Abstract
Clarifying the distribution of temperature and pressure in the wellbore and cavern during hydrogen injection and extraction is crucial for quantitatively assessing cavern stability and wellbore integrity. This paper establishes an integrated flow and heat transfer model for the cavern and wellbore during hydrogen injection and withdrawal, analyzing the variations in temperature and pressure in both the wellbore and the cavern. The temperature and pressure parameters of hydrogen and natural gas within the chamber and wellbore were compared. The specific conclusions are as follows. (1) Under identical injection and withdrawal conditions, the temperature of hydrogen in the chamber was 10 °C higher than that of natural gas, and 16 °C higher in the wellbore. The pressure of hydrogen in the chamber was 2.9 MPa greater than that of natural gas, and 2.6 MPa higher in the wellbore. (2) A comparative analysis was conducted on the impact of surrounding rock’s horizontal and numerical distance on temperature during hydrogen and natural gas injection processes. As the distance from the cavity increases, from 5 to 15 m, the temperature fluctuation in the surrounding rock diminishes progressively, with the temperature effect in the hydrogen storage chamber extending to at least 10 m. (3) The influence of rock thermal conductivity parameters on temperature during the processes of hydrogen injection and natural gas extraction is also compared. The better the thermal conductivity, the deeper the thermal effects penetrate the rock layers, with the specific heat capacity having the most significant impact.
1. Introduction
As a richly abundant, environmentally friendly, and widely applicable secondary energy source, hydrogen energy serves as a crucial solution to contemporary global environmental challenges, climate issues, and the fossil energy crisis []. Hydrogen storage, a burgeoning physical energy storage technology, plays a significant role in addressing the problems of renewable energy wastage, such as curtailed wind and curtailed solar []. In contrast to ground-level hydrogen storage, which is limited to MWh capacities, underground hydrogen storage boasts advantages of enhanced safety and substantial reserves, elevating storage capabilities to GWh or even TWh levels []. The primary underground hydrogen storage sites include salt caverns, aquifers, depleted oil and gas reservoirs, and lined rock caverns, with salt cavern storage currently being the most successfully implemented globally [].
The process of hydrogen injection and extraction in salt cavern storage involves complex gas flow and heat transfer, resulting in unclear temperature and pressure variations within the cavern and wellbore. During this cycling process, the temperature and pressure within the cavern and wellbore not only influence the stress conditions of the cavern and the tubing but also significantly impact cavern leakage and wellbore corrosion rates. Clarifying the distribution of temperature and pressure in the wellbore and cavern during this cycling process is crucial for quantitatively assessing cavern stability and wellbore integrity [,,,].
In the practical engineering of underground salt cavern gas storage, the thermo-hydro-mechanical coupling effects of the surrounding rock mass are increasingly receiving widespread attention [,,]. Researchers both domestically and internationally have conducted studies on the thermodynamic properties of in-cavity gasses. Kushnir et al. [,] proposed two methods for analyzing temperature and pressure variations within a reservoir based on the equations of mass conservation, energy conservation, and the thermal conductivity of rocks. Xia et al. [] proposed a simplified analytical solution for calculating the temperature and pressure of the cavity air building using Kushnir’s analytical solution. Jiang et al. [] validated the accuracy of the thermodynamic process calculation method for compressed air by relying on the quality of compressed air and the principles of energy conservation. Niu et al. [] developed a non-steady-state dynamic mathematical model for the coupling of salt cavern storage and wellbores in gas storage, taking into account the properties of real gasses and the convective heat transfer between the gas and the surrounding rock at the cavern walls. Li et al. [,] developed a thermal model for the conditions of injection and withdrawal, investigating the effects of gas extraction rate on the temperature of the cavity. Yan et al. [] conducted a thermal analysis of cavernous natural gas storage facilities, determining the temperature, pressure within the salt caverns, and the distribution of the thermal field within the rock mass, while also analyzing various sensitivity factors. Zhang [] developed a numerical model for compressed air cavern storage, analyzing the variations in temperature and pressure within the cavern over a single operational cycle. Yin et al. [] conducted a comprehensive numerical simulation analyzing the long-term variations in temperature and pressure at the Jintan Salt Mine’s old gas storage facility. Wang et al. [,] investigated the high-temperature creep characteristics of salt rock under various loading paths and the long-term stability of salt rock gas storage. Chen et al. [] utilized finite element numerical simulation to couple the surrounding rock temperature field with the stress field, establishing a thermal stress model. He et al. [] derived the functional relationship between gas temperature and pressure within the salt cavity as a function of time when the injection and extraction gas rates are constant based on the variable mass thermodynamics theory. Bérest et al. [] studied the thermodynamic behavior of salt caverns used for gas storage and found that, when the cavern pressure changes more frequently, the water content in the withdrawn gas is smaller. Merey et al. [] conducted many numerical simulations for a salt cavern in Tuz Golu UGS project at different gas withdrawal and injection rates. Mahmoudi et al. [] derived a viscoelastic–plastic creep constitutive model to investigate the mechanical response characteristics of salt cavern chambers under cyclic storage and release conditions. Peng et al. [] established a three-dimensional geo-mechanical model of salt cavern gas storage, investigating the response patterns of the surrounding rock under various low-pressure conditions and different gas extraction rates. Wang et al. [] established a mathematical model for the layered salt rock hydrogen storage caverns and proposed a simulation method suitable for the cyclical charging and discharging of hydrogen in salt caverns. Tarkowski et al. [] investigated the maximum storage pressure of salt cavern hydrogen storage facilities and proposed the corresponding energy storage capacity, laying the groundwork for the site selection and evaluation of salt cavern hydrogen storage.
The aforementioned studies primarily focus on the storage of natural gas in salt caverns, or on other types of repositories like lined or unlined rock cavern or shafts []. There is insufficient research on the thermo-mechanical coupling effects in the wells and cavern cavities during hydrogen cyclic injection and withdrawal. This paper establishes an integrated flow and heat transfer model for the cavern and wellbore during hydrogen injection and withdrawal, analyzing the variations in temperature and pressure in both the wellbore and the cavern. The findings provide a theoretical foundation for hydrogen storage projects in salt caverns.
2. Integrated Flow and Heat Transfer Model for Cavity and Wellbore
2.1. Model Assumptions
In the context of hydrogen injection and extraction, the following assumptions are made regarding the flow and heat transfer model for salt caverns used as hydrogen storage facilities [,].
- (1)
- The hydrogen gas within the wellbore and cavity exhibits one-dimensional steady-state flow, with temperature, pressure, and velocity uniformly distributed across any cross-section.
- (2)
- The geothermal gradient remains constant, and the thermal conductivity of the formation does not vary with depth.
- (3)
- The heat transfer modes within both the wellbore and cavity are in a steady state, adhering to the dimensionless time function as defined by Ramey.
- (4)
- The contact thermal resistance between structural material interfaces is neglected, and radiative heat transfer effects are disregarded.
2.2. The Thermal Transfer Model for Wellbore Flow
Research indicates that, during the hydrogen injection and withdrawal cycle, temperature variations occur due to the compression and release of hydrogen. Given the temperature difference between the hydrogen within the wellbore and the surrounding rock, thermal exchange between the hydrogen and the surrounding formation ensues. Throughout the hydrogen injection and withdrawal process, this thermal exchange manifests through convective heat transfer within the wellbore and radial conductive heat transfer.
A steady-state hydrogen flow model is established within the wellbore for the hydrogen injection and withdrawal process based on the assumptions stated earlier. The fluid control model for hydrogen within the wellbore is derived, encompassing the mass continuity equation, momentum principle, and energy conservation equation.
The quality continuity equation:
The gas momentum equation:
The energy conservation equation:
In Equations (1)–(3), ρ is the fluid density, kg/m3; v is the fluid velocity, m/s; z is the depth of the wellbore, m; p is the fluid pressure, Pa; g is the gravitational acceleration, 9.81 m/s2; θ is the well deviation angle, °; f is the friction coefficient, dimensionless; d is the internal diameter of the wellbore, m; Q is the heat transfer rate of the fluid per unit length of the wellbore, J/(m·s); h is the specific enthalpy, J/kg; T is the temperature, K; A is the cross-sectional area of the tubing, m2.
Heat transfer between hydrogen gas and the inner walls of the well is governed by convective heat transfer. According to Newton’s law of cooling, the heat transfer equation for hydrogen gas within the well can be defined based on the rate of heat transfer between the hydrogen gas and the well’s inner wall:
In Equation (4), hf denotes the forced convective heat transfer coefficient for hydrogen gas within the borehole and its walls:
In Equation (5), Nuf denotes the Nusselt number for hydrogen:
In Equation (6), Prf denotes the Prandtl number of the injected fluid:
In Equations (7)–(10), rti is the radius of the borehole, m; kf is the thermal conductivity of hydrogen, W/(m·K); μf is the dynamic viscosity of hydrogen, Pa·s; cpf is the specific heat capacity of hydrogen at constant pressure, J/(kg·K).
The radial heat conduction equation for the wellbore and surrounding rock:
The convective heat transfer equation for hydrogen:
In Equation (9), ha represents the natural convective heat transfer coefficient for hydrogen:
In Equations (9)–(11), ka is the thermal conductivity of hydrogen, W/(m·K); μa is the dynamic viscosity of hydrogen, Pa·s; cpa is the specific heat capacity of hydrogen at constant pressure, J/(kg·K).
2.3. Turbulent Heat Transfer Model in Cavities
The mass continuous equation for hydrogen:
In Equation (12), ρ is the density of hydrogen gas at various points within the chamber, g/cm3; t is the time, s; u is the velocity vector of hydrogen gas at various points within the chamber.
The turbulent kinetic energy equation for hydrogen:
In Equation (13), p is the pressure of compressed air at various locations, Pa; μ is the dynamic viscosity of hydrogen, Pa·s; μT is the turbulent viscosity of hydrogen; k is the turbulent kinetic energy.
The energy conservation equation for hydrogen:
In Equation (14), Cp is the specific heat capacity of materials, J/(g·K); λ is the thermal conductivity of materials, W/(m·°C); T is the temperature of materials, K.
Integrating the aforementioned wellbore pipe flow model and cavity turbulence model, we establish a unified flow and heat transfer model for the hydrogen injection and extraction process, as illustrated in Equation (15). This model innovatively incorporates the convective heat transfer of hydrogen in the wellbore, radial heat transfer, the temperature–pressure coupling effects within the cavity, and the turbulent heat transfer effects within the cavity.
3. Numerical Simulation Computation
3.1. Engineering Background and Geometric Model
The salt cavern studied in this paper is J106 in Jintan, Jiangsu Province, China. An axisymmetric geological model as shown in Figure 1 is established, and the simplified cavern shape is applied.

Figure 1.
Shape of the salt cavern J106 and the grid partitioning.
3.2. Parameter Configuration
In order to simplify the calculations, all formations with less than 15% mud content are uniformly treated as salt rock formations in the numerical model. The physical and mechanical parameters of the surrounding rock are shown in Table 1, which are measured and calculated in laboratory measurements.

Table 1.
The physical and mechanical parameters of the surrounding rock.
Hydrogen and natural gas (over 95% is methane) exhibit distinct physical and mechanical properties. The relevant parameters selected for numerical simulations are presented in Table 2.

Table 2.
The parameters of hydrogen and methane [].
3.3. Software Settings and Boundary Conditions
The numerical model was solved in the software COMSOL Multiphysics 6.2. The solid mechanics interface is used to solve the stress and deformation fields of the surrounding rock. The initial ground stress is solved in advance and applied as prestress. Based on the actual operating curve of the injection and extraction process, simulations are conducted for the stable operation phase from the 2nd to the 5th year, with a reasonable simplification of the pressure curve. The simplified pressure curve will serve as the boundary condition for the cavity gas pressure, as illustrated in Figure 2. Points 1 to 4 represent the four peaks and troughs of the on-site monitoring data. The initial temperature of the gas within the cavity is set to 40 °C, which is measured on-site, corresponding to the pressure.

Figure 2.
Boundary conditions of the numerical model and model validation.
3.4. Simulation of Working Conditions
The temperature and pressure of the gas inside the cavity is used as working conditions for the inner surface of the surrounding rock of the cavity. For the seepage field, the initial pore pressure in the surrounding rock is set to atmospheric pressure, and the inner boundary is set to the gas pressure inside the cavity. For the temperature field, the surrounding rock temperature is set as a gradient function related to the burial depth, and the inner boundary is set as the gas temperature inside the cavity.
4. Results and Discussion
4.1. Simulation Results of Natural Gas Storage
Figure 3 illustrates the variation in natural gas pressure within the salt cavern storage over a period of 1080 days. During the gas injection phase, the compression of the gas within the cavern generates heat, resulting in an increase in the temperature of the gas as the injection proceeds. Conversely, during the storage phase, the temperature of the gas slightly decreases due to thermal exchange with the surrounding formation. The principal reason for the decrease in gas temperature during the withdrawal phase is the reduction in gas pressure. Over the course of 1080 days, the gas temperature rises to 59.5 °C during the initial injection phase, then slightly decreases to 58.3 °C during the first storage period. Subsequently, the gas temperature rapidly drops to approximately 40 °C during the withdrawal phase. Each injection and withdrawal cycle exhibits a pattern of “sharp rise–decrease–steep drop” in temperature. Overall, throughout the three-year cycle, there is a positive correlation between the gas temperature and pressure within the cavern. The simulated gas temperatures align closely with the actual measured temperatures, thereby validating the accuracy and feasibility of the model.

Figure 3.
Variation in natural gas temperature within the salt cavern storage.
4.2. Comparison of Natural Gas and Hydrogen
4.2.1. Comparison of the Thermodynamic Properties of Gasses in Cavity
Under the same injection and withdrawal mass rate, the variation in cavity pressure over a three-year injection–withdrawal cycle is illustrated in Figure 4. The pressure fluctuation patterns of the two gasses within a single injection–withdrawal cycle are strikingly similar, yet the pressure differences are substantial. Under identical injection and withdrawal parameters, the cavity pressure of hydrogen can reach up to 17.9 MPa, while the maximum pressure of natural gas is approximately 15 MPa. The reason for the aforementioned results lies in the fact that a fixed mass injection rate condition is set in the simulation. Based on the ideal gas law, under fixed volume and equal mass injection rates, the pressure of a gas with a lower molecular weight is greater.

Figure 4.
Variation in cavity pressure over a three-year injection–withdrawal cycle.
The temperature variations in hydrogen during a three-year injection–withdrawal cycle are illustrated in Figure 5. The temperature fluctuation of hydrogen within a single injection–withdrawal cycle bears striking resemblance to that of natural gas. However, due to differences in thermodynamic parameters such as specific heat capacity and thermal conductivity between hydrogen and natural gas, their temperature discrepancies are substantial. At identical injection–withdrawal pressures, the temperature of hydrogen can reach up to 76 °C, while the maximum temperature of natural gas is approximately 60 °C, a difference of around 16 °C. During the withdrawal process, the temperature drop of hydrogen is generally more pronounced than that of natural gas, amounting to approximately 5 °C. The reason for the aforementioned results lies in the fact that the compression process is a transformation of mechanical energy into internal energy. Hydrogen is more challenging to compress than natural gas. The hydrogen molecule is diminutive in size and readily experiences intermolecular forces from surrounding hydrogen molecules when compressed. In contrast, methane possesses a tetrahedral spatial structure, resulting in slightly stronger intermolecular interactions; however, it benefits from spatial advantages. Therefore, greater work must be performed during the injection process, resulting in a more significant increase in the temperature of hydrogen.

Figure 5.
Variation in cavity temperature over a three-year injection–withdrawal cycle.
4.2.2. Comparison of the Thermodynamic Properties of Gasses in Wellbores
Under identical injection and withdrawal parameters, the variations in gas pressure within the wellbore over a three-year injection and withdrawal cycle are illustrated in Figure 6. Similar to the cavity pressure, the pressure changes in the two gasses within the wellbore during a single injection and withdrawal cycle exhibit strikingly similar patterns, though with substantial differences in pressure levels. Under the same injection and withdrawal parameters, the pressure of hydrogen within the wellbore can reach up to 17.1 MPa, whereas the maximum pressure of natural gas is approximately 14.5 MPa. It is worth noting that the pressure within the wellbore is significantly lower than the pressure within the chamber due to the greater potential energy for gas compression within the chamber compared to the wellbore. In addition, the Joule–Thomson effect is also a primary contributor to this phenomenon []. The hydrogen takes a divergent path by heating up, which displays a negative Joule–Thomson coefficient. During hydrogen expansion, the weak intermolecular forces cannot effectively counteract the repulsive forces between the molecules. As hydrogen gas expands, the molecules move further apart, and the repulsive forces dominate, leading to an increase in kinetic energy and temperature. Consequently, as hydrogen traverses through the exceptionally narrow borehole into the cavity, there is a sudden increase in temperature.

Figure 6.
Variation in wellbore pressure over a three-year injection–withdrawal cycle.
The variation in gas temperature within the wellbore over a three-year injection–withdrawal cycle under identical parameters is illustrated in Figure 7. The pattern of gas temperature changes within the wellbore during a single injection–withdrawal cycle closely resembles that within the chamber. Under the same injection–withdrawal parameters, the temperature of hydrogen within the wellbore can reach up to 71 °C, whereas the maximum temperature of natural gas is approximately 55 °C. The reason for the aforementioned phenomenon lies in the fact that, during the cyclic injection and extraction process, the variation in gas temperature is influenced not only by compression and expansion but also by thermal exchanges with the surrounding rock.

Figure 7.
Variation in wellbore temperature over a three-year injection–withdrawal cycle.
4.2.3. Surrounding Rock Temperatures at Varying Distances from the Cavity
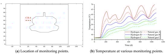
As illustrated in Figure 8a, three monitoring points are established at varying horizontal distances from the cavity, designated as A, B, and C, in an order from the nearest to farthest. The temperature variations at these horizontal monitoring points during the injection and withdrawal operations are depicted in Figure 8b. The temperature of the surrounding rock changes in accordance with the temperature of the gas within the cavity during the injection and withdrawal cycle. As the distance from the cavity increases, the amplitude of temperature change in the surrounding rock diminishes. For the same monitoring point, the temperature of the surrounding rock when storing hydrogen is higher than that when storing natural gas. Additionally, the rates of temperature increase and decrease are more pronounced for hydrogen storage compared to natural gas, indicating a more significant thermal exchange effect between hydrogen and the surrounding rock.

Figure 8.
Horizontal monitoring point setting and temperature variations.
4.2.4. Temperature Variations in Surrounding Rock at Different Burial Depth
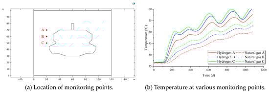
As illustrated in Figure 9a, three monitoring points are established at varying distances horizontally from the cavity, designated as A, B, and C, progressing from the closest to farthest. The temperature variations at these horizontal monitoring points during the injection and extraction process are depicted in Figure 9b. The temperature of the surrounding rock fluctuates in response to changes in the gas temperature within the cavity during the injection and extraction cycle; as the distance from the cavity increases, the amplitude of temperature fluctuations in the surrounding rock diminishes. For the same monitoring point, the temperature of the surrounding rock storing hydrogen is consistently higher than that storing natural gas. When storing hydrogen, the rate of increase or decrease in the surrounding rock temperature is greater compared to natural gas, indicating a more pronounced thermal exchange effect between hydrogen and the surrounding rock.

Figure 9.
Vertical monitoring point setting and temperature variations.
4.2.5. Thermal Conductivity of Surrounding Rock
We set the thermal conductivity of the salt rock to 6.5 W/m °C, 5.5 W/m °C, and 4.5 W/m °C, respectively. The temperature variations around the cavity under these three different thermal conductivities are depicted in Figure 10. For both hydrogen and natural gas, as the thermal conductivity of the surrounding rock decreases, the peak and valley temperatures around the cavity progressively diminish. At the same thermal conductivity, the temperatures during hydrogen storage are consistently higher than those observed during natural gas storage. The reason lies in the fact that hydrogen possesses a higher calorific value compared to natural gas. According to Newton’s law of cooling, the convective heat transfer coefficient of hydrogen, under the influence of cyclic storage and release, is significantly greater []. This further elucidates why, under the same conditions of thermal conductivity of the surrounding rock, the temperature of hydrogen exceeds that of natural gas.

Figure 10.
Temperature variations around the cavity with different thermal conductivities.
Figure 11 presents the thermal distribution contours of surrounding rock after three years of injection and withdrawal cycles with varying thermal conductivity coefficients. When storing the same type of gas, variations in thermal conductivity affect the extent of thermal effects; a higher thermal conductivity results in a deeper penetration of thermal effects into the rock strata, although the overall trend of thermal influence remains unchanged. The thermal effects of hydrogen are generally greater than those of natural gas, and the thermal exchange with the surrounding rock is also more pronounced.

Figure 11.
Temperature distribution of surrounding rock with different thermal conductivities.
4.2.6. Thermal Capacity of Surrounding Rock
We set the specific heat capacities of the salt rock to 920 J/kg·°C, 820 J/kg·°C, and 720 J/kg·°C, respectively. The temperature variations around the cavity under these three different specific heat capacities are illustrated in Figure 12. For both hydrogen and natural gas, as the specific heat capacity of the surrounding rock decreases, the peak and trough temperatures around the cavity progressively rise. Under the same specific heat capacity of the surrounding rock, the temperature is consistently higher when storing hydrogen compared to storing natural gas.

Figure 12.
Temperature variation around the cavity with different thermal capacities.
Figure 13 illustrates the temperature distribution maps of surrounding rock with different specific heat capacities after three years of injection and withdrawal cycles. When storing the same type of gas, variations in specific heat capacity also alter the extent of thermal effects; a lower specific heat capacity results in a deeper penetration of thermal effects into the rock. The reduction in specific heat capacity has a similar effect to an increase in thermal conductivity, as both influence temperature by affecting heat transfer. Generally, the thermal effect of hydrogen is higher than that of natural gas. The reason is that, under conditions of equal specific heat capacity, the thermal effects generated by the injection and extraction of hydrogen are significantly greater, resulting in a higher surrounding rock temperature during hydrogen storage compared to that of natural gas.

Figure 13.
Temperature distribution of surrounding rock with different thermal capacities.
4.2.7. Coefficient of Thermal Expansion
We set the thermal expansion coefficients of salt rock to 5 × 10−5/K−1, 4.5 × 10−5/K−1, and 4 × 10−5/K−1, respectively. The temperature distribution maps of the surrounding rock after three years of injection and withdrawal cycles with different thermal expansion coefficients are shown in Figure 14. The temperature distributions around the cavity with different thermal expansion coefficients are generally consistent. Variations in the thermal expansion coefficient do not alter the range of thermal effects, similar to the thermal conductivity and specific heat capacity. For the same thermal expansion coefficient, the thermal effect of hydrogen is generally higher than that of natural gas. The reason lies in the reduction in expansion stress in rock salt due to a decrease in the coefficient of thermal expansion. This results in an increased number of channels within the rock salt for hydrogen permeation, thereby extending the range of hydrogen diffusion and subsequently causing the surrounding rock temperature to be higher than when storing natural gas.

Figure 14.
Temperature distribution with different thermal expansion coefficients.
5. Conclusions
- (1)
- A unified flow and heat transfer model is established for gas injection and extraction process. This model innovatively incorporates the convective heat transfer of hydrogen or natural gas in the wellbore, radial heat transfer, the temperature–pressure coupling effects within the cavity, and the turbulent heat transfer effects within the cavity.
- (2)
- The temperature and pressure parameters of hydrogen and natural gas within the chamber and wellbore were compared. Under identical injection and withdrawal conditions, the temperature of hydrogen in the chamber was 10 °C higher than that of natural gas, and 16 °C higher in the wellbore. The pressure of hydrogen in the chamber was 2.9 MPa greater than that of natural gas, and 2.6 MPa higher in the wellbore.
- (3)
- A comparative analysis was conducted on the impact of surrounding rock’s horizontal and numerical distance on temperature during hydrogen and natural gas injection processes. As the distance from the cavity increases, from 5 to 15 m, the temperature fluctuation in the surrounding rock diminishes progressively, with the temperature effect in the hydrogen storage chamber extending at least 10 m.
- (4)
- The influence of rock thermal conductivity parameters on temperature during the processes of hydrogen injection and natural gas extraction is compared. The better the thermal conductivity, the deeper the thermal effects penetrate the rock layers, with the specific heat capacity having the most significant impact.
Author Contributions
Conceptualization, Z.L.; methodology, Y.L.; validation, Z.W. All authors have read and agreed to the published version of the manuscript.
Funding
This study was sponsored by National Key Research and Development Program of China (2023YFB4005500), Basic Research Funding for Central Universities of China (2024KYJD1010), National Natural Science Foundation of China (52404103), and Natural Science Foundation of Jiangsu Province (BK20241658, BK20220025).
Institutional Review Board Statement
Not applicable.
Informed Consent Statement
Not applicable.
Data Availability Statement
The raw data supporting the conclusions of this article will be made available by the authors on request.
Conflicts of Interest
The authors declare no conflicts of interest.
References
- Thiyagarajan, S.R.; Emadi, H.; Hussain, A.; Patange, P.; Watson, M. A comprehensive review of the mechanisms and efficiency of underground hydrogen storage. J. Energy Storage 2022, 51, 104490. [Google Scholar] [CrossRef]
- Tarkowaki, R.; Uliasz-Misiak, B. Towards underground hydrogen storage: A review of barriers. Renew. Sustain. Energy Rev. 2022, 162, 112451. [Google Scholar] [CrossRef]
- Muhammed, N.S.; Haq, B.; Al Shehri, D.; Al-Ahmed, A.; Rahman, M.M.; Zaman, E. A review on underground hydrogen storage: Insight into geological sites, influencing factors and future outlook. Energy Rep. 2022, 8, 461–499. [Google Scholar] [CrossRef]
- Tarkowaki, R. Underground hydrogen storage: Characteristics and prospects. Renew. Sustain. Energy Rev. 2019, 105, 86–94. [Google Scholar] [CrossRef]
- Bachand, A.; Doyon, B.; Raymond, J. Thermo-physical numerical model for hydrogen storage in underground tanks and caverns. Int. J. Hydrog. Energy 2024, 66, 66–80. [Google Scholar] [CrossRef]
- Carro, A.; Carneiro, J.; Ortiz, C.; Behnous, D.; Becerra, J.; Chacartegui, R. Assessment of carbon dioxide transcritical cycles for electrothermal energy storage with geological storage in salt cavities. Appl. Therm. Eng. 2024, 255, 124028. [Google Scholar] [CrossRef]
- Song, R.; Song, Y.; Liu, J.; Yang, C. Multiscale experimental and numerical study on hydrogen diffusivity in salt rocks and interlayers of salt cavern hydrogen storage. Int. J. Hydrog. Energy 2024, 79, 319–334. [Google Scholar] [CrossRef]
- Zhao, T.; He, Y.; Deng, J. Effect of geothermal heat transfer on performance of the adiabatic compressed air energy storage systems with the salt cavern gas storage. Appl. Therm. Eng. 2024, 249, 123386. [Google Scholar] [CrossRef]
- Wang, J.; Wang, Z.; Zeng, Q.; Wang, J.; Li, B. Modeling and Parameter Optimization of Multi-Step Horizontal Salt Cavern Considering Heat Transfer for Energy Storage. Appl. Sci. 2024, 14, 6433. [Google Scholar] [CrossRef]
- Xie, D.; Wang, T.; Li, L.; Guo, K.; Ben, J.; Wang, D.; Chai, G. Modeling debrining of an energy storage salt cavern considering the effects of temperature. Energy 2023, 282, 128845. [Google Scholar] [CrossRef]
- Li, P.; Kang, H.; Zhu, Q.; Wu, Y.; Zhang, J.; Fan, L.; Wang, Z. Numerical and experimental investigations of concrete lined compressed air energy storage system. J. Clean. Prod. 2023, 390, 136153. [Google Scholar] [CrossRef]
- Kushnir, R.; Dayan, A.; Ullmann, A. Temperature and pressure variations within compressed air energy storage caverns. Int. J. Heat Mass Transf. 2012, 55, 5616–5630. [Google Scholar] [CrossRef]
- Kushnir, R.; Ullmann, A.; Dayan, A. Thermodynamic and hydrodynamic response of compressed air energy storage reservoirs: A review. Rev. Chem. Eng. 2012, 28, 123–148. [Google Scholar] [CrossRef]
- Xia, C.; Zhou, Y.; Zhou, S.; Zhang, P.; Wang, F. A simplified and unified analytical solution for temperature and pressure variations in compressed air energy storage caverns. Renew. Energy 2015, 74, 718–726. [Google Scholar] [CrossRef]
- Jiang, T.; Cao, D.; Xie, D.; Liao, Y.; He, T.; Wang, D. Preventing clogging of debrining tubing in a gas storage salt cavern during construction. Gas Sci. Eng. 2024, 123, 205227. [Google Scholar] [CrossRef]
- Niu, C.-K.; Tan, Y.-F.; Li, J.-N.; Song, C.-L. Model validation and stability analysis for operation projects in Jintan Salt Cavern for strategic oil storage of China. J. Pet. Sci. Eng. 2015, 127, 44–52. [Google Scholar] [CrossRef]
- Li, W.; Chen, G.; Ding, S.; Zhang, Y. A method for assessing the gas capacity based on thermodynamic state analysis for salt cavern during operation. J. Energy Storage 2022, 50, 104316. [Google Scholar] [CrossRef]
- Li, W.; Miao, X.; Wang, J.; Li, X. Study on thermodynamic behaviour of natural gas and thermo-mechanical response of salt caverns for underground gas storage. Energy 2023, 262, 125601. [Google Scholar] [CrossRef]
- Yan, Z.; Wang, Z.; Wu, F.; Lyu, C. Stability analysis of Pingdingshan pear-shaped multi-mudstone interbedded salt cavern gas storage. J. Energy Storage 2022, 56, 105963. [Google Scholar] [CrossRef]
- Zhang, N.; Liu, X.; Zhang, Y.; Gu, H.; Yan, B.; Jia, Q.; Gao, X. Investigating the Mechanism of Land Subsidence Due to Water Network Integration at the Guangzhou Longgui Salt Mine and Its Impact on Adjacent Subway. Water 2024, 16, 1723. [Google Scholar] [CrossRef]
- Yin, H.; Yang, C.; Ma, H.; Shi, X.; Zhang, N.; Ge, X.; Li, H.; Han, Y. Stability evaluation of underground gas storage salt caverns with micro-leakage interlayer in bedded rock salt of Jintan, China. Acta Geotech. 2020, 15, 549–563. [Google Scholar] [CrossRef]
- Wang, J.; Wang, X.; He, M.; Song, Z.; Feng, S.; Liu, X.; Zhang, Y. Long-term stability analysis and evaluation of horizontal salt cavern gas storage. J. Energy Storage 2023, 66, 107413. [Google Scholar] [CrossRef]
- Wang, X.; Wang, J.; Zhao, P.; Liu, X.; Feng, S.; Song, Z. Study on the long-term airtightness of salt cavern gas storage considering the permeability variation of surrounding rock. Comput. Geotech. 2024, 168, 106130. [Google Scholar] [CrossRef]
- Chen, X.; Xiong, T.; Li, Y. Research on the helium seepage mechanism in the strata surrounding bedded salt cavern helium storage and its tightness evaluation. Geoenergy Sci. Eng. 2024, 238, 212870. [Google Scholar] [CrossRef]
- He, T.; Wang, T.; Yang, X.; Yang, C.; Liao, Y.; Xie, D.; Li, J.; Daemen, J. Leakage path prediction model and gas tightness assessment method for gas storage salt cavern wellbores. Comput. Geotech. 2024, 171, 106397. [Google Scholar] [CrossRef]
- Bérest, P.; Louvet, F. Aspects of the thermodynamic behavior of salt caverns used for gas storage. Oil Gas Sci. Technol.-Rev. D IFP Energ. Nouv. 2020, 75, 57. [Google Scholar] [CrossRef]
- Merey, S. Prediction of pressure and temperature changes in the salt caverns of Tuz Golu underground natural gas storage site while withdrawing or injecting natural gas by numerical simulations. Arab. J. Geosci. 2019, 12, 205. [Google Scholar] [CrossRef]
- Mahmoudi, E.; Khaledi, K.; Miro, S.; König, D.; Schanz, T. Probabilistic Analysis of a Rock Salt Cavern with Application to Energy Storage Systems. Rock Mech. Rock Eng. 2017, 50, 139–157. [Google Scholar] [CrossRef]
- Peng, T.; Wan, J.; Liu, W.; Li, J.; Xia, Y.; Yuan, G.; Liu, H. Choice of hydrogen energy storage in salt caverns and horizontal cavern construction technology. J. Energy Storage 2023, 60, 106489. [Google Scholar] [CrossRef]
- Wang, Z.; Zhang, Y.; Liu, Z.; Li, S.; Qiu, K. Investigation of the effects of hydrogen injection and withdrawal frequency on stability and tightness of the salt cavern based on a novel coupled thermal-hydro-mechanical model. Int. J. Hydrog. Energy 2024, 82, 1238–1251. [Google Scholar] [CrossRef]
- Tarkowski, R.; Lankof, L.; Luboń, K.; Michalski, J. Hydrogen storage capacity of salt caverns and deep aquifers versus demand for hydrogen storage: A case study of Poland. Appl. Energy 2024, 355, 122268. [Google Scholar] [CrossRef]
- Masoudi, M.; Hassanpouryouzband, A.; Hellevang, H.; Haszeldine, R.S. Lined rock caverns: A hydrogen storage solution. J. Energy Storage 2024, 84, 110927. [Google Scholar] [CrossRef]
- Derakhshani, R.; Lankof, L.; GhasemiNejad, A.; Zarasvandi, A.; Zarin, M.M.A.; Zaresefat, M. A Novel Sustainable Approach for Site Selection of Underground Hydrogen Storage in Poland Using Deep Learning. Energies 2024, 17, 3677. [Google Scholar] [CrossRef]
- Naderi, H.; Hekmatnejad, A.; Aftab, A.; Sarmadivaleh, M.; Pena, A. Integrating 1D and 3D geomechanical modeling to ensure safe hydrogen storage in bedded salt caverns: A comprehensive case study in canning salt, Western Australia. Int. J. Hydrog. Energy 2024, 81, 1073–1090. [Google Scholar] [CrossRef]
- Li, W.; Nan, X.; Chen, J.; Yang, C. Investigation of thermal-mechanical effects on salt cavern during cycling loading. Energy 2021, 232, 120969. [Google Scholar] [CrossRef]
Disclaimer/Publisher’s Note: The statements, opinions and data contained in all publications are solely those of the individual author(s) and contributor(s) and not of MDPI and/or the editor(s). MDPI and/or the editor(s) disclaim responsibility for any injury to people or property resulting from any ideas, methods, instructions or products referred to in the content. |
© 2024 by the authors. Licensee MDPI, Basel, Switzerland. This article is an open access article distributed under the terms and conditions of the Creative Commons Attribution (CC BY) license (https://creativecommons.org/licenses/by/4.0/).