Design of a Feed Array Antenna to Obtain a Uniform Near-Field Distribution on a Virtual Surface Placed within a Specified Wavelength
Abstract
1. Introduction
2. Design of the Proposed Feed Array
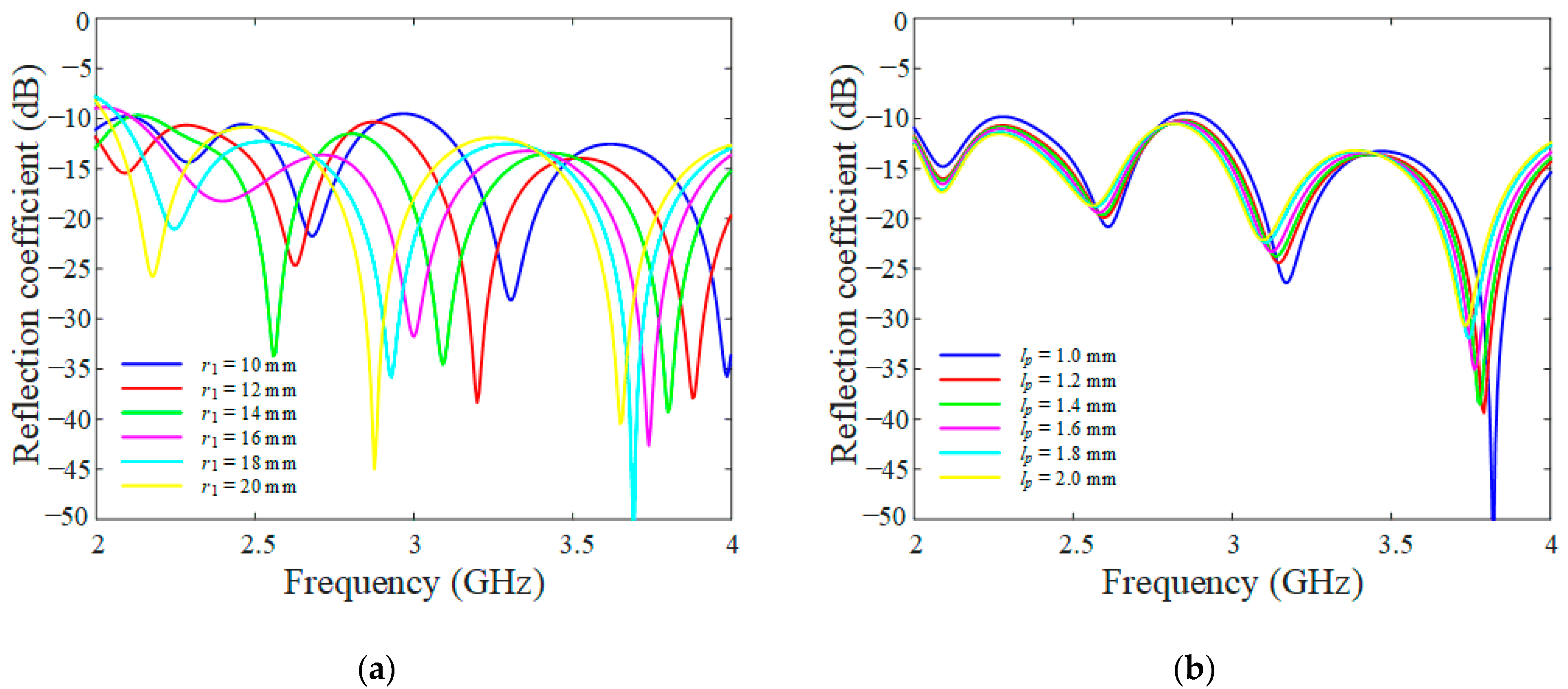
2.1. Single-Element Design
2.2. 4 × 4 Feed Array Design
3. Fabrication and Measurement of the Proposed Feed Array Antenna
4. Conclusions
Author Contributions
Funding
Institutional Review Board Statement
Informed Consent Statement
Data Availability Statement
Conflicts of Interest
References
- Bouslama, M.; Traii, M.; Denidni, T.A.; Gharsallah, A. Beam-switching antenna with a new reconfigurable frequency selective surface. IEEE Antennas Wirel. Propag. Lett. 2015, 15, 1159–1162. [Google Scholar] [CrossRef]
- Wani, Z.; Abegaonkar, M.P.; Koul, S.K. Thin planar metasurface lens for millimeter-wave MIMO applications. IEEE Trans. Antennas Propag. 2022, 70, 692–696. [Google Scholar] [CrossRef]
- Hsu, C.Y.; Hwang, L.T.; Horng, T.S.; Wang, S.M.; Chang, F.S.; Dorny, C.N. Transmitarray design with enhanced aperture efficiency using small frequency selective surface cells and discrete Jones matrix analysis. IEEE Trans. Antennas Propag. 2018, 66, 3983–3994. [Google Scholar] [CrossRef]
- Malik, B.T.; Doychinov, V.; Zaidi, S.A.R.; Robertson, I.D.; Somjit, N. Antenna gain enhancement by using low-infill 3D-printed dielectric lens antennas. IEEE Access 2019, 7, 102467–102476. [Google Scholar] [CrossRef]
- Afzal, M.U.; Esselle, K.P. Steering the beam of medium-to-high gain antennas using near-field phase transformation. IEEE Trans. Antennas Propag. 2017, 65, 1680–1690. [Google Scholar] [CrossRef]
- Fallahi, A.; Perruisseau-Carrier, J. Design of tunable biperiodic graphene metasurfaces. Phys. Rev. B 2012, 86, 195408. [Google Scholar] [CrossRef]
- Palma, L.D.; Clemente, A.; Dussopt, L.; Sauleau, R.; Potier, P.; Pouliguen, P. Circularly-polarized reconfigurable transmitarray in Ka-band with beam scanning and polarization switching capabilities. IEEE Trans. Antennas Propag. 2017, 65, 529–540. [Google Scholar] [CrossRef]
- Xu, H.X.; Cai, T.; Zhuang, Y.Q.; Peng, Q.; Wang, G.M.; Liang, J.G. Dual-mode transmissive metasurface and its applications in multibeam transmitarray. IEEE Trans. Antennas Propag. 2017, 65, 1797–1806. [Google Scholar] [CrossRef]
- Wang, J.; Wang, W.; Liu, A.; Guo, M.; Wei, Z. Miniaturized dual-polarized metasurface antenna with high isolation. IEEE Antennas Wirel. Propag. Lett. 2021, 20, 337–341. [Google Scholar] [CrossRef]
- Mumcu, G.; Kacar, M.; Mendoza, J. Mm-wave beam steering antenna with reduced hardware complexity using lens antenna subarrays. IEEE Antennas Wirel. Propag. Lett. 2018, 17, 1603–1607. [Google Scholar] [CrossRef]
- Qin, F.; Gao, S.S.; Luo, Q.; Mao, C.X.; Gu, C.; Wei, G.; Xu, J.; Li, J.; Wu, C.; Zheng, K.; et al. A simple low-cost shared-aperture dual-band dual-polarized high-gain antenna for synthetic aperture radars. IEEE Trans. Antennas Propag. 2016, 64, 2914–2922. [Google Scholar] [CrossRef]
- Xiang, B.J.; Dai, X.; Luk, K.M. A wideband low-cost reconfigurable reflectarray antenna with 1-bit resolution. IEEE Trans. Antennas Propag. 2022, 70, 7439–7447. [Google Scholar] [CrossRef]
- Lee, C.H.; Hoang, T.V.; Chi, S.W.; Lee, S.G.; Lee, J.H. Low profile quad-beam circularly polarised antenna using transmissive metasurface. IET Microw. Antennas Propag. 2019, 13, 1690–1698. [Google Scholar] [CrossRef]
- Liu, G.; Wang, H.J.; Jiang, J.S.; Xue, F.; Yi, M. A high-efficiency transmitarray antenna using double split ring slot elements. IEEE Antennas Wirel. Propag. Lett. 2015, 14, 1415–1418. [Google Scholar] [CrossRef]
- Casula, G.A.; Maxia, P.; Montisci, G.; Mazzarella, G.; Gaudiomonte, F. A printed LPDA fed by a coplanar waveguide for broadband applications. IEEE Antennas Wirel. Propag. Lett. 2013, 12, 1232–1235. [Google Scholar] [CrossRef]
- Aziz, A.; Yang, F.; Xu, S.; Li, M. A low-profile quad-beam transmitarray. IEEE Trans. Antennas Propag. 2020, 19, 1340–1344. [Google Scholar] [CrossRef]
- Li, T.J.; Wang, G.M.; Cai, T.; Li, H.P.; Liang, J.G.; Lou, J. Broadband folded transmitarray antenna with ultralow-profile based on metasurfaces. IEEE Trans. Antennas Propag. 2021, 69, 7017–7022. [Google Scholar] [CrossRef]
- Clemente, A.; Dussopt, L.; Sauleau, R.; Potier, P.; Pouliguen, P. Focal distance reduction of transmit-array antennas using multiple feeds. IEEE Antennas Wirel. Propag. Lett. 2012, 11, 1311–1314. [Google Scholar] [CrossRef]
- Lou, Q.; Chen, Z.N. Sidelobe suppression of metalens antenna by amplitude and phase controllable metasurfaces. IEEE Trans. Antennas Propag. 2021, 69, 6977–6981. [Google Scholar] [CrossRef]
- Li, M.Y.; Ban, Y.L.; Yan, F.Q. Wideband low-profile Ku-band transmitarray antenna. IEEE Access 2020, 9, 6683–6688. [Google Scholar] [CrossRef]
- Srinivas, M.; Patnaik, L.M. Genetic algorithms: A survey. Computer 1994, 27, 17–26. [Google Scholar] [CrossRef]
- Ohm, S.; Kang, E.; Lim, T.H.; Choo, H. Design of a dual-polarization all-metal Vivaldi array antenna using a metal 3D printing method for high-power jamming systems. IEEE Access 2023, 11, 35175–35181. [Google Scholar] [CrossRef]
- Liu, H.; Liu, Y.; Zhang, W.; Gao, S. An Ultra-Wideband Horizontally Polarized Omnidirectional Circular Connected Vivaldi Antenna Array. IEEE Trans. Antennas Propag. 2017, 65, 4351–4356. [Google Scholar] [CrossRef]
- CST Studio Suite: Electromagnetic Field Simulation Software. Available online: http://www.cst.com (accessed on 5 July 2019).
- Shi, J.; Cracraft, M.A.; Slattery, K.P.; Yamaguchi, M.; DuBroff, R.E. Calibration and Compensation of Near-Field Scan Measurements. IEEE Trans. Electromagn. Compat. 2005, 47, 642–650. [Google Scholar] [CrossRef]
- Gupta, A.; Kumar, V.; Bansal, S.; Alsharif, M.H.; Jahid, A.; Cho, H.S. A miniaturized tri-band implantable antenna for ISM/WMTS/lower UWB/Wi-Fi frequencies. Sensors 2023, 23, 6989. [Google Scholar] [CrossRef]
- Gupta, A.; Kumari, M.; Sharma, M.; Alsharif, M.H.; Uthansakul, P.; Uthansakul, M.; Bansal, S. 8-port MIMO antenna at 27 GHz for n261 band and exploring for body-centric communication. PLoS ONE 2024, 19, e0305524. [Google Scholar] [CrossRef]











| Parameters | Values |
|---|---|
| g | 24 mm |
| wf | 32.15 mm |
| w2 | 85 mm |
| wr1 | 2 mm |
| l1 | 85 mm |
| lf | 69.5 mm |
| r1 | 12 mm |
| r2 | 15 mm |
| rc | 4.4 mm |
| rs | 7 mm |
| hc | 8.65 mm |
| lm | 15.5 mm |
| t | 1.6 mm |
| a | 0.01 |
| wg | 0.7 mm |
| lp (Central element) | 0 mm |
| lp (Outer element) | 1.8 mm |
| Parameters | Values |
|---|---|
| Solver type | Time domain solver |
| Mesh type | Hexahedral mesh |
| Mesh size | 1/15 λ |
| Boundary condition | Open boundary |
| Analysis time range | 0 to 9 ns |
| Parameters | Values |
|---|---|
| Crossover ratio | 0.8 |
| Mutation ratio | 0.1 |
| Populations | 30 |
| Generations | 30 |
| Parameters | Values |
|---|---|
| d | 85.4 mm |
| h | 30.2 mm |
| ϕedge | 24.3° |
Disclaimer/Publisher’s Note: The statements, opinions and data contained in all publications are solely those of the individual author(s) and contributor(s) and not of MDPI and/or the editor(s). MDPI and/or the editor(s) disclaim responsibility for any injury to people or property resulting from any ideas, methods, instructions or products referred to in the content. |
© 2024 by the authors. Licensee MDPI, Basel, Switzerland. This article is an open access article distributed under the terms and conditions of the Creative Commons Attribution (CC BY) license (https://creativecommons.org/licenses/by/4.0/).
Share and Cite
Hwang, M.; Jang, D.; Choo, H. Design of a Feed Array Antenna to Obtain a Uniform Near-Field Distribution on a Virtual Surface Placed within a Specified Wavelength. Appl. Sci. 2024, 14, 8632. https://doi.org/10.3390/app14198632
Hwang M, Jang D, Choo H. Design of a Feed Array Antenna to Obtain a Uniform Near-Field Distribution on a Virtual Surface Placed within a Specified Wavelength. Applied Sciences. 2024; 14(19):8632. https://doi.org/10.3390/app14198632
Chicago/Turabian StyleHwang, Minsu, Doyoung Jang, and Hosung Choo. 2024. "Design of a Feed Array Antenna to Obtain a Uniform Near-Field Distribution on a Virtual Surface Placed within a Specified Wavelength" Applied Sciences 14, no. 19: 8632. https://doi.org/10.3390/app14198632
APA StyleHwang, M., Jang, D., & Choo, H. (2024). Design of a Feed Array Antenna to Obtain a Uniform Near-Field Distribution on a Virtual Surface Placed within a Specified Wavelength. Applied Sciences, 14(19), 8632. https://doi.org/10.3390/app14198632

