Application of Biotechnology and Chiral Technology Methods in the Production of Ectoine Enantiomers
Abstract
1. Introduction
2. Results and Discussion
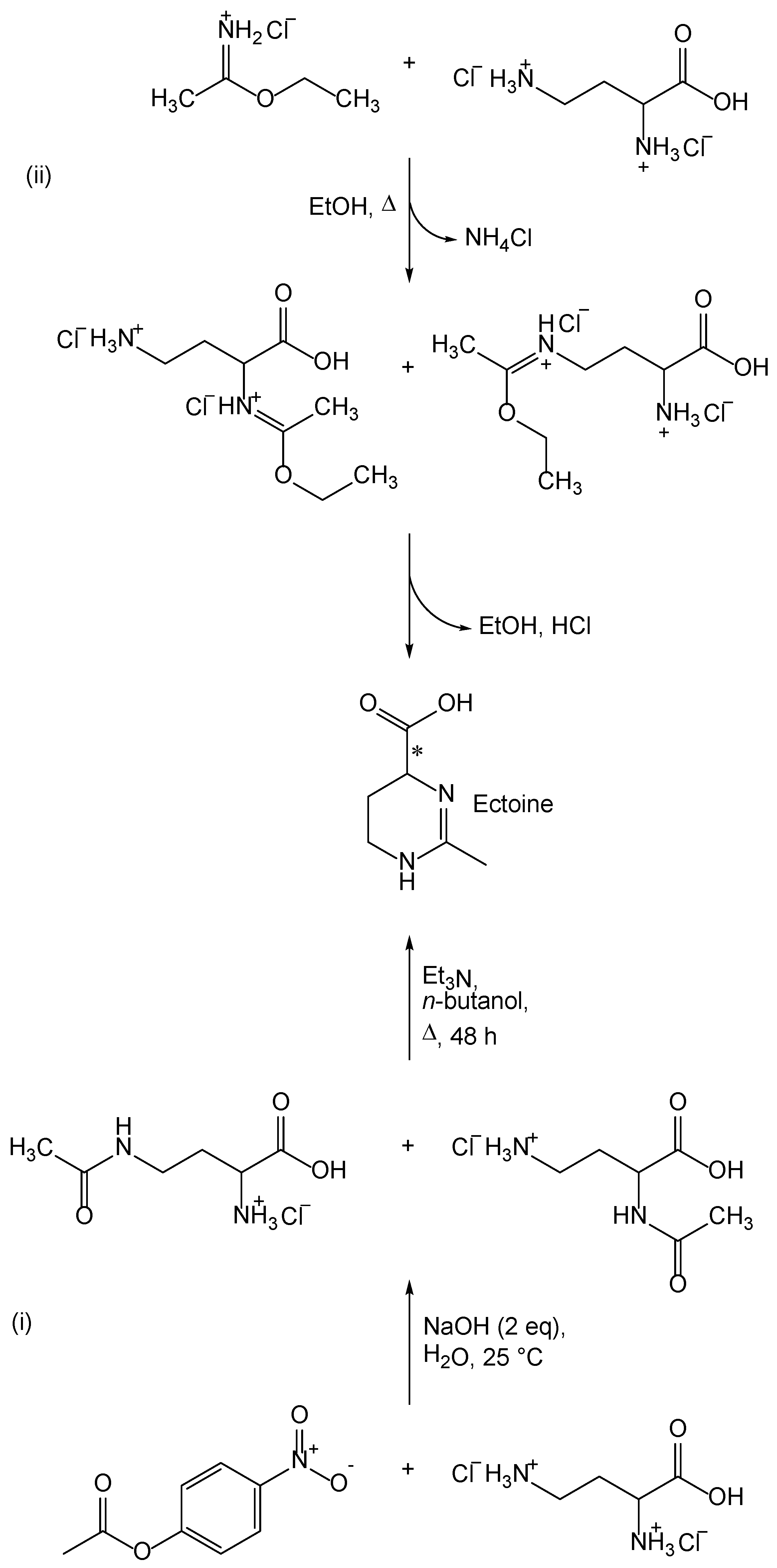
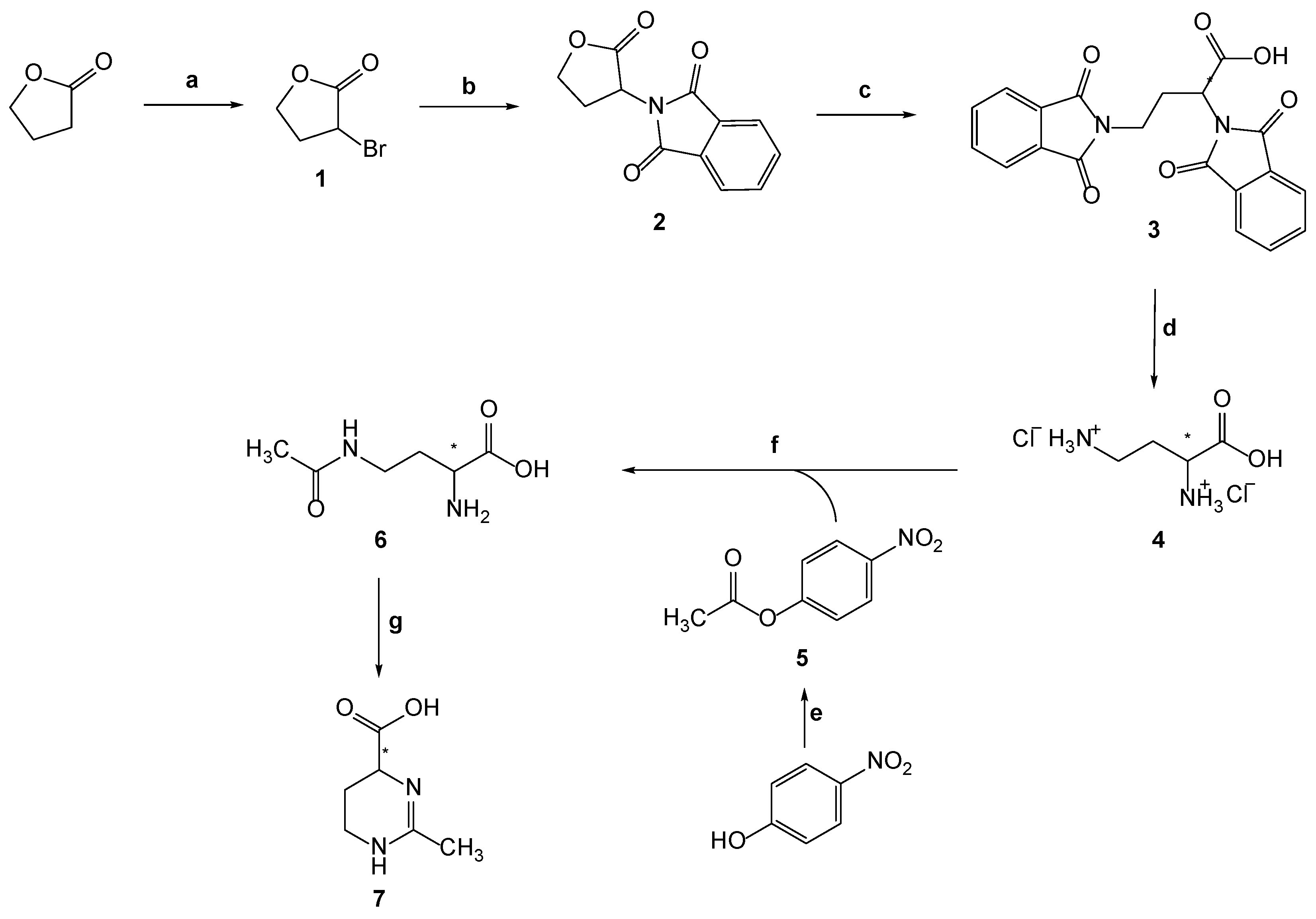
2.1. Synthesis of (±)-Ectoine
2.2. (±)-Ectoine Enantiomers Separation
2.3. Detection of (+)-Ectoine in Fermentation Broths of Salt-Tolerant Marine Streptomyces
3. Materials and Methods
3.1. General
3.2. Synthesis of (±)-Ectoine
3.2.1. Synthesis of 3-Bromodihydrofuran-2-(3H)-one (1)
3.2.2. Synthesis of 2-(2-Dioxotetrahydrofuran-3-il)isoindolin-1,3-dione (2)
3.2.3. Synthesis of 2,4-bis-(1,3-Dioxoisoindoline-2-il)butyric Acid (3)
3.2.4. Synthesis of 2,4-Diaminobutyric Acid (4)
3.2.5. Synthesis of 4-Nitrophenol Acetate (5)
3.2.6. Synthesis of N,N-Diacetyl-2,4-diaminobutyric Acid (6)
3.2.7. Synthesis of (±)-Ectoine (7)
3.3. Separation of (±)-Ectoine Enantiomeres
3.4. Detection of (+)-Ectoine in Fermentation Broths
4. Conclusions
Supplementary Materials
Author Contributions
Funding
Institutional Review Board Statement
Informed Consent Statement
Data Availability Statement
Acknowledgments
Conflicts of Interest
References
- Galinski, E.A.; Pfeiffer, H.-P.; Truper, H.G. 1,4,5,6-Tetrahydro-2-Methyl-4-Pyrimidinecarboxylic Acid. A Novel Cyclic Amino Acid from Halophilic Phototrophic Bacteria of the Genus Ectothiorhodospira. Eur. J. Biochem. 1985, 149, 135–139. [Google Scholar] [CrossRef] [PubMed]
- Pastor, J.M.; Salvador, M.; Argandoña, M.; Bernal, V.; Reina-Bueno, M.; Csonka, L.N.; Iborra, J.L.; Vargas, C.; Nieto, J.J.; Cánovas, M. Ectoines in Cell Stress Protection: Uses and Biotechnological Production. Biotechnol. Adv. 2010, 28, 782–801. [Google Scholar] [CrossRef] [PubMed]
- Widderich, N.; Höppner, A.; Pittelkow, M.; Heider, J.; Smits, S.H.J.; Bremer, E. Biochemical Properties of Ectoine Hydroxylases from Extremophiles and Their Wider Taxonomic Distribution among Microorganisms. PLoS ONE 2014, 9, e93809. [Google Scholar] [CrossRef]
- Reshetnikov, A.S.; Khmelenina, V.N.; Mustakhimov, I.I.; Kalyuzhnaya, M.; Lidstrom, M.; Trotsenko, Y.A. Diversity and Phylogeny of the Ectoine Biosynthesis Genes in Aerobic, Moderately Halophilic Methylotrophic Bacteria. Extremophiles 2011, 15, 653–663. [Google Scholar] [CrossRef]
- Widderich, N.; Czech, L.; Elling, F.J.; Könneke, M.; Stöveken, N.; Pittelkow, M.; Riclea, R.; Dickschat, J.S.; Heider, J.; Bremer, E. Strangers in the Archaeal World: Osmostress-responsive Biosynthesis of Ectoine and Hydroxyectoine by the Marine Thaumarchaeon Nitrosopumilus maritimus. Environ. Microbiol. 2016, 18, 1227–1248. [Google Scholar] [CrossRef]
- Weinisch, L.; Kühner, S.; Roth, R.; Grimm, M.; Roth, T.; Netz, D.J.A.; Pierik, A.J.; Filker, S. Identification of Osmoadaptive Strategies in the Halophile, Heterotrophic Ciliate Schmidingerothrix salinarum. PLoS Biol. 2018, 16, e2003892. [Google Scholar] [CrossRef]
- Moreira, D.; López-García, P. Protist Evolution: Stealing Genes to Gut It Out. Curr. Biol. 2017, 27, R223–R225. [Google Scholar] [CrossRef][Green Version]
- Harding, T.; Roger, A.J.; Simpson, A.G.B. Adaptations to High Salt in a Halophilic Protist: Differential Expression and Gene Acquisitions through Duplications and Gene Transfers. Front. Microbiol. 2017, 8, 944. [Google Scholar] [CrossRef]
- Fenizia, S.; Thume, K.; Wirgenings, M.; Pohnert, G. Ectoine from Bacterial and Algal Origin Is a Compatible Solute in Microalgae. Mar. Drugs 2020, 18, 42. [Google Scholar] [CrossRef]
- Schwibbert, K.; Marin-Sanguino, A.; Bagyan, I.; Heidrich, G.; Lentzen, G.; Seitz, H.; Rampp, M.; Schuster, S.C.; Klenk, H.; Pfeiffer, F.; et al. A Blueprint of Ectoine Metabolism from the Genome of the Industrial Producer Halomonas elongata DSM 2581T. Environ. Microbiol. 2011, 13, 1973–1994. [Google Scholar] [CrossRef]
- Richter, A.A.; Kobus, S.; Czech, L.; Hoeppner, A.; Zarzycki, J.; Erb, T.J.; Lauterbach, L.; Dickschat, J.S.; Bremer, E.; Smits, S.H.J. The Architecture of the Diaminobutyrate Acetyltransferase Active Site Provides Mechanistic Insight into the Biosynthesis of the Chemical Chaperone Ectoine. J. Biol. Chem. 2020, 295, 2822–2838. [Google Scholar] [CrossRef] [PubMed]
- Czech, L.; Hermann, L.; Stöveken, N.; Richter, A.; Höppner, A.; Smits, S.; Heider, J.; Bremer, E. Role of the Extremolytes Ectoine and Hydroxyectoine as Stress Protectants and Nutrients: Genetics, Phylogenomics, Biochemistry, and Structural Analysis. Genes 2018, 9, 177. [Google Scholar] [CrossRef] [PubMed]
- Kadam, P.; Khisti, M.; Ravishankar, V.; Barvkar, V.; Dhotre, D.; Sharma, A.; Shouche, Y.; Zinjarde, S. Recent Advances in Production and Applications of Ectoine, a Compatible Solute of Industrial Relevance. Bioresour. Technol. 2024, 393, 130016. [Google Scholar] [CrossRef]
- Bilstein, A.; Heinrich, A.; Rybachuk, A.; Mösges, R. Ectoine in the Treatment of Irritations and Inflammations of the Eye Surface. BioMed Res. Int. 2021, 2021, 8885032. [Google Scholar] [CrossRef]
- Kunte, H.; Lentzen, G.; Galinski, E. Industrial Production of the Cell Protectant Ectoine: Protection Mechanisms, Processes, and Products. Curr. Biol. 2014, 3, 10–25. [Google Scholar] [CrossRef]
- Sauer, T.; Galinski, E.A. Bacterial Milking: A Novel Bioprocess for Production of Compatible Solutes. Biotechnol. Bioeng. 1998, 57, 306–313. [Google Scholar] [CrossRef]
- Cantera, S.; Di Benedetto, F.; Tumulero, B.F.; Sousa, D.Z. Microbial Conversion of Carbon Dioxide and Hydrogen into the Fine Chemicals Hydroxyectoine and Ectoine. Bioresour. Technol. 2023, 374, 128753. [Google Scholar] [CrossRef]
- Czech, L.; Höppner, A.; Kobus, S.; Seubert, A.; Riclea, R.; Dickschat, J.S.; Heider, J.; Smits, S.H.J.; Bremer, E. Illuminating the Catalytic Core of Ectoine Synthase through Structural and Biochemical Analysis. Sci. Rep. 2019, 9, 364. [Google Scholar] [CrossRef]
- Himdi-Kabbab, S.; Lavrador, K.; Bazureau, J.P.; Hamelin, J. Synthesis of 1, 4, 5, 6-Tetrahydro 2-Methyl 4-Pyrimidine Carboxylic Acid: Osmoprotector Amino Acid. Synth. Commun. 1995, 25, 2223–2227. [Google Scholar] [CrossRef]
- Motitschke, L.; Driller, H.; Galinski, E.A. Ectoin and Ectoin Derivatives as Moisturizers in Cosmetics. U.S. Patent US6060071, 9 May 2000. [Google Scholar]
- Talbot, G.; Gaudry, R.; Berlinguet, L. Synthesis of 4-Aminobutyric Acid and 2,4-Diaminobutyric Acid from Butyrolactone. Can. J. Chem. 1958, 36, 593–596. [Google Scholar] [CrossRef]
- Zaoral, M. Amino Acids and Peptides. XXIV. Preparation of DL-α,γ-Diaminobutyric Acid and Its Derivatives from γ-Butyrolactone. Collect. Czech. Chem. Commun. 1959, 24, 1314–1319. [Google Scholar] [CrossRef]
- Livak, J.E.; Britton, E.C.; VanderWeele, J.C.; Murray, M.F. Synthesis of D/L-Methionine. J. Am. Chem. Soc. 1945, 67, 2218–2220. [Google Scholar] [CrossRef] [PubMed]
- Leclerc, J.; Benoiton, L. On the Selectivity of Acylation of Unprotected Diamino Acids. Can. J. Chem. 1968, 46, 1047–1051. [Google Scholar] [CrossRef]
- Wiejak, S.; Masiukiewicz, E.; Rzeszotarska, B. Improved Scalable Syntheses of Mono- and Bis-Urethane Derivatives of Ornithine. Chem. Pharm. Bull. 2001, 49, 1189–1191. [Google Scholar] [CrossRef]
- Kurtz, A.C. Use of Copper (II) Ion in Masking α-Amino Group of Amino Acids. J. Biol. Chem. 1949, 180, 1253–1267. [Google Scholar] [CrossRef]
- Pícha, J.; Buděšínský, M.; Macháčková, K.; Collinsová, M.; Jiráček, J. Optimized Syntheses of Fmoc Azido Amino Acids for the Preparation of Azidopeptides. J. Pep. Sci. 2017, 23, 202–214. [Google Scholar] [CrossRef]
- Brichac, J.; Honzatko, A.; Picklo, M.J. Direct and Indirect High-Performance Liquid Chromatography Enantioseparation of Trans-4-Hydroxy-2-Nonenoic Acid. J. Chromatogr. A 2007, 1149, 305–311. [Google Scholar] [CrossRef][Green Version]
- Yu, L.; Wang, S.; Zeng, S. Chiral Separations: Methods and Protocols, 2nd ed.; Scriba, G.K.E., Ed.; Methods in Molecular Biology; Humana Press: New York, NY, USA, 2013; Volume 970, ISBN 978-1-62703-262-9. [Google Scholar]
- Okamoto, Y.; Ikai, T. Chiral HPLC for Efficient Resolution of Enantiomers. Chem. Soc. Rev. 2008, 37, 2593–2608. [Google Scholar] [CrossRef]
- Francote, E. Chirality in Drug Research; Francotte, E., Lindner, W., Eds.; Methods and Principles in Medicinal Chemistry; Wiley-VCH: Weinheim, Germany, 2006; ISBN 978-3-527-31076-0. [Google Scholar]
- Hyun, M.H. Liquid Chromatographic Ligand-Exchange Chiral Stationary Phases Based on Amino Alcohols. J. Chromatogr. A 2018, 1557, 28–42. [Google Scholar] [CrossRef]
- Ng, H.S.; Wan, P.-K.; Kondo, A.; Chang, J.-S.; Lan, J.C.-W. Production and Recovery of Ectoine: A Review of Current State and Future Prospects. Processes 2023, 11, 339. [Google Scholar] [CrossRef]
- Duran, R.; Bielen, A.; Paradžik, T.; Gassie, C.; Pustijanac, E.; Cagnon, C.; Hamer, B.; Vujaklija, D. Exploring Actinobacteria Assemblages in Coastal Marine Sediments under Contrasted Human Influences in the West Istria Sea, Croatia. Environ. Sci. Pollut. Res. 2015, 22, 15215–15229. [Google Scholar] [CrossRef]
- Kieser, T. Practical Streptomyces Genetics; Kieser, T., Ed.; Innes: Norwich, UK, 2000; ISBN 978-0-7084-0623-6. [Google Scholar]









| Method | Mobile Phase * | Flow Rate [mL/min] | Column Temperature [°C] | tR1 [min] | tR2 [min] | k1 | k2 | α | RS |
|---|---|---|---|---|---|---|---|---|---|
| 16 | MeOH | 1 | 30 | 11.7 | 42.2 | 5.9 | 24.0 | 4.1 | 5.6 |
| 20 | MeOH:H2O = 9:1 | 1 | 30 | 9.2 | 26.3 | 4.3 | 14.1 | 3.3 | 9.4 |
| 21 | MeOH:H2O = 9:1 | 1 | 35 | 8.6 | 23.6 | 3.9 | 12.6 | 3.2 | 9.6 |
| 22 | MeOH:H2O = 9:1 | 1 | 40 | 7.9 | 21.1 | 3.6 | 11.1 | 3.1 | 9.8 |
| 23 | MeOH:H2O = 7.5:2.5 | 0.5 | 30 | 9.9 | 24.6 | 3.2 | 9.3 | 2.9 | 10.3 |
| 24 | MeOH:H2O = 7.5:2.5 | 0.5 | 40 | 8.9 | 20.0 | 2.7 | 7.5 | 2.8 | 10.2 |
| 25 | MeOH:H2O = 7.5:2.5 | 1 | 40 | 4.2 | 9.2 | 2.6 | 6.8 | 2.6 | 10.0 |
| 26 | MeOH:H2O = 7.5:2.5 | 1.2 | 40 | 2.9 | 7.0 | 2.1 | 6.4 | 3.1 | 7.8 |
| 27 | MeOH:H2O = 1:1 | 0.5 | 40 | 5.7 | 10.3 | 3.8 | 7.6 | 2.0 | 8.2 |
| 28 | MeOH:H2O = 1:1 | 0.75 | 40 | 3.7 | 6.6 | 2.1 | 4.5 | 2.1 | 8.1 |
| 29 | MeOH:H2O = 1:1 | 1 | 30 | 3.0 | 5.7 | 3.9 | 8.5 | 2.2 | 8.4 |
| 30 | MeOH:H2O = 1:1 | 1 | 35 | 2.8 | 5.2 | 3.6 | 7.5 | 2.1 | 8.3 |
| 31 | MeOH:H2O = 1:1 | 1 | 40 | 2.7 | 4.7 | 3.5 | 6.9 | 2.0 | 8.0 |
| 32 | MeOH:H2O = 1:1 | 1 | 45 | 2.6 | 4.4 | 3.4 | 6.3 | 1.9 | 7.7 |
| 33 | MeOH:NH4COOH (25 mM, pH = 3.0) = 7:3 | 1 | 40 | 3.0 | 6.1 | 0.8 | 2.6 | 3.2 | 7.1 |
| 34 | MeOH:NH4COOH (25 mM, pH = 3.0) = 1:1 | 1 | 40 | 2.3 | 3.7 | 0.4 | 1.3 | 2.9 | 5.5 |
| 35 | ACN:H2O = 8:2 | 1 | 30 | 7.6 | 13.2 | 3.9 | 7.5 | 1.9 | 7.4 |
| Sample | Strain Code * | w(NaCl) [%] | c ((+)-Ectoine) [µg/mL] |
|---|---|---|---|
| 1 ** | Sc | 0 | 0 |
| 2 ** | Sc | 3 | 13.4 |
| 3 ** | Sc | 6 | 55.8 |
| 4 | BC81 | 0 | 0 |
| 5 | BC81 | 3 | 18.3 |
| 6 | BC81 | 6 | 64.2 |
| 7 | BC104 | 9 | 10.7 |
| 8 | BC114 | 9 | 25.6 |
| 9 | BC115 | 9 | 11.4 |
| 10 | BC121 | 9 | 18.6 |
| 11 | BC123 | 9 | 9.6 |
| 12 | BC126 | 9 | 12.8 |
| 13 | BC131 | 9 | 7.9 |
| 14 | BC156 | 9 | 6.7 |
| 15 | BC160 | 9 | 9.5 |
| 16 | BC167 | 9 | 58.2 |
| Method | 5 [mol] | Base | Time | Temp. |
|---|---|---|---|---|
| A1 | 0.523 | 1.046 mol NaOH | 16 h | 25 °C |
| A2 | 0.523 | 1.046 mol NaOH | 3 h | 70 °C |
| A3 | 1.046 | 1.046 mol NaOH | 3 h | 70 °C |
| A4 | 0.628 | 1.046 mol NaOH | 72 h | 25 °C |
| A5 | 0.523 | 2.000 mol NaOH | 3 h | 25 °C |
| A6 | 0.523 | 1.046 mol Na2CO3 | 16 h | 25 °C |
Disclaimer/Publisher’s Note: The statements, opinions and data contained in all publications are solely those of the individual author(s) and contributor(s) and not of MDPI and/or the editor(s). MDPI and/or the editor(s) disclaim responsibility for any injury to people or property resulting from any ideas, methods, instructions or products referred to in the content. |
© 2024 by the authors. Licensee MDPI, Basel, Switzerland. This article is an open access article distributed under the terms and conditions of the Creative Commons Attribution (CC BY) license (https://creativecommons.org/licenses/by/4.0/).
Share and Cite
Šišić, M.; Jurin, M.; Šimatović, A.; Vujaklija, D.; Jakas, A.; Roje, M. Application of Biotechnology and Chiral Technology Methods in the Production of Ectoine Enantiomers. Appl. Sci. 2024, 14, 8353. https://doi.org/10.3390/app14188353
Šišić M, Jurin M, Šimatović A, Vujaklija D, Jakas A, Roje M. Application of Biotechnology and Chiral Technology Methods in the Production of Ectoine Enantiomers. Applied Sciences. 2024; 14(18):8353. https://doi.org/10.3390/app14188353
Chicago/Turabian StyleŠišić, Marcela, Mladenka Jurin, Ana Šimatović, Dušica Vujaklija, Andreja Jakas, and Marin Roje. 2024. "Application of Biotechnology and Chiral Technology Methods in the Production of Ectoine Enantiomers" Applied Sciences 14, no. 18: 8353. https://doi.org/10.3390/app14188353
APA StyleŠišić, M., Jurin, M., Šimatović, A., Vujaklija, D., Jakas, A., & Roje, M. (2024). Application of Biotechnology and Chiral Technology Methods in the Production of Ectoine Enantiomers. Applied Sciences, 14(18), 8353. https://doi.org/10.3390/app14188353

