Featured Application
Chaves thermal spring water, due to its potential anti-inflammatory and antipollution properties, has the potential to be incorporated into a cosmetic formulation.
Abstract
Since ancient times, thermal spring water has been proven to be beneficial to the skin and to improving dermatologic disorders, explaining its incorporation into cosmetic formulations as an active ingredient. Chaves thermal spring water, from northern Portugal, has been used as a local spa since Roman times, and its customers are satisfied with its medicinal quality. Despite the lack of published evidence on its specific effects on the skin, this study evaluates the potential of using Chaves thermal water as a cosmetic ingredient. The physiochemical composition demonstrated that Chaves thermal spring water is low-mineralized water, and its major components are sodium, potassium, silicon, and calcium. In vitro experiments demonstrated that this low mineralization might explain the absence of antioxidant and antiaging potential, and the maintenance of collagen and fibronectin levels. The quantification of the IL-6 levels showed that Chaves thermal spring water could be used as an anti-inflammatory product, suggesting its use by individuals with skin diseases. In agreement with this result, in vivo experiments revealed that Chaves thermal spring water improved the integrity of the skin barrier and preserved the skin microbial community. Overall, the present work suggests that Chaves thermal spring water might be used as a cosmetic product.
1. Introduction
Thermal water is naturally formed under specific geological conditions, and it is characterized as being rich in minerals and bacteriologically pure [1]. Depending on their geological, geochemical, and geothermic conditions, different springs can have very diverse chemical and physical water properties [2]. Since ancient times, thermal water has been associated with therapeutic effects; however, it is only more recently that some of these effects have been scientifically verified [3]. Bathing in thermal water has been proven to be beneficial to the skin and to improving dermatologic disorders such as atopic dermatitis [4,5] and psoriasis [6,7]. Such properties prompted the World Health Organization to officially recognize hydrotherapy and balneotherapy’s efficiency within its Pain Management Protocol [8,9]. Given the growing emphasis on sustainable and natural remedies in modern society [10], there has been an observed and noticeable increase in the interest in and demand for the use of these types of therapies.
When undergoing balneotherapy, the first contact point between the human body with the water is the skin. As the largest human organ, the skin’s primary function is to protect the body against the external environment, therefore making it the organ most impacted by the properties of thermal waters. The skin consists of three layers: the epidermis (the most exterior layer), the dermis (the middle layer), and finally, the hypodermis (subcutaneous tissue) [11]. The epidermis is a stratified epithelium composed of four layers of keratinocytes in progressive stages of differentiation [12]. The dermis is predominantly composed of fibroblast cells, but it also contains structures such as blood vessels, lymphatics, nerves, sweat glands, and pilosebaceous units. Lastly, the hypodermis is formed by subcutaneous fat and connective tissue [13]. Additionally, the skin supports a community composed of diverse bacteria, fungi, and viruses, which is known as the skin microbiota. In healthy individuals, the skin microbiota is in equilibrium with the host and is essential for skin health [14].
Exposure to pollution can cause oxidative stress, premature aging, inflammation, and diseases, not only in the respiratory and cardiovascular systems but also on the human skin [15]. Since most people’s skin is exposed to pollution, protecting it is important [16]. Thermal water is rich in minerals that are assimilated by the skin and, depending on the mineral water composition and concentration, improve its physiological functions [8]. Sulfur-rich thermal waters have been proven to have antioxidant and anti-inflammatory effects [17,18,19] and potential antiaging properties for skin [20]. Thermal water also protects and repairs the skin barrier [21,22], being able to soothe sensitive skin [23]. Regarding the skin microbiota, there is evidence that thermal water increases its diversity and decreases inflammatory infectious agents [24,25].
The beneficial effects of thermal spring water on the skin and the skin microbiota have led to its incorporation into cosmetic formulations as an active ingredient [26]. In the present work, the potential of using Chaves thermal water as a cosmetic ingredient is investigated. Chaves thermal spring water is in the north of Portugal, and it has been used as a local spa since Roman times. Its waters are hot waters (ranging from 55 to 76 °C), with total diluted solids of 1600–1800 mg/L and a neutral pH, and they are bicarbonate-/sodium-/CO2-rich [27]. Even though Chaves thermal spa has been functioning for several decades and its customers are satisfied with the medicinal quality of the thermal spring water [28], there is no published evidence, as far as we are aware, on the specific effects that this thermal spring water has on the skin. Therefore, the goal of this work was to assess the Chaves thermal spring water antioxidant, antiaging, and antipollution potential, and its impact on the skin biometric parameters and microbiota.
2. Materials and Methods
Thermal spring water was provided by Caldas de Chaves (Chaves, Portugal) and was directly retrieved at its source at 76 °C and bottled in 1-liter glass containers. It was then transported at room temperature, for approximately 1 h, and stored to 2–8 °C. Upon arrival, three different batches were filtered by vacuum with a 0.22 µm filter (Thermo Fisher Scientific, Waltham, MA, USA) to guarantee sterility.
2.1. Chaves Thermal Water Characterization
The pH value and electrical conductivity (EC) were determined using a multiparameter SevenExcellenceTM Mettler-Toledo AG (Greifensee, Switzerland) at 20 °C. The pH was measured with a precision of ±0.002 pH units, and the electrical conductivity was expressed as μS/cm.
The total dissolved solids (TDS) procedure was based on the standard method 2540C present in Standard Methods for the Examination of Water and WastewaterTM [29]. Briefly, the method consists of filtering a well-mixed sample through a standard glass fiber filter, evaporating the filtrate to dryness in a weighed dish, and drying it to a constant weight at 180 °C. The increase in the dish weight represents the total dissolved solids.
For the mineral determination, 2 mL of Chaves thermal spring water was mixed with 5 mL of 65% HNO3 plus 1 mL 30% H2O2 in a Teflon reaction vessel and digested in a microwave system (Speedwave, Berghof, Eningen, Germany). Digestion was conducted as follows: 160 °C for 5 min; 190 °C for 10 min; and 100 °C for 4 min. The resulting solutions were brought up to 10 mL with ultrapure water for analysis. Mineral concentrations were analyzed by inductively coupled plasma argon spectrometry (ICP; ICP-OES Optima 7000 DV, PerkinElmer, Waltham, MA, USA). The analyses were conducted in triplicate. Mineral concentrations were expressed in mg/L.
Microbial control was performed according to ISO 6222:1999 [30] “Water quality—Enumeration of culturable micro-organisms—Colony count by inoculation in a nutrient agar culture medium”, for total germs. Briefly, 1 mL of Chaves thermal spring water was diluted in 9 mL of sterile peptone water and mixed in a vortex. Serial dilutions in peptone water were performed, and samples were plated by spread plate in tryptic soy agar (TSA) and Sabouraud dextrose agar (SDA). TSA plates were incubated at 37 °C for 24 h, while SDA plates were incubated at 30 °C for 48 h. The assay was performed in triplicate. After incubation, colony-forming units (CFUs) were calculated to determine the total aerobic bacteria and total yeasts and molds using the following formula:
2.2. Evaluation of the Antioxidant Capacity of CHAVES Thermal Spring Water
The 2.2′-azino-bis (3-ethylbenzothiazoline-6-sulphonic acid) diammonium salt radical cation (ABTS) decolorization assay was performed as previously described [31]. In brief, 20 mL of ABTS solution was obtained by the addition of 7 mmol/L of ABTS (Sigma-Aldrich, St. Louis, MO, USA) to a 2.45 mM of potassium persulfate (K2S2O8) solution (Merck, Darmstadt, Germany) at a 1:1 (v/v) proportion. The solution was left in the dark for 16 h and then diluted with deionized water to obtain an initial optical density (OD) of 0.700 ± 0.020 at 734 nm. An amount of 15 μL of the Chaves thermal spring water samples was placed in a 96-well plate with 200 μL of the diluted ABTS solution, in duplicate, and incubated for 5 min at 30 °C. A calibration curve with Trolox standard solutions (0.075–0.008 mg/mL) (Sigma-Aldrich, St. Louis, MO, USA) was included. After incubation, the OD was measured at 734 nm using a Synergy H1 microplate reader (Biotek, Winooski, VT, USA), and results were expressed as the percentage of inhibition of the free radicals generated.
Additionally, the 2,2-diphenyl-1-picrylhydrazyl (DPPH) salt radical cation decolorization assay was performed as already reported [31]. Firstly, a 100 mL solution of 600 μM DPPH was prepared combining 24 mg of DPPH salt (Sigma-Aldrich, St. Louis, MO, USA) with methanol. This solution was then diluted with methanol to obtain a DPPH solution with an OD of 0.600 ± 0.100 at 515 nm. Afterwards, 25 μL of the Chaves thermal spring water was added (in duplicate) to a 96-well plate with 175 μL of the DPPH solution. It also included a calibration curve prepared with Trolox standard solutions (0.075–0.008 mg/mL). The plate was incubated at room temperature for 30 min, followed by the measurement of the OD at 515 nm. The results were expressed as the percentage of inhibition of the free radicals generated.
2.3. Skin Enzyme Inhibition
2.3.1. Elastase Inhibition Assay
The Neutrophil Elastase Inhibitory assay kit (Abcam, Cambridge, UK) was performed to evaluate the elastase inhibitory capacity of Chaves thermal spring water. In a 96-well plate, a mixture of 25 μL of Chaves thermal spring water and 50 μL of elastase solution was incubated for 5 min at 37 °C. Then, the substrate solution was added to each well, and the fluorescence was measured at Ex/Em = 400/505 nm for 30 min at 37 °C using Synergy H1 (Biotek, Vila Nova de Gaia, Portugal). Each assay included the blank, 5.0 × 10−4 mg/mL of peptide succinyl-alanyl-alanyl-prolyl-valine chloromethyl ketone (SPCK) as a positive control of inhibition, and 8 mg/mL of vitamin C (benchmark). The RFU of the fluorescence produced by substrate hydrolysis was determined by ΔRFU = R2 − R1. It is advised to read kinetically and select R1 and R2 in the linear range. The percentage inhibition was calculated using the following equation:
2.3.2. Collagenase Inhibition Assay
The colorimetric metalloproteinases 1 (MMP1) inhibitor screening kit (abcam, Cambridge, UK) was performed according to the manufacturer’s instructions. Briefly, the 0.75 U/L MMP1 enzyme was introduced to a flat-bottom 96-well microplate (Thermo Scientific, MA, USA), followed by the addition of Chaves thermal spring water samples, vitamin C (benchmark), N-Isobutyl-N-(4-methoxyphenylsulfonyl)glycyl hydroxamic acid (NNGH) as a positive control, and the blank to the respective wells. Then, the microplate was incubated at 37 °C for 30 to 60 min, facilitating the interaction between the test samples or controls and the enzyme. Finally, 1 mM thiopeptide chromogenic substrate (Ac-PLG-[2-mercapto-4-methyl-pentanoyl]-LG-OC2H5) was added, and the absorbance was recorded at 412 nm using Synergy H1 (Biotek, Vila Nova de Gaia, Portugal). The data were collected for 10 to 20 min at intervals of 1 min. The percentage of enzyme inhibition activity was calculated using the following equation, in which V is the reaction velocity expressed in OD/min:
2.3.3. Tyrosinase Inhibition Assay
A colorimetric tyrosinase inhibitor assay kit (abcam, Cambridge, UK) was used. Shortly, a 96-well plate containing a mixture of 20 μL of Chaves thermal spring water samples and 50 μL tyrosinase solution was incubated at 25 °C for 10 min. Then, the substrate solution was added, and the absorbance was measured at 510 nm using Synergy H1 (Biotek, Vila Nova de Gaia, Portugal). Throughout a 30 min period, the data were monitored at 2 min intervals. Each assay included a blank, 0.021 mg/mL of Kojic acid as a positive control of inhibition, and 8 mg/mL vitamin C (benchmark). To determine the equivalent values for absorbance (A1 and A2), two time points (T1 and T2) were selected in the linear range of the plot. The slopes were computed for each sample (S), inhibition control (IC), and enzyme control (EC) by dividing the ΔA (A2-A1) values by the time (ΔT) (T2-T1). The percentage of enzyme inhibition activity was calculated using the following equation:
2.4. Cell Culture Assays
Different types of cells were used, including the Human Keratinocyte (HaCaT) cell line (CLS, Lot No. 300493-4619) and Human Primary Dermal Fibroblasts (nHDFs) from adult skin (Lonza Bioscience, Cat. CC2511, Lot No. 0000577924). Both cell lines were cultured in Gibco Dulbecco’s Modified Eagle Medium (DMEM) supplemented with FBS (Gibco, Thermo Fisher Scientific, USA) plus penicillin (100 U/mL)–streptomycin (100 μg/mL) (Gibco, Thermo Fisher Scientific, USA) and maintained at 37 °C in a 5% CO2 humidified atmosphere.
For in vitro assays, two additional media were prepared: DMEM powder high-glucose medium (Gibco, Thermo Fisher Scientific, USA) with 200 mL of Chaves thermal spring water (test culture medium) and DMEM powder high-glucose medium with 200 mL of ultrapure Mili-Q-type water (control culture medium). The final pH values of the culture media were adjusted to 7.4. Finally, culture media were supplemented with FBS plus penicillin (100 U/mL)–streptomycin (100 μg/mL).
2.4.1. Cytotoxicity Assay
HaCaT and nHDF lines were seeded at 1 × 104 cells/well in a 96-well plate and left to adhere overnight at 37 °C in a 5% CO2 humidified atmosphere. Afterwards, culture medium was replaced by test culture- or control culture-supplemented media and cells were re-incubated for 24 h at 37 °C in a 5% CO2 humidified atmosphere. To evaluate the cytotoxicity, 10% (v/v) of 10× PrestoBlue cell viability reagent (Invitrogen, Thermo Fischer Scientific, Waltham, MA, USA) was added to each well and incubated for 1 h at 37 °C in 5% CO2, protected from direct light. Then, the cell viability was detected by fluorescence using Synergy H1 (Biotek, Vila Nova de Gaia, Portugal), and morphological cell alterations were monitored by microscope observation. The experiments were performed in triplicates using HaCaT cells on the 20th and 22nd passages and nHDF cells on the 5th and 6th passages. The results were presented as the percentage of cell viability, where 100% viability corresponds to control cells and a reduction in the cell viability of more than 30% is considered a cytotoxic effect, according to ISO 10993-5 [32].
2.4.2. Quantification of Pro-Collagen 1 α1 and Fibronectin
nHDFs were seeded in 12-well plates at 3 × 105 cells/well and allowed to adhere overnight at 37 °C in a 5% CO2 humidified atmosphere. Next, the culture medium was replaced by test culture- or control culture-supplemented media and cells were incubated for 24 h at 37 °C in a 5% CO2 humidified atmosphere. At the end, the total protein was obtained using the lysis buffer of the ELISA kits, and its concentration was determined by the BCA kit (Thermo Fischer, Waltham, MA, USA). The amount of total protein of all the samples was normalized to 10 µg/mL. The pro-collagen 1 α1 was quantified by the Human Pro-Collagen I alpha 1 ELISA Kit (abcam, Cambridge, UK), while the fibronectin quantification was performed using the Human Fibronectin ELISA Kit (abcam, Cambridge, UK), according to the manufacturer’s instructions. An amount of 0.5 µM Palmitoyl Tripeptide-1 (Pal-GHK, Cayman Chemicals, Ann Arbor, MI, USA) was used as a positive control for both assays, which were performed in triplicate.
2.4.3. Exposure to Urban Particulate Matter
HaCaT cells were seeded at 1 × 105 cells/well in a 24-well plate and maintained at 37 °C in a 5% CO2 humidified atmosphere for 24 h. Afterwards, cells were incubated with and without 500 μg/mL of urban air pollution particles (SRM 1648a) resuspended in test- or control-supplemented medium for 24 h, following the literature [33]. The supernatants were collected and used to evaluate the levels of proinflammatory cytokines, such as IL-6, by ELISA (Biolegend, San Diego, CA, USA). Cells were lysed with water and used for protein quantification via the BCA method (Thermo Fischer, Waltham, MA, USA). Two independent experiments were performed, and the results were expressed in pg of cytokine/mg of total protein.
2.5. Population of the Study of Skin Microbiota
For the present study, female and male volunteers more than 18 years old with or without skin diseases were recruited. The group of selected volunteers did not include pregnant women or women during the lactation period; individuals with tattoos or significant scars on the inner forearm; individuals that performed hair removal/exfoliation/skin cleansing on the inner forearm 3 to 4 weeks prior to the sampling and during the study period. We also excluded individuals that applied cosmetic products onto the inner forearm prior to the sampling and during the study, and those who took pre- or probiotics, antibiotics, immunosuppressants, and chronic anti-inflammatory and chronic antihistamine drugs and/or systemic antifungals 1 month prior to the sampling and during the study period. Based on these exclusion criteria, a total of 23 participants were included (19 females and 4 males), who were divided into two age groups: 26 to 35 years old (n= 17) and 36 to 45 years old (n = 6). Seven of the volunteers mentioned eczema, neurofibromatosis, psoriasis, and sensitive skin. Oral and written instructions were provided to all volunteers, who received a 50 mL vaporizer with Chaves thermal spring water to be used twice a day (firstly in the morning and lastly in the afternoon) for 15 days.
Volunteers visited the locale of the study on days 0, 8, and 16, on which the measurement of the skin biometric parameters of both inner forearms was performed. Additionally, samples of skin microbiota were collected from both inner forearms of 13 of the total selected volunteers. The control and test forearms were randomly chosen to eliminate the effect of the dominant arm. All volunteers signed an informed consent form after receiving a detailed explanation about the purpose and procedures of the study. Skin microbial samples and skin biometric data were delinked and unidentified from their donors. The present study (project no. 83) was validated by the Health Ethics Committee of the Portuguese Catholic University (CES-UCP) before its execution.
2.6. Measurement of Skin Biometric Parameters
To evaluate the beneficial effects of Chaves thermal spring water on the skin, the biometric parameters were measured on the inner forearm before (day 0) and after (days 8 and 16) the application of the product. Twelve hours before the measurement, the volunteers were instructed not to apply any cosmetic or the test product. A Multi Probe Adapter MPA 6 (Courage and Khazaka, Cologne, Germany) coupled with different probes was used: the Corneometer® CM 825 probe, to quantify the level of hydration; the Tewameter® TM Hex probe, to determine the transepidermal water loss (TEWL); and the probe Skin-pH-meter PH 905, to measure the pH.
2.7. Collection of Skin Microbiota
On days 0 and 16, samples of skin microbiota from the inner forearms of 13 volunteers were collected using the procedure previously described by our team [34]. Briefly, 4N6FLOQSwabsTM (Thermo Fisher Scientific, Waltham, MA, USA) moistened in a sterile solution of phosphate buffer solution (PBS) (at 0.1 M, pH 7.3 ± 0.2 at 25 °C) plus 0.1% (v/v) Tween 80 were used to collect the skin microbiota samples from each inner forearm. After the collection, the swab was placed into a tube with RPMI 1640 medium (Gibco, Thermo Fisher Scientific, Waltham, MA, USA), and it was incubated for 2 h at 34 °C with agitation. The control of the collection method was performed using the same procedure without the skin microbiota sample. At the end, all tubes were centrifuged at 21,130× g for 10 min, and the pellet was recovered and stored at −20 °C until DNA extraction. The controls were processed similarly to the skin microbiota samples.
2.8. DNA Extraction and Quantitative Real-Time PCR (qPCR)
Total DNA was extracted from all pellets with the QIAamp DNA Microbiome Kit (Qiagen, Hilden, Germany), according to the manufacturing instructions. After extraction, DNA was quantified by the Qubit 4 Fluorometer dsDNA HS Assay Kit (Life Technologies, Foster City, CA, USA), and the concentration was standardized at 10 ng/µL.
qPCR assays were used to determine the relative abundances of specific microbial genera and species. For this, we used a universal assay, composed by universal primers targeting a conserved region of the 16S rRNA gene for bacteria and the ITS2 region for fungi, and genus- or species-specific assays, composed by primers targeting genus- or species-specific genes. qPCR reactions were prepared as previously described by our team [34].
2.9. Statistical Analysis
Data were plotted and treated using GraphPad Prism version 6.00 (GraphPad Software, Insight Partners, La Jolla, CA, USA). Data were further analyzed for significant differences. Multiple comparison tests were performed by one-way ANOVA supplemented with Tukey’s HSD post hoc test. Differences were considered statistically significant at p < 0.05.
3. Results
3.1. Characterization of Chaves Thermal Water
Chaves thermal spring water is characterized by a neutral pH (6.8) and low mineralization (1630 mg/L of total dissolved solids), and its main minerals are sodium, potassium, silicon, and calcium (Table 1). Additionally, no microbial growth was detected on the TSA and SDA plates.
Table 1.
Elemental composition of Chaves thermal spring water (recalculated) and physicochemical properties.
3.2. Cytotoxicity Assessment
The impact of Chaves thermal spring water on the viability of nHDF and HaCaT cells was evaluated by the PrestoBlue cell viability assay. As represented in Figure 1, the exposure to Chaves thermal spring water did not significantly reduce the nHDF or HaCaT cell viability when compared to the control. According to ISO 10993-5, an ingredient is considered cytocompatible when the cell viability inhibition is lower than 30%.
Figure 1.
Effect of Chaves thermal spring water on cellular viability in (a) human dermal fibroblasts (nHDFs) and (b) keratinocytes (HaCaT) after 24 h incubation. nHDF and HaCaT cells were incubated with DMEM powder high-glucose medium plus Chaves thermal spring water (TW) and with DMEM powder high-glucose plus Mili-Q-type water (control). The pH values of both media were adjusted to 7.4, and the media were supplemented with FBS plus penicillin–streptomycin. Results are presented as percentage of cell viability, where 100% corresponds to untreated cells. The dotted line represents a 30% inhibition of cell viability. Statistical analysis was performed using the one-way ANOVA with Tukey’s multiple comparison test.
3.3. Antioxidant and Antiaging Enzyme Activities
To investigate the antiaging potential of Chaves thermal spring water, commercial kits were used to determine the percentage of inhibition of aging-related enzymes, including elastase, collagenase, and tyrosinase (Table 2). Chaves thermal spring water significantly inhibited the activity of elastase in comparison to vitamin C, while the activity of MMP-1 (collagenase) and tyrosinase was not reduced. Vitamin C (at 8 mg/mL) showed an inhibition capacity to all the tested enzymes between 90 and 99%.
Table 2.
Evaluation of antioxidant and antiaging potential of Chaves thermal spring water.
Additionally, two chemical methods (ABTS and DPPH) were used to assess the antioxidant activity of Chaves thermal spring water. However, only the ABTS method allowed for an evaluation of the neutralization of free radicals by Chaves thermal spring water (Table 2).
3.4. Cosmetic and Skincare Properties
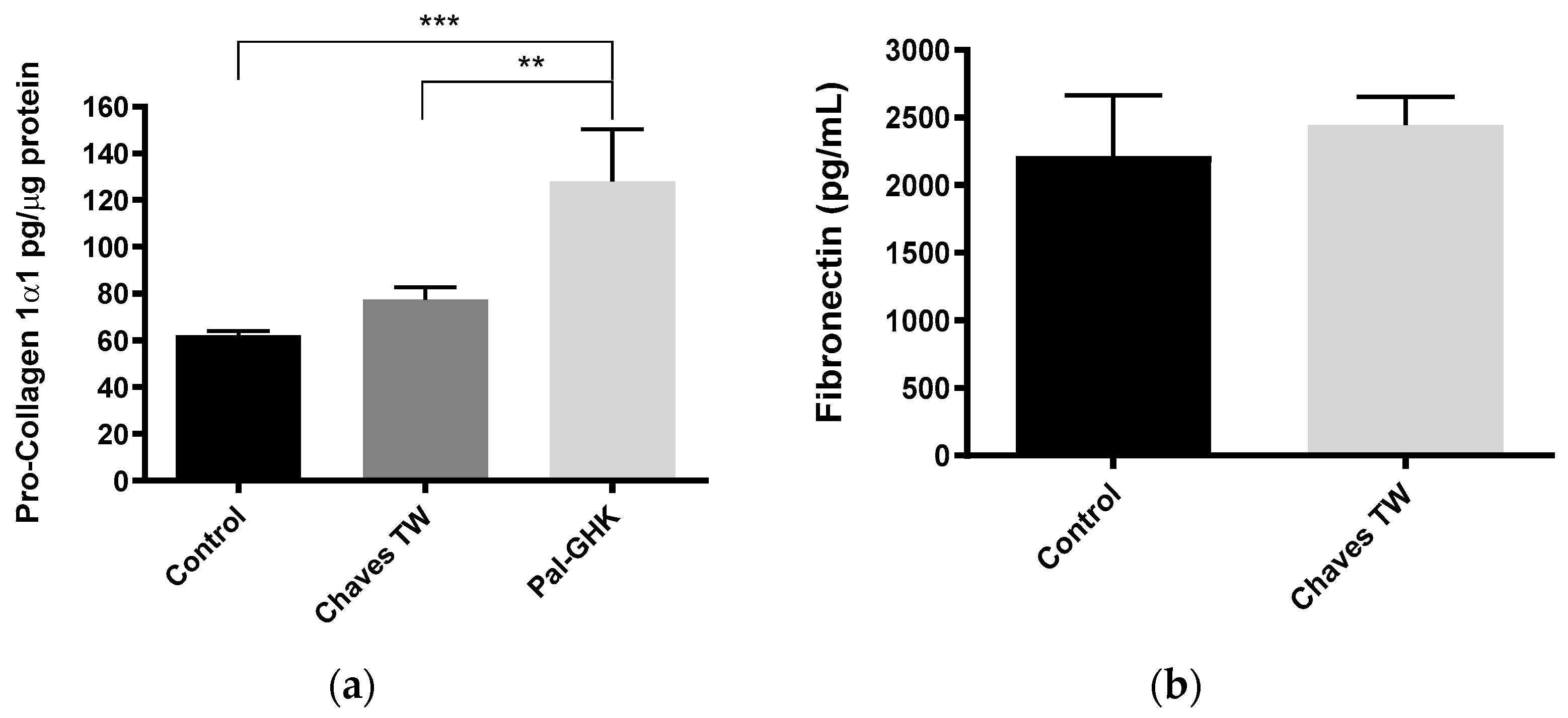
3.4.1. Collagen and Fibronectin Production
The Human Pro-Collagen I alpha 1 ELISA Kit demonstrated a similar quantity of pro-collagen I alpha 1 protein between nHDF cells incubated with the test-supplemented medium and those incubated with the control-supplemented medium (Figure 2a). In agreement with this result, the quantity of fibronectin protein detected in nHDF cells incubated with the test-supplemented medium did not show statistical differences when compared with nHDF cells incubated with the control-supplemented medium (Figure 2b).
Figure 2.
Quantification of (a) pro-collagen 1 α1 and (b) fibronectin in nHDF cells treated with Chaves thermal spring water (Chaves TW). The control condition of both assays corresponds to standard culture medium prepared with Mili-Q water. Palmitoyl Tripeptide-1 (Pal-GHK) was used as a positive control. Statistical analysis was performed using the one-way ANOVA with Tukey’s multiple comparison test (** p < 0.001, *** p < 0.0001).
3.4.2. Cellular Exposure to Urban Particulate Matter
To evaluate the anti-inflammatory potential of Chaves thermal spring water, HaCaT cells were exposed to urban air pollution particles, followed by IL-6 quantification, which is a sensitive and reliable inflammation marker due to its involvement in the acute-phase response [35]. It was possible to observe that in the basal conditions (without urban air particles), Chaves thermal spring water led to a significant decrease in the IL-6 levels in comparison to the control condition (Figure 3a). Moreover, the levels of IL-6 increased 10-fold after the exposure to urban air pollution particles. The treatment with Chaves thermal spring water led to a significant reduction in the IL-6 levels in comparison to the control condition. The betamethasone (potent anti-inflammatory molecule) was used as a positive control (Figure 3b).
Figure 3.
Evaluation of anti-inflammatory potential of Chaves thermal water. The IL-6 levels were quantified in supernatants of HaCaT cells (a) without urban air pollution particles and (b) upon contact with urban air pollution particles. HaCaT cells were incubated with DMEM powder high-glucose medium plus Chaves thermal spring water (TW) and with DMEM powder high-glucose plus Mili-Q-type water (control). The pH values of both media were adjusted to 7.4, and the media were supplemented with FBS plus penicillin–streptomycin. Betamethasone (Beta) was used as a positive control for the anti-inflammatory effect. (** p < 0.001, **** p < 0.0001).
3.5. Evaluation of Skin Parameters and Skin Microbiota
The skin biometric parameters, including the hydration levels, transepidermal water loss (TEWL), and pH values, were evaluated before (day 0) and after (days 8 and 16) the application of Chaves thermal spring water (Figure 4). The hydration levels of both inner forearms of 23 volunteers were similar when comparing day 0 with day 8 and day 16 (Figure 4a). To evaluate whether the hydration levels were influenced by gender, age, or the presence/absence of skin diseases, the results were analyzed based on these criteria, which demonstrated that the hydration levels were maintained during the time. Interestingly, when the volunteers were grouped based on their hydration levels at day 0 (before the application of Chaves thermal spring water), the group of volunteers with very dry skin (hydration levels < 30) revealed a statistically significant increase in their hydration levels at day 8, maintaining this until day 16.
Figure 4.
Skin biometric parameters. The measurement of (a) hydration levels, (b) transepidermal water loss (TEWL), and (c) pH values was performed on days 0 (before the application) and on days 8 and 16 (after the application). The results are represented as bar graphs (average ± SD). * and ** stand for p < 0.05 and p < 0.005, respectively. ns, not significant (p > 0.05).
On day 16, our results demonstrated that the application of Chaves thermal spring water significantly decreased the transepidermal water loss to values under 10 g/m2/h in comparison to day 0, meaning that this thermal water might help to restore the integrity of the skin barrier (Figure 4b). Additionally, the skin pH values of the volunteers increased significantly on days 8 and 16 in comparison to day 0. However, the volunteers presented similar skin pH values on days 8 and 16, demonstrating that Chaves thermal spring water allowed them to maintain a healthy skin pH (Figure 4c).
To further evaluate the impact of Chaves thermal spring water on skin health, we also characterized the skin microbiota in a subset of 13 volunteers at days 0 and 16. Staphylococcus, Propionibacterium, and Corynebacterium are the main bacterial genera that compose the human skin microbiota [36]. Thus, their relative abundances were determined on the samples collected from the skin of the inner forearms of volunteers on day 0 (before the application) and day 16 (after the application), which presented similar amounts of these genera (Figure 5a–c). We also determined the relative abundances of S. epidermidis and P. acnes (skin health sentinels), demonstrating no statistically significant differences between the skin microbiota samples collected before and after the application of Chaves thermal spring water (Figure 5e,f). A similar result was obtained for the Staphylococcus sp./Propioniobacterium sp. and S. epidermidis/P. acnes ratios when comparing both time points of collection. Moreover, the comparison of samples collected on day 0 and those collected on day 16 showed that the relative abundance of Malassezia genus was similarly detected at both time points (Figure 5d).
Figure 5.
The relative abundances of (a) Staphylococcus sp.; (b) Corynebacterium sp.; (c) Propionibacterium sp.; (d) Malassezia sp.; (e) Staphylococcus epidermidis; (f) Propionibacterium acnes, determined by qPCR (ns, not significant).
4. Discussion
For centuries, thermal spring water has been used as a treatment for several diseases, including dermatologic diseases [3]. Different studies have reported the absence of side effects of thermal spring water, allowing for its use as an adjuvant in the treatment of various skin disorders, demonstrating the importance of thermal spring waters in the cosmetics industry [26]. The scientific knowledge about the mechanisms of action and clinical benefits of this natural resource has been increasing over the years, including in Portugal [23,37,38,39,40]. In the present study, we performed a preliminary screening of Chaves thermal spring water, evaluating its biological potential for use as a therapeutic or cosmetic product.
We began by determining the physicochemical composition of Chaves thermal spring water, which was consistent with previous reports [27], indicating that Chaves thermal spring water has been stable over the years. Its pH value was 6.8, an almost neutral value. This is an important characteristic for a potential cosmetic active ingredient that will be topically applied, since skin pH is normally acidic, ranging between 4 and 6, which regulates the maintenance of the stratum corneum homeostasis and the skin barrier permeability [41]. Therefore, skincare products should have a pH similar to that of skin so they do not alter it [42]. Additionally, Chaves thermal spring water contained less than 2 g/L of total dissolved solids and is classified as low-mineralized in comparison to other thermal waters, but this does not impair its potential to benefit the skin, since the absorption of minerals through the skin is limited [43]. For example, Avène thermal spring water is also low-mineralized, and it presents anti-inflammatory, antioxidant, and anti-irritant proprieties [23,44,45]. The main minerals presented in Chaves thermal spring water, sodium, potassium, silicon, and calcium, are also present in other thermal spring waters around the globe, but in different proportions [26]. After the determination of the physicochemical composition, a cytotoxicity assay was performed, demonstrating that Chaves thermal spring water did not interfere with the viability of HaCaT and nHDF cells, allowing it to go through further in vitro tests. The non-toxicity of other thermal spring waters has also been reported by other authors [46,47,48].
Recently, Figueiredo et al. [26] reviewed the published data on the dermatologic potential of thermal spring waters, based on our evaluation of the antiaging and antioxidant capacity of Chaves thermal spring water. Our results demonstrated that Chaves thermal spring water inhibited the activity of elastase, which is an enzyme that hydrolyses elastin, and its activity is associated with the mechanical properties of connective tissues, including the firmness and elasticity of the skin [49]. This result suggests that Chaves thermal spring water may contribute to the improvement in skin health while avoiding the degradation of the elastase.
The antioxidant activity of thermal spring waters is related to their mineral composition. In fact, minerals like calcium, potassium, and magnesium are involved in human cell defense mechanisms against reactive oxidative species (ROS), since they support the activity of several antioxidant enzymes. It is also known that mineral salts such as selenium, copper, manganese, and zinc have an important role as antioxidants, with selenium being used in the effective removal of peroxides from cytosol and cell membranes, while the cytosolic superoxide dismutase requires copper to activate its antioxidant properties [50]. For example, Avène, Uriage, and Vichy thermal spring waters, as well as dead sea water, present high contents of some of these minerals, and in vitro experiments have demonstrated their antioxidant capacity by reducing the generation of ROS in UV-exposed skin or cells [26,51,52]. In contrast, Chaves thermal spring water did not show antioxidant activity in comparison to vitamin C via the ABTS and DPPH methods. This result might be explained by its mineral composition, in which sodium is dominant.
Previous studies have reported that thermal spring waters have a positive effect on extracellular matrix (ECM) proteins, including collagen and fibronectin, as its major components. Collagen is responsible for skin elasticity and flexibility, while fibronectin plays an important role in the ECM organization and stability [26,51,52]. For instance, in vitro studies have demonstrated that Blue Lagoon and Nitrodi’s spring waters significantly increased the levels of collagen 1a1 and 1a2 in human epidermal keratinocytes and fibroblasts [53,54]. It has been also reported that the silicon content of thermal spring water might be related to collagen synthesis via the activation of hydroxylation enzymes that are crucial for forming the collagen network, thereby improving skin elasticity and strength [55]. Although Chaves thermal spring water contains 37.20 mg/L of silicon, this concentration was not sufficient to increase the collagen synthesis in nHDF cells. Moreover, in vitro studies have demonstrated a promotion in the fibronectin deposition with Nitrodi’s spring water [53]. In contrast, our results demonstrated no significant increase in the production of fibronectin after the incubation of nHDF cells with Chaves thermal spring water.
The human skin acts as the exterior interface of the human body with the environment, meaning that the exposure to air pollution or UV radiation might have a negative impact on skin health, leading to inflammatory processes and ROS production. Several changes have been reported to occur in skin cells after their exposure to pollution factors, such as in lipid composition and protein oxidation, and increases in inflammation markers and oxidative stress [16]. In the present study, Chaves thermal spring water significantly decreased the levels of IL-6 in HaCaT cells exposed to urban air pollution particles. This result indicates the soothing potential of Chaves thermal spring water, which is in accordance with the published data for other thermal spring waters [56].
In addition to in vitro experiments, we measured the skin biometric parameters on the forearms of volunteers, demonstrating that Chaves thermal spring water significantly decreased the TEWL without changing the hydration level (comparing day 0 and day 16). The values of the TEWL and hydration level are associated with the health of the skin as well as the age of individuals, and sometimes they are inversely related [57]. Thus, both skin parameters are frequently used in dermatology and cosmetology to evaluate the integrity of the skin barrier and to assess the efficacy of topical products, such as thermal spring waters [40,57]. Our results suggested that Chaves thermal water might be used to restore the skin barrier function due to the decrease in the TEWL, making it helpful for individuals with skin diseases, who are associated with higher values of TEWL in comparison to the unaffected [58,59]. Montero-Vilchez et al. [58] reported that the TEWL was significantly higher in psoriatic plaques and atopic dermatitis eczematous lesions than in uninvolved or healthy skin. Different studies have demonstrated that thermal spring water might have prebiotic and probiotic effects based on their microbial and mineral compositions [60,61,62,63]. Chaves thermal spring water is a low-mineral water, mainly composed of sodium and potassium, with a stable microbial community over time [64]. These factors might explain the absence of differences between the skin microbiota samples collected before application (day 0) and those collected after thermal water application (day 16). In contrast, a study with 57 individuals with psoriasis showed that a 12-bath treatment at Terme di Comano (Trentino, Italy) helped to restore the microbial community of psoriatic lesions so that it resembled that of unaffected or peri-lesion skin [63]. Moreover, the 3-week balneotherapy treatment with La Roche Posay thermal water (selenium-rich water) significantly increased the level of the Xanthomonas genus, which was associated with a clinical improvement in psoriasis vulgaris [62].
5. Conclusions
Overall, the present study provides a comprehensive evaluation of the biological potential of Chaves thermal spring water as a cosmetic product.
Due to its closeness to a neutral pH level, Chaves thermal spring water reveals itself as an ideal candidate for topical application, without disrupting the skin’s natural acidity. It also exhibits a low-mineralized composition, aligning it with other renowned, commercially available thermal waters known for their dermatological benefits.
The most notable characteristic of this water is its anti-inflammatory properties. As demonstrated here, Chaves thermal spring water significantly reduced the IL-6 levels in HaCaT cells that were exposed to urban pollution, making it relevant in the context of increasing environmental stressors affecting skin health.
Additionally, the clinical study here employed revealed a significant reduction in transepidermal water loss in the human volunteers, suggesting that Chaves thermal spring water may help restore the skin barrier function, which is a critical finding for individuals with skin conditions associated with an impaired barrier function.
In summary, this study establishes a solid foundation for the use of Chaves thermal spring water as a cosmetic ingredient, highlighting its benefits for skin health. However, it is necessary to perform additional studies, including those with a high number of volunteers with different skin diseases (such as psoriasis and eczema), to evaluate the beneficial effects of Chaves thermal water on affected skin.
Author Contributions
Conceptualization, A.R.M.; methodology, I.P.-R., C.C., P.E.R., M.J.C., A.R.M., S.S.P., P.C., J.A.-S. and A.L.S.O.; software, I.P.-R., S.S.P., J.A.-S. and A.P.; validation, A.R.M. and M.P.; formal analysis, I.P.-R., C.C., S.S.P., J.A.-S. and A.L.S.O.; investigation, I.P.-R., C.C., P.E.R., M.J.C., A.M., S.S.P., P.C., J.A.-S. and A.L.S.O.; resources, M.P. and A.R.M.; data curation, M.P. and A.R.M.; writing—original draft preparation, I.P.-R., P.E.R. and C.C.; writing—review and editing, P.E.R.; visualization, I.P.-R.; supervision, A.R.M. and M.P.; project administration, M.P. and A.R.M.; funding acquisition, A.R.M. and M.P. All authors have read and agreed to the published version of the manuscript.
Funding
This research was funded by the Project PL23-00053, “Therm4Skin—Bem-Estar Sem Pausa”, Promove o futuro do Interior, call 2023 and CBQF under the FCT project UIDB/50016/2020 through national funds, and the co-funding by FEDER, within the PT02020 Partnership Agreement.
Institutional Review Board Statement
This study was conducted in accordance with the Declaration of Helsinki, and it was approved by the Health Ethics Committee of the Portuguese Catholic University (CES-UCP) (Project 83, approved in 17 September 2020) for studies involving volunteers.
Informed Consent Statement
Informed consent was obtained from all subjects involved in this study.
Data Availability Statement
The raw data supporting the conclusions of this article will be made available by the authors on request.
Acknowledgments
The authors thank the scientific collaboration of Amyris Bio Products Portugal.
Conflicts of Interest
Authors Adélia Mendes and João Azevedo-Silva were employed by the company Amyris Bio Products Portugal, Unipessoal Lda. The remaining authors declare that the research was conducted in the absence of any commercial or financial relationships that could be construed as a potential conflict of interest.
References
- Ghersetich, I.; Freedman, D.; Lotti, T. Balneology Today; Wiley Online Library: Hoboken, NJ, USA, 2000; pp. 346–348. [Google Scholar]
- Komatina, M. Medical Geology: Effects of Geological Environments on Human Health; Elsevier: Amsterdam, The Netherlands, 2004. [Google Scholar]
- Huang, A.; Seité, S.; Adar, T. The use of balneotherapy in dermatology. Clin. Dermatol. 2018, 36, 363–368. [Google Scholar] [CrossRef] [PubMed]
- Guerrero, D.; Garrigue, E. Eau thermale d’Avène et dermatite atopique: Avène’s thermal water and atopic dermatitis. In Annales de Dermatologie et de Vénéréologie; Elsevier: Amsterdam, The Netherlands, 2017. [Google Scholar]
- Geat, D.; Giovannini, M.; Barlocco, E.G.; Pertile, R.; Farina, S.; Pace, M.; Filippeschi, C.; Girolomoni, G.; Cristofolini, M.; Baldo, E. Characteristics associated with clinical response to Comano thermal spring water balneotherapy in pediatric patients with atopic dermatitis. Ital. J. Pediatr. 2021, 47, 91. [Google Scholar] [CrossRef] [PubMed]
- Kulisch, Á.; Mándó, Z.; Sándor, E.; Lengyel, Z.; Illés, A.; Kósa, J.; Árvai, K.; Lakatos, P.; Tóbiás, B.; Papp, M.; et al. Evaluation of the effects of Lake Hévíz sulfur thermal water on skin microbiome in plaque psoriasis: An open label, pilot study. Int. J. Biometeorol. 2023, 67, 661–673. [Google Scholar] [CrossRef] [PubMed]
- Khalilzadeh, S.; Shirbeigi, L.; Naghizadeh, A.; Mehriardestani, M.; Shamohammadi, S.; Tabarrai, M. Use of mineral waters in the treatment of psoriasis: Perspectives of Persian and conventional medicine. Dermatol. Ther. 2019, 32, e12969. [Google Scholar] [CrossRef] [PubMed]
- Cacciapuoti, S.; Luciano, M.A.; Megna, M.; Annunziata, M.C.; Napolitano, M.; Patruno, C.; Scala, E.; Colicchio, R.; Pagliuca, C.; Salvatore, P.; et al. The role of thermal water in chronic skin diseases management: A review of the literature. J. Clin. Med. 2020, 9, 3047. [Google Scholar] [CrossRef]
- Antunes, J.D.M.; Daher, D.V.; Giaretta, V.M.D.A.; Ferrari, M.F.M.; Posso, M.B.S. Hydrotherapy and crenotherapy in the treatment of pain: Integrative review. BrJP 2019, 2, 187–198. [Google Scholar] [CrossRef]
- Meier, B.P.; Dillard, A.J.; Osorio, E.; Lappas, C.M. A behavioral confirmation and reduction of the natural versus synthetic drug bias. Med. Decis. Mak. 2019, 39, 360–370. [Google Scholar] [CrossRef]
- Hwa, C.; Bauer, E.A.; Cohen, D.E. Skin biology. Dermatol. Ther. 2011, 24, 464–470. [Google Scholar] [CrossRef]
- Lefèvre-Utile, A.; Braun, C.; Haftek, M.; Aubin, F. Five functional aspects of the epidermal barrier. Int. J. Mol. Sci. 2021, 22, 11676. [Google Scholar] [CrossRef]
- Chambers, E.S.; Vukmanovic-Stejic, M. Skin barrier immunity and ageing. Immunology 2020, 160, 116–125. [Google Scholar] [CrossRef]
- Carvalho, M.J.; Oliveira, A.L.S.; Pedrosa, S.S.; Pintado, M.; Pinto-Ribeiro, I.; Madureira, A.R. Skin microbiota and the cosmetic industry. Microb. Ecol. 2023, 86, 86–96. [Google Scholar] [CrossRef] [PubMed]
- Schikowski, T.; Hüls, A. Air pollution and skin aging. Curr. Environ. Health Rep. 2020, 7, 58–64. [Google Scholar] [CrossRef]
- Rembiesa, J.; Ruzgas, T.; Engblom, J.; Holefors, A. The impact of pollution on skin and proper efficacy testing for anti-pollution claims. Cosmetics 2018, 5, 4. [Google Scholar] [CrossRef]
- Braga, P.C.; Ceci, C.; Marabini, L.; Nappi, G. The antioxidant activity of sulphurous thermal water protects against oxidative DNA damage: A comet assay investigation. Drug Res. 2013, 63, 198–202. [Google Scholar] [CrossRef] [PubMed]
- Braga, P.C.; Sambataro, G.; Sasso, M.D.; Culici, M.; Alfieri, M.; Nappi, G. Antioxidant effect of sulphurous thermal water on human neutrophil bursts: Chemiluminescence evaluation. Respiration 2008, 75, 193–201. [Google Scholar] [CrossRef] [PubMed]
- Prandelli, C.; Parola, C.; Buizza, L.; Delbarba, A.; Marziano, M.; Salvi, V.; Zacchi, V.; Memo, M.; Sozzani, S.; Calza, S.; et al. Sulphurous thermal water increases the release of the anti-inflammatory cytokine IL-10 and modulates antioxidant enzyme activity. Int. J. Immunopathol. Pharmacol. 2013, 26, 633–646. [Google Scholar] [CrossRef]
- Tacheau, C.; Weisgerber, F.; Fagot, D.; Bastien, P.; Verdier, M.P.; Liboutet, M.; Sore, G.; Bernard, B.A. Vichy Thermal Spring Water (VTSW), a cosmetic ingredient of potential interest in the frame of skin ageing exposome: An in vitro study. Int. J. Cosmet. Sci. 2018, 40, 377–387. [Google Scholar] [CrossRef]
- Rasmont, V.; Valois, A.; Gueniche, A.; Sore, G.; Kerob, D.; Nielsen, M.; Berardesca, E. Vichy volcanic mineralizing water has unique properties to strengthen the skin barrier and skin defenses against exposome aggressions. J. Eur. Acad. Dermatol. Venereol. 2022, 36, 5–15. [Google Scholar] [CrossRef]
- Joly, F.; Gardille, C.; Barbieux, E.; Lefeuvre, L. eneficial effect of a thermal spring water on the skin barrier recovery after injury: Evidence for claudin-6 expression in human skin. J. Cosmet. Dermatol. Sci. Appl. 2012, 2, 273–276. [Google Scholar]
- Mias, C.; Maret, A.; Gontier, E.; Carrasco, C.; Satge, C.; Bessou-Touya, S.; Coubetergues, H.; Bennett-Kennett, R.; Dauskardt, R.H.; Duplan, H. Protective properties of Avène Thermal Spring Water on biomechanical, ultrastructural and clinical parameters of human skin. J. Eur. Acad. Dermatol. Venereol. 2020, 34, 15–20. [Google Scholar] [CrossRef]
- Zeichner, J.; Seite, S. From probiotic to prebiotic using thermal spring water. J. Drugs Dermatol. 2018, 17, 657–662. [Google Scholar]
- Tamás, B.; Gabriella, K.; Kristóf; Anett, I.; Pál, K.J.; Bálint, T.; Péter, L.; Márton, P.; Katalin, N. The Effects of Lakitelek Thermal Water and Tap Water on Skin Microbiome, a Randomized Control Pilot Study. Life 2023, 13, 746. [Google Scholar] [CrossRef]
- Figueiredo, A.C.; Rodrigues, M.; Mourelle, M.L.; Araujo, A.R.T.S. Thermal Spring Waters as an Active Ingredient in Cosmetic Formulations. Cosmetics 2023, 10, 27. [Google Scholar] [CrossRef]
- Aires-Barros, L.; Marques, J.M.; Graça, R.C. Elemental and isotopic geochemistry in the hydrothermal area of Chaves, Vila Pouca de Aguiar (northern Portugal). Environ. Geol. 1995, 25, 232–238. [Google Scholar] [CrossRef]
- Vaz, M.; Fernandes, P.O.; Ferreira, F.A.; Alves, M.J.; Costa, V.; Nunes, A. The importance-satisfaction matrix as a strategic tool for Termas de Chaves thermal spa priority improvements. J. Tour. Sustain. Well-Being 2023, 11, 52–65. [Google Scholar]
- Clesceri, L.S. Standard Methods for Examination of Water and Wastewater; American Public Health Association: Washington, DA, USA, 1998; Volume 9. [Google Scholar]
- ISO 6222:1999; Water Quality—Enumeration of Culturable Micro-Organisms—Colony Count by Inoculation in a Nutrient Agar Culture Medium. International Organization for Standardization: Geneva, Switzerland, 1999.
- Gonçalves, B.; Falco, V.; Moutinho-Pereira, J.; Bacelar, E.; Peixoto, F.; Correia, C. Effects of elevated CO2 on grapevine (Vitis vinifera L.): Volatile composition, phenolic content, and in vitro antioxidant activity of red wine. J. Agric. Food Chem. 2009, 57, 265–273. [Google Scholar] [CrossRef]
- ISO 10993-5; Biological Evaluation of Medical Devices; Part 5: Tests for In Vitro Cytotoxicity. International Organization for Standardization: Geneva, Switzerland, 2009.
- Carvalho, M.J.; Pedrosa, S.S.; Mendes, A.; Azevedo-Silva, J.; Fernandes, J.; Pintado, M.; Oliveira, A.L.S.; Madureira, A.R. Anti-Aging Potential of a Novel Ingredient Derived from Sugarcane Straw Extract (SSE). Int. J. Mol. Sci. 2023, 25, 21. [Google Scholar] [CrossRef] [PubMed]
- Carvalho, M.J.; Pinto-Ribeiro, I.; Castro, C.; Pedrosa, S.S.; Oliveira, A.L.; Pintado, M.; Madureira, A.R. Impact of a novel sugarcane straw extract-based ingredient on skin microbiota via a new preclinical in vitro model. Microbe 2023, 1, 100017. [Google Scholar] [CrossRef]
- Ryu, Y.S.; Kang, K.A.; Piao, M.J.; Ahn, M.J.; Yi, J.M.; Hyun, Y.-M.; Kim, S.H.; Ko, M.K.; Park, C.O.; Hyun, J.W. Particulate matter induces inflammatory cytokine production via activation of NFκB by TLR5-NOX4-ROS signaling in human skin keratinocyte and mouse skin. Redox Biol. 2019, 21, 101080. [Google Scholar] [CrossRef]
- Byrd, A.L.; Belkaid, Y.; Segre, J.A. The human skin microbiome. Nat. Rev. Microbiol. 2018, 16, 143–155. [Google Scholar] [CrossRef]
- Seite, S. Thermal waters as cosmeceuticals: La Roche-Posay thermal spring water example. Clin. Cosmet. Investig. Dermatol. 2013, 6, 23–28. [Google Scholar] [CrossRef]
- Merial-Kieny, C.; Castex-Rizzi, N.; Selas, B.; Mery, S.; Guerrero, D. Avène Thermal Spring Water: An active component with specific properties. J. Eur. Acad. Dermatol. Venereol. 2010, 25, 2–5. [Google Scholar] [CrossRef]
- Ferreira, M.O.; Costa, P.C.; Bahia, M.F. Effect of São Pedro do Sul thermal water on skin irritation. Int. J. Cosmet. Sci. 2010, 32, 205–210. [Google Scholar] [CrossRef] [PubMed]
- Almeida, C.; Madeira, A.; Marto, J.; Graça, A.; Pinto, P.; Ribeiro, H. Monfortinho thermal water-based creams: Effects on skin hydration, psoriasis, and eczema in adults. Cosmetics 2019, 6, 56. [Google Scholar] [CrossRef]
- Ali, S.M.; Yosipovitch, G. Skin pH: From basic science to basic skin care. Acta Derm. Venereol. 2013, 93, 261–267. [Google Scholar] [CrossRef]
- Lukić, M.; Pantelić, I.; Savić, S.D. Towards optimal ph of the skin and topical formulations: From the current state of the art to tailored products. Cosmetics 2021, 8, 69. [Google Scholar] [CrossRef]
- Nasermoaddeli, A.; Kagamimori, S. Balneotherapy in medicine: A review. Environ. Health Prev. Med. 2005, 10, 171–179. [Google Scholar] [CrossRef] [PubMed]
- Casas, C.; Ribet, V.; Alvarez-Georges, S.; Sibaud, V.; Guerrero, D.; Schmitt, A.; Redoulès, D. Modulation of Interleukin-8 and staphylococcal flora by Avène hydrotherapy in patients suffering from chronic inflammatory dermatoses. J. Eur. Acad. Dermatol. Venereol. 2011, 25, 19–23. [Google Scholar] [CrossRef]
- Castex-Rizzi, N.; Charveron, M.; Merial-Kieny, C. Inhibition of TNF-alpha induced-adhesion molecules by Avène Thermal Spring Water in human endothelial cells. J. Eur. Acad. Dermatol. Venereol. 2010, 25, 6–11. [Google Scholar] [CrossRef]
- Nunes, F.; Rodrigues, M.; Ribeiro, M.P.; Ugazio, E.; Cavalli, R.; Abollino, O.; Coutinho, P.; Araujo, A.R.T.S. Incorporation of Cró thermal water in a dermocosmetic formulation: Cytotoxicity effects, characterization and stability studies and efficacy evaluation. Int. J. Cosmet. Sci. 2019, 41, 604–612. [Google Scholar] [CrossRef]
- Oliveira, A.S.; Vaz, C.V.; Silva, A.; Correia, S.; Ferreira, R.; Breitenfeld, L.; Martinez-De-Oliveira, J.; Palmeira-De-Oliveira, R.; Pereira, C.; Cruz, M.T.; et al. In vitro evaluation of potential benefits of a silica-rich thermal water (Monfortinho Thermal Water) in hyperkeratotic skin conditions. Int. J. Biometeorol. 2020, 64, 1957–1968. [Google Scholar] [CrossRef] [PubMed]
- Nicoletti, G.; Corbella, M.; Jaber, O.; Marone, P.; Scevola, D.; Faga, A. Non-pathogenic microflora of a spring water with regenerative properties. Biomed. Rep. 2015, 3, 758–762. [Google Scholar] [CrossRef] [PubMed]
- Portugal-Cohen, M.; Oron, M.; Merrik, E.; Ben-Amitai, D.; Yogev, H.; Zvulunov, A. A Dead Sea Water-Enriched Body Cream Improves Skin Severity Scores in Children with Atopic Dermatitis. J. Cosmet. Dermatol. Sci. Appl. 2011, 1, 99–106. [Google Scholar] [CrossRef]
- Joly, F.; Branka, J.-E.; Lefeuvre, L. Thermal Water from Uriage-les-Bains Exerts DNA Protection, Induction of Catalase Activity and Claudin-6 Expression on UV Irradiated Human Skin in Addition to Its Own Antioxidant Properties. J. Cosmet. Dermatol. Sci. Appl. 2014, 04, 99–106. [Google Scholar] [CrossRef][Green Version]
- Knott, A.; Drenckhan, A.; Reuschlein, K.; Lucius, R.; Döring, O.; Böttger, M.; Stäb, F.; Wenck, H.; Gallinat, S. Corrigendum to Decreased fibroblast contractile activity and reduced fibronectin expression are involved in skin photoaging. J. Dermatol. Sci. 2010, 58, 232. [Google Scholar] [CrossRef]
- Sun, W.; He, J.; Zhang, Y.; He, R.; Zhang, X. Comprehensive functional evaluation of a novel collagen for the skin protection in human fibroblasts and keratinocytes. Biosci. Biotechnol. Biochem. 2023, 87, 724–735. [Google Scholar] [CrossRef]
- Mormile, I.; Tuccillo, F.; Della Casa, F.; D’aiuto, V.; Montuori, N.; De Rosa, M.; Napolitano, F.; de Paulis, A.; Rossi, F.W. The Benefits of Water from Nitrodi’s Spring: The In Vitro Studies Leading the Potential Clinical Applications. Int. J. Mol. Sci. 2023, 24, 13685. [Google Scholar] [CrossRef]
- Grether-Beck, S.; Mühlberg, K.; Brenden, H.; Felsner, I.; Brynjolfsdottir, A.; Einarsson, S.; Krutmann, J. Bioactive molecules from the Blue Lagoon: In vitro and in vivo assessment of silica mud and microalgae extracts for their effects on skin barrier function and prevention of skin ageing. Exp. Dermatol. 2008, 17, 771–779. [Google Scholar] [CrossRef]
- de Araújo, L.A.; Addor, F.; Campos, P.M.B.G.M. Use of silicon for skin and hair care: An approach of chemical forms available and efficacy. An. Bras. de Dermatol. 2016, 91, 331–335. [Google Scholar] [CrossRef]
- Joly, F.; Charveron, M.; Aries, M.F.; Bidault, J.; Kahhak, L.; Beauvais, F.; Gall, Y. Effect of Avène Spring Water on the Activation of Rat Mast Cell by Substance P or Antigen. Ski. Pharmacol. Appl. Ski.Physiol. 1998, 11, 111–116. [Google Scholar] [CrossRef]
- Berardesca, E.; Loden, M.; Serup, J.; Masson, P.; Rodrigues, L.M. The revised EEMCO guidance for the in vivo measurement of water in the skin. Ski. Res. Technol. 2018, 24, 351–358. [Google Scholar] [CrossRef] [PubMed]
- Montero-Vilchez, T.; Segura-Fernández-Nogueras, M.-V.; Pérez-Rodríguez, I.; Soler-Gongora, M.; Martinez-Lopez, A.; Fernández-González, A.; Molina-Leyva, A.; Arias-Santiago, S. Skin Barrier Function in Psoriasis and Atopic Dermatitis: Transepidermal Water Loss and Temperature as Useful Tools to Assess Disease Severity. J. Clin. Med. 2021, 10, 359. [Google Scholar] [CrossRef] [PubMed]
- Monteiro, R.C.; Nikam, V.N.; Dandakeri, S.; Bhat, R.M. Transepidermal Water Loss in Psoriasis: A Case-control Study. Indian Dermatol. Online J. 2019, 10, 267–271. [Google Scholar] [CrossRef] [PubMed]
- Martin, R.; Henley, J.B.; Sarrazin, P.; Seité, S. Skin Microbiome in Patients With Psoriasis Before and After Balneotherapy at the Thermal Care Center of La Roche-Posay. J. Drugs Dermatol. 2015, 14, 1400–1405. [Google Scholar] [PubMed]
- Haftek, M.; Abdayem, R.; Guyonnet-Debersac, P. Skin Minerals: Key Roles of Inorganic Elements in Skin Physiological Functions. Int. J. Mol. Sci. 2022, 23, 6267. [Google Scholar] [CrossRef]
- Woolery-Lloyd, H.; Andriessen, A.; Day, D.; Gonzalez, N.; Green, L.; Grice, E.; Henry, M. Review of the microbiome in skin aging and the effect of a topical prebiotic containing thermal spring water. J. Cosmet. Dermatol. 2023, 22, 96–102. [Google Scholar] [CrossRef]
- Manara, S.; Beghini, F.; Masetti, G.; Armanini, F.; Geat, D.; Galligioni, G.; Segata, N.; Farina, S.; Cristofolini, M. Thermal Therapy Modulation of the Psoriasis-Associated Skin and Gut Microbiome. Dermatol. Ther. 2023, 13, 2769–2783. [Google Scholar] [CrossRef]
- Instituto Nacional de Investigação Agrária e Veterinária (INIAV)Estudo do Microbismo Natural das Águas Minerais Naturais. 2018. Available online: https://hidrogenoma.dgeg.gov.pt/agua-mineral-natural/caldas-de-chaves (accessed on 27 May 2024).
Disclaimer/Publisher’s Note: The statements, opinions and data contained in all publications are solely those of the individual author(s) and contributor(s) and not of MDPI and/or the editor(s). MDPI and/or the editor(s) disclaim responsibility for any injury to people or property resulting from any ideas, methods, instructions or products referred to in the content. |
© 2024 by the authors. Licensee MDPI, Basel, Switzerland. This article is an open access article distributed under the terms and conditions of the Creative Commons Attribution (CC BY) license (https://creativecommons.org/licenses/by/4.0/).




