There was an error in the original publication [1]. In the paragraph below Equation (1), the sample thickness is not 50 μm but 4 μm, as correctly reported in the Materials and Methods section.
A correction has been made to Section 3. Results and Discussion, Section 3.1. AC Susceptibility as a Function of AC Field Amplitude: , Paragraph 2:
where γ ≈ 0.9 is a coefficient that varies slightly with the geometry and d is the thickness of the sample equal to 4 μm.
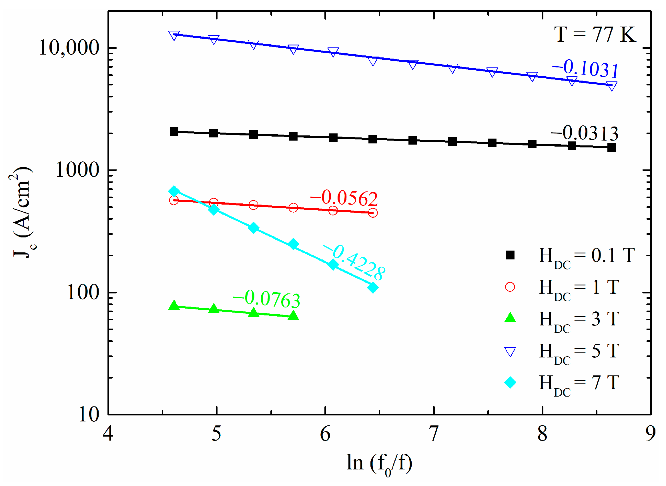
With this correction, Figure 2 has been updated. We did the calculation of Jc by means of Equation (1), but by using 50 microns instead of 4 microns, so Jc in Figure 2 should be 12.5 times larger. The corrected Figure 2 appears below.
Figure 2.
Critical current density as a function of frequency at 77 K at different DC fields. The slopes of the linear fits (their values are reported on the fitting lines) allow for estimating the values of the pinning potential U.
The authors state that the scientific conclusions are unaffected. This correction was approved by the Academic Editor. The original publication has also been updated.
Reference
- Galluzzi, A.; Crisan, A.; Ionescu, A.M.; Ivan, I.; Leo, A.; Grimaldi, G.; Polichetti, M. Pinning Energy and Evidence of Granularity in the AC Susceptibility of an YBa2Cu3O7-x Superconducting Film. Appl. Sci. 2024, 14, 4379. [Google Scholar] [CrossRef]
Disclaimer/Publisher’s Note: The statements, opinions and data contained in all publications are solely those of the individual author(s) and contributor(s) and not of MDPI and/or the editor(s). MDPI and/or the editor(s) disclaim responsibility for any injury to people or property resulting from any ideas, methods, instructions or products referred to in the content. |
© 2024 by the authors. Licensee MDPI, Basel, Switzerland. This article is an open access article distributed under the terms and conditions of the Creative Commons Attribution (CC BY) license (https://creativecommons.org/licenses/by/4.0/).
