethylene counterflow flames doped by n-heptane, ethanol, benzene, and toluene (reprinted from Choi et al., 2015) [99].
4.3. Synergistic Effect on Larger PAHs Formation
As discussed in the preceding sections, the combustion process can yield larger PAHs beyond indene and naphthalene. This discussion now delves into the impact of various fuel blends on PAH formation, which can result in either a positive or negative synergistic effect. A negative synergistic effect would entail a decrease in PAH formation upon the addition of certain fuel components. Several research studies have explored this phenomenon across different experimental setups, including shock tubes and counter-flow diffusion flames [45,99,115]. Combining benzene with acetylene and ethylene in the shock tube experiments demonstrated a synergistic effect on PAH formation. Co-pyrolysis of benzene and acetylene at temperatures ranging from 1400–1500 K revealed a synergistic effect attributed to the formation of phenylacetylene (6) [45]. The hydrogen atom produced alongside phenylacetylene plays a vital role in promoting the consumption of acetylene and benzene. Moreover, the formation of phenylacetylene via acetylene addition enhanced the addition elimination reaction between phenyl acetylene and phenyl radicals, resulting in the formation of PAH isomers such as phenanthrene and anthracene, as illustrated in Figure 22. The addition of acetylene to the fuel mixture enhanced the HACA route for PAH formation. Furthermore, Hussain et al. [130] examined the co-pyrolysis of benzene/acetylene and benzene/acetylene with dimethyl ether addition. Their findings revealed that the addition of acetylene and DME enhanced the formation of PAH, including phenanthrene and pyrene, due to an enhanced radical pool during co-pyrolysis. However, the influence of adding dimethyl ether was less significant under identical fuel conversion conditions, albeit improving PAH formation at a relatively lower temperature. The study emphasized the propensity of the HACA reaction pathway to favor phenanthrene and pyrene formation.
Figure 22.
Measured (symbols) and simulated (lines) mole fractions of (a) phenanthrene and (b) anthracene in the pyrolysis benzene (108 ppm), benzene (108 ppm)/acetylene (500 ppm), and benzene (108 ppm)/ethylene (532 ppm) at 20 atm (reprinted from Hamadi et al., 2022) [45].
Figure 23 illustrates the reaction pathways P1–P5 involved in the synergistic effect of the phenanthrene formation. Pathway 1 involves the interaction of C3H5 with A2CH2, while pathway 2 entails the self-addition reaction of A1CH2. Pathway 3 involves the replacement of a methyl radical from methyl phenanthrene, while pathway 4 includes C3H2 addition to methyl naphthalene. Pathway 5 depicts the biphenyl radical reaction with acetylene. These pathways play a significant role in phenanthrene formation, with pathways P2–P4 particularly crucial for the synergistic effect compared to P1 and P5 during the isooctane/toluene flame study [34].
Figure 23.
Reactions leading to synergistic effects on phenanthrene (reprinted from Raj et al., 2012) [34].
The synergistic effect was observed in the counterflow diffusion flame’s experimental and simulation setups [98,105,115], particularly concerning the ethylene/propane mixture flame and the ethylene/propane mixture doped with benzene. Experimental findings indicated that the ethylene/propane mixture flame exhibits a synergistic effect on PAH formation, with comparisons of LIF intensity at various wavelengths corroborating simulated results for other PAHs. Notably, larger PAHs showed a more pronounced synergistic effect, indicating that additional variables beyond incipient ring production influence PAH formation rates. Compared to pure propane, ethylene leads to more PAH and soot formation, with PAH formation depending on the propane concentration in the mixture, as shown in Figure 24. The addition of benzene to the ethylene/propane mixture flame enhanced the formation of larger species, reducing the synergistic effect on benzene formation. LIF signals revealed weaker signals at 330 nm compared to others for longer-wavelength detection. Additionally, non-monotonic characteristics of odd-carbon species and resonantly stabled radicals such as C5H5, C6H5CH2, A2CH2, and C9H7, alongside C4H4 and H atoms, played a crucial role in elucidating the synergistic effect on the formation of larger PAH. Wang et al. [115] illustrated the synergistic effect of these species, emphasizing their role in the formation of larger PAH through various reaction routes, including reactions (10 and 11) for the synergistic effect of A3 formation and the self-addition reaction of C9H7 (12 and 13) significantly impacting the synergistic effect on A4 formation, as depicted in Figure 24.
Figure 24.
Measured and simulated PAH mole fractions in the (a) propane/ethylene counterflow flame and (b) benzene/ethylene/propane counterflow flame (reprinted from Wang et al., 2013) [115].
5. Conclusions and Perspectives
Carcinogenic polycyclic aromatic hydrocarbons are produced during the combustion process., with their formation contingent upon the fuel type and reaction conditions. Fuel blends play a pivotal role in shaping the composition of PAH formation. Given the diverse and intricate nature of PAHs, numerous reactions have been delineated and consolidated in this review, delineating different pathways for PAH formation. However, ongoing research may uncover new mechanisms that contribute to a deeper understanding of PAH formation.
The review offers a comprehensive analysis of the synergistic effect on both mono-aromatic and PAH formation during the combustion process, drawing from a combination of experimental and simulation studies. It emphasized the significant influence of temperature and pressure on the interaction between fuel components, such as 1,3-butadiene/propyne, propane/ethylene, and ethane/ethylene, leading to the formation of mono-aromatic hydrocarbons. Conversely, the addition of dimethyl ether and ethanol to ethylene exhibited a synergistic effect at low concentrations but diminished at higher concentrations of oxygenated fuel components. Furthermore, the review summarizes findings related to synergistic effects in the formation of indene, naphthalene, and higher polyaromatic hydrocarbon formation in various mixtures. Mechanisms such as hydrogen abstraction and acetylene addition (HACA) were found to significantly influence indene and naphthalene formation, while reactions involving resonantly stabilized indenyl radicals and cyclopentadienyl radical reactions contributed to phenanthrene and pyrene formation.
A further key development for understanding the synergistic effects on aromatic formation is the identification of more critical reactions, especially for larger PAHs. Additional reaction pathways have been uncovered, contributing to PAH formation in various contexts, such as sustainable aviation fuel combustion and the interstellar medium. These advancements encompass more comprehensive measurements of PAHs in both premixed and non-premixed flames, flow reactors, and jet-stirred reactors, as well as quantum chemical computational calculations aimed at enhancing our understanding of the key reactions involved in synergistic effects on aromatic formation. Furthermore, the understanding of synergistic effects on soot formation will be facilitated by the use of diagnostic methods and numerical simulations.
Author Contributions
Conceptualization, Y.L. and B.H.; formal analysis, B.H.; investigation, B.H. and Q.F.; writing—original draft preparation, B.H.; writing—review and editing, W.L.; funding acquisition, W.L. and Y.L. All authors have read and agreed to the published version of the manuscript.
Funding
This research was funded by the National Natural Science Foundation of China (52206164), the Science Center for Gas Turbine Project (P2022-B-II-017-001) and the Oceanic Interdisciplinary Program of Shanghai Jiao Tong University (SL2022ZD104).
Institutional Review Board Statement
Not applicable.
Informed Consent Statement
Not applicable.
Data Availability Statement
Data will be made available on request.
Conflicts of Interest
The authors declare no conflicts of interest.
References
- Abbas, I.; Badran, G.; Verdin, A.; Ledoux, F.; Roumié, M.; Courcot, D.; Garçon, G. Polycyclic aromatic hydrocarbon derivatives in airborne particulate matter: Sources, analysis and toxicity. Environ. Chem. Lett. 2018, 16, 439–475. [Google Scholar] [CrossRef]
- Li, S.; Chen, Y.n.; Zhang, J.; Song, K.; Mu, G.; Sun, C.; Ju, H.; Ji, M. The relationship of chromophoric dissolved organic matter parallel factor analysis fluorescence and polycyclic aromatic hydrocarbons in natural surface waters. Environ. Sci. Pollut. Res. 2018, 25, 1428–1438. [Google Scholar] [CrossRef] [PubMed]
- D’Anna, A.; Sirignano, M. Detailed kinetic mechanisms of PAH and soot formation. In Computer Aided Chemical Engineering; Elsevier: Amsterdam, The Netherlands, 2019; Volume 45, pp. 647–672. [Google Scholar]
- Zhang, L.; Yang, L.; Zhou, Q.; Zhang, X.; Xing, W.; Wei, Y.; Hu, M.; Zhao, L.; Toriba, A.; Hayakawa, K. Size distribution of particulate polycyclic aromatic hydrocarbons in fresh combustion smoke and ambient air: A review. J. Environ. Sci. 2020, 88, 370–384. [Google Scholar] [CrossRef] [PubMed]
- Abdel-Shafy, H.I.; Mansour, M.S. A review on polycyclic aromatic hydrocarbons: Source, environmental impact, effect on human health and remediation. Egypt. J. Pet. 2016, 25, 107–123. [Google Scholar] [CrossRef]
- Richter, H.; Howard, J.B. Formation of polycyclic aromatic hydrocarbons and their growth to soot—A review of chemical reaction pathways. Prog. Energy Combust. Sci. 2000, 26, 565–608. [Google Scholar] [CrossRef]
- Reizer, E.; Viskolcz, B.; Fiser, B. Formation and growth mechanisms of polycyclic aromatic hydrocarbons: A mini-review. Chemosphere 2021, 291, 132793. [Google Scholar] [CrossRef] [PubMed]
- Xu, L.; Yan, F.; Dai, W.; Zhou, M.; Chung, S.H.; Wang, Y. Synergistic effects on soot formation in counterflow diffusion flames of acetylene-based binary mixture fuels. Combust. Flame 2020, 216, 24–28. [Google Scholar] [CrossRef]
- Ahmed, H.A.; Ashraf, M.A.; Steinmetz, S.A.; Dunn, M.J.; Masri, A.R. The role of DME addition on the evolution of soot and soot precursors in laminar ethylene jet flames. Proc. Combust. Inst. 2021, 38, 5319–5329. [Google Scholar] [CrossRef]
- Yang, S.S.; Gülder, Ö.L. Sooting characteristics of ethanol-ethylene blends in laminar coflow diffusion flames up to 10 bar. Combust. Flame 2021, 225, 39–47. [Google Scholar] [CrossRef]
- Li, T.; Zhang, Y.; Yuan, W.; Cao, C.; Li, W.; Yang, J.; Li, Y. Unraveling synergistic effects on pyrolysis reactivity and indene formation in co-pyrolysis of toluene and acetylene. Proc. Combust. Inst. 2021, 38, 1413–1421. [Google Scholar] [CrossRef]
- Poddar, N.B.; Thomas, S.; Wornat, M.J. Polycyclic aromatic hydrocarbons from the co-pyrolysis of 1,3-butadiene and propyne. Proc. Combust. Inst. 2013, 34, 1775–1783. [Google Scholar] [CrossRef]
- Zhang, Y.; Somers, K.P.; Mehl, M.; Pitz, W.J.; Cracknell, R.F.; Curran, H.J. Probing the antagonistic effect of toluene as a component in surrogate fuel models at low temperatures and high pressures. A case study of toluene/dimethyl ether mixtures. Proc. Combust. Inst. 2017, 36, 413–421. [Google Scholar] [CrossRef]
- Bhattacharya, A.; Shahanaghi, A.; Kaario, O.; Vuorinen, V.; Tripathi, R.; Sarjovaara, T. Effects of blending 2,5-dimethylfuran and dimethyl ether to toluene primary reference fuels: A chemical kinetic study. Fuel 2021, 304, 121401. [Google Scholar] [CrossRef]
- Xu, H.; Yao, C.; Xu, G.; Wang, Z.; Jin, H. Experimental and modelling studies of the effects of methanol and ethanol addition on the laminar premixed low-pressure n-heptane/toluene flames. Combust. Flame 2013, 160, 1333–1344. [Google Scholar] [CrossRef]
- Lindstedt, R.; Skevis, G. Benene formation chemistry in premixed 1, 3-butadiene flames. In Symposium (International) on Combustion; Elsevier: Amsterdam, The Netherlands, 1996; pp. 703–709. [Google Scholar]
- Buras, Z.J.; Dames, E.E.; Merchant, S.S.; Liu, G.; Elsamra, R.M.I.; Green, W.H. Kinetics and Products of Vinyl + 1,3-Butadiene, a Potential Route to Benzene. J. Phys. Chem. A 2015, 119, 7325–7338. [Google Scholar] [CrossRef]
- Jursic, B.; Zdravkovski, Z. DFT study of the Diels–Alder reactions between ethylene with buta-1,3-diene and cyclopentadiene. J. Chem. Soc. Perkin Trans. 1995, 2, 1223–1226. [Google Scholar] [CrossRef]
- Woods, P.M.; Millar, T.; Zijlstra, A.; Herbst, E. The synthesis of benzene in the proto-planetary nebula CRL 618. Astrophys. J. 2002, 574, L167. [Google Scholar] [CrossRef]
- Wang, E.; Ding, J. Reaction between the i-C4H5 radical and propargyl radical (C3H3): A theoretical study. Chem. Phys. Lett. 2021, 768, 138407. [Google Scholar] [CrossRef]
- Zhang, F.; Jones, B.; Maksyutenko, P.; Kaiser, R.I.; Chin, C.; Kislov, V.V.; Mebel, A.M. Formation of the phenyl radical [C6H5 (X2A1)] under single collision conditions: A crossed molecular beam and ab initio study. J. Am. Chem. Soc. 2010, 132, 2672–2683. [Google Scholar] [CrossRef]
- Stein, S.E.; Walker, J.A.; Suryan, M.M.; Fahr, A. A new path to benzene in flames. In Symposium (International) on Combustion; Elsevier: Amsterdam, The Netherlands, 1991; pp. 85–90. [Google Scholar]
- Frenklach, M.; Clary, D.W.; Gardiner, W.C., Jr.; Stein, S.E. Detailed kinetic modeling of soot formation in shock-tube pyrolysis of acetylene. In Symposium (International) on Combustion; Elsevier: Amsterdam, The Netherlands, 1985; pp. 887–901. [Google Scholar]
- Frenklach, M.; Clary, D.W.; Ramachandra, M. Shock Tube Study of the Fuel Structure Effects on the Chemical Kinetic Mechanisms Responsible for Soot Formation, Part 2. NAS 1.26:174880, 1 May 1985. [Google Scholar]
- Frenklach, M.; Wang, H. Detailed modeling of soot particle nucleation and growth. In Symposium (International) on Combustion; Elsevier: Amsterdam, The Netherlands, 1991; pp. 1559–1566. [Google Scholar]
- Moriarty, N.W.; Brown, N.J.; Frenklach, M. Hydrogen migration in the phenylethen-2-yl radical. J. Phys. Chem. A 1999, 103, 7127–7135. [Google Scholar] [CrossRef]
- Kislov, V.; Sadovnikov, A.; Mebel, A. Formation mechanism of polycyclic aromatic hydrocarbons beyond the second aromatic ring. J. Phys. Chem. A 2013, 117, 4794–4816. [Google Scholar] [CrossRef] [PubMed]
- Frenklach, M.; Singh, R.I.; Mebel, A.M. On the low-temperature limit of HACA. Proc. Combust. Inst. 2019, 37, 969–976. [Google Scholar] [CrossRef]
- Shukla, B.; Susa, A.; Miyoshi, A.; Koshi, M. Role of phenyl radicals in the growth of polycyclic aromatic hydrocarbons. J. Phys. Chem. A 2008, 112, 2362–2369. [Google Scholar] [CrossRef] [PubMed]
- Kislov, V.; Islamova, N.; Kolker, A.; Lin, S.; Mebel, A. Hydrogen abstraction acetylene addition and Diels—Alder mechanisms of PAH formation: A detailed study using first principles calculations. J. Chem. Theory Comput. 2005, 1, 908–924. [Google Scholar] [CrossRef] [PubMed]
- Yan, F.; Xu, L.; Wang, Y.; Park, S.; Sarathy, S.M.; Chung, S.H. On the opposing effects of methanol and ethanol addition on PAH and soot formation in ethylene counterflow diffusion flames. Combust. Flame 2019, 202, 228–242. [Google Scholar] [CrossRef]
- Frenklach, M. Reaction mechanism of soot formation in flames. Phys. Chem. Chem. Phys. 2002, 4, 2028–2037. [Google Scholar] [CrossRef]
- Bittner, J.; Howard, J. Composition profiles and reaction mechanisms in a near-sooting premixed benzene/oxygen/argon flame. In Symposium (International) on Combustion; Elsevier: Amsterdam, The Netherlands, 1981; pp. 1105–1116. [Google Scholar]
- Raj, A.; Prada, I.D.C.; Amer, A.A.; Chung, S.H. A reaction mechanism for gasoline surrogate fuels for large polycyclic aromatic hydrocarbons. Combust. Flame 2012, 159, 500–515. [Google Scholar] [CrossRef]
- Mebel, A.M.; Georgievskii, Y.; Jasper, A.W.; Klippenstein, S.J. Temperature-and pressure-dependent rate coefficients for the HACA pathways from benzene to naphthalene. Proc. Combust. Inst. 2017, 36, 919–926. [Google Scholar] [CrossRef]
- Shinde, V.M.; Pradeep, P. Detailed gas-phase kinetics and reduced reaction mechanism for methane pyrolysis involved in CVD/CVI processes. J. Anal. Appl. Pyrolysis 2021, 154, 104998. [Google Scholar] [CrossRef]
- Sun, W.; Hamadi, A.; Abid, S.; Chaumeix, N.; Comandini, A. An experimental and kinetic modeling study of phenylacetylene decomposition and the reactions with acetylene/ethylene under shock tube pyrolysis conditions. Combust. Flame 2020, 220, 257–271. [Google Scholar] [CrossRef]
- Naik, C.V.; Puduppakkam, K.V.; Modak, A.; Meeks, E.; Wang, Y.L.; Feng, Q.; Tsotsis, T.T. Detailed chemical kinetic mechanism for surrogates of alternative jet fuels. Combust. Flame 2011, 158, 434–445. [Google Scholar] [CrossRef]
- Li, T.; Mitra, T.; Chu, C.; Yuan, Y.; Thomson, M.J. Investigation of PAH and soot formation in a dimethyl ether (DME) laminar coflow diffusion flame. Combust. Flame 2021, 223, 437–449. [Google Scholar] [CrossRef]
- Slavinskaya, N.A.; Riedel, U.; Dworkin, S.B.; Thomson, M.J. Detailed numerical modeling of PAH formation and growth in non-premixed ethylene and ethane flames. Combust. Flame 2012, 159, 979–995. [Google Scholar] [CrossRef]
- Cassady, S.J.; Choudhary, R.; Pinkowski, N.H.; Shao, J.; Davidson, D.F.; Hanson, R.K. The thermal decomposition of ethane. Fuel 2020, 268, 117409. [Google Scholar] [CrossRef]
- Liu, P.; Li, Z.; Bennett, A.; Lin, H.; Sarathy, S.M.; Roberts, W.L. The site effect on PAHs formation in HACA-based mass growth process. Combust. Flame 2019, 199, 54–68. [Google Scholar] [CrossRef]
- Parker, D.S.; Kaiser, R.I.; Bandyopadhyay, B.; Kostko, O.; Troy, T.P.; Ahmed, M. Unexpected chemistry from the reaction of naphthyl and acetylene at combustion-like temperatures. Angew. Chem. Int. Ed. 2015, 54, 5421–5424. [Google Scholar] [CrossRef]
- Shukla, B.; Koshi, M. A highly efficient growth mechanism of polycyclic aromatic hydrocarbons. Phys. Chem. Chem. Phys. 2010, 12, 2427–2437. [Google Scholar] [CrossRef] [PubMed]
- Hamadi, A.; Sun, W.; Abid, S.; Chaumeix, N.; Comandini, A. An experimental and kinetic modeling study of benzene pyrolysis with C2−C3 unsaturated hydrocarbons. Combust. Flame 2022, 237, 111858. [Google Scholar] [CrossRef]
- Badger, G.; Buttery, R.; Kimber, R.; Lewis, G.; Moritz, A.; Napier, I. The formation of aromatic hydrocarbons at high temperatures. Part I. Introduction. J. Chem. Soc. 1958, 498, 2449–2452. [Google Scholar] [CrossRef]
- Appel, J.; Bockhorn, H.; Frenklach, M. Kinetic modeling of soot formation with detailed chemistry and physics: Laminar premixed flames of C2 hydrocarbons. Combust. Flame 2000, 121, 122–136. [Google Scholar] [CrossRef]
- Mebel, A.M.; Landera, A.; Kaiser, R.I. Formation mechanisms of naphthalene and indene: From the interstellar medium to combustion flames. J. Phys. Chem. A 2017, 121, 901–926. [Google Scholar] [CrossRef] [PubMed]
- Yang, J.; Zhao, L.; Yuan, W.; Qi, F.; Li, Y. Experimental and kinetic modeling investigation on laminar premixed benzene flames with various equivalence ratios. Proc. Combust. Inst. 2015, 35, 855–862. [Google Scholar] [CrossRef]
- Zhao, L.; Kaiser, R.I.; Xu, B.; Ablikim, U.; Ahmed, M.; Zagidullin, M.V.; Azyazov, V.N.; Howlader, A.H.; Wnuk, S.F.; Mebel, A.M. VUV photoionization study of the formation of the simplest polycyclic aromatic hydrocarbon: Naphthalene (C10H8). J. Phys. Chem. Lett. 2018, 9, 2620–2626. [Google Scholar] [CrossRef] [PubMed]
- Parker, D.S.; Zhang, F.; Kim, Y.S.; Kaiser, R.I.; Landera, A.; Kislov, V.V.; Mebel, A.M.; Tielens, A.G. Low temperature formation of naphthalene and its role in the synthesis of PAHs (polycyclic aromatic hydrocarbons) in the interstellar medium. Proc. Natl. Acad. Sci. USA 2012, 109, 53–58. [Google Scholar] [CrossRef] [PubMed]
- Liu, P.; Zhang, Y.; Li, Z.; Bennett, A.; Lin, H.; Sarathy, S.M.; Roberts, W.L. Computational study of polycyclic aromatic hydrocarbons growth by vinylacetylene addition. Combust. Flame 2019, 202, 276–291. [Google Scholar] [CrossRef]
- Zhao, L.; Kaiser, R.I.; Xu, B.; Ablikim, U.; Ahmed, M.; Evseev, M.M.; Bashkirov, E.K.; Azyazov, V.N.; Mebel, A.M. Low-temperature formation of polycyclic aromatic hydrocarbons in Titan’s atmosphere. Nat. Astron 2018, 2, 973–979. [Google Scholar] [CrossRef]
- Kim, Y.; Kaiser, R. An infrared spectroscopic study of amorphous and crystalline ices of vinylacetylene and implications for Saturn’s satellite Titan. Astrophys. J. Suppl. Ser. 2009, 181, 543. [Google Scholar] [CrossRef]
- Zhao, L.; Kaiser, R.I.; Lu, W.; Ahmed, M.; Evseev, M.M.; Bashkirov, E.K.; Azyazov, V.N.; Tönshoff, C.; Reicherter, F.; Bettinger, H.F. A free-radical prompted barrierless gas-phase synthesis of pentacene. Angew. Chem. Int. Ed. 2020, 59, 11334–11338. [Google Scholar] [CrossRef] [PubMed]
- Contreras, C.S.; Salama, F. Laboratory investigations of polycyclic aromatic hydrocarbon formation and destruction in the circumstellar outflows of carbon stars. Astrophys. J. Suppl. Ser. 2013, 208, 6. [Google Scholar] [CrossRef]
- Li, A. PAHs in Comets: An Overview; Springer: Berlin/Heidelberg, Germany, 2009; pp. 161–175. [Google Scholar]
- Yang, T.; Muzangwa, L.; Kaiser, R.I.; Jamal, A.; Morokuma, K. A combined crossed molecular beam and theoretical investigation of the reaction of the meta-tolyl radical with vinylacetylene—Toward the formation of methylnaphthalenes. Phys. Chem. Chem. Phys. 2015, 17, 21564–21575. [Google Scholar] [CrossRef]
- Couch, D.E.; Kukkadapu, G.; Zhang, A.J.; Jasper, A.W.; Taatjes, C.A.; Hansen, N. The role of radical-radical chain-propagating pathways in the phenyl + propargyl reaction. Proc. Combust. Inst. 2022, 39, 643–651. [Google Scholar] [CrossRef]
- Jin, H.; Guo, J.; Li, T.; Zhou, Z.; Im, H.G.; Farooq, A. Experimental and numerical study of polycyclic aromatic hydrocarbon formation in ethylene laminar co-flow diffusion flames. Fuel 2021, 289, 119931. [Google Scholar] [CrossRef]
- Georganta, E.; Rahman, R.K.; Raj, A.; Sinha, S. Growth of polycyclic aromatic hydrocarbons (PAHs) by methyl radicals: Pyrene formation from phenanthrene. Combust. Flame 2017, 185, 129–141. [Google Scholar] [CrossRef]
- Zhao, L.; Prendergast, M.B.; Kaiser, R.I.; Xu, B.; Ablikim, U.; Ahmed, M.; Sun, B.J.; Chen, Y.L.; Chang, A.H.; Mohamed, R.K. Synthesis of polycyclic aromatic hydrocarbons by phenyl addition–dehydrocyclization: The third way. Angew. Chem. 2019, 131, 17603–17611. [Google Scholar] [CrossRef]
- Vermeire, F.H.; De Bruycker, R.; Herbinet, O.; Carstensen, H.-H.; Battin-Leclerc, F.; Marin, G.B.; Van Geem, K.M. Experimental and kinetic modeling study of the pyrolysis and oxidation of 1,5-hexadiene: The reactivity of allylic radicals and their role in the formation of aromatics. Fuel 2017, 208, 779–790. [Google Scholar] [CrossRef]
- Roohi, H.; Moghadam, B. Decomposition mechanism of the phenylaminyl C6H5N H radical to propargyl and acetylene: A M06-2X, CBS-QB3 and G4 study. Chem. Phys. Lett. 2019, 730, 332–339. [Google Scholar] [CrossRef]
- Zhou, C.-W.; Li, Y.; Burke, U.; Banyon, C.; Somers, K.P.; Ding, S.; Khan, S.; Hargis, J.W.; Sikes, T.; Mathieu, O.; et al. An experimental and chemical kinetic modeling study of 1,3-butadiene combustion: Ignition delay time and laminar flame speed measurements. Combust. Flame 2018, 197, 423–438. [Google Scholar] [CrossRef]
- Jin, H.; Xing, L.; Hao, J.; Yang, J.; Zhang, Y.; Cao, C.; Pan, Y.; Farooq, A. A chemical kinetic modeling study of indene pyrolysis. Combust. Flame 2019, 206, 1–20. [Google Scholar] [CrossRef]
- Shao, C.; Kukkadapu, G.; Wagnon, S.W.; Pitz, W.J.; Sarathy, S.M. PAH formation from jet stirred reactor pyrolysis of gasoline surrogates. Combust. Flame 2020, 219, 312–326. [Google Scholar] [CrossRef]
- Huang, C.; Zhang, P.; Wang, J.; Kang, S.; Zhang, F.; Law, C.K.; Yang, B. Determination of rate constants for a thermoneutral H-abstraction reaction: Allylic hydrogen abstraction from 1,5-hexadiene by allyl radical. Proc. Combust. Inst. 2021, 38, 861–869. [Google Scholar] [CrossRef]
- Zhao, L.; Prendergast, M.B.; Kaiser, R.I.; Xu, B.; Lu, W.; Ablikim, U.; Ahmed, M.; Oleinikov, A.D.; Azyazov, V.N.; Mebel, A.M.; et al. Reactivity of the Indenyl Radical (C9H7) with Acetylene (C2H2) and Vinylacetylene (C4H4). ChemPhysChem 2019, 20, 1437–1447. [Google Scholar] [CrossRef] [PubMed]
- Baroncelli, M.; Mao, Q.; Galle, S.; Hansen, N.; Pitsch, H. Role of ring-enlargement reactions in the formation of aromatic hydrocarbons. Phys. Chem. Chem. Phys. 2020, 22, 4699–4714. [Google Scholar] [CrossRef] [PubMed]
- Gentile, F.S.; Picca, F.; De Falco, G.; Commodo, M.; Minutolo, P.; Causà, M.; D′Anna, A. Soot inception: A DFT study of σ and π dimerization of resonantly stabilized aromatic radicals. Fuel 2020, 279, 118491. [Google Scholar] [CrossRef]
- Harding, L.B.; Klippenstein, S.J. Theoretical kinetic estimates for the recombination of hydrogen atoms with propargyl and allyl radicals. Proc. Combust. Inst. 2000, 28, 1503–1509. [Google Scholar] [CrossRef]
- Jin, H.; Xing, L.; Liu, D.; Hao, J.; Yang, J.; Farooq, A. First aromatic ring formation by the radical-chain reaction of vinylacetylene and propargyl. Combust. Flame 2021, 225, 524–534. [Google Scholar] [CrossRef]
- Johansson, K.O.; Head-Gordon, M.P.; Schrader, P.E.; Wilson, K.R.; Michelsen, H.A. Resonance-stabilized hydrocarbon-radical chain reactions may explain soot inception and growth. Science 2018, 361, 997–1000. [Google Scholar] [CrossRef] [PubMed]
- Van Hoomissen, D.J.; Vyas, S. Impact of Conjugation and Hyperconjugation on the Radical Stability of Allylic and Benzylic Systems: A Theoretical Study. J. Org. Chem. 2017, 82, 5731–5742. [Google Scholar] [CrossRef] [PubMed]
- Martin, J.W.; Hou, D.; Menon, A.; Pascazio, L.; Akroyd, J.; You, X.; Kraft, M. Reactivity of polycyclic aromatic hydrocarbon soot precursors: Implications of localized π-radicals on rim-based pentagonal rings. J. Phys. Chem. C 2019, 123, 26673–26682. [Google Scholar] [CrossRef]
- McEnally, C.S.; Pfefferle, L.D.; Atakan, B.; Kohse-Hoinghaus, K. Studies of aromatic hydrocarbon formation mechanisms in flames: Progress towards closing the fuel gap. Prog. Energy Combust. Sci. 2006, 32, 247–294. [Google Scholar] [CrossRef]
- Sinha, S.; Raj, A. Polycyclic aromatic hydrocarbon (PAH) formation from benzyl radicals: A reaction kinetics study. Phys. Chem. Chem. Phys. 2016, 18, 8120–8131. [Google Scholar] [CrossRef]
- Sinha, S.; Rahman, R.K.; Raj, A. On the role of resonantly stabilized radicals in polycyclic aromatic hydrocarbon (PAH) formation: Pyrene and fluoranthene formation from benzyl-indenyl addition. Phys. Chem. Chem. Phys. 2017, 19, 19262–19278. [Google Scholar] [CrossRef] [PubMed]
- Jin, H.; Xing, L.; Yang, J.; Zhou, Z.; Qi, F.; Farooq, A. Continuous Butadiyne Addition to Propargyl: A Radical-Efficient Pathway for Polycyclic Aromatic Hydrocarbons. J. Phys. Chem. Lett. 2021, 12, 8109–8114. [Google Scholar] [CrossRef]
- Yoon, Y.H.; Hörst, S.M.; Hicks, R.K.; Li, R.; de Gouw, J.A.; Tolbert, M.A. The role of benzene photolysis in Titan haze formation. Icarus 2014, 233, 233–241. [Google Scholar] [CrossRef]
- Shukla, B.; Koshi, M. A novel route for PAH growth in HACA based mechanisms. Combust. Flame 2012, 159, 3589–3596. [Google Scholar] [CrossRef]
- Weissman, M.; Benson, S.W. Pyrolysis of methyl chloride, a pathway in the chlorine-catalyzed polymerization of methane. Int. J. Chem. Kinet. 1984, 16, 307–333. [Google Scholar] [CrossRef]
- Gómez-Balderas, R.; Coote, M.L.; Henry, D.J.; Radom, L. Reliable theoretical procedures for calculating the rate of methyl radical addition to carbon−carbon double and triple bonds. J. Phys. Chem. A 2004, 108, 2874–2883. [Google Scholar] [CrossRef]
- Shukla, B.; Miyoshi, A.; Koshi, M. Role of methyl radicals in the growth of PAHs. J. Am. Soc. Mass Spectrom. 2010, 21, 534–544. [Google Scholar] [CrossRef] [PubMed]
- Tucker, K.; Kutner, M.; Thaddeus, P. The ethynyl radical C2H-A new interstellar molecule. Astrophys. J. 1974, 193, L115–L119. [Google Scholar] [CrossRef]
- Mebel, A.M.; Kislov, V.V.; Kaiser, R.I. Photoinduced mechanism of formation and growth of polycyclic aromatic hydrocarbons in low-temperature environments via successive ethynyl radical additions. J. Am. Chem. Soc. 2008, 130, 13618–13629. [Google Scholar] [CrossRef]
- Marsh, N.D.; Wornat, M.J. Formation pathways of ethynyl-substituted and cyclopenta-fused polycyclic aromatic hydrocarbons. Proc. Combust. Inst. 2000, 28, 2585–2592. [Google Scholar] [CrossRef]
- Reizer, E.; Csizmadia, I.G.; Nehéz, K.; Viskolcz, B.; Fiser, B. Theoretical investigation of benzo (a) pyrene formation. Chem. Phys. Lett. 2021, 772, 138564. [Google Scholar] [CrossRef]
- Jin, H.; Ye, L.; Yang, J.; Jiang, Y.; Zhao, L.; Farooq, A. Inception of carbonaceous nanostructures via hydrogen-abstraction phenylacetylene-addition mechanism. J. Am. Chem. Soc. 2021, 143, 20710–20716. [Google Scholar] [CrossRef]
- Liu, Z.; Fan, X.; Chen, H.; Yang, J.; Zhao, L.; Law, C.K.; Yang, B. Synergistic effects in toluene/C3H4 isomers co-pyrolysis: Formation of indene and naphthalene. Proc. Combust. Inst. 2022, 39, 989–997. [Google Scholar] [CrossRef]
- Sun, W.; Hamadi, A.; Abid, S.; Chaumeix, N.; Comandini, A. Influences of propylene/propyne addition on toluene pyrolysis in a single-pulse shock tube. Combust. Flame 2022, 236, 111799. [Google Scholar] [CrossRef]
- Sun, W.; Hamadi, A.; Abid, S.; Chaumeix, N.; Comandini, A. Detailed experimental and kinetic modeling study of toluene/C2 pyrolysis in a single-pulse shock tube. Combust. Flame 2021, 226, 129–142. [Google Scholar] [CrossRef]
- Sirignano, M.; Ciajolo, A.; D’Anna, A.; Russo, C. Particle formation in premixed ethylene-benzene flames: An experimental and modeling study. Combust. Flame 2019, 200, 23–31. [Google Scholar] [CrossRef]
- Liu, F.; Hua, Y.; Wu, H.; Lee, C.-f. Effect of toluene addition on the PAH formation in laminar coflow diffusion flames of n-heptane and isooctane. Energy Fuels 2018, 32, 7142–7152. [Google Scholar] [CrossRef]
- Li, Z.; Amin, H.M.F.; Liu, P.; Wang, Y.; Chung, S.H.; Roberts, W.L. Effect of dimethyl ether (DME) addition on sooting limits in counterflow diffusion flames of ethylene at elevated pressures. Combust. Flame 2018, 197, 463–470. [Google Scholar] [CrossRef]
- Park, S.; Wang, Y.; Chung, S.H.; Sarathy, S.M. Compositional effects on PAH and soot formation in counterflow diffusion flames of gasoline surrogate fuels. Combust. Flame 2017, 178, 46–60. [Google Scholar] [CrossRef]
- Park, S.; Wang, Y.; Chung, S.H.; Sarathy, S.M. A PAH growth mechanism and effect of alcohol addition on PAH formation in counterflow ethylene diffusion flames. In Proceedings of the European Combustion Meeting, Budapest, Hungary, 30 March–2 April 2015; pp. 5–15, P5-15. [Google Scholar]
- Choi, S.K.; Choi, B.C.; Lee, S.M.; Choi, J.H. The effect of liquid fuel doping on PAH and soot formation in counterflow ethylene diffusion flames. Exp. Therm Fluid Sci. 2015, 60, 123–131. [Google Scholar] [CrossRef]
- Liu, F.; He, X.; Ma, X.; Zhang, Q.; Thomson, M.J.; Guo, H.; Smallwood, G.J.; Shuai, S.; Wang, J. An experimental and numerical study of the effects of dimethyl ether addition to fuel on polycyclic aromatic hydrocarbon and soot formation in laminar coflow ethylene/air diffusion flames. Combust. Flame 2011, 158, 547–563. [Google Scholar] [CrossRef]
- Choi, B.C.; Choi, S.K.; Chung, S.H. Soot formation characteristics of gasoline surrogate fuels in counterflow diffusion flames. Proc. Combust. Inst. 2011, 33, 609–616. [Google Scholar] [CrossRef]
- Poddar, N.B.; Thomas, S.; Wornat, M.J. Polycyclic aromatic hydrocarbons from the co-pyrolysis of catechol and propyne. Proc. Combust. Inst. 2011, 33, 541–548. [Google Scholar] [CrossRef]
- Yoon, S.S.; Anh, D.H.; Chung, S.H. Synergistic effect of mixing dimethyl ether with methane, ethane, propane, and ethylene fuels on polycyclic aromatic hydrocarbon and soot formation. Combust. Flame 2008, 154, 368–377. [Google Scholar] [CrossRef]
- Yoon, S.S.; Lee, S.M.; Chung, S.H. Effect of mixing methane, ethane, propane, and propene on the synergistic effect of PAH and soot formation in ethylene-base counterflow diffusion flames. Proc. Combust. Inst. 2005, 30, 1417–1424. [Google Scholar] [CrossRef]
- Lee, S.M.; Yoon, S.S.; Chung, S.H. Synergistic effect on soot formation in counterflow diffusion flames of ethylene-propane mixtures with benzene addition. Combust. Flame 2004, 136, 493–500. [Google Scholar] [CrossRef]
- Roesler, J.; Martinot, S.; McEnally, C.; Pfefferle, L.; Delfau, J.-L.; Vovelle, C. Investigating the role of methane on the growth of aromatic hydrocarbons and soot in fundamental combustion processes. Combust. Flame 2003, 134, 249–260. [Google Scholar] [CrossRef]
- Dong, X.; Chang, Y.; Niu, B.; Jia, M. Development of a practical reaction model of polycyclic aromatic hydrocarbon (PAH) formation and oxidation for diesel surrogate fuel. Fuel 2020, 267, 117159. [Google Scholar] [CrossRef]
- Zhang, P.; Kang, Y.; Wu, Z.; Lu, X.; Wang, Q.; Mei, L. Effect of dimethyl ether addition on soot formation dynamics of ethylene opposed-flow diffusion flames. Ind. Eng. Chem. Res. 2019, 58, 8370–8386. [Google Scholar] [CrossRef]
- Bhattacharya, A.; Basu, S. An investigation into the heat release and emissions from counterflow diffusion flames of methane/dimethyl ether/hydrogen blends in air. Int. J. Hydrogen Energy 2019, 44, 22328–22346. [Google Scholar] [CrossRef]
- Kang, Y.; Sun, Y.; Lu, X.; Gou, X.; Sun, S.; Yan, J.; Song, Y.; Zhang, P.; Wang, Q.; Ji, X. Soot formation characteristics of ethylene premixed burner-stabilized stagnation flame with dimethyl ether addition. Energy 2018, 150, 709–721. [Google Scholar] [CrossRef]
- Consalvi, J.-L.; Liu, F.; Kashif, M.; Legros, G. Numerical study of soot formation in laminar coflow methane/air diffusion flames doped by n-heptane/toluene and iso-octane/toluene blends. Combust. Flame 2017, 180, 167–174. [Google Scholar] [CrossRef][Green Version]
- Li, T.; Zou, J.-b.; Zhang, Y.; Cao, C.-c.; Li, W.; Yuan, W.-h. Numerical investigation on 1, 3-butadiene/propyne co-pyrolysis and insight into synergistic effect on aromatic hydrocarbon formation. Chin. J. Chem. Phys. 2017, 30, 287–294. [Google Scholar] [CrossRef][Green Version]
- An, Y.-z.; Pei, Y.-q.; Qin, J.; Zhao, H.; Li, X. Kinetic modeling of polycyclic aromatic hydrocarbons formation process for gasoline surrogate fuels. Energy Convers. Manag. 2015, 100, 249–261. [Google Scholar] [CrossRef]
- Cuoci, A.; Frassoldati, A.; Faravelli, T.; Ranzi, E. A computational tool for the detailed kinetic modeling of laminar flames: Application to C2H4/CH4 coflow flames. Combust. Flame 2013, 160, 870–886. [Google Scholar] [CrossRef]
- Wang, Y.; Raj, A.; Chung, S.H. A PAH growth mechanism and synergistic effect on PAH formation in counterflow diffusion flames. Combust. Flame 2013, 160, 1667–1676. [Google Scholar] [CrossRef]
- Guo, H.S.; Trottier, S.; Johnson, M.R.; Smallwood, G.J. A numerical investigation on soot formation from laminar diffusion flames of ethylene/methane mixture. In Proceedings of the 2008 ASME Summer Heat Transfer Conference, Jacksonville, FL, USA, 10–14 August 2008; pp. 103–109. [Google Scholar]
- Wang, Y.; Raj, A.; Chung, S.H. Soot modeling of counterflow diffusion flames of ethylene-based binary mixture fuels. Combust. Flame 2015, 162, 586–596. [Google Scholar]
- Wang, W.; Xu, L.; Yan, J.; Wang, Y. Temperature dependence of the fuel mixing effect on soot precursor formation in ethylene-based diffusion flames. Fuel 2020, 267, 117121. [Google Scholar]
- Chen, M.; Liu, D. Morphology and nanostructure transitions of soot with various dimethyl ether additions in nonpremixed ethylene flames at different scales. Energy Fuels 2020, 34, 16705–16719. [Google Scholar] [CrossRef]
- Li, Z.; Liu, P.; Zhang, P.; Wang, Y.; He, H.; Chung, S.H.; Roberts, W.L. Role of dimethyl ether in incipient soot formation in premixed ethylene flames. Combust. Flame 2020, 216, 271–279. [Google Scholar] [CrossRef]
- McEnally, C.S.; Pfefferle, L.D. The effects of dimethyl ether and ethanol on benzene and soot formation in ethylene nonpremixed flames. Proc. Combust. Inst. 2007, 31, 603–610. [Google Scholar] [CrossRef]
- Sirignano, M.; Salamanca, M.; D’Anna, A. The role of dimethyl ether as substituent to ethylene on particulate formation in premixed and counter-flow diffusion flames. Fuel 2014, 126, 256–262. [Google Scholar] [CrossRef]
- Zhang, Y.; Li, Y.; Liu, P.; Zhan, R.; Huang, Z.; Lin, H. Investigation on the chemical effects of dimethyl ether and ethanol additions on PAH formation in laminar premixed ethylene flames. Fuel 2019, 256, 115809. [Google Scholar] [CrossRef]
- Esarte, C.; Millera, A.; Bilbao, R.; Alzueta, M.U. Effect of ethanol, dimethylether, and oxygen, when mixed with acetylene, on the formation of soot and gas products. Ind. Eng. Chem. Res. 2010, 49, 6772–6779. [Google Scholar] [CrossRef]
- Zhou, M.; Yan, F.; Zhong, X.; Xu, L.; Wang, Y. Sooting characteristics of partially-premixed flames of ethanol and ethylene mixtures: Unravelling the opposing effects of ethanol addition on soot formation in non-premixed and premixed flames. Fuel 2021, 291, 120089. [Google Scholar] [CrossRef]
- Griffin, E.A.; Christensen, M.; Gülder, Ö.L. Effect of ethanol addition on soot formation in laminar methane diffusion flames at pressures above atmospheric. Combust. Flame 2018, 193, 306–312. [Google Scholar] [CrossRef]
- Parker, D.S.; Kaiser, R.I.; Kostko, O.; Ahmed, M. Selective formation of indene through the reaction of benzyl radicals with acetylene. ChemPhysChem 2015, 16, 2091–2093. [Google Scholar] [CrossRef] [PubMed]
- Shao, C.; Wang, H.; Atef, N.; Wang, Z.; Chen, B.; Almalki, M.; Zhang, Y.; Cao, C.; Yang, J.; Sarathy, S.M. Polycyclic aromatic hydrocarbons in pyrolysis of gasoline surrogates (n-heptane/iso-octane/toluene). Proc. Combust. Inst. 2019, 37, 993–1001. [Google Scholar] [CrossRef]
- Wang, H.; Yao, M.; Yue, Z.; Jia, M.; Reitz, R.D. A reduced toluene reference fuel chemical kinetic mechanism for combustion and polycyclic-aromatic hydrocarbon predictions. Combust. Flame 2015, 162, 2390–2404. [Google Scholar] [CrossRef]
- Hussain, B.; Fang, Q.; Fang, J.; Zhang, Y.; Li, W.; Li, Y. Experimental and kinetic modeling investigation on the co-pyrolysis of benzene, acetylene, and dimethyl ether: Insights into the fuel component interactions. J. Anal. Appl. Pyrolysis 2024, 178, 106418. [Google Scholar] [CrossRef]
Disclaimer/Publisher’s Note: The statements, opinions and data contained in all publications are solely those of the individual author(s) and contributor(s) and not of MDPI and/or the editor(s). MDPI and/or the editor(s) disclaim responsibility for any injury to people or property resulting from any ideas, methods, instructions or products referred to in the content. |
© 2024 by the authors. Licensee MDPI, Basel, Switzerland. This article is an open access article distributed under the terms and conditions of the Creative Commons Attribution (CC BY) license (https://creativecommons.org/licenses/by/4.0/).























