Abstract
Lake Markakol is located in a metal-rich mountain area of Kazakhstan. Metal input into the lake water and in the bottom sediments can be expected. Lead, cobalt and nickel monitoring in both near-surface and deep-water layers and in bottom sediments was carried out using flame atomic absorption spectrometric analyses. Lead contamination of surface water ranging from 2.6 to 6.8 µg/L occurs in all water samples with the exception of the surface water layer. In the deep-water section concentrations reach up to 13.0–16.2 µg/L. Cobalt concentrations range from 36.8 to 67.5 µg/L in the surface layer and from 25.5 to 69.2 µg/L in the deep-water layer. High values of nickel were found in the surface and bottom layers of the water, ranging from 13.5 to 49.0 and 17.2 to 49.0 µg/L, respectively. High concentrations of lead, cobalt and nickel were identified in all samples of the bottom sediments. The lead content in bottom sediments reaches 11.3, cobalt reaches 10.3–18.0 and nickel reaches 15.0 mg kg−1. The results and their assessment can serve as a basis for future monitoring and measures to reduce pollution, restore the lake ecosystem and ensure the safety of fishery products for humans.
1. Introduction
Lakes do not only have important water storage functions within the water cycle. Lakes also function as matter and element sinks of their catchments. Metals from the catchment flowing via runoff into lakes can enrich there, especially in the bottom sediments of lakes [1]. Lake Markakol (Figure 1) is one of the unique natural water bodies and is located in the “Markakol State Nature Reserve” at an altitude of 1447 m above sea level. It was inscribed in the UNESCO Heritage list in June 2022. At the end of the last century, high-altitude lakes were considered indicators of global change impacts [2]. However, research data from the early 1980s show elevated concentrations of heavy metals in the lake water exceeding maximum permissible concentrations: zinc up to 2.2 times, copper up to 3.4 times, and high values for lead and nickel [3,4]. The quality of the lake water was assessed as having a “moderate level of pollution” during monitoring studies conducted by RSE “Kazhydromet” in the first decade of the 2000s due to increased heavy metal concentrations: copper up to 2.6 µg/L, zinc—5.8 µg/L, lead—4.1 µg/L, and cobalt—5.0 µg/L [5,6,7,8]. This indicates the anthropogenic impact on the aquatic ecosystem of the lake. The reasons are probably due to the exploration of gold and rare metal deposits in the area of the Kurchumsky Ridge. There, the Yelovskoye deposit of polymetallic ores has been confirmed in the National Reports and scientific reports [5,7,8,9,10].
Figure 1.
Location of Lake Markakol and of the water and sediment sampling points (1–20).
Within a grant project conducted in 2023 to determine the quality of the aquatic environment of Lake Markakol, heavy metals in high concentrations, both in the water column and in the bottom sediments, were confirmed [11]. It is known that environmental pollution with highly toxic heavy metals can cause serious environmental problems, negatively affecting aquatic ecosystems, soil cover and the biosphere as a whole [12,13,14,15]. Heavy metals entering water bodies are accumulated in the bottom layers of the water and can be concentrated and deposited in bottom sediments [16,17,18,19,20]. In addition, the migration activity of heavy metals in aquatic ecosystems can also be a result of desorption processes as a result of secondary water pollution accompanied by natural climatic factors, such as water agitation during wind waves and water runoff from coastal areas.
High metal contents in natural objects, in turn, depend on the physicochemical properties of metals, their activity and mobility, as well as on the physicochemical characteristics of water, on the granulometric composition of bottom sediments and on the bioavailability of metals for ichthyofauna and water flora [21,22,23].
Metals, characterized by high toxicity and persistence, can, in turn, accumulate in living organisms and engage in biochemical reactions. Due to the constant exchange of chemical elements between living organisms and the abiotic environment, heavy metals accumulating along the trophic chain “water-bottom sediments-plants-fish-human” can get into the human body and disturb the main vital functions [17,24,25,26,27,28].
That is why the first objective of this study was to analyze the present status of lead, cobalt and nickel concentrations, both in the near-surface and deep-water column, and in the bottom sediments, at 20 sampling points of Lake Markakol. A second objective was to search for the spatial distribution of these metals within the water–bottom sediments system, analyzing the results of the 20 sampling points with the help of GIS techniques while also considering the influence of the tributaries on the lake and the features of the surrounding catchments.
2. Materials and Methods
2.1. Study Area
Lake Markakol is one of the largest mountain lakes in Kazakhstan, which was formed as a result of tectonic faults in the Altai Mountains [29,30,31]. The catchment is formed by ridges surrounding the lake: Kurchumsky—from the south; Azutau—from the south and east; and Sorvenkovsky Belok—from the northeast. The mountain ridges have heights of 2000–3000 m above sea level. The highest elevation of the area is 3304.5 m. The catchment area is 1180 km2, the surface area of the lake is 454.1 km2, and the volume of the lake is 6.5 km3. The lake is 38 km long and 19 km wide, with a maximum depth of 23.8 m [28].
The lake contains soft water with low mineralization, 70 mg/L, according to our own measurements [11]. The rivers Topolevka, Matabai, Yelovka, and Urunhaika, asw well as about 30 small brooks, flow into the lake. The Kalzhyr River originates from the lake outflow (Figure 1) [30,31,32].
The climate of the Markakol basin is sharply continental, with severe snowy winters and warm, moderately humid summers. The Markakol area is the coldest region in Kazakhstan: minimum temperatures reach −55 °C. Warm days account for 162 days, while frost days below 0 °C account for 203 days. The average monthly long-term air temperatures for 1983–2023 are −22.0 °C for January and 14.5 °C for July. The freeze-up occurs between 6 November and 4 December, with an average date of 20 November. Only the source of the Kalzhyr River remains unfrozen. On average, the lake opens on 9 May, and the latest recorded date for the lake to be completely clear of ice is 28 May [5,32].
2.2. Sampling
Fieldwork was conducted from 3 July to 13 August 2023. The choice of the field trip date was determined by weather conditions, as early or late departure could affect the success of our work.
Conducting the sampling required for spectrometric analyses to determine the heavy metals in water and sediments was a critical phase of this study that required careful adherence and monitoring. Our approach involved sampling at different layers and points in the lake (Figure 1). The sampling process included the collection of both water samples and bottom sediment samples. The surface layer sampling was carried out in the surface water layers at a depth of 0.5 m. A bottle bathometer was used for water sampling at different depths throughout the lake water area. A Petersen dredge was used to sample bottom sediments at established points across the lake (Figure 1).
2.3. Laboratory Analyses
The methodology for the metal determinations of the water samples and bottom sediments using a flame atomic absorption spectrometer includes several steps [33,34]: (1) Sample preparation: the water samples were delivered to the laboratory for filtering using blue tape filter paper with a pore size of 2–3 microns; (2) the water samples were filtered directly into 250 mL glass bottles with tight-fitting lids; (3) the filtered samples were stored and transported in a portable refrigerator, model ALPICOOL CF 45 (China), at a temperature of 10 °C; (4) the time that passed between sampling and filtration was 5–6 h, and between filtration and analysis, 10 to 15 days. The time period between sampling and analysis primarily depends on the length of the field research days; (5) sample preservation was not necessary because the lake water is ultra-fresh and does not contain high concentrations of dissolved minerals, according to the ST RK ISO 8288-2005 method; (6) the essence of the method used to analyze mobile forms of metals is to process samples of bottom sediments with an ammonium acetate buffer solution followed by the subsequent determination of metals in the resulting solution via atomic absorption analysis; (7) in order to avoid different light absorption and eliminate interfering influences during atomic absorption analysis, which can distort the results of metal determination, solutions were prepared using an ammonium acetate buffer solution with pH 4.8; and (8) according to the RD 52.18.289-90 procedure, the bottom sediment sample was dried to an air-dried state. An air-dried sample of the bottom sediments weighing 5 g was transferred to clean polyethylene bottles, and 50 mL of ammonium acetate buffer solution was added, which was kept for 24 h at room temperature, stirring 5–7 times in a circular motion. Then, we filtered the samples with the solution into clean 100 mL polyethylene bottles with a tight-fitting lid using a folded paper filter “white tape” with a pore size of 5–8 microns. The volume of the filtrate in the volumetric flask was supplemented with a buffer solution to 100 mL.
For the construction of calibration graphs (r = 0.99) for quality control and the calibration of the spectrometric determination of metals, different concentrations of State Standard Samples (SSO), according to [33], registered in the Register of the State Measurement System of the Republic of Kazakhstan in different concentrations:
- An aqueous solution of lead ions (SSO 7012-93) (2K-1) in concentrations CPb = 0.0125; 0.025; 0.05; 0.1 mg/L;
- An aqueous solution of cobalt ions (SSO 7880-2001) (NK-EC) in concentrations CCo = 0.1; 0.15; 0.2; 0.5 mg/L;
- An aqueous solution of nickel ions (SSO 7873-2000) (NK-EC) in concentrations CNi = 0.1; 0.15; 0.2; 0.5 mg/L.
The determination of heavy metals was carried out via the flame atomic absorption spectrometric method [33,34] using an atomic absorption spectrophotometer AA-7000 (Shimadzu Company, (Kyoto Japan) operating with an acetylene–air mixture. The method is based on the property of metal atoms to absorb light of certain wavelengths in a ground state (Pb—283.3 nm; Co—240.7 nm; and Ni—232.0 nm), which they emit in an excited state. The obtained atomic absorption analysis data were used to estimate the metal content in the water and sediment samples.
2.4. Standards
The maximum permissible concentrations of heavy metals in the unified classification system of water quality in water bodies [35] were approved by order of the Chairman of the Committee on Water Resources of the Ministry of Agriculture of the Republic of Kazakhstan based on a literary source [32]: Pb—5.0 µg/L; Co—6.0 µg/L; and Ni—8.0 µg/L.
2.5. GIS Analysis and Map Construction
By processing the obtained data using geoinformation systems, ArcGIS 10.8 (ArcMap, ArcScene), maps of the spatial distribution of heavy metals in the studied water body were constructed. This made it possible to assess the current ecological state, providing a visual representation of the contaminants distributed in different layers and parts of the lake. To visualize the spatial distribution of lead, cobalt and nickel in the “water-bottom sediments” system, the measurement units of metal concentration are presented in milligrams for ease of understanding (surface and bottom layer of water—mg/L; bottom sediments—mg kg−1).
The created map models integrating geospatial and environmental data can provide a deeper understanding of both the state of the aquatic ecosystems and effective measures to preserve aquatic ecosystems.
For the construction of a depth map, the morphometric characteristics (depth, length, width, and water volume) of the lake were updated, which included sounding work to construct a bathymetric map with digital recordings of the depths on an electronic medium that continuously records the bottom profile along the tack. The depth map was compiled using the licensed Surfer program and was subsequently converted into three dimensions. At the same time, during the bathymetric studies, 1,360,769 depth points were measured throughout the lake.
3. Results and Discussion
3.1. Lead, Cobalt and Nickel Concentrations in the Water Column
Heavy metals, such as lead, cobalt and nickel, can enter into the aquatic environment of Lake Markakol together with mining wastes and runoff via the lake’s coastal areas, as well as atmospheric precipitation, forming compounds with water particles and settling on the bottom of the water body. In addition, cobalt may enter the aquatic environment as a result of leaching from rocks [19,32,36,37].
According to the results of the spectrometric analysis, lead concentrations exceed the maximum permissible concentrations (Pb: 5.0 µg/L [33]) in all selected samples from 2.6 to 6.8 µg/L (Figure 2), with the exception of the concentrations in the surface water layer of the lake. In the zones influenced by inflowing rivers, the average lead contents are as follows: at the mouth of Matabai River, 4.5 µg/L; at Yelovka River, 6.5 µg/L; and at Topolevka River, 5.7 µg/L (Figure 3). These concentrate towards the central zone of the lake. In the bottom layer, high concentrations of lead were localized in the deep-water part, up to 13.0–16.2 µg/L, indicating deposition in bottom sediments (Figure 2). As described below, the bottom sediments were identified as sapropel. Therefore, suspended substances were present in the bottom layer since there are suspensions at the boundary of the bottom sediments and bottom water layer. Water masses with lead concentrations exceeding the norms were registered in the rivers Urunhaika, 10.4 µg/L, and Yelovka, 14.1 µg/L (Figure 3) [19,35].

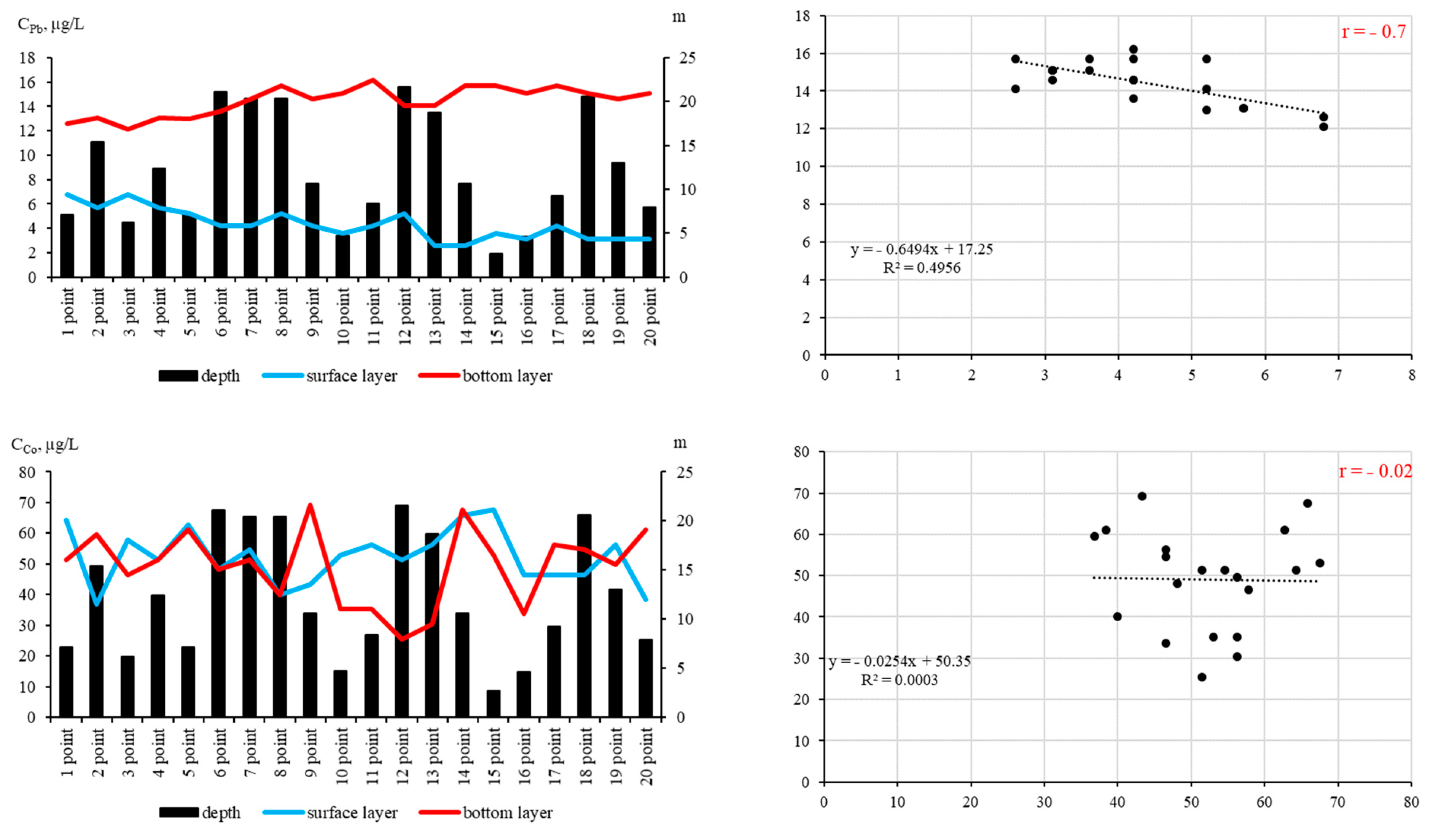
Figure 2.
Lead (Pb), cobalt (Co) and nickel (Ni) concentrations in the water column of Lake Markakol and the correlation of their concentrations between water layers (dotted lines–trend lines).
Figure 3.
Lead, cobalt and nickel concentrations in river water of the study area.
As depicted in Figure 2, the correlation between the lead concentration in surface and bottom layers (r = −0.7) indicates that there is a statistical relationship between the two water layers, and the coefficient of determination (R2) value of 0.4956 provides additional information on the relationship between the water layers, indicating active biogeochemical processes occurring in the water column, particularly desorption processes, which can lead to secondary pollution. For example, such desorption processes can be initiated by changing weather, temperature, pH, redox reactions, and turbation conditions.
Cobalt was determined in high concentrations in the aquatic environment of the lake: in the surface layer, it was 36.8–67.5 µg/L, and in the bottom layer, it was 25.5–69.2 µg/L. High concentrations of these metals were analyzed throughout the lake water area, especially in the shallow zones influenced by the Tikhushka (67.5 µg/L), Zhirelka (53.0 µg/L) and Yelovka (64.3 µg/L) rivers, and in the bottom water layers of the Tikhushka (53.0 µg/L), Zhirelka (35.2 µg/L) and Yelovka (51.4 µg/L) rivers (Figure 2). High concentrations of cobalt are characteristic of all the inflowing rivers: 43.3 µg/L at Yelovka River; 61.1 µg/L at Topolevka River; 44.9 µg/L at Matabai River; and 64.3 µg/L at Urunhaika River (Figure 3).
High nickel values were detected in both surface and bottom layers, ranging from 13.5 to 49.0 µg/L and from 17.2 to 49.0 µg/L, respectively (Figure 2). The coastal zones of the lake water area in the surface layers are subjected to intensive nickel pollution under the influence of inflowing rivers, up to 41.6–49.0 µg/L at points 11 and 12 (Matabai River—24.7 µg/L), up to 47.2 µg/L at point 10 (Zhirelka River—77.1 µg/L), up to 37.8 µg/L at point 16 (Tikhushka River—39.7 µg/L), and up to 35.9 µg/L at point 3 (Yelovka River—84.6 µg/L) (Figure 2 and Figure 3).
No definite regularity of nickel pollution present in bottom water layers can be traced from the lake depth or from the influence of inflowing rivers. In addition, there is no correlation in the concentrations of cobalt (r = −0.02) and nickel (r = 0.06) between the water layers, as well as in the coefficients of determination (Figure 2), which is associated with the different physical and chemical properties of the metals and processes occurring in the water, such as geological, anthropogenic, chemical factors, and sedimentation or complexation, affecting the distribution of metals in different layers.
There is an increase in nickel and cobalt concentrations in the tributaries of both the northern and the southern parts of the lake, exceeding fishery standards by tens of times, both at the inflowing rivers and at the outflow of the Kalzhyr River. The metal-contaminated water masses of the Kalzhyr River, originating from Lake Markakol, flow into one of the major rivers of Central Asia, the Irtysh (Yertis) River (Figure 3).
High values of cobalt and nickel in the aquatic environment and their localization in deep bottom water layers may indicate various processes and factors affecting the structure of these metals in the lake, such as the geological structure and composition of rocks around the lake, which are dominated by minerals rich in these metals, which may lead to their leaching into the water. Consequently, the rich rock deposits of cobalt–nickel ores found in Eastern Kazakhstan, “Gornostaevskoye” and “Belogorskoye”, belong to the silicate-type containing Ni (1083–2482 g/t) and Co (50–72 g/t), are responsible for reversing the effect of natural–anthropogenic pollution in relation to the ecosystem of the water bodies in the eastern region, increasing the technogenic load on the water bodies [38,39,40,41].
3.2. Lead, Cobalt and Nickel Concentrations in Bottom Sediments
When assessing the pollution levels present in bottom sediments of Lake Markakol, high levels of lead, cobalt and nickel were detected in all of the analyzed samples at 20 points. The lead content in the bottom sediments was detected as ranging from 4.6 to 11.3 mg kg−1, with an average of 7.4 mg kg−1. The accumulation of lead in deep waters is expressed by a weak correlation (r = 0.4) between the lead concentration present in the bottom sediments and lake depth.
Figure 4 shows high lead concentrations existing in bottom sediments of deep-water areas at depths of 10 m and deeper, up to 21 m, in a range of 8.3–11.4 mg kg−1, also in the zones influenced by the Tikhushka River (point 16) 9.6 mg kg−1 and Topolevka River (point 4) 9.8 mg kg−1. Chemically bound lead in the bottom sediments of a lake is generally a good prerequisite for relatively good Pb storage. However, with higher lead concentrations, there is greater potential for chemical transformation to bioavailable forms of lead, which can be dangerous for aquatic organisms and vegetation. For example, internal water exchange occurring in the lake between the bottom and the surface water body, driven by wind, mud flow, water temperature differences, pH and redox changes or earthquakes can initiate the transformation of chemically bound lead to bioavailable lead [12].
Figure 4.
Lead, cobalt and nickel concentrations in Lake Markakol bottom sediments at 20 measuring points.
The cobalt found in bottom sediments is present in high concentrations across the entire water area, up to 10.3–18.0 mg kg−1; the nickel values vary from 3.4 to 15.0 mg kg−1 (Figure 4). On average, high cobalt concentrations were detected in deep water zones up to 15.7 mg kg−1 (point 8); and in the zones influenced by rivers, this was up to 13.2 mg kg−1 (points 11, 17) for cobalt and up to 10.0 mg kg−1 for nickel (Figure 4). Low nickel concentrations in bottom sediments of the deep lake zone with a correlation coefficient (r = −0.3) may indicate that under high cobalt concentration conditions, nickel concentrations in the bottom sediments decrease. This can take place due to various processes, such as competition between metals for particle adsorption, fluctuations in water composition and the particle size distribution in the bottom sediments or the surfaces of bottom-forming rocks, vegetation and aquatic organisms [42,43,44,45,46,47].
In past studies [7,8,9,10], Lake Markakol has been described as a deep-water lake with an irregular, mainly stony bottom, transitioning to a muddy bottom in the shallow areas. According to information from the Ministry of Ecology and Natural Resources of the Republic of Kazakhstan, the soils of the lake catchment area are represented by several types, such as mountain–tundra, mountain–forest, and mountain–meadow soil types, as well as dark gray slightly podzolic, forest–black earth, mountain–forest–meadow, meadow–steppe, chernozem mountain–steppe leached soil types, as well as meadow–chernozem, name–meadow, meadow–swamp and swamp [8]. Referring to this soil information, it is understandable that during the field studies, the upper layer of the bottom sediments at the bottom of the lake was characterized by sapropels, dark types, and closer to the shoreline and shallow zone—brown type—which is significantly different from the lithogenic base of the surrounding landscape. However, this can be understood as a result of the erosion of humic soil layers from the surrounding lake catchment and their liquid underwater transformation. In all of the studied samples, a thick suspension was formed at the water–bottom section, changing into liquid sapropel.
Sapropelic sediments are usually organic sediments rich in vegetation remains and other organic materials that alter the chemical and physical properties of bottom sediments and influence the adsorption mechanisms of heavy metals [48,49,50]. In turn, organic matter forms complexes with metals, affecting their bioavailability and migration.
Thus, the assessment of bottom sediment pollution of Lake Markakol had its own peculiarity. That is why it was important to take into account the peculiarities of sapropelic sediments and their influence on the chemical processes associated with heavy metals. The evaluation of the bottom sediments has to consider that the upper layer of sapropel is subject to rapid agitation and mixing in the lake due to hydrodynamic processes, as sapropel is a product of destructive processes, which may well be a source of secondary pollution in the lake. According to the results of the bottom sediment analyses of heavy metals, it is also possible to study historical pollution since bottom sediments are also archives of former pollution present in the water body [51,52,53,54].
Increased concentrations of organic and biogenic compounds in the lake water can contribute to the accumulation of heavy metals in the bottom sediments [55,56,57,58]. The mobility of high gross concentrations of cobalt (30 µg g−1 and more), copper (10 µg g−1 and more) and nickel (200 µg g−1 and more) or a part of them in the bottom sediments of Lake Yantarnoye could be one reason for the increased percentage of sick fish or fish with pathologies [59,60]. Thus, the maximum ability to concentrate heavy metals is possessed by suspended solids and bottom sediments, then plankton, benthos and fish.
Exposure to heavy metals can lead to pathological changes in the liver, kidneys, gonads and gills, as well as impaired fish growth and maturation [61]. According to the results of scientific research, “Pasvik Water Quality until 2013”, nickel accumulates in the kidneys and gills’ mercury, accumulates in the liver and kidneys, and its content is highest in predatory species (in the muscle tissues of perch and pike) [62,63]. Consequently, studying the food chain, including the migration of heavy metals from sources of pollution to humans, permissible limits of metal concentrations in biological environments and characterization of the level of anthropogenic load and risk to public health, is of both theoretical and practical importance [64,65].
3.3. Spatial Distribution and Migration Activity of Lead, Cobalt and Nickel in the “Water-Bottom Sediments” System
Of particular interest to us was the fact that Lake Markakol, which is an endemic natural region of both East Kazakhstan and Kazakhstan as a whole, could be subject to pollution of anthropogenic origin [5,7,8,9]. When studying the lake’s heavy metal pollution, it was necessary to present a general picture of the anthropogenic load on the whole aquatic ecosystem. This study and the pollution assessment of the lake could be insufficient without examining more spatial dimensions. Therefore, water samples from the bottom layer and bottom sediments were also taken to visualize the spatial distribution of lead, cobalt and nickel in the system “water-bottom sediments”. According to some authors [66,67,68,69,70], the mechanisms of pollutant transfer from water mass to bottom sediments, including minerals and organic mud, and back, involve two-way processes of sorption and desorption, affecting the preservation and accumulation of pollutants within aquatic ecosystems. Sorption can occur through electrostatic forces, ion exchange and other chemical interactions. Clays and other minerals are able to retain contaminated substances, making them less mobile in aquatic environments.
Sedimentation and accumulation is where particles to which pollutants were sorbed undergo sorption and can settle to the bottom of a water body through the process of sedimentation. This is where the formation of a layer of bottom sediments takes place. The accumulation of contaminants in bottom sediments may occur as a consequence of their gradual sedimentation from the aqueous phase.
Chemical processes between pollutants and sediment components may also start in the sediments, which may lead to the formation of insoluble substances, making them stable in the sediment environment.
These processes are not only based on the characteristics of pollutants and bottom sediment components, they are also specific for each water body, depending on bathometric, hydrological and hydro-chemical parameters [71].
When assessing the ecological state of lakes, it is important to study the spatial distribution and migration of heavy metals in the “water–bottom sediments” system, where the water body includes both the surface and bottom layers. In the distribution of lead in the surface layer, there is a high increase in the northern part of the lake of up to 0.0057–0.0068 mg/L under the influence of runoff from the Yelovka and Topolevka rivers. In the bottom water layers and bottom sediments, significant lead concentrations are traced in the central, eastern and southeastern parts of the lake, i.e., it migrates from coastal zones to deep waters. There was also a migration of lead detected within the water column, with increasing concentrations from the surface layer to the bottom layer; if we look at an average of 0.0043 mg/L to 0.014 mg/L across the water column, it settles in the upper layers of the bottom sediments at an amount of 7.35 mg kg−1 (Figure 5). The eastern shallow part of the lake is also subject to lead contamination of the bottom and sediment layers due to human activities. Apparently, the locations of the tourist zone and Urunhaika settlement in the eastern part affect the general ecological state of the lake.
Figure 5.
Lead content in the “water-bottom sediments” system (Water surface layer in µg/L, water bottom layer in µg/L, bottom sediments in mg/kg, lake water depth in m) of Lake Markakol. The visualization shown in Figure 5 is a 3D model also presented in the Supplementary Material Figure S1.
Differences in the spatial distribution of cobalt and its sedimentation in the water column in shallow areas of the lake and in the zones influenced by tributaries in the surface layer are relatively small, up to 0.052 mg/L in the surface layer and up to 0.049 mg/L in the bottom layer (Figure 6). No definite regularity in the vertical migration of cobalt can be traced. The average cobalt content in the bottom sediments was 13.56 mg kg−1, with maximum values in the central zone of up to 14.2 mg kg−1, and in the zones influenced by the Yelovka River, up to 12.2 mg kg−1, the rivers Zhirelka and Topolevka, up to 12.9 mg kg−1, and the rivers Urunhaika and Tikhushka, up to 16.4 mg kg−1. High concentrations of cobalt were detected both in the water column and in sapropel sediments throughout the bottom of the lake. The influence of rivers can be traced in shallow areas of the surface and bottom water layers.
Figure 6.
Cobalt content in the “water-bottom sediments” system (Water surface layer in µg/L, water bottom layer in µg/L, bottom sediments in mg/kg, lake water depth in m) of Lake Markakol. The visualization shown in Figure 6 is a 3D model also presented in the Supplementary Material Figure S2.
By nature, nickel is a metal with low abundance, and it is found in a dissolved form in natural waters [72,73]. Nickel migration activity in the “water—bottom sediments” system depends on the content of organic compounds in the water and bottom sediments [67,69,71]. As can be seen in Figure 7, the spatial distribution of nickel shows the same character for the surface and bottom water layers. Contaminated water masses of Tikhushka, Zhirelka, and Yelovka rivers from the northern part of the lake and of Urunkhaika River from the southeastern part flow into the central zone, reaching 0.033 mg/L in the surface layer, and 0.034 mg/L in the bottom layer, enriching there up to 14.0 mg kg−1.
Figure 7.
Nickel content in the “water-bottom sediments” system (Water surface layer in µg/L, water bottom layer in µg/L, bottom sediments in mg/kg, lake water depth in m) of Lake Markakol. The visualization shown in Figure 7 is a 3D model also presented in the Supplementary Material Figure S3.
A certain level of anthropogenic load present in the tributaries can be traced in the distribution and accumulation of lead, cobalt and nickel in the aquatic ecosystem of Lake Markakol. At elevated concentrations, these metals are highly toxic. Their toxicity increases in combination with other metals, which may lead to a negative impact on the aquatic biota [8,9]. Among the analyzed elements, nickel has the highest migration ability. The intensity of water migration is determined by the properties of the elements, i.e., the intensity of concentration and dispersion, which, on the one hand, depends on the degree of element prevalence in the lithosphere and participation in biochemical processes, and, on the other hand, anthropogenic inputs [74].
The anthropogenic load on Lake Markakol’s ecosystem is heightened by the fact that the rocks of the surrounding study area are rich in nickel–cobalt ore deposits, as well as by the atmospheric transport from industrial enterprises [40,42].
4. Conclusions
An assessment of the pollution level of Lake Markakol relating to heavy metals present in the “water-bottom sediments” system was carried out for the first time. The results showed the presence of significant concentrations of lead in the surface water layer (4.3 µg/L), in the bottom water layer (14.4 µg/L) and in the bottom sediments (7.35 mg kg−1). Cobalt was recorded in the lake with an average of up to 50.5 μg/L, and nickel was recorded up to 30.8 μg/L, both in the surface layer and in the bottom layer. The concentrations in the bottom sediments reached up to 13.59 mg kg−1 for cobalt and up to 9.32 mg kg−1 for nickel.
The heavy metal pollution of Lake Markakol relates to several key points that should be emphasized:
Sapropel is an organic substance formed as a result of the decomposition of organic matter in underwater bottom sediments. The presence of sapropel of various types can be an indicator of the state of the bottom sediments and the initial stages of the eutrophication of the lake.
Exceeding the maximum permissible standards of heavy metals in water is an alarming signal, which is associated with anthropogenic activities, water agitation or natural-climatic changes.
The lack of historical data makes it difficult to assess changes over time. Comparative future analyses could help in understanding trends and identifying causal relationships.
High concentrations of heavy metals in water can affect fishes by impacting their activity and accumulating in their tissues.
The accumulation of toxicants in fishes can also lead to potential human health effects due to the consumption of contaminated fish.
Pointing out the importance of providing healthy fish products to the public emphasizes the socio-economic importance of addressing lake pollution.
We recommend repeating such investigations in relation to climate change or/and extreme weather conditions. The observation of different point (river inflow) and non-point sources (c.f. coastal erosion) of potential metal impacts into the Markakol Lake should be realized with the help of environmental monitoring, both event-based and permanent monitoring.
The present results and their assessment can serve as the basis for future analyses and the development of measures to reduce pollution, restore the lake ecosystem and ensure the safety of fishery products for humans.
Supplementary Materials
The following supporting information can be downloaded at: https://www.mdpi.com/article/10.3390/app14177487/s1, Figure S1: Spatial distribution of Pb in the system “water—bottom sediments” taking into account lake depth and water layer; Figure S2: Spatial distribution of Co in the system “water—bottom sediments” taking into account lake depth and water layer; Figure S3: Spatial distribution of Ni in the system “water—bottom sediments” taking into account lake depth and water layer.
Author Contributions
Conceptualization, L.I., A.M. and C.O.; methodology, L.I., A.M. and C.O..; software, A.Z. and S.Z.; validation, A.M. and C.O.; formal analysis, L.I., A.Z., B.S. and S.Z.; investigation, L.I., A.M., A.Z., B.S. and S.Z.; resources, A.M. and C.O.; data curation, A.M.; writing—original draft preparation, L.I. and A.M.; writing—review and editing, A.M. and C.O.; visualization, A.M., A.Z., S.Z. and L.I.; supervision, A.M. and C.O.; project administration, A.M.; funding acquisition, A.M. and C.O. All authors have read and agreed to the published version of the manuscript.
Funding
This research is funded by the Science Committee of the Ministry of Education and Science of the Republic of Kazakhstan (Grant No. AP14870595 “Monitoring of the condition and assessment of the micro- and macroplastic pollution level of the Lake Markakol aquatic environment”).
Institutional Review Board Statement
We did not use humans and living animals in the research process. In this regard, our research cannot relate to the requirements of the Helsinki Convention.
Informed Consent Statement
Not applicable.
Data Availability Statement
The original contributions presented in the study are included in the article/Supplementary Materials, further inquiries can be directed to the corresponding author/s.
Acknowledgments
We acknowledge the support of the Kazakh state for the scientific and technical program.
Conflicts of Interest
The authors declare no conflicts of interest.
References
- Sun, Z.; Groll, M.; Opp, C. Lake-catchment interactions and their responses to hydrological extremes. Quat. Int. 2018, 475, 1–3. [Google Scholar] [CrossRef]
- Vinnå, L.R.; Medhaug, I.; Schmid, M.; Bouffard, D. The vulnerability of lakes to climate change along an altitudinal gradient. Nat. Commun. Earth Environ. 2021, 2. Available online: https://api.semanticscholar.org/CorpusID:231948782 (accessed on 24 July 2024).
- Nikanorov, A.M.; Zhulidov, A.V.; Pokarzhevsky, A.D. Biomonitoring of Heavy Metals in Freshwater Ecosystems; Hydrometeoizdat: Leningrad, Russia, 1985; p. 144. Available online: https://search.rsl.ru/ru/record/01001263159 (accessed on 9 February 2024).
- Official, Standardized and Recommended Methods of Analysis. Compiled and edited for the Analytical Methods Committee of the Society for Analytical Chemistry; Jolly, S.C., Heffer, W., Eds.; Sons, Ltd.: Cambridge, UK, 1963; p. 577. [Google Scholar]
- Research Report. Biological Substantiation under the Program: “Determination of Fish Capacity of Fishery Reservoirs and/or Their Sites, Development of Biological Substantiation of Fish and Other Aquatic Animals MPL (Maximum Permissible Level), Regime and Regulation of Fishing on Fishery Reservoirs of International, Republican Importance and Water Bodies of Special Protected Natural Areas of Yertis basin, as well as Assessment of Fish Resources Status on Reserve Water Bodies of Local Importance” Section: Water Body of Markakol State Natural Reserve (Lake Markakol). Ust-Kamenogorsk: Scientific and Production Center of Fisheries LLP. 2022, 53, No. of state registration 0122РК00005. Available online: https://ecoportal.kz/Disscusion/DisPublic/PublicHearingDetail?hearingId=7805 (accessed on 24 July 2024).
- Nemova, N.N. Biochemical Indication of Fish State. M. Nauka 2004, 215. Available online: https://f.eruditor.link/file/1234844/ (accessed on 24 July 2024).
- Rakybaeva, A.A.; Dzhantasova, A.S.; Baimukanov, M.T. Towards assessment of the current state of zooplankton of Lake Markakol. Bull. KazNU. Biol. Ser. 2011, 4, 98–102. [Google Scholar]
- Unified Ecological Internet resource of the Ministry of Ecology, Geology and Natural Resources of the Republic of Kazakhstan. National Reports of the Convention on Biodiversity Conservation. Fourth National Report of the Republic of Kazakhstan on Biological Diversity. 2008. 110. Available online: https://ecogosfond.kz/orhusskaja-konvencija/dostup-k-jekologicheskoj-informacii/haly-araly-yntyma-tasty/haly-araly-konvencijalardy-ltty-bajandamalary/nacionalnye-doklady-konvencii-po-sohraneniju-bioraznoobrazija/ (accessed on 8 February 2024).
- Proceedings of the Institute of Hydrobiology and Ecology. Volume II State of the Hydrobionts of Water Bodies of Specially Protected Natural Territories of Republican Importance of East Kazakhstan and Almaty Oblast of Kazakhstan (Information-Analytical Manual). In Part 2. Markakol State Nature Reserve; Almaty, Kazakhstan, 2017; p. 55. Available online: https://ihe.kz/images/ige/2/2.pdf (accessed on 10 February 2024).
- Baimukanov, M.T. History of fishing on Lake Markakol, problems of maturation of fish resources, fish gene pool and ways to solve them. Proc. Markakol Reserve Ust-Kamenogorsk 2009, 1, 90–101. [Google Scholar]
- Report on the research work “Monitoring of the condition and assessment of the micro- and macroplastic pollution level of the Lake Markakol aquatic environment” (interim). Performed under Grant Funding No. AP14870595. State registration number 0122РК00391. Almaty. 2023, 85.
- Opp, C. Schwermetalle. Analyse und Ökologische Bewertung der Landschaft, 2nd ed.; Bastian, O., Schreiber, K.-F., Eds.; Spektrum Akademischer Verlag: Berlin, Germany, 1999; pp. 239–246. [Google Scholar]
- He, Y.; Li, B.B.; Zhang, K.N.; Li, Z.; Chen, Y.G.; Ye, W.M. Experimental and numerical study on heavy metal contaminant migration and retention behavior of engineered barrier in tailings pond. Environ. Pollut. 2019, 252, 1010–1018. [Google Scholar] [CrossRef] [PubMed]
- Yozukmaz, A.; Yabanlı, M. Heavy metal contamination and potential ecological risk assessment in sediments of Lake Bafa (Turkey). Sustainability 2023, 15, 9969. [Google Scholar] [CrossRef]
- Uddin, M.M.; Peng, G.; Wang, Y.; Huang, J.; Huang, L. Pollution status, spatial distribution and ecological risk of heavy metals in sediments of a drinking water lake in South Eastern China. Environ. Pollut. Bioavailab. 2021, 33, 19–30. [Google Scholar] [CrossRef]
- Zhao, Y.; Yang, Y.; Dai, R.; Leszek, S.; Wang, X.; Xiao, L. Adsorption and migration of heavy metals between sediments and overlying water in the Xinhe River in central China. Water Sci. Technol. 2021, 84, 1257–1269. [Google Scholar] [CrossRef]
- Ismukhanova, L.; Choduraev, T.; Opp, C.; Madibekov, A. Accumulation of heavy metals in bottom sediment and their migration in the water ecosystem of Kapshagay Reservoir in Kazakhstan. Appl. Sci. 2022, 12, 11474. [Google Scholar] [CrossRef]
- Amirgaliyev, N.A.; Ismukhanova, L.T. The level of anthropogenic pollution of the Kapshagay Water Reservoir, Republic of Kazakhstan. In Water Resources Management in Central Asia. The Handbook of Environmental Chemistry; Zonn, I., Zhiltsov, S., Kostianoy, A., Semenov, A., Eds.; Springer: Cham, Switzerland, 2020; Volume 105, pp. 143–162. [Google Scholar] [CrossRef]
- Liu, T.; Zhang, D.; Yue, W.; Wang, B.; Huo, L.; Liu, K.; Zhang, B.T. Heavy metals in sediments of Hulun Lake in Inner Mongolia; Spatial–temporal distributions, contamination assessment and source apportionment. Water 2023, 15, 1329. [Google Scholar] [CrossRef]
- Ekeanyanwu, C.R.; Ogbuinyi, C.A.; Etienajirhevwe, O.F. Trace metals distribution in fish tissues, bottom sediments and water from Okumeshi River in Delta State, Nigeria. Ethiop. J. Environ. Stud. Manag. 2010, 3, 12–17. [Google Scholar] [CrossRef]
- Jafarabadi, A.R.; Bakhtiari, A.R.; Spanò, N.; Cappelloc, T. First report of geochemical fractionation distribution, bioavailability and risk assessment of potentially toxic inorganic elements in sediments of coral reef islands of the Persian Gulf, Iran. Mar. Pollut. Bull. 2018, 137, 185–197. [Google Scholar] [CrossRef] [PubMed]
- Shi, X.L.; Zhang, W. Experimental study on release of heavy metals in sediment under hydrodynamic conditions. IOP Conf. Ser. Earth Environ. Sci. 2018, 208, 012040. [Google Scholar] [CrossRef]
- Klake, R.K.; Nartey, V.K.; Doamekpor, L.K.; Edor, K.F. Correlation between heavy metals in fish and sediment in Sakumo and Kpeshie Lagoons, Ghana. J. Environ. Prot. 2012, 3, 1070–1077. [Google Scholar] [CrossRef][Green Version]
- Afzaal, M.; Hameed, S.; Liaqat, I.; Khan, A.A.A.; Manan, H.A.; Shahid, R.; Altaf, M. Heavy metals contamination in water, sediments and fish of freshwater ecosystems in Pakistan. Water Pract. Technol. 2022, 17, 1253–1272. [Google Scholar] [CrossRef]
- Khan, B.N.; Ullah, H.; Ashfaq, Y.; Hussain, N.; Atique, U.; Aziz, T.; Alharbi, M.; Albekairi, T.H.; Alasmari, A.F. Elucidating the effects of heavy metals contamination on vital organ of fish and migratory birds found at fresh water ecosystem. Heliyon 2023, 9, e20968. [Google Scholar] [CrossRef]
- Chan, W.S.; Routh, J.; Luo, C.; Dario, M.; Miao, Y.; Luo, D.; Wei, L. Metal accumulations in aquatic organisms and health risks in an acid mine-affected site in South China. Env. Geochem. Health 2021, 43, 4415–4440. [Google Scholar] [CrossRef] [PubMed]
- Rajeshkumar, S.; Li, X. Bioaccumulation of heavy metals in fish species from the Meiliang Bay, Taihu Lake, China. Toxicol. Rep. 2018, 5, 288–295. [Google Scholar] [CrossRef]
- Kudryavtseva, V.A.; Shigaeva, T.D.; Pankratova, N.M. Features of migration of heavy metals in the system ‘‘Bottom Water—Pore Water—Surface layer of Bottom sediments’’ of the Coastal zone in the Eastern part of the Gulf of Finland. Bull. Tomsk. Polytech. Univ. Geo Аssets Eng. 2022, 333, 95–104. [Google Scholar] [CrossRef]
- Berezovikov, N.N.; Zinchenko, Y.K.; Zinchenko, E.S. Markakol Reserve. Reserves of the USSR; Reserves of Central Asia and Kazakhstan: Moscow, Russia, 1990; pp. 114–128. Available online: https://www.undp.org/sites/g/files/zskgke326/files/migration/kz/7059-16397.pdf (accessed on 10 December 2023).
- Surface Water Resources of the USSR. Altai and Western Siberia. Mountain Altai and Upper Irtysh, Part 1; Semenova, V.A., Ed.; Leningrad State University: Leningrad, Russia, 1969; Volume 15, p. 318. Available online: https://disk.yandex.kz/d/UMicA14_a2Y5F (accessed on 3 April 2024).
- Filonets, P.P. Essays on the Geography of Internal Waters of Central, Southern and Eastern Kazakhstan: (Lakes, Reservoirs and Glaciers); Nauka: Alma-Ata, Russia, 1981; p. 232. Available online: https://search.rsl.ru/ru/record/01001070860 (accessed on 6 March 2024).
- On Approval of the Unified System of Water Quality Classification in Water Bodies. Order of the Chairman of the Committee on Water Resources of the Ministry of Agriculture of the Republic of Kazakhstan dated November 9, 2016; No.151. Registered with the Ministry of Justice of the Republic of Kazakhstan on December 13, No. 14513. Official Website of Adlet zan. Available online: https://adilet.zan.kz/rus/docs/V1600014513 (accessed on 9 February 2024).
- ST RK ISO 8288-2005; Water Quality. Determination of Cobalt, Nickel, Copper, Zinc, Cadmium and Lead. Flame Atomic Absorption Spectrometric Methods (ISO 8288:1986). Committee on Technical Regulation and Metrology of the Ministry of Industry and Trade of the Republic of Kazakhstan: Astana, Kazakhstan, 2005; p. 23. Available online: https://files.stroyinf.ru/Data2/1/4293741/4293741232.pdf (accessed on 8 February 2024).
- RD 52.18.289-90; Guiding Document. Methodical Instructions. Methodology for Measuring the Mass Fraction of Mobile Forms of Metals (Copper, Lead, Zinc, Nickel, Cadmium, Cobalt, Chromium, Manganese) in Soil Samples by Atomic Absorption Analysis. USSR State Committee on Hydrometeorology: Moscow, Russia, 1990; p. 37. Available online: https://files.stroyinf.ru/Data2/1/4293783/4293783539.pdf (accessed on 8 February 2024).
- Bożym, M.; Rajmund, A. The study of cobalt leaching from soils, sewage sludges and composts using a one-step extraction. Ochr. Srodowiska Zasobów Nat. 2015, 26, 1–6. [Google Scholar] [CrossRef][Green Version]
- Eliseeva, N.V.; Chekhovich, E.E.; Zubkova, T.A. Content and group composition of cobalt compounds in soils of rice fields of Kuban and other soils of Russia. Bull. Altai State Agrar. Univ. 2013, 2, 32–36. [Google Scholar]
- Kashintseva, M.L.; Chernikova, O.A.; Shilenko, N.A.; Sokolova, S.A.; Anisova, S.N. List of Fishery Standards, Maximum Permissible Concentrations (MPC) and Approximate Safe Impact Levels (ASIL) of Harmful Substances for Water Bodies of Fishery Importance; VNIRO Publishing House: Moscow, Russia, 1999; p. 304. Available online: https://docs.cntd.ru/document/1200044750 (accessed on 6 May 2023).
- Kozhakhmetov, S.M.; Kvyatkovsky, S.A.; Sadykov, S.B.; Chekimbayev, A.F.; Sadykov, T.S. Smelting process of oxidized cobalt-nickel ores from Gornostayevskoye deposit for ferronickel. Metallurgy. Complex Util. Miner. Raw Mater. 2015, 1, 25–30. [Google Scholar]
- Amralinova, B.B. Regularities of Formation and Assessment of Prospects of Nickel-Cobalt Weathering Crusts of East Kazakhstan. Ph.D. Thesis, on Specialty 6D070600—Geology and Exploration of Mineral Deposits. Ust-Kamenogorsk, Kazakhstan, 2017; p. 145. Available online: https://www.geokniga.org/bookfiles/geokniga-zakonomernosti-formirovaniya-i-ocenka-perspektiv-nikel-kobaltovyh-kor.pdf (accessed on 11 February 2024).
- Production of Nickel-Cobalt Products in the Republic of Kazakhstan. LLP "DAMU RESEARCH", Astana, Kazakhstan. 2015, p. 113. Available online: https://damu.kz/upload/iblock/51c/MarketingovoeIssledovanie_ProizvodstvoNikel_kobaltovovoyProduktsiiVKazakhstane.docx (accessed on 2 May 2024).
- Dyachkov, B.A.; Mochalkina, L.N.; Kuzmina, O.N.; Bochkova, O.I.; Kravchenko, M.M. Types of weathering crust deposits in Eastern Kazakhstan. Bull. EKSTU. Geol. Min. Metall. 2005, 4, 6–27. [Google Scholar]
- Boguta, P.; Skic, K.; Baran, A.; Szara-Bqk, M. The influence of the physicochemical properties of sediment on the content and ecotoxicity of trace elements in bottom sediments. Chemosphere 2022, 287, 4. [Google Scholar] [CrossRef]
- Buyang, S.; Yi, Q.; Cui, H.; Wan, K.; Zhang, S. Distribution and adsorption of metals on different particle size fractions of sediments in a hydrodynamically disturbed canal. Sci. Total Environ. 2019, 670, 654–661. [Google Scholar] [CrossRef] [PubMed]
- Namieśnik, J.; Rabajczyk, А. The speciation and physicochemical forms of metals in surface waters and sediments. Chem. Speciat. Bioavailab. 2010, 22, 1–24. [Google Scholar] [CrossRef]
- Abdallah, M.A.M. Accumulation and distribution of heavy metals in surface sediments from the continental shelf adjacent to Abu Qir Bay, Egypt, as a function of grain size. Geo-Mar. Lett. 2023, 43, 2. [Google Scholar] [CrossRef]
- Miao, X.; Hao, Y.; Liu, H.; Xie, Z.; Miao, D.; He, X. Effects of heavy metals speciation’s in sediments on their bioaccumulation in wild fish in rivers in Liuzhou—A typical karst catchment in southwest China. Ecotoxicol. Environ. Saf. 2021, 214, 112099. [Google Scholar] [CrossRef] [PubMed]
- Cabral-Lares, M.; Rentería-Villalobos, M.; Mendieta-Mendoza, A.; Ortíz-Caballero, Z.; Montero-Cabrera, E.; Vioque, I. Partitioning and availability of metals from water suspended sediments: Potential pollution risk assessment. Water 2022, 14, 980. [Google Scholar] [CrossRef]
- Leonova, G.A.; Bobrov, V.A.; Krivonogov, S.K.; Bogush, A.A.; Bychinskii, V.A.; Mal’tsev, A.E.; Anoshin, G.N. Biogeochemical specifics of sapropel formation in Cisbaikalian undrained Lakes (by the example of Lake Ochki). Geol. Geophys. 2015, 56, 949–969. [Google Scholar] [CrossRef]
- Strakhovenko, V.D.; Taran, O.P.; Ermolaeva, N.I. Geochemical characteristics of the sapropel sediments of small lakes in the Ob’—Irtysh interfluence. Geol. Geophys. 2014, 55, 1466–1477. [Google Scholar] [CrossRef]
- Bocharnikov, V.S.; Borovikov, A.A. To the Question about Sapropels and Their Influence on Water Physical Properties in Mixtures with Sand during Construction and Operation of Engineering and Reclamation Systems; Lower Volga Agro-University Complex: Volgograd, Russia, 2021; Volume 4, pp. 324–334. [Google Scholar]
- Valette-Silver, N.J. The use of sediment cores to reconstruct historical trends in contamination of estuarine and coastal sediments. Estuaries 1993, 16, 577–588. [Google Scholar] [CrossRef]
- Förstner, U.J.N. Lake sediments as indicators of heavy-metal pollution. Naturwissenschaften 1976, 63, 465–470. [Google Scholar] [CrossRef]
- Costa-Böddeker, S.; Thuyên, L.X.; Hoelzmann, P.; de Stigter, H.C.; van Gaever, P.; Huy, H.Đ.; Schwalb, A. The hidden threat of heavy metal pollution in high sedimentation and highly dynamic environment: Assessment of metal accumulation rates in the Thi Vai Estuary, Southern Vietnam. Environ. Pollut. 2018, 242, 348–356. [Google Scholar] [CrossRef] [PubMed]
- Ayrault, S.; Meybeck, M.; Mouchel, J.-M.; Gaspéri, J.; Lestel, L.; Lorgeoux, C.; Boust, D.; Flipo, N.; Labadie, P.; Lestel, L. Sedimentary archives reveal the concealed history of micropollutant contamination in the Seine River basin. The Seine River Basin. In The Handbook of Environmental Chemistry; Springer: Cham, Switzerland, 2020; Volume 90. [Google Scholar] [CrossRef]
- Sojka, M.; Jaskuła, J.; Siepak, M. Heavy metals in bottom sediments of reservoirs in the lowland area of western Poland: Concentrations, distribution, sources and ecological risk. Water 2019, 11, 56. [Google Scholar] [CrossRef]
- Mrozińska, N.; Bąkowska, M. Effects of heavy metals in lake water and sediments on bottom invertebrates inhabiting the brackish coastal Lake Łebsko on the southern Baltic coast. Int. J. Environ. Res. Public Health 2020, 17, 6848. [Google Scholar] [CrossRef] [PubMed]
- Navarrete-Rodríguez, G.; Castañeda-Chávez, M.D.R.; Lango-Reynoso, F. Geoacumulation of heavy metals in sediment of the fluvial-lagoon-deltaic system of the Palizada River, Campeche, Mexico. Int. J. Environ. Res. Public Health 2020, 17, 969. [Google Scholar] [CrossRef]
- Juśkiewicz, W.; Gierszewski, P. Toxic metal pollution of aquatic ecosystems of European Union nature protection areas in a region of intensive agriculture (Lake Gopło, Poland). Aquat Sci. 2022, 84, 52. [Google Scholar] [CrossRef]
- Krasnenko, A.S.; Pechkin, A.S.; Kobelev, V.O.; Agbalyan, E.V.; Shinkaruk, E.V. Lake Yantarnoye—Status, problems, prospects. Sci. Bull. Yamalo-Nenets Auton. Dist. 2018, 4, 37–43. [Google Scholar]
- Moiseenko, T.I. Theoretical Bases of Anthropogenic Load Rationing on Subarctic Water Bodies; Kola Scientific Center of the RAS: Apatity, Russia, 1997; p. 261. Available online: https://www.aquaticecology.ru/books_english.html (accessed on 6 April 2024).
- Shahid, S.; Sultana, T.; Sultana, S.; Hussain, B.; Al-Ghanim, K.A.; Al-Bashir, F.; Riaz, M.N.; Mahboob, S. Detecting aquatic pollution using histological investigations of the gills, liver, kidney, and muscles of Oreochromis niloticus. Toxics 2022, 10, 564. [Google Scholar] [CrossRef] [PubMed]
- Ylikörkkö, J.; Zueva, M.; Kashulin, N.; Kashulina, T.; Sandimirov, S.; Christensen, G.; Jelkänen, E. Pasvik water quality until 2013: Environmental monitoring programme in the Norwegian, Finnish and Russian border area. Cent. Econ. Dev. Transp. Environ. Lapland 2014, 96, 43. [Google Scholar]
- Ylikörkkö, J.; Christensen, G.; Kashulin, N.; Denisov, D.; Andersen, H.J.; Jelkänen, E. Environmental Challenges in the Joint Border Area of Norway, Finland and Russia. 2015, 41, 165. Available online: https://www.doria.fi/handle/10024/104779 (accessed on 24 July 2024).
- Burdina, N.F. Chemical and toxicological assessment of fish (literature review). Young Sci. 2019, 25, 69–72. Available online: https://moluch.ru/archive/263/61009/ (accessed on 8 February 2024).
- Toroyan, R.A.; Bedanokov, M.K.; Takh, I.P. Migration of heavy metals in water ecosystems (using the example of the Belaya River in the North-Western Caucasus). Russ. J. Earth Sci. 2022, 22, ES01SI12. [Google Scholar] [CrossRef]
- Sharipova, O.A. Distribution of heavy metals in bottom sediments of Lake Balkhash depending on natural and anthropogenic factors. Bull. Tomsk. State Univ. 2015, 390, 225–230. [Google Scholar] [CrossRef]
- Dauwalter, V.A.; Dauwalter, M.V. Geoecological assessment of natural waters in the zone of influence of the Severonickel Combine. In Textbook on the Disciplines “Environmental Geochemistry”, “Hydrogeology”, “Geoecology” for Students of the Direction 022000.62 “Ecology and Nature Management” and Speciality 020804.65 “Geoecology”; Publishing House of Murmansk State Technical University: Murmansk, Russia, 2012; p. 216. [Google Scholar]
- Dauwalter, V.A. Geoecology of Bottom Sediments of Lakes; Publishing House of Murmansk State Technical University: Murmansk, Russia, 2012; p. 242. Available online: https://inep.ksc.ru/documents/%D0%94%D0%B0%D1%83%D0%B2%D0%B0%D0%BB%D1%8C%D1%82%D0%B5%D1%80%20%D0%92.%D0%90.%20%D0%93%D0%B5%D0%BE%D1%8D%D0%BA%D0%BE%D0%BB%D0%BE%D0%B3%D0%B8%D1%8F%20%D0%B4%D0%BE%D0%BD%D0%BD%D1%8B%D1%85%20%D0%BE%D1%82%D0%BB%D0%BE%D0%B6%D0%B5%D0%BD%D0%B8%D0%B9%20%D0%BE%D0%B7%D0%B5%D1%80.pdf (accessed on 1 July 2024).
- Kluska, M.; Jabłońska, J. Variability and heavy metal pollution levels in water and bottom sediments of the Liwiec and Muchawka Rivers (Poland). Water 2023, 15, 2833. [Google Scholar] [CrossRef]
- Myasnikova, N.A.; Potakhin, M.S. Granulometric composition of the bottom sediments in the Torosjarvi Lake (White Sea Basin). Vestn. Voronezh State Univ. Ser. Geogr. Geoecology 2021, 1, 45–56. [Google Scholar] [CrossRef]
- Hahn, J.; Opp, C.; Evgrafova, A.; Groll, M.; Zitzer, N.; Laufenberg, G. Impact of dam draining on the mobility of heavy metals and arsenic in water and basin bottom sediments of three studied dams in Germany. Sci. Total Environ. 2018, 640–641, 1072–1081. [Google Scholar] [CrossRef]
- Alekin, O.A. Fundamentals of Hydrochemistry; Publishing House Hydrometeorological: Leningrad, Russia, 1970; p. 442. Available online: https://www.geokniga.org/bookfiles/geokniga-osnovy-gidrohimii.pdf (accessed on 2 September 2023).
- Karapetyants, M.K.; Drakin, S.I. General and Inorganic Chemistry; Publishing House Chemistry: Moscow, Russia, 1993; p. 592. Available online: https://www.nntu.ru/frontend/web/ngtu/files/org_structura/library/resurvsy/pervokursnik/inel/xim/osnovn/2.pdf (accessed on 10 July 2023).
- Perelman, A.I. Geochemistry of Natural Waters; Nauka: Moscow, Russia, 1982; p. 154. Available online: http://booksshare.net/index.php?id1=4&category=biol&author=perelman-ai&book=1982 (accessed on 10 February 2024).
Disclaimer/Publisher’s Note: The statements, opinions and data contained in all publications are solely those of the individual author(s) and contributor(s) and not of MDPI and/or the editor(s). MDPI and/or the editor(s) disclaim responsibility for any injury to people or property resulting from any ideas, methods, instructions or products referred to in the content. |
© 2024 by the authors. Licensee MDPI, Basel, Switzerland. This article is an open access article distributed under the terms and conditions of the Creative Commons Attribution (CC BY) license (https://creativecommons.org/licenses/by/4.0/).







